UNITED STATES
SECURITIES AND EXCHANGE COMMISSION
Washington, D.C. 20549
FORM 8-K
CURRENT REPORT
Pursuant to Section 13 or 15(d) of the Securities Exchange Act of 1934
Date of Report (Date of earliest event reported):
October 2, 2007
![]()
US FARMS, INC.
(Exact name of registrant as specified in its charter)
Nevada | 000-27487 | 88-0350156 |
(State or other jurisdiction of incorporation) | (Commission File Number) | (IRS Employer Identification No.) |
1635 Rosecrans Street, Suite C San Diego, California | 92106 |
(Address of Principal Executive Offices) | (Zip Code) |
Registrant's telephone number, including area code: (858) 488-7775
Copies of Communications to:
Stoecklein Law Group
4695 MacArthur Court, 11th floor
Newport Beach, CA 92660
(949) 798-5541
Fax (949) 258-5112
Check the appropriate box below if the Form 8-K filing is intended to simultaneously satisfy the filing obligation of the registrant under any of the following provisions:
¨ Written communications pursuant to Rule 425 under the Securities Act (17 CFR 230.425)
¨ Soliciting material pursuant to Rule 14a-12 under the Exchange Act (17 CFR 240.14a-12)
¨ Pre-commencement communications pursuant to Rule 14d-2(b) under the Exchange Act (17 CFR 240.14d-2(b))
¨ Pre-commencement communications pursuant to Rule 13e-4(c) under the Exchange Act (17 CFR 240.13e-4(c))
Section 1 – Registrant’s Business and Operations
Item 1.01 Entry into a Material Definitive Agreement
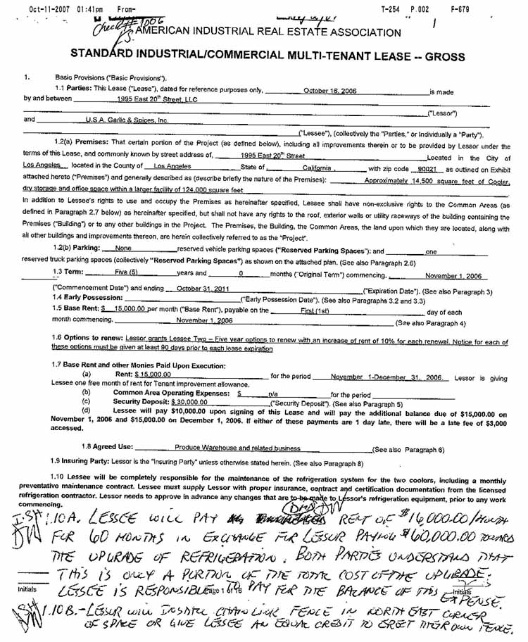
On October 2, 2007, the Registrants subsidiary, California Produce Exchange, Inc., (CPE) executed a sublease with U.S.A. Garlic & Spices, Inc. (USA Garlic). USA Garlic executed a lease, (Master Lease) dated October 16, 2006 for approximately 14,500 square feet of cooler, dry storage, and office space within a larger facility in Los Angeles, California. According to the Registrant, the facility was measured for cleaning purposes and was estimated to be in excess of 20,000 square feet. The term of the Master Lease was for five years and CPE has agreed to sublease for the remaining term of the Master Lease, which will expire on October 31, 2011. Additionally, CPE paid USA Garlic $30,000 as a security deposit, which will be returned after the conditions specified in the Master Lease are satisfied at the expiration of the lease. USA Garlic agreed to pay $16,000 a month as well as any additional cost over $60,000, which the landlord agreed to cover, to update the refrigeration on the leased premises. CPE has agreed to pay the same monthly rental terms to USA Garlic as described in the Master Lease. A guaranty was also executed on the Master Lease by Mr. Shadfar, who is currently serving as the Vice President of Marketing for CPE.
A copy of the sublease agreement is attached hereto as Exhibit 10.12
Section 7 Regulation FD
Item 7.01 Regulation FD Disclosure
The Registrant recently updated their executive summary and a copy of that executive summary is attached here to as Exhibit 99.1. The summary contains forward-looking statements within the meaning of the federal securities laws. These forward-looking statements are necessarily based on certain assumptions and are subject to significant risks and uncertainties. There forward-looking statements are based on managements expectations as of the date hereof. The Registrant does not undertake any responsibility for the adequacy, accuracy, or completeness or to update any of these statements in the future. Actual future performance and results could differ from that contained in or suggested by these forward-looking statements.
Section 8 - Other Events
Item 8.01 Other Events
On October 10, 2007, the Registrant issued a press release announcing the execution of the sublease with U.S.A. Garlic, Inc. A copy of the press release is attached hereto as Exhibit 99.2.
On October 11, 2007, the Registrant issued a press release announcing that Yan Skwara, the Registrants CEO, would be a guest on Corporate Strategies Radio Show. This press release incorrectly included a statement that audited revenues of approximately $4.1 million for the two quarters ended June 30, 2007, which as of June 30, 2007 the Registrant did not have audited financials but rather only unaudited reviewed financials. A copy of the original press release is attached hereto as Exhibit 99.3.
On October 22, 2007, the Registrant issued a press release announcing a five year lease agreement for a nursery facility in Fallbrook, California. A copy of the press release is attached hereto as Exhibit 99.4.
On October 23, 2007, the Registrant issued a press release providing an update concerning its facilities in Southern California as a result of the recent fires. A copy is attached hereto as Exhibit 99.5.
On October 26, 2007, the Registrant issued a press release announcing its membership with San Diego Farm Bureau. A copy is attached here as Exhibit 99.6.
On November 1, 2007, the Registrant issued a press release announcing its membership with Imperial Valley Farm Bureau. A copy is attached hereto as Exhibit 99.7.
On November 5, 2007, the Registrant issued a press release announcing an upcoming interview with Yan Skawara on WallSt.net. A copy is attached hereto as Exhibit 99.8.
On November 19, 2007, the Registrant issued a press release announcing its third quarter financial results. A copy is attached hereto as Exhibit 99.9.
Section 9 Financial Statements and Exhibits
Item 9.01 EXHIBITS
Exhibit Number | Description |
10.12 | Sublease Agreement between U.S.A. Garlic & Spices, Inc. and California Produce Exchange, Inc., dated October 2, 2007. |
99.1 | US Farms Executive Summary |
99.2 | Press Release Announcing Four Year Sub-Lease Agreement for Warehouse Facility in Los Angeles |
99.3 | Press Release Announcing Yan Skwara to be a Guest on Corporate Strategies Radio Show |
99.4 | Press Release Announcing Fiver Year Lease Agreement for a Nursery Facility in Fallbrook, California |
99.5 | Press Release Announcing an Update about Facilities in Southern California and the recent fires |
99.6 | Press Release Announcing the Membership with San Diego Farm Bureau |
99.7 | Press Release Announcing the Membership with Imperial Valley Farm Bureau |
99.8 | Press Release Announcing Interview with Yan Skwara on WallSt.net |
99.9 | Press Release Announcing Third Quarter 2007 Financial Results |
| 99.10 | Lease Agreement between 1995 East 20th Street, LLC and U.S.A. Garlic & Spices, Inc., dated 10/16/2006. |
SIGNATURES
Pursuant to the requirements of the Securities Exchange Act of 1934, the registrant has duly caused this report to be signed on its behalf by the undersigned hereunto duly authorized.
US Farms, Inc.
By: /s/ Yan K. Skwara
Date: November 28, 2007
Yan K. Skwara, Chief Executive Officer
Exhibit 10.12
SUBLEASE AGREEMENT
This Sublease Agreement (the Sublease) is made and effective October 2, 2007, by and between U.S.A. Garlic & Spices, Inc., a California corporation (Sublessor,) and California Produce Exchange, Inc., a California corporation (Subtenant.)
Sublessor is the tenant in a lease agreement dated October 16, 2006 with 1995 East 20th St., LLC, a California limited liability company (Landlord) for a term ending October 31, 2011 (the Master Lease.) A copy of the Master Lease is attached hereto and herein incorporated by reference. The property leased to Sublessor in the Master Lease is referred to as the Leased Property.
Sublessor now desires to sublease the Leased Property to Subtenant, and Subtenant desires to acquire the sublease.
NOW, THEREFORE, for value received by each of the parties hereto, the receipt and sufficiency of which are hereby respectively acknowledged, and in consideration of the mutual agreements of the parties, it is agreed:
1. Sublease.
A. Sublessor agrees to sublease the Leased Property as follows:
Sublease Term: entire term of Master Lease
Monthly Sublease Rent: same as Master Lease
B. Subtenant shall pay the rent to Sublessor not later than the first day of each month. Rent payments shall be made to the address for Sublessor below or such other address that Sublessor may identify to Subtenant from time to time. Subtenant shall also pay to Sublessor any other amount or charge that Sublessor is obligated to pay under the Master Lease that arises or is attributable to Subtenants occupancy such as, but not limited to, charges for garbage, water, sewer, utilities, maintenance and refuse removal. Such charges shall be paid within ten days of Sublessors statement. Subtenant shall be responsible for procuring and paying for any utilities or services not provided by landlord pursuant to the Master Lease.
2. Obligations Under Master Lease.
Subtenant agrees to comply with the terms of the Master Lease and shall not do or permit to be done anything that would constitute a breach or default of Sublessors obligations in the Master Lease. Sublessor agrees to comply with all of Sublessors obligations in the Master Lease. Sublessor agrees timely to pay rent and other charges due under the Master Lease and, provided Subtenant is not in breach or default of any obligation in this Sublease, shall not do anything to disturb Subtenants use of the Leased Property pursuant to this Sublease.
3. Security Deposit
Subtenant shall pay Sublessor $30,000 as a security deposit that shall be returned when the conditions precedent in the Master Lease for the return of the security deposit are met.
4. Indemnification.
A. Subtenant will indemnify, protect, defend and hold Sublessor harmless from and against any and all loss, cost, damage and expense arising out of or in any way related to a breach or default of Sublessors obligations in the Master Lease by Subtenant.
B. Sublessor will indemnify, protect, defend and hold Subtenant harmless from and against any and all loss, cost, damage and expense arising out of or in any way related to a breach or default of the Master Lease by Sublessor.
5. Notices.
Any notice given in connection with this Agreement, shall be in writing and shall be given to the appropriate party by personal delivery or by certified mail, postage prepaid, or recognized overnight delivery service as follows:
If to Sublessor:
U.S.A. Garlic and Spices, Inc.
[address]
If to Subtenant:
California Produce Exchange, Inc.
[address]
6. Headings.
Headings used in this Agreement are provided for convenience only and shall not be used to construe meaning or intent.
IN WITNESS WHEREOF, the parties hereto have caused this Sublease to be duly executed as of the date first above written.
SUBLESSOR:
U.S.A. GARLIC & SPICES, INC.,
a California corporation
Dated: October 6, 2007
By: /s/ Kevin Bai [sign]
Its: President, Kevin Bai[print name]
SUBTENANT:
CALIFORNIA PRODUCE EXCHANGE, INC.,
a California corporation
Dated: October 19, 2007
By: /s/ Yan Skwara [sign]
Its: President, Yan Skwara [print name]
LANDLORDS CONSENT
The undersigned, as owner and holder of all right, title and interest of Landlord
under the Master Lease hereby consents to the foregoing assignment.
1995 EAST 20th ST., LLC, a
California limited liability company
Dated: October 10, 2007
By: /s/ Doug Weitman [sign]
Its: Managing Partner, Doug Weitman [print name]
Exhibit 99.1











Exhibit 99.2
US Farms, Inc. Signs Four Year Sub-Lease Agreement for 20,000 Square Foot Produce Warehouse Facility Located in Los Angeles
Wednesday October 10, 6:00 am ET
SAN DIEGO, CA--(MARKET WIRE)--Oct 10, 2007 -- US Farms, Inc. (OTC BB:USFI.OB - News) today announced it has signed a four-year sub-lease agreement for a 20,000 square foot Produce Warehouse facility through its wholly owned subsidiary, California Produce Exchange, Inc. This Facility is located near the Los Angeles Produce Market, the heart of the produce business on the West coast and will be used exclusively for the company's Produce business.
Yan K. Skwara, President of US Farms, Inc., stated, "This facility will serve as the Company's Southern California Produce hub. This lease is critical in enabling our Produce business to grow and expand our distribution in the LA area as well as service our existing Produce customers. This facility will be a significant distribution point for the Produce food service side of our business and our West coast center for all Garlic sales."
About US Farms, Inc.
US Farms, Inc. is a diversified agriculture company. The company has commenced the production and distribution of horticultural products through a number of subsidiaries. The horticultural products are sold through supermarkets, home centers, retail merchandisers, garden centers, re-wholesalers, and landscapers throughout the United States and Canada. Through internal growth and strategic acquisitions the company is expanding its market share in its nursery and specialty produce businesses. Currently the company has subsidiaries which provide a full range of products including Aloe Vera, Cactus, Succulents, Jade, Rare and Exotic Palm Trees and Cycads along with produce products that include Aloe Vera, Asparagus, Tomatoes and Wheat grass. In 2007 the company plans to add over 100 specialty niche produce items to it offerings.
For more information on US Farms, Inc., please visit http://www.usfarmsinc.com. US Farms, Inc. is publicly traded on the over-the-counter market under the ticker symbol USFI.
"Safe Harbor" statement under the Private Securities Litigation Reform Act of 1995: This press release contains forward-looking statements that are subject to risk and uncertainties, including, but not limited to, our inability to acquire and or build an ethanol production facility, the impact of competitive products, product demand, market acceptance risks, fluctuations in operating results, political risk and other risks detailed from time to time in US Farms, Inc.'s filings with the Securities and Exchange Commission. These risks could cause US Farms, Inc.'s actual results to differ materially from those expressed in any forward-looking statements made by, or on behalf of, US Farms, Inc.
Contact:
Contact:
US Farms, Inc.
800-845-9133
Or 858-488-7775
Pan American Relations
Chuck Cibulka
858-213-4153
Exhibit 99.3
Yan Skwara, CEO and President of US Farms, Inc. to Be a Guest on Corporate Strategies Radio Show
Thursday October 11, 5:23 pm ET
SAN DIEGO--(BUSINESS WIRE)--Yan Skwara, CEO and President of US Farms, Inc. (OTCBB: USFI - News) will be a guest on the Corporate Strategies radio show airing Friday from 9:00am-11:00am ET, 6:00am-8:00am PT. US Farms is one of the largest U.S. growers of Aloe Vera and a leading winter supplier of asparagus. They also handle an aggressive year-round brokerage of tomatoes and garlic in the United States, as well as expanding nursery operations. US Farms has audited revenues of approximately $4.1 million for the two quarters ended June 30, 2007 (roughly Q1 - $1.8 million, Q2 - $2.3 million). They currently broker over 80 produce items (vegetables and fruits) through multiple wholly owned subsidiaries. Almost all of their crops are grown in the Imperial Valley of California, and nursery operations are just outside San Diego.
For more information on US Farms, Inc., please visit http://www.usfarmsinc.com. US Farms, Inc. is publicly traded on the over-the-counter market under the ticker symbol USFI.
About "Corporate Strategies with Tim Connolly" -- "Corporate Strategies with Tim Connolly" is live talk radio...with the Titans of Business who move financial markets! The Executive Producer Jan Carson is an award winning journalist with more than 25 years experience as a top rated television news anchor and reporter for NBC, ABC and CBS network affiliates. "Corporate Strategies with Tim Connolly" features financial experts from across the nation providing the latest intelligence on equities, income investments, and a variety of risk, equity and option strategies.
You can listen to this show broadcast live at the www.corporate-strategies.net website or at the Princeton Research, Inc. website www.princetonresearch.com.
This release is for informational purposes only and not intended to constitute an offer to buy or sell securities. This report also contains what might be construed to be "forward looking statements."
Contact:
Princeton Research, Inc.
Mike King, 702-650-3000
Exhibit 99.4
US Farms, Inc. Signs Five-Year Lease Agreement for Five Acre Nursery Facility in Fallbrook, California
Monday October 22, 6:00 am ET
SAN DIEGO, CA--(MARKET WIRE)--Oct 22, 2007 -- US Farms, Inc. (OTC BB:USFI.OB - News) today announced it has signed a five-year lease agreement for approximately 5 acres through its wholly owned subsidiary American Nursery Exchange, Inc. This Nursery Facility is located in Fallbrook, CA and will be used for the company's Jade Plant production and stock fields.
Yan K. Skwara, President of US Farms, Inc., stated, "This is our third leased out Nursery facility in San Diego County that we have locked up to insure the Company's continued future growth in the Nursery space. With the best plant growing climate conditions in the country, we have strategically identified and added this 5-acre nursery to complement our existing facilities which include our 5 and 15-acre nursery in Valley Center, CA and Rainbow, CA. This newly leased facility alone can conservatively add an additional $500,000 in revenue over the next twelve months to our top line with profits in the 30% range. It will also enable US Farms, Inc. to be one of the largest Jade Plant growers in the US, which are sold in numerous retail nurseries across our region."
About US Farms, Inc.
US Farms, Inc. is a diversified agriculture company. The company has commenced the production and distribution of horticultural products through a number of subsidiaries. The horticultural products are sold through supermarkets, home centers, retail merchandisers, garden centers, re-wholesalers, and landscapers throughout the United States and Canada. Through internal growth and strategic acquisitions the company is expanding its market share in its nursery and specialty produce businesses. Currently the company has subsidiaries which provide a full range of products including Aloe Vera, Cactus, Succulents, Jade, Rare and Exotic Palm Trees and Cycads along with produce products that include Aloe Vera, Asparagus, Tomatoes and Garlic.
For more information on US Farms, Inc., please visit http://www.usfarmsinc.com. US Farms, Inc. is publicly traded on the over-the-counter market under the ticker symbol USFI.
"Safe Harbor" statement under the Private Securities Litigation Reform Act of 1995: This press release contains forward-looking statements that are subject to risk and uncertainties, including, but not limited to, our inability to acquire and or build an ethanol production facility, the impact of competitive products, product demand, market acceptance risks, fluctuations in operating results, political risk and other risks detailed from time to time in US Farms, Inc.'s filings with the Securities and Exchange Commission. These risks could cause US Farms, Inc.'s actual results to differ materially from those expressed in any forward-looking statements made by, or on behalf of, US Farms, Inc.
Contact:
Contact:
US Farms, Inc.
Yan K. Skwara
President
Tel: 858-488-7775 ext 101
Fax: 858-488-2828
Pan American Relations
Chuck Cibulka
858-213-4153
Exhibit 99.5
US Farms, Inc. Provides Facilities Update in Regards to Recent Southern California Firestorm
Thursday October 25, 9:35 am ET
SAN DIEGO, CA--(MARKET WIRE)--Oct 25, 2007 -- US Farms, Inc. (OTC BB:USFI.OB - News), a diversified commercial Farming and Nursery Company, today commented on the impact the recent firestorms in Southern California has had on current operations:
Yan Skwara, President and Chief Executive Officer, US Farms, Inc. stated, "In light of the recent devastating fires which have destroyed thousands of homes and businesses, and displaced hundreds of thousands of our neighbors throughout Southern California, US Farms, Inc. is lucky to have been spared any fire damage to our buildings, nurseries, and crops. We are truly saddened by this calamity within our community and on behalf of our employees and their families and management we send our thoughts and prayers to all of our neighbors not as lucky as ourselves. Our deepest gratitude and thanks goes out to the brave hard working men and women firefighters and support personnel whose dedication and devotion has assisted in the prevention of destruction of life and property."
Skwara further stated: "Management has been monitoring the Southern California Firestorm and has determined that the assets of US Farms, Inc., including inventory, warehouse and greenhouse facilities, and offices as listed below are safe from the fire and out of its path of destruction at this time. Business continues as usual. We would like to thank our concerned customers and shareholders whose phone calls and emails wishing us well have been much appreciated."
US Farms Inc. facilities include:
Valley Center, California: American Nursery Exchange -- 100,000 sq. foot Greenhouse Facility - growing Aloe Vera plants and Palm Trees
Rainbow, California: 14 acres -- Shade house and Palm inventory
Fallbrook, California: 5 acres -- Nursery flat ground
Imperial Valley: 210 acres -- Farmland growing Asparagus, Tomatoes, and Aloe Vera
Vista, Ca: Sammy's Produce -- 8000 sq. foot Produce Warehouse -- Tomatoes
Downtown San Diego -- Corporate Offices
About US Farms, Inc.
US Farms, Inc. is a diversified Farming and Nursery company. The company has commenced the production and distribution of horticultural products through a number of subsidiaries. The horticultural products are sold through supermarkets, home centers, retail merchandisers, garden centers, re-wholesalers, and landscapers throughout the United States and Canada. Through internal growth and strategic acquisitions the company is expanding its market share in its nursery and specialty produce businesses. Currently the company has subsidiaries which provide a full range of products including Aloe Vera, Cactus, Succulents, Jade, Rare and Exotic Palm Trees and Cycads along with produce products that include Aloe Vera, Asparagus, Tomatoes and Garlic.
For more information on US Farms, Inc., please visit http://www.usfarmsinc.com. US Farms, Inc. is publicly traded on the over-the-counter market under the ticker symbol USFI.
"Safe Harbor" statement under the Private Securities Litigation Reform Act of 1995: This press release contains forward-looking statements that are subject to risk and uncertainties, including, but not limited to, our inability to acquire and or build an ethanol production facility, the impact of competitive products, product demand, market acceptance risks, fluctuations in operating results, political risk and other risks detailed from time to time in US Farms, Inc.'s filings with the Securities and Exchange Commission. These risks could cause US Farms, Inc.'s actual results to differ materially from those expressed in any forward-looking statements made by, or on behalf of, US Farms, Inc.
Contact:
Contact:
US Farms, Inc.
Yan K. Skwara
President
Tel: 858-488-7775 ext 101
Fax: 858-488-2828
Pan American Relations
Mr. Chuck Cibulka
858-213-4153
Exhibit 99.6
US Farms, Inc. Formalizes Membership With San Diego Farm Bureau
Friday October 26, 9:37 am ET
SAN DIEGO, CA--(MARKET WIRE)--Oct 26, 2007 -- US Farms, Inc. (OTC BB:USFI.OB - News), a diversified Farming and Nursery company, today became a member of the San Diego Farm Bureau. The Farm Bureau of San Diego County (www.sdfarmbureau.org) is a non-profit organization supported solely by more than 7,000 dues-paying members. Established in 1913, the Farm Bureau serves the needs of the agriculture community through public relations, education and public policy advocacy.
Yan K. Skwara, President and Chief Executive Officer, US Farms, Inc. stated, "We are pleased to announce that we have joined the Farm Bureau of San Diego County. Agriculture ranks as the fifth largest industry in San Diego County and contributes approximately $1.4 billion to the local economy. Agriculture has a total value to the local economy of roughly $5.1 billion. The State of California and the County of San Diego are a large part of the National food supply and enormous contributors to the Federal and State and Local economies. Our membership in this prestigious organization will open many new doors and opportunities for US Farms, Inc. in the agriculture community. As a diversified Farming and Nursery company, we look forward to sharing business and information with other San Diego Farm Bureau members."
About US Farms, Inc.
US Farms, Inc. is a diversified Farming and Nursery company. The company has commenced the production and distribution of horticultural products through a number of subsidiaries. The horticultural products are sold through supermarkets, home centers, retail merchandisers, garden centers, re-wholesalers, and landscapers throughout the United States and Canada. Through internal growth and strategic acquisitions the company is expanding its market share in its nursery and specialty produce businesses. Currently the company has subsidiaries which provide a full range of products including Aloe Vera, Cactus, Succulents, Jade, Rare and Exotic Palm Trees and Cycads along with produce products that include Aloe Vera, Asparagus, Tomatoes and Garlic.
For more information on US Farms, Inc., please visit http://www.usfarmsinc.com. US Farms, Inc. is publicly traded on the over-the-counter market under the ticker symbol USFI.
"Safe Harbor" statement under the Private Securities Litigation Reform Act of 1995: This press release contains forward-looking statements that are subject to risk and uncertainties, including, but not limited to, our inability to acquire and or build an ethanol production facility, the impact of competitive products, product demand, market acceptance risks, fluctuations in operating results, political risk and other risks detailed from time to time in US Farms, Inc.'s filings with the Securities and Exchange Commission. These risks could cause US Farms, Inc.'s actual results to differ materially from those expressed in any forward-looking statements made by, or on behalf of, US Farms, Inc.
Contact:
Contact:
US Farms, Inc.
Yan K. Skwara
President
Tel: 858-488-7775 ext 101
Fax: 858-488-2828
Pan American Relations-Corporate Communications
Mr. Chuck Cibulka
858-213-4153
San Diego County Farm Bureau
1670 East Valley Parkway
Escondido, CA 92027
Voice (760) 745-3023
Fax (760) 489-6348
Exhibit 99.7
US Farms, Inc. Consumates Membership With Imperial Valley Farm Bureau
Thursday November 1, 9:31 am ET
SAN DIEGO, CA--(MARKET WIRE)--Nov 1, 2007 -- US Farms, Inc. (OTC BB:USFI.OB - News), a diversified Farming and Nursery company, announced today it has become a member of the Imperial Valley Farm Bureau. The Farm Bureau of Imperial Valley County (www.icfb.net) is a non-profit organization. Established in 1918, the Farm Bureau serves the needs of the agriculture community through public relations, education and public policy advocacy.
Yan K. Skwara, President and Chief Executive Officer, US Farms, Inc., stated, "We are pleased to announce that we have joined the Farm Bureau of Imperial Valley County where many of our Farming activities are conducted. Our membership in this prestigious organization is our continued movement as we seek to create new opportunities and develop new relationships in the agriculture community specifically in the Imperial Valley. As a diversified Farming and Nursery company, we look forward to sharing business and information with other Imperial Valley Farm Bureau members."
About US Farms, Inc.
US Farms, Inc. is a diversified commercial Farming and Nursery company. The company grows, markets and distributes horticultural products through a number of wholly owned subsidiaries. The horticultural products are sold through supermarkets, home centers, retail merchandisers, garden centers, re-wholesalers, and landscapers throughout the United States and Canada. Through internal growth and strategic acquisitions the company is expanding its market share in its nursery and specialty produce businesses. Currently the company has subsidiaries which provide a full range of products including Aloe Vera, Cactus, Succulents, Jade, Rare and Exotic Palm Trees and Cycads along with Produce products that include Aloe Vera, Asparagus, Tomatoes and Garlic.
For more information on US Farms, Inc., please visit http://www.usfarmsinc.com. US Farms, Inc. is publicly traded on the over-the-counter market under the ticker symbol USFI or USFI.OB.
About Imperial Valley Farm Bureau
Farm Bureau is an independent, non-governmental, voluntary organization of farm and ranch families united for the purpose of analyzing their problems and formulating action to achieve educational improvement, economic opportunity, and social achievement.
The mission of Imperial County Farm Bureau is to promote Imperial Valley agriculture through public relations, education, and issue advocacy in order to support the economic advancement of agriculture balanced with appropriate management of natural resources.
Imperial County Farm Bureau was founded in 1918 as a grass-roots organization of local farmers and ranchers.
"Safe Harbor" statement under the Private Securities Litigation Reform Act of 1995: This press release contains forward-looking statements that are subject to risk and uncertainties, including, but not limited to, our inability to acquire and or build an ethanol production facility, the impact of competitive products, product demand, market acceptance risks, fluctuations in operating results, political risk and other risks detailed from time to time in US Farms, Inc.'s filings with the Securities and Exchange Commission. These risks could cause US Farms, Inc.'s actual results to differ materially from those expressed in any forward-looking statements made by, or on behalf of, US Farms, Inc.
Contact:
Contact:
US Farms, Inc.
Yan K. Skwara
President
Tel: 858-488-7775 ext 101
Fax: 858-488-2828
Email Contact
Pan American Relations-Investor Relations
Chuck Cibulka
619-664-4509
Exhibit 99.8
US Farms, Inc. Announces Upcoming Interview With CEO Yan Skwara on WallSt.net (www.wallst.net)
Monday November 5, 9:33 am ET
SAN DIEGO, CA--(MARKET WIRE)--Nov 5, 2007 -- Yan K. Skwara, Chief Executive Officer of US Farms, Inc. (OTC BB:USFI.OB - News) (www.usfarmsinc.com), will be featured in an exclusive interview with www.wallst.net scheduled for Nov 5, 2007 at 1:00 p.m. PT. The interview will be posted on www.wallst.net shortly after the interview is concluded.
The interview will cover topics including US Farms' market potential, growth initiatives, competitive edge, recent news, and milestones for which investors should watch.
To hear the interview in its entirety, visit http://www.wallst.net and click on "Interviews." The interview can be accessed by locating the company's ticker symbol under the appropriate exchange at the top of the "Interviews" section or by entering the company's ticker symbol in the Search Archive window.
About US Farms, Inc.
US Farms, Inc. is a diversified commercial Farming and Nursery company. The company grows, markets and distributes horticultural products through a number of wholly owned subsidiaries. The horticultural products are sold through supermarkets, home centers, retail merchandisers, garden centers, re-wholesalers, and landscapers throughout the United States and Canada. Through internal growth and strategic acquisitions the company is expanding its market share in its nursery and specialty produce businesses. Currently the company has subsidiaries which provide a full range of products including Aloe Vera, Cactus, Succulents, Jade, Rare and Exotic Palm Trees and Cycads along with Produce products that include Aloe Vera, Asparagus, Tomatoes and Garlic.
For more information on US Farms, Inc., please visit http://www.usfarmsinc.com. US Farms, Inc. is publicly traded on the over-the-counter market under the ticker symbol USFI or USFI.OB.
About WallSt.net:
www.wallst.net is owned and operated by WallStreet Direct, Inc., a wholly owned subsidiary of Financial Media Group, Inc. The Website is a leading provider of timely business news, executive interviews, multimedia content, and research tools. Financial Media Group, Inc. also owns http://www.mywallst.net, a financial social network for investors, Financial Filings Corp., a provider of compliance solutions to publicly traded companies, and WallStRadio, a business and finance podcast Website. For a complete list of our advertisers and advertising relationships, visit http://www.wallst.net/disclaimer/disclaimer.asp.
"Safe Harbor" statement under the Private Securities Litigation Reform Act of 1995: This press release contains forward-looking statements that are subject to risk and uncertainties, including, but not limited to, our inability to acquire and or build an ethanol production facility, the impact of competitive products, product demand, market acceptance risks, fluctuations in operating results, political risk and other risks detailed from time to time in US Farms, Inc.'s filings with the Securities and Exchange Commission. These risks could cause US Farms, Inc.'s actual results to differ materially from those expressed in any forward-looking statements made by, or on behalf of, US Farms, Inc.
Contact:
Contact:
US Farms, Inc.
Yan K. Skwara
President
Tel: 858-488-7775 ext 101
Fax: 858-488-2828
Pan American Relations-Investor Relations
Chuck Cibulka
619-664-4509
WallSt.net
800-4-WALL-ST
Exhibit 99.9
US Farms, Inc. Announces Third Quarter 2007 Financial Results
Monday November 19, 9:29 am ET
Third Quarter Reported Revenue of $2,726,294 and Nine Month Reported Revenue of $6,802,764
SAN DIEGO, CA--(MARKET WIRE)--Nov 19, 2007 -- US Farms, Inc. (OTC BB:USFI.OB - News), a diversified commercial Farming and Nursery company, today announced financial results for the third quarter ending September 30, 2007.
US Farms, Inc. posted revenue of $2,726,294 for the quarter ended September 30, 2007 versus $214,509 for the same period last year. This increase was due mainly the result of revenues generated through the California Produce Exchange business segment. California Produce Exchange distributes a variety of bulk vegetables and fruits to brokers, distributors, food converters and Retail and Wholesale grocery stores.
Gross profit for the quarter was $150,750, or 5.5% of revenues, with a net loss for the period of $1,284,670 or ($.03) loss per basic share. This compares to a gross profit of $20,084, or 9.2% of gross revenues, and a net loss of $1,249,706 or ($.12) loss per basic share, for the same period last year. The increase in the operating loss was due mainly to the costs associated with the startup of World Garlic & Spice, Inc. and US Ag Transportation, Inc., both wholly owned subsidiaries of US Farms, Inc., business development costs, and general and administrative expenses associated with the company's growth strategy.
Yan Skwara, President and Chief Executive Officer, US Farms, Inc., stated, "In the third quarter we achieved key milestones that position the Company for continued accelerating revenue growth for the remainder of fiscal year 2007 and well into 2008."
Third quarter business highlights include:
-- US Farms, Inc. appointed Iraj Shadfar, VP Sales & Marketing directing
operations of World Garlic & Spice, Inc. (WGS), a wholly owned subsidiary
of US Farms, Inc. WGS will be a major importer and distributor of garlic
through its Los Angeles facilities.
-- US Farms, Inc. formed and started operations of a wholly owned
subsidiary, US Ag Transportation, Inc., which received a US Department of
Transportation license and registration for Refrigerated Produce,
Agriculture and Food transportation nationwide.
-- The Company has successfully raised $3,923,049 year-to-date from
private investors as a result of a private placement of restricted common
stock and warrants.
US Farms, Inc. posted revenue of $6,802,764 for the nine months ended September 30, 2007 versus $214,509 for the nine months ended September 30, 2006. The Company refocused its business activities in the agricultural sector during the second and third quarter of 2006 and therefore our current operating results are not directly comparable to last year's results. The majority of the increase in revenues during the nine months ended September 30, 2007 was a result of California Produce Exchange's brokering sales of tomatoes, winter asparagus and garlic.
Sales Revenue by business segment for the nine months ended September 30, 2007:
-- California Produce Exchange had sales of $6,124,898. This subsidiary
grows and sells asparagus and sources and distributes fresh market tomatoes
and other bulk vegetables and fruits to brokers, distributors, food
converters and grocery stores.
-- American Aloe Vera Growers had sales of $542,099. This subsidiary
farms and sells domestically grown aloe vera potted plants, aloe vera boxed
produce and bulk aloe vera leaves to brokers, re-wholesalers and directly
to retailers.
-- American Nursery Exchange had sales of $127,046. This subsidiary grows
and sells palms, jade, cycads and other potted plants to grocery stores,
Garden centers, landscapers, home improvement centers and via the
Internet/mail order.
Gross profit for the nine months ended September 30, 2007 was $920,906, or 13.5% of revenues, with a net loss for the period of $3,981,069 or ($.13) loss per basic share. This compares to a gross profit of $20,084, or 9.2% of revenues, with a net loss of $2,777,615 or ($.30) loss per basic share for the same period last year. The increase in the operating loss was due mainly to the costs associated with the startup of Sammy's Produce, Inc., World Garlic & Spice, Inc. and US Ag Transportation, Inc., all wholly owned subsidiaries of US Farms, Inc.; business development costs and general and administrative expenses associated with the company's growth strategy.
Cash utilized from operations for the first nine months of 2007 was $3,489,504. The cash and marketable securities balance at September 30, 2007 was $284,403. Shareholders' Equity, at September 30, 2007, for the Company improved by $2,818,981 compared with December 31, 2006 due mainly due to capital raises.
Yan Skwara commented, "Through the first three quarters of 2007, achievements have been outstanding. Our growth initiatives, market penetration and expansion will continue. We thank our shareholders for their support and vow to continue to build shareholder value in the future."
About US Farms, Inc.
US Farms, Inc. is a diversified commercial Farming and Nursery company. The company grows, markets and distributes horticultural products through a number of wholly owned subsidiaries. The horticultural products are sold through supermarkets, home centers, retail merchandisers, garden centers, re-wholesalers, and landscapers throughout the United States and Canada. Through internal growth and strategic acquisitions the company is expanding its market share in its nursery and specialty produce businesses. Currently the company has subsidiaries which provide a full range of products including Aloe Vera, Cactus, Succulents, Jade, Rare and Exotic Palm Trees and Cycads along with Produce products that include Aloe Vera, Asparagus, Tomatoes and Garlic.
For more information on US Farms, Inc., please visit http://www.usfarmsinc.com. US Farms, Inc. is publicly traded on the over-the-counter market under the ticker symbol USFI.
Visit US Farms, Inc. Web site at www.usfarmsinc.com.
Safe Harbor
Forward-looking statement: Except for historical information, this press release contains forward-looking statements, which reflect the Company's current expectation regarding future events. These forward-looking statements involve risks and uncertainties, which may cause actual results to differ materially from those statements. Those risks and uncertainties include, but are not limited to, changing market conditions and other risks detailed from time to time in the Company's ongoing quarterly filings, annual information form, and annual reports. We undertake no obligation to publicly update or revise any forward-looking statements, whether as a result of new information, future events or otherwise. In light of these risks, uncertainties and assumptions, the forward-looking events in this press release might not occur.
Contact:
Contact:
US Farms, Inc.
Yan K. Skwara
President
Tel: 858-488-7775 Ext 101 or 800-845-9133
Fax: 858-488-2828
Investor Relations
Chuck Cibulka
619-664-4509
EXHIBIT 99.10
















