October 9, 2025

 

VIA EDGAR

 

Securities and Exchange Commission

100 F Street, N.E.

Washington, D.C. 20549

 

Re: Rule 17g-1 Fidelity Bond Filing for Ares Capital Corporation

 

Dear Sir or Madam:

 

Enclosed for filing, on behalf of Ares Capital Corporation (the “Corporation”), pursuant to Rule 17g-1(g) of the Investment Company Act of 1940, as amended, please find the following:

 

(i) a copy of the executed fidelity bond for the Corporation (the “Fidelity Bond”); and

 

(ii) a Certificate of Secretary containing the resolutions of the Board of Directors of the Corporation approving the amount, type, form and coverage of the Fidelity Bond and a statement as to the period for which premiums have been paid.

 

  Very truly yours,
   
  ARES CAPITAL CORPORATION
   
  /s/ Ian Fitzgerald
   
  Ian Fitzgerald
  Authorized Signatory
   
Enclosures  

 

 

 

 

CERTIFICATE OF SECRETARY

 

The undersigned, Ian Fitzgerald, Vice President, General Counsel and Secretary of Ares Capital Corporation, a Maryland corporation (the “Corporation”), does hereby certify that:

 

1. This certificate is being delivered to the Securities and Exchange Commission (the “SEC”) in connection with the filing of the Corporation’s fidelity bond (the “Fidelity Bond”) pursuant to Rule 17g-1 of the Investment Company Act of 1940, as amended (the “1940 Act”), and the SEC is entitled to rely on this certificate for purposes of the filing.

 

2. The undersigned is the duly elected, qualified and acting Vice President, General Counsel and Secretary of the Corporation, has custody of the corporate records of the Corporation and is a proper officer to make this certification.

 

3. Attached hereto as Exhibit A is a copy of the resolutions approved by a majority of the members of the Board of the Directors of the Corporation who are not “interested persons” of the Corporation within the meaning of Section 2(a)(19) of the 1940 Act, approving the amount, type, form and coverage of the Fidelity Bond.

 

4. Premiums have been paid for the period September 20, 2025 to September 20, 2026.

 

IN WITNESS WHEREOF, the undersigned has caused this certificate to be executed this 9th day of October, 2025.

 

  /s/ Ian Fitzgerald
  Ian Fitzgerald
  Vice President, General Counsel and Secretary

 

 

 

 

EXHIBIT A

 

Approval of Insurance and Fidelity Bond

 

WHEREAS, the board of directors (the “Board”) of Ares Capital Corporation (the “Corporation”) has been provided with, and has had the opportunity to ask questions with respect to, a presentation entitled “Ares Capital Corporation – FI Bond Insurance Renewal Proposal,” dated September 12, 2025, previously provided to the Board in connection with this meeting, summarizing the proposed renewal of the Corporation’s insured fidelity bond (the “Fidelity Bond”);

 

WHEREAS, in accordance with the Corporation’s Fidelity Bond Coverage Policy (the “Coverage Policy”), the Corporation’s Chief Financial Officer has recommended certain levels of fidelity bond coverage to satisfy Rule 17g-1 of the Investment Company Act of 1940, as amended (the “1940 Act”); and

 

WHEREAS, Board approval is being sought in accordance with the Coverage Policy.

 

NOW, THEREFORE, BE IT RESOLVED, by the Board, and separately by a majority of the directors who are not “interested persons” of the Corporation within the meaning of the 1940 Act, that the Corporation shall be named as an insured under the Fidelity Bond having an aggregate coverage of at least $50,000,000 issued by reputable insurance companies, against larceny and embezzlement and such other types of losses as are included in standard fidelity bonds, covering the officers of the Corporation (collectively, the “Officers,” and each an “Officer”) from time to time, and containing such provisions as may be required by the rules promulgated under the 1940 Act;

 

RESOLVED FURTHER, that the proposed form and amount of the Fidelity Bond be, and the same hereby are, approved by the Board, and separately, a majority of the directors who are not “interested persons” of the Corporation within the meaning of the 1940 Act, based on factors including, but not limited to, the amount of the Fidelity Bond, the expected value of the aggregate assets of the Corporation to which any person covered under the Fidelity Bond may have access, the estimated amount of the premium for the Fidelity Bond, the type and terms of the arrangements made for the custody and safekeeping of the Corporation’s assets and the nature of the securities in the Corporation’s portfolio;

 

RESOLVED FURTHER, that the Officers be, and each of them hereby is, authorized to obtain the Fidelity Bond and direct the Corporation to pay the premium therefor;

 

RESOLVED FURTHER, that the Secretary of the Corporation be, and hereby is, designated as the party responsible for making the necessary filings and giving the notices with respect to the Fidelity Bond required by paragraph (g) of Rule 17g-1 under the 1940 Act; and

 

RESOLVED FURTHER, that the Officers be, and each of them hereby is, authorized, empowered and directed, in the name and on behalf of the Corporation, to prepare and execute any further agreements and documents and take any actions that such Officer determines to be necessary, advisable or appropriate to effect the foregoing resolutions, any such determination to be conclusively evidenced by the taking of any such action.

 

 

 

 

GRAPHIC

FINANCIAL INSTITUTION BOND STATE FRAUD STATEMENT NEW YORK Any person who knowingly and with intent to defraud any insurance company or other person files an application for insurance or statement of claim containing any materially false information, or conceals for the purpose of misleading, information concerning any fact material thereto, commits a fraudulent insurance act, which is a crime, and shall also be subject to a civil penalty not to exceed five thousand dollars and the stated value of the claim for each such violation. AXIS 104 0415 Page 1 of 1

GRAPHIC

FINANCIAL INSTITUTION BOND POLICYHOLDER NOTICE ECONOMIC AND TRADE SANCTIONS This Notice provides information concerning possible impact on your insurance coverage due to directives issued by the Office of Foreign Assets Control (OFAC). THE OFFICE OF FOREIGN ASSETS CONTROL ("OFAC") OF THE US DEPARTMENT OF THE TREASURY ADMINISTERS AND ENFORCES ECONOMIC AND TRADE SANCTIONS BASED ON US FOREIGN POLICY AND NATIONAL SECURITY GOALS AGAINST TARGETED FOREIGN COUNTRIES AND REGIMES, TERRORISTS, INTERNATIONAL NARCOTICS TRAFFICKERS, THOSE ENGAGED IN ACTIVITIES RELATED TO THE PROLIFERATION OF WEAPONS OF MASS DESTRUCTION, AND OTHER THREATS TO THE NATIONAL SECURITY, FOREIGN POLICY OR ECONOMY OF THE UNITED STATES. WHENEVER COVERAGE PROVIDED BY THIS POLICY WOULD BE IN VIOLATION OF ANY U.S. ECONOMIC OR TRADE SANCTIONS, SUCH COVERAGE SHALL BE NULL AND VOID. FOR MORE INFORMATION, PLEASE REFER TO: HTTPS://WWW.TREASURY.GOV/RESOURCE-CENTER/SANCTIONS/PAGES/DEFAULT.ASPX AXIS 906 0316 Page 1 of 1

GRAPHIC

NOTICE: THESE POLICY FORMS AND THE APPLICABLE RATES ARE EXEMPT FROM THE FILING REQUIREMENTS OF THE NEW YORK STATE INSURANCE DEPARTMENT. HOWEVER, SUCH FORMS AND RATES MUST MEET THE MINIMUM STANDARDS OF THE NEW YORK INSURANCE LAW AND REGULATIONS. FINANCIAL INSTITUTION BOND Standard Form No. 14, Revised to October, 1987 Bond No. P-001-000182577-06 AXIS Insurance Company (admitted) 233 South Wacker Drive, Suite 4930, Chicago, IL 60606 (866) 259-5435 A Stock Insurer (Herein called Underwriter) DECLARATIONS Item 1. Name of Insured (herein called Insured): Ares Capital Corporation Principal Address: 245 Park Avenue 44th Floor New York, NY 10167 Item 2. Bond Period: from 12:01 a.m. on 09/20/2025 to 12:01 a.m. on 09/20/2026 (MONTH, DAY, YEAR) (MONTH, DAY, YEAR) Item 3. The Aggregate Limit of Liability of the Underwriter during the Bond Period shall be N/A Item 4. Subject to Sections 4 and 11 hereof, the Single Loss Limit of Liability is $10,000,000 and the Single Loss Deductible is $100,000 Provided, however, that if any amounts are inserted below opposite specified Insuring Agreements or Coverages, those amounts shall be controlling. Any amount set forth below shall be part of and not in addition to amounts set forth above. (If an Insuring Agreement or Coverage is to be deleted, insert “Not Covered.”) Amount applicable to: Single Loss Single Loss Limit of Liability Deductible Insuring Agreement (A) – FIDELITY $10,000,000 $100,000 Insuring Agreement (B) – ON PREMISES $10,000,000 $100,000 Insuring Agreement (C) – IN TRANSIT $10,000,000 $100,000 Insuring Agreement (D)—FORGERY OR ALTERATION $10,000,000 $100,000 Insuring Agreement (E)—SECURITIES $10,000,000 $100,000 Insuring Agreement (F) – COUNTERFEIT CURRENCY $10,000,000 $100,000 Coverage on Partners Not Covered Optional Insuring Agreements and Coverages: Audit Expense $50,000 $10,000 Claim Expense $50,000 $10,000 Computer Systems Fraud $10,000,000 $100,000 Customer Funds Transfer Fraud $10,000,000 $100,000 Unauthorized Signatures $5,000,000 $100,000 Uncollectible Items of Deposit $250,000 $50,000 Class Code: 2-14057 TSB 5062b 1087 Copyright, The Surety Association of America, 1987 Page 1 of 7

GRAPHIC

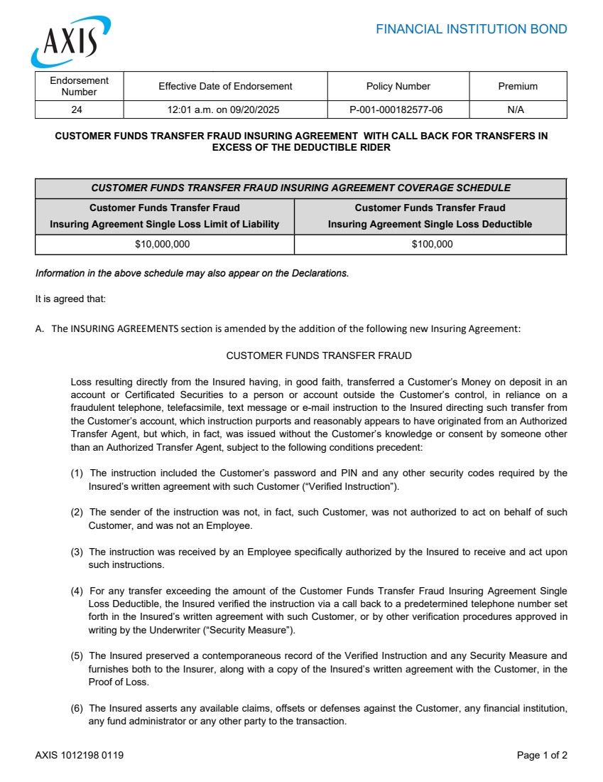
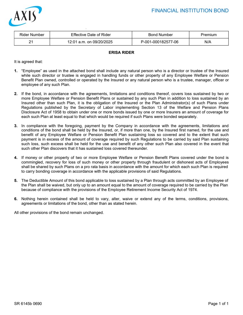
Aggregate Limit of Liability Social Engineering Fraud $500,000 $500,000 $100,000 If “Not Covered” is inserted above opposite any specified Insuring Agreement or Coverage, such Insuring Agreement or Coverage and any other reference thereto in this bond shall be deemed to be deleted therefrom. Item 5. The liability of the Underwriter is subject to the terms of the following riders attached hereto. All of the terms and conditions of this bond apply to such riders except to the extent the rider explicitly provides otherwise. State Fraud Statement AXIS 104 0415 Policyholder Notice - Economic And Trade Sanctions AXIS 906 0316 Financial Institution Bond (Standard Form No. 14) Signature Page 1 2 3 4 5 6 7 8 9 10 11 12 13 Amend Named Insured Rider Audit Expense Insuring Agreement Rider Claim Expense Insuring Agreement Rider Amend Racketeering Exclusion Rider Amend Notice Percentage of Deductible Threshold Rider Amend Representation of Insured Rider Amend Valuation Rider Amend Counterfeit Currency or Money Insuring Agreement Rider Governmental or Regulatory Authority Notification Rider Unauthorized Signatures Insuring Agreement Rider Amend Knowledge of Insured Rider Protected Information Exclusion Rider Notice of Loss by E-Mail Rider TSB 5062b 1087 AXIS 102AIC 0615 AXIS 1012152 0119 AXIS 1012153 0119 AXIS 1012155 0119 AXIS 1012161 0119 AXIS 1012166 0119 AXIS 1012169 0119 AXIS 1012170 0119 AXIS 1012171 0119 AXIS 1012175 0119 AXIS 1012176 0622 AXIS 1012178 0119 AXIS 1012180 0119 AXIS 1012189 0119 AXIS 1012199 0119 AXIS 1012202 0722 AXIS 1012214 0119 AXIS 1012225 0221 AXIS 1012253 0119 AXIS 1012861 0221 AXIS 1012869 0421 SR 6145b 0690 SR 6180d 0709 Amend Ownership or Covered Property Condition Rider Uncollectible Items of Deposit Insuring Agreement Rider Investment Company No Deductible Rider Social Engineering Fraud Insuring Agreement Rider New York Statutory Rider Computer Systems Fraud Insuring Agreement Rider Amend Exclusion (M) Rider ERISA Rider New York Statutory Rider Cryptocurrency Exclusion Rider 14 15 16 17 18 19 20 21 22 23 24 SR 6343 0321 AXIS 1012198 0119 CUSTOMER FUNDS TRANSFER FRAUD INSURING AGREEMENT WITH CALL BACK FOR TRANSFERS IN EXCESS OF THE DEDUCTIBLE RIDER 25 AXIS 1012870 0521 AMEND DEFINITION OF PROPERTY RIDER (DOES NOT INCLUDE NON-FUNGIBLE TOKENS) 26 ARES CAPITAL CORPORATION AMEND DEFINITION OF MANU 1015596 0925 EMPLOYEE RIDER Class Code: 2-14057 TSB 5062b 1087 Copyright, The Surety Association of America, 1987 Page 2 of 7

GRAPHIC

The Underwriter, in consideration of an agreed premium, and in reliance upon all statements made and information furnished to the Underwriter by the Insured in applying for this bond, and subject to the Declarations, Insuring Agreements, General Agreements, Conditions and Limitations and other terms hereof, agrees to indemnify the Insured for: INSURING AGREEMENTS FIDELITY (iii) Negotiable Instruments not payable to bearer, or not endorsed, or with restrictive endorsements. (A) Loss resulting directly from dishonest or fraudulent acts committed Coverage under this Insuring Agreement begins immediately upon the by an Employee acting alone or in collusion with others. receipt of such Property by the natural person or Transportation Company Such dishonest or fraudulent acts must be committed by the Employee and ends immediately upon delivery to the designated recipient or its agent. with the manifest intent: (a) to cause the Insured to sustain such loss; and FORGERY OR ALTERATION (b) to obtain financial benefit for the Employee and which, in fact, result (D) Loss resulting directly from in obtaining such benefit. (1) Forgery or alteration of, on or in any Negotiable Instrument As used in this Insuring Agreement, financial benefit does not include (except an Evidence of Debt), Acceptance, Withdrawal Order, receipt for the any employee benefits earned in the normal course of employment, including withdrawal of Property, Certificate of Deposit or Letter of Credit. salaries, commissions, fees, bonuses, promotions, awards, profit sharing or (2) transferring, paying or delivering any funds or Property or pensions. establishing any credit or giving any value on the faith of any written ON PREMISES instructions or advices directed to the Insured and authorizing or acknowledging the transfer, payment, delivery or receipt of funds or Property, (B) (1) Loss of Property resulting directly from which instructions or advices purport to have been signed or endorsed by any (a) robbery, burglary, misplacement, mysterious customer of the Insured or by any financial institution but which instructions or unexplainable disappearance and damage thereto or advices either bear a signature which is a Forgery or have been altered destruction thereof, or without the knowledge and consent of such customer or financial institution. (b) theft, false pretenses, common-law or statutory larceny, A mechanically reproduced facsimile signature is treated the same as a committed by a person present in an office or on the handwritten signature. premises of the Insured, SECURITIES while the Property is lodged or deposited within offices or premises located anywhere. (E) Loss resulting directly from the insured having, in good faith, for its (2) Loss of or damage to own account or for the account of others (a) furnishings, fixtures, supplies or equipment within an (1) acquired, sold or delivered, or given value, extended credit or office of the Insured covered under this bond resulting assumed liability, on the faith of, any original directly from larceny or theft in, or by burglary or robbery (a) Certificated Security, of, such office, or attempt thereat, or by vandalism or (b) deed, mortgage or other instrument conveying title to, or malicious mischief, or creating or discharging a lien upon, real property, (b) such office resulting from larceny or theft in, or by (c) Evidence of Debt, burglary or robbery of such office or attempt thereat, or to (d) Instruction to a Federal Reserve Bank of the United the interior of such office by vandalism or malicious States, or mischief. (e) Statement of Uncertificated Security of any Federal provided that Reserve Bank of the United States (i) the Insured is the owner of such furnishings, which fixtures, supplies, equipment, or office or is liable for (i) bears a signature of any maker, drawer, issuer, such loss or damage, and endorser, assignor, lessee, transfer agent, registrar, (ii) the loss is not caused by fire. acceptor, surety, guarantor, or of any person signing in any other capacity which is a Forgery, or IN TRANSIT (ii) is altered, or (C) Loss of Property resulting directly from robbery, common-law or (iii) is lost or stolen; statutory larceny, theft, misplacement, mysterious unexplainable (2) guaranteed in writing or witnessed any signature upon any disappearance, being lost or made away with, and damage thereto or transfer, assignment, bill of sale, power of attorney, Guarantee, or any items destruction thereof, while the Property is in transit anywhere in the custody of listed in (a) through (c) above. (a) a natural person acting as a messenger of the Insured (or another (3) acquired, sold or delivered, or given value, extended credit or natural person acting as messenger or custodian during an assumed liability, on the faith of any item listed in (a) and (b) above which is a emergency arising from the incapacity of the original messenger), Counterfeit. or A mechanically reproduced facsimile signature is treated the same as a (b) a Transportation Company and being transported in an armored handwritten signature. motor vehicle, or (c) a Transportation Company and being transported in a conveyance COUNTERFEIT CURRENCY other than an armored motor vehicle provided that covered Property transported in such manner is limited to the following: (F) Loss resulting directly from the receipt by the Insured, in good faith, (i) records, whether recorded in writing or electronically, and of any Counterfeit Money of the United States of America, Canada or of any (ii) Certified Securities issued in registered form and not other country in which the Insured maintains a branch office. endorsed, or with restrictive endorsements, and GENERAL AGREEMENTS NOMINEES If the Insured shall, while this bond is in force, consolidate or merge with, or purchase or acquire assets or liabilities of, another institution, the Insured A. Loss sustained by any nominee organized by the Insured for the shall not have such coverage as is afforded under this bond for loss which purpose of handling certain of its business transactions and composed exclusively of its Employees shall, for all the purposes of this bond and (a) has occurred or will occur in offices or premises, or whether or not any partner of such nominee is implicated in such loss, be (b) has been caused or will be caused by an employee or employees deemed to be loss sustained by the Insured. of such institution, or (c) has arisen or will arise out of the assets or liabilities ADDITIONAL OFFICES OR EMPLOYEES—CONSOLIDATION, MERGER OR PURCHASE OF ASSETS— acquired by the Insured as a result of such consolidation, merger or NOTICE purchase or acquisition of assets or liabilities unless the Insured shall B. If the Insured shall, while this bond is in force, establish any (i) give the Underwriter written notice of the proposed additional offices, other than by consolidation or merger with, or purchase or consolidation, merger or purchase or acquisition of assets or acquisition of assets or liabilities of, another institution such offices shall be liabilities prior to the proposed effective date of such action automatically covered hereunder from the date of such establishment without and the requirement of notice to the Underwriter or the payment of additional (ii) obtain the written consent of the Underwriter to extend the premium for the remainder of the premium period. coverage provided by this bond to such additional offices or premises, Employees and other exposures, and Class Code: 2-14057 TSB 5062b 1087 Copyright, The Surety Association of America, 1987 Page 3 of 7

GRAPHIC

(iii) upon obtaining such consent, pay to the Underwriter an NOTICE OF LEGAL PROCEEDINGS AGAINST INSURED—ELECTION TO additional premium. DEFEND CHANGE OF CONTROL—NOTICE F. The Insured shall notify the Underwriter at the earliest practicable moment, not to exceed 30 days after notice thereof, of any legal proceeding C. When the Insured learns of a change in control, it shall give written brought to determine the Insured’s liability for any loss, claim or damage, notice to the Underwriter. which, if established, would constitute a collectible loss under this bond. As used in this General Agreement, control means the power to Concurrently, the Insured shall furnish copies of all pleadings and pertinent determine the management or policy of a controlling holding company or the papers to the Underwriter. Insured by virtue of voting stock ownership. A change in ownership of voting The Underwriter, at its sole option, may elect to conduct the defense of stock which results in direct or indirect ownership by a stockholder or an such legal proceeding, in whole or in part. The defense by the Underwriter affiliated group of stockholders of ten percent (10%) or more of such stock shall be in the Insured’s name through attorneys selected by the Underwriter. shall be presumed to result in a change of control for the purpose of the The Insured shall provide all reasonable information and assistance required required notice. by the Underwriter for such defense. Failure to give the required notice shall result in termination of coverage If the Underwriter elects to defend the Insured, in whole or in part, any for any loss involving a transferee, to be effective upon the date of the stock judgment against the Insured on those counts or causes of action which the transfer. Underwriter defended on behalf of the Insured or any settlement in which the REPRESENTATION OF INSURED Underwriter participates and all attorneys’ fees, costs and expenses incurred D. The Insured represents that the information furnished in the by the Underwriter in the defense of the litigation shall be a loss covered by application for this bond is complete, true and correct. Such application this bond. constitutes part of this bond. If the Insured does not give the notices required in subsection (a) of Any misrepresentation, omission, concealment or incorrect statement of Section 5 of this bond and in the first paragraph of this General Agreement, or a material fact, in the application or otherwise, shall be grounds for the if the Underwriter elects not to defend any causes of action, neither a rescission of this bond. judgment against the Insured, nor a settlement of any legal proceeding by the JOINT INSURED Insured, shall determine the existence, extent or amount of coverage under E. If two or more Insureds are covered under this bond, the first this bond for loss sustained by the Insured, and the Underwriter shall not be named Insured shall act for all Insureds. Payment by the Underwriter to the liable for any attorneys’ fees, costs and expenses incurred by the Insured. first named Insured of loss sustained by any Insured shall fully release the With respect to this General Agreement, subsections (b) and (d) of Underwriter on account of such loss. If the first named Insured ceases to be Section 5 of this bond apply upon the entry of such judgment or the covered under this bond, the Insured next named shall thereafter be occurrence of such settlement instead of upon discovery of loss. In addition, considered as the first named Insured. Knowledge possessed or discovery the Insured must notify the Underwriter within 30 days after such judgment is made by any Insured shall constitute knowledge or discovery by all Insureds entered against it or after the Insured settles such legal proceeding, and, for all purposes of this bond. The liability of the Underwriter for loss or losses subject to subsection (e) of Section 5, the Insured may not bring legal sustained by all Insureds shall not exceed the amount for which the proceedings for the recovery of such loss after the expiration of 24 months Underwriter would have been liable had all such loss or losses been from the date of such final judgment or settlement. sustained by one Insured. CONDITIONS AND LIMITATIONS DEFINITIONS purposes of this bond, excepting, however, the second paragraph of Section 12. A Federal Reserve Bank or clearing Section 1. As used in this bond: house shall not be construed to be a processor.); and (a) Acceptance means a draft which the drawee has, by signature written thereon, engaged to honor as presented. (6) a Partner of the Insured, unless not covered as stated in Item 4 of the Declarations. (b) Certificate of Deposit means an acknowledgment in writing by a (f) Evidence of Debt means an instrument, including a Negotiable financial institution of receipt of Money with an engagement to repay it. Instrument, executed by a customer of the Insured and held by the Insured (c) Certificated Security means a share, participation or other interest which in the regular course of business is treated as evidencing the in property of or an enterprise of the issuer or an obligation of the issuer, customer’s debt to the Insured. which is: (g) Financial Interest in the Insured of the Insured’s general partner(s), or (1) represented by an instrument issued in bearer or registered limited partner(s), committing dishonest or fraudulent acts covered by this bond or form; concerned or implicated therein means: (2) of a type commonly dealt in on securities exchanges or markets or (1) as respects general partner(s) the value of all right, title and commonly recognized in any area in which it is issued or dealt in as interest of such general partner(s), determined as of the close a medium for investment; and of business on the date of discovery of loss covered by this (3) either one of a class or series or by its terms divisible into a bond, in the aggregate of: class or series of shares, participations, interests or (a) the “net worth” of the Insured, which for the purposes of obligations. this bond, shall be deemed to be the excess of its total (d) Counterfeit means an imitation of an actual valid original which is assets over its total liabilities, without adjustment to give intended to deceive and to be taken as the original. effect to loss covered by this bond, (except that credit (e) Employee means balances and equities in proprietary accounts of the (1) a natural person in the service of the Insured at any of the Insured, which shall include capital accounts of partners, Insured’s offices or premises covered hereunder whom the investment and trading accounts of the Insured, Insured compensates directly by salary or commissions and participations of the Insured in joint accounts, and whom the Insured has the right to direct and control while accounts of partners which are covered by agreements performing services for the Insured; providing for the inclusion of equities therein as (2) an attorney retained by the Insured and an employee of such partnership property, shall not be considered as liabilities) attorney while either is performing legal services for the with securities, spot commodities, commodity future Insured; contracts in such proprietary accounts and all other (3) a person provided by an employment contractor to perform assets marked to market or fair value and with employee duties for the Insured under the Insured’s adjustment for profits and losses at the market of supervision at any of the Insured’s offices or premises covered contractual commitments for such proprietary accounts of hereunder, and a guest student pursuing studies or duties in the Insured; and any of said offices or premises; (b) the value of all other Money, securities and property (4) an employee of an institution merged or consolidated with the belonging to such general partner(s), or in which such Insured prior to the effective date of this bond; general partner(s) have a pecuniary interest, held by or in (5) each natural person, partnership or corporation authorized by the custody of and legally available to the Insured as set- the Insured to perform services as data processor of checks or off against loss covered by this bond; other accounting records of the Insured (not including provided, however, that if such “net worth” adjusted to give preparation or modification of computer software or programs), effect to loss covered by this bond and such value of all other herein called Processor. (Each such Processor, and the Money, securities and property as set forth in (g)(1)(b) partners, officers and employees of such Processor shall, preceding, plus the amount of coverage afforded by this bond collectively, be deemed to be one Employee for all the on account of such loss, is not sufficient to enable the Insured Class Code: 2-14057 TSB 5062b 1087 Copyright, The Surety Association of America, 1987 Page 4 of 7

GRAPHIC

to meet its obligations, including its obligations to its partners (3) either one of a class or series or by its terms divisible into a other than to such general partner(s), then the Financial class or series of shares, participations, interests or Interest in the Insured, as above defined, of such general obligations. partner(s) shall be reduced in an amount necessary, or (s) Withdrawal Order means a non-negotiable instrument, other than eliminated if need be, in order to enable the Insured upon an Instruction, signed by a customer of the Insured authorizing the Insured to payment of loss under this bond to meet such obligations, to debit the customer’s account in the amount of funds stated therein. the extent that such payment will enable the Insured to meet EXCLUSIONS such obligations, without any benefit accruing to such general Section 2. This bond does not cover: partner(s) from such payment; and (a) loss resulting directly or indirectly from forgery or alteration, except (2) as respects limited partners the value of such limited when covered under Insuring Agreements (A), (D), or (E); partner’s(’) investment in the Insured. (b) loss due to riot or civil commotion outside the United States of (h) Forgery means the signing of the name of another person or America and Canada; or loss due to military, naval or usurped power, war or organization with intent to deceive; it does not mean a signature which insurrection unless such loss occurs in transit in the circumstances recited in consists in whole or in part of one’s own name signed with or without Insuring Agreement (C), and unless, when such transit was initiated, there authority, in any capacity, for any purpose. was no knowledge of such riot, civil commotion, military, naval or usurped (i) Guarantee means a written undertaking obligating the signer to pay power, war or insurrection on the part of any person acting for the Insured in the debt of another to the Insured or its assignee or to a financial institution initiating such transit; from which the Insured has purchased participation in the debt, if the debt is (c) loss resulting directly or indirectly from the effects of nuclear fission not paid in accordance with its terms. or fusion or radioactivity; provided, however, that this paragraph shall not (j) Instruction means a written order to the issuer of an Uncertificated Security apply to loss resulting from industrial uses of nuclear energy; requesting that the transfer, pledge, or release from pledge of the Uncertificated Security specified be registered. (d) loss resulting from any act or acts of any person who is a member of the Board of Directors of the Insured or a member of any equivalent body (k) Letter of Credit means an engagement in writing by a bank or other by whatsoever name known unless such person is also an Employee or an person made at the request of a customer that the bank or other person will elected official of the Insured in some other capacity, nor, in any event, loss honor drafts or other demands for payment upon compliance with the resulting from the act or acts of any person while acting in the capacity of a conditions specified in the Letter of Credit. member of such Board or equivalent body; (l) Money means a medium of exchange in current use authorized or (e) loss resulting directly or indirectly from the complete or partial adopted by a domestic or foreign government as a part of its currency. nonpayment of, or default upon, any loan or transaction involving the Insured (m) Negotiable Instrument means any writing as a lender or borrower, or extension of credit, including the purchase, (1) signed by the maker or drawer; and discounting or other acquisition of false or genuine accounts, invoices, notes, (2) containing any unconditional promise or order to pay a sum agreements or Evidences of Debt, whether such loan, transaction or certain in Money and no other promise, order, obligation or extension was procured in good faith or through trick, artifice, fraud or false power given by the maker or drawer; and pretenses, except when covered under Insuring Agreements (A), (D) or (E); (3) is payable on demand or at a definite time; and (f) loss resulting from any violation by the Insured or by any Employee (4) is payable to order or bearer. (1) of law regulating (i) the issuance, purchase or sale of (n) Partner means a natural person who securities, (ii) securities transactions upon security exchanges (1) is a general partner of the Insured, or or over the counter market, (iii) investment companies, or (iv) (2) is a limited partner and an Employee (as defined in Section investment advisers, or 1(e)(1) of the bond) of the Insured. (2) of any rule or regulation made pursuant to any such law, (o) Property means Money, Certificated Securities, Uncertificated Securities unless it is established by the Insured that the act or acts which caused the of any Federal Reserve Bank of the United States, Negotiable said loss involved fraudulent or dishonest conduct which would have caused Instruments, Certificates of Deposit, documents of title, Acceptances, Evidences a loss to the Insured in a similar amount in the absence of such laws, rules or of Debt, security agreements, Withdrawal Orders, certificates of regulations; origin or title, Letters of Credit, insurance policies, abstracts of title, deeds and mortgages (g) loss resulting directly or indirectly from the failure of a financial or on real estate, revenue and other stamps, tokens, unsold state depository institution, or its receiver or liquidator, to pay or deliver, on demand lottery tickets, books of account and other records whether recorded in writing of the Insured, funds or Property of the Insured held by it in any capacity, or electronically, gems, jewelry, precious metals of all kinds and in any form, except when covered under Insuring Agreements (A) or (B)(1)(a); and tangible items of personal property which are not herein before (h) loss caused by an Employee, except when covered under Insuring enumerated. Agreement (A) or when covered under Insuring Agreement (B) or (C) and (p) Statement of Uncertificated Security means a written statement of the resulting directly from misplacement, mysterious unexplainable issuer of an Uncertificated Security containing: disappearance or destruction of or damage to Property; (1) a description of the Issue of which the Uncertificated Security (i) loss resulting directly or indirectly from transactions in a customer’s is a part; account, whether authorized or unauthorized, except the unlawful withdrawal (2) the number of shares or units: and conversion of Money, securities or precious metals, directly from a (a) transferred to the registered owner; customer’s account by an Employee provided such unlawful withdrawal and (b) pledged by the registered owner to the registered conversion is covered under Insuring Agreement (A); pledgee; (j) damages resulting from any civil, criminal or other legal proceeding (c) released from pledge by the registered pledgee; in which the Insured is alleged to have engaged in racketeering activity (d) registered in the name of the registered owner on the except when the Insured establishes that the act or acts giving rise to such date of the statement; or damages were committed by an Employee under circumstances which result (e) subject to pledge on the date of the statement; directly in a loss to the Insured covered by Insuring Agreement (A). For the (3) the name and address of the registered owner and registered purposes of this exclusion, “racketeering activity” is defined in 18 United pledgee; States Code 1961 et seq., as amended; (4) a notation of any liens and restrictions of the issuer and any (k) loss resulting directly or indirectly from the use or purported use of adverse claims to which the Uncertificated Security is or may credit, debit, charge, access, convenience, identification, cash management be subject or a statement that there are none of those liens, or other cards restrictions or adverse claims; and (1) in obtaining credit or funds, or (5) the date: (2) in gaining access to automated mechanical devices which, on (a) the transfer of the shares or units to the new registered behalf of the Insured, disburse Money, accept deposits, cash owner of the shares or units was registered; checks, drafts or similar written instruments or make credit (b) the pledge of the registered pledgee was registered, or card loans, or (c) of the statement, if it is a periodic or annual statement. (3) in gaining access to point of sale terminals, customer-bank (q) Transportation Company means any organization which provides its communication terminals, or similar electronic terminals of own or leased vehicles for transportation or which provides freight forwarding or air electronic funds transfer systems, express services. whether such cards were issued, or purport to have been issued, by the (r) Uncertificated Security means a share, participation or other interest in Insured or by anyone other than the Insured, except when covered under property of or an enterprise of the issuer or an obligation of the issuer, which is: Insuring Agreement (A); (1) not represented by an instrument and the transfer of which is (l) loss involving automated mechanical devices which, on behalf of the registered upon books maintained for that purpose by or on Insured, disburse Money, accept deposits, cash checks, drafts or similar written behalf of the issuer; instruments or make credit card loans, except when covered under Insuring (2) of a type commonly dealt in on securities exchanges or markets; and Agreement (A); Class Code: 2-14057 TSB 5062b 1087 Copyright, The Surety Association of America, 1987 Page 5 of 7

GRAPHIC

(m) loss through the surrender of Property away from an office of the (a) The Underwriter shall have no further liability for loss or losses Insured as a result of a threat regardless of when discovered and whether or not previously (1) to do bodily harm to any person, except loss of Property in reported to the Underwriter, and transit in the custody of any person acting as messenger (b) The Underwriter shall have no obligation under General Agreement provided that when such transit was initiated there was no F to continue the defense of the Insured, and upon notice by the knowledge by the Insured of any such threat, or Underwriter to the Insured that the Aggregate Limit of Liability has (2) to do damage to the premises or property of the Insured, been exhausted, the Insured shall assume all responsibility for its except when covered under Insuring Agreement (A); defense at its own cost. (n) loss resulting directly or indirectly from payments made or The Aggregate Limit of Liability shall not be increased or reinstated by withdrawals from a depositor’s or customer’s account involving erroneous any recovery made and applied in accordance with subsections (a), (b) and credits to such account, unless such payments or withdrawals are physically (c) of Section 7. In the event that a loss of Property is settled by the received by such depositor or customer or representative of such depositor or Underwriter through the use of a lost instrument bond, such loss shall not customer who is within the office of the Insured at the time of such payment reduce the Aggregate Limit of Liability. or withdrawal, or except when covered under Insuring Agreement (A); Single Loss Limit of Liability (o) loss involving items of deposit which are not finally paid for any Subject to the Aggregate Limit of Liability, the Underwriter’s liability for reason, including but not limited to Forgery or any other fraud, except when each Single Loss shall not exceed the applicable Single Loss Limit of Liability covered under Insuring Agreement (A); shown in Item 4 of the Declarations. If a Single Loss is covered under more (p) loss resulting directly or indirectly from counterfeiting, except when than one Insuring Agreement or Coverage, the maximum payable shall not covered under Insuring Agreements (A), (E) or (F); exceed the largest applicable Single Loss Limit of Liability. (q) loss of any tangible item of personal property which is not specifically enumerated in the paragraph defining Property if such property is Single Loss Defined specifically insured by other insurance of any kind and in any amount Single Loss means all covered loss, including court costs and attorneys’ obtained by the Insured, and in any event, loss of such property occurring fees incurred by the Underwriter under General Agreement F, resulting from more than 60 days after the Insured takes possession of such property, (a) any one act or series of related acts of burglary, robbery or attempt except when covered under Insuring Agreements (A) or (B)(2); thereat, in which no Employee is implicated, or (r) loss of Property while (b) any one act or series of related unintentional or negligent acts or (1) in the mail, or omissions on the part of any person (whether an Employee or not) (2) in the custody of any Transportation Company, unless covered resulting in damage to or destruction or misplacement of Property, under Insuring Agreement (C), or except when covered under Insuring Agreement (A); (c) all acts or omissions other than those specified in (a) and (b) (s) potential income, including but not limited to interest and dividends, preceding, caused by any person (whether an Employee or not) or not realized by the Insured or by any customer of the Insured; in which such person is implicated, or (t) damages of any type for which the Insured is legally liable, except (d) any one casualty or event not specified in (a), (b) or (c) preceding. compensatory damages, but not multiples thereof, arising directly from a loss covered under this bond; NOTICE/PROOF—LEGAL PROCEEDINGS (u) all fees, costs and expenses incurred by the Insured AGAINST UNDERWRITER (1) in establishing the existence of or amount of loss covered Section 5. under this bond, or (a) At the earliest practicable moment, not to exceed 30 days, after (2) as a party to any legal proceeding whether or not such legal discovery of loss, the Insured shall give the Underwriter notice thereof. proceeding exposes the Insured to loss covered by this bond; (b) Within 6 months after such discovery, the Insured shall furnish to (v) indirect or consequential loss of any nature; the Underwriter proof of loss, duly sworn to, with full particulars. (w) loss involving any Uncertificated Security except an Uncertificated (c) Lost Certificated Securities listed in a proof of loss shall be Security of any Federal Reserve Bank of the United States or when covered identified by certificate or bond numbers if such securities were issued under Insuring Agreement (A); therewith. (x) loss resulting directly or indirectly from any dishonest or fraudulent (d) Legal proceedings for the recovery of any loss hereunder shall not act or acts committed by any non-Employee who is a securities, commodities, be brought prior to the expiration of 60 days after the original proof of loss is money, mortgage, real estate, loan, insurance, property management, filed with the Underwriter or after the expiration of 24 months from the investment banking broker, agent or other representative of the same general discovery of such loss. character; (e) If any limitation embodied in this bond is prohibited by any law (y) loss caused directly or indirectly by a Partner of the Insured unless the controlling the construction hereof, such limitation shall be deemed to be amount of such loss exceeds the Financial Interest in the Insured of such amended so as to equal the minimum period of limitation provided by such Partner and the Deductible Amount applicable to this bond, and then for the law. excess only; (f) This bond affords coverage only in favor of the Insured. No suit, (z) loss resulting directly or indirectly from any actual or alleged action or legal proceedings shall be brought hereunder by any one other than representation, advice, warranty or guarantee as to the performance of any the named Insured. investments; VALUATION (aa) loss due to liability imposed upon the Insured as a result of the unlawful disclosure of non-public material Section 6. Any loss of Money, or loss payable in Money, shall be paid, at information by the Insured or any Employee, or as a result of any Employee acting upon such information, the option of the Insured, in the Money of the country in which the loss was whether authorized or unauthorized. sustained or in the United States of America dollar equivalent thereof determined at the rate of exchange at the time of payment of such loss. DISCOVERY Securities Section 3. This bond applies to loss discovered by the Insured during the Bond Period. Discovery occurs when the Insured first becomes aware of facts The Underwriter shall settle in kind its liability under this bond on account which would cause a reasonable person to assume that a loss of a type of a loss of any securities or, at the option of the Insured, shall pay to the covered by this bond has been or will be incurred, regardless of when the act Insured the cost of replacing such securities, determined by the market value or acts causing or contributing to such loss occurred, even though the exact thereof at the time of such settlement. However, if prior to such settlement the amount or details of loss may not then be known. Insured shall be compelled by the demands of a third party or by market rules Discovery also occurs when the Insured receives notice of an actual or to purchase equivalent securities, and gives written notification of this to the potential claim Underwriter, the cost incurred by the Insured shall be taken as the value of in which it is alleged that the Insured is liable to a third party under circumstances which, if true, would constitute a loss under this bond. those securities. In case of a loss of subscription, conversion or redemption privileges through the misplacement or loss of securities, the amount of such LIMIT OF LIABILITY loss shall be the value of such privileges immediately preceding the expiration Section 4. thereof. If such securities cannot be replaced or have no quoted market Aggregate Limit of Liability value, or if such privileges have no quoted market value, their value shall be determined by agreement or arbitration. The Underwriter’s total liability for all losses discovered during the Bond If the applicable coverage of this bond is subject to a Deductible Amount Period shown in Item 2 of the Declarations shall not exceed the Aggregate and/or is not sufficient in amount to indemnify the Insured in full for the loss of Limit of Liability shown in Item 3 of the Declarations. The Aggregate Limit of securities for which claim is made hereunder, the liability of the Underwriter Liability shall be reduced by the amount of any payment made under the under this bond is limited to the payment for, or the duplication of, so much of terms of this bond. such securities as has a value equal to the amount of such applicable Upon exhaustion of the Aggregate Limit of Liability by such payments: coverage. Class Code: 2-14057 TSB 5062b 1087 Copyright, The Surety Association of America, 1987 Page 6 of 7

GRAPHIC

Books of Account and Other Records available to the Insured under such other bonds or policies, as limited by the terms and conditions thereof, for any such loss if the latter amount be the In case of loss of, or damage to, any books of account or other records larger. used by the Insured in its business, the Underwriter shall be liable under this bond only if such books or records are actually reproduced and then for not If the coverage of this bond supersedes in whole or in part the coverage more than the cost of the blank books, blank pages or other materials plus the of any other bond or policy of insurance issued by an Insurer other than the cost of labor for the actual transcription or copying of data which shall have Underwriter and terminated, canceled or allowed to expire, the Underwriter, been furnished by the Insured in order to reproduce such books and other with respect to any loss sustained prior to such termination, cancelation or records. expiration and discovered within the period permitted under such other bond or policy for the discovery of loss thereunder, shall be liable under this bond Property other than Money, Securities or Records only for that part of such loss covered by this bond as is in excess of the In case of loss of, or damage to, any Property other than Money, amount recoverable or recovered on account of such loss under such other securities, books of account or other records, or damage covered under bond or policy, anything to the contrary in such other bond or policy Insuring Agreement (B)(2), the Underwriter shall not be liable for more than notwithstanding. the actual cash value of such Property, or of items covered under Insuring OTHER INSURANCE OR INDEMNITY Agreement (B)(2). The Underwriter may, at its election, pay the actual cash value of, replace or repair such property. Disagreement between the Section 9. Coverage afforded hereunder shall apply only as excess over Underwriter and the Insured as to the cash value or as to the adequacy of any valid and collectible insurance or indemnity obtained by the Insured, or by repair or replacement shall be resolved by arbitration. one other than the Insured on Property subject to exclusion (q) or by a Transportation Company, or by another entity on whose premises the loss Set-Off occurred or which employed the person causing the loss or the messenger Any loss covered under this bond shall be reduced by a set-off conveying the Property involved. consisting of any amount owed to the Employee causing the loss if such loss OWNERSHIP is covered under Insuring Agreement (A) Section 10. This bond shall apply to loss of Property (1) owned by the ASSIGNMENT— SUBROGATION— RECOVERY— COOPERATION Insured, (2) held by the Insured in any capacity, or (3) for which the Insured is Section 7. legally liable. This bond shall be for the sole use and benefit of the Insured (a) In the event of payment under this bond, the Insured shall deliver, if named in the Declarations. so requested by the Underwriter, an assignment of such of the Insured’s DEDUCTIBLE AMOUNT rights, title and interest and causes of action as it has against any person or entity to the extent of the loss payment. Section 11. The Underwriter shall be liable hereunder only for the (b) In the event of payment under this bond, the Underwriter shall be amount by which any single loss, as defined in Section 4, exceeds the Single subrogated to all of the Insured’s rights of recovery therefor against any Loss Deductible amount for the Insuring Agreement or Coverage applicable person or entity to the extent of such payment. to such loss, subject to the Aggregate Limit of Liability and the applicable (c) Recoveries, whether effected by the Underwriter or by the Insured, Single Loss Limit of Liability. shall be applied net of the expense of such recovery first to the satisfaction of The Insured shall, in the time and in the manner prescribed in this bond, the Insured’s loss which would otherwise have been paid but for the fact that give the Underwriter notice of any loss of the kind covered by the terms of this it is in excess of either the Single or Aggregate Limit of Liability, secondly, to bond, whether or not the Underwriter is liable therefor, and upon the request the Underwriter as reimbursement of amounts paid in settlement of the of the Underwriter shall file with it a brief statement giving the particulars Insured’s claim, and thirdly, to the Insured in satisfaction of any Deductible concerning such loss. Amount. Recovery on account of loss of securities as set forth in the second paragraph of Section 6 or recovery from reinsurance and/or indemnity of the TERMINATION OR CANCELATION Underwriter shall not be deemed a recovery as used herein. Section 12. This bond terminates as an entirety upon occurrence of any (d) Upon the Underwriter’s request and at reasonable times and places of the following:—(a) 60 days after the receipt by the Insured of a written designated by the Underwriter the Insured shall notice from the Underwriter of its desire to cancel this bond, or (b) (1) submit to examination by the Underwriter and subscribe to the immediately upon the receipt by the Underwriter of a written notice from the same under oath; and Insured of its desire to cancel this bond, or (c) immediately upon the taking (2) produce for the Underwriter’s examination all pertinent over of the Insured by a receiver or other liquidator or by State or Federal records; and officials, or (d) immediately upon the taking over of the Insured by another (3) cooperate with the Underwriter in all matters pertaining to the institution, or (e) immediately upon exhaustion of the Aggregate Limit of loss. Liability, or (f) immediately upon expiration of the Bond Period as set forth in (e) The Insured shall execute all papers and render assistance to Item 2 of the Declarations. secure to the Underwriter the rights and causes of action provided for herein. This bond terminates as to any Employee or any partner, officer or The Insured shall do nothing after discovery of loss to prejudice such rights or employee of any Processor—(a) as soon as any Insured, or any director or causes of action. officer not in collusion with such person, learns of any dishonest or fraudulent act committed by such person at any time, whether in the employment of the LIMIT OF LIABILITY UNDER THIS BOND AND PRIOR INSURANCE Insured or otherwise, whether or not of the type covered under Insuring Section 8. With respect to any loss set forth in sub-section (c) of Section Agreement (A), against the Insured or any other person or entity, without 4 of this bond which is recoverable or recovered in whole or in part under any prejudice to the loss of any Property then in transit in the custody of such other bonds or policies issued by the Underwriter to the Insured or to any person, or (b) 15 days after the receipt by the Insured of a written notice from predecessor in interest of the Insured and terminated or canceled or allowed the Underwriter of its desire to cancel this bond as to such person. to expire and in which the period for discovery has not expired at the time any Termination of the bond as to any Insured terminates liability for any loss such loss thereunder is discovered, the total liability of the Underwriter under sustained by such Insured which is discovered after the effective date of such this bond and under such other bonds or policies shall not exceed, in the termination. aggregate, the amount carried hereunder on such loss or the amount In witness whereof, the Underwriter has caused this bond to be executed on the Declarations page. Class Code: 2-14057 TSB 5062b 1087 Copyright, The Surety Association of America, 1987 Page 7 of 7

GRAPHIC

FINANCIAL INSTITUTION BOND SIGNATURE PAGE IN WITNESS WHEREOF, the Insurer has caused this policy to be issued by affixing hereto the facsimile signatures of its President and Secretary. Andrew Weissert, Secretary Michael McKenna, President AXIS 102AIC 0615 Page 1 of 1

 

/s/ Andrew Weissert /s/ Michael McKenna
   
Andrew Weissert, Secretary Michael McKenna, President

FINANCIAL INSTITUTION BOND SIGNATURE PAGE IN WITNESS WHEREOF, the Insurer has caused this policy to be issued by affixing hereto the facsimile signatures of its President and Secretary. Andrew Weissert, Secretary Michael McKenna, President AXIS 102AIC 0615 Page 1 of 1

GRAPHIC

FINANCIAL INSTITUTION BOND AMEND NAMED INSURED RIDER It is agreed that Item 1. Name of Insured (herein called Insured) of the Declarations is amended to include the following: Ares Capital Corporation and any entity consolidated therewith for GAAP purposes All other provisions of the bond remain unchanged. AXIS 1012152 0119 Includes copyright material of The Surety Association of America Page 1 of 1 Rider Number Effective Date of Rider Bond Number Premium 1 12:01 a.m. on 09/20/2025 P-001-000182577-06 N/A

GRAPHIC

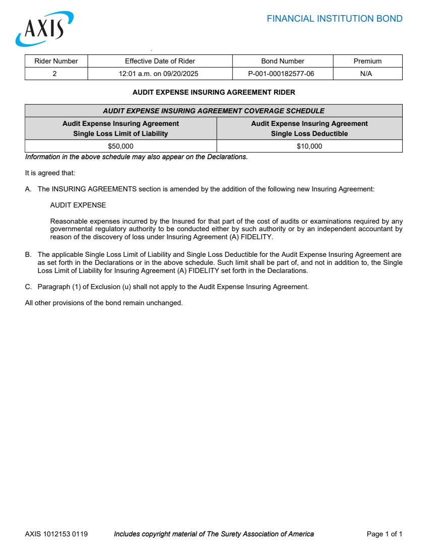
FINANCIAL INSTITUTION BOND AUDIT EXPENSE INSURING AGREEMENT RIDER Information in the above schedule may also appear on the Declarations. It is agreed that: A. The INSURING AGREEMENTS section is amended by the addition of the following new Insuring Agreement: AUDIT EXPENSE Reasonable expenses incurred by the Insured for that part of the cost of audits or examinations required by any governmental regulatory authority to be conducted either by such authority or by an independent accountant by reason of the discovery of loss under Insuring Agreement (A) FIDELITY. B. The applicable Single Loss Limit of Liability and Single Loss Deductible for the Audit Expense Insuring Agreement are as set forth in the Declarations or in the above schedule. Such limit shall be part of, and not in addition to, the Single Loss Limit of Liability for Insuring Agreement (A) FIDELITY set forth in the Declarations. C. Paragraph (1) of Exclusion (u) shall not apply to the Audit Expense Insuring Agreement. All other provisions of the bond remain unchanged. AXIS 1012153 0119 Includes copyright material of The Surety Association of America Page 1 of 1 Rider Number Effective Date of Rider Bond Number Premium 2 12:01 a.m. on 09/20/2025 P-001-000182577-06 N/A AUDIT EXPENSE INSURING AGREEMENT COVERAGE SCHEDULE Audit Expense Insuring Agreement Single Loss Limit of Liability Audit Expense Insuring Agreement Single Loss Deductible $50,000 $10,000

GRAPHIC

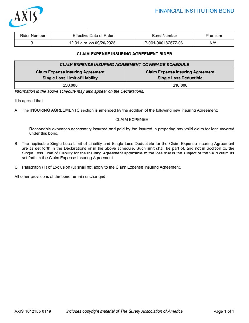
FINANCIAL INSTITUTION BOND CLAIM EXPENSE INSURING AGREEMENT RIDER Information in the above schedule may also appear on the Declarations. It is agreed that: A. The INSURING AGREEMENTS section is amended by the addition of the following new Insuring Agreement: CLAIM EXPENSE Reasonable expenses necessarily incurred and paid by the Insured in preparing any valid claim for loss covered under this bond. B. The applicable Single Loss Limit of Liability and Single Loss Deductible for the Claim Expense Insuring Agreement are as set forth in the Declarations or in the above schedule. Such limit shall be part of, and not in addition to, the Single Loss Limit of Liability for the Insuring Agreement applicable to the loss that is the subject of the valid claim as set forth in the Claim Expense Insuring Agreement. C. Paragraph (1) of Exclusion (u) shall not apply to the Claim Expense Insuring Agreement. All other provisions of the bond remain unchanged. AXIS 1012155 0119 Includes copyright material of The Surety Association of America Page 1 of 1 Rider Number Effective Date of Rider Bond Number Premium 3 12:01 a.m. on 09/20/2025 P-001-000182577-06 N/A CLAIM EXPENSE INSURING AGREEMENT COVERAGE SCHEDULE Claim Expense Insuring Agreement Single Loss Limit of Liability Claim Expense Insuring Agreement Single Loss Deductible $50,000 $10,000

GRAPHIC

FINANCIAL INSTITUTION BOND AMEND RACKETEERING EXCLUSION RIDER It is agreed that Exclusion 2(j) of the EXCLUSIONS section is replaced with the following: damages resulting from any civil, criminal or other legal proceeding in which the Insured is adjudicated to have engaged in racketeering activity except when the Insured establishes that the act or acts giving rise to such damages were committed by an Employee under circumstances which result directly in a loss to the Insured covered by Insuring Agreement (A). For the purposes of this Exclusion, “racketeering activity” is defined in 18 United States Code 1961 et seq., as amended; All other provisions of the bond remain unchanged. AXIS 1012161 0119 Includes copyright material of The Surety Association of America Page 1 of 1 Rider Number Effective Date of Rider Bond Number Premium 4 12:01 a.m. on 09/20/2025 P-001-000182577-06 N/A

GRAPHIC

FINANCIAL INSTITUTION BOND AMEND NOTICE PERCENTAGE OF DEDUCTIBLE THRESHOLD RIDER It is agreed that Paragraph (a) of Section 5. NOTICE/PROOF – LEGAL PROCEEDINGS AGAINST UNDERWRITER of the CONDITIONS AND LIMITATIONS is replaced with the following: (a) At the earliest practicable moment, not to exceed 30 days after discovery of loss in an amount that is in excess of 50% of the applicable Single Loss Deductible, the Insured shall give the Underwriter notice thereof. The Insured shall give the Underwriter notice of all other loss at the earliest practicable moment after discovery. All other provisions of the bond remain unchanged. AXIS 1012166 0119 Includes copyright material of The Surety Association of America Page 1 of 1 Rider Number Effective Date of Rider Bond Number Premium 5 12:01 a.m. on 09/20/2025 P-001-000182577-06 N/A

GRAPHIC

FINANCIAL INSTITUTION BOND AMEND REPRESENTATION OF INSURED RIDER It is agreed that the second paragraph of the REPRESENTATION OF INSURED section of the GENERAL AGREEMENTS is replaced with the following: Any intentional misrepresentation, omission, concealment, or incorrect statement in the application or otherwise, shall be grounds for the rescission of this bond. All other provisions of the bond remain unchanged. AXIS 1012169 0119 Includes copyright material of The Surety Association of America Page 1 of 1 Rider Number Effective Date of Rider Bond Number Premium 6 12:01 a.m. on 09/20/2025 P-001-000182577-06 N/A

GRAPHIC

FINANCIAL INSTITUTION BOND AMEND VALUATION RIDER It is agreed that the paragraph in the VALUATION condition addressing loss of Money, or loss payable in Money, is replaced with the following: Any loss of Money, or loss payable in Money, shall be paid, at the option of the Insured, in the Money of the country in which the loss was sustained or in the United States of America dollar equivalent thereof determined at the rate of exchange published in The Wall Street Journal on the day immediately preceding the date the loss was discovered. All other provisions of the bond remain unchanged. AXIS 1012170 0119 Includes copyright material of The Surety Association of America Page 1 of 1 Rider Number Effective Date of Rider Bond Number Premium 7 12:01 a.m. on 09/20/2025 P-001-000182577-06 N/A

GRAPHIC

FINANCIAL INSTITUTION BOND AMEND COUNTERFEIT CURRENCY OR MONEY INSURING AGREEMENT RIDER It is agreed that Insuring Agreement (F) COUNTERFEIT CURRENCY or COUNTERFEIT MONEY, as applicable, is replaced with the following: Loss resulting directly from the receipt by the Insured, in good faith, of any Counterfeit Money of the United States of America, Canada, or any other country. All other provisions of the bond remain unchanged. AXIS 1012171 0119 Includes copyright material of The Surety Association of America Page 1 of 1 Rider Number Effective Date of Rider Bond Number Premium 8 12:01 a.m. on 09/20/2025 P-001-000182577-06 N/A

GRAPHIC

FINANCIAL INSTITUTION BOND GOVERNMENTAL OR REGULATORY AUTHORITY NOTIFICATION RIDER SCHEDULE OF GOVERNMENTAL OR REGULATORY AUTHORITIES Securities and Exchange Commission ("SEC") It is agreed that: A. In the event that this bond is cancelled, terminated, or Substantially Modified, the Underwriter agrees to use its best efforts to notify each governmental or regulatory authority identified in the above Schedule within 60 days following such cancellation, termination, or modification, whether such cancellation, termination, or modification is at the request of the Insured or the Underwriter. Failure on the part of the Underwriter to provide such notice shall not impair or delay the effectiveness of such cancellation, termination, or modification, nor shall the Underwriter be held liable in any way for such failure. B. For the purposes of this Rider, Substantially Modified means a change in the type or amount of fidelity bond coverage, or a change in the exclusions of this bond, or any change in the bond such that it no longer meets the requirements of the applicable laws or regulations of a governmental or regulatory authority identified in the above Schedule. All other provisions of the bond remain unchanged. AXIS 1012175 0119 Includes copyright material of The Surety Association of America Page 1 of 1 Rider Number Effective Date of Rider Bond Number Premium 9 12:01 a.m. on 09/20/2025 P-001-000182577-06 N/A

GRAPHIC

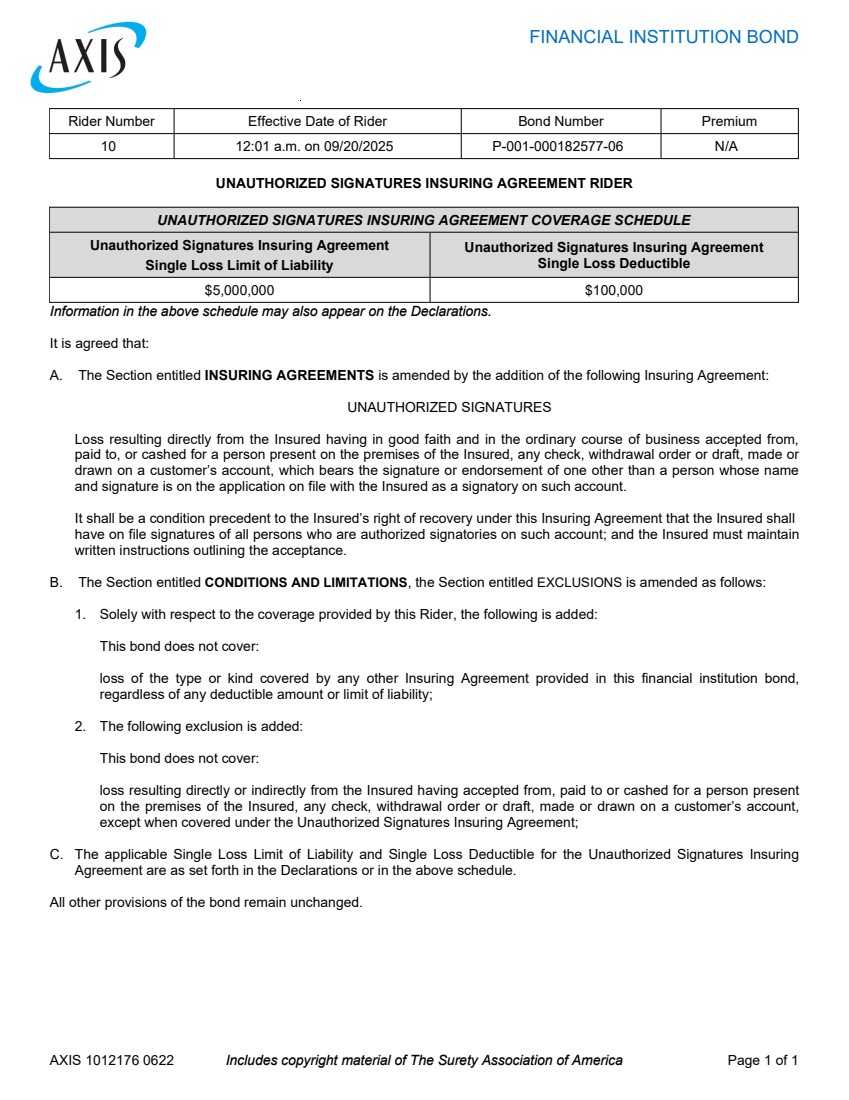
FINANCIAL INSTITUTION BOND UNAUTHORIZED SIGNATURES INSURING AGREEMENT RIDER Information in the above schedule may also appear on the Declarations. It is agreed that: A. The Section entitled INSURING AGREEMENTS is amended by the addition of the following Insuring Agreement: UNAUTHORIZED SIGNATURES Loss resulting directly from the Insured having in good faith and in the ordinary course of business accepted from, paid to, or cashed for a person present on the premises of the Insured, any check, withdrawal order or draft, made or drawn on a customer’s account, which bears the signature or endorsement of one other than a person whose name and signature is on the application on file with the Insured as a signatory on such account. It shall be a condition precedent to the Insured’s right of recovery under this Insuring Agreement that the Insured shall have on file signatures of all persons who are authorized signatories on such account; and the Insured must maintain written instructions outlining the acceptance. B. The Section entitled CONDITIONS AND LIMITATIONS, the Section entitled EXCLUSIONS is amended as follows: 1. Solely with respect to the coverage provided by this Rider, the following is added: This bond does not cover: loss of the type or kind covered by any other Insuring Agreement provided in this financial institution bond, regardless of any deductible amount or limit of liability; 2. The following exclusion is added: This bond does not cover: loss resulting directly or indirectly from the Insured having accepted from, paid to or cashed for a person present on the premises of the Insured, any check, withdrawal order or draft, made or drawn on a customer’s account, except when covered under the Unauthorized Signatures Insuring Agreement; C. The applicable Single Loss Limit of Liability and Single Loss Deductible for the Unauthorized Signatures Insuring Agreement are as set forth in the Declarations or in the above schedule. All other provisions of the bond remain unchanged. AXIS 1012176 0622 Includes copyright material of The Surety Association of America Page 1 of 1 Rider Number Effective Date of Rider Bond Number Premium 10 12:01 a.m. on 09/20/2025 P-001-000182577-06 N/A UNAUTHORIZED SIGNATURES INSURING AGREEMENT COVERAGE SCHEDULE Unauthorized Signatures Insuring Agreement Single Loss Limit of Liability Unauthorized Signatures Insuring Agreement Single Loss Deductible $5,000,000 $100,000

GRAPHIC

FINANCIAL INSTITUTION BOND AMEND KNOWLEDGE OF INSURED RIDER It is agreed that: A. The JOINT INSURED or JOINT INSUREDS, as applicable, section of the GENERAL AGREEMENTS is replaced with the following: Only the first named Insured can submit a claim under this bond, and shall act for all Insureds. Payment by the Underwriter to the first named Insured of loss sustained by any Insured shall fully release the Underwriter on account of such loss. If the first named Insured ceases to be covered under this bond, the Insured next named shall thereafter be considered as the first named Insured. Knowledge possessed or discovery made by Department of the General Counsel and or the Risk Management Department or the functional equivalent of any Insured shall constitute knowledge or discovery by all Insureds for the purposes of this Bond. The liability of the Underwriter for loss or losses sustained by all Insureds shall not exceed the amount for which the Underwriter would have been liable had all such loss or losses been sustained by one Insured. B. The CONDITIONS AND LIMITATIONS are amended as follows: 1. The DISCOVERY section is replaced with the following: This bond applies to loss discovered by the Insured during the Bond Period. Discovery occurs when Department of the General Counsel and or the Risk Management Department or the functional equivalent of any Insured first becomes aware of facts which would cause a reasonable person to assume that a loss of a type covered by this bond has been or will be incurred, regardless of when the act or acts causing or contributing to such loss occurred, even though the exact amount or details of loss may not then be known. Discovery also occurs when Department of the General Counsel and or the Risk Management Department or the functional equivalent of any Insured receives notice of an actual or potential claim in which it is alleged that the Insured is liable to a third party under circumstances which, if true, would constitute a loss under this bond. 2. Paragraph (a) of the NOTICE/PROOF – LEGAL PROCEEDINGS AGAINST UNDERWRITER section is replaced with the following: (a) At the earliest practicable moment, not to exceed 30 days after discovery of loss by Department of the General Counsel and or the Risk Management Department or the functional equivalent of any Insured, the Insured shall give the Underwriter notice thereof. All other provisions of the bond remain unchanged. AXIS 1012178 0119 Includes copyright material of The Surety Association of America Page 1 of 1 Rider Number Effective Date of Rider Bond Number Premium 11 12:01 a.m. on 09/20/2025 P-001-000182577-06 N/A

GRAPHIC

FINANCIAL INSTITUTION BOND PROTECTED INFORMATION EXCLUSION RIDER It is agreed that this bond shall not apply to any loss resulting directly or indirectly from the: (i) theft, disappearance, or destruction of; (ii) unauthorized use or disclosure of; (iii) unauthorized access to; or (iv) failure to protect any: A. confidential or non-public; or B. personal or personally identifiable; information that any person or entity has a duty to protect under any law, rule or regulation, agreement, or industry guideline or standard; provided that this shall not apply to the extent that any unauthorized use or disclosure of a password enables a theft by an Employee of the Insured of tangible Property of the Insured or tangible Property that the Insured is holding for a third party. Theft of tangible Property does not include the use of confidential or non-public information or personal or personally identifiable information to enable the theft of or disclosure of information. All other provisions of the bond remain unchanged. AXIS 1012180 0119 Includes copyright material of The Surety Association of America Page 1 of 1 Rider Number Effective Date of Rider Bond Number Premium 12 12:01 a.m. on 09/20/2025 P-001-000182577-06 N/A

GRAPHIC

FINANCIAL INSTITUTION BOND NOTICE OF LOSS BY E-MAIL RIDER It is agreed that the CONDITIONS AND LIMITATIONS, Section 5. NOTICE/PROOF – LEGAL PROCEEDINGS AGAINST UNDERWRITER, paragraph (a), is amended by the addition of the following: The Insured may provide the Underwriter with such notice of loss by e-mail to the e-mail address set forth below. The date of the Underwriter’s receipt of such e-mailed notice shall constitute the date of notice. Alternatively, the Insured may provide notice of loss to the Underwriter by mailing or faxing such notice to the address or fax number set forth below. All notices must reference the Bond No. of this bond. AXIS Insurance Claims Department P.O. Box 4470 Alpharetta, GA 30023-4470 Email: USFNOL@axiscapital.com Phone (Toll-Free): (866) 259-5435 Phone: (678) 746- 9000 Fax: (866) 770-5629 All other provisions of the bond remain unchanged. AXIS 1012189 0119 Includes copyright material of The Surety Association of America Page 1 of 1 Rider Number Effective Date of Rider Bond Number Premium 13 12:01 a.m. on 09/20/2025 P-001-000182577-06 N/A

GRAPHIC

FINANCIAL INSTITUTION BOND AMEND OWNERSHIP OR COVERED PROPERTY CONDITION RIDER It is agreed that the CONDITIONS AND LIMITATIONS, the OWNERSHIP section or COVERED PROPERTY section, as applicable, is deleted and replaced with the following: This bond shall apply to loss of Property (1) owned by the Insured, (2) held by the Insured in any capacity, or (3) owned and held by someone else under circumstances which make the Insured responsible for the Property prior to the occurrence of the loss. This bond shall be for the sole use and benefit of the Insured named in the Declarations. All other provisions of the bond remain unchanged. AXIS 1012199 0119 Includes copyright material of The Surety Association of America Page 1 of 1 Rider Number Effective Date of Rider Bond Number Premium 14 12:01 a.m. on 09/20/2025 P-001-000182577-06 N/A

GRAPHIC

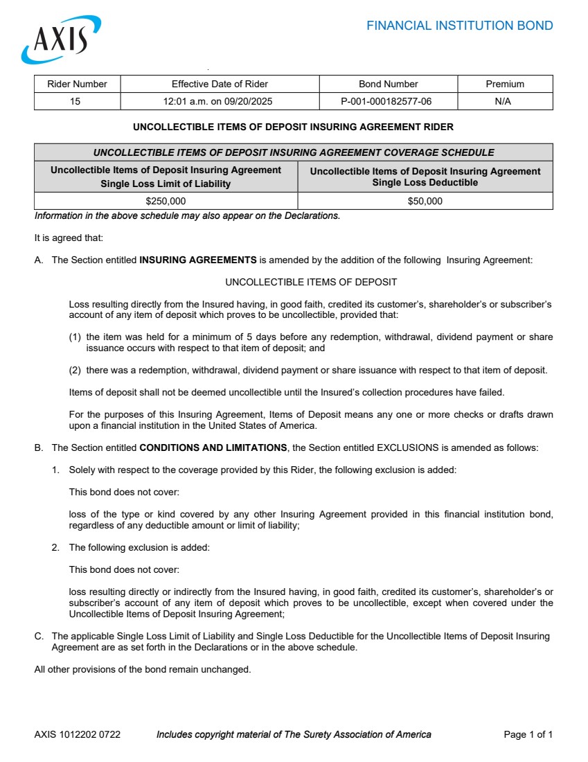
FINANCIAL INSTITUTION BOND UNCOLLECTIBLE ITEMS OF DEPOSIT INSURING AGREEMENT RIDER Information in the above schedule may also appear on the Declarations. It is agreed that: A. The Section entitled INSURING AGREEMENTS is amended by the addition of the following Insuring Agreement: UNCOLLECTIBLE ITEMS OF DEPOSIT Loss resulting directly from the Insured having, in good faith, credited its customer’s, shareholder’s or subscriber’s account of any item of deposit which proves to be uncollectible, provided that: (1) the item was held for a minimum of 5 days before any redemption, withdrawal, dividend payment or share issuance occurs with respect to that item of deposit; and (2) there was a redemption, withdrawal, dividend payment or share issuance with respect to that item of deposit. Items of deposit shall not be deemed uncollectible until the Insured’s collection procedures have failed. For the purposes of this Insuring Agreement, Items of Deposit means any one or more checks or drafts drawn upon a financial institution in the United States of America. B. The Section entitled CONDITIONS AND LIMITATIONS, the Section entitled EXCLUSIONS is amended as follows: 1. Solely with respect to the coverage provided by this Rider, the following exclusion is added: This bond does not cover: loss of the type or kind covered by any other Insuring Agreement provided in this financial institution bond, regardless of any deductible amount or limit of liability; 2. The following exclusion is added: This bond does not cover: loss resulting directly or indirectly from the Insured having, in good faith, credited its customer’s, shareholder’s or subscriber’s account of any item of deposit which proves to be uncollectible, except when covered under the Uncollectible Items of Deposit Insuring Agreement; C. The applicable Single Loss Limit of Liability and Single Loss Deductible for the Uncollectible Items of Deposit Insuring Agreement are as set forth in the Declarations or in the above schedule. All other provisions of the bond remain unchanged. AXIS 1012202 0722 Includes copyright material of The Surety Association of America Page 1 of 1 Rider Number Effective Date of Rider Bond Number Premium 15 12:01 a.m. on 09/20/2025 P-001-000182577-06 N/A UNCOLLECTIBLE ITEMS OF DEPOSIT INSURING AGREEMENT COVERAGE SCHEDULE Uncollectible Items of Deposit Insuring Agreement Single Loss Limit of Liability Uncollectible Items of Deposit Insuring Agreement Single Loss Deductible $250,000 $50,000

GRAPHIC

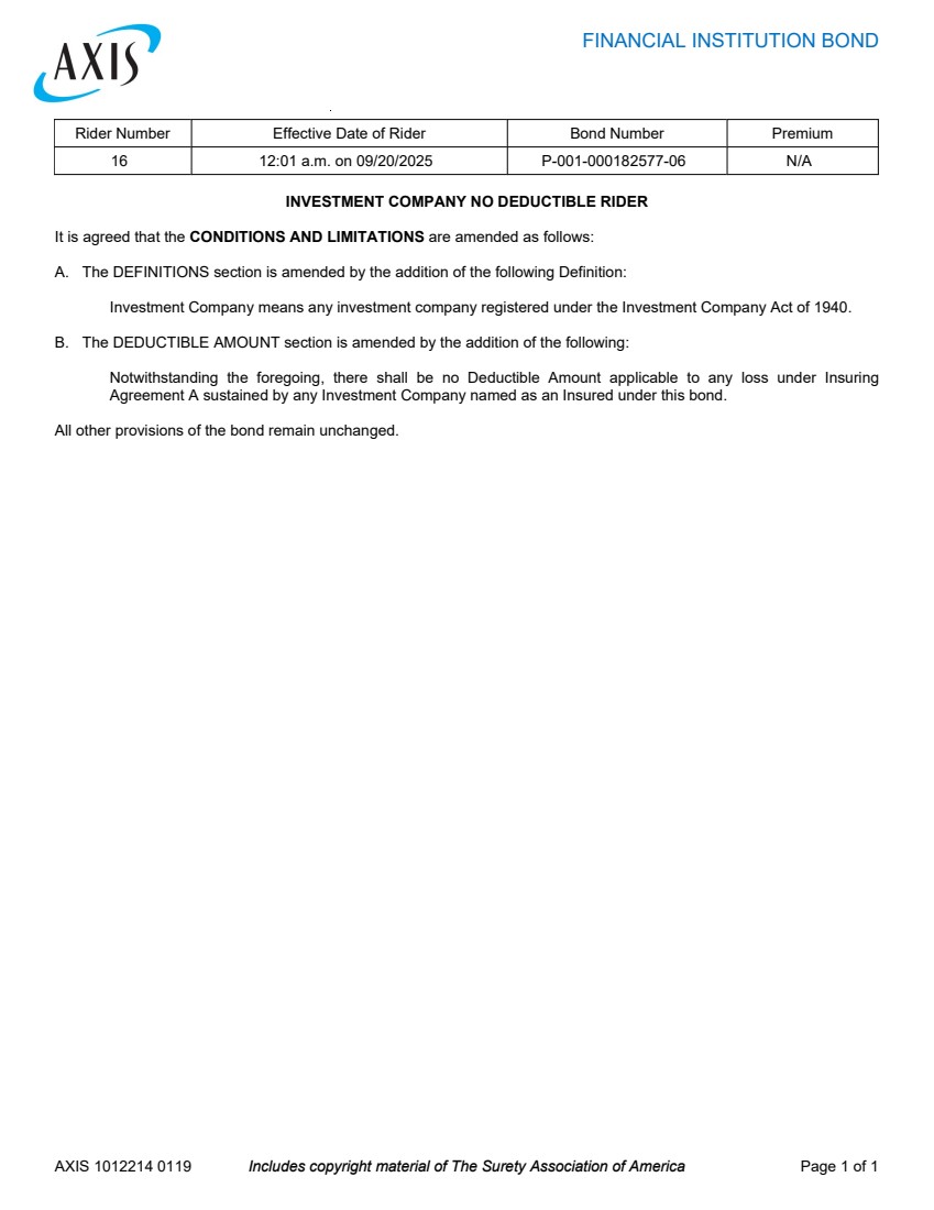
FINANCIAL INSTITUTION BOND INVESTMENT COMPANY NO DEDUCTIBLE RIDER It is agreed that the CONDITIONS AND LIMITATIONS are amended as follows: A. The DEFINITIONS section is amended by the addition of the following Definition: Investment Company means any investment company registered under the Investment Company Act of 1940. B. The DEDUCTIBLE AMOUNT section is amended by the addition of the following: Notwithstanding the foregoing, there shall be no Deductible Amount applicable to any loss under Insuring Agreement A sustained by any Investment Company named as an Insured under this bond. All other provisions of the bond remain unchanged. AXIS 1012214 0119 Includes copyright material of The Surety Association of America Page 1 of 1 Rider Number Effective Date of Rider Bond Number Premium 16 12:01 a.m. on 09/20/2025 P-001-000182577-06 N/A

GRAPHIC

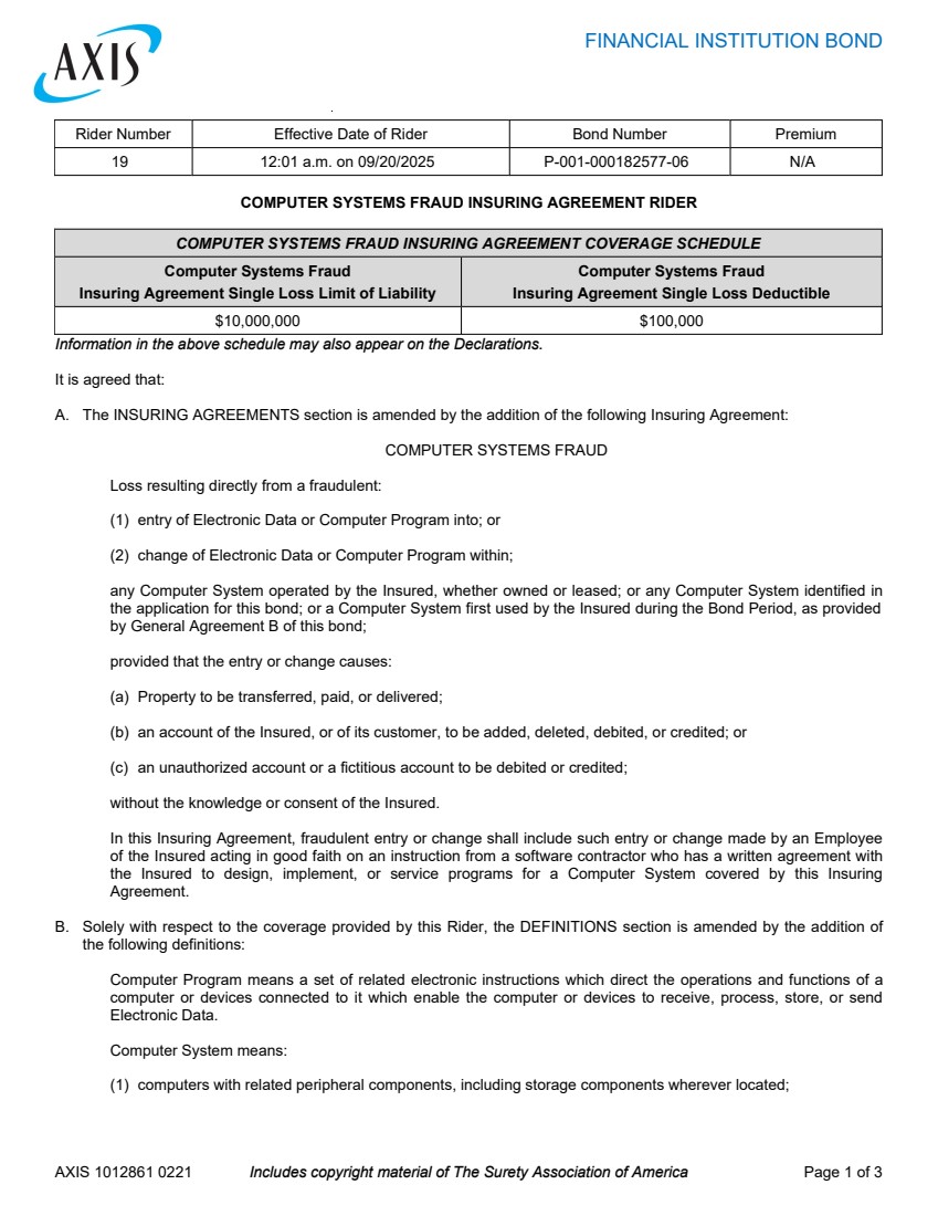
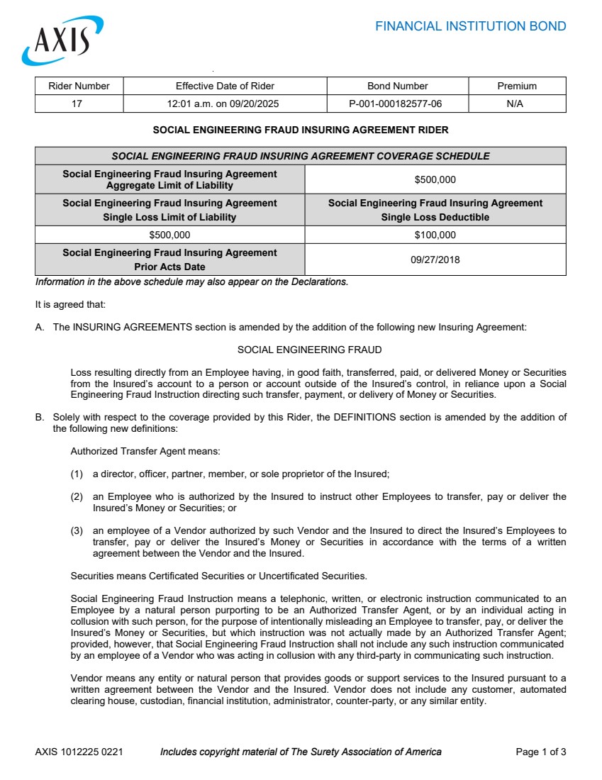
FINANCIAL INSTITUTION BOND SOCIAL ENGINEERING FRAUD INSURING AGREEMENT RIDER Information in the above schedule may also appear on the Declarations. It is agreed that: A. The INSURING AGREEMENTS section is amended by the addition of the following new Insuring Agreement: SOCIAL ENGINEERING FRAUD Loss resulting directly from an Employee having, in good faith, transferred, paid, or delivered Money or Securities from the Insured’s account to a person or account outside of the Insured’s control, in reliance upon a Social Engineering Fraud Instruction directing such transfer, payment, or delivery of Money or Securities. B. Solely with respect to the coverage provided by this Rider, the DEFINITIONS section is amended by the addition of the following new definitions: Authorized Transfer Agent means: (1) a director, officer, partner, member, or sole proprietor of the Insured; (2) an Employee who is authorized by the Insured to instruct other Employees to transfer, pay or deliver the Insured’s Money or Securities; or (3) an employee of a Vendor authorized by such Vendor and the Insured to direct the Insured’s Employees to transfer, pay or deliver the Insured’s Money or Securities in accordance with the terms of a written agreement between the Vendor and the Insured. Securities means Certificated Securities or Uncertificated Securities. Social Engineering Fraud Instruction means a telephonic, written, or electronic instruction communicated to an Employee by a natural person purporting to be an Authorized Transfer Agent, or by an individual acting in collusion with such person, for the purpose of intentionally misleading an Employee to transfer, pay, or deliver the Insured’s Money or Securities, but which instruction was not actually made by an Authorized Transfer Agent; provided, however, that Social Engineering Fraud Instruction shall not include any such instruction communicated by an employee of a Vendor who was acting in collusion with any third-party in communicating such instruction. Vendor means any entity or natural person that provides goods or support services to the Insured pursuant to a written agreement between the Vendor and the Insured. Vendor does not include any customer, automated clearing house, custodian, financial institution, administrator, counter-party, or any similar entity. AXIS 1012225 0221 Includes copyright material of The Surety Association of America Page 1 of 3 Rider Number Effective Date of Rider Bond Number Premium 17 12:01 a.m. on 09/20/2025 P-001-000182577-06 N/A SOCIAL ENGINEERING FRAUD INSURING AGREEMENT COVERAGE SCHEDULE Social Engineering Fraud Insuring Agreement Aggregate Limit of Liability $500,000 Social Engineering Fraud Insuring Agreement Single Loss Limit of Liability Social Engineering Fraud Insuring Agreement Single Loss Deductible $500,000 $100,000 Social Engineering Fraud Insuring Agreement Prior Acts Date 09/27/2018

GRAPHIC

FINANCIAL INSTITUTION BOND C. Solely with respect to the coverage provided by this Rider, and solely with respect to bond forms 15 and 24, the DEFINITIONS section is amended by the addition of the following new definition: Uncertificated Security means a share, participation or other interest in property of or an enterprise of the issuer or an obligation of the issuer, which is: (1) not represented by an instrument and the transfer of which is registered upon books maintained for that purpose by or on behalf of the issuer; (2) of a type commonly dealt in on securities exchanges or markets; and (3) either one of a class or series or by its terms divisible into a class or series of shares, participations, interests or obligations. D. The EXCLUSIONS section, Exclusion (h), is replaced by the following: (h) loss caused by an Employee, except when covered under: (1) Insuring Agreement (A); (2) Insuring Agreement (B) or (C) and resulting directly from misplacement, mysterious unexplainable disappearance, or destruction of or damage to Property; or (3) the Social Engineering Fraud Insuring Agreement and resulting directly from unintentional acts of the Employee. E. The EXCLUSIONS section is amended by the addition of the following Exclusion: loss resulting directly or indirectly from an Employee relying upon and/or acting upon a Social Engineering Fraud Instruction, except when covered under the Social Engineering Fraud Insuring Agreement. F. The applicable Single Loss Limit of Liability and Single Loss Deductible for the Social Engineering Fraud Insuring Agreement are as set forth in the Declarations or in the above schedule. G. The LIMIT OF LIABILITY section is amended by the addition of the following: Social Engineering Fraud Insuring Agreement Aggregate Limit of Liability The Underwriter’s total liability for all losses covered under the Social Engineering Fraud Insuring Agreement and discovered during the Bond Period shown in Item 2 of the Declarations shall not exceed the Social Engineering Fraud Insuring Agreement Aggregate Limit of Liability set forth in the SOCIAL ENGINEERING FRAUD INSURING AGREEMENT COVERAGE SCHEDULE. The Social Engineering Fraud Insuring Agreement Aggregate Limit of Liability shall be reduced by the amount of any payment made under the terms of the Social Engineering Fraud Insuring Agreement. Upon exhaustion of the Social Engineering Fraud Insuring Agreement Aggregate Limit of Liability by such payments: (a) the Underwriter shall have no further liability for loss or losses under the Social Engineering Fraud Insuring Agreement regardless of when discovered and whether or not previously reported to the Underwriter, and (b) solely with respect to the Social Engineering Fraud Insuring Agreement, the Underwriter shall have no obligation under General Agreement F to continue the defense of the Insured, and upon notice by the Underwriter to the Insured that the Social Engineering Fraud Insuring Agreement Aggregate Limit of Liability has been exhausted, the Insured shall assume all responsibility for its defense at its own cost. AXIS 1012225 0221 Includes copyright material of The Surety Association of America Page 2 of 3

GRAPHIC

FINANCIAL INSTITUTION BOND The Social Engineering Fraud Insuring Agreement Aggregate Limit of Liability is part of, and not in addition to, the Aggregate Limit of Liability shown in Item 3 of the Declarations. The Social Engineering Fraud Insuring Agreement Aggregate Limit of Liability shall not be increased or reinstated by any recovery made and applied in accordance with subsections (a), (b) and (c) of Section 7. H. The Social Engineering Fraud Insuring Agreement does not apply to any loss discovered during the Bond Period but occurring prior to the Social Engineering Fraud Insuring Agreement Prior Acts Date set forth in the Coverage Schedule of this Rider. All other provisions of the bond remain unchanged. AXIS 1012225 0221 Includes copyright material of The Surety Association of America Page 3 of 3

GRAPHIC

FINANCIAL INSTITUTION BOND NEW YORK STATUTORY RIDER It is agreed that: 1. The second paragraph of the Termination or Cancelation Condition is amended by the addition of the following at the end of such paragraph: Provided, however, this paragraph does not apply as to an Employee of an Insured that is located in New York or any partner, officer or employee of any Processor that is located in New York, if: (a) the dishonest act was committed by such person prior to becoming employed by the Insured or such Processor, (b) the dishonest act resulted in a conviction; and (c) the Insured or such Processor made a determination to hire or retain such person utilizing the factors set out in Correction Law Article 23-A. 2. This Rider does not apply to any Employees of an Insured or any partners, officers or employees of a Processor or loss caused by any persons for whom there is a bar to employment established by law and the Insured or Processor has hired such person despite the bar. All other provisions of the bond remain unchanged. AXIS 1012253 0119 Includes copyright material of The Surety Association of America Page 1 of 1 Rider Number Effective Date of Rider Bond Number Premium 18 12:01 a.m. on 09/20/2025 P-001-000182577-06 N/A

GRAPHIC

FINANCIAL INSTITUTION BOND COMPUTER SYSTEMS FRAUD INSURING AGREEMENT RIDER Information in the above schedule may also appear on the Declarations. It is agreed that: A. The INSURING AGREEMENTS section is amended by the addition of the following Insuring Agreement: COMPUTER SYSTEMS FRAUD Loss resulting directly from a fraudulent: (1) entry of Electronic Data or Computer Program into; or (2) change of Electronic Data or Computer Program within; any Computer System operated by the Insured, whether owned or leased; or any Computer System identified in the application for this bond; or a Computer System first used by the Insured during the Bond Period, as provided by General Agreement B of this bond; provided that the entry or change causes: (a) Property to be transferred, paid, or delivered; (b) an account of the Insured, or of its customer, to be added, deleted, debited, or credited; or (c) an unauthorized account or a fictitious account to be debited or credited; without the knowledge or consent of the Insured. In this Insuring Agreement, fraudulent entry or change shall include such entry or change made by an Employee of the Insured acting in good faith on an instruction from a software contractor who has a written agreement with the Insured to design, implement, or service programs for a Computer System covered by this Insuring Agreement. B. Solely with respect to the coverage provided by this Rider, the DEFINITIONS section is amended by the addition of the following definitions: Computer Program means a set of related electronic instructions which direct the operations and functions of a computer or devices connected to it which enable the computer or devices to receive, process, store, or send Electronic Data. Computer System means: (1) computers with related peripheral components, including storage components wherever located; AXIS 1012861 0221 Includes copyright material of The Surety Association of America Page 1 of 3 Rider Number Effective Date of Rider Bond Number Premium 19 12:01 a.m. on 09/20/2025 P-001-000182577-06 N/A COMPUTER SYSTEMS FRAUD INSURING AGREEMENT COVERAGE SCHEDULE Computer Systems Fraud Insuring Agreement Single Loss Limit of Liability Computer Systems Fraud Insuring Agreement Single Loss Deductible $10,000,000 $100,000

GRAPHIC

FINANCIAL INSTITUTION BOND (2) systems and applications software; (3) terminal devices; and (4) related communications networks; by which Electronic Data are electronically collected, transmitted, processed, stored, and retrieved. Electronic Data means facts or information converted to a form usable in a Computer System by Computer Programs, and which is stored on magnetic tapes or disks, or optical storage disks, or other bulk media. C. Solely with respect to the coverage provided by this Rider, the EXCLUSIONS section is amended by the addition of the following Exclusions: loss of the type or kind covered by any other Insuring Agreement provided in this financial institution bond, including but not limited to Social Engineering Fraud, regardless of any deductible amount or limit of liability; loss resulting directly or indirectly from the assumption of liability by the Insured by contract unless the liability arises from a loss covered by this rider, and such liability would have been be imposed on the Insured regardless of the existence of such contract; loss resulting directly or indirectly from negotiable instruments, securities, documents, or other written instruments which bear a forged signature, or are counterfeit, altered, or otherwise fraudulent and which are used as source documentation in the preparation of Electronic Data or manually keyed into a data terminal; loss resulting directly or indirectly from: (1) mechanical failure, faulty construction, error in design, latent defect, fire, wear or tear, gradual deterioration, electrical disturbance, or electrical surge which affects a Computer System; (2) failure or breakdown of Electronic Data processing media; or (3) error or omission in programming or processing; loss resulting directly or indirectly from the input of Electronic Data into a Computer System terminal device either on the premises of a customer of the Insured or under the control of such a customer by a person who had authorized access to the customer's authentication mechanism; D. Notwithstanding anything to the contrary with respect to any similar Exclusion set forth in any Protected Information Exclusion Rider attached to this bond, solely with respect to the coverage provided by this Rider, the EXCLUSIONS section is amended by the addition of the following Exclusion: loss resulting directly or indirectly from the: (1) theft, disappearance, or destruction of; (2) unauthorized use or disclosure of; (3) unauthorized access to; or (4) failure to protect any: (a) confidential or non-public information; or (b) personal or personally identifiable information; that any person or entity has a duty to protect under any law, rule or regulation, agreement, or industry guideline or standard, except that this shall not apply to the extent that any unauthorized use or disclosure of such information subsequently results in a direct loss otherwise covered under the Computer Systems Fraud Insuring Agreement. E. The exclusion below, found in the EXCLUSIONS section of financial institution bonds forms 14, and 25, does not apply to the Computer Systems Fraud Insuring Agreement. AXIS 1012861 0221 Includes copyright material of The Surety Association of America Page 2 of 3

GRAPHIC

FINANCIAL INSTITUTION BOND "loss involving any Uncertificated Security except an Uncertificated Security of any Federal Reserve Bank of the United States or when covered under Insuring Agreement (A);" F. The Single Loss Defined subsection of the LIMIT OF LIABILITY section is amended by the addition of the following: Solely with respect to the Computer Systems Fraud Insuring Agreement, all loss or series of losses involving the fraudulent acts of one individual, or involving fraudulent acts in which one individual is implicated, whether or not that individual is specifically identified, shall be treated as a Single Loss and subject to the Single Loss Limit of Liability. A series of losses involving unidentified individuals but arising from the same method of operation shall be deemed to involve the same individuals and in that event shall be treated as a Single Loss and subject to the Single Loss Limit of Liability. G. The applicable Single Loss Limit of Liability and Single Loss Deductible for the Computer Systems Fraud Insuring Agreement are as set forth in the Declarations or in the above schedule. All other provisions of the bond remain unchanged. AXIS 1012861 0221 Includes copyright material of The Surety Association of America Page 3 of 3

GRAPHIC

FINANCIAL INSTITUTION BOND AMEND EXCLUSION (M) RIDER It is agreed that the Section entitled CONDITIONS AND LIMITATIONS, the Section entitled EXCLUSIONS, exclusion (m) is replaced with the following: (m) loss resulting directly or indirectly from surrender of property as a result of: (1) kidnaping, (2) payment of ransom or any extortion-related payment, (3) threats of bodily harm to any person, except the custodian of the property, or of damage to the premises or property of the Insured, or (4) actual disappearance, damage, destruction, confiscation, or theft of property intended as a ransom or extortion payment while held or conveyed by a person duly authorized by the Insured to have custody of such property, except when resulting from threats of bodily harm to the custodian of the property as described in (3) above, except when covered under Insuring Agreement (A); All other provisions of the bond remain unchanged. AXIS 1012869 0421 Includes copyright material of The Surety Association of America Page 1 of 1 Rider Number Effective Date of Rider Bond Number Premium 20 12:01 a.m. on 09/20/2025 P-001-000182577-06 N/A

GRAPHIC

FINANCIAL INSTITUTION BOND ERISA RIDER It is agreed that: 1. “Employee” as used in the attached bond shall include any natural person who is a director or trustee of the Insured while such director or trustee is engaged in handling funds or other property of any Employee Welfare or Pension Benefit Plan owned, controlled or operated by the Insured or any natural person who is a trustee, manager, officer or employee of any such Plan. 2. If the bond, in accordance with the agreements, limitations and conditions thereof, covers loss sustained by two or more Employee Welfare or Pension Benefit Plans or sustained by any such Plan in addition to loss sustained by an Insured other than such Plan, it is the obligation of the Insured or the Plan Administrator(s) of such Plans under Regulations published by the Secretary of Labor implementing Section 13 of the Welfare and Pension Plans Disclosure Act of 1958 to obtain under one or more bonds issued by one or more Insurers an amount of coverage for each such Plan at least equal to that which would be required if such Plans were bonded separately. 3. In compliance with the foregoing, payment by the Company in accordance with the agreements, limitations and conditions of the bond shall be held by the Insured, or, if more than one, by the Insured first named, for the use and benefit of any Employee Welfare or Pension Benefit Plan sustaining loss so covered and to the extent that such payment is in excess of the amount of coverage required by such Regulations to be carried by said Plan sustaining such loss, such excess shall be held for the use and benefit of any other such Plan also covered in the event that such other Plan discovers that it has sustained loss covered thereunder. 4. If money or other property of two or more Employee Welfare or Pension Benefit Plans covered under the bond is commingled, recovery for loss of such money or other property through fraudulent or dishonest acts of Employees shall be shared by such Plans on a pro rata basis in accordance with the amount for which each such Plan is required to carry bonding coverage in accordance with the applicable provisions of said Regulations. 5. The Deductible Amount of this bond applicable to loss sustained by a Plan through acts committed by an Employee of the Plan shall be waived, but only up to an amount equal to the amount of coverage required to be carried by the Plan because of compliance with the provisions of the Employee Retirement Income Security Act of 1974. 6. Nothing herein contained shall be held to vary, alter, waive or extend any of the terms, conditions, provisions, agreements or limitations of the bond, other than as stated herein. All other provisions of the bond remain unchanged. SR 6145b 0690 Page 1 of 1 Rider Number Effective Date of Rider Bond Number Premium 21 12:01 a.m. on 09/20/2025 P-001-000182577-06 N/A

GRAPHIC

FINANCIAL INSTITUTION BOND NEW YORK STATUTORY RIDER It is agreed that: 1. Part (a) of the section entitled "Termination or Cancellation" of this bond/policy is deleted and cancellation of this bond/policy by the Underwriter/Company issubject to the following provisions: a. If this bond/policy has been in effect for 60 days or less, the underwriter/company may cancel this bond/policy by mailing or delivering to the first named Insured written notice of cancellation at least: (1) 20 days before the effective date of cancellation if the underwriter/company cancels for any reason not included in paragraph (2) below. (2) 15 days before the effective date of cancellation if the underwriter/company cancels for any of the following reasons: (i) Nonpayment of premium provided, however, that a notice of cancellation for this reason shall inform the Insured of the amount due; (ii) Conviction of a crime arising out of acts increasing the hazard insuredagainst; (iii) Discovery of fraud or material misrepresentation in the obtaining of the bond/policy or in the presentation of a claim; (iv) After issuance of the bond/policy or after the last renewal date, discovery of an act or omission, or a violation of a bond/policy condition, that substantially and materially increases the hazard insured against, and that occurred subsequent to inception of the current bond/policy period; (v) Material physical change in the property insured, occurring after issuance or last annual renewal anniversary date of the bond/policy, that results in the property becoming uninsurable in accordance with our objective, uniformly applied underwriting standards in effect at the time the bond/policy was issued or last renewed; or material change in the nature or extent of the risk, occurring after issuance or last annual renewal anniversary date of the bond/policy, that causes the risk of loss to be substantially and materially increased beyond that contemplated at the time the bond/policy was issued or last renewed; (vi) Required pursuant to a determination by the Superintendent that continuation of our present premium volume would jeopardize our solvency or be hazardous to the interest of our policyholders, our creditors or the public; (vii)A determination by the Superintendent that the continuation of the bond/policy would violate, or would place us in violation of, any provision of the Insurance Code;or (viii) Where the underwriter/company has reason to believe, in good faith and with sufficient cause, that there is a probable risk of danger that an insured will destroy, or permit to be destroyed, the insured property for the purpose of collecting the insurance proceeds. If the underwriter/company cancels for this reason, the first named Insured may make a written request to the Insurance Department, within 10 days of receipt of this notice, to review the cancellation decision. Also, the underwriter/company will simultaneously send a copy of the cancellation notice to the Insurance Department. b. If this bond/policy has been in effect for more than 60 days, or if this bond/policy is a renewal or continuation of a bond/policy the underwriter/company issued, the underwriter/company may cancel only for any of the reasons listed in paragraph (2) above, provided the underwriter/company mails the first named Insured written notice at SR 6180d 0709 Includes copyright material of The Surety Association of America Page 1 of 3 Rider Number Effective Date of Rider Bond Number Premium 22 12:01 a.m. on 09/20/2025 P-001-000182577-06 N/A

GRAPHIC

FINANCIAL INSTITUTION BOND least 15 days before the effective date of cancellation. If cancellation is for nonpayment of premium, the notice of cancellation shall inform the Insured of the amount due. c. The underwriter/company will mail or deliver notice, including the reason for cancellation, to the first named Insured at the address shown in the bond/policy and to the authorized agent or broker. d. If this bond/policy is canceled, the underwriter/company will send the first named Insured any premium refund due. If the underwriter/company cancels, the refund will be pro rata. If the first named Insured cancels, the refund may be less than pro rata. However, when the premium is advanced under a premium finance agreement, the cancellation refund will be pro rata. Under such financed policies, the underwriter/company will be entitled to retain a minimum earned premium of 10% of the total premium or $60, whichever is greater. The cancellation will be effective even if the underwriter/company has not made or offered arefund. e. If one of the reasons for cancellation in paragraph a.(2) exists, the underwriter/company may cancel this entire bond/policy, even if the reason for cancellation pertains only to a new coverage or endorsement initially effective subsequent to theoriginal issuance of this bond/policy. 2. Renewal or nonrenewal of this bond/policy by the Underwriter/Company is subject to the following provisions: a. If the underwriter/company decides not to renew this bond/policy, it will send notice as provided in paragraph c. below. b. If the underwriter/company conditionally renews this bond/policy subject to a change of limits, change in type of coverage, reduction of coverage, increased deductible, addition of exclusion, or increased premiums in excess of 10% (exclusive of any premium increase due to insured value added, increased exposure units, or as a result of experience rating, loss rating, retrospective rating or audit) the underwriter/company will send notice as provided in paragraph c. below. c. If the underwriter/company decides not to renew this bond/policy, or to conditionally renew this bond/policy as provided in paragraph 2.b. above, the underwriter/company will mail or deliver written notice to the first named Insured shown in the Declarations at least 60 days, but not more than 120 days, before the expiration date of the bond/policy or, the anniversary date if this is a continuous bond/policy. d. Notice will be mailed or delivered to the first named Insured at the address shown in the bond/policy and to the authorized agent or broker. If notice is mailed, proof of mailing will be sufficient proof of notice. e. Notice will include the availability of loss information and the specific reason(s) for nonrenewal or conditional renewal, including the amount of any premium increase for conditional renewal and a description of any other changes. f. If the underwriter/company violates the provisions of paragraph c. above by sending the first named Insured an incomplete or late conditional renewal notice or a late nonrenewalnotice: (1) prior to the expiration date of the bond/policy, coverage will remain in effect at the same terms and conditions of this bond/policy at the lower of the current rates or the prior period's rates until 60 days after such notice is mailed or delivered, unless the first named Insured, during this 60 day period, has replaced the coverage or elects to cancel; provided, however, that if the insured elects to renew on the basis of a conditional renewal notice and the notice was provided at least thirty (30) days prior to the expiration date of this Policy, then the terms, conditions and rates set forth in the conditional renewal notice shall apply as of the renewal date; or (2) on or after the expiration date of this bond/policy, coverage will remain in effect at the same terms and conditions of this bond/policy for another required bond/policy period, at the lower of the current rates or the prior period's rates, unless the first named Insured, during this additional required bond/policy period, has replaced the coverage or elects tocancel. g. The underwriter/company need not send notice of nonrenewal or conditional renewal if the first named Insured, its SR 6180d 0709 Includes copyright material of The Surety Association of America Page 2 of 3

GRAPHIC

FINANCIAL INSTITUTION BOND authorized agent or broker or another insurer of the first named Insured mails or delivers notice that the bond/policy has been replaced or is no longerdesired. All other provisions of the bond remain unchanged. SR 6180d 0709 Includes copyright material of The Surety Association of America Page 3 of 3

GRAPHIC

FINANCIAL INSTITUTION BOND CRYPTOCURRENCY EXCLUSION RIDER It is agreed that: A. The attached bond is amended by adding to Section 2. EXCLUSIONS - CONDITIONS AND LIMITATIONS, the following: loss resulting directly or indirectly from the theft, disappearance or destruction of Cryptocurrency or from the change in value of Cryptocurrency. B. The attached bond is amended by adding to the bond CONDITIONS AND LIMITATIONS, Section 1. DEFINITIONS the following: Cryptocurrency means a digital or electronic medium of exchange, operating independently of a central authority, in which encryption techniques are used to regulate the generation of units and to verify the transfer of such units from one person to another. All other provisions of the bond remain unchanged. SR 6343 0321 Page 1 of 1 Rider Number Effective Date of Rider Bond Number Premium 23 12:01 a.m. on 09/20/2025 P-001-000182577-06 N/A

GRAPHIC

FINANCIAL INSTITUTION BOND CUSTOMER FUNDS TRANSFER FRAUD INSURING AGREEMENT WITH CALL BACK FOR TRANSFERS IN EXCESS OF THE DEDUCTIBLE RIDER Information in the above schedule may also appear on the Declarations. It is agreed that: A. The INSURING AGREEMENTS section is amended by the addition of the following new Insuring Agreement: CUSTOMER FUNDS TRANSFER FRAUD Loss resulting directly from the Insured having, in good faith, transferred a Customer’s Money on deposit in an account or Certificated Securities to a person or account outside the Customer’s control, in reliance on a fraudulent telephone, telefacsimile, text message or e-mail instruction to the Insured directing such transfer from the Customer’s account, which instruction purports and reasonably appears to have originated from an Authorized Transfer Agent, but which, in fact, was issued without the Customer’s knowledge or consent by someone other than an Authorized Transfer Agent, subject to the following conditions precedent: (1) The instruction included the Customer’s password and PIN and any other security codes required by the Insured’s written agreement with such Customer (“Verified Instruction”). (2) The sender of the instruction was not, in fact, such Customer, was not authorized to act on behalf of such Customer, and was not an Employee. (3) The instruction was received by an Employee specifically authorized by the Insured to receive and act upon such instructions. (4) For any transfer exceeding the amount of the Customer Funds Transfer Fraud Insuring Agreement Single Loss Deductible, the Insured verified the instruction via a call back to a predetermined telephone number set forth in the Insured’s written agreement with such Customer, or by other verification procedures approved in writing by the Underwriter (“Security Measure”). (5) The Insured preserved a contemporaneous record of the Verified Instruction and any Security Measure and furnishes both to the Insurer, along with a copy of the Insured’s written agreement with the Customer, in the Proof of Loss. (6) The Insured asserts any available claims, offsets or defenses against the Customer, any financial institution, any fund administrator or any other party to the transaction. AXIS 1012198 0119 Page 1 of 2 Endorsement Number Effective Date of Endorsement Policy Number Premium 24 12:01 a.m. on 09/20/2025 P-001-000182577-06 N/A CUSTOMER FUNDS TRANSFER FRAUD INSURING AGREEMENT COVERAGE SCHEDULE Customer Funds Transfer Fraud Insuring Agreement Single Loss Limit of Liability Customer Funds Transfer Fraud Insuring Agreement Single Loss Deductible $10,000,000 $100,000 I I

GRAPHIC

FINANCIAL INSTITUTION BOND B. The applicable Single Loss Limit of Liability and Single Loss Deductible for the Customer Funds Transfer Fraud Insuring Agreement are as set forth in the Declarations or in the above schedule. C. Solely with respect to the coverage provided by this Rider: 1. The following Definitions are added to the DEFINITIONS section: Authorized Transfer Agent means an employee of the Customer or another financial institution with authority to instruct the Insured to transfer the Customer’s Money or Certificated Securities. Customer means an entity or natural person who has a written agreement with the Insured authorizing the Insured to transfer Money on deposit in an account or Certificated Securities in reliance upon a telephone, telefacsimile, text message or e-mail instruction from an Authorized Transfer Agent. 2. The following Exclusions are added to the EXCLUSIONS section: · loss resulting directly or indirectly from a fraudulent instruction if the sender, or anyone acting in collusion with the sender, ever had authorized access to the Customer’s password, PIN or any other security code; · loss resulting directly or indirectly from the fraudulent alteration of an instruction to initiate an automated clearing house (ACH) entry, or group of ACH entries, transmitted as an electronic message, or as an attachment to an electronic message, sent via the Internet unless: (1) each ACH entry was individually verified via the call back procedures without regard to the amount of the entry; or (2) the instruction was formatted, encoded or encrypted so that any alteration in the ACH entry or group of ACH entries would be apparent to the Insured. 3. All loss or losses involving one natural person or one entity, or one group of natural persons or entities acting together, shall be a Single Loss without regard to the number of transfers or the number of instructions involved. A series of losses involving unidentified natural persons or entities but arising from the same method of operation shall be deemed to involve the same natural person or entity and shall be treated as a Single Loss. All other provisions of the bond remain unchanged. AXIS 1012198 0119 Page 2 of 2

GRAPHIC

FINANCIAL INSTITUTION BOND AMEND DEFINITION OF PROPERTY RIDER (DOES NOT INCLUDE NON-FUNGIBLE TOKENS) It is agreed that the Section entitled CONDITIONS AND LIMITATIONS, the Section entitled DEFINITIONS, the definition of Property is amended by the addition of the following: Notwithstanding the foregoing, Property does not include non-fungible tokens. All other provisions of the bond remain unchanged. AXIS 1012870 0521 Page 1 of 1 Endorsement Number Effective Date of Endorsement Policy Number Premium 25 12:01 a.m. on 09/20/2025 P-001-000182577-06 N/A I I

GRAPHIC

FINANCIAL INSTITUTION BOND ARES CAPITAL CORPORATION AMEND DEFINITION OF EMPLOYEE RIDER It is agreed that the Section entitled CONDITIONS AND LIMITATIONS, the Section entitled DEFINITIONS, the definition of Employee is amended by the addition of the following: Employee also means any natural person employee of Ares Capital Management LLC solely while such natural person is performing work for the Insured. All other provisions of the bond remain unchanged. MANU 1015596 0925 Page 1 of 1 Endorsement Number Effective Date of Endorsement Policy Number Premium 26 12:01 a.m. on 09/20/2025 P-001-000182577-06 N/A I I