TABLE OF CONTENTS
 Filed Pursuant to Rule 424(b)(4)
 Registration No. 333-283304
    
UP TO 3,997,361 AMERICAN DEPOSITARY SHARES REPRESENTING
199,868,050 ORDINARY SHARES AND UP TO 1,998,675 WARRANTS
TO PURCHASE UP TO 1,998,675 AMERICAN DEPOSITARY SHARES
(and 1,998,675 American Depositary Shares representing 99,933,750
ordinary shares issuable upon exercise of the Warrants)
[MISSING IMAGE: lg_evaxion-bwlr.jpg]
Evaxion Biotech A/S
We are offering on a best efforts basis up to 3,997,361 American Depositary Shares (“ADSs”) representing an aggregate of 199,868,050 ordinary shares, DKK 0.25 nominal value per share, together with warrants to purchase up to 1,998,675 ADSs representing 99,933,750 ordinary shares (the “Warrants”). The ADSs and Warrants will be sold in a fixed combination, with each 2 ADSs accompanied by one Warrant to purchase one ADS. The ADSs and Warrants are immediately separable and will be issued separately in this offering, but must be purchased together in this offering. The Warrants will have an exercise price per share of $2.71 and will be immediately exercisable for a term of five (5) years from the date of issuance. The public offering price for each ADS and accompanying Warrant is $2.71.
There is no established public trading market for the Warrants, and we do not expect a market to develop. We do not intend to apply for listing of the Warrants on any securities exchange or other nationally recognized trading system. Without an active trading market, the liquidity of the warrants will be limited.
This offering will terminate on February 14, 2025, unless we decide to terminate the offering (which we may do at any time in our discretion) prior to that date.
The ADSs are listed on the Nasdaq Capital Market, or Nasdaq, under the symbol “EVAX”. On January 29, 2025, the closing trading price for the ADSs, as reported on Nasdaq, was $3.39 per ADS.
We have engaged Lake Street Capital Markets, LLC and JonesTrading Institutional Services LLC (the “Placement Agents”) to act as our exclusive Placement Agents in connection with this offering. Each Placement Agent has agreed to use its reasonable best efforts to arrange for the sale of the securities offered by this prospectus. The Placement Agents are not purchasing or selling any of the securities we are offering and the Placement Agents are not required to arrange the purchase or sale of any specific number of securities or dollar amount. We have agreed to pay to the Placement Agents the Placement Agents Fees set forth in the table below, which assumes that we sell all of the securities offered by this prospectus. There is no minimum offering requirement as a condition of closing of this offering. Because there is no minimum offering amount required as a condition to closing this offering, we may sell fewer than all of the securities offered hereby, which may significantly reduce the amount of proceeds received by us. The investors in this offering will not receive a refund in the event that we do not sell an amount of securities sufficient to pursue our business goals described in this prospectus. In addition, investors could be in a position where they have invested in our company, but we are unable to fulfill all of our contemplated objectives due to a lack of interest in this offering. Further, any proceeds from the sale of securities offered by us will be available for our immediate use, despite uncertainty about whether we would be able to use such funds to effectively implement our business plan. We will bear all costs associated with the offering. See “Plan of Distribution” on page 156 of this prospectus for more information regarding these arrangements.
We are a “foreign private issuer,” and an “emerging growth company” each as defined under the federal securities laws, and, as such, we are subject to reduced public company reporting requirements. See the section entitled “Prospectus Summary — Implications of Being an Emerging Growth Company and a Foreign Private Issuer” for additional information.
Investing in our securities involves a high degree of risk. Before buying any ADSs, you should carefully read the discussion of material risks of investing in the ADSs and the company. See “Risk Factor Summary” beginning on page 20 for a discussion of information that should be considered in connection with an investment in our securities.
Neither the Securities and Exchange Commission nor any state securities commission has approved or disapproved of these securities or determined if this prospectus is truthful or complete. Any representation to the contrary is a criminal offense.
Per ADS and
accompanying
Warrant
Total
Public offering price
$ 2.71 $ 10,832,050
Placement Agents Fees(1)
$ 0.17 $ 673,999
Proceeds to us (before expenses)(2)(3)
$ 2.54 $ 10,153,297
(1)
We have agreed to pay the Placement Agents cash fee equal to 7.0% of the gross proceeds raised in this offering, except for certain investors totaling approximately 38% of gross proceeds who we will only pay the Placement Agents a cash fee equal to 5.0% for. We have also agreed to reimburse the Placement Agents legal fees and expenses in an amount up to $100,000, See “Plan of Distribution” for additional information and a description of the compensation payable to the Placement Agents.
(2)
We estimate the total expenses of this offering payable by us, excluding the Placement Agents fee, will be approximately $0.7 million. Because there is no minimum number of securities or amount of proceeds required as a condition to closing in this offering, the actual public offering amount, Placement Agents fees, and proceeds to us, if any, are not presently determinable and may be substantially less than the total maximum offering amounts set forth above. For more information, see “Plan of Distribution.”
We anticipate that delivery of the securities against payment will be made on or about January 31, 2025, subject to satisfaction of customary closing conditions.
Lake Street
Jones
Prospectus dated, January 30, 2025

TABLE OF CONTENTS
 
TABLE OF CONTENTS
v
vii
1
20
40
40
41
42
44
46
109
114
117
135
143
154
156
159
159
159
159
160
161
 
i

TABLE OF CONTENTS
 
TABLE OF FIGURES
Figure 1 2
Figure 2 3
Figure 3 4
Figure 4 5
Figure 5 6
Figure 6 9
Figure 7 47
Figure 8 51
Figure 9 52
Figure 10 53
Figure 11 54
Figure 12 57
Figure 13 58
Figure 14 59
Figure 15 61
Figure 16 62
Figure 17 64
Figure 18 65
Figure 19 65
Figure 20 66
Figure 21 67
Figure 22 68
Figure 23 68
Figure 24 69
Figure 25 69
Figure 26 70
Figure 27 70
Figure 28 71
Figure 29 72
Figure 30 73
Figure 31 74
Figure 32 75
Figure 33 76
 
ii

TABLE OF CONTENTS
 
Figure 34 77
Figure 35 77
Figure 36 78
Figure 37 79
Figure 38 80
Figure 39 82
Figure 40 83
Figure 41 85
Figure 42 86
Figure 43 87
Figure 44 89
Figure 45 89
Figure 46 90
Figure 47 90
Figure 48 92
Figure 49 93
Figure 50 94
Figure 51 94
Figure 52 95
Figure 53 95
Figure 54 97
Figure 55 99
Figure 56 99
Neither we nor the Placement Agents have authorized anyone to provide information different from that contained in this prospectus, any amendment or supplement to this prospectus or in any free writing prospectus prepared by us or on our behalf. Neither we nor the Placement Agents take any responsibility for, and can provide no assurance as to the reliability of, any information other than the information in this prospectus, any amendment or supplement to this prospectus, and any free writing prospectus prepared by us or on our behalf. Neither the delivery of this prospectus nor the sale of the ADSs means that information contained in this prospectus is correct after the date of this prospectus. This prospectus is not an offer to sell or the solicitation of an offer to buy the ADSs in any circumstances under which such offer or solicitation is unlawful.
You should rely only on the information contained in this prospectus and any free writing prospectus prepared by or on behalf of us or to which we have referred you. Neither we nor the Placement Agents have
 
iii

TABLE OF CONTENTS
 
authorized anyone to provide you with information that is different. We and the Placement Agents are offering to sell the ADSs, and seeking offers to buy the ADSs, only in jurisdictions where offers and sales are permitted. The information in this prospectus is accurate only as of the date of this prospectus, regardless of the time of delivery of this prospectus or any sale of the ADSs.
For investors outside of the United States: Neither we nor the Placement Agents have done anything that would permit this offering or possession or distribution of this prospectus in any jurisdiction where action for that purpose is required, other than in the United States. Persons outside the United States who come into possession of this prospectus must inform themselves about and observe any restrictions relating to this offering and the distribution of this prospectus outside the United States.
 
iv

TABLE OF CONTENTS
 
ABOUT THIS PROSPECTUS
Unless the context requires otherwise, in this prospectus Evaxion Biotech A/S and its subsidiaries (“Subsidiar(y/ies)”) shall collectively be referred to as “EVAX,”, “Evaxion”, “the Company,” “the Group”, “we,” “us,” and “our” unless otherwise noted.
This prospectus contains our audited consolidated financial statements as of December 31, 2023 and 2022 and for the years ended December 31, 2023, 2022 and 2021 and the related notes, prepared in accordance with International Financial Reporting Standards or IFRS, as issued by the International Accounting Standards Board, or IASB and our unaudited condensed consolidated interim financial statements as of June 30, 2024, and for the three and six months ended June 30, 2024 and 2023 and the related notes and our unaudited condensed consolidated financial information as of September 30, 2024, for the three and nine months ended September 30, 2024 and 2023. The unaudited condensed consolidated interim financial statements of the Company are prepared in accordance with International Accounting Standard 34, “Interim Financial Reporting”. Certain information and disclosures normally included in the annual consolidated financial statements prepared in accordance with IFRS have been condensed or omitted. Accordingly, these unaudited condensed consolidated interim financial statements should be read in conjunction with the Company’s audited annual consolidated financial statements as of and for the year ended December 31, 2023.
All references in this Prospectus to “$” mean U.S. dollars and all references to “DKK” mean Danish Kroner.
Our financial information is presented in our presentation currency, U.S. Dollar, or USD. Our functional currency is the Danish Krone, or DKK. Certain Danish Krone amounts in this prospectus have been translated solely for convenience into USD at an assumed exchange rate of DKK 6.7447 per $1.00, which was the rounded official exchange rate of such currencies as of December 31, 2023. We used an assumed exchange rate of DKK 6.9664 per $1.00, which was the official rounded exchange rate of such currencies as of June 30, 2024 for the unaudited interim periods ended June 30, 2024 and an assumed exchange rate of DKK 6.6595 per $1.00, which was the official rounded exchange rate of such currencies as of September 30, 2024 for the unaudited interim periods ended September 30, 2024.
Foreign currency transactions are translated into our functional currency, DKK, using the exchange rates prevailing at the dates of the transactions. Foreign exchange gains and losses resulting from the settlement of such transactions and from the translation at year-end exchange rates of monetary assets and liabilities denominated in foreign currencies are recognized as financial income or financial expenses in the consolidated statements of comprehensive loss. Non-monetary items in foreign currency, which are measured at cost at the consolidated statements of financial position date are translated into our functional currency, DKK, using the exchange rates at the date of the transaction. Such DKK translated amounts are not necessarily indicative of the amounts of DKK that could have actually been purchased with the underlying currency being exchanged into DKK at the dates indicated.
Assets and liabilities in our functional currency are translated to our presentation currency, USD, at the exchange rates applicable on December 31, 2023, June 30, 2024 and September 30, 2024 for the respective period. Income and expenses in our functional currency are translated to USD at the average exchange rate, which corresponds to an approximation of the exchange rates prevailing on each individual transaction date. Translation differences arising in the translation to presentation currency are recognized in other comprehensive income. Such USD amounts are not necessarily indicative of the amounts of USD that could actually have been purchased upon exchange of DKK at the dates indicated.
We have made rounding adjustments to some of the figures contained in this prospectus. Accordingly, numerical figures shown as totals in some tables may not be exact arithmetic aggregations of the figures that preceded them.
On January 22, 2024, we effected a change to the ratio of the ADSs to our ordinary shares from one ADS representing one (1) ordinary share to one ADS representing ten (10) ordinary shares (the “2024 ADS Ratio Change”).
 
v

TABLE OF CONTENTS
 
On January 14, 2025, we effected a second change to the ratio of the ADSs to our ordinary shares from one ADS representing ten (10) ordinary shares to one ADS representing fifty (50) ordinary shares (the “2025 ADS Ratio Change” and together with the 2024 ADS Ratio Change, the “ADS Ratio Change”). Except as otherwise indicated, all information in this prospectus gives retroactive effect to the ADS Ratio Change.
We have made rounding adjustments to reach some of the figures included in this prospectus. As a result, numerical figures shown as totals in some tables may not be an arithmetic aggregation of the figures that precede them.
This prospectus includes statistical, market and industry data and forecasts which we obtained from publicly available information and independent industry publications and reports that we believe to be reliable sources. These publicly available industry publications and reports generally state that they obtain their information from sources that they believe to be reliable, but they do not guarantee the accuracy or completeness of the information. Although we believe that these sources are reliable, we have not independently verified the information contained in such publications. In addition, assumptions and estimates of our and our industry’s future performance are necessarily subject to a high degree of uncertainty and risk due to a variety of factors, including those described in the “Risk Factor Summary” and in the Form 20-F for the fiscal year ended December 31, 2023 as filed with the Securities and Exchange Commission (the “2023 Form 20-F”) incorporated by reference in this prospectus. These and other factors could cause our future performance to differ materially from our assumptions and estimates.
Some of our trademarks and trade names are used in this prospectus, which are intellectual property owned by the Company. This prospectus also includes trademarks, trade names, and service marks that are the property of other organizations. Solely for convenience, our trademarks and trade names referred to in this prospectus appear without the TM symbol, but those references are not intended to indicate, in any way, that we will not assert, to the fullest extent under applicable law, our rights, or the right of the applicable licensor to these trademarks and trade names.
 
vi

TABLE OF CONTENTS
 
SPECIAL NOTE REGARDING FORWARD-LOOKING STATEMENTS
The Company discusses in this prospectus its business strategy, market opportunity, capital requirements, product introductions and development plans and the adequacy of the Company’s funding. Other statements contained in this prospectus, which are not historical facts, are also forward-looking statements. The Company has tried, wherever possible, to identify forward-looking statements by terminology such as “may,” “will,” “could,” “should,” “expects,” “anticipates,” “intends,” “plans,” “believes,” “seeks,” “estimates” and other comparable terminology.
The Company cautions investors that any forward-looking statements presented in this prospectus, or that the Company may make orally or in writing from time to time, are based on the beliefs of, assumptions made by, and information currently available to, the Company. These statements are based on assumptions, and the actual outcome will be affected by known and unknown risks, trends, uncertainties and factors that are beyond its control or ability to predict. Although the Company believes that its assumptions are reasonable, they are not a guarantee of future performance, and some will inevitably prove to be incorrect. As a result, its actual future results can be expected to differ from its expectations, and those differences may be material. Accordingly, investors should use caution in relying on forward-looking statements, which are based only on known results and trends at the time they are made, to anticipate future results or trends. Certain risks are discussed in this prospectus and also from time to time in the Company’s other filings with the Securities and Exchange Commission (“SEC”).
This prospectus and all subsequent written and oral forward-looking statements attributable to the Company or any person acting on its behalf are expressly qualified in their entirety by the cautionary statements contained or referred to in this section. The Company does not undertake any obligation to release publicly any revisions to its forward-looking statements to reflect events or circumstances after the date of this prospectus.
In particular, you should consider the risks provided under “Risk Factors Summary” in this prospectus and in the 2023 Form 20-F incorporated by reference in this prospectus.
 
vii

TABLE OF CONTENTS
 
PROSPECTUS SUMMARY
The following summary highlights selected information contained elsewhere in this prospectus. This summary does not contain all the information you should consider before investing in our securities. Before deciding to invest in the ADSs, you should read this entire prospectus carefully, including information incorporated by reference in this prospectus and any free writing prospectus prepared by us or on our behalf, including the section entitled “Risk Factor Summary” in this prospectus, “Item 3. Key Information”, Item 5 “Operating and Financial Review and Prospects”; Item 7 Major Shareholders and Related Party Transactions; Item 8, “Financial Information” in our 2023 Form 20-F and incorporated by reference in this prospectus; the sections titled “Business” and “Management’s Discussion and Analysis of Financial Condition and Results of Operations” and the other sections of the documents incorporated by reference in this prospectus and the financial statements and the related notes incorporated by reference in this prospectus. Unless otherwise indicated, all share amounts and prices assume the consummation of the ADS Ratio Change.
The Company
Corporate Overview
Evaxion Biotech A/S is a pioneering clinical-stage TechBio company based upon the Artificial Intelligence (AI) platform: AI-Immunology™. The AI-Immunology™ platform consists of five proprietary and scalable AI prediction models harnessing the power of data, machine learning and artificial intelligence to decode the human immune system. This enables the development of novel vaccines for the treatment of cancer as well as bacterial and viral infections.
We believe we are the first in the world to demonstrate a correlation between the predictive power of AI and clinical response in patients, as evidenced by a clear association between AI-Immunology™ predictions and progression free survival in metastatic melanoma cancer patients. AI-Immunology™ allows for fast and effective discovery, design and development of novel vaccines and offers a strong value proposition to both existing and potential pharma partners. The value proposition is supported by AI-Immunology™ being preclinically and clinically validated, adaptable, scalable to other disease areas and, we believe, significantly reduces development costs and risks. Partnerships are essential to realizing the full value of the opportunities AI-Immunology™ offers and we have a strong focus on partnering as part of our strategy execution. Our recently announced significantly expanded partnership with MSD validates this approach and confirms the value of the AI-Immunology™ platform seen from an external perspective. Further, we have developed a clinical-stage cancer pipeline of novel personalized therapeutic vaccines and a preclinical prophylactic vaccine pipeline for bacterial and viral diseases with high unmet medical needs based on AI-Immunology™ identified vaccine targets. Evaxion is committed to transforming patients’ lives by providing innovative and targeted treatment options through AI-Immunology™. Our purpose is saving and improving lives with AI-Immunology™.
The Evaxion Strategy
The Evaxion strategy centers around our AI-Immunology™ platform, which has been continuously developed and refined over the past 15 years. This has provided us with a pioneering and differentiated position within AI-based vaccine target discovery and further led to the design and development of novel vaccine candidates. The strong potential of AI-Immunology™ is evidenced by both the preclinical and clinical data we have generated as well as through existing partnerships. The AI-Immunology™ platform holds the potential to generate one new vaccine target every 24 hours, is delivery modality-agnostic, and easily adaptable to partner needs. The platform is currently trained in cancer and infectious diseases and is scalable to other therapeutic areas. The high throughput, combined with a very flexible model, offers a strong value proposition for both existing and future partners.
The AI-Immunology™ platform contains five interrelated proprietary AI prediction models: (i) PIONEER™, our cancer neoantigen prediction model, (ii) ObsERV™, our endogenous retrovirus (ERV) tumor antigen prediction model, (iii) EDEN™, our B-cell antigen prediction model, (iv) RAVEN™, our T-cell antigen prediction model and (v) AI-DeeP™ our responder prediction model. The platform features a unique modular architecture where the same building blocks are used across different AI prediction models. This means that improvements in individual building blocks will lead to improvements in all the AI
 
1

TABLE OF CONTENTS
 
prediction models where the building block is used. This, we believe, serves to further enhance the predictive capabilities of AI-Immunology™ and to ensure we will retain a differentiated position going forward. The building block-based architecture also gives a high scalability to other therapeutic areas which is offering attractive long-term opportunities for Evaxion.
In parallel with the AI-Immunology™ platform development, we have been building a strong multidisciplinary capability set spanning the full value chain from target discovery to early clinical development. Our state of art wet-lab and animal facility gives us a unique opportunity for rapidly validating our AI predictions in pre-clinical models thereby, generating proprietary data as well as new pipeline assets. Further, it offers partners a flexible and adaptable one stop shop for discovery and development of new vaccine candidates.
The AI-Immunology™ platform together with our multidisciplinary capability set drives a clear differentiation for our AI driven approach to development of novel vaccine candidates and provides a strong value proposition towards potential partners. The differentiation is illustrated in Figure 1 below.
[MISSING IMAGE: fc_immun-bw.jpg]
Figure 1
A clearly differentiated position with AI based drug discovery and development.
With AI-Immunology™ at the core, and further building upon our strong multidisciplinary capability set, our focus is on pursuing value realization of our AI platform and pipeline via a multi-partner approach. This is being executed through our three-pronged business model focusing on vaccine target discovery collaborations using our AI-Immunology™ platform (Targets), advancing our proprietary pipeline of vaccine candidates (Pipeline) and using our core data and predictive capabilities to develop responder models (Responders). Please see Figure 2 below for an overview of the Evaxion three-pronged business model.
 
2

TABLE OF CONTENTS
 
[MISSING IMAGE: fc_strategy-4c.jpg]
Figure 2
The Evaxion three-pronged business model.
For the Target part of our three-pronged business model, the multi-partner approach to value realization means that we have a strong focus on establishing partnerships where we bring our multidisciplinary capabilities and the unique predictive capabilities of AI-Immunology™ to partners with the objective of developing novel vaccine candidates. The EVX-B3 agreement with MSD from September 2023, which in September 2024 resulted in a significantly expanded collaboration with an option and license agreement, covering both EVX-B3 and EVX-B2, with potential milestones of USD 592 million per product, is a good example of what we aim at achieving in the Target part of our three-pronged business model. For EVX-B3, we teamed up with MSD in September 2023 to utilize AI-Immunology™ to discover and develop a novel vaccine for a bacterial infectious disease, where no vaccine is available today. We are excited about this collaboration with MSD and are thrilled to see it continuing into the next phase, a collaboration which now also includes EVX-B2. We are also very pleased with the level of interest we are seeing from other potential partners in establishing similar partnerships within other infectious disease areas and are excited about the potential for addressing significant unmet needs in collaboration with partners within the Target part of our strategy. To further develop the predictive capabilities of AI-Immunology™, and hence further strengthen the value proposition to existing and potential partners, we are excited to have launched an upgraded version of EDEN™, EDEN™ 5.0, which took place at the European Conference on Computational Biology (ECCB) conference in September 2024.
Within the Pipeline part of our three-pronged business model, we are advancing our own select high value programs to key value inflection points following which we will pursue partnering. With our multidisciplinary capabilities and the predictive capabilities of AI-Immunology™, we have strong potential for quickly advancing proprietary high value programs into preclinical and clinical development. However, we do not intend to run larger scale clinical trials ourselves. Within the Pipeline part of the strategy, we are very excited about the convincing EVX-01 Phase 2 one-year clinical data we presented at ESMO in September. The convincing data already makes us look forward to the two-year clinical readout in Q3, 2025. The one-year clinical data was a very important milestone for our lead pipeline candidate, and we are excited about the commercial potential of EVX-01. We will also partner pipeline assets before entering clinical development if this makes sense from a strategic and financial point of view. The agreement with MSD on EVX-B2 (as well as EVX-B3), containing potential milestones of up to USD 592 million per product, which we announced in September 2024 is a good example of such early partnering strategy.
Within the Responder part of our strategy, which focuses on harnessing our data and predictive capabilities to develop responder models, we obtained Proof of Principle for our Checkpoint Inhibitor
 
3

TABLE OF CONTENTS
 
responder model in late 2023. We have now defined a high-level development plan and a preliminary commercial model. The plan remains to bring our Checkpoint Inhibitor responder model forward in a partnership-based structure.
Hence, in summary, we are seeing continued strong progress on our strategy as executed via our three-pronged business model. We are excited about having delivered successfully on most of our 2024 key milestones as can be seen in Figure 3 below. We are also thrilled about the interest we are seeing from potential partners in both the establishment of new vaccine discovery and development collaborations as well as in our existing pipeline assets and excited about our significantly expanded vaccine collaboration with MSD and the financial and strategic value it brings. While we were not able to meet the original business development ambition of generating USD 14 million in business development income or cash in for 2024, due to certain business development discussions moving into 2025, we are pleased with the USD 3.2 million already secured in 2024 via the MSD agreement as well as the potential up to USD 10 million for 2025, contingent upon if MSD exercises the option for one or both vaccine candidates. Further, the business development discussions having moved into 2025 enhances the potential for generation of business development income in 2025.
[MISSING IMAGE: tb_milestones-4c.jpg]
Figure 3
2024 company milestones.
The strong strategy execution in 2024 makes us excited about the prospects for 2025. Focus for 2025 will be a continuation of the multi-partner approach to value realization via execution upon our business development strategy, continuation of the ongoing EVX-01 phase 2 trial, the ongoing strengthening of our AI-Immunology™ platform and further advancement of our research activities, including progressing our ERV based precision vaccine concept towards clinical development. Finally, the focus is of course on advancing our existing partnerships including bringing the MSD collaboration to option exercise. Please see the table below for an overview of 2025 company milestones.
 
4

TABLE OF CONTENTS
 
[MISSING IMAGE: fc_aiimmunology-4clr.jpg]
Figure 4
2025 company milestones.
Financial Update
Our cash and cash equivalents were $11.9 million as of January 27, 2025. The amount is unaudited and is not necessarily indicative of any future period and should be read together with “Risk Factors Summary,” “Cautionary Note Regarding Forward-Looking Statements,” and our financial statements and related notes contained in this prospectus and our 2023 Form 20-F.
Our AI-Immunology™ Platform
Our AI-Immunology™ platform is the core of Evaxion. The platform has been developed and refined over the past 15 years. The AI-Immunology™ platform holds following key features:

Consists of five AI prediction models and has a unique modular architecture based upon building blocks used across models

AI prediction models applied in cancer and infectious diseases with a demonstrated correlation between the predictive power of AI and clinical response in patients

Vaccine target discovery, design and development of personalized and precision therapeutic cancer vaccine candidates

Vaccine target discovery, design and development of prophylactic bacterial and viral vaccine candidates

Potential for one new target every 24 hours

Platform is delivery modality agnostic

Unique predictive capabilities

Adaptability to partner needs

Scalable to other therapeutic areas

90%+ cheaper target discovery vs. reverse vaccinology

80% fewer targets needs testing
The AI prediction models in AI-Immunology™ each offer unique predictive capabilities in their respective areas and an overview can be seen below.
 
5

TABLE OF CONTENTS
 
[MISSING IMAGE: fc_cancer-4c.jpg]
Figure 5
The AI-Immunology™ platform.
Our PIONEER™ Model
PIONEER™ is our proprietary AI prediction model for the rapid discovery and design of patient-specific neoantigens used to derive cancer vaccines. It has been shown that neoantigens, which arise from patient-specific tumor mutations, play a critical role in T-cell mediated antitumor immune response. Neoantigens, being absent in normal tissues, are, we believe, ideal cancer vaccine targets because they distinguish themselves from germline proteins and can be recognized as non-self by the immune system. We believe our AI building blocks within PIONEER™ enable us to efficiently identify and select those neoantigens that will generate a de novo T-cell response leading to significant antitumor effect in each patient. By combining these neoantigens with a purposefully selected delivery modality believed to further enhance this antitumor effect, we design and deliver our vaccines to patients, effectively training their immune systems to target and kill cancer cells with no or very limited adverse effects on healthy non-cancer cells.
Our proprietary AI building blocks identifying neoantigens within PIONEER™ have been trained using gradient-boosted decision trees, transformers and a conditional generative adversarial network approach on our internally generated data as well as other data, including, but not limited to, next generation sequencing data from tumor samples, mass spectrometry immunopeptidomics, peptide-MHC-binding affinity data, T-cell immunogenicity data and peptide-MHC-binding stability data. We have demonstrated that development and iterative training of our AI building blocks improves its predictive power in identifying and selecting therapeutic neoantigens.
The strong predictive capabilities of PIONEER™ have been proven in a clinical trial setting, where we in the EVX-01 Phase 1 trial demonstrated a clear link between quality of the predictions from PIONEER™ and Progression Free Survival in metastatic melanoma patients. We believe that we are the first in the world to establish a link between AI prediction and clinical outcomes.
Our ObsERV™ Model
ObsERV™ is our proprietary AI model for the discovery of patient-specific virus-derived sequences, so-called ERVs (endogenous retroviruses), expressed in cancer. Targeting this novel class of tumor antigens may allow for developing a completely new type of immunotherapy against immunologically cold tumors with low response rates to immunotherapy. ObsERV™ can rapidly discover ERV tumor antigens and design personalized and precision vaccines containing these antigens. Our proprietary AI building blocks within ObsERV™, for the prediction of antigen-specific T-cell responses have been trained using transformers and a conditional generative adversarial network approach. This allows us to efficiently identify and select those ERV-antigens that we believe are most likely to generate a strong, de novo T-cell response leading to significant antitumor effect in each patient. The goal of our ObsERV™ model derived cancer vaccines is to
 
6

TABLE OF CONTENTS
 
deliver therapeutic ERV-antigens to patients in a way that trains the patients’ own immune system to target and kill tumor cells with no or very limited adverse effects on healthy non-cancer cells.
We have preclinically demonstrated complete tumor eradication in animal models when targeting ObsERV™ identified ERVs. Hence, we believe such ERV-based therapies will induce a directed T-cell dependent immune response leading to tumor eradication. Our EVX-03 development candidate contains a combination of PIONEER predicted neoantigens and ObsERV™ predicted ERV-antigens.
We believe that ObsERV™ will allow us to develop therapeutic cancer vaccines benefitting a broader range of cancer patients for which no or limited treatment options exist. This includes providing novel treatment solutions for cancer patients that are unlike to respond to immunotherapy and cancer vaccines that targets neoantigens.
At the ASH conference in December 2023, we showcased a novel usage of ERVs for hematological cancers offering potential for a completely novel treatment paradigm. A key 2024 milestone is to establish preclinical proof-of-concept for an ERV based precision vaccine candidate, which we remain on track to deliver.
Our EDEN™ Model
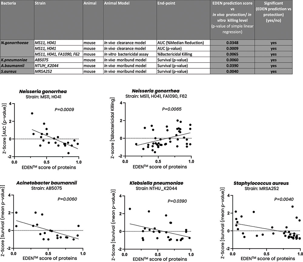
EDEN™ is our proprietary AI prediction model that rapidly identifies novel, highly protective B-cell targets for use in pathogen-specific prophylactic vaccines against bacteria and virus, including antimicrobial resistant bacteria. Our proprietary algorithms in EDEN™ allow us to predict and identify antigens that we believe will trigger a robust, protective immune response against almost any pathogen. The core of our EDEN™ model is a proprietary machine learning ensemble of artificial neural networks trained using a feed-forward backpropagation approach to interpret immunological-relevant information in relation to bacterial antigens that incur protection in a vaccine setting. EDEN™ has been trained on our own curated data set derived by trawling through publicly available patents and publications with reported truly protective and non-protective antigens tested in clinical and pre-clinical settings. The input to the artificial neural network ensemble is a feature transformation of the protein data set, in which several global and sequence-resolved properties are extracted. These structural and functional features have been selected for their relevance in protein chemistry, immunology and protein structure and their ability to guide the network in discriminating protective versus non-protective antigens.
We believe our approach can be used to target almost any pathogenic infection and rapidly enables the discovery and development of vaccine product candidates. We have applied EDEN™ in seven bacteria pathogens to test its predictive power. For each pathogen, EDEN™ identified novel vaccine antigens which were subsequently expressed as proteins and tested in pre-clinical, mouse infection models, demonstrating protection against all seven pathogens.
EDEN™ forms the basis for several pipeline compounds. The EDEN™ AI prediction model is already the basis for three existing partnerships, and we see great potential for further partnerships based upon the unique predictive capabilities of EDEN™.
Our RAVEN™ Model
RAVEN™ is our AI model that rapidly identifies T-cell epitopes in pathogenic virus and bacteria for the use in prophylactic infectious disease vaccines. The RAVEN™ model synergizes with EDEN™ as RAVEN™ identified T-cell antigens can be used either as a stand-alone or incorporated into known or novel EDEN™ identified B-cell antigens. We believe that a vaccine comprising both RAVEN™ and EDEN™ identified antigens will elicit both an antibody and a T-cell response. This may result in highly efficacious and broadly protective vaccines through robust memory T-cell populations. The RAVEN™ model is a transformer-based neural network, trained using a conditional generative adversarial network approach. The algorithm is adjustable and can be used to ensure the broadest possible response across human tissue types and entire virus species, or alternatively to target specific human populations with common tissue types and/or selected viral strains in outbreaks. In a study using 17 T-cell epitopes identified by RAVEN™ across the SARS-CoV-2 genome, 15 epitopes (88%) induced T-cell activation and provided significant protection against lethal SARS-CoV-2 challenge in a mouse model. Moreover, T-cell epitope enrichment
 
7

TABLE OF CONTENTS
 
involving engraftment of CD4+ T-cell epitopes from hemagglutinin genetic information across numerous influenza species improved antibody response in pre-clinical studies. Hemagglutinin, a viral fusion protein like the spike protein in coronaviruses, plays a crucial role in cellular entry. Enrichment of hemagglutinin significantly enhanced antibody response, resulting in 5-10 times better neutralization compared to non-enriched hemagglutinin. These identified antigens can be administered by any established vaccine delivery technology such as protein, DNA or mRNA.
We have applied RAVEN™ in our current pre-clinical vaccine program; EVX-V1, targeting CMV and in our EVX-B3 bacteria vaccine development.
Our AI-DeeP™ Model
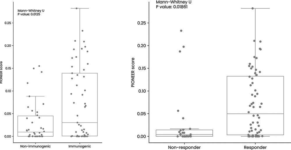
AI-DeeP™ is our proprietary AI model designed to predict if patients respond to cancer immunotherapies and is an instrumental part for the Responder part of our strategy. It utilizes immunogenomic expression profiles as well as neoantigen and ERV-antigen burden to differentiate between patients who could benefit from these therapies and those who may not.
Initially, the model’s effectiveness was highlighted through a clinical trial (EVX-01) where it successfully retrospectively predicted patient outcomes based on immunogenomic profiles from tumor biopsies. This prediction was statistically significant and shows promise in identifying patient response to immunotherapy.
Furthermore, AI-DeeP™ was improved by incorporating additional features, including neoantigen and ERV-antigen burden, resulting AI-DeeP™ outperforming classical biomarkers in identifying non-responding patients. It showcased the ability to pinpoint 10 – 30% of non-responsive cases with a precision of 95%, compared to 70 – 80% precision achieved by traditional biomarkers tumor mutational burden, or TMB and PD-L1 tumor expression.
This AI model shows promise in reducing clinical development risks and enhancing benefits for patients and healthcare payers by stratifying patients based on their predicted likelihood to respond to immunotherapy. Hence, it holds great promise for improving outcomes and addressing the significant healthcare burden. Ongoing efforts aim to further refine and validate AI-DeeP™ by accumulating more data, enhancing its sensitivity, and increasing predictive accuracy.
We presented Proof of Principle for our Responding model in November 2023 at Biomarkers & Precision Oncology Europe conference.
Our Pipeline
The immune system is generally considered nature’s strongest weapon to fight disease. When the immune system is engaged, people are often able to fully eliminate a disease or infection from the body. Using our deep understanding of the human immune system and our proprietary AI-Immunology™ technology, we can mimic the human immune system in silico and predict whether certain stimuli induce an immune response. Our predictive power relies on our ability to process and interpret vast amounts of immune-related data, a process known as computational immunology. Using our in-silico AI models, we are able to transform such data into advanced algorithms that we believe can accurately predict cellular interactions within the immune system and identify the right vaccine targets that will stimulate a relevant response. To translate the identified targets into product candidates, we test multiple delivery modalities and move the most promising forward. We believe this process allows us to discover new product candidates and move them into the clinic without spending time and resources on clinical development of product candidates that may ultimately fail to produce a therapeutic or prophylactic response.
Based upon the AI-Immunology™ platform we have established a broad pre-clinical and clinical pipeline within cancer and infectious diseases. Our pipeline candidates are a mix of proprietary and partnered programs. Please see the chart below for an overview of the current Evaxion pipeline.
 
8

TABLE OF CONTENTS
 
[MISSING IMAGE: fc_stageofdevelop-4c.jpg]
Figure 6
The Evaxion pipeline.
Patent Portfolio and Intellectual Property
To protect and maintain exclusivity to our products and AI-Immunology™ platform, we have developed what we believe is a strong portfolio of patents and trade-secrets. Our strategy for protecting our AI-Immunology™ platform is to pursue patent protection on some essential features while keep other essential features as trade secrets. The strategy allows us to obtain patent protection on essential features and protect our technology against copying. We believe this strategy effectively protects our proprietary position and exclude competitors from utilizing our technology.
In addition, we pursue patent protection for our pipeline products focusing on obtaining patent rights covering; composition of matter, methods, and use of same. We own thirty (30) patent families; twenty-six (27) granted patents and seventy (82) patent applications. In general, our strategy is to file a priority document with the European Patent office (EPO) followed by a Patent Co-operation Treaty (PCT) application and subsequently national or regional filings, e.g. Unites States, Europe (EPO), Japan, China, Australia, and Canada.
We will continue to capture value of our innovation by patenting and trade-secrets following our strategy on intellectual property. These assets will continue to build and strengthen our position within AI, infectious disease, cancer vaccines and cancer treatment response predictions.
Our Management Team
To deliver on our objectives, we have built an experienced and broadly skilled management team.
Our Chief Executive Officer, Christian Kanstrup joined on September 1, 2023. Christian Kanstrup has more than 25 years of experience in the life science industry, coming from a position of Executive Vice President at Mediq before joining Evaxion. Prior to that, Christian held a broad range of senior management roles at Novo Nordisk A/S, most recently as Senior Vice President and global head of Biopharm Operations, and previously held other senior leadership roles within commercial, strategy and corporate development roles. Christian also holds various board and advisory positions in the life science industry, advising on corporate strategy and company growth.
Our Chief Science Officer Dr. Birgitte Rønø joined in 2017 and was appointed CSO in 2021. Dr. Rønø has more than 20 years’ experience in biopharmaceutical drug discovery from academia and industry and
 
9

TABLE OF CONTENTS
 
received her PhD in experimental oncology and immunology from National Institutes of Health, Bethesda, USA, and Copenhagen University Hospital, Denmark. Prior to joining Evaxion, Birgitte Rønø served as a specialist, team leader and project manager at Novo Nordisk A/S, where she led early drug discovery projects, evaluating in-licensing opportunities, and supporting drug development projects with pre-clinical and biomarker expertise.
Jesper Nyegaard Nissen joined as Chief Operating Officer in 2022 and was also appointed interim Chief Financial Officer in 2023. For over 25 years, Jesper Nyegaard Nissen has worked broadly across the pharma value chain in global operations positions at Novo Nordisk anchored in research, development and finance. He has covered business areas across a variety of focus points, including finance operation, external innovation and collaborations, digitalization of business process optimization, development and shaping of organizational capacities, and implementation of performance and process improvement structures. On July 31, 2024, he tendered his resignation as the Interim Chief Financial Officer and Chief Operating Officer, to be effective October 31, 2024. Mr. Nissen’s resignation was for personal reasons and was not a result of any disagreement with the Company on any matter relating to the Company’s operations, policies or practices.
The Company has appointed Thomas Frederik Schmidt to assume Mr. Nissen’s responsibilities as the Interim Chief Financial Officer. Mr. Schmidt brings more than 29 years of financial management experience from across different industries with more than 25 years of these being based in the life science industry including roles as country Managing Director and country Chief Financial Officer in Roche and Group CFO in Ambu, a MedTech company listed on the Nasdaq Copenhagen Stock Exchange. Mr. Schmidt holds a Master of Science in Business Economics and Auditing from Copenhagen Business School and has undergone training and preparation for State Authorized Public Accountant (CPA) exam. Mr. Schmidt has succeeded Mr. Nissen as the Company’s Interim CFO as of November 1, 2024.
Andreas Holm Mattsson serves as Chief AI Officer at Evaxion Biotech, where he’s been at the forefront in silico-based vaccine target discovery. He has played a key role in developing Evaxion’s innovative AI-Immunology platform, a proprietary AI technology for identifying novel vaccine targets for cancer and infectious diseases. Andreas brings a strong educational background in bioinformatics from the Technical University of Denmark and has previously worked at Novo Nordisk. Since founding Evaxion in 2008, he has been an essential part of the company’s growth, serving in various executive roles.
Company Structure
We have been building strong in-house multidisciplinary capabilities spanning the full value chain from AI target discovery to early clinical development. However, a lot of our development is done via CDMOs/CROs to focus our limited internal resources in strategic core areas where we have an edge over our competitors. The research we do in-house is mainly focused on AI-Immunology™ platform development, pre-clinical mouse studies and clinical translational activities, i.e. our core scientific areas. Other scientific activities, like manufacturing of new drug product leads, toxicology studies, clinical trial management and regulatory affairs are outsourced to CDMOs/CROs, where we internally have experienced managers/scientists to manage these. Our organizational strategy for now, is to continue with this setup to maintain flexibility and limit our fixed cash burn rate and at the same time develop and stay at the forefront within AI-Immunology™.
Our Strengths
Since our inception, we have applied our advanced data, AI, and machine learning capabilities to transform complex biological data into tangible AI-Immunology™ powered vaccines. We believe that we were one of the first companies to challenge status quo in drug discovery and development using AI technology. By building our multidisciplinary capabilities, gathering data and developing our AI prediction models, we hold a pioneering position with our AI-Immunology™ platform.
Our key strengths include:

Our flexible, modular, scalable and adaptable AI-Immunology™ platform offers a strong value proposition toward existing and potential partners
 
10

TABLE OF CONTENTS
 

Our five AI models PIONEER™, ObsERV™, AI-DEEP™, EDEN™ and RAVEN™ ingrained in the AI-Immunology™ platform, have allowed us to generate numerous pipeline candidates within both cancer and infectious diseases, all with first-in-class potential and with our first two cancer product candidates in clinical development

We are seeing a strong external interest in both our AI-Immunology™ platform and our pipeline and the significantly expanded vaccine collaboration with MSD signed in September 2024, containing potential milestones of USD $592 million for each of EVX-B2 and EVX-B3, validates our approach

Our AI-Immunology™ platform offers the potential to expand our partnerships and product candidate portfolio and allows for entering into additional therapy areas

Our AI-Immunology™ platform facilitates the identification of novel effective vaccine targets, enhancing the potential for clinical success

Our in-house capabilities for experimental screening and testing of novel targets/product leads allow us to move rapidly from target/product lead identification to pre-clinical development and further into clinical development

Our model for iterative training allows for continuous improvement of our AI-Immunology™ platform as data are generated throughout the drug development stages

We have established a direct link between the predictive power of our AI-Immunology™ platform and preclinical and clinical outcome

Our existing collaborations are confirming the strength of our AI-Immunology™ platform

Our strong ties with MSD Global Health Innovation Fund (MSD GHI), a corporate venture capital arm of Merck & Co., Inc., Rahway, NJ, USA as our single largest shareholder holding approximately 13% (see Share Ownership — Major Shareholders)
Risks Associated with Our Business
Our business is subject to several risks of which you should be aware before making an investment decision. These risks are discussed more fully in the section of this prospectus titled “Risk Factors” immediately following this prospectus summary. These risks include, but are not limited to, the following:

On May 7, 2024, we received a notification from Nasdaq that we are not in compliance with the Nasdaq requirement to maintain a minimum equity of USD $2.5 million. We were granted an extension until November 4, 2024, to demonstrate compliance with the Nasdaq listing requirements. On November 11, 2024 we received a delisting notice from Nasdaq Capital Markets, which we appealed on November 12, 2024 to pursue an additional 180-day exemption allowing time for securing compliance in a balanced way. On January 7, 2025 the Nasdaq hearing took place, where we had a constructive dialogue with the Nasdaq Hearing Panel. The Panel’s decision was received on January 27, 2025 that granted us until May 12, 2025 in order to demonstrate compliance in accordance with the deadlines and conditions set forth by the Nasdaq Hearing Panel. During the additional extension, we intend to demonstrate compliance and maintain our Nasdaq listing, however there is no guarantee that we will be able to demonstrate compliance. Notwithstanding the foregoing, there can be no assurance that we will be able to meet the deadlines or conditions imposed by the Nasdaq Hearing Panel, or regain compliance with all applicable requirements for continued listing. Additionally, the Nasdaq Listing and Hearing Review Council may, on its own motion, determine to review any hearing panel decision within 45 calendar days after issuance of the written decision. If the Listing Council determines to review the Nasdaq Hearing Panel’s decision, it may affirm, modify, reverse, dismiss or remand the decision to the Nasdaq Hearing Panel. Continued non-compliance could result in delisting from Nasdaq Capital Markets. Such a delisting would likely have a negative effect on the price of the ADSs and would impair your ability to sell or purchase the ADSs when you wish to do so. In the event of a delisting, any action taken by us to restore compliance with listing requirements may not i) allow the ADSs to become listed again, ii) stabilize the market price, iii) improve the liquidity of the ADSs, iv) prevent the ADSs from dropping below the Nasdaq minimum bid price requirement or v) prevent future non-compliance with the listing requirements of Nasdaq.
 
11

TABLE OF CONTENTS
 

We are a clinical stage AI-Immunology company with only two product candidates in the early stages of clinical trials.

We have incurred significant losses since our inception, and we anticipate that we will continue to incur significant losses for the foreseeable future, however reduced due to our strategic focus on partnerships.

We will require substantial additional financing to achieve our goals which may not be available.

We will need to develop our company, and we may encounter difficulties in managing this development and expansion, which could disrupt our operations.

Pharmaceutical product development is inherently uncertain, and there is no guarantee that any of our product candidates will receive marketing approval.

No vaccine has been approved using our technology, and none may ever be approved.

Our product candidates may not work as intended, may cause undesirable side effects or may have other properties that could delay or prevent their regulatory approval, limit the commercial profile of an approved label or result in significant negative consequences following marketing approval, if any.

Our business model is based upon partnering and there is no guarantee that we will be able to secure needed partnerships to be able to monetize our platform and assets. Our future partners, if any, may not be able to obtain regulatory approval for products, if any, derived from our product candidates under applicable US, European and other international regulatory requirements.

We face significant competition in an environment of rapid technological and scientific change, and our failure to effectively compete would prevent us from achieving our goals.

Even if products derived from our product candidates receive regulatory approval, such products may not gain market acceptance and our future partners, if any, may not be able to effectively commercialize them.

If we are not successful in developing our product candidates and our future partners, if any, are not successful in commercializing any products derived from our product candidates, our ability to expand our business and achieve our strategic objectives will be impaired.

We rely on third parties in the conduct of significant aspects of our pre-clinical studies and clinical trials and intend to rely on pharma partners in the conduct of future clinical trials. If these third parties/pharma partners do not successfully carry out their contractual duties, fail to comply with applicable regulatory requirements and/or fail to meet expected deadlines, we may face delays and/or be unable to obtain regulatory approval for our product candidates.

Enrolling patients in clinical trials may be difficult for many reasons, including high screen failure, manufacturing capacity for personalized products, timing, proximity and availability of clinical sites, perceived risks, and publicity about the success or lack of success in the methods of treatment.

Our future partners, if any, may encounter difficulties in manufacturing to supply clinical studies and the market.

Certain of our product candidates may be uniquely manufactured for each patient and we and/or our future partners may encounter difficulties in manufacturing, particularly with respect to the scaling-up of manufacturing capabilities.

If our efforts to obtain, maintain, protect, defend and/or enforce the intellectual property related to our product candidates and technologies are not adequate, we may not be able to compete effectively in our market.

We may be involved in lawsuits to protect or enforce our intellectual property or the intellectual property of our licensors, or to defend against third-party claims that we infringe, misappropriate or otherwise violate such third party’s intellectual property.
 
12

TABLE OF CONTENTS
 
Corporate Information
We were incorporated under the laws of the Kingdom of Denmark on August 11, 2008, as a private limited liability company (in Danish: Anpartsselskab, or ApS) and are registered with the Danish Business Authority (in Danish: Erhvervsstyrelsen) in Copenhagen, Denmark under registration number 31762863. On March 29, 2019, our company was converted into a public limited liability company (in Danish: Aktieselskab, or A/S). Our principal executive offices are located at Dr. Neergaards Vej 5F, 2970 Hørsholm, Denmark and our telephone number is +45 31 31 97 53. Our website address is www.evaxion-biotech.com. The information on, or that can be accessed through, our website is not part of and is not incorporated by reference into this prospectus. We have included our website address as an inactive textual reference only.
Implications of Being an “Emerging Growth Company”
We are an “emerging growth company,” as defined in Section 2(a) of the Securities Act of 1933, as amended, or the Securities Act. As such, we are eligible to, and intend to, take advantage of certain exemptions from various reporting requirements applicable to other public companies that are not “emerging growth companies” such as not being required to comply with the auditor attestation requirements in the assessment of our internal control over financial reporting of Section 404 of the Sarbanes-Oxley Act of 2002, or the Sarbanes-Oxley Act. We could remain an “emerging growth company” for up to five years, or until the earliest of (a) the last day of the first fiscal year in which our annual gross revenue exceeds $1.235 billion, (b) the date that we become a “large accelerated filer” as defined in Rule 12b-2 under the Securities Exchange Act of 1934, as amended, or the Exchange Act, which would occur if the market value of all our ordinary shares, including those represented by the ADSs, that are held by non-affiliates exceeds $700 million as of the last business day of our most recently completed second fiscal quarter, or (c) the date on which we have issued more than $1 billion in nonconvertible debt during the preceding three-year period.
Recent Developments
Extraordinary General Meeting
On January 17, 2025, an extraordinary general meeting of Evaxion was held, where it was approved to reduce our share capital by nominal DKK 58,980,417 from nominal DKK 78,640,556 to nominal DKK 19,660,139 to cover loss. Furthermore, it was approved to reduce the nominal value of the shares from nominal DKK 1 per share to nominal DKK 0.25 per share, and our Article of Association were amended accordingly.
ADS Ratio Change
Our board of directors approved the change in the ratio of ADSs evidencing ordinary shares from one (1) ADS representing ten (10) ordinary shares to one (1) ADS representing fifty (50) ordinary shares, which resulted in a one for five (5) reverse split of the issued and outstanding ADSs. The 2025 ADS Ratio Change was effective January 14, 2025. All ADS and related warrant information presented in this prospectus, including our financial statements and accompanying footnotes, has been retroactively adjusted to reflect the reduced number of ADSs resulting from the ADS Ratio Change, unless otherwise noted.
Receipt of Nasdaq Notification
On May 7, 2024, the Nasdaq Stock Market LLC (“Nasdaq”) Listing Qualifications Department notified us that the Company no longer complied with Nasdaq Listing Rule 5550(b)(1) (the “Rule”). Under the Rule, companies listed on Nasdaq must maintain stockholders’ equity of at least $2,500,000 (the “Stockholders’ Equity Requirement”). The Company’s stockholders’ equity of $(4,729,000) for the period ended December 31, 2023, was below the Stockholders’ Equity Requirement for continued listing.
On May 31, 2024, we submitted a plan to the staff at the Nasdaq Listing Qualifications Department (the “Staff”) to regain compliance with the Stockholders’ Equity Requirement (the “Compliance Plan”), and on June 13, 2024, the Staff notified the Company (the “Letter”) that it would be granted an extension until November 4, 2024, to demonstrate compliance with the Rule to meet the continued listing requirements of Nasdaq, conditioned upon the Company evidencing compliance with the Rule.
 
13

TABLE OF CONTENTS
 
On November 11, 2024, we received a delisting notice from Nasdaq Capital Markets, which we appealed on November 12, 2024, and pursued an additional 180-day exemption allowing time for securing compliance in a balanced way. On January 7, 2025, the Nasdaq hearing took place, where we had a constructive dialogue with the Nasdaq Hearing Panel. The Panel’s decision was received on January 27, 2025 and granted us an additional 180-day exemption until May 12, 2025 to demonstrate compliance in accordance with the deadlines and conditions set forth by the Nasdaq Hearing Panel. During the additional extension, we intend to regain compliance and maintain our Nasdaq listing, however there is no guarantee that we will be able to regain compliance and continued non-compliance could result in delisting from Nasdaq Capital Markets. Meanwhile, we have already restored equity above the Nasdaq minimum requirement as of January 28, 2025.
We have restored our equity above the $2.5 million minimum through exercise of prefunded warrants and sales of our ADSs through our at-the-market program with JonesTrading Institutional Services LLC (“Jones”). This has also extended our cash runway until the fourth quarter of 2025. In total, we have secured additional cash and equity amounting to $7.8 million through these means.
Further, we are in discussions with the European Investment Bank (EIB) about conversion of €3.5 million out of our €7 million loan with EIB, which is expected to increase our equity by $3.7 million (€3.5 million) immediately upon completion and help us continue to remain in compliance. An agreement between Evaxion and EIB would be subject to certain conditions and is still expected to be finalized and implemented in the first quarter of 2025, e.g. before the new deadline set by Nasdaq.
Notwithstanding the foregoing, there can be no assurance that we will be able to meet the deadlines or conditions imposed by the Nasdaq hearings panel or regain compliance with all applicable requirements for continued listing. Additionally, the Nasdaq Listing and Hearing Review Council may, on its own motion, determine to review any hearing panel decision within 45 calendar days after issuance of the written decision. If the Listing Council determines to review the hearing panel’s decision, it may affirm, modify, reverse, dismiss or remand the decision to the hearing panel.
Business Updates
On September 9, 2024, Evaxion announced it had obtained pre-clinical Proof-of-Concept (PoC) for novel mRNA Gonorrhea vaccine candidate EVX-B2, achieving another company milestone. New pre-clinical data demonstrated the ability of EVX-B2 in eliminating gonorrhea bacteria by triggering a targeted immune response, providing strong PoC for the mRNA-based version of EVX-B2 in a pre-clinical setting. EVX-B2 was initially designed as a protein-based prophylactic vaccine candidate for which pre-clinical PoC had already been obtained. The novel pre-clinical data for the mRNA-version of the vaccine substantiates that AI-Immunology™ identified vaccine antigens are delivery modality agnostic and can be applied across different vaccine modalities.
On September 16, 2024, Evaxion announced convincing one-year data from an ongoing phase 2 trial on its lead clinical asset, AI-designed personalized cancer vaccine EVX-01. Presenting phase 2 efficacy data for an AI-designed vaccine was a major milestone for Evaxion.
The data demonstrated 69% Overall Response Rate, reduction in tumor target lesions in 15 out of 16 patients, an immunogenicity rate of 79%, and a positive correlation between our AI-Immunology™ platform predictions and immune responses induced by the individual neoantigens in the EVX-01 vaccine (p=0.00013). The observed immunogenicity rate means that 79% of EVX-01’s vaccine targets triggered a targeted immune response, which compares very favorably to what is seen with other approaches.
These clinical findings underscore the significant therapeutic potential of EVX-01 and are yet another validation of the AI-Immunology™ platform as a leading AI technology for fast and effective vaccine target discovery and design. The data was presented at the renowned European Society for Medical Oncology (ESMO) Congress 2024.
On September 19, 2024, Evaxion launched an improved version of its AI-Immunology™ platform for vaccine antigen prediction. Among other improvements, the platform can now predict toxin antigens, allowing for the development of improved bacterial vaccines. The upgrade will expectedly improve Evaxion’s
 
14

TABLE OF CONTENTS
 
ability to fast and effectively discover AI-derived novel vaccines and is expected to further solidify the strong interest seen in AI-Immunology™ from potential partners.
On September 26, 2024, Evaxion announced a significant expansion of its vaccine development collaboration with MSD (tradename of Merck & Co., Inc., Rahway, NJ, USA) in a transformative deal carrying substantial value for Evaxion.
Under the terms of the agreement, Evaxion has granted MSD an option to exclusively license Evaxion’s preclinical vaccine candidates EVX-B2 and EVX-B3. EVX-B2 is a protein-based candidate for Gonorrhea and EVX-B3 targets an undisclosed infectious agent. In return, Evaxion receives an upfront payment of $3.2 million and up to $10 million in 2025, contingent upon MSD exercising its option to license either one or both candidates. In addition, Evaxion is eligible for development, regulatory and sales milestone payments with a potential value of up to $592 million per product, as well as royalties on net sales.
Evaxion and MSD have been collaborating on EVX-B3 since 2023. Also in 2023, MSD, through its Global Health Innovation Fund (MGHIF), led a private placement round of financing for Evaxion to become the company’s single largest shareholder. MGHIF also participated in Evaxion’s public offering in February 2024.
On November 12, 2024, Evaxion announced positive preclinical data for its cytomegalovirus (CMV) vaccine program EVX-V1. The data demonstrates that CMV antigens identified with Evaxion’s AI-Immunology™ platform trigger targeted immune responses. Results also showcases the successful design of a proprietary prefusion glycoprotein B (gB) antigen with ability to neutralize the virus. Evaxion is advancing these new findings to develop a multi-component CMV vaccine candidate.
On December 2, 2024, Evaxion announced that it would present data from preclinical studies with its precision cancer vaccine concept targeting non-conventional ERV (endogenous retrovirus) tumor antigens shared across patients at the ESMO Immuno-Oncology Congress, taking place from December 11-13, 2024, in Geneva, Switzerland. The data provides preclinical Proof-of-Concept for the concept.
On December 17, 2024, Evaxion announced that it is currently in advanced discussions with the European Investment Bank (EIB) about conversion of €3.5 million out of Evaxion’s €7 million loan with EIB into an equity-type instrument. A conversion is expected to increase Evaxion’s equity by $3.7 million (€3.5 million) immediately upon completion and constitutes an important part of Evaxion’s plan to ensure ongoing compliance with the Nasdaq listing requirements, although there is no guarantee that a final agreement will be reached. Evaxion has no debt besides the EIB-loan, so the conversion would also substantially reduce the company’s overall liabilities, simplify its balance sheet and improve its financial flexibility and cash flow.
An agreement between Evaxion and EIB would be subject to certain conditions. Such agreement is expected to be finalized and implemented in the first quarter of 2025.
On January 15, 2025, Evaxion announced that dosing in its phase 2 trial with personalized cancer vaccine EVX-01 was completed according to trial protocol and timelines, meaning the trial remains on track for completion and data readout in the second half of 2025. Coincidently, the first patient has now completed the trial and has had last visit according to the protocol. Patients will continue to be monitored and data collected.
 
15

TABLE OF CONTENTS
 
The Offering
Securities offered by us
Up to 3,997,361 ADSs representing 199,868,050 ordinary shares, and accompanying Warrants to purchase up to 1,998,675 ADSs representing 99,933,750 ordinary shares. The ADSs and Warrants are immediately separable and will be issued separately in this offering but must initially be purchased together in this offering. Each Warrant has an exercise price of $2.71 per ADS, is immediately exercisable and will expire 5 years from the date of issuance. See “Description of Securities”.
ADSs
Each ADS represents 50 ordinary shares. As a holder of ADSs, we will not treat you as one of our shareholders. The depositary will be the holder of the ordinary shares underlying the ADSs, and you will have the rights of a holder of ADSs or beneficial owner (as applicable) as provided in the deposit agreement among us, the depositary and owners and holders of ADSs from time to time. To better understand the terms of the ADSs you should read the section herein entitled “Description of Share Capital and Articles of Association” in this prospectus. We also encourage you to read the deposit agreement, the form of which is filed as an exhibit to the registration statement of which this prospectus forms a part.
Warrants
Each Warrant will be immediately exercisable, will expire five (5) years from the date of issuance and have an exercise price of $2.71, subject to adjustment as set forth therein.
Term of the offering
This offering will terminate on February 14, 2025, unless we decide to terminate the offering (which we may do at any time in our discretion) prior to that date.
Ordinary shares outstanding before this Offering as of January 27, 2025
113,460,556 ordinary shares
ADSs outstanding before this Offering as of January 27,
2025
1,913,464 ADSs. To date, not all holders of outstanding ordinary shares have converted their ordinary shares to ADSs.
Ordinary shares and ADSs to be outstanding after this offering, including ordinary shares represented by ADSs
313,328,606 ordinary shares, and 5,910,825 ADSs, assuming no exercise of the Warrants. As noted above, to date, not all holders of outstanding ordinary shares have converted their ordinary shares to ADSs.
Use of proceeds
We estimate that our net proceeds from this offering will be approximately $9.4 million. This is based on the public offering price of $2.71 per ADS, assuming no exercise of the Warrants and after deducting the estimated Placement Agents fees and commissions and estimated offering expenses payable by us. We intend to use the net proceeds of this offering to advance our preclinical and clinical pipeline, and for continuing operating expenses and working capital.
 
16

TABLE OF CONTENTS
 
Risk factors
You should read the “Risk Factor Summary” section within this prospectus and in Item 3D (“Risk Factors”) in our 2023 Form 20-F included by reference in this prospectus, for a discussion of factors to consider carefully before deciding to invest in our securities.
Nasdaq Capital market symbol
The ADSs trade on the Nasdaq Capital Market under the symbol “EVAX.”
The number of our ordinary shares (including shares represented by ADSs in proportion to the designated ratio or fifty (50) ordinary shares to one (1) ADS, as described in this registration statement) to be outstanding after this offering is based on 113,460,556 ordinary shares outstanding as of January 27, 2025, and excludes:

3,044,794 ordinary shares issuable upon the exercise of warrants outstanding as of the date of this prospectus, pursuant to our Warrant Incentive Plans, at a weighted average exercise price of $1.19 per warrant;

49,475,025 ordinary shares issuable upon the exercise of warrants outstanding as of the date of this prospectus, based on warrants issued to investors and placement agent, at a weighted average exercise price of $0.46 per warrant;

1,550,000 ordinary shares issuable upon the exercise of warrants outstanding as of the date of this prospectus, based on warrants issued to consultants related to the Company, at an exercise price equal to USD $0.20 per warrant issued.

380,293,652 ordinary shares reserved for future issuance under our warrant plans. Includes 37,846,160 ordinary shares reserved for future issuance to directors, officers and key employees, 2,827,492 ordinary shares reserved for future issuance under the EIB Warrants, as described below in the section entitled “EIB Warrants”), and 339,620,000 shares reserved for future issuance under warrants that may be issued to future investors, lenders, consultants and/or advisors, if any.
For the description of the Warrant Incentive Plan see “Warrant Incentive Plan” herein.
Unless otherwise stated, all information in this prospectus assumes no exercise of the outstanding options and warrants described above into ordinary shares, no exercise of the Warrants in this offering into ADSs, treats all restricted shares issued with outstanding restrictions to be vested as issued and outstanding ordinary shares.
Except as otherwise indicated all references to our articles of association in this prospectus refer to our articles of association, as amended as currently in force for the Company at the date of this prospectus.
 
17

TABLE OF CONTENTS
 
Summary Consolidated Financial Data
The following tables set forth our summary financial data for the periods indicated. The consolidated financial statements as of December 31, 2023, have been audited in accordance with the standards of the Public Company Accounting Oversight Board (Unites States). Our financial statements are prepared and presented in accordance with IFRS, as issued by the IASB. IFRS differ in certain significant respects from U.S. GAAP.
We have derived the summary consolidated statements of comprehensive loss for the six months ended June 30, 2024, 2023 and 2023 2022, and the summary consolidated statements of financial position as of June 30, 2024, 2023 and 2022, from the unaudited condensed consolidated interim financial statements. We have prepared the unaudited condensed consolidated interim financial statements on the same basis as the audited financial statements, and the unaudited condensed consolidated financial data include all adjustments, that we consider necessary for a fair presentation of our financial position and results of operations as of and for the periods presented.
Our historical results are not necessarily indicative of results expected for future periods and our consolidated operating results for the nine months ended September 2024 and six months ended June 30, 2024 are not necessarily indicative of the results that may be expected for the entire year ended December 31, 2024.
The summary financial data below should be read together with our financial statements and related notes, and our unaudited condensed consolidated interim financial statements and related notes incorporated by reference in this prospectus.
Summary Statements of Comprehensive Loss (USD in thousands)
For The Year Ended December 31,
2023
2022
2021
(USD in thousands, except per share amounts)
Revenue
73
Research and development
(11,916) (17,056) (19,583)
General and administrative
(10,354) (8,208) (6,251)
Operating loss
(22,197) (25,264) (25,834)
Finance income
963 2,831 2,039
Finance expense
(1,681) (1,508) (915)
Net loss before tax
(22,915) (23,941) (24,710)
Income tax benefit
790 772 178
Net loss for the year
(22,125) (23,169) (24,532)
Net loss attributable to shareholders of Evaxion Biotech A/S.
(22,125) (23,169) (24,532)
Loss per share – basic and diluted
(0,81) (0,98) (1,26)
 
18

TABLE OF CONTENTS
 
Six Months Ended June 30,
2024
2023
2022
(USD in thousands, except per share amounts)
Revenue
205
Research and development
(5,588) (6,788) (8,916)
General and administrative
(3,594) (5,283) (3,742)
Operating loss
(8,977) (12,071) (12,658)
Finance income
5,838 332 2,058
Finance expense
(2,282) (604) (383)
Net loss before tax
(5,421) (12,343) (10,983)
Income tax benefit
417 419 424
Net loss for the year
(5,004) (11,924) (10,559)
Net loss attributable to shareholders of Evaxion Biotech A/S.
(5,004) (11,924) (10,559)
Loss per share – basic and diluted
(0.10) (0.46) (0.45)
Nine Months Ended September 30,
2024
2023
2022
(USD in thousands, except per share amounts)
Revenue
3.222
Research and development
(8,202) (9,618) (12,983)
General and administrative
(5,728) (8,215) (5,756)
Operating loss
(10,708) (17,833) (18,739)
Finance income
5,922 404 2,761
Finance expense
(2,665) (786) (918)
Net loss before tax
(7,451) (18,215) (16,896)
Income tax benefit
513 613 599
Net loss for the year
(6,938) (17,602) (16,297)
Net loss attributable to shareholders of Evaxion Biotech A/S.
(6,938) (17,602) (16,297)
Loss per share – basic and diluted
(0.13) (0.66) (0.69)
Summary Consolidated Statement of Financial Position (USD in thousands)
Sep 30,
2024
Jun 30
2024
Dec 31,
2023
Dec 31,
2022
Cash and cash equivalents
4,576 7,993 5,583 13,184
Total assets
15,185 15,231 12,889 22,025
Total liabilities
15,111 13,978 17,618 13,772
Share capital
8,732 8,244 5,899 3,886
Other reserves
106,245 105,983 99,946 90,262
Accumulated deficit
(114,903) (112,974) (107,860) (85,845)
Total equity before derivative warrant liability
74 1,253 (2,015) 8,303
Effect from derivative liabilities from investor warrants
(2,714)
Total equity
74 1,253 (4,729) 8,303
Total liabilities and equity
15,185 15,231 12,889 22,025
 
19

TABLE OF CONTENTS
 
RISK FACTORS
Our business is subject to a number of risks and uncertainties, including those risks discussed at length in Section 3.D — Risk Factors in our 2023 Form 20-F incorporated into this prospectus by reference. Below are risks that are updated or new risks since our 2023 Form 20-F, as well as a summary of risks. Investing in our company and its securities involves a high degree of risk. You should carefully consider the risks and uncertainties described below, together with all of the other information in this prospectus, including the information incorporated by reference to our 2023 Form 20-F, before investing in our company and our securities. If any of these risks materialize, our business, financial condition, operating results and prospects could be materially and adversely affected. In that event, the price or value of the ADSs in the public market could decline, and you could lose part or all of your investment. This registration statement also contains forward-looking statements that involve risks and uncertainties. Our results could materially differ from those anticipated in these forward-looking statements, as a result of certain factors including the risks described below and elsewhere in this registration statement. See “Special Note Regarding Forward-Looking Statements” above.
The following is a summary of some of the principal risks we face. The list below is not exhaustive, and investors should read the risks described under the heading “Risk Factors” in our 2023 Form 20-F incorporated by reference herein, as well as the additional risks set forth in this section, in full.
The principal risks and uncertainties affecting our business include the following:

We are a clinical stage TechBio company with only product candidates currently in clinical development.

We have a limited operating history and no vaccine has been approved using our technology, and none may ever be approved.

We are dependent upon successfully concluding partnerships to advance our product candidates to monetize our assets.

We have incurred significant losses since our inception, and we anticipate that we will continue to incur significant losses for the foreseeable future.

We will require substantial additional financing to achieve our goals, and a failure to obtain this capital on acceptable terms, or at all, could force us to delay, limit, scale back or cease our product development activities or any other or all operations.

We will need to develop and expand our company, and we may encounter difficulties in managing this development and expansion, which could disrupt our operations.

We are substantially dependent on the success of product candidates, which may not be successful in nonclinical studies or clinical trials, receive regulatory approval or be successfully commercialized.

Clinical drug development involves a lengthy and expensive process with uncertain outcomes, and we may encounter substantial delays in our clinical studies. Furthermore, results of earlier studies and trials may not be predictive of results of future trials.

Interim and preliminary data from our clinical trials that we announce or publish from time to time may change as more patient data become available and are subject to audit and verification procedures that could result in material changes in the final data.

Pharmaceutical product development is inherently uncertain, and there is no guarantee that any of our product candidates will receive marketing approval.

Competition in the biotechnology and pharmaceutical industries is intense and our competitors may discover, develop or commercialize products faster or more successfully than us. If we are unable to compete effectively our business, results of operations and prospects will suffer.

The effects of the invasion of Ukraine by Russia, the resulting conflict and retaliatory measures by the global community have created global security concerns, including the possibility of expanded regional or global conflict, which have had, are likely to continue to have, short-term and likely longer-term adverse impacts on Ukraine and Europe and around the globe, which could adversely
 
20

TABLE OF CONTENTS
 
affect our business and results of operations. The same applies to other global conflicts such as the ongoing conflict in the Middle East.

Our failure to meet Nasdaq’s continued listing requirements could result in a delisting of the ADSs. If we fail to satisfy the applicable continued listing requirements of Nasdaq, such as certain corporate governance requirements, minimum equity or minimum closing bid price requirement, Nasdaq may take steps to delist the ADSs. Such a delisting would likely have a negative effect on the price of the ADSs and would impair your ability to sell or purchase the ADSs when you wish to do so.

Our product candidates may not work as intended, may cause undesirable side effects or may have other properties that could delay or prevent their regulatory approval, limit the commercial profile of an approved label or result in significant negative consequences following marketing approval, if any.

The regulatory approval processes of the U.S. Food and Drug Administration, the European Medicines Agency and comparable authorities are lengthy, time consuming, and inherently unpredictable. If we are ultimately unable to obtain regulatory approval for our product candidates, our business will be substantially harmed.

Our future partners, if any, may not be able to obtain regulatory approval for products, if any, derived from our product candidates under applicable United States, European and other international regulatory requirements.

Even if products derived from our product candidates receive regulatory approval, such products may not gain market acceptance and our future partners, if any, may not be able to effectively commercialize them.

If we are not successful in developing our product candidates and our future partners, if any, are not successful in commercializing any products derived from our product candidates, our ability to expand our business and achieve our strategic objectives will be impaired.

We rely on third-parties to manufacture preclinical, clinical and commercial supplies of our products, product candidates and their components. In addition, we rely on third-parties in the conduct of significant aspects of our pre-clinical studies and clinical trials, and we intend to rely on third parties in the conduct of future clinical trials. If these third parties do not successfully carry out their contractual duties, fail to comply with applicable regulatory requirements and/or fail to meet expected deadlines, we may be unable to obtain regulatory approval for our product candidates.

Our future partners, if any, may encounter difficulties in manufacturing, product release, shelf life, testing, storage, supply chain management and/or shipping, and/or all of which could materially adversely affect our business operations.

Certain of our product candidates may be uniquely manufactured for each patient and we and/or our future partners may encounter difficulties in production, particularly with respect to the scaling of manufacturing capabilities.

If our and our future partners’, if any, efforts to obtain, maintain, protect, defend and/or enforce the intellectual property related to our product candidates and technologies are not adequate, we may not be able to compete effectively in our market.

We may be involved in lawsuits to protect or enforce our intellectual property or the intellectual property of our licensors, or to defend against third-party claims that we infringe, misappropriate or otherwise violate such third party’s intellectual property.
Risks Related to our Financial Condition and Capital Requirements
We have incurred significant losses since our inception, and we anticipate that we will continue to incur significant losses for the foreseeable future, which makes it difficult to assess our future viability. We have not generated significant revenue and may never be profitable.
We have incurred net losses in each year since our inception in 2008, including net losses of $22.1 million, $23.2 million, and $24.5 million for the years ended December 31, 2023, 2022, and 2021, respectively. As of December 31, 2023, we had an accumulated deficit of $108.0 million.
 
21

TABLE OF CONTENTS
 
We have devoted most of our financial resources to research and development, including our pre-clinical and clinical development activities and the development of our AI-Immunology™ platform. The amount of our future net losses will depend, in part, on the rate of our future expenditures and our ability to obtain funding through equity or debt financings, sales of assets, collaborations, including our out-licensing arrangements, if any, and grants. We believe that the cost and expense of most late stage clinical testing, regulatory and marketing approval and commercialization of our product candidates are beyond the resources of all but the large biopharmaceutical and pharmaceutical companies. Therefore, we currently intend to develop our vaccines through pre-clinical or clinical proof of concept, or PoC, and then enter into partnership arrangements with large biopharmaceutical and pharmaceutical companies to conduct clinical trials, regulatory and marketing approval and commercialization of our product candidates. We have not yet entered into any such partnership arrangements and may be unable to do so on economically viable terms, if at all. As a result, clinical trials, including late stage clinical trials as well as pivotal clinical trials for our product candidates have not been commenced under any such partnership arrangements and even if such trials are commenced in the near future, it will be several years, if ever, before we, or our partners, if any, have a product candidate ready for commercialization. Even if our future partners, if any, obtain regulatory approval to market a product candidate, our future revenues will depend upon the size of any markets in which our product candidates receive such approval, upfront, milestone and any other payments we receive from our future partners, if any, and our future partners’, if any, ability to achieve sufficient market acceptance, reimbursement from third-party payors, and adequate market share in those markets. We may never achieve profitability.
Our ability to generate revenue and achieve profitability depends on our and our partners ability to successfully complete the development of, and our partners’ ability to obtain the regulatory approvals necessary to commercialize, our product candidates.
We expect to continue to incur significant expenses and operating losses for the foreseeable future, however reduced due to the strategic focus on partnerships. For the next year the primary cost drivers are:

continue our research or development of our programs in pre-clinical and early stage clinical development;

continue to invest in our AI-Immunology™ platform to improve its predictive capabilities and identify novel vaccines;

invest in generation of needed pre-clinical evidence to support our partnership strategy

attract and retain skilled personnel;

make milestone or other payments under any in-license agreements; and

maintain, protect, defend, enforce and expand our intellectual property portfolio.
Our ability to generate future revenues from our potential commercialization partnerships depends heavily on our success in:

completing research and pre-clinical development, and successfully entering into partnership arrangements with large biopharmaceutical and pharmaceutical companies to conduct clinical trials, regulatory and marketing approval and commercialization of our product candidates for both our immuno-oncology and infectious disease product candidates to validate our AI-Immunology™ platform; and other business efforts

seeking, negotiating and obtaining agreements with future partners, if any, on favorable terms for the completion of clinical trials, and United States and non-United States marketing approvals and commercialization of our product candidates;

our relationships with our third-party manufacturers in order to provide adequate (in amount and quality) products in time and services to support clinical development of our product candidates;

our future partners, if any, obtaining market acceptance of our product candidates as treatment options;

our future partners, if any, launching and commercializing our product candidates for which marketing approval and reimbursement have been obtained;
 
22

TABLE OF CONTENTS
 

addressing any competing technological and market developments;

implementing additional internal systems and infrastructure;

maintaining, defending, protecting, enforcing and expanding our portfolio of intellectual property rights, including patents, trade secrets and know-how; and attracting, hiring and retaining qualified personnel.
Our operating results may fluctuate significantly, which makes our future operating results difficult to predict. If our operating results fall below expectations, the market price of the ADSs could decline.
Our financial condition and operating results have varied in the past and will continue to fluctuate from one financial period to the next due to a variety of factors, many of which are beyond our control. Factors relating to our business that may contribute to these fluctuations include the following, as well as other factors described elsewhere in this prospectus:

delays or failures in advancement of existing or future product candidates into pre-clinical studies or clinical trials;

failures in further development of our AI-Immunology™ platform;

the ability of our future partners, if any, to manufacture and successfully commercialize our product candidates;

our ability to manage our growth;

the outcomes of research programs, pre-clinical studies and clinical trials, and other product development or approval processes conducted by us and/or our future partners, if any;

our relationships, and any associated exclusivity terms, with partners;

our contractual or other obligations to provide resources to fund our product candidates;

our operations in a net loss position for the foreseeable future;

risks associated with the international aspects of our business outside of Denmark, including the conduct of clinical trials in multiple locations;

our and our partners’, to the extent relevant, consistent ability to have our products and product candidates manufactured by third parties;

our ability to develop programs to fit into a clinical work-flow and treatment regimen;

our ability to accurately report our financial results in a timely manner;

our dependence on, and the need to attract and retain, key management and other personnel;

our and our partners’ ability to obtain, protect, maintain, defend and enforce our intellectual property rights;

our and our partners’ ability to prevent the theft or infringement, misappropriation or other violation of our intellectual property, trade secrets, know-how or technologies;

potential advantages that our competitors and potential competitors may have in securing funding, obtaining the rights to critical intellectual property or developing competing technologies or products;

our ability to obtain additional capital that may be necessary to expand our business;

our future partners, if any, ability to obtain additional capital that may be necessary to develop and commercialize products under any future collaboration or licensing agreements;

business interruptions such as power outages, strikes, acts of terrorism, pandemics or natural disasters;

the effects of climate change on our operations;

the effects of the continuing conflict between Russian and the Ukraine and in the Middle East may have on our business and operations; and
 
23

TABLE OF CONTENTS
 

our ability to use our net operating loss, or NOL, carryforwards to offset future taxable income.
Due to the various factors mentioned above, and others, the projected financial information included in this should not be relied upon as indications of our future operating performance.
We will need substantial additional financing to achieve our goals, which may not be available on acceptable terms, or at all. Failure to obtain this necessary capital could force us to delay, limit, reduce or terminate our product development programs, commercialization efforts or other operations.
Our cash and cash equivalents were $4.6 million as of September 30, 2024, which does not include the $3.2 million upfront from the MSD agreement received in October 2024. The net proceeds from our IPO completed in February 2021 was $25.3 million, based on the initial public offering price of $500.00 per ADS, after deducting underwriting discounts and commissions and offering expenses. The net proceeds from our follow-on offering completed in November 2021 was $24.9 million, based on the public offering price of $35.00 per ADS after deducting underwriting discounts and commissions and offering expenses.
In August 2020, we executed a loan agreement, or the EIB Loan Agreement, with the European Investment Bank, or EIB, for a principal amount of €20.0 million, divided into three tranches of tranche 1 in the amount of €7.0 million, tranche 2 in the amount of €6.0 million and tranche 3 in the amount of €7.0 million, or the EIB Loan. Under the EIB Loan Agreement, the EIB Loan tranche balances are due six years from their respective disbursement dates. In connection with disbursement of each tranche, EIB is entitled to receive certain warrants, or the EIB Warrants. In November 2020, we initiated the process to receive the funds from the disbursement of tranche 1 of the EIB Loan in the aggregate amount of €7.0 million but due to the timing of our IPO we did not finalize a disbursement offer. In connection therewith, EIB received 351,036 EIB Warrants, which vested immediately, pursuant to the terms of a separate warrant agreement, or the EIB Warrant Agreement. We received the proceeds from the drawdown of the first tranche of the EIB loan of €7.0 million on February 17, 2022. As of the date of this registration statement, we have not initiated a drawdown on any additional tranches of the EIB Loan and under the present business plans we do not expect to draw the remaining 2 tranches. The remaining two tranches have become void.
In June 2022, we entered into a purchase agreement, or the LPC Purchase Agreement, with Lincoln Park Capital Fund, LLC, or Lincoln Park, pursuant to which we may, from time to time and at our sole discretion, for a period of 36-months, direct Lincoln Park to purchase up to 4,649,250 of our ordinary shares represented by the ADSs, subject to the development in the ADS price. If the ADS price is between $25.00 and $200.00 (as adjusted to take into account, the ADS Ratio Change) the number of purchase shares is limited to 50,000. If the price is not below $200.00 the purchase share limit may be increased to 60,000 purchase shares and if the price is not below $30.00 the purchase shares limit may be increased to 70,000 purchase shares. Under the terms of the LPC Purchase Agreement, we may receive up to $40,000,000 in aggregate gross proceeds from any sales of our ordinary shares represented by ADSs that we make to Lincoln Park thereunder. In connection with the LPC Purchase Agreement, we issued 8,571 ADSs representing ordinary shares to Lincoln Park as consideration for a commitment fee of $1,200,000 for Lincoln Park’s agreement to purchase ordinary shares represented by ADSs under the LPC Purchase Agreement, or the Commitment Shares. As of the date of this prospectus, Lincoln Park has not purchased any additional ordinary shares represented by the ADSs and we have not received any proceeds therefrom. At current, the closing conditions to make the LPC Purchase Agreement operational have not yet been met.
In October 2022, we initiated an at-the-market, or ATM, program with Jones acting as sales agent, relating to the sale of up to $14,439,000 of the ADSs. As of the date of this prospectus, we have raised gross proceeds of $14,413,306 from the sale of ADSs under this ATM program.
On July 31, 2023, we entered into an agreement with Global Growth Holding Limited, or GGH, for the issuance of, and subscription to, convertible notes, or the Notes, convertible into new ordinary shares, nominal value DKK 0.25, or the ordinary shares, or the GGH Agreement, with fifty shares represented by one (1) American Depositary Share, or the ADSs. Pursuant to the GGH Agreement, we may elect to sell to GGH up to $20,000,000 in such Notes, subject to certain limitations and conditions set forth in therein. The Notes are subject to conversion into new ordinary shares at any time upon submission of a request for conversion by GGH.
 
24

TABLE OF CONTENTS
 
Pursuant to the GGH Agreement, on any business day over the 36-month term of the GGH Agreement, we have the right, but not the obligation, at our sole discretion and subject to certain conditions, to direct GGH to purchase tranches of up to $700,000 in aggregate value of Notes, or a Tranche. The Notes carry a zero coupon and will be issued at a subscription price corresponding to their par value. The conversion price of the Notes will be determined as 83.5% of the second lowest closing volume weighted average share price (VWAP) of the ADSs for the eight (8) trading days immediately preceding the issuance of each conversion request by GGH, unless the lowest closing VWAP of the ADSs over the such eight (8) trading days is the most recent trading day in which case the conversion price will be 85% of the lowest closing VWAP of the ADSs over such eight (8) day period. The closing conditions to the GGH Agreement, which will include filing a registration statement, have not yet been met and the facility is not yet available to us.
On December 18, 2023, we entered into a securities purchase agreement, or the Securities Purchase Agreement, and an Investment Agreement, or the Investment Agreement, with certain Institutional Accredited Investors, Qualified Institution Buyers and other Accredited Investors, including all members of the Company’s Management and Board of Directors and MSD GHI, or MSD, a subsidiary of Merck Inc., for the issuance and sale in a private placement of 9,726,898 of the Company’s ordinary shares, DKK 1 nominal value represented by American Depositary Shares and accompanying warrants to purchase up to 9,726,898 Ordinary Shares represented by ADSs at a purchase price of $0.544 per Ordinary Share. The Warrants are exercisable immediately upon issuance, expire three (3) years after the closing date and have an exercise price equal to $0.707 per Ordinary Share. The above number of ordinary shares and neither the purchase price thereof nor the exercise price of the warrants reflect the 2024 ADS Ratio Change, nor the 2025 ADS Ratio Change, described herein.
On February 5, 2024, we closed a public offering with net proceeds of $12.6 million of 3,750,000 of the ADSs (or pre-funded warrants in lieu thereof) and warrants to purchase up to 3,750,000 ADSs at a combined public offering price of $4.00 per ADS (or pre-funded warrant in lieu thereof) and accompanying warrant. The warrants have an exercise price of $4.00 per ADS (amended to 27.52 DKK as of May 23, 2024), are exercisable immediately upon issuance and will expire five years following the date of issuance. Each ADS represents ten ordinary shares of the Company, and neither the purchase price thereof nor the exercise price of the warrants reflect the 2025 ADS Ratio Change effected on January 14, 2025, described herein.
We expect that the net proceeds from our IPO, our follow-on offering, our private placement in December 2023, our Public Offering in February 2024 and the net proceeds, we have received and may receive in the future under the ATM program and our existing cash and cash equivalents will be sufficient to fund our operating expenses and capital expenditures until Q4 2025. However, our operating plan may change as a result of many factors currently unknown to us, and we may need to seek additional funds sooner than planned, through public or private equity or debt financings, government or other third-party funding, sales of assets, other collaborations and licensing arrangements, or a combination of these approaches. In any event, we will require additional capital to achieve our goals. We will seek additional capital if market conditions are favorable or if we have specific strategic considerations. Our spending will vary based on new and ongoing development and corporate activities. Due to high uncertainty of the length of time and activities associated with discovery and development of our product candidates, we are unable to estimate the actual funds we will require for our development activities.
Our future funding requirements, both near and long term, will depend on many factors, including, without limitation:

the initiation, progress, timing, costs, and results of pre-clinical or nonclinical studies and clinical trials for our product candidates;

the results of research and our other platform activities;

the clinical development plans we establish for our product candidates;

the terms of any agreements with our future partners, if any;

the number and characteristics of any technology that we develop or may in-license;

the outcome, timing and cost of meeting regulatory requirements established by the FDA, the EMA, the TGA and other comparable regulatory authorities;
 
25

TABLE OF CONTENTS
 

the cost of filing, prosecuting, obtaining, maintaining, protecting, defending and enforcing our patent claims and other intellectual property rights, including actions for patent and other intellectual property infringement,

misappropriation and other violations brought by third parties against us regarding our product candidates or actions by us challenging the patent or intellectual property rights of others;

the effect of competing technological and market developments, including other products that may compete with one or more of our product candidates;

the cost and timing of completion and further expansion of clinical scale manufacturing activities by third parties sufficient to support all of our current and future programs. the impact and duration of the COVID-19 pandemic and its effect on the global economy and our business;

the effects of climate change on the global economy and our business; and

the effects of the continued conflict between Russia and the Ukraine and in the Israel-Gaza region on the global economy and our business.
To date, we have financed our operations primarily through the sale of equity securities, the EIB loan and from private and governmental grants and we cannot be certain that additional funding will be available on favorable terms, or at all. Until we can generate sufficient upfront fees, milestone payments and royalty revenues from our agreements with future partners, if any, to finance our operations, which we may never do, we expect to finance our future cash needs through a combination of public or private equity offerings, debt financings, sales of assets, out-licensing arrangements, and other product development arrangements. Any fundraising efforts may divert our management from their day-to-day activities, which may adversely affect our ability to develop our product candidates, the AI-Immunology™ platform as well as establishing partnerships. In addition, we cannot guarantee that future financing will be available in sufficient amounts, at the right time, on favorable terms, or at all. Negative clinical trial data or setbacks, or perceived setbacks, in our programs or with respect to our technology could impair our ability to raise additional financing on favorable terms, or at all. Moreover, the terms of any financing may adversely affect the holdings or the rights of our shareholders, and the issuance of additional securities, whether equity or debt, by us, or the possibility of such issuance, may cause the market price of the ADSs to decline. If we raise additional funds through public or private equity offerings, the terms of these securities may include liquidation or other preferences that may adversely affect our securityholders’ rights.
We may not be in compliance with the EIB Loan’s beneficial ownership requirements following this offering
The EIB Loan contains a requirement that, while the EIB Loan is outstanding, Niels Iverson Moller, one of our co-founders, and Andreas Holm Mattsson, our Chief AI and Culture Officer, and MSD Global Health Innovation Fund (“MSD GHIF”), must beneficially own and Control directly or indirectly at least 14% of our issued and outstanding ordinary shares. Currently, Messrs. Moller and Mattsson together with MSD GHIF beneficially own approximately 28% of our issued and outstanding ordinary shares. Depending on the beneficial ownerships level of participation and share price at time of this offering, we could be in non-compliance with the EIB Ownership Requirement, requiring us to obtain a waiver from EIB. While we believe we would be able to obtain such a waiver if required, we cannot give you any assurance that we will obtain such. If we are unable to obtain a waiver, EIB may have rights to demand repayment of the EIB Loan.
This offering is being made on a best efforts basis and we may sell fewer than all of the securities offered hereby and may receive significantly less in net proceeds from this offering, which will provide us only limited working capital.
This offering is being made on a best efforts basis and we may sell fewer than all of the securities offered hereby and may receive significantly less in net proceeds from this offering. Assuming that we receive net proceeds of approximately $9.4 million from this offering (assuming an offering with gross proceeds of $10.83 million), we believe that the net proceeds from this offering, together with our existing cash and cash equivalents, will satisfy our capital into early 2026 under our current business plan. Without giving effect to the receipt of any proceeds from this offering, we currently estimate that our existing cash and
 
26

TABLE OF CONTENTS
 
cash equivalents are sufficient to fund business operations until Q4 2025 assuming no further income from ongoing business development discussions.
We will need to develop our company, and we may encounter difficulties in managing this development, which could disrupt our operations.
As of January 27, 2025, we have 44 fulltime employees and, in connection with the development and advancement of our pipeline, partnerships and becoming a public company, we expect to keep developing our operations. To manage our anticipated development, we must continue to implement and improve our managerial, operational, legal, compliance and financial systems, and retain as well as recruit and train additional qualified personnel. Also, our management may need to divert a disproportionate amount of its attention away from its day-to-day activities and devote a substantial amount of time to managing these development activities.
As a developing TechBio company, we are actively pursuing technologies, drug classes, platforms and product candidates in more therapeutic areas and across a wide range of diseases. Successfully developing product candidates for and fully understanding the regulatory and manufacturing pathways to all of these therapeutic areas and disease states requires significant human capital resources with a depth of talent, and corporate processes in order to allow simultaneous execution across multiple areas. Due to our limited resources, we may not be able to effectively manage this simultaneous execution and the development of our operations or recruit and train additional qualified personnel. This may result in weaknesses in our infrastructure, give rise to operational mistakes, legal or regulatory compliance failures, loss of business opportunities, loss of employees and reduced productivity among remaining employees.
In addition, the commitments in being Nasdaq listed and low liquidity in the capital markets may lead to significant costs and may divert financial resources from other projects, such as the development of our product candidates. If our management is unable to effectively manage our expected development, our expenses may increase more than expected, our ability to generate or increase our revenue could be reduced and we may not be able to implement our business strategy. Our future financial performance and our ability to compete effectively and develop our product candidates will depend in part on our ability to effectively manage the future development of our company.
Enrolling patients in clinical trials may be difficult for many reasons, including high screen failure, manufacturing capacity for personalized products, timing, proximity and availability of clinical sites, perceived risks, and publicity about the success or lack of success in the methods of treatment.
Screen failures
The fundamental purpose of patient screening is to enable the successful enrollment of the target patient: in other words, ensuring the patient is qualified as a “good fit” for the study. Getting this process right while minimizing screen failure rates is a key industry challenge that is fundamental to efficient, effective, and successful enrollment. According to a commonly cited statistic from the Tufts Center for the Study of Drug Development (Tufts CSDD), some 11% of active sites will fail to enroll a single patient. The consequences of high screen failure rates are enrollment delays, increased cost due to longer delivery timelines, delays to endpoint generation, and in some cases termination of the study.
Manufacturing capacity for personalized products
A unique product has to manufactured for each patient. So, if more patients are enrolled at the same time, manufacturing might become a bottleneck delaying patient treatment and potentially causing disease progression and patient drop out.
Clinical sites
Preferred clinical sites might not be available due to e.g. competing studies ongoing at the clinical site or the investigator is not interested in participating because of the time, staff, and resources their participation would require. This might have a negative effect on patient recruitment rate.
 
27

TABLE OF CONTENTS
 
Inaccurate enrollment projections
Most enrollment projections in a clinical trial are based on best-case scenarios. Trial sites tend to over commit and are overly optimistic about their enrollment rates.
Safety
People have become accustomed to hearing the multitude of possible side effects in drug advertisements for approved drugs. As a result, they may think the worst when it comes to drugs or therapies that are not yet approved for market. This might prevent patient for accepting to participate in a clinical study.
A future pandemic, epidemic, or outbreak of an infectious disease, such as the COVID-19 pandemic, may materially and adversely affect our business operations, including the manufacturing, clinical trial and other business activities performed by us, our future partners, if any, or by suppliers or third parties with whom we conduct business, including our CDMOs, CROs, shippers and others.
Our business has been and could be further adversely affected by health epidemics wherever we have clinical trial sites or other business operations. In addition, health epidemics could cause significant disruption in the operations of third-party CDMOs, CROs and other third parties upon whom we rely.
If there is a future pandemic, other aspects of our ongoing clinical trials and future planned clinical trials may be adversely affected, delayed or interrupted, including, for example, site initiation, patient recruitment and enrollment, availability of clinical trial materials, clinical trial site data monitoring and efficacy, safety and translational data collection, and data analysis. Some patients and clinical investigators may not be able to comply with clinical trial protocols and patients may choose to withdraw from our trials or we may have to pause enrollment or we may choose to or be required to pause enrollment and/or patient dosing in our ongoing or planned clinical trials in order to preserve health resources and protect trial participants.
In addition, we depend on a global supply chain, including timely shipment of patient specimens and ingredients, to manufacture product candidates used in our pre-clinical studies and clinical trials. Quarantines, “shelter-in-place” and similar government orders, or the expectation that such orders, shutdowns or other restrictions could occur, whether related to epidemics, could impact personnel at third-party manufacturing facilities in the United States, Europe and other countries, or the availability or cost of materials, any of which factors, either individually or collectively, could disrupt our supply chain.
Additionally, it has been widely reported that there has been a global shortage of microchips that has been affecting almost every industry, which has impacted the production of machinery and final products. This shortage could adversely impact our suppliers’ ability to meet their contractual obligations to provide us with necessary products and materials. If our relationships with our suppliers or other vendors are terminated or scaled back as a result of epidemics, we may not be able to enter into arrangements with alternative suppliers or vendors or do so on commercially reasonable terms or in a timely manner. Replacing or adding additional suppliers or vendors involves substantial cost and requires management time and focus. In addition, there is a natural transition period when a new supplier or vendor commences work. As a result, delays may occur, which could adversely impact our ability to meet our desired clinical development and any future commercialization timelines. Although we carefully manage our relationships with our suppliers and vendors, there can be no assurance that we will not encounter challenges or delays in the future or that these delays or challenges will not harm our business.
Risks Related to the Manufacturing of our Product Candidates and Future Pipeline
We and/or our future partners, if any, may encounter difficulties in manufacturing, product release, shelf life, testing, storage, supply chain management or shipping. If we, and/or our future partners, if any, or any of the third-party manufacturers we and/or our future partners’, if any, work with encounter such difficulties, our and/or our future partners, if any,’ ability to supply materials for clinical trials or any approved product could be delayed or stopped.
At early-stage development product knowledge is limited. Specifically, due to the nature of our personalized immunotherapies and novel delivery technologies, we and/or our future partners, if any, may
 
28

TABLE OF CONTENTS
 
encounter difficulties in manufacturing, product release, shelf life, testing, storage and supply chain management, or shipping. These difficulties could be due to any number of reasons including, but not limited to, complexities of personalized manufacturing at large scale (a unique product is manufactured for each patient with short manufacturing turn-around-times), equipment failure, choice and quality of raw materials and excipients, analytical testing technology, and product instability. In an effort to optimize product features, we have in the past and we and/or our future partners, if any, may in the future make changes to our product candidates in their manufacturing and stability formulation and conditions. This may in the future result in our and/or our future partners’, if any, having to resupply batches for pre-clinical or clinical activities when there is insufficient product stability during storage and insufficient supply. Insufficient stability or shelf life of our product candidates could materially delay our and/or our future partners’, if any, ability to continue the clinical trial for that product candidate or require us and/or our future partners, if any, to begin a new clinical trial with a newly formulated drug product, due to the need to manufacture additional pre-clinical or clinical supply.
For our personalized therapies, we and/or our future partners, if any, may encounter issues with our and/or our future partners’, if any, ability to timely and efficiently manufacture product given the on-demand requirements of such therapies, thereby potentially impacting clinical and commercial supply.
As we and/or our future partners, if any, continue developing new manufacturing processes for our drug substances and drug products, the changes we and/or our future partners, if any, implement to manufacturing process may in turn impact specification and stability of our drug products. Changes in our manufacturing processes may lead to failure of lots and this could lead to substantial delays in our clinical trials. Our product candidates may prove to have a stability profile that leads to a lower than desired shelf life of the final approved immunotherapy. This poses risk in supply requirements, wasted stock and higher cost of goods.
We and/or our future partners, if any, may be dependent on a number of equipment providers who are also implementing novel technology. Further, we and/or our future partners, if any, may develop custom manufacturing equipment for certain of our product candidates. If such equipment malfunctions or we and/or our future partners, if any, encounter unexpected performance issues, we and/or our future partners, if any, could encounter delays or interruptions to clinical and commercial supply.
Due to the potential number of different products being manufactured in the same facility, we and/or our future partners, if any, may have cross contamination of products in the manufacturing facility, or in in the pharmacy during preparation of the final drug for patient administration that affect the integrity of our product candidates. Additionally supplied raw materials and consumables can be contaminated or/or adulterated.
As we and/or our future partners, if any, scale the manufacturing output for particular programs, we plan to continuously improve process robustness, yield, purity, and the stability profile and shelf-life of our product candidates from clinical stage studies through commercial launch. Due to continuous improvement in manufacturing processes, we and/or our future partners, if any, may introduce changes to the manufacturing process, raw materials and/or manufacturing facilities for a particular program during development.
However, such changes might require extended pharmaceutical property testing, such as six- or 12-month stability testing that could delay clinical trials. Additionally, there is always the risk of unexpected problems when introducing changes.
We and/or our future partners, if any, may utilize a number of raw materials and excipients that are either new to the pharmaceutical industry or are being employed in a novel manner. Some of these raw materials and excipients may not have been scaled to a level to support commercial supply and could experience unexpected manufacturing or testing failures, or supply shortages. Such issues with raw materials and excipients could cause delays or interruptions to clinical and commercial supply of our product candidates. Further, one or more of our programs may have a single source of supply for raw materials and excipients. Additionally, we and our manufacturers may experience manufacturing difficulties due to resource constraints or as a result of labor disputes or supply chain issues, such as those experienced due to the COVID-19 pandemic, or as a result of climate change, or unstable political environments, such as recent events in Ukraine and Russia or in the Israel-Gaza region, or other geopolitical uncertainty. If we
 
29

TABLE OF CONTENTS
 
and/or our future partners, if any, and manufacturers were to encounter any of these difficulties, or otherwise fail to comply with their contractual obligations, our ability to manufacture our products, or to make our product candidates available for clinical trials could be jeopardized. Any such delay or interruption in the supply of clinical trial supplies could delay the completion of clinical trials, increase the costs associated with maintaining clinical trial programs and, depending upon the period of delay, require us to commence new clinical trials at additional expense or terminate clinical trials completely.
We and/or our future partners, if any, may learn that any or all of our product candidates are less stable than desired. We and/or our future partners, if any, may also find that transportation conditions negatively impact product quality. This may require changes to the formulation or manufacturing process for one or more of our product candidates and result in delays or interruptions to clinical or commercial supply. In addition, the cost associated with such transportation services and the limited pool of vendors may also add additional risks of supply disruptions.
The occurrence of any of these factors could materially harm our business, financial condition, results of operations, and prospects.
We have entered into in-licensing arrangements and may form or seek to enter into additional licensing arrangements in the future, and we may not realize the benefits of such licensing arrangements.
We may obtain licenses that give us rights to third-party intellectual property, including patents and patent applications that are necessary or useful for our business. In particular, we have entered into license agreements with Statens Serum Institut, or SSI, and PharmaJet, Inc. or PharmaJet to obtain licenses for intellectual property useful in pharmaceutical formulations and delivery devices. We may enter into additional licenses to third-party intellectual property in the future.
The success of products developed based on in-licensed technology will depend in part on the ability of our current and future licensors to prosecute, obtain, maintain, protect, enforce and defend patent protection for our in-licensed intellectual property. Our current and future licensors may not successfully prosecute any patent applications we may license. Even if patents were issued in respect of these patent applications, our licensors may fail to maintain these patents, may determine not to pursue litigation against other companies that are infringing these patents, or may pursue such litigation less aggressively than we would. Without protection for the intellectual property we license, other companies might be able to offer substantially identical products for sale, which could adversely affect our competitive business position and harm our business prospects. In addition, we may sublicense our rights under various third-party licenses to our partners. Any impairment of these sublicensed rights could result in reduced revenues under our collaboration agreements or result in termination of an agreement by one or more of our partners.
Disputes may also arise between us and our licensors regarding intellectual property subject to a license agreement, including:

the scope of rights granted under the license agreement and other interpretation-related issues;

whether and the extent to which our technology and processes infringe, misappropriate or otherwise violate the intellectual property of the licensor that is not subject to the licensing agreement;

our right to sublicense patent and other intellectual property rights to third parties under collaborative relationships;

our diligence obligations with respect to the use of the licensed intellectual property and technology in relation to our development and commercialization of our product candidates, and what activities satisfy those diligence obligations;

the ownership of inventions, trade secrets, know-how and other intellectual property resulting from the joint creation or use of intellectual property by our licensors and us and our partners; and

the priority of invention of patented technology.
For instance, in April 2022, SSI initiated a legal proceeding against us in The Danish Maritime and Commercial High Court (Sø og Handelsretten), claiming sole ownership of a patent application we filed related to a method for treating malignant neoplasm by administering a composition comprising a high dose
 
30

TABLE OF CONTENTS
 
of neopeptides, a solvent and SSI’s liposomal adjuvant, CAF®09b, or the Invention, for which we have an exclusive, royalty-bearing sub-licensable license to use in formulation with PIONEER identified neopeptides, from SSI. We believe that we and our employees are the sole inventors of the Invention and that we have strong defenses against SSI’s claim and that SSI’s claim is without merit. In December 2023 terms were agreed between us and SSI which results in a situation where we retain all commercial rights to EVX-01 and the patent application. In June 2024 agreements were signed with SSI that reflects the terms agreed upon in December, and the law-suit lifted on a walk-away basis and no compensation by Evaxion to SSI.
If disputes over intellectual property that we have in-licensed or other related contractual rights prevent or impair our ability to maintain our current licensing arrangements on favorable terms, we may be unable to successfully develop our product candidates and the commercialization of any products derived from such product candidates may be adversely affected. We are generally also subject to all of the same risks with respect to protection of intellectual property that we license, as we are for intellectual property that we own, which are described herein. If we, our co-owners or our licensors fail to adequately protect, defend, maintain or enforce this intellectual property, our ability to commercialize products could suffer and our business, financial condition, results of operations and prospects would be materially harmed.
We rely on third parties to manufacture certain of our clinical product supplies, and we will rely on third parties to produce and process our product candidates, if approved.
We rely on external vendors to manufacture supplies and process our product candidates. None of our product candidates have been manufactured at large scale for supply of late-stage clinical trial or the marked and large scale manufacturing at our third party CDMOs and our future partners, if any, may not be successful and/or may be unable to create an inventory product to satisfy demands for our product candidates.
We do not yet have sufficient information to reliably estimate the cost of the commercial manufacturing and processing of our product candidates, and the actual cost and rights to manufacture and process our product candidates could materially and adversely affect the availability of our product candidates in sufficient quantities to conduct our clinical trials or the commercial viability of any products derived from our product candidates. As a result, we and/or our future partners, if any, may never be able to develop a commercially viable product.
In addition, our reliance on a limited number of third-party manufacturers exposes us to the following risks:

we may be unable to identify manufacturers on acceptable terms or at all because the number of potential manufacturers is limited and the FDA, the EMA, the TGA or other regulatory authorities may have questions regarding any replacement contractor. This may require new studies and regulatory interactions. In addition, a new manufacturer would have to be educated in, or develop substantially equivalent processes for, production of our product candidates or any products derived from our product candidates after receipt of regulatory authority questions, if any;

our third-party CDMOs might not be able to timely formulate and manufacture our product candidates or any products derived from our product candidates or produce the quantity and quality required to meet our and our partners’ clinical and commercial needs, if any;

CDMOs may not be able to execute our manufacturing procedures appropriately;

our future CDMOs may not perform as agreed or may not remain in the contract manufacturing business for the time required to supply our clinical trials or to successfully produce, store and distribute our product candidates or any products derived from our product candidates;

manufacturers are subject to ongoing periodic unannounced inspection by the FDA, the United States Drug Enforcement Administration, or the DEA, and corresponding state agencies and by regulatory authorities in other jurisdictions to ensure strict compliance with GMP and other government regulations and corresponding standards in other jurisdictions. We do not have control over third-party CDMOs or our future partners, if any, compliance with these regulations and standards;

we may not own, or may have to share, the intellectual property rights to any improvements made by our third-party CDMOs in the manufacturing process for our products;
 
31

TABLE OF CONTENTS
 

our third-party CDMOs could breach or terminate their agreement with us; and

our third-party CDMOs would also be subject to the same risks we face in developing our own manufacturing capabilities, as described above.
Each of these risks could delay our clinical trials, the approval, if any, of our product candidates or any products derived from our product candidates by the FDA, the EMA, the TGA or regulatory authorities in other jurisdictions or the commercialization of our product candidates or result in higher costs or deprive us of potential product sales revenue. In addition, we will rely on third parties to perform release tests on our product candidates, or any products derived from our product candidates prior to delivery to patients. If these tests are not appropriately done and test data are not reliable, patients could be put at risk of serious harm.
Other companies or organizations may challenge our intellectual property rights or may assert intellectual property rights that prevent us from developing our product candidates and other technologies, and may prevent our future partners, if any, from commercializing any products derived from our product candidates.
Our business involves new and evolving scientific fields, the continued development and potential use of which has resulted in many different patents and patent applications from organizations and individuals seeking to obtain intellectual property protection in the fields. We own and in-license patent applications and issued patents that describe and/or claim certain technologies, including products, reagents, formulations and methods including uses and manufacturing methods, or features or aspects of any of these. These issued patents and pending patent applications claim certain compositions of matter and methods relating to the discovery, development, manufacture and commercialization of therapeutic modalities and our delivery technologies, including LNPs. If we, our co-owners, our licensors, including our future partners, if any, are unable to obtain, maintain, protect, defend or enforce patent protection with respect to our product candidates and other technology and any product candidates and technology we develop, our business, financial condition, results of operations and prospects could be materially harmed.
As the scientific fields mature, our known competitors and other third parties have filed, and will continue to file, patent applications claiming inventions in the field in the United States and in other countries. There is uncertainty about which patents will issue, and, if they do, as to when, to whom and with what claims. With respect to both in-licensed and owned intellectual property, we cannot predict whether the patent applications we and our licensors are currently pursuing will issue as patents in any particular jurisdiction or whether the claims of any issued patents will provide sufficient protection from competitors.
We, our co-owners or our licensors, including our future partners, if any, may in the future become a party to patent proceedings or priority disputes in the United States, Europe or other jurisdictions. For instance, in April 2022, SSI initiated a legal proceeding against us in The Danish Maritime and Commercial High Court (Sø og Handelsretten), claiming sole ownership of a patent application we filed related to a method for treating malignant neoplasm by administering a composition comprising a high dose of neopeptides, a solvent and SSI’s liposomal adjuvant, CAF®09b, or the Invention, for which we have an exclusive, royalty-bearing sub-licensable license to use in formulation with PIONEER identified neopeptides, from SSI. We believe that we and our employees are the sole inventors of the Invention and that we have strong defenses against SSI’s claim and that SSI’s claim is without merit. We have since come to agreement with SSI where we retain all commercial rights to EVX-01 and the patent application. In June 2024 agreements were signed with SSI that reflects the terms agreed upon in December, and the law-suit lifted on a walk-away basis and no compensation by Evaxion to SSI.
If disputes such as the SSI dispute, over intellectual property that we have in-licensed or other related contractual rights prevent or impair our ability to maintain our current licensing arrangements on favorable terms, we may be unable to successfully develop our product candidates and the commercialization of any products derived from such product candidates may be adversely affected. In any event, if it is determined that that SSI are co-owners of part of the subject matter of the patent application, such a determination would not, in and of itself, prevent us from carrying on with EVX-01. However, if co-ownership of part of the patented subject matter is the end result of the court proceedings, our practical use of such part of the patented subject matter in any enforcement proceeding or as an object of licensing could be problematic.
 
32

TABLE OF CONTENTS
 
The Leahy-Smith America Invents Act, or the America Invents Act, enacted in September 2011, included a number of significant changes that affect the way patent applications will be prosecuted and also may affect patent litigation. These include allowing third-party submission of prior art to the USPTO during patent prosecution and additional procedures to attack the validity of a patent through USPTO-administered post-grant proceedings, including post-grant review, inter partes review and derivation proceedings. We expect that our competitors and other third parties may institute litigation and other proceedings, such as interference, reexamination and opposition proceedings, as well as inter partes and post-grant review proceedings against us and the patents and patent applications that we own and in-license. We expect that we may be subject to similar proceedings or priority disputes, including oppositions, in Europe or other foreign jurisdictions relating to patents and patent applications in our portfolio.
If we, our co-owners or our licensors, including our future partners, if any, are unsuccessful in any interference proceedings or other priority or validity disputes, including any derivations, post-grant review, inter parties review or oppositions, to which we or they are subject, we may lose valuable intellectual property rights through the narrowing or loss of one or more patents owned or in-licensed, or our owned or in-licensed patent claims may be narrowed, invalidated or held unenforceable. In many cases, the possibility of appeal exists for either us or our opponents, and it may be years before final, unappealable rulings are made with respect to these patents in certain jurisdictions. The timing and outcome of these and other proceedings is uncertain and may adversely affect our business if we are not successful in defending the patentability and scope of our pending and issued patent claims. In addition, third parties may attempt to invalidate our intellectual property rights. Even if our rights are not directly challenged, disputes could lead to the weakening of our intellectual property rights. Our defense against any attempt by third parties to circumvent or invalidate our intellectual property rights could be costly to us, could require significant time and attention of our management and could have a material adverse impact on our business and our ability to successfully compete against our current and future competitors.
There are many issued and pending patent filings that claim aspects of technologies that we or our future partners, if any, may need for our product candidates or any products derived from our product candidates, including patent filings that relate to relevant delivery technologies. There are also many issued patents that claim targeting genes or portions of genes that may be relevant for vaccines we wish to develop. In addition, there may be issued and pending patent applications that may be asserted against us in a court proceeding or otherwise based upon the asserting party’s belief that we or our future partners, if any, may need such patents for the development, manufacturing and commercialization of our product candidates or any products derived from our product candidates. Thus, it is possible that one or more organizations, ranging from our competitors to non-practicing entities or patent assertion entities, has or will hold patent rights to which we may need a license, or hold patent rights which could be asserted against us. Such licenses may not be available on commercially reasonable terms or at all, or may be non-exclusive. If those organizations refuse to grant us a license to such patent rights on reasonable terms or a court rules that we need such patent rights that have been asserted against us and we are not able to obtain a license on reasonable terms or at all, we may be unable to perform research and development or other activities or market products covered by such patents, and we or our future partners, if any, may need to cease the development, manufacture and commercialization of one or more of the product candidates or any products derived from our product candidates we or our future partners, if any, may develop. Any of the foregoing could materially harm our business, financial condition, results of operations and prospects.
We may be subject to claims challenging the inventorship or ownership of our patents and other intellectual property.
We have been and may, in the future, be, subject to claims that current or former employees, consultants, independent contractors, collaborators, future partners, if any, or other third parties have an interest in our patents or other intellectual property as an inventor or co-inventor. While it is our policy to require our employees, consultants, independent contractors, future partners, if any, and other third parties who may be involved in the conception, development or reduction to practice of intellectual property to execute agreements assigning such intellectual property to us, we may be unsuccessful in executing such an agreement with each party who, in fact, conceives, develops or reduces to practice such intellectual property that we regard as our own. The assignment of intellectual property rights may not be self-executing, or the assignment agreements may be breached. For example, we may have inventorship disputes arise from conflicting
 
33

TABLE OF CONTENTS
 
obligations of employees, consultants, independent contractors, future partners, if any, or other third parties who are involved in developing and commercializing our product candidates.
For instance, in April 2022, SSI initiated a legal proceeding against us in The Danish Maritime and Commercial High Court (Sø og Handelsretten), claiming sole ownership of a patent application we filed related to a method for treating malignant neoplasm by administering a composition comprising a high dose of neopeptides, a solvent and SSI’s liposomal adjuvant, CAF®09b, or the Invention, for which we have an exclusive, royalty-bearing sub-licensable license to use in formulation with PIONEER™ identified neopeptides, from SSI. We believe that we and our employees are the sole inventors of the Invention and that we have strong defenses against SSI’s claim and that SSI’s claim is without merit. In December 2023 terms were agreed between us and SSI which results in a situation where we retain all commercial rights to EVX-01 and the patent application. In June 2024 agreements were signed with SSI that reflects the terms agreed upon in December, and the law-suit lifted on a walk-away basis and no compensation by Evaxion to SSI.
If disputes such as the SSI dispute, over intellectual property that we have in-licensed or other related contractual rights prevent or impair our ability to maintain our current licensing arrangements on favorable terms, we may be unable to successfully develop our product candidates and the commercialization of any products derived from such product candidates may be adversely affected.
Litigation may be necessary to defend against these and other claims challenging inventorship. If we fail in defending any such claims, in addition to paying monetary damages, we may lose valuable intellectual property rights, such as exclusive ownership of, or right to use, valuable intellectual property. Such an outcome could materially harm our business, financial condition, results of operations and prospects. Even if we are successful in defending against such claims, litigation could result in substantial costs and be a distraction to management and other employees.
Furthermore, the laws of some countries do not protect intellectual property and other proprietary rights or establish ownership of inventions to the same extent or in the same manner as the laws of the United States. A majority of our employees work in Denmark and are subject to Danish employment law. Employees’ inventions that are either patentable or registrable as Danish utility models are subject to the provisions of the Danish Act on Employee Inventions, which regulates the ownership of, and compensation for, inventions made by employees. We face the risk that disputes can occur between us and our employees or former employees pertaining to alleged non-adherence to the provisions of this act. Such disputes may be costly to defend and may take up our management’s time and efforts regardless of whether we prevail or fail in any such dispute. There is a risk that the compensation we provided to employees who have assigned the rights to inventions to us may be deemed to be insufficient and we may under Danish law be required to increase the compensation due to such employees for the assignment of rights to such inventions. In those cases where rights to employees’ inventions have not been assigned to us, we may need to agree with the respective employees on the assignment of such inventions, including i.e. by paying suitable compensation for the use of those patents. If we are required to pay additional compensation or face other disputes under the Danish Act on Employee Inventions, our business, financial condition, results of operations and prospects could be materially harmed.
Risks Related to this Offering and Ownership of ADSs
Our failure to meet Nasdaq’s continued listing requirements could result in a delisting of the ADSs.
On May 7, 2024, we received a notification from Nasdaq that we are not in compliance with the Nasdaq requirement to maintain a minimum equity of USD $2.5 million. We were granted an extension until November 4, 2024, to demonstrate compliance with the Nasdaq listing requirements. On November 11, 2024 we received a delisting notice from Nasdaq Capital Markets, which we appealed on November 12, 2024 and pursued an additional 180-day exemption allowing time for securing compliance in a balanced way. On January 7, 2025 the Nasdaq hearing took place, where we had a constructive dialogue with the Nasdaq Hearing Panel. The Panel’s decision was received on January 27, 2024, which granted us until May 12, 2025 to demonstrate compliance in accordance with the deadlines and conditions set forth by the Nasdaq Hearing Panel. During the additional extension, we intend to demonstrate compliance and maintain our
 
34

TABLE OF CONTENTS
 
Nasdaq listing, however there is no guarantee that we will be able to regain compliance. Continued non-compliance could result in delisting from Nasdaq Capital Markets.
Notwithstanding the foregoing, there can be no assurance that we will be able to meet the deadlines or conditions imposed by the Nasdaq Hearing Panel, or regain compliance with all applicable requirements for continued listing. Additionally, the Nasdaq Listing and Hearing Review Council may, on its own motion, determine to review any hearing panel decision within 45 calendar days after issuance of the written decision. If the Listing Council determines to review the Nasdaq Hearing Panel’s decision, it may affirm, modify, reverse, dismiss or remand the decision to the Nasdaq Hearing Panel.
Such a delisting would likely have a negative effect on the price of the ADSs and would impair your ability to sell or purchase the ADSs when you wish to do so. In the event of a delisting, any action taken by us to restore compliance with listing requirements may not i) allow the ADSs to become listed again, ii) stabilize the market price, iii) improve the liquidity of the ADSs, iv) prevent the ADSs from dropping below the Nasdaq minimum bid price requirement or v) prevent future non-compliance with the listing requirements of Nasdaq.
A significant portion of our total outstanding ordinary shares may be sold in the near future. The large number of shares eligible for sale or subject to rights requiring us to register them for sale could cause the market price of the ADSs to drop significantly, even if our business is performing well.
Sales of a substantial number of ordinary shares or the ADSs could occur at any time. These sales, or the perception in the market that holders of a large number of shares intend to sell shares, could reduce the market price of the ADSs. We had 113,460,556 ordinary shares outstanding and 1,913,464 ADSs outstanding as of January 27, 2025. To date, not all holders of outstanding ordinary shares have converted their ordinary shares to ADSs.
You will experience immediate dilution. As of January 27, 2025, there were 54,069,819 warrants outstanding. If these warrants are exercised then an additional 54,069,819 ordinary shares, which are convertible into 1,081,396 ADSs, will become eligible for sale in the public market to the extent permitted by the provisions of various vesting schedules and Rule 144 and Rule 701 under the Securities Act. If these additional ordinary shares are sold, or if it is perceived that they will be sold, in the public market, the trading price of the ADSs could decline. Any sales of securities by these security holders could have a negative effect on the trading price of our ordinary shares and the ADSs.
For a more detailed description of the EIB warrants see the section herein entitled “EIB warrants.”
Additionally, on November 28, 2021, we entered into a Share Sale and Restriction Agreement with, Dr. Lars Staal Wegner, our former Chief Executive Officer, Dr. Niels Iversen Møller our Co-Founder, and Andreas Mattsson, our Co-Founder and Chief AI Officer, pursuant to which Dr. Wegner agreed to exercise 211,849 warrants in each of the two week exercise windows established under our Articles of Association that are expected to open two trading days following publication of our annual report and interim quarterly financial reports in March 2022, May 2022, August 2022 and November 2022, respectively.
Under the terms of this agreement, Dr. Wegner, Dr. Møller and Mr. Mattsson further agreed with us that in the corresponding open trading window related to each such exercise consisting of the four-week period commencing on the third full trading day after the date of publication of our annual report or interim financial reports in March 2022, May 2022, August 2022 and November 2022, each a Trading Window, Dr. Wegner would sell such Ordinary Shares and Dr. Møller and Mr. Mattsson will purchase such ordinary shares, with each of Dr. Møller and Mr. Mattsson purchasing fifty per cent (50%) of such shares, at a purchase price per share equal to the Volume Weighted Average Price, or VWAP, of the ADSs at the close of the market on the date of exercise as reported on Nasdaq.
Under the terms of the agreement, Dr. Møller and Mr. Mattsson agreed that during each Trading Window each of them will sell 328,731 ADSs representing ordinary shares at a price equal to the prevailing market price thereof on the date of such sale as reported on Nasdaq. Furthermore, pursuant the terms of the agreement, Dr. Møller and Mr. Mattsson are required to sell such shares and are prohibited from exercising any subsequent influence over how, when, or whether to affect the trade(s). As of December 31, 2022, due to market conditions, Dr. Møller and Mr. Mattsson had only sold 43,196 of such ADSs representing ordinary
 
35

TABLE OF CONTENTS
 
shares, thereby, leaving a total of 285,535 ADSs subject to future sale under this arrangement. The number of ADSs referred to in this section do not reflect the one to ten ratio change effective January 22, 2024, nor the one to fifty ratio change effective January 14, 2025.
In addition, on June 7, 2022, we entered into the LPC Purchase Agreement pursuant to which we issued 428,572 ordinary shares represented by ADSs (“Commitment Shares”) to Lincoln Park as consideration for a commitment fee of $1,200,000 for Lincoln Park’s agreement to purchase ordinary shares represented by ADSs under the LPC Purchase Agreement. As of the date of this prospectus we have not issued any additional ordinary shares represented by ADSs to Lincoln Park. In accordance with the terms of the LPC Purchase Agreement, we filed a selling shareholder Form F-1 Registration Statement with the SEC on July 7, 2002, which was declared effective by the SEC on August 26, 2022 registering the potential future sale by Lincoln Park of up to 4,649,250 ADSs represented ordinary shares inclusive of the 428,572 Commitment Shares. As of the date of this prospectus, Lincoln Park has only sold an aggregate of 102,000 of such Commitment Shares thereby leaving 326,572 of such Commitment Shares available for sale. The number of ADSs referred to in this section do not reflect the one to ten ratio change effective January 22, 2024, nor the one to fifty ratio change effective January 14, 2025.
Additionally, on October 3, 2022, we entered into a Capital on Demand™ Sales Agreement, or the Sales Agreement, with Jones, pursuant to which we may sell from time to time, at our option, ADSs representing ordinary shares through or to Jones, as sales agent or principal. The ADSs are offered pursuant to a prospectus supplement, dated October 3, 2022, or the Prospectus Supplement, which was filed with the SEC on such date and our Form F-3 (Registration No. 333-265132) shelf registration statement filed with the SEC on May 20, 2022 and declared effective by the SEC on June 3, 2022. Pursuant to the Prospectus Supplement, we may offer and sell up to an aggregate of $14,439,000 of ADSs. Sales of the ADSs made pursuant to the Sales Agreement, are made by any method deemed to be an “at the market offering”, or ATM, as defined in Rule 415(a)(4) promulgated under the Securities Act. Jones is not required to sell any specific number or dollar amount of ADSs but has agreed to use its commercially reasonable efforts to sell the ADSs from time to time, based upon our instructions, including any price, time or size limits or other customary parameters or conditions we may impose. As of the date of this prospectus, we have sold a total of 837,027 ADSs under this ATM program for an aggregate purchase price of $14,413,306.
In addition, on July 31, 2023 we entered into a financing agreement with Global Growth Holding Limited (“GGH”), for the issuance of convertible notes into our ordinary shares represented by ADSs, DKK 0.25 nominal value, with each ordinary share represented by one ADSs. Pursuant to the agreement, we may elect to sell to GGH up to $20.0 million in such notes on any business day over the 36 month term of the agreement. We have under certain circumstances the right, but not the obligation, to direct GGH to purchase traches of up to $0.7 million, subject to certain limitations and conditions set forth in the agreement. In connection with the agreement, we are obligated to pay GGH a commitment fee totaling $1.1 million. At any time, GGH may, in its sole discretion, convert the notes into ordinary shares at specified conversion prices upon submission of a request for conversion by GGH to us. The financing agreement between us and GGH is subject to approval by the SEC through the date of this prospectus.
In February 2024, we completed a public offering through which we sold 151,500 ADSs representing an aggregated 7,575,000 ordinary shares, DKK 0.25 nominal value per share, together with warrants to purchase up to 151,500 ADSs representing 7,575,000 ordinary shares. The public offering price for each ADS and accompanying warrant was $20.00. The warrants have an exercise price per ADS of $20.00 (amended to 137.60 DKK as of May 23, 2024) and are immediately exercisable for a term of five years from the date of issuance. Additionally, as part of the public offering, we offered prefunded warrants to purchase up to 598,500 ADSs representing 29,925,000 ordinary shares. The public offering price for each ADS and accompanying prefunded warrant was $20.00. The prefunded warrants have all been exercised. Additionally, we issued Placement Agent warrants to purchase up to 37,500 ADSs representing 1,875,000 ordinary shares. The Placement Agent warrants have an exercise price per ADS of $27 and are immediately exercisable for a term of five years from the date of issuance.
Sales of ADSs or our ordinary shares as restrictions end or pursuant to the above described agreements or pursuant to registration rights may make it more difficult for us to finance our operations through the
 
36

TABLE OF CONTENTS
 
sale of equity securities in the future at a time and at a price that we deem appropriate. These sales also could cause the trading price of the ADSs to fall and make it more difficult for holders of ADSs to sell the ADSs.
Our principal shareholders and executive management own a significant percentage of our ordinary shares and will be able to exert significant control over matters subject to shareholder approval.
As of January 27, 2025, our executive management, directors, holders of 5% or more of our ordinary shares and their respective affiliates beneficially own 14.6% of our outstanding voting securities. As a result, these security holders will have the ability either alone or voting together as a group to determine and/or significantly influence the outcome of matters submitted to our shareholders for approval, including the election and removal of directors, payment of dividends, amendments to our articles of association, including changes to our share capital or any mergers, demergers, liquidations and similar transactions. This may prevent or discourage unsolicited acquisition proposals or offers for our ordinary shares or ADSs that holders of ADSs may feel are in their best interest as a holder of ADSs. In addition, this group of shareholders may have the ability to control our management and affairs. Such control and concentration of ownership may affect the market price of the ADSs and may discourage certain types of transactions, including those involving actual or potential change of control of us (whether through merger, consolidation, take-over or other business combination), which might otherwise have a positive effect on the market price of the ADSs.
We may not have sufficient funds available to pay amounts due and owing European Investment Bank upon the exercise of certain warrants and may be required to use our cash, cash equivalents and investments to make such payments.
In August 2020, we executed a loan agreement, or the EIB Loan Agreement, with the European Investment Bank, or EIB, for a principal amount of €20.0 million, divided into three tranches of tranche 1 in the amount of €7.0 million, tranche 2 in the amount of €6.0 million and tranche 3 in the amount of €7.0 million, or the EIB Loan. Under the EIB Loan Agreement, the EIB Loan tranche balances are due six years from their respective disbursement dates. In connection with disbursement of each tranche, EIB is entitled to receive certain warrants, or the EIB Warrants. In November 2020, we initiated the process to receive the funds from the disbursement of tranche 1 of the EIB Loan in the aggregate amount of €7.0 million but due to the timing of the IPO we did not finalize a disbursement offer. In connection therewith, EIB received 351,036 EIB Warrants, which vested immediately, pursuant to the terms of a separate warrant agreement, or the EIB Warrant Agreement. As of December 31, 2021, we initiated the drawdown of the first tranche of the EIB Loan Agreement amounting to €7.0 million. We received the first tranche of €7.0 million on February 17, 2022. While we are in advanced discussions with EIB to convert up to €3.5 million of the EIB Loan to some form of equity, there is no guarantee that a final agreement will be reached.
Under Article 18, Paragraph 2 of the Statute of the European Investment Bank, or the EIB Statute, establishing EIB, a direct equity investment by EIB requires a separate authorization from the EIB Board of Governors pursuant to which the EIB Board of Directors, acting by qualified majority, has to establish the terms and conditions of such direct equity investment. Under the EIB Statute, in the absence of a separate authorization from the EIB Board of Governors, commercial shareholdings financed from EIB’s own resources are not allowed. Since the EIB Loan is being made from EIB’s own resources, the EIB Statute does not allow EIB to acquire any of our ordinary shares, therefore, we fully expect that if and when EIB exercises the EIB Warrants, it will do so on either a net cash settlement basis at a price equal to the market price on the date of exercise thereof, or by means of exercising its right to cause us to purchase the EIB Warrants at a purchase price equal to the volume weighted average price per ordinary share, or VWAP, for a period of six months following the exercise of such Put Right. Since we fully expect the EIB Warrants to be cash settled, we do not expect them to affect our share capital at any time. However, since the amount of cash that we will need in order to meet our obligations to pay the amounts due and payable to EIB upon the exercise of the EIB Warrants is based on valuations to be determined in the future and, therefore, cannot be determined as of the date of this prospectus, we may not have sufficient funds on hand to pay such amounts in which case we may be required to use a portion of our investments for such payments. For a more detailed discussion of the terms of the EIB Warrants see “Description of Share Capital — EIB Warrants.”
 
37

TABLE OF CONTENTS
 
There is no public market for the Warrants being offered by us in this offering.
There is no established public trading market for the Warrants, and we do not expect a market to develop. In addition, we do not intend to apply to list the Warrants on any national securities exchange or other nationally recognized trading system. Without an active market, the liquidity of the Warrants will be limited.
The Warrants are speculative in nature.
The Warrants offered hereby do not confer any rights of ADS ownership on their holders, such as voting rights, but rather merely represent the right to acquire ADSs representing ordinary shares at a fixed price. Specifically, holders of the Warrants may acquire the ADSs issuable upon exercise of such warrants at an exercise price of $2.71 per ADS. There can be no assurance that the market price of the ADSs will ever equal or exceed the exercise price of the Warrants, and consequently, whether it will ever be profitable to exercise the Warrants.
Holders of the Warrants offered hereby will have no rights as ADS holders with respect to the ADSs deliverable upon exercise of the Warrants until such holders exercise their Warrants and acquire our ADSs, except as otherwise provided in the Warrants.
Until holders of the Warrants acquire ADSs upon exercise thereof, such holders will have no rights with respect to the ADSs underlying such Warrants, except as otherwise provided in the Warrants. Upon exercise of the Warrants, the holders will be entitled to exercise the rights of an ADS holder only as to matters for which the record date occurs after the exercise date.
This is a best efforts offering, no minimum amount of securities is required to be sold, and we may not raise the amount of capital we believe is required for our business plans, including our near-term business plans.
The Placement Agents have agreed to use its reasonable best efforts to solicit offers to purchase the securities in this offering. The Placement Agents have no obligation to buy any of the securities from us or to arrange for the purchase or sale of any specific number or dollar amount of the securities. There is no required minimum number of securities that must be sold as a condition to completion of this offering. Because there is no minimum offering amount required as a condition to the closing of this offering, the actual offering amount, Placement Agents fees and proceeds to us are not presently determinable and may be substantially less than the maximum amounts set forth above. We may sell fewer than all of the securities offered hereby, which may significantly reduce the amount of proceeds received by us, and investors in this offering will not receive a refund in the event that we do not sell an amount of securities sufficient to support our continued operations, including our near-term continued operations. Thus, we may not raise the amount of capital we believe is required for our operations in the short-term and may need to raise additional funds, which may not be available or available on terms acceptable to us.
You will experience immediate dilution in the book value per ADS purchased in the offering.
Because the price per share of the ADSs being offered may be higher than the net tangible book value per ADS, you will experience dilution to the extent of the difference between the offering price per ADS you pay in this offering and the net tangible book value per ADS immediately after this offering. On “As adjusted” basis our net tangible book value as of September 30, 2024, was approximately $8.1 million, or $3.55 per ADS. Net tangible book value per ADS is equal to our total tangible assets minus total liabilities, all divided by the number of ADSs outstanding. See the section titled “Dilution” for a more detailed discussion of the dilution you will incur if you purchase shares in this offering. You may suffer immediate and substantial dilution in the net tangible book value of the ordinary shares you purchase in this offering. After giving further effect to 3,997,361 ADSs in this offering at a public offering price of $2.71 per ADS, and after deducting the Placement Agents commission and estimated offering expenses payable by us, our pro forma as adjusted net tangible book value at September 30, 2024 would have been $17.5 million, $2.79 per ADS. This represents an immediate decrease in pro forma as adjusted net tangible book value of $0.75 per ADS to existing investors and immediate accretion of $0.08 per ADS to new investors in this offering. See the section of this prospectus titled “Dilution” for a more detailed description of these factors.
 
38

TABLE OF CONTENTS
 
If you purchase our securities in this offering you may experience future dilution as a result of future equity offerings or other equity issuances.
In order to raise additional capital, we believe that we will offer and issue additional ADSs or other securities convertible into or exchangeable for the ADSs in the future. We cannot assure you that we will be able to sell ADSs or other securities in any other offering at a price per ADS that is equal to or greater than the price per ADS paid by investors in this offering, and investors purchasing other securities in the future could have rights superior to existing stockholders. The price per ADS at which we sell additional ADSs or other securities convertible into or exchangeable for the ADSs in future transactions may be higher or lower than the price per ADS in this offering.
In addition, we have a significant number of share options and warrants outstanding. To the extent that outstanding share options or warrants have been or may be exercised or other shares issued, you may experience further dilution. Further, we may choose to raise additional capital due to market conditions or strategic considerations even if we believe we have sufficient funds for our current or future operating plans.
Purchasers who purchase our securities in this offering pursuant to a securities purchase agreement may have rights not available to purchasers that purchase without the benefit of a securities purchase agreement.
In addition to rights and remedies available to all purchasers in this offering under federal securities and state law, the purchasers that enter into a securities purchase agreement will also be able to bring claims of breach of contract against us. The ability to pursue a claim for breach of contract provides those investors with the means to enforce the covenants uniquely available to them under the securities purchase agreement including: (i) timely delivery of shares; (ii) agreement to not enter into variable rate financings for          from closing, subject to certain exceptions; (iii) agreement to not issue any ordinary shares or ADSs or securities convertible into ordinary shares or ADSs for thirty (30) days from closing, subject to certain exceptions; and (iv) indemnification for breach of contract.
 
39

TABLE OF CONTENTS
 
DIVIDEND POLICY
We have never declared or paid any cash dividends on our ordinary shares. We do not anticipate paying cash dividends on our equity securities in the foreseeable future and intend to retain all available funds and any future earnings for use in the operation and expansion of our business. If we pay any dividends on our ordinary shares, we will pay those dividends, which shall be payable in respect of the ordinary shares represented by the ADSs, to the depositary, as the registered holder of such ordinary shares, and the depositary then will pay such amounts to the ADS holders in proportion to the ordinary shares underlying the ADSs held by such ADS holders, subject to the terms of the deposit agreement, including the fees and expenses payable thereunder. See the section entitled “Description of American Depositary Shares” in this prospectus. Cash dividends on our ordinary shares, if any, will be paid in USD.
MARKET, INDUSTRY AND OTHER DATA
This prospectus contains statistics, estimates, projections and other information concerning our industry, our business, and the markets for our product candidates, including data regarding the total sales of product in those markets, the estimated patient population in those markets, their projected growth rates, the perceptions and preferences of patients and physicians regarding the disease indications that we are pursuing or may pursue, as well as data regarding market research, statistics, estimates and forecasts prepared by our management. Information that is based on statistics, estimates, forecasts, projections, market research or similar methodologies is inherently subject to uncertainties and actual events or circumstances may differ materially from events and circumstances that are assumed in this information. Unless otherwise expressly stated, we obtained this industry, business, market and other data from reports, research surveys, studies and similar data prepared by market research firms and other third parties, industry, medical and general publications, government data and similar sources. For example, certain information contained in this prospectus regarding industry and market data was obtained from Medtrack, a database of private and public biotechnology companies. In some cases, we do not expressly refer to the sources from which this data is derived. In that regard, when we refer to one or more sources of this type of data in any paragraph, you should assume that other data of this type appearing in the same paragraph is derived from the same sources, unless otherwise expressly stated or the context otherwise requires. In addition, assumptions and estimates of our and our industry’s future performance are necessarily subject to a high degree of uncertainty and risk due to a variety of factors, including those described in “Risk Factors.” These and other factors could cause our future performance to differ materially from our assumptions and estimates. See “Cautionary Note Regarding Forward-Looking Statements.”
 
40

TABLE OF CONTENTS
 
USE OF PROCEEDS
We estimate that our net proceeds from this offering will be approximately $9.4 million, after deducting placement agents fees and estimated offering expenses of approximately $1.45 million (based on a public offering price per ADS of $2.71 per ADS and accompanying warrant, based on an offering with aggregate gross proceeds of $10.83 million. However, because this is a best effort offering and there is no minimum offering amount required as a condition to the closing of this offering, the actual offering amount, the placement agents’ fees and net proceeds to us are not presently determinable and may be substantially less than the maximum amounts set forth on the cover page of this prospectus.
We intend to use the net proceeds of this offering for continuing operating expenses and working capital. More specifically the net proceeds will be used to drive forward the 2025 key milestones in Figure 4. This includes both progressing our AI-Immunology™ platform as well as our clinical and pre-clinical pipeline, while advancing ongoing business development discussions.
The following table presents our approximate use of proceeds if 100% of the securities in this offering are sold.
$m
100%
% of
Total
Gross Proceeds from Offering
  
100%
Use of Proceeds
Placement Agents Fees and Expenses
7%
Offering Expenses
6%
Research & Development
50%
General & Administrative
37%
Total Use of Proceeds
100%
If Gross Proceeds of this offering amounts to $10.83 million we expect to be able to fund current operations until mid-2026 based on the offering net proceeds. This is excluding any further income from ongoing business development activities which would extend the runway. For our expected January 2025 to December 2025 operating loss excluding financing activities, 57% is consumed by R&D related expenses and 43% for General & Administrative expenses.
We expect to generate business development income in 2025 which will be used to fund operations. Via the MSD agreement signed in September 2024, we have secured a potential up to $10 million in 2025 already.
In common with many clinical development stage biotechnology companies our future liquidity needs, and ability to address them, will largely be determined by the availability of capital, both generally and in particular to fund our product candidates and key development and regulatory projects. As a pre-revenue biotechnology company, we have financed our operations though continuously raising capital; and we expect to continue having to raise capital routinely on the capital markets, taking advantage of our public listing. We are constantly formulating and implementing potential funding initiatives to ensure we have adequate working capital. These initiatives could be in the form of further equity raises, as noted earlier and/or non-dilutive financings arising from collaborations or licensing arrangements.
The amounts and timing of our actual expenditures will depend on numerous factors, including the progress of our clinical trials, the potential for achieving accelerated regulatory approval and the amount of cash used in our operations. We therefore cannot estimate with certainty the amount of net proceeds to be used for the purposes described above. We may find it necessary or advisable to use the net proceeds for other purposes, and we will have broad discretion in the application of the net proceeds. Our shareholders may not agree with the manner in which our management chooses to allocate and spend the net proceeds. Moreover, our management may use the net proceeds for corporate purposes that may not result in our being profitable or increase our market value.
 
41

TABLE OF CONTENTS
 
CAPITALIZATION
The table below sets forth our cash and cash equivalents and our total capitalization as of September 30, 2024 on:
(1)
an actual basis adjusted for the reduced share capital;
(2)
an adjusted basis to give effect to the exercise of pre-funded warrants of 424,400 ADSs on October 25, December 26, December 27, 2024, January 7, and January 15, 2025 at an aggregate exercise price of $2.9 million and 696,400 ADS sold through the Jones at-the-market facility on January 24, 2025 at an aggregate price of $5.0 million; and
(3)
a pro forma basis as adjusted to give effect to the sale of 3,997,361 ADSs and 1,998,675 Warrants pursuant to this prospectus at a public offering price of $2.71 per ADS, assuming no Warrants are exercised, after deducting the Placement Agents commission and estimated offering expenses payable by us.
You should read this information together with our unaudited interim financial statements and related notes appearing at the end of this prospectus and the information set forth under the “Prospectus Summary — Summary Financial Data,” “Use of Proceeds” and “Management’s Discussion and Analysis of Financial Condition and Results of Operations” sections.
Sep 30,
2024
As adjusted
Pro forma as
adjusted
USD in thousands
Cash and cash equivalents
4,576 12,530 21,989
Total assets
15,185 23,139 32,598
Total liabilities
15,111 15,111 15,111
Share capital
2,183 4,135 11,096
Other reserves
112,794 118,796 121,294
Accumulated deficit
(114,903) (114,903) (114,903)
Total equity
74 8,028 17,487
The number of our ordinary shares (including shares represented by ADSs in proportion to the designated ratio, as described in this registration statement) to be outstanding after this offering is based on 113,460,556 ordinary shares outstanding as of January 27, 2025, and excludes:

3,044,794 ordinary shares issuable upon the exercise of warrants outstanding as of the date of this prospectus, pursuant to our Warrant Incentive Plan, at a weighted average exercise price of $1.19 per warrant;

49,475,025 ordinary shares issuable upon the exercise of warrants outstanding as of the date of this prospectus, based on Warrants issued to investors and placement agent, at a weighted average exercise price of $0.46 per warrant;

1,550,000 ordinary shares issuable upon the exercise of warrants outstanding as of the date of this prospectus, based on warrants issued to consultants related to the Company, at an exercise price equal to $0.20 per warrant issued.

380,293,652 ordinary shares reserved for future issuance under our warrant plans. Includes 37,846,160 ordinary shares reserved for future issuance to key-employees, officers and directors, 2,827,492 ordinary shares reserved for future issuance under the EIB Warrants, and 339,620,000 shares reserved for future issuance under warrants they may be issued to future investors, lenders, consultants and/or advisors, if any.
For the description of the Warrant Incentive Plan see “Warrant Incentive Plan” herein.
Unless otherwise stated, all information in this prospectus assumes no exercise of the outstanding options and warrants described above or the Warrants into ordinary shares or ADSs, treats all restricted shares issued with outstanding restrictions to be vested as issued and outstanding shares.
 
42

TABLE OF CONTENTS
 
Except as otherwise indicated all references to our articles of association in this prospectus refer to our articles of association, as amended as currently in force for Evaxion Biotech A/S at the date of this prospectus.
To the extent these outstanding options or any newly issued options are exercised, or we issue additional ordinary shares in the future, there will be further dilution to the new investors purchasing ordinary shares represented by ADSs in this offering. In addition, we may choose to raise additional capital because of market conditions or strategic considerations, even if we believe that we have sufficient funds for our current or future operating plans. If we raise additional capital through the sale of equity or convertible debt securities, the issuance of these securities could result in further dilution to our shareholders.
 
43

TABLE OF CONTENTS
 
DILUTION
If you invest in the ADSs in this offering, your ownership interest of our ordinary shares will be immediately diluted to the extent of the difference between the public offering price per ADS in this offering and the pro forma as adjusted net tangible book value per ADS after this offering. For the purposes of calculating the potential impact of dilution, the full value of the public offering price of $2.71 per ADS has been ascribed to the ADSs. Dilution results from the fact that the public offering price per ADS is substantially in excess of the net tangible book value per ADS after this offering.
The table below sets forth our historical net tangible book value as of September 30, 2024 on:
(1)
an actual basis adjusted for the reduced share capital and;
(2)
an adjusted basis to give effect to the exercise of pre-funded warrants of 424,400 ADSs on October 25, December 26, December 27, 2024, January 7, and January 15, 2025 at an aggregate exercise price of $2.9 million and 696,400 ADS sold through the Jones at-the-market facility on January 24, 2025 at an aggregate price of $5.0 million.
(3)
a pro forma basis as adjusted to give effect to the sale of 3,997,361 ADSs and 1,998,675 Warrants pursuant to this prospectus at a public offering price of $2.71 per ADS, assuming no Warrants are exercised, after deducting the Placement Agents commission and estimated offering expenses payable by us.
You should read this information together with our unaudited interim financial statements and related notes appearing at the end of this prospectus and the information set forth under the “Prospectus Summary — Summary Financial Data,” “Use of Proceeds” and “Management’s Discussion and Analysis of Financial Condition and Results of Operations” sections.
Sep 30,
2024
As adjusted
Pro forma as
adjusted
USD in thousands
Total assets
15,185 23,139 32,598
Total liabilities
(15,111) (15,111) (15,111)
Net tangible book value
74 8,028 17,487
Number of outstanding ADSs
1,148,411 2,269,211 6,266,572
On “As adjusted” basis, we had a historical net tangible book value of $8.0 million, or $3.54 per ADS on of September 30, 2024. Our net tangible book value per ADS represents total tangible assets less total liabilities, divided by the number of ordinary shares outstanding.
After giving further effect to 3,997,361 ADSs at a public offering price of $2.71 per ADS, and after deducting the Placement Agents commission and estimated offering expenses payable by us, our pro forma as adjusted net tangible book value at September 30, 2024 would have been $17.5 million, or $2.79 per ADS. This represents an immediate decrease in pro forma as adjusted net tangible book value of $0.75 per ADS to existing investors and immediate accretion of $0.08 per ADS to new investors in this offering. The following table illustrates this dilution to new investors purchasing ADSs in this offering:
Public offering price per ADS
$ 2.71
Historical net tangible book value per ADS as at September 30, 2024
$ 3.54
Decrease in net tangible book value per ADS attributable to transactions in the period through the present offering, as described above
$ (0.75)
Pro forma net tangible book value per ADS as of September 30, 2024
$ 2.79
Accretion per ADS to new investors purchasing ADSs in this offering
$ 0.08
 
44

TABLE OF CONTENTS
 
The number of our ordinary shares (including shares represented by ADSs in proportion to the designated ratio, as described in this registration statement) to be outstanding after this offering is based on 113,460,556 ordinary shares outstanding as of January 27, 2025, and excludes:

3,044,794 ordinary shares issuable upon the exercise of warrants outstanding as of the date of this prospectus, pursuant to our Warrant Incentive Plan, at a weighted average exercise price of $1.19 per warrant;

49,475,025 ordinary shares issuable upon the exercise of warrants outstanding as of the date of this prospectus, based on Warrants issued to investors and placement agent, at a weighted average exercise price of $0.46 per warrant;

1,550,000 ordinary shares issuable upon the exercise of warrants outstanding as of the date of this prospectus, based on warrants issued to consultants related to the Company, at an exercise price equal to $0.20 per warrant issued.

380,293,652 ordinary shares reserved for future issuance under our warrant plans, including 37,846,160 ordinary shares reserved for future issuance to key-employees, officers and directors, 2,827,492 ordinary shares reserved for future issuance under the EIB Warrants, and 339,620,000 shares reserved for future issuance under warrants they may be issued to future investors, lenders, consultants and/or advisors, if any.
Unless otherwise stated, all information in this prospectus assumes no exercise of the outstanding options and warrants described above or the Warrants into ordinary shares or ADSs, treats all restricted shares issued with outstanding restrictions to be vested as issued and outstanding shares, issued in this offering.
 
45

TABLE OF CONTENTS
 
BUSINESS OVERVIEW
General
We are a clinical-stage TechBio company that aspires to lead the exploration of artificial intelligence, or AI, to develop vaccines with improved efficacy when compared to currently marketed products for patients with unmet medical needs. We were founded in 2008 as an AI company and over the years have developed into an AI-TechBio company with a robust clinical pipeline of personalized cancer vaccines and a broad pre-clinical pipeline of vaccines for various infectious diseases. Our pipeline programs are derived from our proprietary AI-Immunology platform, consisting of several models: PIONEER, ObsERV, AI-DeeP, EDEN, and RAVEN and we are utilizing these unique AI models to build a strong drug development pipeline. Drug development is a long and costly process with high attrition rates. We believe our unique AI-Immunology platform, trained to translate vast amounts of data to identify novel targets for the development of unique vaccines, have the potential to significantly reduce drug development timelines, costs and attrition.
We aim to capture the value from the predictive power of our proprietary AI-Immunology platform and its ability to identify novel targets for drug development by building a solid pipeline of AI-powered vaccines within the areas of cancer and infectious diseases, both attractive markets with high unmet medical needs. The associated business model is to partner our vaccines after pre-clinical or clinical Proof of Concept, or PoC, with large biopharmaceutical and pharmaceutical companies to conduct clinical trials, regulatory and marketing approval and commercialization of our product candidates.
We are currently advancing our first two product vaccine candidates, EVX-01 and EVX-02, for the treatment of various solid cancers. Our third cancer vaccine candidate, EVX-03, for the treatment of various cancers including non-small-cell-lung-cancer, or NSCLC, is a clinically ready asset. We are actively seeking partnership opportunities to further advance the development of the EVX-03 vaccine candidate. In addition, we are currently developing three pre-clinical bacterial vaccine product candidates, EVX-B1, EVX-B2 and EVX-B3, targeting Staphylococcus aureus, or S. aureus, and Neisseria gonorrhoeae, or N. gonorrhoeae infections, and an undisclosed bacteria target respectively, and one viral vaccine product candidate, EVX-V1, targeting cytomegalovirus, or CMV.
Our AI-Immunology Platform and Product Development Pipeline
The immune system is widely regarded as a highly important defense system. We use the power of AI to decode the immune system and to direct it towards internal or external threats such as cancer and infectious diseases. Our AI technologies include the immuno-oncology AI models PIONEER & ObsERV, the bacterial and viral disease AI models EDEN & RAVEN, and our Immune Checkpoint Inhibitor responder AI model AI-DeeP. These AI technologies are based on the current understanding of the human immune system and can transform large amounts of biological data into algorithms that may accurately predict cellular interactions within the immune system and potentially more accurately identify targets that will stimulate a relevant immune response. We believe that the predictive power of our AI models will reduce both the development time and risk of failure during the various stages of drug development. Our AI-Immunology allows for a cost reduction of up to 90%+ when deploying the model for target identification compared to reverse vaccinology. Further, given the strong predictive capabilities of AI-Immunology we only need to test 20% of targets compared to what is needed with reverse vaccinology. We have demonstrated that our AI models are able to identify novel targets in just days, rather than years as is common for standard drug discovery methods. We believe that this predictive accuracy can significantly decrease the risk of failure by reducing the risk of low efficacy or unacceptable toxicity.
PIONEER is our AI model for the discovery of patient-specific cancer targets which we use to develop truly personalized cancer vaccines. PIONEER identifies patient-specific tumor mutations, so called neoantigens, that can induce strong T-cell dependent immune responses leading to tumor eradication. We believe such neoantigen-based therapies will induce a directed immune response to each patient’s tumor that can eradicate the cancer cells from the body. We are currently developing three programs for personalized cancer vaccines; EVX-01, EVX-02, and EVX-03, of which the first two are currently in clinical development.
 
46

TABLE OF CONTENTS
 
ObsERV is our AI model for the discovery of patient- or indication-specific virus-derived targets, so-called ERVs (endogenous retroviruses), selectively expressed in cancer. We have preclinically demonstrated complete tumor eradication in animal models when targeting ObsERV identified ERVs. We believe that ERV-based therapies will induce a directed T-cell dependent immune response leading to tumor eradication. Our EVX-03 vaccine candidate contains a combination of PIONEER predicted neoantigens and ObsERV predicted ERV antigens.
AI-DeeP is our AI model for predicting patient responses to cancer checkpoint inhibitor immunotherapy. The AI model can predict patient immunotherapy treatment outcomes with high precision and may inform decision on treatment. AI-DeeP is part of the ‘Responder’ leg of our corporate strategy.
EDEN is our AI model for the discovery of B-cell antigen vaccine targets. EDEN has been designed to identify novel infectious disease B-cell antigen targets that, we believe, have the potential to be more effective than what have previously been identified using standard drug discovery methods. We apply EDEN in our current development of three pre-clinical bacterial vaccine programs; EVX-B1, targeting Staphylococcus aureus, or S. aureus infections, EVX-B2/EVX-B2-mRNA targeting Neisseria gonorrhoeae, or N. gonorrhoeae infections, and EVX-B3, targeting an undisclosed bacterial pathogen with a high medical need where no vaccine is currently available. We believe EDEN is applicable for virus vaccine development, hence it is applied in the development of our EVX-V1 virus vaccine against cytomegalovirus (CMV).
RAVEN is our AI model for the discovery of vaccine antigen targets, that can induce strong T-cell immune responses for infectious diseases. We apply RAVEN in our current development of the pre-clinical viral vaccine program; EVX-V1, targeting cytomegalovirus (CMV). We believe RAVEN is also applicable for bacterial vaccine development, hence it is applied in the development of EVX-B3.
Product Development Pipeline
Our AI-identified targets can be delivered using any delivery modality, such as peptides, recombinant proteins, mRNA and our proprietary DNA-targeting technology, and we are building a diverse vaccine pipeline utilizing such different delivery modalities.
[MISSING IMAGE: fc_stageofdevelop-4c.jpg]
Figure 7
Our AI models and vaccine pipeline.
EVX-01
EVX-01 is a novel liposomal, peptide-based cancer vaccine designed to engage a patient’s own immune system to fight their cancer by mounting a targeted response towards the tumor.
 
47

TABLE OF CONTENTS
 
In June 2023 we reported complete clinical data from the Phase 1/2a trial of EVX-01 in metastatic or unresectable melanoma demonstrated an overall response rate of 67% across all 12 patients compared with a historical overall response rate of 40% with anti-PD-1 treatment alone. In addition, the data showed induction of neoantigen-specific T cells in 100% of patients.
EVX-01 is currently in a Phase 2 global multi-center clinical trial for the treatment of metastatic melanoma and is administered in combination with KEYTRUDA® (pembrolizumab), a humanized anti-human PD-1 monoclonal antibody developed by Merck & Co., Inc., or Merck. A Clinical Trial Collaboration and Supply Agreement, or CTCSA, is in place with MSD International GmbH and MSD International Business GmbH (known collectively as MSD outside the United States and Canada), both of which are subsidiaries of Merck, to evaluate the combination of EVX-01 with MSD’s KEYTRUDA®.
The first patient in the EVX-01 Phase 2 trial was dosed in Australia in September 2022. In November 2022, we submitted an Investigational New Drug Application, or IND, along with a Fast Track designation request to the U.S. Food and Drug Administration, or FDA, for the Phase 2 clinical trial of EVX-01 in combination with KEYTRUDA® for the treatment of patients with metastatic melanoma. On December 22, 2022, the FDA notified us that it had reviewed our IND and determined that we could proceed with our Phase 2 trial. In January 2023, we received Fast Track designation from the FDA for the study.
In addition, we have received approval of our Clinical Trial Applications, or CTAs, for the Phase 2 trial from regulatory authorities in Australia and Italy.
The initial data from five patients from the Phase 2 clinical study were presented at the annual meeting of the Society of Cancer Immunotherapy, or SITC, in San Diego, California November 2023. In June 2024, immune data from a total of 12 patients was presented at American Society for Clinical Oncology, or ASCO, Annual Meeting in Chicago, Illinois. The data demonstrated neoantigen-specific T-cell reactivity induced by EVX-01 in all 12 patients. In Septemeber 2024, one-year clinical efficacy data was presented at the European Society for Medical Oncology Congress in Barcelona, Spain. The data demonstrated an overall response rate of 68.8% as per RECIST 1.1 with 15 out of the 16 patients experiencing a tumor target lesion reduction. Full Phase 2 study readout is expected in 2025.
EVX-02
EVX-02 is a DNA-based cancer vaccine designed to induce a therapeutic immune response in the adjuvant setting in patients with resected melanoma, when administered in combination with a PD-1 inhibitor. In March 2022, we reported completion of recruitment of the EVX-02 Phase 1/2a clinical trial and in November 2022, we announced an interim study readout from eight patients. The data demonstrates activation of neoantigen-specific T cells with tumor killing potential and that T-cell responses were robust and long lasting indicating potential for a clinically relevant anti-tumor immune attack. The treatment appeared to be well tolerated in all patients, with only very mild AEs, observed in relation to EVX-02 treatment.
On April 18, 2023, we presented final clinical data from the Phase 1/2a study. Data were presented in the Late Breaking Research: Clinical Research 2 session at the 2023 AACR (American Association for Cancer Research) meeting in Orlando, Florida.
The study showed that:

All 10 patients who received the full dosing schedule of eight immunizations with EVX-02 were relapse-free at their last assessment

Of these 10 patients, nine completed the full study and were relapse-free at the 12-month end of study visit. One patient was prematurely terminated due to non-EVX-02 related adverse events, or AEs, and was relapse-free at the last visit at nine months

The combination of EVX-02 and nivolumab was well tolerated and only mild EVX-02-associated AEs were observed

Robust and long-lasting neoantigen-specific T-cell immune responses were confirmed in all EVX-02 completers
 
48

TABLE OF CONTENTS
 

The induced T-cell immune responses involved both CD4+ and CD8+ T cells
We believe the data serve as a validation of our PIONEER platform and provide proof of mechanism for our DNA-based approach to personalized cancer therapies.
EVX-03
EVX-03 is an improved, next generation DNA-based cancer vaccine with a proprietary antigen-presenting cell, or APC, targeting unit, for the treatment of various cancers. We believe our DNA technology has the potential to improve antigen presentation, anti-tumor immunity and hence clinical response. The goal of our EVX-03 cancer vaccine is to promote T-cell priming and expansion of effector T cells for direct and specific tumor killing, and we intend to develop EVX-03 for the treatment of multiple cancers, including non-small cell lung cancer.
Our EVX-03 product candidate is clinically ready asset with pre-clinical data demonstrating that adding our APC-targeting unit leads to high levels of neoantigen-reactive T cells, significant tumor reduction even at very low doses and a favorable toxicology profile. We believe the promising clinical, immune and safety data from the EVX-02 Phase 1/2a clinical trial together with the superior EVX-03 pre-clinical data, support moving EVX-03 into clinical development. We are actively seeking partnership opportunities to further advance the development of EVX-03.
EVX-B1
EVX-B1 is a prophylactic multi-component vaccine initially in development for the prevention of S. aureus-induced skin and soft tissue infections, or SSTI, in patients undergoing elective abdominal hernia surgery. EVX-B1 includes two proprietary and highly protective antigens identified by EDEN as well as a chimeric toxoid, formulated with a potent adjuvant. We believe that the predictive power of EDEN and our unique approach to vaccine design will result in a highly protective vaccine. EVX-B1 has now completed pre-clinical development. We have concluded the testing of the protein antigens in a final MTA study with a potential partner, where we could demonstrate that the protein antigens induce protection against S. aureus infection in a non-rodent surgical site infection model.
EVX-B2
EVX-B2 is a prophylactic vaccine being developed to target diseases caused by N. gonorrhoeae. EVX-B2 is composed of a fusion protein with two antigen subunits, identified by EDEN and formulated with a potent adjuvant. We believe that our EVX-B2 vaccine candidate will induce a protective immune response against N. gonorrhoeae and thereby minimize the risk of infection for the general population and groups at risk.
In September 2022, together with UMass Chan Medical School, we received a grant from the U.S. National Institutes of Health, or NIH, to support the evaluation of our EVX-B2 candidate using DNA and mRNA vaccine delivery platforms and to progress the development of our EVX-B2 vaccine candidate. In September 2023, we initiated a collaboration with Afrigen Biologics with the goal of developing an mRNA-based gonorrhea vaccine for low-and middle-income countries (LMICs). The mRNA vaccine will be based on the same two EDEN discovered antigens having demonstrated high levels of protection in preclinical studies. In September 2024 initial data from the Afrigen collaboration was presented at the 18th Vaccine Congress in Lisbon, Portugal. The results presented included Proof-of-Concept data, demonstrating the ability of the EVX-B2 mRNA vaccine to induce a specific immune response and that the immune sera from vaccinated mice could induce bacterial killing in vitro.
EVX-B3
In September 2023, we initiated a new collaboration with MSD to address a serious global medical issue by targeting a pathogen associated with repeated infections, increasing incidence, and often serious medical complications for which no vaccines are currently available. Our proprietary AI-Immunology platform, with the EDEN and the RAVEN models, will be utilized for the rapid design of a completely
 
49

TABLE OF CONTENTS
 
novel vaccine candidate, EVX-B3, with the goal to be capable of eliciting both a strong humoral (antibody) and cellular immune response to the bacterial pathogen.
EVX-B2 and EVX-B3 were partnered with MSD in September 2024 as part of a significantly expanded vaccine collaboration with MSD.
EVX-V1
In December 2022, we announced the development of our first viral vaccine product candidate, targeting Cytomegalovirus, or CMV. We are utilizing our AI models RAVEN and EDEN to design a next-generation vaccine candidate that elicits both cellular and humoral responses. Ten EDEN predicted novel B-cell antigens have been selected and are now being produced as recombinant proteins for further evaluation in preclinical models. In addition, antigens described in literature, but with novel design by Evaxion, are also being investigated and evaluated for efficacy in preclinical models.
EVX-V1 is being developed in collaboration with ExpreS2ion Biotechnologies AB, or ExpreS2ion. We believe this partnership has the potential to deliver a truly differentiated, highly immunogenic vaccine for protection against CMV infections. EVX-V1 is currently in a pre-clinical discovery phase.
On November 12, 2024, we announced positive preclinical data for EVX-V1. The data demonstrates that CMV antigens identified with Evaxion’s AI-Immunology platform trigger targeted immune responses. Results also showcases the successful design of a proprietary prefusion glycoprotein B (gB) antigen with ability to neutralize the virus. We are advancing these new findings to develop a multi-component CMV vaccine candidate.
On December 2, 2024, Evaxion announced that it would present data from preclinical studies with its precision cancer vaccine concept targeting non-conventional ERV (endogenous retrovirus) tumor antigens shared across patients at the ESMO Immuno-Oncology Congress, taking place from December 11 – 13, 2024, in Geneva, Switzerland. The data provides preclinical Proof-of-Concept for the concept.
Our Strengths

Our flexible, scalable and adaptable AI-Immunology platform offers a strong value proposition toward existing and potential partners

Our five AI models PIONEER, ObsERV, AI-DeeP, EDEN and RAVEN ingrained in the AI-Immunology platform, have allowed us to generate numerous pipeline candidates within both cancer and infectious diseases, all with positive potential and with our first two oncology product candidates currently in clinical development

Our AI-Immunology platform offers the potential to expand our partnerships and product candidate portfolio and allows for entering into additional therapy areas

Our AI immunology platform facilitates the identification of novel effective vaccine targets, enhancing the potential for clinical success

Our in-house capabilities for experimental screening and testing of novel targets allow us to move rapidly from target identification to pre-clinical development

Our model for iterative training allows for continuous improvement of our AI-Immunology platform as data are generated throughout the drug development stages

We have established a direct link between the predictive power of our AI-Immunology platform and preclinical and clinical outcome

Our existing collaborations are confirming the strength of our AI-Immunology platform
Our Strategy
The Evaxion strategy centers around our AI-Immunology platform, which has been continuously developed and refined over the past 15 years. This has provided us with a pioneering and differentiated position within AI-based vaccine target discovery, and further led to the design and development of novel
 
50

TABLE OF CONTENTS
 
vaccine candidates. The strong potential of AI-Immunology is evidenced by both the preclinical and clinical data we have generated as well as through existing partnerships. The AI-Immunology platform holds the potential to generateone new vaccine target every 24 hours, is delivery modality-agnostic, and easily adaptable to partner needs. The platform is currently trained in cancer and infectious diseases and is scalable to other therapeutic areas. The high throughput, combined with a very flexible model, offers a strong value proposition for both existing and future partners.
The AI-Immunology platform contains five interrelated proprietary AI prediction models: (i) PIONEER, our cancer neoantigen prediction model, (ii) ObsERV, our endogenous retrovirus (ERV) tumor antigen prediction model, (iii) EDEN, our B-cell antigen prediction model, (iv) RAVEN, our T-cell antigen prediction model and (v) AI-DeeP our responder prediction model. The platform features a unique modular architecture where the same building blocks are used across different AI prediction models. This means that improvements in individual building blocks will lead to improvements in all the AI prediction models where the building block is used This, we believe, serves to further enhance the predictive capabilities of AI-Immunology and to ensure we will retain a differentiated position going forward. The building block-based architecture also gives a high scalability to other therapeutic areas which is offering attractive long-term opportunities for Evaxion.
In parallel with the AI-Immunology platform development, we have been building a strong multidisciplinary capability set spanning the full value chain from target discovery to early clinical development. Our state of art wet-lab and animal facility gives us a unique opportunity for rapidly validating our AI predictions in pre-clinical models thereby, generating proprietary data as well as new pipeline assets. Further, it offers partners a flexible and adaptable one stop shop for discovery and development of new vaccine candidates.
The AI-Immunology platform together with our multidisciplinary capability set drives a clear differentiation for our AI driven approach to development of novel vaccine candidates and provides a strong value proposition towards potential partners. The differentiation is illustrated in Figure 8 below.
[MISSING IMAGE: fc_immun-bw.jpg]
Figure 8
A clearly differentiated position with AI based drug discovery and development.
With AI-Immunology at the core, and further building upon our strong multidisciplinary capability set, our focus is on pursuing value realization of our AI platform and pipeline via a multi-partner approach. This is being executed through our three-pronged business model focusing on vaccine target discovery collaborations using our AI-Immunology platform (Targets), advancing our proprietary pipeline of vaccine candidates (Pipeline) and using our core data and predictive capabilities to develop responder models (Responders). Please see Figure 9 below for an overview of the Evaxion three-pronged business model.
 
51

TABLE OF CONTENTS
 
[MISSING IMAGE: fc_strategy-4c.jpg]
Figure 9
The Evaxion three-pronged business model.
For the Target part of our three-pronged business model, the multi-partner approach to value realization means that we have a strong focus on establishing partnerships where we bring our multidisciplinary capabilities and the unique predictive capabilities of AI-Immunology to partners with the objective of developing novel vaccine candidates. The agreement around EVX-B3 with MSD from September 2023, which in September 2024 resulted in a significantly expanded collaboration with an option and license agreement, covering both EVX-B3 and EVX-B2, with potential milestones of USD 592 million per product, is a good example of what we aim at achieving in the Target part of our three-pronged business model. For EVX-B3, we teamed up with MSD in September 2023 to utilize AI-Immunology to discover and develop a novel vaccine for a bacterial infectious disease, where no vaccine is available today. We are excited about this collaboration with MSD and are thrilled to see it continuing into the next phase which now also includes EVX-B2.. We are also very pleased with the level of interest we are seeing from other potential partners in establishing similar partnerships within other infectious disease areas and are excited about the potential for addressing significant unmet needs in collaboration with partners within the Target part of our strategy. To further develop the predictive capabilities of AI-Immunology, and hence further strengthen the value proposition to existing and potential partners, we are excited to have launched an upgraded version of EDEN, EDEN 5.0, which took place at the European Conference on Computational Biology (ECCB) conference in September 2024.
Within the Pipeline part of our three-pronged business model, we are advancingour own select high value programs to key value inflection points following which we will pursue partnering. With our multidisciplinary capabilities and the predictive capabilities of AI-Immunology, we have strong potential for quickly advancing proprietary high value programs into preclinical and clinical development. However, we do not intend to run larger scale clinical trials ourselves. Within the Pipeline part of the strategy, we are very excited about the convincing EVX-01 Phase 2 one-year clinical data we presented at ESMO in September. The convincing data already makes us look forward to the two-year clinical readout in Q3, 2025. The one-year clinical data was a very important milestone for our lead pipeline candidate and we are excited about the commercial potential of EVX-01. We will also partner pipeline assets before entering clinical development if this makes sense from a strategic and financial point of view. The agreement with MSD on EVX-B2 (as well as EVX-B3), containing potential milestones of up to USD 592 million per product, which we announced in September 2024 is a good example of such early partnering strategy.
 
52

TABLE OF CONTENTS
 
Within the Responder part of our strategy, which focuses on harnessing our data and predictive capabilities to develop responder models, we obtained Proof of Principle for our Checkpoint Inhibitor responder model in late 2023. We have now defined a high-level development plan and a preliminary commercial model. The plan remains to bring our Checkpoint Inhibitor responder model forward in a partnership-based structure.
Hence, in summary we are seeing a continued strong progress on our strategy as executed via our three-pronged business model. We are excited about having delivered successfully on most of our 2024 key milestones as can be seen in Figure 10 below. We are also thrilled about the interest we are seeing from potential partners in both the establishment of new vaccine discovery and development collaborations as well as in our existing pipeline assets and excited about our significantly expanded vaccine collaboration with MSD and the financial and strategic value it brings. While we were not able to meet the original business development ambition of generating USD 14 million in business development income or cash in for 2024, due to certain business development discussions moving into 2025, we are pleased with the USD 3.2 million already secured in 2024 via the MSD agreement as well as the potential up to USD 10 million for 2025, contingent upon if MSD exercises the option for one or both vaccine candidates. Further, the business development discussions having moved into 2025 enhances the potential for generation of business development income in 2025.
[MISSING IMAGE: tb_milestones-4c.jpg]
Figure 10
2024 milestones.
The strong strategy execution in 2024 makes us excited about the prospects for 2025. Focus for 2025 will be a continuation of the multi-partner approach to value realization via execution upon our business development strategy, continuation of the ongoing EVX-01 phase 2 trial, the ongoing strengthening of our AI-Immunology platform and further advancement of our research activities, including progressing our ERV based precision vaccine concept towards clinical development. Finally, focus is of course on advancing our existing partnerships including bringing the MSD collaboration to option exercise. Please the table below for an overview of 2025 company milestones.
 
53

TABLE OF CONTENTS
 
[MISSING IMAGE: fc_aiimmunology-4clr.jpg]
Figure 11
2025 company milestones.
Our Management Team
We believe that our fully AI-driven approach and our AI-Immunology platform places us at the forefront of effectively translating the immune system into novel vaccine candidates that trigger the immune system to treat a variety of diseases. To deliver on our objectives, we have built an experienced and broadly skilled management team.
Our Chief Executive Officer, Christian Kanstrup joined us on September 1, 2023. Christian Kanstrup has more than 25 years of experience in the life science industry, coming from a position of Executive Vice President at Mediq before joining Evaxion. Prior to that, Christian held a broad range of senior management roles at Novo Nordisk A/S, latest as Senior Vice President and global head of Biopharm Operations. Prior to that Christian among others held senior leadership roles within the commercial part of the business as well as within strategy and corporate development. Christian also holds various board and advisory positions in the life science industry, advising on corporate strategy and company growth.
Our Chief Science Officer Birgitte Rønø joined in 2017 and was appointed CSO in 2021. Dr. Rønø has more than 20 years’ experience in biopharmaceutical drug discovery from academia and industry and received her PhD in experimental oncology and immunology from National Institutes of Health, Bethesda, USA, and Copenhagen University Hospital, Denmark. Prior to joining Evaxion, Birgitte Rønø served as a specialist, team leader and project manager at Novo Nordisk A/S, where she was leading early drug discovery projects, evaluating in-licensing opportunities, and supporting drug development projects with pre-clinical and biomarker expertise.
Jesper Nyegaard Nissen joined as Chief Operating Officer in 2022 and was also appointed interim Chief Financial Officer in 2023. For over 25 years, Jesper Nyegaard Nissen has worked broadly across the pharma value chain in global operations positions in Novo Nordisk anchored in research, development and finance. He has covered business areas across a variety of focus points, including finance operation, external innovation and collaborations, digitalization of business process optimization, development and shaping of organizational capacities, and implementation of performance and process improvement structures. On July 31, 2024, Jesper Nissen tendered his resignation as Chief Operating Officer and Interim Chief Financial Officer of the Company, to be effective October 31, 2024. Mr. Nissen’s resignation was for personal reasons and was not a result of any disagreement with the Company on any matter relating to the Company’s operations, policies or practices.
The Company has appointed Thomas Frederik Schmidt to assume Mr. Nissen’s responsibilities as the Interim Chief Financial Officer. Mr. Schmidt brings more than 30 years of financial management experience
 
54

TABLE OF CONTENTS
 
from across different industries with more than 25 years of these being based in the life science industry including roles as country Managing Director and country Chief Financial Officer in Roche and Group CFO in Ambu. Ambu is a MedTech company listed on the Nasdaq Copenhagen Stock Exchange. Mr. Schmidt holds a Master of Science in Business Economics and Auditing from Copenhagen Business School and a has undergone training and preparation for State Authorized Public Accountant (CPA) exam. Mr. Schmidt has succeeded Mr. Nissen as the Company’s Interim CFO as of November 1, 2024.
Andreas Holm Mattsson serves as Chief AI Officer at Evaxion Biotech, where he’s been at the forefront in silico-based vaccine target discovery. He has played a key role in developing Evaxion’s innovative AI-Immunology platform, a proprietary AI technology for identifying novel vaccine targets for cancer and infectious diseases. Andreas brings a strong educational background in bioinformatics from the Technical University of Denmark and has previously worked at Novo Nordisk. Since founding Evaxion in 2008, he has been an essential part of the company’s growth, serving in various executive roles.
Background on Cancer Vaccines and the Role of Neoantigens and ERVs
The immune system is our body’s natural defense system that protects us against infection and diseases. It keeps track of all of the substances normally found in the body and raises an alarm if an unfamiliar substance is found, launching an attack against it. However, cancer cells can present a more challenging target for the immune system. Cancer cells are altered normal cells and therefore the immune system doesn’t always recognize them as foreign. In fact, cancer cells possess several mechanisms through which they escape immune surveillance as they:

Harbor genetic changes that make them less visible to the immune system

Express proteins on their cell surface that inhibit immune cell effector functions

Induce changes in the normal cells around the tumor thus interfering with how the immune system responds to the cancer cells
To overcome this, vaccines use different ways to seek the power of the patient’s own immune system to fight cancerous cells. The regulatory approval of immune checkpoint inhibitors, or CPIs, has been a major breakthrough in treatment of patients suffering from advanced solid cancers by demonstrating beneficial clinical responses, durable disease control and improved survival in subsets of patients. Detailed mapping of the underlying mechanisms has revealed that the CPI-induced antitumor effect is associated with the patient’s ability to mount a tumor-specific T-cell response. To further improve clinical efficacy, different co-targeting strategies are currently being explored, including the combination of CPI and T-cell vaccines capable of directing and improving the patients’ immune response specifically towards essential functions in the cancer cells.
The Role of T Cells in Cancer Vaccines
T cells are a type of white blood cells that play a central role in the immune system. T cells are involved in both detecting and killing infected or abnormal cells, such as cancer cells, as well as coordinating immune responses. T cells can be classified into two major subsets, CD4+ T cells and CD8+ T cells, each possessing different functionalities. CD8+ T cells are considered the main effectors in T-cell mediated tumor killing, however, several reports have highlighted the importance of inducing both CD4+ and CD8+ T cells as T helper 1, or Th1, CD4+ T cells support CD8+ T-cell priming as well as promote the desired effects via secretion of effector cytokines.
T cells recognize cancer cells using T-cell receptors, or TCRs, that interact with specific immune targets, or epitopes, presented by a molecular structure on the surface of cells known as the major histocompatibility complex, or MHC. The MHC molecules bind to peptides from protein degradation inside the cell before being transported to the cell surface to present the peptide to TCRs. If a peptide bound to the MHC molecule is recognized by T cells, it is called an epitope. There are two classes of MHC molecules, class I and class II, that activate CD8+ and CD4+ T cells, respectively. In humans, MHC is encoded by the genes of the HLA locus. HLA genes show high allelic variation, resulting in MHC molecules that have different peptide binding preferences. Each person expresses a unique combination of molecularly distinct class I and class II MHC molecules that bind a specific set of peptides and epitopes.
 
55

TABLE OF CONTENTS
 
Mutated genes in cancer cells lead to expression of altered proteins which are, like all proteins, processed by the cellular machinery into protein fragments known as peptides. When these mutated peptides are presented on MHC molecules, by either tumor cells or antigen presenting cells, and recognized by T cells, they are known as neoantigens.
Another class of tumor antigens are derived from endogenous viral elements, hereunder endogenous retroviruses (ERVs). ERVs are found in the genome of all cells but their expression is tightly regulated in healthy cells. Due to the way cancer cells evolve, this tight transcriptional regulation of ERVs is often compromised, leading to expression and production of cancer-specific, ERV-derived antigens. As a limited number of somatic mutations and ERVs are shared among two different tumors, no general cancer vaccine can be produced, making it necessary to design and produce a new personalized or precision product specific for each patient or for groups of patients.
The immune system refrains from targeting the body’s own healthy cells principally through processes known as central and peripheral tolerance, by which T cells are educated not to respond to MHCs displaying peptides from normal proteins and, therefore, T cells avoid targeting normal cells for destruction. The TCR-peptide-MHC interaction is a vital immune mechanism that allows the body both to respond against threats, including cancer, as well as to avoid targeting the body’s own healthy cells. Understanding the interactions between TCRs, peptides and specific MHC alleles is critical to directing and activating an immune response to cancer.
Neoantigen- and Endogenous Retrovirus-based Cancer Vaccines
The common feature of cancer is accumulation of mutations in the genes, which manifests as tumors with uncontrolled growth. Cancer is a complex, extremely heterogeneous condition. Despite this complexity and variability, patients with the same type and stage of cancer have historically been administered the same treatment. This approach has been altered in recent years with the introduction of precision medicine cancer vaccines, a tailored approach for selecting therapy at the individual patient or groups of patients’ level based on the genetic makeup of the patient’s cancer. Discovery of molecular cancer biomarkers (i.e., cancer oncogenes) has paved the way for the first generation of personalized and precision therapies. Genomic screening approaches have been commonly employed to identify tumor-specific, overexpressed proteins or genetic mutations that may confer targets for an effective cancer vaccine. We believe a truly personalized or precision approach, incorporating the entirety of the tumor ecosystem, while taking a more unbiased approach to drug design, is required to advert the inherent complexities of the tumor microenvironment and heterogeneous cellular landscape, and to improve the clinical outcome of cancer vaccines. We believe such approach can be achieved by directing vaccines towards cancer-exclusive peptide sequences, so called neoantigens and endogenous retroviruses, or ERVs, displayed on the surface of tumor cell originating from patient-specific mutations and highly expressed ERV sequences, respectively. Neoantigen-targeting vaccines have shown great promise in pre-clinical animal models as well as in early clinical trials. Of note, Moderna and Merck recently announced their personalized neoantigen targeting therapy met the primary endpoint in a Phase 2b trial in melanoma patients.
Neoantigens and ERVs provide an avenue for tumor-specific immune cell recognition, a prerequisite for a beneficial clinical response of a neoantigen/ERV based vaccine. Antigen presenting cells, or APCs, educate the immune system by presenting neoantigens and the ERVs to T cells. Tumor cells often present neoantigens and ERV-derived sequences on their cell surface, providing accessible targets for T cells. T cells recognize and kill neoantigen and/or ERV-presenting cancer cells and effect a positive feedback loop to heighten and broaden the cancer specific immune response as more epitopes will be available for APC uptake upon T-cell mediated tumor cell lysis.
Once patient-specific neoantigens and/or ERVs are administered to the patient, APCs will process the neoantigens and ERVs by the MHC epitope presentation machinery, migrate to the lymph node and present neoantigens and ERVs to T cells. TCRs on circulating CD4+ and CD8+ T cells bind to the presented neoantigens and ERVs triggering initial T-cell activation. Once activated, the T cells will enter the circulation to reach distant organs, including the tumor. In the tumor, reactive T cells will encounter tumor cell surface displayed neoantigens and/or ERVs, resulting in T cell mediated tumor cell killing.
 
56

TABLE OF CONTENTS
 
Cancer patients normally do not have a meaningful numbers of T cells that recognize their tumor. We believe a neoantigen and ERV-targeting approach will generate a strong, de novo tumor-specific T-cell response which will lead to killing of tumor cells and thereby an improved clinical response. Further, we believe such approach has encouraging therapeutic potential because neoantigens and ERVs represent foreign elements to the immune system and are unique to each person’s tumor cells which means neither self-tolerance nor adverse side effects are likely to limit the clinical application of a neoantigen and/or ERV-based vaccine.
We believe our truly personalized or precision approaches targeting neoantigens and ERVs will allow us to harness the natural power of a patient’s own immune system to elicit a strong, cancer-specific immune response, potentially holding the key to long-lasting tumor control or even a possible cure for many cancer patients.
PIONEER — Our AI model for the Discovery of Novel, Personalized Neoantigen-targeting Cancer Vaccines
Overview
PIONEER is our proprietary AI model for the rapid discovery and design of personalized neoantigen-targeting therapies. Our proprietary PIONEER model allow us to efficiently identify and select those neoantigens that we believe are most likely to generate a strong, de novo T-cell response leading to significant antitumor effect in each patient. The goal of our PIONEER derived cancer vaccines is to deliver therapeutic neoantigens to patients in a way that trains the patients’ own immune system to target and kill tumor cells with no or very limited adverse effects on healthy non-cancer cells. As shown in Figure 12 below, PIONEER simulates the key biological steps in presenting each neoantigen to the patient’s immune system with our high-performance, AI-based in silico modules.
[MISSING IMAGE: fc_cells-4c.jpg]
Figure 12
Illustration of mechanisms within the tumor cell that are required for a neoantigen to have a clinical effect in patients.
Key biological steps simulated by PIONEER include:
Step 1 — Mutation:   PIONEER identifies cancer-specific mutations by comparing DNA sequencing data from the tumor sample(s) and normal tissue sample using our proprietary AI-based somatic variant caller.
Step 2 — Expression:   Only a subset of the cancer-specific mutations is found in genes that are expressed in the tumor cells. The expression levels of each gene are determined by analyzing tumor RNA sequencing data. In addition, PIONEER calculates the mutation-specific expression levels using an in-house developed computational module.
Step 3 — Translation:   Not all cancer-specific mutations result in altered protein sequences. Some mutations may be found in regions that do not code for protein sequences or they may simply be synonymous mutations (where the DNA sequence is altered, but the encoded amino acid is the same). PIONEER determines the effects of each cancer-specific mutation. The coding regions around non-synonymous mutations are then translated into amino acid sequences, generating cancer-specific neoantigen sequences.
 
57

TABLE OF CONTENTS
 
Step 4 — Presentation on MHC Class I and Class II Molecules:   To induce an immune response, neoantigens must contain subsequences that are bound by MHC molecules and presented on the cell surface. The identified neoantigens are given as input to our proprietary AI-based tool suite, EvaxMHC, along with the patient’s HLA type to identify neoantigens containing MHC ligands bound by the patient’s MHC molecules specifically.
Step 5 — T-cell Response:   Neoantigens presented by MHC class I and class II molecules are recognized by T cells, triggering an immune response and T cell mediated tumor cell death. However, while being presented as MHC ligands is a prerequisite for generating an immune response, not all MHC ligands are recognized by T cells. PIONEER includes an in silico module that predicts the likelihood of a given mutated MHC ligand eliciting a T-cells response.
Step 6 — Clonal Neoantigens:   Tumors are extremely heterogeneous, meaning that not all tumor cells necessarily encode and express the same neoantigens. Targeting clonal neoantigens, defined as neoantigens arising from clonal mutations that are present in all cancer cells, allows for systemic eradication of the whole tumor, as well as potential metastases in the patient. Multiple reports suggest that targeting clonal neoantigens result in a more effective treatment. PIONEER determines the clonal status of a neoantigen by analyzing the DNA sequencing data using in silico AI modules. For patients where DNA sequencing data from multiple tumor biopsies is available, PIONEER seamlessly integrates the information from each biopsy to improve the clonality estimate.
Identifying those neoantigens that will induce a strong antitumor immune response capable of eradicating all tumor cells in the patient requires sophisticated AI-based in silico tools. Such tools must be capable of accurately identifying tumor specific mutations along with all steps involved in neoantigen processing, presentation and TCR recognition. State-of-the-art, publicly available in silico tools for neoantigen prediction return a vast number of candidates, of which only a handful are ever found to trigger bona fide antitumor responses in patients. We have benchmarked our proprietary in silico tools from PIONEER against state-of-the-art public tools (Mutect2, MixMHCpred-v2.1/MixMHC2pred-v1.2, RSEM-v1.2.0 quantified expression) and we believe our platform produces superior results:
[MISSING IMAGE: bc_bestranked-4c.jpg]
Figure 13
Benchmark study of PIONEER against state-of-the-art, public tools for number of hits identified in the top 10 best-ranked neoantigens.
 
58

TABLE OF CONTENTS
 
To compare PIONEER to a pipeline of state-of-the-art public tools, we designed a simulation study with 3,000 patients. Each patient was assigned 500 potential neoantigens in a 1:5 positive to negative ratio. Both pipelines were tasked with selecting a set of 10 neoantigens for each patient and the average number of positive neoantigens was assessed. Results are depicted in Figure 13 above.
Our benchmark study demonstrates that the publicly available tools are only capable of identifying 2.6 correct neoantigens in the top 10, which, we believe, in a neoantigen-based cancer vaccine is not sufficient to reach a strong antitumor effect. In comparison, PIONEER was able to identify 8.7 correct neoantigens in the top 10, which we anticipate is optimal to drive an enhanced antitumor immune response.
PIONEER include several in silico modules, some of which are AI-based, corresponding to each biological step in neoantigen presentation to the immune system. We believe that our multi-parameter improvements incorporated across our in silico AI modules will translate into better antitumor effect. In pre-clinical studies, we have already demonstrated that enhanced neoantigen prediction directly links to improved antitumor effect in mice (see Figure 14 below).
Improved Neoantigen Prediction Directly Translate into Better Antitumor Effect
Our proprietary in silico AI modules identifying neoantigens within PIONEER have been trained using gradient-boosted decision trees, transformers and a conditional generative adversarial network approach on our internally generated data as well as other data, including, but not limited to, next generation sequencing data from tumor samples, mass spectrometry immunopeptidomics, peptide-MHC-binding affinity data, T-cell immunogenicity data, peptide-MHC-binding stability data. We have demonstrated that development and iterative training of our AI model directly translates into improved antitumor effect in pre-clinical studies. In a pre-clinical tumor study, the efficacy of three versions of PIONEER version 0.1, 1.0 and 2.0), each with increasing number of new features were directly compared (see Figure 14 below). Mice treated with neoantigens predicted by PIONEER 2.0 developed statistically significant smaller tumors compared to mice treated with neoantigens predicted by earlier versions of PIONEER, thereby demonstrating that improved neoantigen prediction directly translates into improved antitumor effect.
[MISSING IMAGE: lc_cellinoculation-4c.jpg]
Figure 14
PIONEER improvement demonstrated in a preclinical study.
 
59

TABLE OF CONTENTS
 
To explore the biological impact of different improvements, three versions of PIONEER were evaluated in the CT26 mouse tumor model. For each version, the top 10 ranked neoantigens were encoded in separate DNA constructs, designated PIONEER 0.1, PIONEER 1.0, and PIONEER 2.0. Mice were intramuscularly treated twice with the various DNA constructs prior to CT26 cells inoculation. A “mock” DNA plasmid without neoantigens was included as control.
We will continue to train and incorporate more data into PIONEER model to ensure that our nested AI modules remain state-of-the-art. In addition, we continue to include new features in the model to further increase its predictive power.
Key Advantages of Our PIONEER model

Identification of Therapeutic Neoantigens:   PIONEER can identify therapeutic neoantigens that drive a T-cell response with higher accuracy compared to predictions done by state-of-the-art public tools. Clinical data from the Phase 1/2a trial of EVX-01 demonstrated induction of neoantigen-specific T cells in 100% of patients with an overall response rate of 67% compared with a historical overall response rate of 40% with anti-PD-1 treatment alone. Further, clinical data from the Phase 1/2a trial of EVX-02 demonstrated activation of neoantigen-specific T cells with tumor killing potential in patients, and that T-cell responses were robust and long lasting.

Identification of Multiple Neoantigens:   PIONEER identifies multiple neoantigens that can be incorporated in the cancer vaccine to increase therapeutic effect and overcome issues related to cancer clonal heterogenicity and tumor immune escape.

World Wide Clinical Applicability:   PIONEER is clinically applicable, automated and deployable anywhere in the world and has been through a process of validation according to the International Society for Pharmacoepidemiology, ISPE’s, latest revised guide for Good Manufacturing Practice, or GAMP5, to ensure compliance with legislature and good practice regulations to maintain a high standard of quality in the system.
We believe we are uniquely positioned to develop a neoantigen-based cancer vaccine and address the shortcomings from competing approaches through our proprietary algorithms and AI modules contained in the PIONEER model.
ObsERV — Our AI model for the Design of Personalized or Precision ERV-based Cancer Targets
Overview
ObsERV is our proprietary AI model for the discovery of patient-specific virus-derived sequences, so-called ERVs (endogenous retroviruses), expressed in cancer. Targeting this novel class of tumor antigens mayallow for developing a completely new type of immunotherapy against immunologically cold tumors with low response rates to immunotherapy. ObsERV can rapidly discover ERV tumor antigens and design of personalized or precision vaccine containing these antigens. Our proprietary AI modules within ObsERV, for the prediction of antigen-specific T-cell responses, have been trained using transformers and a conditional generative adversarial network approach. This allows us to efficiently identify and select those ERV-antigens that we believe are most likely to generate a strong, de novo T-cell response leading to significant antitumor effect in each patient. The goal of our ObsERV model derived cancer vaccines is to deliver therapeutic ERV-antigens to patients in a way that trains the patients’ own immune system to target and kill tumor cells with no or very limited adverse effects on healthy non-cancer cells.
We have preclinically demonstrated complete tumor eradication in animal models when targeting ObsERV identified ERVs. Hence, we believe such ERV-based therapies will induce a directed T-cell dependent immune response leading to tumor eradication.
We believe that ObsERV will allow us to develop therapeutic cancer vaccines benefitting a broader range of cancer patients for which no or limited treatment options exist. This includes providing novel treatment solutions for cancer patients that are unlike to respond to immunotherapy and cancer vaccines that targets neoantigens.
 
60

TABLE OF CONTENTS
 
Key Advantages of Our ObsERV Model

Identification of Therapeutic ERV-antigens:   We believe ObsERV can identify therapeutically relevant ERV-antigens that drive a T-cell response with a state-of-the-art high accuracy and effect. While previous published reports highlight some success with retroviral therapy against specific antigens, our in silico-designed cancer vaccine using ERV-antigens is the first to show lasting tumor protection and a robust, diverse T-cell response.

Identification of Multiple ERV-antigens:   ObsERV identifies multiple ERV-antigens that can be incorporated in the cancer vaccine to increase therapeutic effect and overcome issues related to cancer clonal heterogenicity and tumor immune escape.

Worldwide Clinical Applicability:   As with PIONEER, ObsERV is designed to be clinically applicable, automated and deployable anywhere in the world and has been through a process of validation according to the International Society for Pharmacoepidemiology, ISPE’s, latest revised guide for Good Manufacturing Practice, or GAMP5, to ensure compliance with legislature and good practice regulations to maintain a high standard of quality in the system.
We believe we are uniquely positioned to develop ERV-antigen based cancer vaccines and address the shortcomings from competing approaches through our proprietary algorithms and AI modules contained in ObsERV.
Using PIONEER and ObsERV to Design Our Cancer Vaccine Candidates
[MISSING IMAGE: fc_pioneerrna-4c.jpg]
Figure 15
Our process for manufacturing a personalized cancer vaccine. As shown in Figure 15 above, the following steps describe our process for designing a personalized cancer vaccine:
Step 1 — Tissue Biopsy:   Tumor tissue sample(s) and a blood sample are collected from the patient.
Step 2 — DNA and RNA sequencing:   We then apply deep-sequencing to the patient’s tumor biopsy specimen and blood to derive high-quality DNA and RNA sequence information.
Step 3A — Identify Critical Neoantigens:   PIONEER uses this sequence information to identify tumor mutations. Next, PIONEER identifies potential neoantigens from the tumor mutations and selects the top 10-20 neoantigen candidates and designs the final cancer vaccine.
Step 3B — Identify Critical ERV antigens:   ObsERV uses tumor RNA sequence data from tumor biopsies to identify and rank the most vaccine-relevant ERV antigens. The top 10-20 ERV antigen candidate are selected for the final cancer vaccine design.
Step 4 — Manufacturing:   The PIONEER and ObsERV antigen cancer vaccines are manufactured.
Step 5 — Administer cancer vaccine to Patient:   The manufactured cancer vaccines are administered to the patient.
 
61

TABLE OF CONTENTS
 
Initially, our personalized vaccines are intended for the use as a combination therapy with CPIs. Evidence suggests that in patients responding well to CPI treatment, the response is partly mediated by tumor antigen-reactive T cells. Induction of de novo tumor antigen-specific T cells in combination with CPIs may increase the number of patients responding to treatment as well as improve the long-term clinical outcome.
Our PIONEER and ObsERV Derived Cancer Vaccine Programs
We are currently advancing a clinical pipeline of personalized cancer vaccines derived from our PIONEER and ObsERV models (Figure 16).
[MISSING IMAGE: fc_cancervaccines-4c.jpg]
Figure 16
Our immuno-oncology product candidates derived from PIONEER and ObsERV.
Note: The role of MERCK in the EVX-01 clinical trial is to supply KEYTRUDA® (pembrolizumab).
Our EVX-01 Product Candidate
Overview
Our EVX-01 product candidate is a liposomal, peptide-based therapeutic cancer vaccine designed to engage a patient’s own immune system to fight their cancer by mounting a targeted response towards the tumor. EVX-01, in combination with anti-PD-1 or other CPIs, is intended for the first-line treatment of a variety of metastatic and unresectable cancers amenable to PD-1 inhibition.
EVX-01 consists of five to 10 PIONEER identified neoantigens formulated as peptides (neopeptides) together with a strong CD8+ and CD4+ T-cell inducing adjuvant, CAF09, in-licensed from Statens Serum Institute, or SSI. When administered to the patient, we believe EVX-01 will induce neoantigen-specific T cells that will migrate to the tumor site and induce tumor killing or target circulating tumor cells to eliminate these before becoming metastatic.
The development and Phase 1/2a clinical trial of EVX-01 was partly funded through a $3 million grant from the Innovation Fund Denmark and conducted in collaboration with a consortium consisting of Center for Cancer Immune Therapy at Herlev Hospital, Department of Health Technology at Danish Technical University, Center for Genomic Medicine at University Hospital Copenhagen and the Center for Vaccine Research at SSI. Evaxion retains all of the commercial development rights to EVX-01.
A clinical Phase 1/2a trial was conducted from 2019 to 2022. Results from this trial was presented at American Society of Clinical Oncology, or ASCO, Annual Meeting in June 2023 and showed that EVX-01 in combination with anti-PD-1 treatment induced strong anti-tumor response in 67% of patients. 8 patients had a clinical response to treatment i.e. tumor shrinkage with 2 patients having a complete response i.e. no sign of disease.
EVX-01 is currently in clinical Phase 2 development in a global multi-center trial in metastatic melanoma, administered in combination with KEYTRUDA® (NCT05309421). The trial is currently conducted globally at clinical sites across in Europe and Australia in collaboration with Merck. Patients enrolled in the Phase 2 clinical trial receive KEYTRUDA® in combination with EVX-01, or in the event of progression, another standard of care treatment in combination with EVX-01. We are responsible for the conduct of the trial. We will continue to collaborate with Merck as the data mature.
 
62

TABLE OF CONTENTS
 
The first patient in the Phase 2 trial was dosed in Australia in September 2022. Initial readout from the first five patients was presented at the 38th annual meeting of SITC in November 2023 in San Diego, California. The initial data demonstrated that the EVX-01 therapy was well tolerated, induced an EVX-01- specific immune response in all five patients and further promising signs were observed as three out of the five patients experienced improved clinical outcome upon EVX-01 and pembrolizumab treatment. In June 2024, immune data from 12 patients was presented at the American Society of Clinical Oncology in Chicago, Illinois. Data demonstrated EVX-01 induced T-cell responses in all 12 assessed patients. The T-cell responses were mediated by both CD4+ and CD8+ T cells. Single vaccine neoantigen responses were induced by 71% of the administered neoantigens and correlation analysis between the AI-Immunology prediction scores and the neoantigen T-cell responses demonstrated a significant positive correlation, underlining the precision and predictive power of the proprietary AI-Immunology platform. In September 2024, one-year clinical efficacy data was presented at the European Society for Medical Oncology Congress in Barcelona, Spain. The data demonstrated an overall response rate of 68.8% as per RECIST 1.1 with 15 out of the 16 patients experiencing a tumor target lesion reduction. Furthermore, additional immune monitoring analyses of single neoantigens revealed an even higher neoatigen hitrate of 78.8% with additional data generated from the timepoint of the ASCO presentation. Similarly with the additional immune data generated, the p value for positive correlation between AI-Immunology prediction scores and the immune response induced by the single neoatigens was improved, underlining the precision the proprietary AI-Immunology platform.
Addressable Market for EVX-01
We are currently developing EVX-01 for the treatment of advanced or metastatic unresectable melanoma with the potential to expand into other solid tumor types such as non-small cell lung cancer, or NSCLC, and bladder cancer. According to the American Cancer Society, in 2023 there will be in the U.S.:

97,610 new melanoma cases and 7,990 deaths from melanoma;

238,340 new lung cancer cases and 127,070 deaths from lung cancer. NSCLC makes up on average 84% of all lung cancer cases; and

82,290 new cases of bladder cancer and 16,710 deaths from bladder cancer.
The treatment paradigm for metastatic and unresectable melanoma, NSCLC and bladder cancer has been revolutionized over the last few years with the approval of PD-1/PD-L1 CPIs across treatment lines, including first line for metastatic and unresectable melanoma and in NSCLC as monotherapy or in combination with chemotherapy/other CPIs depending on a patient’s status. In bladder cancer, PD-1/PD-L1 CPIs are approved in the first line setting for cisplatin ineligible patients as well as later line treatments. Only a minority of patients in these three indications have durable responses to PD-1/PD-L1 CPIs with a majority of patients ultimately showing progressive disease. We believe that our therapeutic neoantigens and ERV-antigens could change the treatment paradigm in combination with PD-1/PD-L1 CPIs across these three indications by expanding the patient population responding to PD-1/PD-L1 inhibitor treatment (CPI-resistant patients) and potentially increasing the effect in patients already responding to PD-1/PD-L1inhibitor treatment.
Data Readout from our EVX-01 Phase 1/2a Clinical Trial
Our EVX-01 Phase 1/2a clinical trial was a first-in-human clinical trial of EVX-01 in combination with anti-PD-1 or anti-PD-L1 (NCT03715985). The trial commenced in January 2019 and was an open-label, single-arm trial. The objectives of the trial were to evaluate the safety/tolerability (primary endpoint) and immunogenicity and feasibility of manufacturing (secondary endpoint) and establish a recommended Phase 2b dose, or RP2D. The trial was initially intended as a basket trial for three indications: metastatic melanoma, NSCLC and bladder cancer. The indications were subsequently changed to advanced or metastatic unresectable melanoma.
 
63

TABLE OF CONTENTS
 
[MISSING IMAGE: fc_vaccinetreat-4clr.jpg]
Figure 17
Clinical design of the first-in-human Phase 1/2a clinical trial in the EVX-01 program.
(a) biopsy, Positron emission tomography/computed tomography scan, or PET/CT scan, and blood samples were collected at baseline (T1). Treatment with anti-PD-1 was either initiated at time of first biopsy (group A) or had already been initiated >4 months before biopsy (group B). EVX-01 vaccine was administered at week 6-8 and every 2nd week for 6 total vaccinations:3x IP followed by 3 x IM. (b) Dose escalation of administered peptide pool and number of patients at each dose level. CPI: checkpoint inhibitor, IP: intraperitoneal, IM: intramuscular, ORR: overall response rate, PFS: progression free survival, T: timepoint, FU: follow-up.
In June 2023, we announced data readout from the Phase 1/2a clinical trial showing that EVX-01 in combination with anti-PD-1 compares favorably to anti-PD-1 treatment alone. The data demonstrated an overall response rate, or ORR, of 67% across all 12 patients compared with a historical ORR of 40% with anti-PD-1 treatment alone. The study also demonstrated a complete response, or CR, of 17%, compared with a historical CR of 7% with anti-PD-1 treatment alone. Among the four patients on the highest doses, all had a clinical response (ORR of 100%). Two patients with stable disease, or SD, for 10 and eight months on anti-PD-1 treatment alone, achieved CR and a partial response, or PR, respectively, following EVX-01 administration. In addition, the data showed induction of neoantigen-specific T cells in 100% of patients. 58% of the administered neoantigens induced reactive T cells in patients, of which 85% were de novo responses. Data from the trial also showed that EVX-01 appeared to be well-tolerated with only Grade 1 and 2 adverse events such as fatigue and fever (see Figure 18).
 
64

TABLE OF CONTENTS
 
[MISSING IMAGE: tb_diseasestage-4c.jpg]
Figure 18
Patient disease status, treatment outcome and immune response from the EVX-01 phase 1/2a clinical trial.
As shown in Figure 19 below, a benefit of the combination therapy was observed for nine patients. Of these, two patients had a CR, six patients had a PR, one patient had SD, and three patients had progressive disease, or PD, as best outcome. Furthermore, a complete remission of target tumor lesions was observed in 4 patients (33%).
[MISSING IMAGE: bc_changetrg-4c.jpg]
Figure 19
% change in target lesion size for patients treated with EVX-01.
Disease development determined according to RECIST criteria. PD: Progressive disease, SD: Stable disease, PR: Partial response, CR: Complete response. % change for lymph-node target lesions was set to -100% when lymph-node was normal size (10 mm or below).
 
65

TABLE OF CONTENTS
 
[MISSING IMAGE: lc_prepost-bw.jpg]
Data from our clinical trial, as depicted in Figure 20, prove that patients treated with higher dose levels of EVX-01 neopeptides (dose level three, 200 ug/peptide) have an increased T-cell response compared to lower doses. When investigating the effect of peptide dose on T-cell response in general, we found that higher dose levels increase ORR in patients i.e. all patients at dose level 3 has an objective clinical response. The data supported the selection of the Phase 2 dose as dose level 3 i.e. 200 ug/peptide.
[MISSING IMAGE: lc_prepost-bw.jpg]
Figure 20
Dose-responsiveness of immunogenic neoantigens. Pre, immune responses to EVX-01 neopeptides before vaccination, Post; Immune responses to EVX-01 neopeptides after vaccination.
 
66

TABLE OF CONTENTS
 
When investigating the safety profile, we found that increasing the dose level of EVX-01 does not affect the safety profile. Only grade 1 and 2 treatment related adverse events, or TRAEs, were observed across the three dose levels. Most frequently observed TRAEs include fatigue, stomach pain and fever — see table below of the TRAE:
Grade 1
8 (88.8)%
Grade 2
4 (44.4)%
Grade 3
0 (0)%
Leading to drug discontinuation
0 (0)%
Leading to death
0 (0)%
Neoantigen and Clinical Response Correlations
As shown in Figure 21 below, we observed a correlation between broadness of immune response and clinical benefit when investigated if responding patients had a higher frequency of neoantigens resulting in a tumor-specific immune response as measured in blood by ELISpot. As seen in Figure 21, responding patients in general had a higher frequency of immunogenic neoantigens after treatment with EVX-01 — a trend not observed pre EVX-01 treatment (see “Pre” boxplot to the left in Figure 21). Furthermore, the prevalence for immunogenic neoantigens in patients with clinical response increases in the follow-up samples. We interpret the increased profile of more immunogenic neoantigens in responders post EVX-01 treatment as indirect evidence of effect for EVX-01.
Clinical outcome correlates with neoantigen immunogenicity
[MISSING IMAGE: lc_prepostfollow-bw.jpg]
Figure 21
Frequency of immunogenic neoantigens in patients.
Pre-; before EVX-01 treatment but after initiation of PD-1 CPI treatment, Post: After 3 and 6 rounds of EVX-01 treatment and Follow up: After end EVX-01 treatment until progression. Clinical response as defined by RECIST, immunogenic neoantigens are defined as neoantigens where the T-cell response (SFU) is at least 3 times the standard deviation of the response induced by irrelevant peptides at the same timepoint, frequency of immunogenic neoantigens is calculated per patient.
We also observed a significant correlation between PIONEER quality score (prediction scores), immunogenicity, clinical response and Progression Free Survival, or PSF, as seen in Figure 21 and Figure 22. PIONEER (v4.2) assigns significantly higher quality scores to immunogenic compared to non-immunogenic neoantigens and significantly higher quality scores to neoantigens administered to patients responding to treatment compared non-responding patients.
 
67

TABLE OF CONTENTS
 
[MISSING IMAGE: lc_pioneerscore-bw.jpg]
Figure 22
Correlation between PIONEER quality score and immunogenicity.
Left: PIONEER quality scores for EVX-01 peptides inducing functional responses detected by ELISpot (immunogenic) compared to non-immunogenic EVX-01 peptides. Right: PIONEER quality scores for EVX-01 administered neopeptides in responders (CR/PR) and non-responders (SD/PD). P-value by t-test.
We further investigated if PIONEER quality score impacted PFS, i.e. time from treatment start to disease progression or death, of patients treated with EVX-01 by dividing patients in high and low PIONEER quality groups (n=6 in each). As seen from Figure 23 the high-quality group have significant longer time to progression compared to the low-quality group. To investigate if the longer PSF in the high score group was driven by a higher mutational load, the same analysis using TMB was conducted. As depicted in Figure 23, TMB did not seem to be the determining factor for PSF in this patient cohort, indicating that the quality of administered EVX-01 neopeptides is important for clinical benefit.
[MISSING IMAGE: lc_shortlong-4c.jpg]
Figure 23
Kaplan-Meier plots displaying PFS of patients based on TMB high/low calculated FDA guidelines (left) Median PIONEER score (right).
Our Phase 2 Clinical Trial
Based on our Phase 1/2a clinical trial interim data readout on October 21, 2021, we entered into the Merck CTCSA to evaluate in a new Phase 2 clinical trial, the combination of our personalized cancer vaccine, EVX-01, with MSD’s anti-PD-1 therapy KEYTRUDA® (pembrolizumab), a humanized anti-human PD-1 monoclonal antibody.
The Phase 2 clinical trial is an open-label, multi-center, single arm trial evaluating the efficacy (best objective response, overall response rate, progression free survival and overall survival) and safety of EVX-01
 
68

TABLE OF CONTENTS
 
in adults with advanced or metastatic unresectable melanoma on pembrolizumab. The trial is designed to show an improvement in the best overall response of patients with SD or PR after 12 weeks on pembrolizumab. treatment. The trial design is guided by recently published KEYNOTE-001 and 006 data from MSD which demonstrates that advanced melanoma patients with SD at week 12 and subsequent progression had poor survival outcomes. We believe EVX-01 in combination with pembrolizumab has the potential to significantly improve patient outcomes. The trial design is developed in collaboration with world leading KOLs; Georgina Long (Melanoma Institute Australia, AU), Patrick Ott (Dana-Faber Cancer Institute, USA) and Inge-Marie Svane (Center for Cancer Immune Therapy, Denmark), and is conducted in partnership with MSD.
[MISSING IMAGE: fc_screening-4c.jpg]
Figure 24
Schematic presentation of the EVX-01 Phase 2 clinical trial design. Each patient receives 18 cycles with pembrolizumab (approximately two years).
In January 2022, we received regulatory clearance from the Australia Therapeutic Goods Administration, or the TGA, to initiate the Phase 2 clinical trial of EVX-01, and in September 2022, we announced enrollment of the first patient in our Phase 2 trial in Australia.
In June 2022, we submitted a CTA to the Italian Medicines Agency, which was approved on September 16, 2022. Further, on November 23, 2022, we submitted an IND to the FDA, which was granted approval on December 22, 2022. Further, we received Fast Track designation from the FDA on January 17, 2023.
As of November 2023, 16 patients were enrolled the Phase 2 study and commenced the combination treatment with EVX-01 and pembrolizumab. Initial readout from the first five patients was presented at the 38th annual meeting of SITC in November 2023 in San Diego, California. Few AEs related to EVX-01 have been reported and these were either grade 1 or 2. No SAEs have been reported in this patient cohort at the time of safety data cut-off on 30-Sep-2023. For all five patients EVX-01 induced a specific immune response over time as evidenced by an increase in magnitude of vaccine neoantigen-specific T cells. Further, a clinical benefit was observed in 3 out 5 patients.
In June 2024, immune data from a total of 12 patients was presented at American Society for Clinical Oncology Annual Meeting in Chicago, Illinois. The data demonstrated neoantigen-specific T-cell reactivity induced by EVX-01 in all 12 patients and that the response was driven by both CD4+ and CD8+ T cells. All 12 patients had a CD4+ T-cell response to their antigen pool and CD8+ T-cell reactivity to vaccine neoantigens was observed in three patients after the six priming vaccinations (Figure 25).
[MISSING IMAGE: bc_sfupbmc-4c.jpg]
Figure 25
Vaccine neoantigen-specific T-cell responses induced during the priming.
A: IFNγ ELISPOT response at four different timepoint in PBMCs after in vitro stimulation towards each individual patient’s neoantigen pool. B: Vaccine-specific CD4+ and CD8+ T-cells
 
69

TABLE OF CONTENTS
 
were analyzed by intracellular cytokine staining (ICS) and flow cytometry after in vitro expansion. T-cell responses were defined as %cytokine-positivevaccine_pool STIMULATED > 2.5 x %cytokine-positiveUNSTIMULATED and at least 0.1% of CD4/CD8.
With booster immunizations, analyses of a limited patient subset demonstrated CD8+ T-cell reactivity in two additional patients (Figure 26).
[MISSING IMAGE: fc_cd4cd8cells-4c.jpg]
Figure 26
Vaccine-specific CD4+ and CD8+ T-cells were analyzed by intracellular cytokine staining (ICS) and flow cytometry after in vitro expansion.
T-cell responses were defined as %cytokine-positivevaccine_pool STIMULATED > 2.5 x %cytokine-positiveUNSTIMULATED and at least 0.1% of CD4/CD8
In general, booster immunizations tended to increase the immune response and did not impose any safety concerns.
Assessment of individual neoantigen reactivity revealed that 64 out of the 90 neoantigens administered to the 12 patients induced a significant T-cell response with an overall neoantigen response of 71%. Neoantigen PIONEERTM quality score correlates positively with T-cell responses, underlining the precision and predictive power of the PIONEER™ model (Figure 27).
[MISSING IMAGE: lc_neoagspearson-4c.jpg]
Figure 27
Immunogenicity of individual EVX-01 neoantigen (neoAg) and correlation with neoAg quality score.
A: Number of immunogenic neoAgs per patient at each sample timepoint during EVX-01 priming. Immunogenic neoAgs were determined in an IFNγ ELISpot assay using the criteria: [Mean SFUneoAg STIMULATED] > 2 x [Mean SFUUNSTIMULATED]+ 10 SFU. 64 out of 90 tested neoAgs were immunogenic. B: Correlation between IFNγ ELISpot responses and AI-Immunology™ neoAg quality scores assessed at week 30 after completion of EVX-01 priming (6x EVX-01) demonstrated a significant positive correlation between neoAgs quality score and IFNγ responses.
 
70

TABLE OF CONTENTS
 
In September 2024, one-year clinical efficacy data was presented at the European Society for Medical Oncology (ESMO) 2024 Congress in Barcelona. The combination of EVX-01 and anti-PD-1 therapy led to an encouraging overall response rate of 68.8% (11 patients out of 16 patients) as per RECIST 1.1 with three out of the 16 patients achieved complete remission of their tumor target lesion. Further, a decrease in tumor target leasion size was observed in 15 out of 16 patients (Figure 28A and B). Data cutoff: 21-Aug-2024.
[MISSING IMAGE: bc_patient-4c.jpg]
Figure 28
Clinical event timeline and change in tumor target lesion size.
(A)
Overview of clinical response assessments and EVX-01 dosing. Week 0 is defined as the date of first Pembrolizumab treatment. Circles indicate the day of each clinical response assessment and are colored according to the assessment per RECIST 1.1. The arrows indicate the day of each EVX-01 administration. Early termination (ET) is indicated with a black square and a cross indicates early termination due to death. Patient 4 had PD at week 12 but experienced tumor reduction later. (B) Largest reduction in target lesion size for each patient compared to baseline. Bars are colored according to each patient’s best overall response at the data cut-off date as assessed by RECIST 1.1. *Patients not included in the primary analysis as they were not SD or PR at week 12. # Increased response category after week 12.
The clinical efficacy data from the one-year interim analysis are summarized in the table below:
Assessments
Improvement from SD to PR/CR
2/5 (40.0%)
Improvement from PR to CR
2/9 (22.2%)
Overall improvement in response
4/16 (25%)
ORR
*11/16 (68.8%)
Median follow up (months)
14.8 (4.7 – 21.3)
Median OS
NR
Median PFS
NR
Immune motoring data demonstrated that out the 103 EVX-01 administered neoantigens analyzed to date, 81 gave rise to a specific T-cell response, totalling a hit-rate of 78.6%. Addionally, a positive correlation was observed between AI-Immunology™ predictions and the immune response elicited by the specific neoantigens (Figure 29).
 
71

TABLE OF CONTENTS
 
[MISSING IMAGE: bc_preexisting-4c.jpg]
Figure 29
Immunogenicity and correlation analysis between AI-Immunology™ and immune response.
A) Immunogenicity of individual neoantigens after six or more EVX-01 vaccinations. In total 103 peptides were analyzed, of which 81 were immunogenic (78.6%). B) Predicted neoantigen (neoAg) quality correlates positively with T-cell responses. Linear regression and Pearson correlation analysis of predicted neoantigen quality score and best observed immune response in IFNy ELISpot. Background signals are subtracted from all ELISpot data. PCC: Pearsson correlation coefficient. These data include the data depicted in Figure 27 as well as data generated from the time of the ASCO presentation in June 2024 until the ESMO presentation in September 2024.
In conclusion, the one-year data presented at ESMO indicate that EVX-01 holds the promise as a safe and effective therapeutic approach when used in combination with anti-PD-1 therapy.
Manufacturing of Our EVX-01 Drug Product
The peptide-based format used to deliver PIONEER-identified neoantigens in EVX-01 is able to specifically stimulate neoantigen-specific T cells and has a turnaround time of approximately seven weeks from collection of patient-specific biopsies to administration of the therapy. We believe that this seven-week turnaround time is significantly shorter as compared to other current patient-specific, peptide-based, cancer vaccines, which have been shown to have turnaround times of 20 or more weeks.
Our EVX-02 and EVX-03 DNA Product Candidates
Overview
Our additional two personalized cancer vaccines, EVX-02 and EVX-03, developed based on our PIONEER AI model, are in early clinical and late pre-clinical development, respectively. EVX-02 comprise PIONEER top-ranked neoantigens contained in a plasmid DNA and EVX-03 contains a combination of PIONEER predicted neoantigens and ERV antigens. EVX-02 is our product candidate for adjuvant treatment of resectable melanoma, whereas EVX-03 is an improved, next generation vaccine with a proprietary APC targeting unit, intended for the treatment of patients with locally advanced or metastatic solid tumors, including non-small cell lung cancer. The goal of the two cancer vaccines is to promote T-cell priming and expansion of cancer-specific effector T cells for direct and specific tumor killing. Both personalized vaccine candidates will be administered to patients in combination with CPI.
Summary
Our pre-clinical studies demonstrated that both EVX-02 and EVX-03 inhibited tumor growth in mice and induced functional therapy-specific T cells. Direct comparison of the potency of EVX-02 and EVX-03 in mice clearly indicated a beneficial effect of the APC targeting unit, as evidenced by a lower tumor protective dose of EVX-03 compared to EVX-02 and higher levels of neoantigen-specific T cells induced by EVX-03 compared to EVX-02. Further, the combination of our EVX-02 DNA therapy and CPI treatment of mice enhanced the antitumor effect, which we believe indicates a positive interplay of the two therapies.
 
72

TABLE OF CONTENTS
 
Final data from a first-in-human Phase 1/2a clinical trial investigating the safety, tolerability and pharmacodynamic response of EVX-02, substantiated the ability to activate neoantigen-specific T cells as well as indicated encouraging clinical outcome data of our first-generation neoantigen DNA therapy.
We believe that the data from the EVX-02 Phase 1/2a trial substantiates the clinical relevance of DNA-mediated delivery of neoantigens. We believe that the clinical data from our EVX-02 DNA therapy in combination with the improved EVX-03 anti-tumor effect in pre-clinical models, support moving into a first-in-human Phase 1 clinical trial, investigating the safety and pharmacodynamic effect of EVX-03. To expedite the development of EVX-03, we are actively exploring partnership opportunities.
Background
We have chosen to use a DNA-based vaccine format for several reasons: It is well-established that DNA vaccines harbor self-adjuvating capacities as they can activate the innate DNA sensing machinery inmammalian cells. This directs the immune response towards Th1-like immunity which is generally considered to be preferable in cancer therapies. Further, the DNA plasmid allows for full inclusion of highest ranking immunogenic neoantigens. Moreover, with the recent approval of a plasmid DNA vaccine for prevention of severe COVID-19 disease, it is now established that DNA vaccines can induce a clinically relevant immune response.
When administered to the patient, we expect that the EVX-02 and EVX-03 DNA therapies (see Figure 30) will be taken up by APCs and will be expressed as peptides, processed into smaller components, and loaded onto the MHC molecules on the cell surface eliciting an antigen-specific immune response. The APC unit is believed to mediate effective recruitment and activation of APCs to the local site of injection, thus further enhancing the antigen-specific immune response.
[MISSING IMAGE: fc_evx02-4clr.jpg]
Figure 30
Illustration of our two neoantigen targeting DNA therapies, EVX-02 and EVX-03.
EVX-03 also includes ERV antigen in the antigen unit. Both candidates comprise PIONEER-identified neoantigens inserted as a neoantigen unit into a backbone plasmid with immune stimulating elements. Furthermore, EVX-03 comprises an APC-targeting unit linked to the antigen unit via a dimerization unit, illustrated in dark blue.
Our EVX-02 Phase 1/2a Clinical Trial
The EVX-02 clinical trial is a first-in-human, open label, safety and pharmacodynamic multi-center trial in resectable Stage III/IV melanoma patients (NCT04455503), initiated in the third quarter of 2020. Each patient received, upon tumor resection, a unique EVX-02 vaccine designed based on their tumor genomic fingerprint in combination with PD-1 CPI. Each patient was treated with eight doses of EVX-02 at a two-week interval. Anti-PD-1 therapy was administered before, during and after administration of EVX-02 to unleash the potential of the EVX-02-specific T cells to mediate tumor killing.
Data Readout from Our EVX-02 Phase 1/2a Clinical Trial
On April 18, 2023, we presented clinical data from our Phase 1/2a first-in-human study of its DNA-based personalized cancer vaccine, EVX-02 in combination with the checkpoint inhibitor nivolumab. Data were
 
73

TABLE OF CONTENTS
 
presented in the Late Breaking Research: Clinical Research 2 session at the 2023 AACR (American Association for Cancer Research) annual meeting in Orlando, Florida.
The information shared during the 2023 AACR meeting was initially deemed preliminary since, at the time of presentation, the clinical database had not been locked. Final data cleaning and subsequent database lock on 14th of July 2023 did not result in any modifications to the data presented at the AACR meeting.
The study, in patients with resected melanoma, showed that:

All 10 patients who received the full dosing schedule of 8 immunizations with EVX-02 were relapse-free at their last assessment. Of these 10 patients, 9 completed the full study and were relapse-free at the 12-month end of study visit. One patient was prematurely terminated due to non-EVX-02 related adverse events (AEs), and was relapse-free at the last visit at 9 months

The combination of EVX-02 and nivolumab was well tolerated and only mild EVX-02-associated AEs were observed

Robust and long-lasting neoantigen-specific T-cell immune responses were confirmed in all EVX-02 completers

The induced T-cell immune responses involved both CD4+ and CD8+ T cells
We believe the data serve as a validation of our PIONEER platform and provide proof of mechanism for our DNA-based approach to personalized cancer therapies.
Our EVX-02 and EVX-03 Pre-Clinical Data
The pharmacological effect of EVX-02 and EVX-03 was addressed in the well-established CT26 syngeneic mouse model of colorectal cancer. As both vaccines are truly personalized and the therapy design is based on each patient’s individual tumor mutational profile, pre-clinical efficacy testing of personalized EVX-02 and EVX-03 therapies is not feasible. Instead, mouse surrogate compounds were designed by PIONEER through identification of CT26 tumor-specific neoantigens.
In several in vivo pharmacology studies, treatment with mouse specific EVX-02 and EVX-03 vaccines, or mEVX-02 and mEVX-03, induced robust, antitumor immunity in the CT26 tumor model (see Figure 31A and A). Further, detailed complementary ex vivo analyses, unravelling the mEVX-02 and mEVX-03 induced T-cell responses, demonstrated neoantigen-reactive T cells in immunized mice as evidenced by cytokine positive CD4+ and CD8+ T cells (See Figure 31-C and Figure 33B-C)
[MISSING IMAGE: lc_empty-4c.jpg]
Figure 31
Anti-tumor effect of the mouse EVX-02 surrogate vaccine.
In vivo pharmacology study testing the antitumor effect of a mouse EVX-02 surrogate compound, mEVX-02. P-values were calculated using unpaired t-test with Welch’s correction. A: P<0.001 (tumor volume AUC of Empty plasmid vs mEVX-02); B: P<0.05 Empty plasmid vs mEVX-02, C: P<0.05 Empty plasmid vs mEVX-02.
 
74

TABLE OF CONTENTS
 
As shown in Figure 31 above, groups of BALB/c mice were intramuscular, or IM, administered with 100 μg empty plasmid or mEVX-02 plasmids encoding 13 top ranked PIONEER identified CT26 neoantigens. (n=13-14 in both groups). The mice were prophylactically immunized once a week starting two weeks prior to CT26 tumor cell inoculation and the diameters of the tumors were recorded three times a week. Splenocytes from immunized mice were collected at endpoint and restimulated with vaccine relevant peptides for 10 hours. Subsequently the splenocytes were stained with antibodies for detection of intracellular cytokines (IFNɣ and TNFɑ).
In an additional in vivo pharmacology study, co-treatment with a suboptimal mEVX-02 dose and an anti-mouse PD-1, or mPD-1, antibody led to a combinatorial antitumor effect in a syngeneic tumor model illustrated by an increase in time to reach humane endpoints in mEVX-02 + anti-mPD-1 administered mice compared to single compound treatment groups (see Figure 32). In vivo tumor study investigating the combinatorial effect of mEVX-02 and anti-mPD-1 antibody. P-values were calculated using log-rank (Mantel-Cox) test P<0.01. (Figure 31B-C and Figure 33B-C below).
[MISSING IMAGE: lc_tumar-4c.jpg]
Figure 32
In vivo tumor study investigating the combinatorial effect of mEVX-02 and anti-mPD-1 antibody.
In Figure 32, the time to reach either tumor ulceration or a tumor diameter of more than 12 mm, was increased in CT26 tumor bearing BALB/c mice receiving IM injections of a sub-optimal mEVX-02 dose and intraperitoneal, or IP, injections of 200 μg anti-mPD-1 antibody compared to mEVX-02 and anti-PD-1 monotherapy. The anti-PD-1 antibody treatment was initiated when the tumors reached a mean volume 80 – 100 mm3 in the groups receiving mEVX-02 treatment. As control for unspecific antibody mediated antitumor effect, parallel isotype control antibody groups were included (n=12 – 13 in all groups).
Our next-generation DNA vaccine, EVX-03, is, we believe, further optimized by including an APC targeting unit to enhance the antitumor effect. APC-targeting is accomplished by introducing a Chemokine (C-C motif) ligand 19, or CCL19, that selectively engage cell surface receptors on APC populations and additionally directs the neoantigens to the APCs. We believe that this dual mechanism induces an effective and specific immune response.
To address if APC targeting of the neoantigens potentiated the effect of our EVX-03 product candidate, we immunized mice with neoantigen vaccines with and without a targeting unit. Figure 33A below shows that tumor establishment in the majority of mice treated with mouse mEVX-03 was completely prevented compared to mice immunized with a non-APC targeted neoantigen vaccine. Figure 33B below shows that higher levels of neoantigen-reactive T cells were obtained in the mEVX-03 APC targeted group compared to mEVX-03 without an APC targeted unit. Figure 33B and C demonstrate that mEVX-03 induces both a CD4+ and CD8+ neoantigen-specific T-cell response detected by intracellular cytokine staining. We
 
75

TABLE OF CONTENTS
 
believe that the data clearly demonstrate that the inclusion of the APC targeting unit potentiated the effect of the neoantigen DNA therapy.
[MISSING IMAGE: lc_tumarvalume-4c.jpg]
Figure 33
In vivo pre-clinical data for EVX-03.
A: Antitumor effect of mEVX-03 containing 13 PIONEER predicted neoantigens, P<0.0001 (tumor volume AUC of Untreated vs mEVX-03) and P<0.05 tumor volume AUC of mEVX-03 without targeting unit vs mEVX-03. B-C: mEVX-03 induces neoantigen-reactive CD4+ and CD8+ T cells detected by intracellular cytokine staining.
As shown in Figure 33 above, groups of BALB/c mice were intramuscularly, or IM, administered with 5 μg empty plasmid or mEVX-03 plasmids with and without targeting unit (n=13 – 14 in all groups). The mice were prophylactically immunized once a week starting two weeks prior to CT26 tumor cell inoculation and the diameters of the tumors were recorded three times a week. Splenocytes from immunized mice were collected at endpoint and restimulated with vaccine relevant peptides for 10 hours. Subsequently the splenocytes were stained with antibodies for detection of intracellular cytokines (IFNɣ and TNFɑ).
To directly compare the efficacy of mEVX-02 and mEVX-03, we conducted a dose titration study in which mice were immunized with 0.25-5 μg mEVX-02 or mEVX-03. Both DNA therapies reduced the tumor growth dose dependently. With a mEVX-03 dose as low as 0.25 μg, a significant antitumor response was obtained, whereas a dose of 5 μg was required to mediate a similar effect with mEVX-02. The 20-fold difference in pharmacological effective dose of the two DNA therapies and the superior levels of neoantigen-specific T cells induced by EVX-03, clearly substantiate that the addition of the APC targeting unit significantly increases the potency of the DNA therapy.
 
76

TABLE OF CONTENTS
 
[MISSING IMAGE: lc_emptyplasmid-4c.jpg]
Figure 34
mEVX-02 A) and mEVX-03 B) dose-dependently inhibited the growth of subcutaneous CT26 tumors. Antitumor of EVX-02 and EVX-03 was obtained at doses as low as 5 and 0.25 µg, respectively.
As shown in Figure 34 above, in BALB/c mice IM administered with either 0.25, 2 or 5 μg mEVX-02 or mEVX-03 encoding 13 PIONEER identified CT26 neoantigens, a clear dose-response effect was obtained (n=13 – 14 in all groups). BALB/c mice were prophylactically treated once a week starting two weeks prior to CT26 tumor cell inoculation and the diameters of the tumors were subsequently recorded three times a week.
To assess if ObsERV identified mouse ERV antigens can induce antitumor effects in preclinical models, mice were prophylactically immunized with a mEVX-03 vaccine containing 13 ERV antigens (mEVX- 03_ERV13_CT26) derived from the CT26 mouse tumor cell line. The immunized mice developed smaller tumor over time compared to mice administered with a plasmid without ERV antigens (mEVX-03 backbone) (see Figure 35A and B). Complementary immune analyses demonstrated induction of ERV-reactive CD4+ and CD8+ T cells detected by intracellular cytokine staining (see Figure 35C and D). Collectively, these data qualify ERV-derived sequences as relevant tumor vaccine targets.
[MISSING IMAGE: lc_tumorvolume-4c.jpg]
Figure 35
Pre-clinical data for mEVX-03 containing ObsERV™ identified ERV antigens (mEVX-03_ERV_CT26).
A-B: Antitumor effect of mEVX-03 with ERV antigens, ** p<0.005, Kruskal-Wallis analysis (tumor volume AUC of mEVX-03 backbone vs mEVX-03_ERV13_CT26). C-D: mEVX-03 induces ERV-reactive CD8+ and CD4+ T cells detected by intracellular cytokine staining.
As shown in Figure 35 above, in BALB/c mice immunized IM with 25 μg mEVX-03 containing 13 ERV antigens (mEVX-03_ERV13_CT26) a clear tumor growth delay was observed compared to mice administered
 
77

TABLE OF CONTENTS
 
with a plasmid without ERV antigens (mEVX-03 backbone) (n=12 in both groups). BALB/c mice were prophylactically treated once a week starting two weeks prior to CT26 tumor inoculation, and the tumor diameters were subsequently measured three times a week. Splenocytes from immunized mice were collected at endpoint and restimulated with vaccine relevant peptides for 10 hours. Subsequently the splenocytes were stained with antibodies for detection of intracellular cytokines (IFNɣ and TNFɑ). (n = 2 technical replicates from a pool of splenocytes from 5 mice per group). Group mean was ± SD.
EVX-03 GLP toxicology study
In a toxicology study, performed under GLP standards, no organ weight, no macroscopic nor microscopic changes were observed in a repeated dose study in mice.
[MISSING IMAGE: fc_vehiclecontrol-4c.jpg]
Figure 36
Results obtained in GLP toxicology study of EVX-03. The final report from the GLP toxicology study concluded that EVX-03 administered intramuscularly to BABL/c mice on eight dosing occasions with 2-week intervals was well tolerated and did not cause any
We believe that the comprehensive in vivo pharmacology data package provides clear evidence of complete mEVX-02 and mEVX-03 induced antitumor responses accompanied by induction of reactive CD4+ and CD8+ T cells. Moreover, a beneficial effect was obtained in mice by combining our DNA therapy with CPI treatment, holding great promise for a combination therapy approach in humans. We further believe that our EVX-03 pre-clinical data demonstrates that adding an APC-targeting unit leads to high levels of neoantigen-reactive T cells and significant tumor reduction even at very low doses.
Manufacturing
The production process of a personalized drug consists of multiple steps. For our EVX-02 drug product, DNA plasmids are designed to encode 13 PIONEER identified neoantigens. We have established a manufacturing process with a number of different contract development and manufacturing organizations, or CDMOs, and the entire process from the time of patient biopsy to the time of treatment takes approximately 10 to 12 weeks. With the release of our final batch for EVX-02, we have confirmed our manufacturing process, which we believe will allow us to progress our DNA-based cancer vaccine programs into larger global trials to explore the clinical benefits of the compounds further.
Our EVX-03 Clinical Development Plans
Based on the readout from our Phase 1/2a EVX-02 study, induction of a robust and long-lasting CD4+ and CD8+ specific T-cell responses as well as a favorable clinical outcome in all patients, we believe we have validated our PIONEER™ AI model, DNA technology and manufacturing process of the DNA therapy. Our next-generation DNA vaccine, EVX-03, is further optimized by including an APC targeting unit thereby leading to improved anti-tumor effect in pre-clinical models. Collectively, we believe these data constitute an attractive out-licensing package for potential partners, supporting progression into a first-in human Phase 1 clinical trial to assess the safety, tolerability and pharmacodynamic effect of EVX-03.
 
78

TABLE OF CONTENTS
 
AI-DeeP™, Our Proprietary Immuno-Oncology AI Model for Prediction of Drug Response
We have developed AI-DeeP™, an AI drug response prediction model, that is based on genomic signatures in the tumor microenvironment, neoantigen and ERV burden and seeks to identify patients who may or may not benefit from cancer immunotherapies.
As shown in Figure 37 below, we believe AI-DeeP™ identifies patients responding to therapy with high precision from the immunogenomic signatures alone.
[MISSING IMAGE: lc_clinical-4c.jpg]
Figure 37
Prediction of patient response to immunotherapy from immunogenomic profiles in baseline tumor biopsy.
At enrollment to the Phase 1/2a EVX-01 clinical trial, tumor biopsies were collected from malignant melanoma patients. Immunogenetic profiling was performed on the tumor biopsies using RNA sequencing. Leave-one-patient-out analysis demonstrated that patient outcomes can be successfully predicted on the 18 patients in the EVX-01 clinical trial. The prediction of patient outcome was found statistically significant (p=0.01) using the permutation test.
We further developed AI-DeeP™ by including additional genomic signatures as well as neoantigen and ERV burden. We developed a training dataset of 937 patients treated with CPI and used this dataset for model training. When applied to genomic data from CPI treated cancer patients not included in the training dataset, AI-DeeP™ outperforms stratification of patients by classical biomarkers; ‘TMB & PD-L1’ (see Figure 37). For the three CPI treated cohorts, we can identify 10 – 30% of the non-responding patients with (progressive disease) with 95% precision versus 70 – 80% precision with classical biomarkers. Hence, AI-DeeP™ predicts progressive disease patients with high precision thus effectively identifying patients that will not benefit from CPI treatment. We believe this AI model can decrease clinical development risk and increase patient and payer benefit through patient stratification based on predicted likelihood of response to immunotherapy. We continue to generate and acquire data to further develop, validate and increase sensitivity and precision of AI-DeeP™.
 
79

TABLE OF CONTENTS
 
[MISSING IMAGE: lc_liuhugoanti-4c.jpg]
Figure 38
Prediction of patient response to immunotherapy from genomic profiles, neoantigen and ERV antigen signatures in baseline tumor biopsy.
Genomic data of baseline biopsies from 937 CPI treated cancer patients were curated from 14 studies and divided in 3 cohorts. AI-DeeP™ (blue line) predicts a subset of progressive disease patients with high precision. In the anti-PD1 & anti-CTLA4 treated cohort, AI-DeeP™ can identify 10% of the non-responding patients with 95% precision, versus with classical biomarkers (‘TMB & PD-L1’, red line) with 70% precision. In the anti-PD1 treated cohort, AI-DeeP™ can identify 25% of the non-responding patients with 95% precision, versus with classical biomarkers with 80% precision. In the anti-CTLA4 treated cohort, AI-DeeP™ can identify 30% of the non-responding patients with 95% precision, versus with classical biomarkers with 70% precision.
Bacterial Diseases
Drug-resistant bacteria pose a major medical and societal issue as bacteria are rapidly becoming resistant to many of the antibiotics that are currently used as standard of care. According to the World Health Organization, or the WHO, antibiotic resistance is one of the biggest threats to global health and it is rising to dangerously high levels in all parts of the world. New resistance mechanisms are emerging and spreading globally, threatening our ability to treat common bacterial diseases. A misuse of antibiotics is accelerating this process.
We believe the development of prophylactic vaccines is the sustainable solution to address and counteract drug-resistant bacterial infections for several reasons, including:

Vaccines can be used for decades without generating significant resistance

Vaccines reduce antimicrobial use to further diminish pressure toward resistance

Vaccines are cost-effective
The market for combatting drug-resistant bacteria is projected to increase significantly. According to The World Bank, drug-resistant infections could by 2050 cause global economic damage on par with the 2008 financial crisis. In a recent report by Data Bridges Market Research Group, the Global Bacterial Vaccines Market was valued at $19.68 billion in 2021 and is projected to reach $36.97 billion by 2029, growing at a CAGR of 8.2% from 2022 to 2029.
Bacterial Vaccinology
Vaccines work by training the immune system to recognize and combat pathogens, such as bacteria, viruses or parasites. To do this, certain molecules, called antigens, from the pathogen must be introduced into the body to trigger a protective immune response. By injecting vaccines containing antigens, the immune system will safely recognize them and trigger an immune response that leads to protective immunity. If the antigen-harboring bacteria or virus appears in the body during an early infection, the immune system will recognize the antigens displayed and immediately attack the pathogen before it can invade and establish a persistent infection and cause disease. The antigens can be surface exposed molecules, secreted toxins or specific virulence factors and by targeting them, the pathogen can more easily be neutralized.
 
80

TABLE OF CONTENTS
 
The adaptive immune response following vaccination protects the body from infections by mounting a specific antibody-mediated immune response (B-cell response) and/or a cellular immune response (T-cell response). Antibodies can have different functions, but in general they either lead to neutralization of the pathogen (blocking function of important surface molecules or toxins), opsonization (antibodies bind to pathogen surface and flag them for phagocytosis and killing by immune cells) or complement activation (bound antibodies trigger a cascade of proteins that bind to the pathogen and form a pore that eventually lyses the bacteria or enhances opsonization further). On the other hand, the cellular immune response involves cell-mediated cytotoxicity (killing of infected cells), release of cytokines and chemokines as well as phagocytosis (pathogens are taken up and neutralized by macrophages).
In order to provoke the correct type of immunity as well as receive long-lasting and high protection, many vaccines include adjuvants as part of the formulation. Different adjuvants systems trigger different parts of the immune system. Even though adjuvants are critical components of the vaccines, they typically do not have protective properties by themselves in the absence of the specific antigens. The use of correct adjuvants in combination with the selected vaccine antigen(s) is important for the vaccine design.
A typical bacterial pathogen consists of thousands of unique proteins, where only a few elicit a protective immune response in a vaccine setting. Modern sequencing technology has enabled detailed insight into the entire genome of several clinical isolates of the same pathogen. This in turn has paved the way for computational antigen selection tools that can select a limited number of vaccine antigen candidates from whole bacterial genomes as a starting point for vaccine development. A challenge in computational, or bioinformatic, predictions, however, is to correctly identify posttranslational modifications and other molecular mechanisms that can change the structure and potential antigenic properties of bacterial antigens and optimize antigens in terms of stability, epitope presentation, ease of production and safety.
EDEN™ — Our AI model for the Discovery and Design of Novel Prophylactic B-cell antigen Vaccines for Infectious Diseases
Overview
We believe that our AI model EDEN™, can rapidly identify novel, highly protective antigens for the use in pathogen-specific prophylactic vaccines against drug-resistant bacteria. Within EDEN™, our proprietary algorithms allow us to predict and identify those antigens that we believe will trigger a robust, protective immune response against almost any pathogen.
The core of our EDEN™ technology is a proprietary machine learning ensemble of artificial neural networks trained using a feed-forward backpropagation approach to interpret immunological-relevant information in relation to infectious disease antigens that incur protection in a vaccine setting. EDEN™ has been trained on our own curated data set derived by trawling through publicly available patents and publications reported to identify truly protective and non-protective antigens tested in clinical and pre-clinical settings. The input to the artificial neural network ensemble is a feature transformation of the protein data set, in which several global and sequence-resolved properties are extracted. These structural andfunctional features have been selected for their relevance in protein chemistry, immunology and protein structure and ability to guide the network in discriminating protective versus non-protective antigens.
 
81

TABLE OF CONTENTS
 
[MISSING IMAGE: fc_datacuration-4c.jpg]
Figure 39
EDENis a self-taught AI model that provides important insight into what makes antigens elicit a protective immune response. EDEN™ identifies novel protective proteins by recognizing abstract features shared with known highly protective proteins.
We believe our approach can be used to target almost any bacterial infection and rapidly enable the discovery and development of vaccine product candidates. We have applied EDEN™ to seven bacterial pathogens to test its predictive power. For each pathogen, EDEN™ identified novel vaccine antigens which were subsequently expressed as proteins and tested in pre-clinical, mouse infection models, demonstrating protection against all seven pathogens. Within these studies, where vaccine formulations were distinguished by variations in EDEN™ scores, we demonstrated the precision of EDEN™. This precision is evident through the correlation observed between EDEN™ prediction scores and the level of protection in pre-clinical infection models. Notably, EDEN™ outperforms reverse vaccinology (RV) by not only identifying the same bacterial vaccine antigens as RV but also uncovering numerous additional potential vaccine antigens that RV has overlooked, all through computation. By employing proteome-wide AI predictions, this tool not only identifies protective proteins but also predicts the level of protection each protein offers. We intend to develop a broad pipeline of vaccine product candidates using this AI model. EVX-B1, our vaccine candidate for the prevention of S. aureus, has completed pre-clinical development and is ready for out-licensing. We are currently focused on the development of EVX-B2/EVX-B2-mRNA, our vaccine candidate for the prevention of N. gonorrhoeae infections, and EVX-B3, a vaccine against an undisclosed bacterial pathogen with a high medical need where no vaccine is currently available. Furthermore, we believe EDEN™ is applicable in virus vaccine development, hence is applied in the development of a virus vaccine EVX-V1 against cytomegalovirus (CMV). We develop our vaccine candidates through pre-clinical development with the ambition to enter co-development or out-licensing partnerships prior to clinical development. EVX-B2-mRNA, EVX-B3 and EVX-V1 are being co-developed with the pharmaceutical company Afrigen Biologics, with MSD and the company Expres2ion Biotechnologies, respectively.
In September 2024 we launched an update of the EDEN model at the 23rd European Conference on Computational Biology, or ECCB. The updated. The updated version 5.0 of the AI model EDEN™ features a novel toxin antigen predictor, is trained on an expanded dataset and includes an advanced protein prediction feature. The launch will expectedly improve Evaxion’s ability to fast and effectively discover AI-derived novel vaccines and is expected to further solidify the strong interest seen in AI-Immunology™ from potential partners.
 
82

TABLE OF CONTENTS
 
[MISSING IMAGE: fc_discovery-4c.jpg]
Figure 40
Our approach to bacterial vaccine discovery and design.
To identify novel, broadly protective antigens for bacterial vaccines, EDEN™ utilizes proteomes from clinically relevant bacterial strains as input. EDEN™ then identifies unique feature combinations and ranks all proteins according to their predicted probability of eliciting a protective immune response. The EDEN™ output is a ranked list of protective antigens, of which the highest ranking are selected, and constructs are designed and produced. Verification of protection and immunogenicity is conducted with pre-clinical models and assays, and if needed, further optimization steps follow, to finally derive at a CMC ready, potent product candidate.
Key Advantages of our EDENModel
We believe that our AI-based vaccine discovery and design approach for bacterial diseases has several advantages over more traditional approaches, including:

Ability to Predict Protective Vaccine Antigens:   The ability of EDEN™ to predict protective vaccine antigens has been shown in pre-clinical models. Once clinically validated, we believe our approach may have the ability to improve on the attrition rates for new vaccine product candidates.

Identification of Novel and Unbiased Targets:   EDEN™ has been trained to identify the underlying feature patterns (e.g. structural or immunological elements) that we believe are important for protection to enable discovery of novel and unbiased targets that are not necessarily homologous to existing products. Traditional reverse vaccinology, or RV, relies heavily on sequence homology (proteins identical to previously tested antigens) in antigen identification.

Data Driven Precision:   With carefully curated data, we believe EDEN™ has learned to filter away irrelevant proteins, narrowing the field of candidates substantially from thousands to a few dozen proteins, reducing the burden on pre-clinical development.

Ability to Provide Broad Protection:   The rapid “evolution” of the genome that can occur in some bacterial pathogens makes it difficult to capture all pathogen strains by a single vaccine. EDEN™ is capable of leveraging genomic sequencing data to find important targets or domains that are present in the majority of clinical strains. By combining the correct antigens, we believe that most, if not all, relevant strains can be covered.

Speed:   Traditionally, developing and verifying the safety and efficacy of a novel vaccine takes between 10 to 15 years, often resulting in a new vaccine arriving too late on the market to influence
 
83

TABLE OF CONTENTS
 
the spread of infections to the general population. We believe that EDEN™ is capable of identifying vaccine antigens in a matter of weeks instead of years thus potentially lowering the overall development time significantly.
We are continuously improving our EDEN™ model to ensure it remains state-of-the-art and incorporates multiple aspects of vaccine development from discovery to clinical testing. We explore among other improvements, incorporation of new translational features and data into EDEN™, novel machine learning architectures such as deep learning and probabilistic programming to enhance protein structure and function prediction, generation of novel high-throughput data to be incorporated into our AI technology for assessment of solubility and CMC-readiness and methods for determining broadness of protection across strains. By continuous improvement in all aspects of vaccine development, we believe the EDEN™ model will continue to produce potent vaccine product candidates with minimal testing required before entering clinical development.
EDENProspective In Vivo PoC Showing Remarkable Predictive Precision
To obtain initial in vivo PoC, EDEN™ was applied to seven bacterial pathogens reported to exhibit resistance to standard antibiotics, identifying both novel and known antigens. For each pathogen, EDEN™ identified vaccine antigens were expressed as proteins and their protective ability tested in pre-clinical infection models. IP rights have been filed for all identified targets conferring significant protection. See table below for overview:
Bacterial species
In vivo
PoC
In vivo model (mouse challenge models)
IP
filed
Staphylococcus aureus
Lethal peritonitis and skin abscess model
Pseudomonas aeruginosa
Lethal peritonitis and lethal acute pneumonia model
Non-typeable Haemophilus influenzae
Lung colonization model
Moraxella catarrhalis
Lethal peritonitis and lung colonization model
Neisseria gonorrhoeae
Vaginal colonization model
Acinetobacter baumannii
Lethal acute pneumonia model
Klebsiella pneumoniae
Lethal peritonitis and lethal acute pneumonia model
In the protective PoC studies, where vaccine formulations could be distinguished by variations in EDEN™ scores, the results are depicted in Figure 41. This illustration demonstrates the precision of EDEN™, showing that the EDEN™ prediction score correlates with the level of protection in pre-clinical infection models. There exists a significant correlation between the protein-specific EDEN™ prediction score and the actual in vivo and in vitro protection in mice across four bacteria, encompassing gram-positive and gram-negative strains. This correlation strongly supports the notion that the top EDEN™ antigens are indeed the most optimal B-cell antigens for use in a given bacterial vaccine. This discovery holds promise for reducing risk and cost in the development of infectious disease vaccines.
 
84

TABLE OF CONTENTS
 
[MISSING IMAGE: lc_bacteria-4c.jpg]
Figure 41
Correlation between EDEN prediction and protection.
The EDEN™ score shows a strong correlation with both the in vivo and in vitro efficacy of vaccine targets. This correlation is evident in various instances, such as the EDEN™ score’s association with increased in vivo bacterial clearance across multiple N. gonorrhea strains in a mouse vaginal colonization model, as well as its correlation with in vitro bacteria killing. Furthermore, the EDEN™ score demonstrates a correlation with a reduced p-value for in vivo survival in challenge models involving S. aureus, A. baumannii, and K. pneumoniae, signifying increased survival.
EDEN™ Retrospective Proof of Concept
Our retrospective Proof of Concept of EDEN™ utilized a published reverse vaccinology (RV) study. Figure 42 demonstrates EDEN™ model’s superior computational approach, not only identifying the same bacterial vaccine antigens as RV but also uncovering numerous additional potential antigens overlooked by RV. Specifically, EDEN™ swiftly analyzed the S. pyogenes proteome, identifying all six highly protective antigens within days, a process that took years using RV. Additionally, EDEN™ uncovered the ‘M protein’ and 15 novel potential vaccine antigens among its top-ranked proteins, overlooked by RV. We believe this discovery approach promises cost-effective infectious disease vaccine development, surpassing RV by revealing known and overlooked antigens solely through computational methods.
 
85

TABLE OF CONTENTS
 
[MISSING IMAGE: fc_proteins-4c.jpg]
Figure 42
EDEN™ outperform reverse vaccinology.
The Group A Streptococcus (GAS) proteome, consisting of approximately 1700 proteins, underwent EDEN™ processing. Within days of computational processing, EDEN™ ranked all proteins in the proteome based on the probability of being optimal vaccine antigens. Among the top 30 EDEN™ ranked proteins, the same six best-performing antigens identified by reverse vaccinology could be found, along with the well-known highly protective M protein as well as 15 novel antigens.
Our EVX-B1 Product Candidate
Overview
Our EVX-B1 product candidate is a multi-component subunit prophylactic vaccine, initially being developed for the prevention of SSTI in patients undergoing elective hernia surgery. EVX-B1 includes two proprietary and protective antigens identified by EDEN™ in combination with two known toxins that play a key role in S. aureus pathogenesis formulated together with an adjuvant, CAF01. EVX-B1 is intended to be administered prior to surgery. Upon administration to the patient, we believe that EVX-B1 will significantly reduce S. aureus related SSTI.
EVX-B1 has completed pre-clinical development. We intend to partner EVX-B1 prior to start of manufacturing and clinical assessment.
Previous attempts to design vaccines to combat S. aureus have not been successful. We believe EVX-B1 is a highly competitive vaccine capable of out-performing other programs in clinical development as it has been designed to:

Include Novel Antigens with High Protection Abilities.   Our proprietary AI model EDEN™ has identified several novel vaccine antigens and of these, two have been selected based on protection levels observed in different pre-clinical animal models such as sepsis and skin abscess, and when using multiple challenge strains.

Induce Broad and Effective Protection:   By including antigens widely present and highly conserved among multiple clinically relevant strains, the vaccine will have a broad coverage and effectively address the medical need.

Include Multiple Antigens:   By including multiple antigens with conserved B- and T-cell epitopes, the infecting bacteria is attacked from several angles and critical functions needed for bacterial pathogenicity, persistence and growth are targeted.

Target Critical Toxins:   To increase protection even further, EVX-B1 includes a proprietary designed toxoid fusion protein targeting two critical toxins released by the bacteria during infection.
 
86

TABLE OF CONTENTS
 

Include a Potent Adjuvant:   By including the liposomal adjuvant CAF01, driving a balanced Th1 and Th17 type of immune response, we believe the vaccine induces the most optimal response needed to combat the pathogen.
Addressable Market for EVX-B1
S. aureus is responsible for significant morbidity and mortality worldwide and antibiotic-resistant. S. aureus, and in particular MRSA infections, are, according to the CDC, of critical concern and remain a prevention priority. In the United States, S. aureus is estimated to cause 20,000 deaths and amount to a total bill of $15 billion on the health service annually. According to an IMARC Group Research Report, the global MRSA drugs market size reached US$ 3.6 billion in 2022. Looking forward, it is expected that the global market will reach US$ 4.5 billion by 2028, exhibiting a CAGR of 3.6% during 2023 – 2028.
We are initially developing EVX-B1 for the prevention of S. aureus induced SSTI in patients undergoing hernia surgery. To date, no prophylactic vaccine for the prevention of S. aureus infections has received marketing authorization. With the development of EVX-B1, we are addressing this unmet medical need and believe our candidate has the potential to be the first vaccine to receive approval for the prevention of S. aureus infections.
Our EVX-B1 Pre-Clinical Data
EVX-B1 is a multicomponent vaccine, consisting of three components to derive a strong vaccine candidate:

Novel, EDEN™-identified vaccine antigens evaluated in pre-clinical protection and challenge studies and with critical functions.

Uniquely designed toxoids selected from a long list of relevant toxins and pre-clinically evaluated as single proteins and fusion protein constructs.

Adjuvant selected based on pre-clinical tests and optimal profile for clinical indication.
Each component has been carefully tested and evaluated pre-clinically as outlined in Figure 43 below.
[MISSING IMAGE: fc_evxb1-4c.jpg]
Figure 43
Multicomponent approach to the development of EVX-B1.
Evaluation and Selection of Vaccine Antigens
We applied EDEN™ to the proteome of S. aureus to predict the antigens most likely to induce protective immunity. Forty-four (44) novel vaccine antigens were identified, expressed as recombinant proteins and assessed for protection in a S. aureus mouse sepsis model. Of these, 13 antigens demonstrated consistent high and significant protection in this model. The protection data is summarized in the table below:
 
87

TABLE OF CONTENTS
 
# ID
Proteins
No. of
Experiments
No. of
Test
Mice
No. of
Control
Mice
% Survival of
Test Mice
% Survival of
Control Mice
Difference in
Survival (Test vs.
Control)
1
EDEN-1 4 59 60 76% 28% 48%
2
EDEN-2 2 24 24 58% 13% 46%
3
EDEN-3 3 43 44 77% 32% 45%
4
EDEN-4 2 28 28 68% 25% 43%
5
EDEN-5 2 28 28 68% 25% 43%
6
EDEN-6 2 27 28 85% 43% 42%
7
EDEN-7 3 36 36 61% 19% 42%
8
EDEN-8 5 61 64 51% 9% 41%
9
EDEN-9 3 43 44 63% 30% 33%
10
EDEN-10 3 36 36 69% 36% 33%
11
EDEN-11 3 32 35 53% 20% 33%
12
EDEN-12 3 42 42 62% 31% 31%
13
EDEN-13 3 36 36 47% 28% 19%
The 13 antigens were further subject to extensive bioinformatic analyses to determine their function. Also, early production and formulation characteristics were addressed. Two antigens were selected based on the following parameters:

Level of protection in different challenge models and against different S. aureus challenge strains as single antigens and as part of a fusion protein construct.

Virulence functions critical for S. aureus pathogenicity and infection, including evasion of innate and adaptive immunity, secretion of virulence factors and toxins and replication, verified by functional assays.

Attractive CMC profile of the individual constructs
Evaluation and Selection of EDEN™ Identified Virulence Factors
Evaxion’s extensive antigen discovery process, facilitated by EDEN™, identified many promising vaccine antigens and ultimately enabled the selection of two virulence factors Aureolysin (Aur) and S. aureus protein A (SpA). Aur and SpA demonstrate high level of immunogenicity and protection in preclinical models. The two lead antigens were designed and expressed as one fusion protein, EDEN-Fusion-1.
Evaluation and Selection of Toxins
We have evaluated multiple S. aureus toxins and selected the two most promising candidates for our proprietary toxoid fusion protein, which has demonstrated protection in sepsis models and skin abscess models of infection using two different challenge strains. Our toxoid fusion protein, Hla-LukE, includes inactivated forms of α-hemolysin (Hla) and Leukotoxin E (LukE), two toxoids having demonstrated high levels of protection when assessed in animal models amongst publicly described S. aureus toxins.
Evaluation and Selection of Adjuvant
The vaccine antigens will be formulated with CAF01, a potent cationic liposomal adjuvant. The hallmark for CAF01 is its ability to induce CD4+ T-cell responses, especially Th1 cells and Th17 cells after parenteral vaccination with strong antibody response. CAF01 has been used in other vaccine programs undergoing clinical testing (in Tuberculosis and Chlamydia) and has an attractive safety and immunogenicity profile.
Our EVX-B1 Product Candidate
EVX-B1 will include two EDEN™ predicted antigens as one fusion protein (EDEN-Fusion-1), two toxins as one toxoid fusion protein (Hla-LukE). EVX-B1 will therefore comprise a total of four antigens
 
88

TABLE OF CONTENTS
 
expressed as two fusion protein constructs and formulated with CAF01. All protein constructs are engineered to be proprietary to Evaxion.
Pre-clinical data testing our EVX-B1 product demonstrated highly significant levels of protection in two different challenge models (Figure 43 and Figure 44) and high IgG titers (Figure 45) suggesting good overall immunogenicity.
[MISSING IMAGE: lc_postinfection-4c.jpg]
Figure 44
Assessing protection of EVX-B1 in a mouse sepsis model.
Survival proportions of mice having received EVX-B1 product or PBS was followed for 7 days post infection (p.i.). Statistical analysis was performed using Log-rank Mantel-Cox test (p-value <0.0001****).
Figure 44 above shows that EVX-B1 is inducing 79% protection compared to control (PBS) in a mouse sepsis model using S. aureus USA300 for challenge.
[MISSING IMAGE: lc_abcessarea-4c.jpg]
Figure 45
Assessing protection of EVX-B1 in a mouse skin infection model.
Abscess sizes are presented as area under the curve (AUC) for individual mice and mean with standard deviation. Statistical significance was calculated with Mann-Whitney test (p-value <0.0001****).
 
89

TABLE OF CONTENTS
 
Figure 45 above shows that EVX-B1 is inducing highly significant protection compared to control (PBS) in an abscess mouse model of infection using S. aureus USA300 for challenge.
[MISSING IMAGE: lc_halfmaxtiter-4c.jpg]
Figure 46
IgG titers. Mice were immunized with EVX-B1.
IgG titers are shown as half-max titers for individual mice, groups median values and 95% confidence interwall are shown.
In order to study the immune response following immunization, IgG titers were investigated. above shows that the EVX-B1 product induce high IgG titers specific for both of the two fusion protein constructs, EDEN-Fusion-1 and Hla-LukE, and holds promise for continued development.
[MISSING IMAGE: lc_kidneys-4c.jpg]
Figure 47
EVX-B1 prevents both disease and infection as the bacterial burden in the kidneys is blocked for at least 30 days post infection.
EVX-B1 immunized mice having survived a lethal challenge with S. aureus USA300 have also cleared the infection from internal organs (kidneys) 30 days after infection. This is not observed for mice having received only the adjuvant CAF01. This demonstrates that EVX-B1 not only prevents disease but also prevents infection. Bacterial numbers as colony forming units (CFU) in individual kidneys from mice are shown.
To study if EVX-B1 can not only prevent disease but also prevent infection, we challenged CAF01 and EVX-B1 immunized mice with S. aureus USA300 in a sepsis model. Surviving mice were left for 30 days before they were sacrificed, and several organs tested for presence of S. aureus bacteria. None of the organs collected (kidneys, heart and spleens) from EVX-B1 immunized mice (5 mice) showed any presence of bacteria, suggesting that EVX-B1 not only prevents disease but also prevents infection (See Figure 47). In
 
90

TABLE OF CONTENTS
 
contrast three of five mice having received only the adjuvant CAF01 showed high numbers of bacteria in organs. We believe this important data holds much promise for the future EVX-B1 product.
Our EVX-B1 Development Plan
We believe the pre-clinical data package demonstrates that our EDEN™ platform is capable of identifying highly protective antigens based on the bacterium proteome. A finding we believe holds true for multiple bacteria with diverse pathogenicity, emphasizing the broad usability of the AI model.
We have recently completed the testing of the EVX-B1 fusion proteins for protection in a non-rodent surgical site infection model. This was done in collaboration with an undisclosed pharma company. The EVX-B1 fusion protein antigens significantly reduced S. aureus bacterial burden at the site of surgery. Also, the antigens inducted meaningful antigen-specific antibody titers in all immunized animals. Immune blood collected from vaccinated animals showed killing of clinically relevant S. aureus in a neutralization assay, holding promise for translational readout in early clinical development.
EVX-B1 is currently in pre-clinical development, and we plan to assess the final formulation of EVX-B1 in a non-clinical, repeat dose toxicity study and to partner the candidate prior to start of manufacturing and clinical assessment.
Our EVX-B2 Product Candidate
Overview
Our EVX-B2 prophylactic vaccine candidate is being developed to target all diseases caused by N. gonorrhoeae. Gonorrhea is a sexually transmitted bacterial infection which has developed resistance to many commonly used antibiotics and represents a large unmet medical need. EVX-B2 is currently in pre- clinical development.
EVX-B2 is a gonorrhea vaccine candidate composed of one fusion protein with two antigen subunits and formulated with the adjuvant GLA-SE. We believe that our EVX-B2 vaccine candidate will induce a protective immune response against N. gonorrhoeae and thereby minimize the risk of infection for the general population and groups at risk.
Additionally, the EVX-B2 vaccine candidate is currently being evaluated for suitability in DNA and mRNA vaccine delivery platforms. In September 2022, together with UMass Chan Medical School, we received a grant from the NIH to support this strategy and the further development of our EVX-B2 vaccine candidate. Furthermore, in September 2023, we initiated a collaboration with Afrigen Biologics with the goal of developing an mRNA-based gonorrhea vaccine for low- and middle-income countries, or LMICs. The mRNA vaccine will be based on the same EDEN™ discovered antigens having demonstrated high levels of protection in preclinical studies. This partnership will explore the expression and biological activity of the antigens in mRNA format. Following the validation phase, Evaxion and Afrigen Biologics will negotiate a subsequent agreement for clinical development and commercialization, with the opportunity to bring in additional partners. In September 2024, initial data from the Afrigen collaboration was presented at the 18th Vaccine Congress in Lisbon, Portical. The data demonstrated the ability of the EVX-B2 mRNA vaccine to elicit a specific immune response in mice and further the ability of the immune sera from EVX-B2 mRNA vaccinated mice to induce bacterial killing.
Addressable Market for EVX-B2
Identified by the CDC as one of the five most urgent antibiotic resistance threats, gonorrhea can result in ectopic pregnancy, infertility, newborn blindness and life-threatening sepsis. Each year, more than 80 million global cases of gonorrhea infections show resistance to at least one of the commonly used antibiotics. As one of the world’s most urgent antibiotic-resistance threats with no vaccine available, we believe that the development of a safe and efficacious gonorrhea vaccine is critical, fills a major unmet medical need and addresses a global public health concern.
 
91

TABLE OF CONTENTS
 
Evaluation and Selection of Vaccine Antigens
EVX-B2 was developed using our, proprietary AI model EDEN™ for B-cell antigen discovery, to identify novel B-cell antigen vaccine targets. Ten proteomes of N. gonorrhoeae were processed through EDEN™. The strains were selected to represent the N. gonorrhoeae phylogenetic landscape and include several different antibiotic resistance profiles. EDEN™ identified several N. gonorrhoeae vaccine antigens.
Out of the 30 top-ranking antigens identified by EDEN™, 26 were successfully expressed and purified as recombinant proteins and tested for their protection and immunogenicity in mice in collaboration with UMass Chan Medical School. The proteins were tested in 11 combinations each comprising two to three antigens formulated together with the adjuvant Glucopyranosyl Lipid A Stable oil-in-water Emulsion, or GLA-SE. Further, the ability of immune sera to neutralize different N. gonorrhoeae strains in a bactericidal assay was studied. The data demonstrated a total of 11 antigens that showed significant protection in a mouse vaginal colonization model and induced immune sera with demonstrated bactericidal activity against at least two N. gonorrhoeae strains. One combination with two EDEN™ identified antigens (NGO0265 and NGO1549) induced immune sera capable of killing all four tested N. gonorrhoeae strains and showed protection against a highly antibiotic resistant challenge strain in mice. Based on these promising results, NGO0265 and NGO1549 were selected for further evaluation as vaccine antigens.
Evaluation and Selection of Adjuvant
We have evaluated different adjuvants together with the antigens and their combined effect to induce antigen-specific antibody responses, bactericidal activity and protection in vivo. GLA-SE was identified to have the highest adjuvanting capacity on the antigens, resulting in a formulation with high immunogenicity in vivo and in vitro.
GLA-SE is a synthetic analog of Monophosphoryl Lipid A (MPL). GLA-SE has been included in multiple vaccine formulations and the adjuvant has been confirmed to have a favorable immunogenicity. The adjuvant induces a Th1 skewed immune response.
Fusion Protein Generation and Pre-Clinical Development
To reduce the number of proteins required for vaccine production and thereby the associated costs, a fusion protein construct combining the two lead antigen candidates, NGO0265 and NGO1549, was produced. The EVX-B2 formulation (see 46), consisting of the fusion protein together with the adjuvant GLA-SE was tested for protection in the vaginal colonization model.
[MISSING IMAGE: fc_ngo265-4c.jpg]
Figure 48
EVX-B2 is composed of a fusion protein of NGO0265 and NGO1549 formulated with adjuvant GLA-SE
 
92

TABLE OF CONTENTS
 
Immunization with EVX-B2 enhanced the bacterial clearance rate with a strong reduction of bacterial burden from three days and complete bacterial clearance seven days after challenge compared to adjuvant controls where infection was still detectable 10 days after challenge (Figure 48)
[MISSING IMAGE: lc_postinfections-4c.jpg]
Figure 49
EVX-B2 induce significant protection against challenge in a N. gonorrhoeae vaginal colonization model.
Mice received three immunizations and were challenged intravaginally two weeks after the last booster. Vaginal bacterial burden was measured daily to determine bacterial clearance rate. Statistical significance was calculated with Kruskal-Wallis test (Dunn’s multiple comparison test) (p-value = 0.0029**).
We have also tested the antigen’s protective capacity when given individually to mice in a vaginal colonization model. below, mice were immunized with NGO0265, NGO1549, the combination of both proteins or the EVX-B2 product candidate, including the fusion protein. Mice were challenged with N. gonorrhoeae, and the number of bacteria was followed over time. Both proteins individually induced protection compared to the control group, having received only adjuvant GLA-SE. The protection was even enhanced for the fusion protein, which is included in the EVX-B2 product candidate.
[MISSING IMAGE: lc_auccfu-4c.jpg]
 
93

TABLE OF CONTENTS
 
Figure 50
Both antigens used in the product candidate induce protection, which was enhanced when the antigens were fused together, as was the case in EVX-B2.
Female BALB/c mice were immunized with three intramuscular injections of NGO0265, NGO1549, both proteins combined, or EVX-B2 including the fusion protein, using a 3-week schedule. Mice were challenged intravaginally with N. gonorrhoeae and the bacterial burden in vaginal swabs was monitored for eight days. Bacterial clearance was determined as log10 colony forming units (CFU) detected over time and the resulting area under the curve (AUC) was calculated. Statistical significance was calculated with Kruskal-Wallis test (p-value <0.01**, p-value <0.001***)
EVX-B2 was also shown to be highly immunogenic in mice, inducing fusion-protein specific antibody responses already after one dose. This antibody was further increased with subsequent second and third immunization doses (See Figure 50)
[MISSING IMAGE: lc_immunizations-4c.jpg]
Figure 51
EVX-B2 demonstrates high level of immunogenicity as specific antibodies can be detected already after one immunization.
Furthermore, a significant booster effect after the second and the third immunization can be detected. The bars represent median values of OD405 nm measured with a 1/100 sera dilution.
The EVX-B2 formulation has also been shown to induce a strong cellular immune response. Antigen-specific IFNɣ T-cell responses against both antigen candidates (NGO0265 and NGO1549) were induced in mice immunized with EVX-B2 (see Figure 51). Also, three immunizations with the vaccine candidate EVX-B2 (CHIM_0265_1549 formulated in GLA-SE) raised a higher IFNɣ T-cell response than immunization with a combination of individual NGO0265 and NGO1549 formulated with GLA-SE. We believe these data are very promising as they suggest that a strong Th1 type of immune response is induced following immunization with EVX-B2.
 
94

TABLE OF CONTENTS
 
[MISSING IMAGE: bc_splenocytes-4c.jpg]
Figure 52
Cellular immune response induced by EVX-B2.
Female BALB/c mice were administered three intramuscular immunizations with either a combination of NGO0265 and NGO1549 or EVX-B2 (CHIM_0265_1549) using a 3-week schedule. Both formulations included adjuvant GLA-SE. Spleens were collected two weeks after the last immunization, and splenocytes were restimulated with full-length protein as indicated on the x-axis (NGO0265, NGO1549, or CHIM_0265_1549). Antigen-specific IFNɣ T-cell responses against both antigen candidates (NGO0265 and NGO1549) were induced by EVX-B2 (CHIM_0265_1549). Furthermore, three immunizations with EVX-B2 raised a higher IFNɣ T-cell response than immunization with a combination of NGO0265 and NGO1549.
Furthermore, the EVX-B2 induced antibody response demonstrated a high level of bacterial killing activity against a large number of clinically relevant N. gonorrhoeae isolates. As shown in Figure 52, all 50 (100%) different N. gonorrhoeae strains tested were efficiently killed by EVX-B2 immune sera, using either 20% or 40% immune serum. We therefore believe the vaccine has the potential to present protection against a majority of global N. gonorrhoeae strains.
[MISSING IMAGE: bc_killing-4c.jpg]
Figure 53
EVX-B2 immune sera demonstrate broad bacterial killing activity.
EVX-B2 demonstrates broad protection in a bactericidal assay using a panel of 50 different relevant clinical isolates with >50% bactericidal killing. Two different immune serum concentrations were used, 20% and 40%, together with 20% normal human serum as a source of complement and bacterial survival was assessed after 30 min.
We believe the pre-clinical and bactericidal data generated to date holds great promise for future vaccine development and the population at risk.
Our EVX-B3 Product Candidate
We have expanded Evaxion’s preclinical bacterial vaccine pipeline through a new collaboration with a leading pharmaceutical company. The EVX-B3 project is a collaboration with a company that has strong scientific alignment and complementary skill sets and capabilities. EVX-B3 is a vaccine discovery project addressing a serious global medical issue by targeting a pathogen associated with repeated infections, increasing incidence, and often serious medical complications for which no vaccines are currently available.
 
95

TABLE OF CONTENTS
 
Evaxion’s proprietary AI-Immunology™ platform, with the EDEN™ and the RAVEN™ models, will be utilized for the rapid design of a completely novel vaccine candidate capable of eliciting both a strong humoral (antibody) and cellular (T cell) immune response to the bacterial pathogen.
Viral disease Background
Newly emerging and reemerging infectious viral diseases have threatened humanity throughout history and the advent of globalization have accelerated both the emergence and spread of human and animal viruses as existential human threats. The novel severe acute respiratory syndrome coronavirus 2 (SARS-CoV-2) responsible for the coronavirus disease 2019 (COVID-19) pandemic engulfed the entire world in less than six months with high mortality in the elderly and those with associated comorbidities, and severely disrupted the world economy.
While the challenges posed by the COVID-19 pandemic have highlighted the need for effective vaccines to prevent viral diseases and control future pandemics, the number of new and improved human viral vaccines licensed in recent years remain few despite the high need. Over the past 20 years, great concerns have been expressed by the World Health Organization, or WHO, and other bodies following disease outbreaks by avian influenza A subtypes H5N1, H7N9, H9N2, and H3N2v and the SARS and MERS coronaviruses, Ebola filoviruses and the Zika flaviviruses. Further, according to the WHO, various disease vaccines are being added to pipelines round the globe with a number of these currently undergoing clinical trials.
We believe our AI-approach to the design of viral vaccine candidates holds great promise for the development of novel, effective vaccines against hard-to-treat viral infections and emerging viral diseases.
The global viral vaccines market was valued at $35.5 billion in 2020 and is projected to reach $74.4 billion by 2029, growing by at a CAGR of 8.49% from 2020 to 2026.
Viral Vaccinology
Vaccines work by training the immune system to recognize and combat pathogens, such as bacteria, viruses or parasites. To do this, certain molecules, called antigens, from the pathogen must be introduced into the body to trigger a protective immune response. By injecting vaccines containing antigens, the immune system will safely recognize them and trigger an immune response that leads to protective immunity. If the antigen-harboring pathogen appears in the body during an early infection, the immune system will recognize the antigens displayed and immediately attack the pathogen before it can invade and establish an infection and cause disease.
The adaptive immune response following vaccination protects the body from infections by mounting a specific antibody-mediated immune response (B-cell response) and/or a cellular immune response (T-cell response). Antibodies can have different functions, but key to protect against a viral disease is their ability to bind to surface molecules and thereby prevent function or virus uptake by the target cell, while the key cellular immune response involves cell-mediated cytotoxicity (killing of infected cells).
A virus is fully dependent on the host cell machinery to successfully establish an infection. With the many ways of the host immune system to recognize and prevent infection, viruses have established various strategies to manipulate the cellular environment to prevent recognition or limit any immune responses against it. In addition, when a virus replicates, “copying errors” of its genome, i.e., mutations, can cause the virus to further evade the immune system by gaining new traits preventing them from being recognized by an otherwise trained immune system. Viral evasion strategies pose a great challenge for the vaccine development and calls for new strategies to target the virus from multiple angles, i.e., by combining B-cell and T-cell antigens for activation of both humoral and cellular pathways and targeting selected viral strains and/or human populations for specific or broad coverage.
Our approach to viral vaccine design is an unbiased and fully AI-based target discovery approach, which traditionally, to a large extent, has been a manual process. In addition, while many licensed viral vaccines in the past have been focused on generation of a neutralizing antibody (B-cell) response, our AI model RAVEN™ allows integration of a T-cell component in the vaccine design. We believe our approach
 
96

TABLE OF CONTENTS
 
will help combat some of the historic challenges with viral vaccines, most recently observed in relation to vaccines developed to protect against the SARS-CoV-2 pandemic, including durability and breadth of response.
RAVEN™ — Our AI Model for the Discovery and Design of Novel Prophylactic Vaccines for Infectious Diseases
Overview
RAVEN™ is our AI-Immunology™ model that rapidly identifies T-cell antigens in infectious virus and bacteria for the use in pathogen-specific prophylactic vaccines. RAVEN™ combines essential AI modules from our PIONEER™ model to discover novel T-cell antigens. The RAVEN™ model synergizes with EDEN™ as RAVEN™ identified T-cell antigens can be used either as a stand-alone or incorporated into known or novel EDEN™ identified B-cell antigens. To construct a combined T- and B-cell antigen vaccine, we have generated a range of novel structural design tools, which graft T-cell epitopes into the B-cell antigens while maintaining the overall structural integrity of the B-cell antigen essential for eliciting the humoral response. We believe that a vaccine comprising both RAVEN™ and EDEN™ identified antigens, separately or in one integrated antigen, will elicit both a humoral/antibody response and cytotoxic T-cell responses, which may result in highly efficacious and broadly protective vaccines through robust memory T-cell populations. The schematic workflow for RAVEN™ integration in EDEN™ is shown in Figure 54 below.
The ability of RAVEN™ to include T-cell epitopes in the vaccine design serves multiple purposes, both in the cellular response as cytotoxic T cells clearing pathogen-infected cells from the body and helper T-cells boosting both the cellular and humoral responses. The high-throughput nature of the RAVEN™ model enables rapid identification of vaccine antigens for any viral or bacterial pathogen.
[MISSING IMAGE: fc_identification-4c.jpg]
Figure 54
RAVENworkflow with EDEN™ integration.
The input to RAVEN™ is genomic and proteomic data from any pathogen target as well as MHC data on the indented human population. The cross-protective B-cell antigens are identified either from literature, if known, or by our EDEN™ model. In order to predict the protective B-cell antigenicity of a given full length protein sequence, the models receive the proteome of a given pathogen as input and generate an output list ranking the proteins based on prediction scores (see above). The models leverage genomic sequencing data to find important targets or domains that are present in the majority of clinical strains for a given pathogen in order to capture a majority of pathogen strains by a single vaccine. Proteins are ranked by predicting B-cell antigen protection level by calculating an antigen prediction score ranging from 1 to 0, where 1 is highest predicted level of protection and 0 is the lowest. Adaptation of the EDEN™ approach have been successfully applied to several viral targets where verified antigens rank high.
The protective T-cell epitopes are identified using a proprietary model composed of several computational features which identifies peptides presented on MHC class I and II molecules on the surface
 
97

TABLE OF CONTENTS
 
of cells, a model adapted from our PIONEER™ model. The model is a transformer-based neural network with seven million parameters, trained using a conditional generative adversarial network approach. A second model is subsequently applied to down select the full pool of T-cell epitopes to a set of peptides containing epitopes covering a target human population defined by MHC allele distribution, anywhere from a single individual to a world-wide population and a virus population defined by the genomes of the desired virus population. The algorithm is adjustable and can be used to ensure the broadest possible response across human tissue types (MHC-I and -II alleles) and entire virus species, or alternatively to target specific human populations and/or selected viral strains in outbreaks.
The identified B- and T-cell antigens can be administered as individual components or combined. A third ensemble of RAVEN™ is further capable of examining the B-cell antigen structure and identify sites where the T-cell epitopes can be grafted into the protein thus preserving the B-cell mediated antibody generation whilst also eliciting a T-cell response. We expect that such T-cell epitope enrichment of the B-cell antigen will increase B-cell activation, resulting in increased breadth, avidity, magnitude and duration of the generated antibody response or can be designed to elicit a broadly protective cytotoxic T-cell response alongside the antibody response.
These identified antigens can be administered by any established vaccine delivery technology such as protein, DNA or mRNA.
Key Advantages of our RAVEN™ Model
We believe, the combination of EDEN™ and RAVEN™ models results in several unique features of a vaccine design:

Promiscuous T-cell Epitopes:   The AI modules of our RAVEN™ model enable the identification and combination of T-cell epitopes that cover the immunological diversity of the human populations (HLA type). Multiple Hits on Target: By combining multiple potent epitopes in one vaccine, we believe different T cells will be able to target the infected cells, avoiding antigenic drift and curtail spread of the infection more effectively.

Potential Coverage of Entire Viral Cycle:   By selecting epitopes from multiple proteins in the viral genome, vaccine generated T cells may be able to kill infected cells at selected stages of the viral replication cycle.

Mutation Proof:   Combining multiple epitopes ensures covering of several variants of a strain, hence new mutations are likely to have little effect on the vaccine efficacy.

Neutralizing Focused:   Design of minimal constructs from viral fusogens for the generation of neutralizing antibodies.

Cross-reactive Antibodies:   The RAVEN™ and EDEN™ viral fusion protein antigen is designed using information from all available variants of the target strain to ensure that the generated antibodies offer cross-reactive neutralization.

Broadly Applicable:   The RAVEN™ model can be applied to any known pathogen and is delivery platform agnostic.
Early Pre-clinical PoC for RAVEN™
We have already demonstrated the predictive capabilities of our AI model PIONEER™ and EDEN™ to identify T- and B-cell antigens, respectively. We have further demonstrated that when integrated into RAVEN, T-cell epitope prediction capabilities are maintained. In an in vivo study with 17 T-cell epitopes identified by RAVEN™ across the entire SARS-CoV-2 genome, we found that 15 of the 17 (88%) epitopes induced T-cell activation and provided significant protection against lethal SARS-CoV-2 challenge in a K18-hACE2 mouse model (Figure 55).
 
98

TABLE OF CONTENTS
 
[MISSING IMAGE: bc_sarsgenome-4c.jpg]
Figure 55
Vaccination with RAVEN™ identified SARS-CoV-2 T-cell epitopes protects against lethal disease.
Seventeen RAVEN™ predicted T-cell epitopes from SARS-CoV-2 ORF1a/b, ORF3a, ORF6, ORF8, S, M, and N was incorporated into a plasmid DNA delivery platform containing an antigen-presenting cell targeting unit (APCt), a dimerization domain and the 17 T-cell epitopes. To evaluate immunogenicity and protection, mice were immunized intramuscularly five times with one-week intervals with 25 ug plasmid DNA expressing the RAVEN™ predicted SARS-CoV-2 T-cell epitopes as ‘beads-on-a-string’. Figure 55A: Splenocytes from female C57BL/6 mice (n=2) immunized with the plasmid showed IFN-ɣ response against 15 of the 17 included epitopes upon restimulation. Figure 55B: K18-hACE2 transgenic mice, carrying the human ACE2 receptor immunized with our RAVEN™ predicted SARS-CoV-2 T-cell vaccine, were protected against lethal infection of SARS-CoV-2 (WA1/USA 2020) compared to APCt-Mock DNA immunized mice (n=8).
We have further demonstrated that our approach to T-cell epitope enrichment using CD4+ T-cell epitope engraftment of hemagglutinin resulted in an improved antibody response in a pre-clinical study. Hemagglutinin is a viral fusion protein located on the surface of the influenza virus where it facilitates cellular entry, serving the same purpose as the spike protein in coronaviruses and its neutralization is therefore key in the development of an effective vaccine. As seen in Figure 56 below, the antibody response towards the enriched hemagglutinin was significantly enhanced, evidenced by a 5-10-fold better neutralization compared to non-enriched hemagglutinin.
[MISSING IMAGE: bc_antibody-4c.jpg]
Figure 56
Engraftment of CD4+ T-cell epitope in the influenza hemagglutinin antigen.
Six Influenza CD4+ T-cell epitopes were integrated into a hemagglutinin antigen. Subsequent immunization with the supercharged hemagglutinin antigen induced higher antigen-specific antibody titers compared to the standard antigen.
 
99

TABLE OF CONTENTS
 
Our first viral candidate, EVX-V1, entered our pipeline in 2022. Once we achieve PoC on our RAVEN™ model, we plan to target other viruses that display seasonal recurrence and/or pandemic potential or general medical need, either through co-development or other partnership arrangements.
Our EVX-V1 Product Candidate
In December 2022, we announced our first viral target, Cytomegalovirus (CMV), against which we will use our RAVEN™ and EDEN™ AI models to identify promising vaccine targets. Our EVX-V1 vaccine candidate will be developed in collaboration with ExpreS2ion Biotechnologies, or ExpreS2ion.
On November 12, 2024, we announced positive preclinical data for EVX-V1. The data demonstrates that CMV antigens identified with Evaxion’s AI-Immunology™ platform trigger targeted immune responses. Results also showcases the successful design of a proprietary prefusion glycoprotein B (gB) antigen with ability to neutralize the virus. We are advancing these new findings to develop a multi-component CMV vaccine candidate.
CMV is a member of the herpesvirus family and is a widespread infection with approximately half of the US population estimated to be infected by age 40. The virus is transmitted in body fluids, and once infected, the virus stays for life. People with weakened immune systems, including organ transplant patients, can develop severe symptoms affecting for example, eyes, lungs and liver. CMV can also be passed from a pregnant woman to her unborn child, and congenitally infected babies may suffer from intellectual disability and loss of vision and hearing. As there are currently no commercially available vaccines or other effective treatment options against CMV, it represents a critical unmet medical need.
During the discovery phase of the collaboration, we utilized both EDEN™ and RAVEN™ models to find the most optimal vaccine candidate eliciting both a potent antibody and cellular response. By using EDEN™, we were able to identify novel B-cell antigens not pursued by other competing programs. We believe that including novel EDEN™ antigens and RAVEN™ T-cell epitopes in the final vaccine is a differentiator for us and a critical competitive edge. The CMV vaccine field has long focused on the same few antigens, yet without being able to develop a successful vaccine.
The antigen constructs derived from our AI platform will be produced by ExpreS2ion using their proprietary ExpreS2 platform, a protein expression system utilizing fruit fly cells, and subsequently process through our pre-clinical models. We believe this partnership has the potential to deliver a truly differentiated, highly immunogenic vaccine for protection against CMV infections.
The project has completed the vaccine discovery activities using the EDEN™ model. Fifteen (15) potential targets were identified, and a detailed assessment resulted in a final selection of 10 new targets toinvestigate further. The antigens are present and well-conserved across multiple globally collected clinical isolates. The 10 new vaccine targets have been the basis for vaccine antigen design activities and are now being expressed using the ExpreS2 platform. We believe the new EDEN™ antigens, together with RAVEN-identified T-cell epitopes, constitute a new and promising strategy to pursue in the development of a much-needed CMV vaccine.
Third-Party Collaborations
We are collaborating with MSD on the Phase 2 clinical trial which combines our patient-specific neoantigen cancer vaccine compound, EVX-01, with MSD’s anti-PD-1 therapy KEYTRUDA® compound, a humanized anti-human PD-1 monoclonal antibody.
The ongoing multi-center Phase 2 clinical trial has enrolled patients (all patients enrolled) with Stage III and IV advanced or metastatic unresectable melanoma and will investigate EVX-01 in combination with KEYTRUDA®. We will act as the sponsor of the clinical trial and MSD supplies all the necessary KEYTRUDA®. We will continue to collaborate with MSD as the data mature.
We are also collaborating with the National Center for Cancer Immune Therapy (CCIT-DK) at Herlev Hospital, Department of Health Technology at Danish Technical University, Center for Genomic Medicine at University Hospital Copenhagen and the Center for Vaccine Research at SSI on the development and Phase 1/2a clinical trial of our EVX-01 product candidate.
 
100

TABLE OF CONTENTS
 
We retain the commercial rights to EVX-01 and our other clinical stage programs. We plan to continue to identify potential collaborators who can contribute meaningful resources and insights to our programs and allow us to more rapidly expand our impact to broader patient populations.
We are also collaborating with ExpreS2ion Biotechnologies, or ExpreS2ion, on the joint development of a novel CMV vaccine candidate, EVX-V1. Under the terms of the agreement, ExpreS2ion will have the exclusive right to license the CMV vaccine candidate under a potential Development and Commercialization Agreement. The research and intellectual property licensing costs for the collaboration project will be divided 50:50 between us and ExpreS2ion until 2025.
In the EVX-B2 we are collaborating with Afrigen Biologics to develop an mRNA-based gonorrhea vaccine for LMICs. Following the validation phase, the partners will negotiate a subsequent agreement for clinical development and commercialization, with the opportunity to bring in additional partners. Afrigen will be responsible for the development and commercialization of the resulting mRNA vaccine in LMICs and African territories.
Our latest vaccine project, EVX-B3, targets a bacterial pathogen for which no vaccine is yet available. The new vaccine project is a co-funded effort between us and MSD. The collaboration is leveraging unique assets and know-how from both organizations.
Intellectual Property
Introduction
We actively seek to protect the intellectual property (IP) and proprietary technology that we believe is important to our business. Further, we seek to protect our proprietary position by, amongst other methods, filing patent applications in Europe, the United States and potentially other relevant jurisdictions relating to our inventions, improvements and product candidates. We also pursue IP protection for assets that may be used in future development programs and/or that may be of interest to our collaborators, or otherwise may prove valuable in the field. We pursue a patent strategy which seeks to protect marketed products and methods of their production, as well as therapy methods enabled by our proprietary AI-Immunology™ platform without disclosure to the public the core elements in our technology. Following this strategy, we have filed patent protection of aspects of our PIONEER™, EDEN™, AI-DeeP™ and RAVEN™ models, however, we do not believe that the value of obtaining patent protection for all component of our platform technologies outweighs the risks of disclosing such information. We rely on trade secrets and know-how relating to our proprietary technologies to develop, maintain and strengthen our proprietary position in AI-based drug discovery and development.
Patent applications that relate to the PIONEER™ technology cannot meaningfully be directed to single antigens and their various uses. Neoantigens identified by PIONEER™ are by nature unique for each patient, therefore, the precise nature of each neoantigen has no relevance as an object for intellectual property rights. We are therefore establishing patent portfolio around the PIONEER™ model which protects generally applicable aspects of the model, enabling personalized cancer vaccine, i.e. protection of additional features and elements which characterize the PIONEER-enabled therapy compositions, and which could be applied to other anti-cancer therapies that are based on immunization against neoantigens. The focus on the patent protection in the PIONEER™ setting is therefore aiming at securing patent protection for 1) specific essential elements/ features needed to identify neoantigens not specific to the PIONEER™ system, 2) specific features characterizing the composition of the designed therapy, and 3) specific features related to patient safety of the administered composition.
For the AI-Immunology™ model; EDEN™, we file patents to protect vaccine antigens identified, vaccine compositions, antibodies, and antibody compositions as well as methods for prophylactic treatment of infectious diseases where the vaccine antigens and antibodies constitute the active ingredient. We file applications relating to several vaccine targets for each infectious agent causing the diseases and prosecute those antigens that have shown greatest promise as protective antigens in animal models. Our patent strategy for the EDEN technology also entails identification of optimal combinations of vaccine antigens as well as identification of specific vaccine formulations and modes of immunization that can be made the subject of
 
101

TABLE OF CONTENTS
 
second- and later generation patent applications that protect the final marketed product. Furthermore, we have one patent family pending covering the EDEN™ method itself.
For the AI-Immunology™ model; RAVEN™, we have filed patent applications related to some aspects of the method for viral vaccine design as well as product claims related to viral vaccines designed by RAVEN thus harboring unique features of the RAVEN™ design. However, the core functionality of RAVEN™ is protected by trade-secret and not patents as we have assessed that disclosure of methods do not outweigh the benefit of obtaining patent protection.
Most of our IP assets were developed and are owned solely by us. In the few cases where our IP assets are jointly owned or in-licensed from third parties, we retain full rights to the commercial exploitation of such assets. We expect that we will continue to make additional patent application filings and will continue to pursue opportunities to acquire and license additional IP assets.
Regardless, given the early stage of prosecution for some of our patent application, we cannot be certain that any of the patent filings or other IP rights that we have pursued or obtained will provide protection for any product candidates that may ultimately be commercialized. Our most advanced product candidates are currently in clinical testing, with no certainty that they will be successful, or that significant modification or adjustment may not be required for successful commercialization.
Our success will depend on our ability to obtain and maintain patent and other proprietary protection for commercially important technologies, inventions, and know-how related to our business, defend and enforce our patents, preserve the confidentiality of our trade secrets and operate without infringing valid and enforceable patents and proprietary rights of third parties. For more information, please see “Risk Factors — Risk Related to Our Intellectual Property”.
An issued patent provides its owner (or possibly its licensee) with a right to exclude others from making, using or selling that which is claimed in the patent, for a specified period of time (the “term” of the patent), in the jurisdiction in which the patent is issued. In the United States, and in many other countries, patents have a presumptive term of 20 years from their accorded filing date (which is the earliest filing date to which the patent claims lineage, excluding filing dates claimed as priorities under the Paris Convention Priorities and/or priorities claimed from provisional patent applications). We believe that due to the patient-specific nature of our PIONEER™ based cancer vaccines, in which our PIONEER™ model is an inherent part of the product, and the platform predicted neoantigens cannot, we believe, be copied, such therapies will not be subject to competition from generic products even when the patent protection expires.
Patent Portfolio
As of August 1st, 2024, we owned a total of 30 patent families, of which 10 are currently in their priority year or international phase and we own several granted patents in the United States (12), Germany (4), France (4), Spain (1), Great Britain (5) and 1 European unitary patent (in force 17 EU-member states) and have 68 pending national/regional applications.
So far none of our granted patents has been subject to opposition, administrative reexamination, inter partes review, invalidity actions, or similar actions aiming at revoking or restricting the scope of a granted patent.
The patent portfolio related to our most advanced product candidates and technologies as of August 1st, 2024 are summarized below.
EVX-01
EVX-01 is protected by trade secrets, patent applications related to, and the proprietary nature of the AI-Immunology model; PIONEER. In addition to IP protection of the PIONEER™ model, our patent portfolio related to EVX-01 currently includes one patent family directed to a method of treating cancer in a patient using neopeptides (EVX-01). The patent application has entered national phase in CA, CN, US, EP, JP and AU. We expect the patent family to lapse in January 2040.
 
102

TABLE OF CONTENTS
 
EVX-02
EVX-02 is protected by trade secrets, patent applications related to, and the proprietary nature of the PIONEER™ models. In addition to IP protection of the PIONEER™ model, our patent portfolio related to EVX-02 currently includes two patent families. The first patent family is claiming a method directed at inducing an anti-cancer immune response in patients by administrating the EVX-02 vaccine concept comprising DNA plasmid and polaxomer 188, a novel adjuvant. The second patent family is directed at a method of inducing and anti-cancer immune response in patients by administrating the EVX-02 plasmid alone. As of December 1st, 2023, both patent families are in national phase in EP, CA, CN, US, JP and AU. The first patent family is expected to lapse in March 2040 and the second in December 2040.
EVX-03
EVX-03 is protected by trade secrets, patent applications related to, and the proprietary nature of the PIONEER model. Furthermore, due to the similarities between our two DNA-based cancer vaccines, EVX-03 and EVX-02, our patent families covering EVX-02 also applies to EVX-03. In addition, one patent family has been filed that specifically relates to the targeting unit, unique to EVX-03. The patent family is a composition of matter application directed to the EVX-03 product concept. The patent family has national applications pending in the following Juristrictions: AU, CA, CN, EP, JP and US. We expect that the patent rights will lapse in April 2041.
EVX-B1
Our patent portfolio related to EVX-B1 includes five patent families. The patent families are composition of matter patents, or methods for inducing anti s. aureus immunity, directed against compositions comprising one or more S. aureus antigens. The first patent family comprise five issued patents in the US, one in DE, one in FR and one in GB as well as one pending application in US and one pending application in EP. The patent family is expected to expire in April 2032. The second patent family comprises one US patent, one US and one EP pending application. We expect the patent family to lapse in December 2034. The third patent family comprises one US, one GB, one DE and one FR registered patents. We expect the family to lapse in February 2037. Our fourth EVX-B1 related patent family comprises one issued US patent as well as pending applications in EP and US. We expect this patent family to lapse in July 2037. The fifth family claims a composition used for vaccination against S. aureus comprising our EVX-B1 vaccine. The application is in international phase and upon entry into national stage, we expect this patent family to lapse in 2042.
EVX-B2
Our Patent portfolio related to EVX-B2 comprise two patent families. Both families are directed against antigens useful in vaccines against N. gonorrhoeae. The first patent family is at national stage and contains pending applications in EP and the US. Subject to grant, we expect these patents to expire in 2041. The second family is in national stage and have pending applications in: AU, CA, CN, EP, JP, US and ZA. We expect that patent rights will expire in 2042.
EVX-V1
Together with our development partner for EVX-V1 we have filed one PCT application claiming variants of a specific antigen useful for vaccine against CMV. Subject to national stage entry we expect the patent family to expire in September 2044.
PIONEER
The AI-Immunology™ model: PIONEER™ is mainly protected as a trade secret as computational methods are complicated to patent and protect from infringement. However, our current patent portfolio comprises two patent families related to PIONEER™ covering some aspects that are important for neoantigen selection. The first patent family is directed against a method for selecting and de-selection of neoantigens for the treatment of cancer comprising the SLICE model used in PIONEER for epitope prioritization. The patent family have pending applications in AU, CA, CN, EP, JP and US. We expect the family to lapse in July 2041. The second family is directed against as method for identifying antigens (including neoantigens) using the AI-framework used in PIONEER™ for MHC ligand identification. The patent family is currently in priority year.
 
103

TABLE OF CONTENTS
 
ObsERV
The AI-Immunology™ model: ObsERV™ is, like the PIONEER™ model, protected by trade-secrets and additionally to patents protecting PIONEER™ the ObsERV™ models is protected by one patent family. The family supplements the identification of neoantigens with a system for identifying highly immunogenic epitopes from human endogenous retroviral sequences, or hERVs, and other normally non-expressed tumor specific epitopes found in the human genome and use these to treat cancer. The patent discloses a method for deselecting potentially harmful and non-immunogenic hERV epitopes. This patent application is in international stage.
RAVEN
Our AI-Immunology™ model; RAVEN™, is in addition to trade secrets and the proprietary nature of the model, protected by two patent families. The first patent family is a composition of matter family directed to the vaccine delivery concept that can be utilized together with the RAVEN™ model. The family comprise one AU, one CA, one CN, one, EP, one JP and one US patent application. We expect the patent family to lapse in July 2041. The second patent family also a matter of composition patent aimed at a vaccine product designed from analyzing genomes of pathogens by the RAVEN model. This patent family comprise one EP and one US patent application. We expect the patent family to lapse in 2042.
AI-DeeP
Our AI-Immunology™ model; AI-DeeP™, is in addition to trade-secret and the proprietary nature of the model, protected by one patent family. The patent family discloses a method for identifying patients’ response to immunotherapy comprising measuring and relating HLA expression in patient’s tumor sample. The method disclosed is comprised in the AI-DeeP™ model. The patent family is in national phase with one EP and one US patent pending.
EDEN
Our AI-Immunology™ model EDEN™, has provided input for multiple patent applications within our bacterial vaccine portfolio. The model itself is been kept as trade-secret, however one patent application has been filed to cover the EDEN™ method. The application is in priority year and is expected to lapse in 2044.
In-Licensing
We have pursued a strategy of identifying and in-licensing third-party patents that we believe are complementary to or otherwise interact synergistically with our own intellectual property portfolio. On November 30, 2020 we entered into a CAF®09b Supply, Patent Know How Trademark License Agreement and on June 27, 2024 we entered into an updated CAF®09b Patent Know How Trademark License Agreement with Statens Serum Institut, or SSI, which will grant us an exclusive, royalty-bearing sub-licensable license to a product comprising SSI’s adjuvant technology CAF®09b and PIONEER™ identified neopeptides. Pursuant to the terms of the agreement, we or our affiliates may import, have imported, export, have exported, formulate or have formulated, commercialize, market, use, offer for sale, sell, have sold, supply, or have supplied PIONEER™ derived cancer vaccines administered together or in combination with licensed adjuvant, but not, on a stand-alone basis, the licensed adjuvant. The license specifically excludes any manufacturing rights to the licensed adjuvant and the license further excludes any research and development in relation to the licensed adjuvant other than where such research and development is in connection with and for the purpose of research and development in respect of PIONEER™ derived cancer vaccines administered together or in combination with licensed adjuvant.
Pursuant to the SSI agreement, we have rights to three issued United States patents and other patents and patent applications in jurisdictions outside the United States.
In the event we commercialize any PIONEER™ derived cancer vaccines administered together or in combination with licensed adjuvant on our own, we are required to pay SSI a royalty on net sales in the low teens. The royalty term extends for a fixed period of 10 years commencing on the first calendar day of the calendar month following the first commercial sale of a PIONEER™ derived cancer vaccine administered
 
104

TABLE OF CONTENTS
 
together or in combination with the licensed adjuvant or when patent protection of SSI licensed patents expires, whichever comes last. Upon expiration thereof, the SSI license shall be deemed to be fully paid up, royalty-free, irrevocable and perpetual with respect to such vaccine. However, if any PIONEER™ derived cancer vaccine administered together or in combination with licensed adjuvant are commercialized by one of our partners, if any, we are required to pay SSI a percentage of any out-licensing revenue (milestones and royalties) earned by us and our affiliates. The size of the income share due to SSI shall be determined and reflect the extent to which we have invested in carrying out the Phase 2 and Phase 3 clinical trials in respect of the PIONEER™ derived cancer vaccines administered together or in combination with licensed adjuvant prior to entering into a sub-license agreement. If we enter into a sublicense agreement with a partner on our EVX-01 product candidate subsequent to the initiation of a Phase 2 clinical trial, we are required to pay to SSI a percentage of any sublicensing income in an amount in the low double-digit range. If we enter into a sublicense agreement with a partner on our EVX-01 product candidate subsequent to the initiation of a Phase 3 trial, we are required to pay to SSI a percentage of any sublicensing income in the low double-digit range. Prior to any out-licensing or commercialization of EVX-01, we are not required to make any additional payments to SSI.
The SSI license will terminate on the earlier of (i) a fixed period of 10 years commencing on the first calendar day of the calendar month following the first commercial sale of a PIONEER™ derived cancer vaccine administered together or in combination with licensed adjuvant or when patent rights expires, whichever comes last and (ii) the effective date of termination. In this connection, we or SSI may terminate the license upon prior written notice in the event of (a) a material breach which is not capable of remedy, or if capable of being remedied, such remedy does not occur within a specified time after notification or (b) an order is made, or a resolution passed for the winding up of either SSI or us. In addition, we may terminate the SSI License upon prior written notice if we are not able to reach a supply agreement with SSI’s designated commercial supplier of the licensed adjuvant. Apart from such causes, SSI may not terminate the license agreement and we may only terminate the SSI license on (c) the grounds of lack of efficacy of a PIONEER™ derived cancer vaccine administered together or in combination with licensed adjuvant, as a result of which we determine not to progress with the development and commercialization of such product or (d) due to safety concerns, market and/or competitive situation that would prevent commercialization of a PIONEER™ derived cancer vaccine administered together or in combination with licensed adjuvant.
On April 28, 2022, we received formal notice that on April 21, 2022, SSI, had initiated a legal proceeding against us in The Danish Maritime and Commercial High Court (S. og Handelsretten), claiming sole ownership of a patent application (PCT/EP2020/050058 and subsequently national filings, EP3906045), we had filed related to a method for treating malignant neoplasm by administering a composition comprising a high dose of neopeptides, a solvent and an liposomal adjuvant, e.g. CAF.09b, for which we have a license agreement.
The patent application for the Invention relates solely to the use of the adjuvant CAF®09b in conjunction with a high dose of neopeptides in our EVX-01 product candidate. SSI’s claim to the patent application does not relate to any other aspect of our patent portfolio covering EVX-01 or the PIONEER™ model.
In December 2023 terms were agreed between us and SSI which results in a situation where we retain all commercial rights to EVX-01 and the patent application, the law-suit will be lifted on a walk-away basis and no compensation by Evaxion to SSI. These terms were effectuated on the 27’th of June 2024 and the court case lifted by SSI.
On June 29, 2020, we entered into a license agreement with PharmaJet or the PharmaJet License Agreement, which grants us non-exclusive, sub-licensable license to certain intellectual property of PharmaJet and supply of the Stratis® device and disposable needle-free syringes and filling adapter items for use with any products derived from one or more of our product candidates in the field of prophylaxis, diagnosis prediction, and/or treatment of cancer in humans and/or animals. Subject to meeting certain development milestones, additional consideration of up to $320,000 is to be transferred to the seller. Further, $250,000 is to be transferred to the seller upon each regulatory approval of an Evaxion product utilizing the in-licensed technology. Also, we will owe PharmaJet customary royalties in the low single digits based on net commercial sales of any products derived from our product candidates for so long as we continue to use in our product candidates the intellectual property and products licensed from PharmaJet pursuant to the PharmaJet License Agreement. The PharmaJet License Agreement will remain in effect for an initial period until successful
 
105

TABLE OF CONTENTS
 
completion of the first Phase 1/2a clinical study of our product candidate in combination with the PharmaJet product with the option to extend the term for additional 10 years, after which the term will automatically extend for successive periods of 24 months if not terminated prior to the beginning of each such subsequent extension. Either party may terminate the agreement upon six months prior notice with effect immediately prior to a subsequent extension term. Either party may terminate the agreement with immediate effect upon written notice to the other party due to a material breach by the other party. Moreover, we may terminate the agreement in the event of i) change of control or divestment, ii) regulatory action taken by the FDA or EMA, iii) termination of development of our product in combination with PharmaJet product or iv) if PharmaJet undergoes a change of control to a third party who does not agree to continue to supply us PharmaJet product.
Trade secret protection
Certain of our technologies, including in particular certain proprietary manufacturing processes or technologies and/or AI-based prediction technologies, are protected as trade secrets.
In addition to patent protection, we rely upon unpatented trade secrets and confidential know-how and continuing technological innovation to develop and maintain our competitive position. We protect certain of our technologies, including but not limited to algorithms and software, from becoming public knowledge. However, trade secrets and confidential know-how are difficult to protect. We seek to protect our proprietary information, in part, by using confidentiality agreements with any future collaborators, scientific advisors, employees and consultants, invention assignment agreements with our employees and internal processes for handling trade-secrets. These agreements may not provide meaningful protection. These agreements may also be breached, and we may not have an adequate remedy for any such breach. In addition, our trade secrets and/or confidential know-how may become known or be independently developed by a third party or misused by any collaborator to whom we disclose such information. Despite any measures taken to protect our intellectual property, unauthorized parties may attempt to copy aspects of our products or to obtain or use information that we regard as proprietary. Although we take steps to protect our proprietary information, third parties may independently develop the same or similar proprietary information or may otherwise gain access to our proprietary information. As a result, we may be unable to meaningfully protect our trade secrets and proprietary information. See “Risk Factors — Risks Related to our Intellectual Property” for a more comprehensive description of risks related to our intellectual property.
Competition
We compete in an industry characterized by rapidly advancing technologies, intense competition and a complex intellectual property landscape. We face substantial competition from many different sources, including large and specialty pharmaceutical and biotechnology companies, academic research institutions and governmental agencies and public and private research institutions.
AI-Immunology™ platform
We face competition from several companies developing AI platforms and software including Schrodinger, BenevolentAI, Atomwise, AI Therapeutics, Insilico Medicine, Recursion Pharmaceuticals, Lantern Pharma, Adaptive Biotechnologies, Immatics, BIOVIA, and Citrine, among others. However, because most of these companies are not focused on developing therapeutic drug candidates centered around neoantigens, ERV antigens or bacteria or viral antigens, we do not consider the majority of them to be our direct competitors. Below is a description of the companies we consider to be our main competitors for each of our three AI models and their respective indications.
PIONEER™ — Neoantigen vaccines
The immuno-oncology therapeutics landscape in general is highly competitive and includes large and specialty pharmaceutical and biotechnology companies, academic research institutions and governmental agencies and public and private research institutions. It includes both competition from marketed therapies as well as potential new therapeutics in development. We may compete with products with different mechanisms of action as well as against established standards of care. Well-established companies such as AstraZeneca, Amgen, Bristol-Myers Squibb, Celgene, Eli Lilly, GlaxoSmithKline, Janssen Pharmaceuticals,
 
106

TABLE OF CONTENTS
 
Merck & Co., Novartis, Pfizer, Roche and Sanofi are developing diversified immuno-oncology programs and have substantial resources. Smaller companies are also developing immuno-oncology drugs, such as Jounce Therapeutics, Arcus Biosciences, ALX Oncology, iTeos Therapeutics and Five Prime Therapeutics, among others. We expect our vaccine candidates for the treatment of solid tumors to face direct competition from companies such as Moderna in collaboration with Merck & Co., BioNTech SE in collaboration with Roche and Nykode in collaboration with Roche.
We also expect to face competition from smaller specialized oncology companies active in the neoantigen/ personalized cancer therapy space including Agenus, Gritstone Bio, Achilles Therapeutics, NousCom, Immunetune, ISA Pharmaceuticals, PACT Pharma, PersImmune, and Geneos Therapeutics.
EDEN™ — B-cell antigen vaccines
Our main competitors taking a prophylactic approach to bacterial diseases are BioNTech SE, GlaxoSmithKline, Pfizer and Sanofi Pasteur. Additional competitors within the bacterial disease space include well-established pharmaceutical companies including AbbVie, Bayer, Gilead, Janssen Pharmaceuticals, Merck & Co. and Novartis. In addition, Seqirus UK, Biomedical Corp. of Quebec and AstraZeneca produce vaccines.
RAVEN™ — T-cell antigen vaccines
Our plans to leverage our RAVEN platform to develop vaccines against viral diseases will put us in competition with several other companies focused on viral vaccines including Moderna, BioNTech, CureVac, Novavax, Johnson & Johnson, GSK, Merck & Co. and AstraZeneca.
Many of our competitors and potential competitors, either alone or with their collaborators, have greater scientific, research and product development capabilities as well as greater financial, marketing, sales and human resources and experience than we do. In addition, smaller or early-stage companies, including immunotherapy-focused therapeutics companies, may also prove to be significant competitors, particularly through collaborative arrangements with large and established companies. Some of our collaborators may also be competitors within the same market or other markets. Accordingly, our competitors may be more successful than us in developing and potentially commercializing technologies and achieving widespread market acceptance. In addition, our competitors may design technologies that are more efficacious, safer or more effectively marketed than ours or have fewer side effects or may obtain regulatory approvals more quickly than we are able to, which could eliminate or reduce our commercial potential. These competitors also compete with us in recruiting and retaining qualified scientific and management personnel and establishing clinical trial sites and patient registration for clinical trials, as well as in acquiring technologies complementary to, or necessary for, our programs.
We anticipate that the key competitive factors affecting our technologies will be efficacy, safety, cost, speed and convenience. The availability of reimbursement from government and other third-party payors will also significantly affect the pricing and competitiveness of our products. The timing of market introduction of our products and competitive products will also affect competition among products. We expect the relative speed with which we can develop our products, complete the clinical trials and approval processes, and supply commercial quantities of the products to the market to be important competitive factors. Our competitors also may obtain FDA or other regulatory approval for their products more rapidly than we may obtain approval for ours, which could result in our competitors establishing a strong market position before we are able to enter the market.
 
107

TABLE OF CONTENTS
 
Employees
As of January 27, 2025, we had 44 full-time employees. The following tables provide breakdowns of our full-time equivalent employees as of January 27, 2025 by function:
Function
Number
Clinical Research & Development
4
Scientific Research & Development
20
Supporting Functions
17
Commercial & Business Development
3
TOTAL 44
None of our employees have engaged in any labor strikes. We have no collective bargaining agreements with our employees. We consider our relationship with our employees to be positive and have not experienced any major labor disputes.
Organizational Structure
Evaxion was formed as a private limited liability company organized under Danish law on August 11, 2008 and re-registered as a public limited liability company on March 29, 2019. Certain of our operations are conducted through our wholly owned subsidiaries, Evaxion Biotech Australia PTY LTD (Australia) and Evaxion Biotech, Inc., in Australia and the United States, respectively, both of which are listed in Exhibit 8.1 to this prospectus.
Property and Equipment
In October 2020, the Company entered into a lease for approximately 1,356 square meters, which is allocated on 839 square meters of office space, and 518 square meters of laboratory space in Hørsholm, Denmark. The commencement date for the lease of the 839 square meters of office space was February 1, 2021 and the lease continues for a term of 10 years from that date. The commencement date for the lease of the laboratory space is August 13, 2021 and the lease continues for a term of 10 years. Both leases have a subsequent 12-month cancellation notice period. The lease agreement contains an early termination provision which would trigger a termination fee of $2.7 million. Through-out the term, the lease is subject to annual increases ranging from two to four percent on the annual lease payment amount. As of January 1st, 2024, the monthly payment is approximately $28,221, which consists of $11,740 for the office space and approximately $16,481 for the laboratory space.
Unresolved Staff Comments
None.
 
108

TABLE OF CONTENTS
 
MANAGEMENT
Directors, Senior Management and Employees
Directors and Senior Management
We have a two-tier governance structure consisting of a board of directors and an executive management team.
Our Executive Management
The following table sets forth certain information relating to our executive management as of the date of November 01, 2024.
Name
Age
Position(s)
Executive Management:
Christian Kanstrup, MSc(1)
52
Chief Executive Officer
Thomas Frederik Schmidt, MSc(2)
53
Chief Financial Officer (interim)
Birgitte Rønø, Ph.D.
47
Chief Scientific Officer
Andreas Holm Mattsson
49
Chief AI Officer
(1)
Mr. Kanstrup entered into an agreement to join us on August 24, 2023, and joined us on September 1, 2023.
(2)
Mr. Schmidt joined us on November 01, 2024. Mr. Jesper Nissen held the position before, Mr. Nissen resigned, which resignation was effective on October 31, 2024.
The following is a brief summary of the prior business experience of the members of our executive management:
Our Chief Executive Officer, Christian Kanstrup joined us on September 1, 2023. Christian Kanstrup has more than 25 years of experience in the life science industry, coming from a position of Executive Vice President at Mediq before joining Evaxion. Prior to that, Christian held a broad range of senior management roles at Novo Nordisk A/S, latest as Senior Vice President and global head of Biopharm Operations. Prior to that Christian among others held senior leadership roles within the commercial part of the business as well as within strategy and corporate development. Christian also holds various board and advisory positions in the life science industry, advising on corporate strategy and company growth.
Jesper Nyegaard Nissen joined as Chief Operating Officer in 2022 and was also appointed interim Chief Financial Officer in 2023. For over 25 years, Jesper Nyegaard Nissen has worked broadly across the pharma value chain in global operations positions at Novo Nordisk anchored in research and finance. He has covered business areas across a variety of focus points, including finance operation, external innovation and collaborations, digitalization of business process optimization, development and shaping of organizational capacities, and implementation of performance and process improvement structures. On July 31, 2024, Mr. Nissen tendered his resignation as the Chief Operating Officer and Interim Chief Financial Officer, to be effective October 31, 2024. Mr. Nissen’s resignation was for personal reasons and was not a result of any disagreement with the Company on any matter relating to the Company’s operations, policies or practices.
The Company has appointed Thomas Frederik Schmidt to assume Mr. Nissen’s responsibilities as the Interim Chief Financial Officer. Mr. Schmidt brings more than 30 years of financial management experience from across different industries with more than 25 years of these being based in the life science industry including roles as country Managing Director and country Chief Financial Officer in Roche and Group CFO in Ambu. Ambu is a MedTech company listed on the Nasdaq Copenhagen Stock Exchange. Mr. Schmidt holds a Master of Science in Business Economics and Auditing from Copenhagen Business School and has undergone training and preparation for State Authorized Public Accountant (CPA) exam. Mr. Schmidt succeeded Mr. Nissen as the Company’s Interim CFO as of November 1, 2024.
 
109

TABLE OF CONTENTS
 
Our Chief Science Officer, Birgitte Rønø, joined in 2017 and was appointed CSO in 2021. Dr. Rønø has more than 20 years’ of experience in biopharmaceutical drug discovery from academia and industry and received her PhD in experimental oncology and immunology from National Institutes of Health, Bethesda, USA, and Copenhagen University Hospital, Denmark. Prior to joining Evaxion, Birgitte Rønø served as a specialist, team leader and project manager at Novo Nordisk A/S, where she was leading early drug discovery projects, evaluating in-licensing opportunities, and supporting drug development projects with pre-clinical and biomarker expertise. Andreas Holm Mattsson serves as Chief AI Officer at Evaxion Biotech, where he’s been at the forefront in silico-based vaccine target discovery. He has played a key role in developing Evaxion’s innovative AI-ImmunologyTM platform, a proprietary AI technology for identifying novel vaccine targets for cancer and infectious diseases. Andreas brings a strong educational background in bioinformatics from the Technical University of Denmark and has previously worked at Novo Nordisk. Since founding Evaxion in 2008, he has been an essential part of the company’s growth, serving in various executive roles. In August 2023, Per Norlén, our Chief Executive Officer, or CEO, stepped down and Christian Kanstrup assumed Per Norlén duties as CEO.
In July 2023 Bo Karmark, our Chief Financial Officer, or CFO, stepped down and Jesper Nyegaard Nissen assumed Bo Karmarks duties as CFO. In March 2023, Dr. Erik Deichmann Heegaard, our Chief Medical Officer, or CMO, at the time stepped down and Dr. Norlén along with our Vice President of Clinical Development assumed Dr. Heegaard’s duties as CMO. In August 2023, Birgitte Rønø our Chief Scientific Officer assumed the duties as CMO along with an external consultant.
Family Relationships
There are no family relationships among any of our directors and/or executive management.
Compensation
Compensation of Executive Management and Directors
As of the date of this Form F-1, our executive management consists of our Chief Executive Officer, Chief Operating Officer, Chief AI and Culture Officer, Chief Scientific Officer and Chief Financial Officer.
The members of our executive management are eligible to receive an annual performance-based cash bonus subject to certain predefined corporate and individual goals as determined by our board of directors on an annual basis. The members of our executive management are also eligible to receive an extraordinary bonus at the discretion of our board of directors. This financial information has been prepared by and is the responsibility of our management. Our independent registered public accounting firm, EY Godkendt Revisionspartnerselskab, has not audited, reviewed, compiled, or applied agreed-upon procedures with respect to the preliminary financial data. Accordingly, EY Godkendt Revisionspartnerselskab does not express an opinion or any other form of assurance with respect thereto. These results could change as a result of further review. Complete financial results for the year ended December 31, 2024 will be included in our Annual Report on Form 20-F.
The following table presents compensation received by our executive management, for the years ended December 31, 2024, 2023, and 2022.
Years Ended December 31,
2024
2023
2022
(USD in thousands)
Per Norlén (CEO)(6)
Salary
95 348 85
Bonus
8
Other employee benefits
3 21
Total
95 351 114
 
110

TABLE OF CONTENTS
 
Years Ended December 31,
2024
2023
2022
(USD in thousands)
Bo Karmark (CFO)(8)
Salary
46 269 160
Bonus
65 74
Other employee benefits
(23) 31 35
Total
23 365 269
Jesper Nygaard Nissen (COO and CFO)(9)
Salary
233 269 209
Bonus(10)
50 44
Other employee benefits(10)
(2) 27 39
Total
281 296 292
Lars Staal Wegner(5)
Salary
352
Bonus
71
Other employee benefits
(16)
Total
407
Niels Iversen Møller (CBO)(2)
Salary
67
Bonus
6
Other employee benefits
2
Total
75
Andreas Holm Mattsson (CAICO)
Salary
255 233 229
Bonus(10)
12 68
Other employee benefits(10)
20 13 22
Total
287 246 319
Erik Deichmann Heegaard, Ph.D., DMSc (CMO)(3)
Salary
70 269 265
Bonus
29 52
Other employee benefits
(37) 70 162
Total
62 339 479
Birgitte Rønø, Ph.D. (CSO)(4)
Salary
261 233 235
Bonus(10)
23 45
Other employee benefits(10)
30 36 56
Total
314 269 336
Christian Kanstrup (CEO)(7)
Salary
360 116
Bonus(10)
12
Other employee benefits(10)
50 25
Total
422 141
Thomas Frederik Schmidt (Interim CFO)(1)
Incurred service fee
77
Bonus
Other employee benefits
Total
77
 
111

TABLE OF CONTENTS
 
(1)
Mr. Schmidt joined us on November 01, 2024 as the Chief Financial Officer (interim).
(2)
Effective November 1, 2021, Mr. Møller became our Interim Chief Business Officer.
(3)
Dr. Heegaard joined our company in April 2021 as CMO. Dr. Heegaard has been terminated as CMO on March 31, 2023 and his last day of employment was March 31, 2024.
(4)
Dr. Rønø was appointed Chief Scientific Officer in September 2021. Prior to September 2021, Dr. Rønø was a non-executive employee.
(5)
Dr. Wegner stepped down as CEO in September 2022 and Dr. Wegner’s employment terminated on December 31, 2022.
(6)
Dr. Norlén stepped down as CEO in August 2023 and Dr. Norlén’s employment is terminated on August 31, 2024.
(7)
Mr. Kanstrup was appointed Chief Executive Officer in September 2023. The salary above is for the period September 1, 2023 to December 31, 2023, as Mr. Kanstrup took on the responsibility on September 1, 2023.
(8)
Bo Karmark stepped down as CFO in July 2023 and Mr. Karmark’s employment ended without further notice on Februry 29, 2024.
(9)
Following the termination of the CFO Mr. Karmark, the COO Jesper Nyegaard Nissen, on August 1, 2023, took on the duties of the Chief Financial Officer. Jesper Nyegaard Nissen resigned on October 31 2024.
(10)
Bonus and other employee benefits regarding 2024 will be paid out in January 2025 and 2023 was paid out in January 2024.
The following table lists compensation to our board of directors for the years ended December 31, 2024, 2023, and 2022:
Years Ended December 31,
2024
2023
2022
(USD in thousands)
Marianne Søgaard (Chairman of the Board of Directors)(1)
Board and committee fees
143 145 132
Other Fee
33 17 23
Share-based compensation(5)
32 31 10
Total
208 193 165
Roberto Prego
Board and committee fees
61 63 57
Other Fee
Share-based compensation(5)
8 5 5
Total
69 68 62
Steven Projan(4)
Board and committee fees
24 63
Other Fee
Share-based compensation
(2) 5
Total
22 68
Lars Holtug(2)
Board and committee fees
59 59 59
Other Fee
Share-based compensation(5)
8 5 5
Total
67 64 64
 
112

TABLE OF CONTENTS
 
Years Ended December 31,
2024
2023
2022
(USD in thousands)
Niels Iversen Møller (3)
Board and committee fees
24 52 45
Other Fee
Share-based compensation
9 6 4
Total
33 58 49
Lars Staal Wegner(5)
Board and committee fees
31
Other Fee
Share-based compensation(5)
1
Total
32
(1)
Ms. Søgaard was appointed as Chairman of the Board on November 25, 2020.
(2)
Mr. Holtug was elected as a member of the Board at the 2021 Annual General Meeting held on May 25, 2021.
(3)
Dr. Møller was appointed as a member of the Board in 2022 and stepped down June 30, 2024.
(4)
Dr. Projan stepped down from his position as member of the Board effective from May 24, 2023.
(5)
Share-based compensation regarding 2024 is granted by the Board during January, 2025.
No member of the board of directors is entitled to any kind of compensation upon retirement from his or her position as a member of the board of directors. We have not allocated funds for any pension benefits, severance schemes or similar measures, or undertaken any other obligations to do so on behalf of the board of directors, and we have no obligation to do so.
Further to this in May 2024, all employees, management and board members were granted additional warrants. Details for Management and Board warrants are provided below.
Management
Warrants
granted
Exercise price
USD
Expiration
date
Andreas Holm Matsson (CAIO)
25,000 0.4 31/12/2031
Birgitte Rønø (CSO)
50,000 0.4 31/12/2031
Christian Kanstrup (CEO)
16,668 0.4 31/12/2031
Board
Warrants
granted
Exercise price
USD
Expiration
date
Marianne Søegaard
40,000 0.4 31/12/2031
Roberto Prego Pineda
20,000 0.4 31/12/2031
Lars Holtug
20,000 0.4 31/12/2031
Niels Iversen Møller
20,000 0.4 31/12/2031
 
113

TABLE OF CONTENTS
 
SHARE OWNERSHIP
Major Shareholders
The following table presents information, as of January 27, 2025, regarding the beneficial ownership of our ordinary shares: (i) prior to the consummation of the offering and (ii) as adjusted to reflect the sale of the ADSs representing ordinary shares in the offering (assuming none of the persons or entities listed below purchases any ADSs in this offering), for:

each person, or group of affiliated persons, known by us to own beneficially 5% or more of our outstanding ordinary shares;

each of our directors and members of our executive management individually; and

each of our directors and members of our executive management as a group.
The number of ordinary shares beneficially owned by each entity, person, and member of our board of directors or members of our executive management is determined in accordance with the rules of the SEC, and the information is not necessarily indicative of beneficial ownership for any other purpose. Under such rules, beneficial ownership includes any ordinary shares over which the individual has sole or shared voting power or investment power as well as any ordinary shares that the individual has the right to acquire within 60 days of January 27, 2025 through the exercise of any option, warrant or other right. Except as otherwise indicated, and subject to applicable community property laws, the people named in the table have sole voting and investment power with respect to all ordinary shares held by that person.
The percentage of outstanding ordinary shares is computed on the basis of ordinary shares, DKK 0.25 nominal value per share, each outstanding as of January 27, 2025.
The percentage of shares beneficially owned on an as adjusted basis after the offering is based on shares to be outstanding after the offering after giving effect to the completion of this offering, Ordinary shares that a person has the right to acquire within 60 days of January 27, 2025 are deemed outstanding for purposes of computing the percentage ownership of the person holding such rights, but are not deemed outstanding for purposes of computing the percentage ownership of any other person, except with respect to the percentage ownership of all members of our board of directors or executive management as a group. None of our shareholders have different voting rights from other shareholders. We are not aware of any arrangement that may, at a subsequent date, result in a change of control of our company. Unless otherwise indicated, the business address for each beneficial owner is Dr. Neergaards Vej 5F, 2970 Hørsholm, Denmark.
Before Offering
After Offering
Name of Beneficial Owner
Number
Percent
Number
Percent
5% or Greater Shareholders
Merck Global Innovation Fund LLC(1)
7,653,588 6.6 63,004,138 19.96
Executive Management
Christian Kanstrup(2)
1,554,507 1.4 4,322,082 1.4
Andreas Holm Mattsson(3)
4,289,341 3.8 6,226,591 2.0
Birgitte Rønø(4)
187,170 187,170
Thomas Frederik Schmidt
968,625 0.3
Directors
Roberto Prego(5)
561,156 0.5 699,531 0.2
Lars Holtug(6)
179,978 456,728
Marianne Søgaard(7)
1,777,471 1.6 6,343,921 2.0
Lars Staal Wegner(8)
681,842 0.6 820,217 0.3
All current directors and executive management, as a group
(7 persons)
9,231,465 7.9 20,024,865 6.3
*
Represents beneficial ownership of less than 1%
 
114

TABLE OF CONTENTS
 
(1)
Includes 2,297,704 shares subject to Warrants that are exercisable within 60 days of January 27, 2025. Does not include 3,125,000 shares subject to Series A Warrants that are not exercisable within 60 days of January 27, 2025, due to a beneficial ownership blocker in the Series A Warrants limiting beneficial ownership to 9.99%.
(2)
Include 819,213 shares subject to Warrants that are exercisable within 60 days of January 27, 2025.
(3)
Include 91,673 shares subject to Warrants that are exercisable within 60 days of January 27, 2025.
(4)
Include 150,405 shares subject to Warrants that are exercisable within 60 days of January 27, 2025.
(5)
Include 158,996 shares subject to Warrants that are exercisable within 60 days of January 27, 2025.
(6)
Include 106,449 shares subject to Warrants that are exercisable within 60 days of January 27, 2025.
(7)
Include 960,456 shares subject to Warrants that are exercisable within 60 days of January 27, 2025.
(8)
Include 644,953 shares subject to Warrants that are exercisable within 60 days of January 27, 2025.
Holdings by United States Shareholders
As of January 27, 2025, approximately three percent (3%) of our issued and outstanding ordinary shares were held by ten (10) United States record holders. The number of individual holders of record is based exclusively upon our share register and does not address whether a share or shares may be held by the holder of record on behalf of more than one person or institution who may be deemed to be the beneficial owner of a share or shares in our company.
Significant Changes in Percentage Ownership
We are not aware of any arrangement that may, at a subsequent date, result in a change of control of our company. To Evaxion’s knowledge, and other than changes in percentage ownership as a result of the shares issued in connection with Evaxion’s initial public offering in the United States, there has been no significant change in the percentage ownership held by the major shareholders listed above in the last three years, except as discussed below in “Related Party Transactions.”
Related Party Transactions
Below is a summary of our grants, agreements, and transactions since January 1, 2021 in which the amount involved exceeded or will exceed $120,000, and in which any of our then directors, executive management or holders of more than 10% of any class of our voting securities at the time of such transaction, or any members of their immediate family, had or will have a direct or indirect material interest.
Share-based Awards to Directors and Executive Management
We have granted share-based awards to certain of our directors and executive management. For more information regarding the warrants granted to our executive management and directors see the section herein entitled “Warrant Incentive Plan”.
Employment Agreements and Indemnification Agreements
We have entered employment agreements with each member of our executive management and intend to enter into indemnification agreements with each member of our executive management and each of our directors. For more information see the sections herein entitled “Compensation of Executive Officers and Directors” and “Insurance and indemnification.”
 
115

TABLE OF CONTENTS
 
Policies and Procedures for Related Person Transactions
Prior to our IPO, we have not had a formal policy regarding approval of transactions with related parties. We have adopted a related person transaction policy setting forth the policies and procedures for the identification, review and approval or ratification of related person transactions. This policy covers, with certain exceptions set forth in Item 404 of Regulation S-K under the Securities Act, any transaction, arrangement or relationship, or any series of similar transactions, arrangements or relationships, in which we and a related person were or will be participants and the amount involved exceeds $120,000, including purchases of goods or services by or from the related person or entities in which the related person has a material interest, indebtedness and guarantees of indebtedness. In reviewing and approving any such transactions, our audit committee will consider all relevant facts and circumstances as appropriate, such as the purpose of the transaction, the availability of other sources of comparable products or services, whether the transaction is on terms comparable to those that could be obtained in an arm’s length transaction, management’s recommendation with respect to the proposed related person transaction, and the extent of the related person’s interest in the transaction.
Interests of Experts and Counsel
Not applicable.
 
116

TABLE OF CONTENTS
 
DESCRIPTION OF SHARE CAPITAL AND ARTICLES OF ASSOCIATION
The following describes our issued share capital, summarizes the material provisions of our articles of association and highlights certain differences in corporate law in the Kingdom of Denmark and Delaware corporate law, the law under which many publicly listed companies in the United States are incorporated. Please note that this summary is not intended to be exhaustive. For further information, please refer to the full version of our articles of association, which are included as an exhibit to the registration statement of which this prospectus is a part.
Introduction
Set forth below is a summary of certain information concerning our share capital as well as a description of certain provisions of our articles of association and relevant provisions of the Danish Companies Act. The summary includes certain references to and descriptions of material provisions of our articles of association to be effective in connection with the consummation of the offering and Danish law in force as of the date of this prospectus. The summary below contains only material information concerning our share capital and corporate status and does not purport to be complete and is qualified in its entirety by reference to our articles of association. Further, please note that as an ADS holder you will not be treated as one of our shareholders and will not have any shareholder rights.
General
We were incorporated under the laws of Denmark on August 11, 2008, as a private limited liability company (in Danish: Anpartsselskab, or ApS) and are registered with the Danish Business Authority (in Danish: Erhvervsstyrelsen) in Copenhagen, Denmark under registration number 31762863. On March 29, 2019, our company was converted into a public limited liability company (in Danish: Aktieselskab, or A/S). The ADSs were publicly listed for trading on The Nasdaq Capital Market under the symbol “EVAX” on February 5, 2021. Our principal executive offices are located at Dr. Neergaards Vej 5f, DK-2970 Hørsholm, Denmark and our telephone number is + 45 53 53 18 50.
Our website address is www.evaxion-biotech.com. The information on, or that can be accessed through, our website is not part of and is not incorporated by reference into this prospectus. We have included our website address as an inactive textual reference only.
Development of the Share Capital
As January 27, 2025, our registered, issued and outstanding ordinary shares amounted to 113,460,556. Following the reduction of the nominal share capital to DKK 0.25 per share approved at extra ordinary general meeting the share capital was reduced from DKK 78,640,556 to DKK 19,660,139. The development of our share capital since December 31, 2016 to January 27, 2025 is set forth in the table below. The below Price Per Share (DKK) is based on the registrations with the Danish Business Authority.
Date
Transaction
Share Capital
After
Transaction
Price Per
Share (DKK)
(Rounded)
August 2008
Formation (Nominal DKK 1) 250,000 1.00
March 2014
Cash contribution (Nominal DKK 1) 268,148 120.00
December 2014
Cash contribution (Nominal DKK 1) 316,751 178.22
December 2015
Cash contribution (Nominal DKK 1) 336,549 435.76
March 2016
Cash contribution (Nominal DKK 1) 342,880 432.12
September 2017
Cash contribution (Nominal DKK 1) 358,806 1,034.75
March 2019
Transfer of reserves (Nominal DKK 1) 717,612 1.00
July 2019
Cash contribution and debt conversion (Nominal DKK 2)
836,994 914.71(avg)
December 2019
Cash contribution (Nominal DKK 1) 843,564 1,037.50
September 2020
Cash contribution (Nominal DKK 1) 884,974 1,002.90
 
117

TABLE OF CONTENTS
 
Date
Transaction
Share Capital
After
Transaction
Price Per
Share (DKK)
(Rounded)
October 2020
Cash contribution (Nominal DKK 1) 899,926 1,008.45
January 2021
Share split 2-for-1 (Nominal DKK 1) 899,926
January 2021
Bonus share issuance 17-for-1(Nominal DKK 1) 16,198,668
February 2021
Initial public offering (3,000,000 ADSs / 3,000,000 new share issue)
19,198,668 61.99
November 2021
Follow-on public offering (3,942,856 ADSs / 3,942,856 new share issue)
23,141,524 45.00
November 2021
Cash contribution (Nominal DKK 1) 23,184,656 1.00
November 2021
Cash contribution (Nominal DKK 1) 23,203,808 1.00
April 2022
Cash contribution (Nominal DKK 1) 23,257,880 1.00
June 2022
Cash contribution (Nominal DKK 1) 23,350,193 1.00
June 2022
Cash Contribution (Nominal DKK 1) 23,387,858 1.00
June 2022
Conversion of Debt (Nominal DKK 1) 23,816,430 19.54
June 2022
Cash Contribution (Nominal DKK 1) 23,833,694 1.00
August 2022
Cash Contribution (Nominal DKK 1) 23,926,007 1.00
August 2022
Cash Contribution (Nominal DKK 1) 23,967,092 1.00
September 2022
Cash Contribution (Nominal DKK 1) 23,977,928 1.00
October 2022
Jones Sales Agreement (23,405 ADSs / 23,405 new share issue)
24,001,333 21.67
October 2022
Jones Sales Agreement (26,396 ADSs / 26,396 new share issue)
24,027,729 21.83
October 2022
Jones Sales Agreement (64,601 ADSs / 64,601 new share issue)
24,092,330 22.60
December 2022
Cash contribution (Nominal DKK 1) 24,134,963 1.00
December 2022
Jones Sales Agreement (4,450 ADSs / 4,450 new share issue)
24,139,413 15.62
January 2023
Jones Sales Agreement (186,584 ADSs / 186,584 new share issue)
24,325,997, 13.82
January 2023
Jones Sales Agreement (447,829 ADSs / 447,829 new share issue)
24,773,826, 13.40
January 2023
Jones Sales Agreement (94,278 ADSs / 94,278 new share issue)
24,868,104 12.59
January 2023
Jones Sales Agreement (259,407 ADSs / 259,407 new share issue)
25,127,511 12.24
January 2023
Jones Sales Agreement (79,657 ADSs / 79,657 new share issue)
25,207,168 11.47
January 2023
Jones Sales Agreement (71,678 ADSs / 61,678 new share issue)
25,278,846 11.19
February 2023
Jones Sales Agreement (96,271 ADSs / 96,271 new share issue)
25,375,117 12.42
February 2023
Jones Sales Agreement (1,003,802 ADSs / 1,003,802 new share issue)
26,378,919 13.86
February 2023
Jones Sales Agreement (42,808 ADSs / 42,808 new share issue)
26,421,727 11.79
 
118

TABLE OF CONTENTS
 
Date
Transaction
Share Capital
After
Transaction
Price Per
Share (DKK)
(Rounded)
March 2023
Jones Sales Agreement (16,280 ADSs 16,280 new share issue)
26,438,007 8.94
May 2023
Cash Contribution (Nominal DKK 1) 26,572,737 1.00
May 2023
Cash Contribution (Nominal DKK 1) 26,623,862 1.00
June 2023
Cash Contribution (Nominal DKK 1) 26,773,862 1.00
June 2023
Jones Sales Agreement (861,614 ADSs* / 861,614 new share issue
27,635,476 12.03
June 2023
Cash Contribution (Nominal DKK 1) 27,640,300 1.00
July 2023
Jones Sales Agreement (11,348 ADSs* / 11,348 new share issue)
27,651,648 8,43
September 2023
Cash Contribution (Nominal DKK 1) 27,662,484 1.00
September 2023
Jones Sales Agreement (54,099 ADSs* / 54,099 new share issue)
27,716,583 5.50
September 2023
Jones Sales Agreement (51,750 ADSs* / 51,750 new share issue)
27,768,333 5.33
September 2023
Jones Sales Agreement (45,807 ADSs* / 45,807 new share issue)
27,814,140 5.29
October 2023
Jones Sales Agreement (54,829 ADSs* / 54,829 new share issue)
27,868,969 6.04
November 2023
Jones Sales Agreement (50,281 ADSs* / 50,281 new share issue)
27,919,250 7.92
November 2023
Jones Sales Agreement (19,387 ADSs* / 19,387 new share issue)
27,938,637 4.95
November 2023
Jones Sales Agreement (77,119 ADSs* / 77,119 new share issue)
27,015,756 5,08
November 2023
Jones Sales Agreement (43,950 ADSs* / 43,950 new share issue)
28,059,706 5.19
November 2023
Jones Sales Agreement (21,136 ADSs* / 21,136 new share issue)
28,080,842 5.40
November 2023
Jones Sales Agreement (24,316 ADSs* / 24,316 new share issue)
28,105,158 5.61
December 2023
Jones Sales Agreement (65,724 ADSs* / 65,724 new share issue)
28,170,882 5.63
December 2023
Capital Increase (PIPE) (9,726,898 ADSs* / 9,726,898 new share issue)
37,897,780 3.71
January 2024
Cash Contribution (Nominal DKK1) 37,906,996 1.00
January 2024
Jones Sales Agreement (263,355 ADSs** / 2,633,550 new share issue)
40,540,546 6.73
February 2024
Public offering (445,000 ADSs** / 4,450,000 new share issue)
44,990,546 2.76
February 2024
Public offering (312,500 ADSs** / 3,125,000 new share issue)
48,115,546 2.74
February 2024
Cash contribution (Nominal DKK 1) 50,090,546 1.00
February 2024
Cash contribution (Nominal DKK 1) 52,150,546 1.00
April 2024
Cash contribution (Nominal DKK 1) 54,110,546 1.00
 
119

TABLE OF CONTENTS
 
Date
Transaction
Share Capital
After
Transaction
Price Per
Share (DKK)
(Rounded)
July 2024
Prefunded Warrant Exercise 55,750,546 1.00
August 2024
Jones Sales Agreement (1,000 ADSs** / 10,000 new share issue)
55,760,546 1.75
September 2024
Jones Sales Agreement (1,000 ADSs** / 10,000 new share issue)
55,770,546 1.67
September 2024
Jones Sales Agreement (1,000 ADSs** / 10,000 new share issue)
55,780,546 2.13
September 2024
Prefunded Warrant Exercise 56,850,546 1.00
September 2024
Jones Sales Agreement (31,618 ADSs** / 316,180 new share issue)
57,166,726 2.08
September 2024
Jones Sales Agreement (25,383 ADSs** / 253,830 new share issue)
57,420,556 2.08
October 2024
Prefunded Warrant Exercise 58,660,556 1.00
December 2024
Prefunded Warrant Exercise 70,130,556 1.00
January 2025
Prefunded Warrant Exercise 78,640,556 1.00
January 2025
Reduction of share capital from DKK1 to DKK 0.25 per share
19,660,139
January 2025
Jones Sales Agreement (696,400 ADSs / 34,820,000 new share issue)
28,365,139 1.02
*
Does not take into account the 2024 ADS Ratio Change.
**
Does not take into account the 2025 ADS Ratio Change.
Authorizations to the Board of Directors
As of January 27, 2025, our board of directors is authorized to increase the share capital as follows:

The board of directors is until November 23, 2025, authorized, on or more occasions, to issue warrants to the company’s investors entitling the holder to subscribe shares for a total of up to nominal value of DKK 706,873 without pre-emptive rights for the company’s shareholders. The exercise price for the warrants shall be equal to the nominal value of the company’s shares. The board of directors shall determine the terms for the warrants issued and distribution hereof.

The board of directors is until January 3, 2026, authorized at one or more times to increase the company’s share capital by the issuance of new shares with up to nominal DKK 11,000,000 with pre-emptive subscription rights for the company’s shareholders. Capital increases according to this authorization shall be carried out by the board of directors by way of cash contributions. The shares may be issued at market price or at a discount price as determined by the board of directors.

The board of directors is until January 3, 2026, authorized at one or more times to obtain loans against issuance of convertible loan notes which give the right to subscribe for shares for a total of up to nominal value of DKK 14,700,000 without pre-emptive subscription rights for the company’s shareholders. The conversion shall be carried out at a price that corresponds in aggregate to at least the market price at the time of the decision of the board of directors. Shares shall be considered issued at market price if the shares are issued at +/-10 of the listed price for the company’s shares on a relevant stock exchange in Europe or the USA.

The board of directors is until April 15, 2029, authorized at one or more times to issue warrants to members of our board of directors and executive management, as well as to key employees, and to increase our share capital by up to nominal DKK 9,461,540 without preemptive subscription rights for existing shareholders in connection with the exercise, if any, of said warrants and to determine the terms and conditions thereof.
 
120

TABLE OF CONTENTS
 

The board of directors is until 15 April 2029 authorized at one or more times to issue warrants to investors, lenders, consultants and/or advisors in the company or its subsidiaries entitling the holder to subscribe for shares for a total of up to nominal value of DKK 84,905,000 without pre-emptive subscription rights for the company’s shareholders. The exercise price for the warrants issued shall at the time of issuance be determined by the board of directors at market price or at a discount price. The board of directors shall determine the terms for the warrants issued and the distribution hereof.

The board of directors is until May 1, 2027, authorized at one or more times to increase the company’s share capital by up to nominal DKK 67,984,990 without pre-emptive subscription rights for the company’s shareholders. Capital increases according to this authorization must be carried out by the board of directors by way of cash contributions. The shares may be issued at market price or at a discount to the listed price of the ADSs as determined by the board of directors. The board of directors is authorized to make the required amendments to the articles of association if the authorization to increase the share capital is used and to cause such shares to be deposited with a depositary bank and the simultaneous issuance of ADSs representing such shares.
The ADSs
Trades in ADSs are settled through The Depository Trust Company, or DTC, in accordance with its customary settlement procedures for equity securities. Each person owning ADSs held through DTC must rely on the procedures thereof and on institutions that have accounts therewith to exercise any rights of a holder of the ADSs. The ADSs are listed for trading on The Nasdaq Capital Market under the symbol “EVAX.”
Our Warrants
We have established warrant programs for members of our board of directors, our executive management, other employees, consultants and advisors. Under the terms of our warrant plans, warrants are issued to our directors, executive management and employees, on a discretionary basis following consultation with and recommendation from our Compensation Committee. All warrants have been issued by the general meeting or by our board of directors pursuant to valid authorizations in our articles of association and the terms and conditions have, in accordance with the Danish Companies Act, been incorporated in our articles of association.
The description below merely contains a summary of the applicable terms and conditions and does not purport to be complete. As of January, 2025, we have issued and outstanding 3,044,794 warrants (excluding (1) the 373,127 warrants issued to the European Investment Bank, or EIB, as described below and in the section herein entitled “EIB Warrants” and (2) 50,000 warrants issued to an consultant related to the Company on September 19, 2023, (3) 9,726,898 warrants to investors as part of a direct offering in December 2023 described below in the section entitled “Investor warrants, December 21, 2023”, and (4) 39,375,000 ordinary warrants to investors and placement agent as part of a public offering in February 2024 described below in the section entitled “Public Offering Investor warrants, February, 2024”, (5) 50,000 warrants issued to an consultant related to the Company on May 7, 2024, and (6) 1,500,000 warrants issued to consultants related to the Company on August 20, 2024). All prefunded warrants have been exercised. Each such warrant confers upon the holder thereof the right to subscribe to nominal DKK 1 share. Our warrants have previously been granted, on the dates, and with exercise prices as set forth below:
Grant Date
Vesting Period
Expiration
Date
Exercise
Price
Number of
warrants
December 19, 2016
Upon IPO Event
December 31, 2036
DKK 1.0
758,448
December 10, 2017
Upon IPO Event
December 31, 2036
DKK 1.0
632,700
December 19, 2017
Upon IPO Event
December 31, 2036
DKK 1.0
141,804
December 17, 2020
See vesting principles below
December 31, 2031
DKK 1.0
757,620
June 2021
See vesting principles below
December 31, 2031
DKK 1.0
62,147
December 7, 2021
See vesting principles below
December 31, 2031
USD 5.38
523,599
March 11 2022
See vesting principles below
December 31, 2031
USD 2.96
35,000
 
121

TABLE OF CONTENTS
 
Grant Date
Vesting Period
Expiration
Date
Exercise
Price
Number of
warrants
June 14, 2022
See vesting principles below
December 31, 2031
USD 1.83
65,000
September 2022
See vesting principles below
December 31, 2031
USD 2.42
11.000
December 2022
See vesting principles below
December 31, 2031
USD 2.23
380,612
March 2023
See vesting principles below
December 31, 2031
USD 1.90
10,000
September 2023
See vesting principles below
December 31, 2031
USD 1.02
100,000
December 2023
See vesting principles below
December 31, 2031
USD 0.75
216,074
December 2023
See vesting principles below
December 31, 2031
USD 0.75
90,000
May 2024
See vesting principles below
December 31, 2031
USD 0.40
438,460
May 2024
See vesting principles below
December 31, 2031
USD 0.40
100,000
Exercised
(811,196)
Lapsed or annulled without exercise
(466,474)
Total issued and outstanding
as of January 27, 2025
3,044,794
On December 17, 2020, we issued 757,620 warrants related to 2018 – 2020.
Vesting Principles Generally
Warrants granted for the years 2016 – 2018 vested upon the closing of our initial public offering. Warrants granted for the years 2019 and 2020 generally vest at a rate of 1/36th per month. Vested warrants may be exercised in four annual exercise windows of two weeks each that each commence two trading days following publication of our annual report, the six-month report and the interim quarterly reports. However, our board of directors determined that the first such exercise window began November 2021.
For the 331,632 warrants granted in 2019 (issued in 2020), 117,612 warrants were fully vested on the date of grant and 214,020 warrants vest with 1/36th per month from date of grant. For the 236,196 warrants granted and issued in 2020, 120,888 warrants were fully vested on the date of issuance, 6,084 vest with 1/36th per month starting on January 1, 2020, 19,008 warrants vest three years from the date of joining us, 90,216 warrants vest with 1/36th per month starting on January 1, 2021.
62,147 warrants granted on June 17, 2021 and on October 21, 2021 formally issued shall vest with 1/36th per month and vesting shall be calculated from April 1, 2021. For warrants granted on December 7, 2021, 500,683 warrants vest with 1/36th per month from January 1, 2022 and 22,916 warrants shall be deemed fully vested at the time of issuance.
35,000 warrants granted on March 11, 2022, vest with 1/36th per month from April 1, 2022. 65,000 warrants were granted on June 14, 2022. 10,000 warrants vest with 1/36th per month from February 1, 2022, 10,000 warrants vest with 1/36th per month from April 1, 2022, and 45,000 warrants vest with 1/36th per month from June 1, 2022.
11,000 warrants were granted on September 15, 2022. 5,000 warrants vest with 1/36th per month from August 1, 2022 and 6,000 warrants vest with 1/36th per month from August 8, 2022.
For 380,612 warrants granted on December 12, 2022, 2,500 warrants were fully vested per December 7, 2022, 50,000 warrants vest with 1/36th per month from December 7, 2022, 299,362 warrants vest with 1/36th per month from January 1, 2023 and 28,750 warrants vest with 1/12 per month from January 1, 2023.
10,000 warrants were granted on March 15, 2023. The warrants vest with 1/36th per month from January 1, 2023.
100,000 warrants were granted on September 1, 2023. The warrants vest with 1/36th per month from September 1, 2023.
 
122

TABLE OF CONTENTS
 
90,000 warrants granted on December 11, 2023. The warrants vest with 1/12th per month from January 1, 2024.
216,074 warrants granted on December 11, 2023. The warrants vest with 1/36th per month from January 1, 2024.
438,460 warrants granted on May 1, 2024. The warrants vest with 1/36th per month from May 1, 2024. 100,000 warrants granted on May 1, 2024. The warrants vest with 1/12th per month from May 1, 2024.
There are certain restrictions on exercise in the event that warrant holders terminate their employment or are dismissed for prior to exercise.
Adjustments
Warrant holders are entitled to an adjustment of the number of warrants issued and/or the exercise price applicable in the event of certain changes to our share capital at a price other than the market price. Events giving rise to an adjustment include, among other things, increases or decreases to our share capital at a price below or above market value, respectively, and issuance of bonus shares. For the purpose of implementing the capital increases necessary in connection with the exercise of warrants, our board of directors has been authorized to increase our share capital by one or more issuances of shares with a total nominal value corresponding to the number of warrants issued upon cash payment of the exercise price without any preemptive subscription rights to existing shareholders.
Public offering Investor warrants February, 2024
In February 2024, we completed a public offering through which we offered 151,500 ADSs representing an aggregated 7,575,000 ordinary shares, DKK 0.25 nominal value per share, together with warrants to purchase up to 151,500 ADSs representing 7,575,000 ordinary shares. The public offering price for each ADS and accompanying warrant was $20.00. The warrants have an exercise price per ADS of $20.00 (amended to 137.60 DKK as of May 23, 2024) and are immediately exercisable for a term of five years from the date of issuance. Additionally, as part of the public offering, the Company offered prefunded warrants to purchase up to 598,500 ADSs representing 29,925,000 ordinary shares, together with ordinary warrants to purchase up to 598,500 ADSs representing 29,925,000 ordinary shares. The public offering price for each ADS and accompanying prefunded warrant was $20.00. The prefunded warrants have an exercise price per ADS of $1.4537 and have all been exercised. Ordinary warrants have an exercise price of $20.00 and are immediately exercisable for a term of five years from the date of issuance. Additionally, the Company issued placement agent warrants for consultants to purchase up to 37,500 ADSs representing 1,875,000 ordinary shares. The placement agent warrants have an exercise price per ADS of $27 and are immediately exercisable for a term of five years from the date of issuance.
The above numbers have been adjusted to reflect the 2025 ADS Ratio Change and the share split resolved at the extraordinary general meeting on 17 January 2025.
Investor warrants December 21, 2023
In connection with Private Placement, on December 21, 2023 we issued 9,726,898 warrants to purchase 9,726,898 ordinary shares to a group of investors. The warrants vested immediately upon issue with an exercise price of $0.707 (amended to 4.799 DKK as of June 12, 2024) and an expiration date on December 21, 2026.
Warrants issued to a consultant related to the Company on September 19, 2023
On September 19, 2023 the Company issued 150,000 warrants to a consultant related to the Company of which 100,000 warants have lapsed. The warrants vest with 14th per quarter with an exercise price of $1.50. Vested warrants may be exercised until and including September 19, 2026.
Warrants issued to a consultant related to the Company on May 7, 2024
On May 7, 2024 the Company issued 50,000 warrants to a consultant related to the Company. The warrants vested immediately upon issue with an exercise price of $0.391. The warrants may be exercised in a period of 12 months from the date of issuance.
 
123

TABLE OF CONTENTS
 
Warrants issued to consultants related to the Company on August 20, 2024
On August 20, 2024, the Company issued 1,450,000 warrants to consultants related to the Company. 50,000 warrants were deemed to be granted on August 5, 2024 and vested immediately upon granting with an exercise price of $0.25 per share of nominal 1. The warrants may be exercised in a period of 12 months from the date of issuance. 1,400,000 warrants were deemed to be granted on August 1, 2024 and vest with 1/6 per month and may be exercised for a period of 1 month after the expiration of the 6 months’ vesting period with an exercise price of DKK 1 per share of nominal 1.
EIB Warrants
In connection with the EIB Loan Agreement, we agreed to issue the EIB Warrants to EIB in the event we make draws on the EIB Loan. Under the terms of the EIB Warrant Agreement, we are obligated to issue up to an aggregate of 1,047,744 EIB Warrants in three separate tranches with each tranche of EIB Warrants to be issued upon a drawdown of a tranche of the EIB Loan in accordance with the following schedule: (i) 351,036 EIB Warrants upon a drawdown of the first tranche of the EIB Loan in the amount of €7.0 million; (ii) 345,672 EIB Warrants upon a drawdown of the second tranche of the EIB Loan in the amount of €6.0 million, upon shareholders’ approval and (iii) 351,036 EIB Warrants upon a drawdown of the third and final tranche of the EIB Loan in the amount of €7.0 million, upon shareholders’ approval. In November 2020, we initiated the process of making a draw down on the first tranche of the EIB Loan in the amount of €7.0 million and, in connection therewith, on December 17, 2020 and through the date of the annual report, our board of directors approved the issuance of 351,036 EIB Warrants to EIB.
Under the terms of the EIB Warrant Agreement, each EIB Warrant entitles EIB to subscribe for one ordinary share, nominal DKK 1, at an exercise price of DKK 1 per ordinary share. In addition, EIB has the right to cause us to net settle the exercise of the EIB Warrants in cash based on the value of our ordinary shares on the date of exercise thereof. Finally, upon the occurrence of certain events, including the completion of our initial public offering, the prepayment of the EIB Loan, the sale of all or substantially all of our issued share capital or assets, a change in control transaction, or Messrs. Mattsson and Moller cease to own and control directly or indirectly 25% or more of the voting rights or economic interest of our company, EIB has the right, but not the obligation, to cause us to purchase any EIB Warrant, or the Put Right. If EIB exercise its Put Right, we are required to pay EIB an amount equal to the volume weighted average price per ordinary share, or VWAP, for a period of six months following the exercise of such Put Right. In the first six months following the completion of our initial public offering, the VWAP price to be paid by us is calculated for the entire period from the completion of our initial public offering until the exercise of the Put Right.
Under Article 18, Paragraph 2 of the Statute of the European Investment Bank, or the EIB Statute, establishing EIB, a direct equity investment by EIB requires a separate authorization from the EIB Board of Governors pursuant to which the EIB Board of Directors, acting by qualified majority, has to establish the terms and conditions of such direct equity investment. As of the date of this prospectus, the EIB Board of Governors has not granted any such special authorization to the EIB Board of Directors. Under the EIB Statute, in the absence of a separate authorization from the EIB Board of Governors, commercial shareholdings financed from EIB’s own resources are not allowed. Since the EIB Loan is being made from EIB’s own resources, the EIB Statute does not allow EIB to acquire any of our ordinary shares, therefore, we fully expect that if and when EIB exercises the EIB Warrants it will do so on either a net cash settlement basis or by means of exercising its Put Right. In either case, we may not have sufficient funds on hand to pay such amounts in which case we may be required to use a portion of the proceeds from our initial public offering and this offering in order to meet our obligations to pay the amounts due and payable to EIB upon the exercise of the EIB Warrants.
Under the terms of the EIB Warrant Agreement, EIB may not exercise the EIB Warrants and cause us to settle the exercise of the EIB Warrants on a net cash basis or pursuant to its Put Right, for a period of 180 days from the date of the completion of our initial public offering, provided that such lock-up arrangement shall cease to be effective in the event there is a material adverse event relating to our company as determined in accordance with ordinary principles of Danish law.
 
124

TABLE OF CONTENTS
 
The number of our ordinary shares that may be subject to either net cash settlement or EIB’s Put Right upon the exercise of the EIB Warrants are subject to adjustment in the event of changes to our capital structure which are not carried out at the then current market price, provided that there shall be no such adjustment as a result of the issuance of additional shares or warrants to employees as well as for any future exercise of such warrants. In addition, the EIB Warrants are not subject to any adjustment in the event of any capital increases in directed issuances or our ordinary shares following the completion of our initial public offering with customary discounts of up to 10% of the market price.
Pursuant to a board resolution dated October 3, 2024 the number of shares issuable upon exercise of warrants previously granted to EIB was adjusted from 351,036 to 373,127.
Shareholders’ Register
We are obligated to maintain an owners’ register (DK: ejerbog). The owners’ register is maintained by Computershare A/S (company registration number (CVR) no. 27088899), Lottenborgvej 26 D, 1., DK-2800 Kgs. Lyngby, Denmark, our Danish share registrar and transfer agent. It is mandatory that the owners’ register is maintained within the European Union and that it is available to public authorities.
Pursuant to the Danish Companies Act public and private limited liability companies are required to register with the Danish Business Authority information regarding shareholders who own at least 5% of the share capital or the voting rights. Pursuant to the Danish Companies Act, we will file registrations with the Public Owners’ Register of the Danish Business Authority. Shareholders that exceed or fall below the ownership threshold must notify us and we will subsequently file the information with the Danish Business Authority. Reporting is further required upon passing or falling below thresholds of 5, 10, 15, 20, 25, 50, 90, and 100% or 1/3 or 2/3.
Articles of Association and Danish Corporate Law
Objects Clause
Our corporate object, as set out in article 1.2 of our articles of association, is to create advanced software that enables the development of novel immune therapies and vaccines.
Summary of Provisions Regarding the Board of Directors
Pursuant to our articles of association, our board of directors shall be elected by our shareholders at the general meeting and shall be composed of not less than three and no more than seven members. With respect to the duration of the term which our directors severally hold office, the board of directors is elected to serve for a term of one year subject to re-election at the next annual general meeting of shareholders or until their successors have been duly elected and qualified, subject to their earlier removal, retirement or death.
Currently, the board of directors consists of four members who are elected by the shareholders.
The board of directors shall appoint and employ an executive management consisting of one to seven members to attend to our day-to-day management, and the board of directors shall determine the terms and conditions of their employment.
Voting Rights
Each shareholder is entitled to one vote for each share owned at the time of any general meeting. As compared with Danish citizens, there are no limitations under the articles of association or under Danish law on the rights of foreigners or non-Danish citizens to hold or vote our ordinary shares.
Dividend Rights
Our shareholders may at general meetings authorize the distribution of ordinary and extraordinary dividends. Our shareholders may not distribute dividends in excess of the recommendation from our board of directors and may only pay out dividends from our distributable reserves, which are defined as results from
 
125

TABLE OF CONTENTS
 
operations carried forward and reserves that are not bound by law or our company’s articles of association after deduction of loss carried forward.
Our shareholders are eligible to receive any dividends declared and paid out. However, we have not to date declared or paid any dividends and we currently intend to retain all available financial resources and any earnings generated by our operations for use in the business and we do not anticipate paying any dividends in the foreseeable future. The payment of any dividends in the future will depend on a number of factors, including our future earnings, capital requirements, financial condition and future prospects, applicable restrictions on the payment of dividends under Danish law and other factors that our board of directors may consider relevant.
See “Certain Material Tax Considerations” for a summary of certain tax consequences in respect of dividends or distributions to holders of our ordinary shares or ADSs.
Pre-emptive Subscription Rights
Under Danish law, all shareholders have pre-emptive subscription rights in connection with capital increases that are carried out as cash contributions. An increase in share capital can be resolved by the shareholders at a general meeting or by the board of directors pursuant to an authorization given by the shareholders. In connection with an increase of a company’s share capital, the shareholders may, by resolution at a general meeting, approve deviations from the general Danish pre-emptive rights of the shareholders. Under the Danish Companies Act, such resolution must be adopted by the affirmative vote of shareholders holding at least a two-thirds majority of the votes cast and the share capital represented at the general meeting, and requires that such capital increases will be carried out as a cash contribution at market price.
The board of directors may resolve to increase our share capital without pre-emptive subscription rights for existing shareholders pursuant to the authorizations set forth above under the caption “Authorizations to the Board of Directors”.
Unless future issuances of new shares and/or pre-emptive rights are registered under the Securities Act or with any authority outside Denmark, United States shareholders and shareholders in jurisdictions outside Denmark may be unable to exercise their pre-emptive subscription rights.
Rights on Liquidation
Upon a liquidation or winding-up of the Company, shareholders will be entitled to participate, in proportion to their respective shareholdings, in any surplus assets remaining after payment of our creditors.
Limitations on Holding of Shares
There are no limitations on the right to hold shares under the articles of association or Danish law.
Disclosure Requirements
Pursuant to Section 55 of the Danish Companies Act, a shareholder is required to notify us when such shareholder’s stake represents 5% or more of the voting rights in our company or the nominal value accounts for 5% or more of the share capital, and when a change of a holding already notified entails that the limits of 5, 10, 15, 20, 25, 50, 90 or 100% and the limits of one-third and two-thirds of the share capital’s voting rights or nominal value are reached or are no longer reached. The notification shall be given within two weeks following the date when the limits are reached or are no longer reached.
The notification shall provide information on the date of the acquisition or disposal of the shares, the full name, civil registration (CPR) number, and address of the shareholder or, in the case of an enterprise, registered office and business registration (CVR) number, the number of shares and their nominal value and share classes (if applicable) as well as information about the basis on which the calculation of the holdings has been made. In the event that the shareholder is a non-resident company or citizen of Denmark, the notification shall include documentation, which clearly identifies the owner. The company shall cause the notification to be entered in the owners’ register.
 
126

TABLE OF CONTENTS
 
Pursuant to The Danish Companies Act, section 58a, we are obligated to collect and store for a period of at least five years certain information regarding the beneficial owners of shares in the Company. A beneficial owner is a physical person who ultimately holds or controls, directly or indirectly, a sufficient part of the ownership interests or voting rights or exercises control by other means, except for owners of companies whose ownership interests are traded on a regulated market or a similar market which is subject to a duty of disclosure in accordance with EU law or similar international standards.
The legal status of the notification obligations is not fully clarified in relation to ADS holders and an ADS holder may be subject to such obligations.
General Meetings
The general meeting of shareholders is the highest authority in all matters, subject to the limitations provided by Danish law and the articles of association. The annual general meeting shall be held at our home address or in the Greater Copenhagen area not later than the end of May in each year.
At the annual general meeting, the audited annual report is submitted for approval, together with the proposed appropriations of profit/treatment of loss, the election of the board of directors and election of our auditors. In addition, the board of directors reports on our activities during the past year.
General meetings are convened by the board of directors with a minimum of two weeks’ notice and a maximum of four weeks’ notice. A convening notice will also be forwarded to shareholders recorded in our owners’ register, who have requested such notification and by publication in the Danish Business Authority’s computerized information system and on the company’s website.
At the latest, two weeks before a general meeting (inclusive of the day of the general meeting), we shall make the following information and documents available at our website.

the convening notice,

the documents that shall be presented at the general meeting, and

the agenda and the complete proposals.
Shareholders are entitled to attend general meetings, either in person or by proxy and they or their proxy may be accompanied by one advisor. A shareholder’s right to attend general meetings and to vote at general meetings is determined on the basis of the shares that the shareholder holds on the registration date. The registration date shall be one week before the general meeting is held. The shares which the individual shareholder holds are calculated on the registration date on the basis of the registration of ownership in the owners’ register as well as notifications concerning ownership which the Company has received with a view to update the ownership in the owners’ register. In addition, any shareholder who is entitled to attend a general meeting and who wishes to attend must have requested an admission card from us no later than three days in advance of the general meeting.
Any shareholder is entitled to submit proposals to be discussed at the general meetings. However, proposals by the shareholders to be considered at the annual general meeting must be submitted in writing to the board of directors not later than six weeks prior the general meeting.
Extraordinary general meetings must be held upon resolution of a general meeting to hold such a meeting or upon request of, the board of directors, our auditors or shareholders representing at least 1/20 of the registered share capital or such lower percentage as our articles of association may provide. Our articles of association do not state such lower percentage.
Holders of ADSs are not entitled to directly receive notices or other materials and may not attend or vote at general meetings.
Resolutions in General Meetings
Resolutions made by the general meeting generally may be adopted by a simple majority of the votes cast, subject only to the mandatory provisions of the Danish Companies Act and our articles of association. Resolutions concerning all amendments to the articles of association must be passed by two-thirds of the
 
127

TABLE OF CONTENTS
 
votes cast as well as two-thirds of the share capital represented at the general meeting. Certain resolutions, which limit a shareholder’s ownership or voting rights, are subject to approval by a nine-tenth majority of the votes cast and the share capital represented at the general meeting. Decisions to impose or increase any obligations of the shareholders towards the company require unanimity.
Quorum Requirements
There are no quorum requirements generally applicable to general meetings of shareholders. To this extent, our practice varies from the requirement of Nasdaq Listing Rule 5620(c), which requires an issuer to provide in its bylaws for a generally applicable quorum, and that such quorum may not be less than one-third of the outstanding voting shares.
Squeeze out
According to Section 73 of the Danish Companies Act, a minority shareholder may require a majority shareholder that holds more than 90% of the company’s registered share capital and the corresponding voting rights to redeem his or her shares. Similarly, a majority shareholder holding more than 90% of the company’s share capital and the corresponding voting rights may, according to Section 70 of the same act, redeem the minority shareholder’s shares. In the event that the parties cannot agree to the terms of redemption and the valuation basis of the redemption price, this shall be determined by an independent evaluator appointed by the court for the district in which the registered office of the company is situated.
Comparison of Danish Corporate Law and our Articles of Association and Delaware Corporate Law
The following comparison between Danish corporate law, which applies to us, and Delaware corporate law, the law under which many publicly listed companies in the United States are incorporated, discusses additional matters not otherwise described in this prospectus. This summary is subject to Danish law, including the Danish Companies Act, and Delaware corporation law, including the Delaware General Corporation Law. Further, please note that as an ADS holder you will not be treated as one of our shareholders and will not have any shareholder rights.
Duties of Directors
Denmark.   Public limited liability companies in Denmark are usually subject to a two-tier governance structure with the board of directors having the ultimate responsibility for the overall supervision and strategic management of the company in question and with an executive board/management being responsible for the day-to-day operations. Each Director and member of the executive board/management is under a fiduciary duty to act in the interest of the company but shall also take into account the interests of the creditors and the shareholders. Under Danish law, the members of the board of directors and executive management of a limited liability company are liable for losses caused by negligence whether shareholders, creditors or the company itself suffers such losses. They may also be liable for wrongful information given in the annual financial statements or any other public announcements from the company. An investor suing for damages is required to prove its claim with regard to the incurred loss, negligence and causation. Danish courts, when assessing negligence, have been reluctant to impose liability unless the directors and officers neglected clear and specific duties. This is also the case when it comes to liability with regard to public offerings or liability with regard to any other public information issued by the company.
Delaware.   The board of directors bears the ultimate responsibility for managing the business and affairs of a corporation. In discharging this function, directors of a Delaware corporation owe fiduciary duties of care and loyalty to the corporation and to its stockholders. Delaware courts have decided that the directors of a Delaware corporation are required to exercise informed business judgment in the performance of their duties. Informed business judgment means that the directors have informed themselves of all material information reasonably available to them. Delaware courts have also imposed a heightened standard of conduct upon directors of a Delaware corporation who take any action designed to defeat a threatened change in control of the corporation. In addition, under Delaware law, when the board of directors of a Delaware corporation approves the sale or break-up of a corporation, the board of directors may, in certain circumstances, have a duty to obtain the highest value reasonably available to the shareholders.
 
128

TABLE OF CONTENTS
 
Terms of the Members of our Board of Directors
Denmark.   Under Danish law, the members of the board of directors of a limited liability company are generally appointed for an individual term of one year (terms may have a maximum period of four years). There is no limit in the number of consecutive terms the directors may serve. Pursuant to our articles of association, our directors are appointed by the general meeting of shareholders for a term of one year. Election of directors is, according to our articles of association, an item that shall be included on the agenda for the annual general meeting.
Pursuant to the Danish Companies Act, in a limited liability company that employed an average of at least 35 employees in the preceding three years, the employees are entitled to elect a minimum of two representatives and alternate members to the company’s board of directors and up to one half the number of the shareholder elected directors. If the number of representatives to be elected by the employees is not a whole number, such number must be rounded up. However, as of January 27, 2025, our company had 44 full time employees. As of the date of this prospectus, our employees have not demanded representation on our board of directors.
Delaware.   The Delaware General Corporation Law generally provides for a one-year term for directors, but permits directorships to be divided into up to three classes, of relatively equal size, with up to three-year terms, with the years for each class expiring in different years, if permitted by the certificate of incorporation, an initial bylaw or a bylaw adopted by the stockholders. A director elected to serve a term on a “classified” board may not be removed by stockholders without cause. There is no limit in the number of terms a director may serve.
Director Vacancies
Denmark.   Under Danish law, new directors are elected by the shareholders in a general meeting also in the event of vacancies. A general meeting will thus have to be convened in order to fill a vacancy on the board of directors. However, the board of directors may choose to wait to fill vacancies until the next annual general meeting of the company, provided that the number of remaining directors is more than two, and provided that the remaining directors can still constitute a quorum. It is only a statutory requirement to convene a general meeting to fill vacancies if the number of remaining members on the board is less than three.
Delaware.   The Delaware General Corporation Law provides that vacancies and newly created directorships may be filled by a majority of the directors then in office (even though less than a quorum) unless (1) otherwise provided in the certificate of incorporation or bylaws of the corporation or (2) the certificate of incorporation directs that a particular class of stock is to elect such director, in which case any other directors elected by such class, or a sole remaining director elected by such class, will fill such vacancy.
Conflict-of-interest Transactions
Denmark.   Under Danish law, directors may not take part in any matter or decision-making that involves a subject or transaction in relation to which the director has a conflict of interest with us.
Delaware.   The Delaware General Corporation Law generally permits transactions involving a Delaware corporation and an interested director of that corporation if:

the material facts as to the director’s relationship or interest are disclosed and a majority of disinterested directors consent;

the material facts are disclosed as to the director’s relationship or interest and a majority of shares entitled to vote thereon consent; or

the transaction is fair to the corporation at the time it is authorized by the board of directors, a committee of the board of directors or the stockholders.
Proxy Voting by Directors
Denmark.   In the event that a director in a Danish limited liability company is unable to participate in a board meeting, the elected alternate, if any, shall be given access to participate in the board meeting. Unless
 
129

TABLE OF CONTENTS
 
the board of directors has decided otherwise, or as otherwise is set out in the articles of association, the director in question may in special cases grant a power of attorney to another director, provided that this is considered safe considering the agenda in question.
Delaware.   A director of a Delaware corporation may not issue a proxy representing the director’s voting rights as a director.
Stockholder Rights
Notice of Meeting
Denmark.   According to the Danish Companies Act, general meetings in limited liability companies shall be convened by the board of directors with a minimum of two weeks’ notice and a maximum of four weeks’ notice as set forth in the articles of association. A convening notice shall also be forwarded to shareholders recorded in our owners’ register, who have requested such notification. There are specific requirements as to the information and documentation required to be disclosed in connection with the convening notice. Delaware. Under Delaware law, unless otherwise provided in the certificate of incorporation or bylaws, written notice of any meeting of the stockholders must be given to each stockholder entitled to vote at the meeting not less than ten nor more than 60 days before the date of the meeting and shall specify the place, date, hour, and purpose or purposes of the meeting.
Voting Rights
Denmark.   Each ordinary share confers the right to cast one vote at the general meeting of shareholders, unless the articles of association provide otherwise. Each holder of ordinary shares may cast as many votes as it holds shares. Shares that are held by us or our subsidiaries do not confer the right to vote.
Delaware.   Under the Delaware General Corporation Law, each stockholder is entitled to one vote per share of stock, unless the certificate of incorporation provides otherwise. In addition, the certificate of incorporation may provide for cumulative voting at all elections of directors of the corporation, or at elections held under specified circumstances. Either the certificate of incorporation or the bylaws may specify the number of shares and/or the amount of other securities that must be represented at a meeting in order to constitute a quorum, but in no event can a quorum consist of less than one third of the shares entitled to vote at a meeting.
Stockholders as of the record date for the meeting are entitled to vote at the meeting, and the board of directors may fix a record date that is no more than 60 nor less than ten days before the date of the meeting, and if no record date is set then the record date is the close of business on the day next preceding the day on which notice is given, or if notice is waived then the record date is the close of business on the day next preceding the day on which the meeting is held. The determination of the stockholders of record entitled to notice or to vote at a meeting of stockholders shall apply to any adjournment of the meeting, but the board of directors may fix a new record date for the adjourned meeting.
Shareholder Proposals
Denmark.   According to the Danish Companies Act, extraordinary general meetings of shareholders will be held whenever our board of directors or our appointed auditor requires. In addition, one or more shareholders representing at least 1/20th of the registered share capital of the company may, in writing, require that a general meeting be convened. If such a demand is forwarded, the board of directors shall convene the general meeting within two weeks thereafter.
All shareholders have the right to present proposals for adoption at the annual general meeting, provided that the proposals are made in writing and forwarded at the latest six weeks prior thereto. In the event that the proposal is received at a later date, the board of directors will decide whether the proposal has been forwarded in due time to be included on the agenda. Any business not included on the agenda may be transacted by the general meeting only if all shareholders’ consent.
Delaware.   Delaware law does not specifically grant stockholders the right to bring business before an annual or special meeting of stockholders. However, if a Delaware corporation is subject to the SEC’s proxy
 
130

TABLE OF CONTENTS
 
rules, a stockholder who owns at least $2,000 in market value, or 1% of the corporation’s securities entitled to vote, may propose a matter for a vote at an annual or special meeting in accordance with those rules.
Action by Written Consent
Denmark.   Under Danish law, it is permissible for shareholders to take action and pass resolutions by written consent in the event of unanimity; however, this will normally not be the case in listed companies and for a listed company, this method of adopting resolutions is generally not feasible.
Delaware.   Although permitted by Delaware law, publicly listed companies do not typically permit stockholders of a corporation to take action by written consent.
Appraisal Rights
Denmark.   The concept of appraisal rights does not exist under Danish law, except in connection with statutory redemptions rights according to the Danish Companies Act. According to Section 73 of the Danish Companies Act, a minority shareholder may require a majority shareholder that holds more than 90% of the company’s registered share capital to redeem his or her shares. Similarly, a majority shareholder holding more than 90% of the company’s share capital may, according to Section 70 of the same act, squeeze out the minority shareholders. In the event that the parties cannot agree to the redemption squeeze out price, this shall be determined by an independent evaluator appointed by the court. Additionally, there are specific regulations in Sections 249, 267, 285 and 305 of the Danish Companies Act that require compensation in the event of national or cross-border mergers and demergers. Moreover, shareholders who vote against a cross-border merger or demerger or cross-border conversion are, according to Sections 286, 306 and 318 m of the Danish Companies Act, entitled to have their shares redeemed.
Delaware.   The Delaware General Corporation Law provides for stockholder appraisal rights, or the right to demand payment in cash of the judicially determined fair value of the stockholder’s shares, in connection with certain mergers and consolidations.
Shareholder Suits
Denmark.   Under Danish law, only a company itself can bring a civil action against a third party; an individual shareholder does not have the right to bring an action on behalf of a company. An individual shareholder may, in its own name, have an individual right to take action against such third party in the event that the cause for the liability of that third party also constitutes a negligent act directly against such individual shareholder.
Delaware.   Under the Delaware General Corporation Law, a stockholder may bring a derivative action on behalf of the corporation to enforce the rights of the corporation. An individual also may commence a class action suit on behalf of himself and other similarly situated stockholders where the requirements for maintaining a class action under Delaware law have been met. A person may institute and maintain such a suit only if that person was a stockholder at the time of the transaction which is the subject of the suit. In addition, under Delaware case law, the plaintiff normally must be a stockholder at the time of the transaction that is the subject of the suit and throughout the duration of the derivative suit. Delaware law also requires that the derivative plaintiff make a demand on the directors of the corporation to assert the corporate claim before the suit may be prosecuted by the derivative plaintiff in court, unless such a demand would be futile.
Repurchase of Shares
Denmark.   Danish limited liability companies may not subscribe for newly issued shares in their own capital. Such company may, however, according to the Danish Companies Act Sections 196-201, acquire fully paid shares of its own capital provided that the board of directors has been authorized thereto by the shareholders acting in a general meeting. Such authorization can only be given for a maximum period of five years and the authorization shall fix (i) the maximum value of the shares and (ii) the minimum and the highest amount that the company may pay for the shares. Shares may generally only be acquired using distributable reserves.
 
131

TABLE OF CONTENTS
 
Delaware.   Under the Delaware General Corporation Law, a corporation may purchase or redeem its own shares unless the capital of the corporation is impaired, or the purchase or redemption would cause an impairment of the capital of the corporation. A Delaware corporation may, however, purchase or redeem out of capital any of its preferred shares or, if no preferred shares are outstanding, any of its own shares if such shares will be retired upon acquisition and the capital of the corporation will be reduced in accordance with specified limitations.
Anti-takeover Provisions
Denmark.   Under Danish law, it is possible to implement limited protective anti-takeover measures. Such provisions may include, among other things, (i) different share classes with different voting rights, (ii) specific requirements to register the shares on name in the company’s owners register and (iii) notification requirements concerning participation in general meetings. We have currently not adopted any such provisions.
Delaware.   In addition to other aspects of Delaware law governing fiduciary duties of directors during a potential takeover, the Delaware General Corporation Law also contains a business combination statute that protects Delaware companies from hostile takeovers and from actions following the takeover by prohibiting some transactions once an acquirer has gained a significant holding in the corporation.
Section 203 of the Delaware General Corporation Law prohibits “business combinations,” including mergers, sales and leases of assets, issuances of securities and similar transactions by a corporation or a subsidiary with an interested stockholder that beneficially owns 15% or more of a corporation’s voting stock, within three years after the person becomes an interested stockholder, unless:

the transaction that will cause the person to become an interested stockholder is approved by the board of directors of the target prior to the transaction;

after the completion of the transaction in which the person becomes an interested stockholder, the interested stockholder holds at least 85% of the voting stock of the corporation not including shares owned by persons who are directors and officers of interested stockholders and shares owned by specified employee benefit plans; or

after the person becomes an interested stockholder, the business combination is approved by the board of directors of the corporation and holders of at least 66.67% of the outstanding voting stock, excluding shares held by the interested stockholder.
A Delaware corporation may elect not to be governed by Section 203 by a provision contained in the original certificate of incorporation of the corporation or an amendment to the original certificate of incorporation or to the bylaws of the company, which amendment must be approved by a majority of the shares entitled to vote and may not be further amended by the board of directors of the corporation. Such an amendment is not effective until 12 months following its adoption.
Inspection of Books and Records
Denmark.   According to Section 150 of the Danish Companies Act, a shareholder may request an inspection of the company’s books regarding specific issues concerning the management of the company or specific annual reports. If approved by shareholders with simple majority, one or more investigators are elected. If the proposal is not approved by simple majority but 25% of the share capital votes in favor, then a shareholder can request the court to appoint an investigator.
Delaware.   Under the Delaware General Corporation Law, any stockholder may inspect certain of the corporation’s books and records, for any proper purpose, during the corporation’s usual hours of business.
Pre-emptive Rights
Denmark.   Under Danish law, all shareholders have pre-emptive subscription rights in connection with capital increases that are carried out as cash contributions. In connection with an increase of a company’s share capital, the shareholders may, by resolution at a general meeting, approve deviations from the general Danish pre-emptive rights of the shareholders. Under the Danish Companies Act, such resolution must be
 
132

TABLE OF CONTENTS
 
adopted by the affirmative vote of shareholders holding at least a two-thirds majority of the votes cast and the share capital represented at the general meeting and requires that such capital increases will be carried out as a cash contribution at market price.
The board of directors may resolve to increase our share capital without pre-emptive subscription rights for existing shareholders pursuant to the authorizations described above under the caption “Development of the Share Capital.”
Unless future issuances of new shares are registered under the Securities Act or with any authority outside Denmark, United States shareholders and shareholders in jurisdictions outside Denmark may be unable to exercise their pre-emptive subscription rights under United States securities law.
Delaware.   Under the Delaware General Corporation Law, stockholders have no pre-emptive rights to subscribe for additional issues of stock or to any security convertible into such stock unless, and to the extent that, such rights are expressly provided for in the certificate of incorporation.
Dividends
Denmark.   Under Danish law, the distribution of ordinary and extraordinary dividends requires the approval of a company’s shareholders at a company’s general meeting. Under the Danish Companies Act the general meeting may authorize the board of directors to resolve to distribute extraordinary dividends after presentation of a company’s first financial statements. The authorization may be subject to financial and time restrictions. The shareholders may not distribute dividends in excess of the recommendation from the board of directors and may only pay out dividends from our distributable reserves, which are defined as amounts stated as retained earnings in the Company’s latest approved financial statements, and reserves not being non-distributable under a statute or the Company’s articles of association, less retained earnings. The decision to pay out extraordinary dividends shall be accompanied by a balance sheet, and the board of directors determine whether it will be sufficient to use the balance sheet from the annual report or if an interim balance sheet for the period from the annual report period until the extraordinary dividend payment shall be prepared. If extraordinary dividends are paid out later than six months following the financial year for the latest annual report, an interim balance sheet showing that there are sufficient funds shall always be prepared.
Furthermore, it is possible under Danish law to distribute assets other than cash as dividends. If assets other than cash are distributed as dividends, a valuation report must be prepared. The valuation report must be prepared by one or more impartial valuation experts.
Delaware.   Under the Delaware General Corporation Law, a Delaware corporation may pay dividends out of its surplus (the excess of net assets over capital), or in case there is no surplus, out of its net profits for the fiscal year in which the dividend is declared and/or the preceding fiscal year (provided that the amount of the capital of the corporation is not less than the aggregate amount of the capital represented by the issued and outstanding stock of all classes having a preference upon the distribution of assets). In determining the amount of surplus of a Delaware corporation, the assets of the corporation, including stock of subsidiaries owned by the corporation, must be valued at their fair market value as determined by the board of directors, without regard to their historical book value. Dividends may be paid in the form of shares, property or cash.
Shareholder Vote on Certain Reorganizations
Denmark.   Under Danish law, all amendments to the articles of association shall be approved by the general meeting of shareholders with a minimum of two-thirds of the votes cast and two-thirds of the represented share capital. The same applies to solvent liquidations, mergers with the company as the discontinuing entity, mergers with the company as the continuing entity if shares are issued in connection therewith and demergers with the company as the transferor company and demergers with the company as the existing transferee if amendment of the articles of association for any purpose other than the adoption of the transferor company’s name or secondary name as the transferee company’s secondary name is required to be made. Under Danish law, it is debatable whether the shareholders must approve a decision to sell all or virtually all of the company’s business/assets.
 
133

TABLE OF CONTENTS
 
Delaware.   Under the Delaware General Corporation Law, the vote of a majority of the outstanding shares of capital stock entitled to vote thereon generally is necessary to approve a merger or consolidation or the sale of all or substantially all of the assets of a corporation. The Delaware General Corporation Law permits a corporation to include in its certificate of incorporation a provision requiring for any corporate action the vote of a larger portion of the stock or of any class or series of stock than would otherwise be required.
Under the Delaware General Corporation Law, no vote of the stockholders of a surviving corporation to a merger is needed, however, unless required by the certificate of incorporation, if (1) the agreement of merger does not amend in any respect the certificate of incorporation of the surviving corporation, (2) the shares of stock of the surviving corporation are not changed in the merger and (3) the number of shares of common stock of the surviving corporation into which any other shares, securities or obligations to be issued in the merger may be converted does not exceed 20% of the surviving corporation’s common stock outstanding immediately prior to the effective date of the merger. In addition, stockholders may not be entitled to vote in certain mergers with other corporations that own 90% or more of the outstanding shares of each class of stock of such corporation, but the stockholders will be entitled to appraisal rights.
Amendments to Governing Documents
Denmark.   All resolutions made by the general meeting may be adopted by a simple majority of the votes, subject only to the mandatory provisions of the Danish Companies Act and the articles of association. Resolutions concerning all amendments to the articles of association must be passed by two-thirds of the votes cast as well as two-thirds of the share capital represented at the general meeting. Certain resolutions, which limit a shareholder’s ownership or voting rights, are subject to approval by a nine-tenth majority of the votes cast and the share capital represented at the general meeting. Decisions to impose any or increase any obligations of the shareholders towards the company require unanimity.
Delaware.   Under the Delaware General Corporation Law, a corporation’s certificate of incorporation may be amended only if adopted and declared advisable by the board of directors and approved by a majority of the outstanding shares entitled to vote, and the bylaws may be amended with the approval of a majority of the outstanding shares entitled to vote and may, if so provided in the certificate of incorporation, also be amended by the board of directors.
Transfer Agent and Registrar
The transfer agent and registrar for our shares is Computershare A/S, Lottenborgvej 26 D, 1., DK-2800 Kgs. Lyngby, Denmark. The Bank of New York Mellon serves as the depositary, registrar and transfer agent for the ADSs.
 
134

TABLE OF CONTENTS
 
DESCRIPTION OF AMERICAN DEPOSITARY SHARES
American Depositary Shares
Under the terms of that certain Deposit Agreement, dated as of February 4, 2021, as amended and supplemented from time to time, or the Deposit Agreement, by and among us, The Bank of New York Mellon as the depositary, and all owners and holders of the ADSs, the depositary will register and deliver the ADSs. As of the effectiveness of the Ratio Change on January 14, 2025, each ADS represents fifty ordinary shares (or a right to receive fifty ordinary shares) deposited with the depositary, acting through an office located in the United Kingdom, as custodian for the depositary. Each ADS will also represent any other securities, cash or other property which may be held by the depositary. The deposited shares together with any other securities, cash or other property held by the depositary are referred to as the deposited securities. The depositary’s office at which the ADSs will be administered and its principal executive office are located at 240 Greenwich Street, New York, New York 10286.
You may hold ADSs either (i) directly (a) by having an American Depositary Receipt, or an ADR, which is a certificate evidencing a specific number of ADSs registered in your name, or (b) by having uncertificated ADSs registered in your name, or (ii) indirectly by holding a security entitlement in ADSs through your broker or other financial institution that is a direct or indirect participant in The Depository Trust Company, or DTC. If you hold ADSs directly, you are a registered ADS holder, or an ADS holder. This description assumes you are an ADS holder. If you hold the ADSs indirectly, you must rely on the procedures of your broker or other financial institution to assert the rights of ADS holders described in this section. You should consult with your broker or financial institution to find out what those procedures are.
Registered holders of uncertificated ADSs will receive statements from the depositary confirming their holdings.
As an ADS holder, we will not treat you as one of our shareholders and you will not have shareholder rights. European and Danish law governs shareholder rights. The depositary will be the holder of the shares underlying the ADSs. As a registered holder of ADSs, you will have ADS holder rights. A deposit agreement among us, the depositary, ADS holders and all other persons indirectly or beneficially holding ADSs sets out ADS holder rights as well as the rights and obligations of the depositary. New York law governs the deposit agreement and the ADSs.
The following is a summary of the material provisions of the deposit agreement. For more complete information, you should read the entire deposit agreement and the form of ADR. Those documents are filed as exhibits to the registration statement of which this prospectus forms a part.
Dividends and Other Distributions
How will ADS holders receive dividends and other distributions on the ordinary shares?
The depositary has agreed to pay or distribute to ADS holders the cash dividends or other distributions it or the custodian receives on shares or other deposited securities, upon payment or deduction of its fees and expenses. You will receive these distributions in proportion to the number of ordinary shares your ADSs represent.
Cash
The depositary will convert any cash dividend or other cash distribution we pay on the shares into United States dollars, if it can do so on a reasonable basis. If that is not possible or if any government approval is needed and cannot be obtained, the deposit agreement allows the depositary to distribute the foreign currency only to those ADS holders to whom it is possible to do so. It will hold the foreign currency it cannot convert for the account of the ADS holders who have not been paid. It will not invest the foreign currency and it will not be liable for any interest.
Before making a distribution, any withholding taxes, or other governmental charges that must be paid will be deducted. See “Taxation” included elsewhere in this prospectus. The depositary will distribute only
 
135

TABLE OF CONTENTS
 
whole United States dollars and cents and will round fractional cents to the nearest whole cent. If the exchange rates fluctuate during a time when the depositary cannot convert the foreign currency, you may lose some of the value of the distribution.
Shares
The depositary may distribute additional ADSs representing any shares we distribute as a dividend or free distribution. The depositary will only distribute whole ADSs. It will sell shares which would require it to deliver a fraction of an ADS (or ADSs representing those shares) and distribute the net proceeds in the same way as it does with cash. If the depositary does not distribute additional ADSs, the outstanding ADSs will also represent the new shares. The depositary may sell a portion of the distributed shares (or ADSs representing those shares) sufficient to pay its fees and expenses in connection with that distribution.
Rights to purchase additional shares
If we offer holders of our securities any rights to subscribe for additional shares or any other rights, the depositary may (i) exercise those rights on behalf of ADS holders, (ii) distribute those rights to ADS holders or (iii) sell those rights and distribute the net proceeds to ADS holders, in each case after deduction or upon payment of its fees and expenses. To the extent the depositary does not do any of those things, it will allow the rights to lapse. In that case, you will receive no value for them. The depositary will exercise or distribute rights only if we ask it to and provide satisfactory assurances to the depositary that it is legal to do so. If the depositary will exercise rights, it will purchase the securities to which the rights relate and distribute those securities or, in the case of shares, new ADSs representing the new shares, to subscribing ADS holders, but only if ADS holders have paid the exercise price to the depositary. United States securities laws may restrict the ability of the depositary to distribute rights or ADSs or other securities issued on exercise of rights to all or certain ADS holders, and the securities distributed may be subject to restrictions on transfer.
Other Distributions
The depositary will send to ADS holders anything else we distribute on deposited securities by any means it thinks is legal, fair and practical. If it cannot make the distribution in that way, the depositary has a choice. It may decide to sell what we distributed and distribute the net proceeds, in the same way as it does with cash. Or, it may decide to hold what we distributed, in which case ADSs will also represent the newly distributed property. However, the depositary is not required to distribute any securities (other than ADSs) to ADS holders unless it receives satisfactory evidence from us that it is legal to make that distribution. The depositary may sell a portion of the distributed securities or property sufficient to pay its fees and expenses in connection with that distribution. United States securities laws may restrict the ability of the depositary to distribute securities to all or certain ADS holders, and the securities distributed may be subject to restrictions on transfer.
The depositary is not responsible if it decides that it is unlawful or impractical to make a distribution available to any ADS holders. We have no obligation to register ADSs, shares, rights or other securities under the Securities Act. We also have no obligation to take any other action to permit the distribution of ADSs, shares, rights or anything else to ADS holders. This means that you may not receive the distributions we make on our ordinary shares or any value for them if it is illegal or impractical for us to make them available to you.
Deposit, Withdrawal and Cancellation
How are ADSs issued?
The depositary will deliver ADSs if you or your broker deposits shares or evidence of rights to receive shares with the custodian. Upon payment of its fees and expenses and of any taxes or charges, such as stamp taxes or stock transfer taxes or fees, the depositary will register the appropriate number of ADSs in the names you request and will deliver the ADSs to or upon the order of the person or persons that made the deposit.
 
136

TABLE OF CONTENTS
 
How can ADS holders withdraw the deposited securities?
You may surrender the ADSs to the depositary for the purpose of withdrawal. Upon payment of its fees and expenses and of any taxes or charges, such as stamp taxes or stock transfer will deliver the shares and any other deposited securities underlying the ADSs to the ADS holder or a person the ADS holder designates at the office of the custodian. Or, at your request, risk and expense, the depositary will deliver the deposited securities at its office, if feasible. However, the depositary is not required to accept surrender of ADSs to the extent it would require delivery of a fraction of a deposited share or other security. The depositary may charge you a fee and its expenses for instructing the custodian regarding delivery of deposited securities.
How do ADS holders interchange between certificated ADSs and uncertificated ADSs?
You may surrender your ADR to the depositary for the purpose of exchanging your ADR for uncertificated ADSs. The depositary will cancel that ADR and will send to the ADS holder a statement confirming that the ADS holder is the registered holder of uncertificated ADSs. Upon receipt by the depositary of a proper instruction from a registered holder of uncertificated ADSs requesting the exchange of uncertificated ADSs for certificated ADSs, the depositary will execute and deliver to the ADS holder an ADR evidencing those ADSs.
Voting Rights
How do ADS holders vote?
ADS holders may instruct the depositary how to vote the number of deposited shares their ADSs represent. If we request the depositary to solicit your voting instructions (and we are not required to do so), the depositary will notify you of a shareholders’ meeting and send or make voting materials available to you. Those materials will describe the matters to be voted on and explain how ADS holders may instruct the depositary how to vote. For instructions to be valid, they must reach the depositary by a date set by the depositary. The depositary will try, as far as practical, subject to the laws of the Denmark and the provisions of our articles of association or similar documents, to vote or to have its agents vote the shares or other deposited securities as instructed by ADS holders. If we do not request the depositary to solicit your voting instructions, you can still send voting instructions, and, in that case, the depositary may try to vote as you instruct, but it is not required to do so.
Except by instructing the depositary as described above, you won’t be able to exercise voting rights unless you surrender the ADSs and withdraw the shares. However, you may not know about the meeting enough in advance to withdraw the shares. In any event, the depositary will not exercise any discretion in voting deposited securities and it will only vote or attempt to vote as instructed.
We cannot assure you that you will receive the voting materials in time to ensure that you can instruct the depositary to vote your ordinary shares. In addition, the depositary and its agents are not responsible for failing to carry out voting instructions or for the manner of carrying out voting instructions. This means that you may not be able to exercise voting rights and there may be nothing you can do if your ordinary shares are not voted as you requested.
In order to give you a reasonable opportunity to instruct the depositary as to the exercise of voting rights relating to deposited securities, if we request the depositary to act, we agree to give the depositary notice of any such meeting and details concerning the matters to be voted upon at least 45 days in advance of the meeting date.
 
137

TABLE OF CONTENTS
 
Fees and Expenses
Persons depositing or withdrawing shares or ADS holders must pay:
For:
$5.00 (or less) per 100 ADSs (or portion of 100 ADSs) Issuance of ADSs, including issuances resulting from a distribution of shares or rights or other property
Cancellation of ADSs for the purpose of withdrawal, including if the deposit agreement terminates
$0.05 (or less) per ADS Any cash distribution to ADS holders
Persons depositing or withdrawing shares or ADS holders must pay:
For:
A fee equivalent to the fee that would be payable if securities distributed to you had been shares and the shares had been deposited for issuance of ADSs Distribution of securities distributed to holders of deposited securities (including rights) that are distributed by the depositary to ADS holders
$0.05 (or less) per ADS per calendar year Depositary services
Registration or transfer fees Transfer and registration of shares on our share register to or from the name of the depositary or its agent when you deposit or withdraw shares
Expenses of the depositary Cable and facsimile transmissions (when expressly provided in the deposit agreement) Converting foreign currency to United States dollars
Taxes and other governmental charges the depositary or the custodian has to pay on any ADSs or shares underlying ADSs, such as stock transfer taxes, stamp duty or withholding taxes As necessary
Any charges incurred by the depositary or its agents for servicing the deposited securities As necessary
The depositary collects its fees for delivery and surrender of ADSs directly from investors depositing shares or surrendering ADSs for the purpose of withdrawal or from intermediaries acting for them. The depositary collects fees for making distributions to investors by deducting those fees from the amounts distributed or by selling a portion of distributable property to pay the fees. The depositary may collect its annual fee for depositary services by deduction from cash distributions or by directly billing investors or by charging the book-entry system accounts of participants acting for them. The depositary may collect any of its fees by deduction from any cash distribution payable (or by selling a portion of securities or other property distributable) to ADS holders that are obligated to pay those fees. The depositary may generally refuse to provide fee-attracting services until its fees for those services are paid.
From time to time, the depositary may make payments to us to reimburse us for costs and expenses generally arising out of establishment and maintenance of the ADS program, waive fees and expenses for services provided to us by the depositary or share revenue from the fees collected from ADS holders. In performing its duties under the deposit agreement, the depositary may use brokers, dealers, foreign currency dealers or other service providers that are owned by or affiliated with the depositary and that may earn or share fees, spreads or commissions.
The depositary may convert currency itself or through any of its affiliates and, the custodian or we may convert currency and pay U.S. dollars to the depositary. Where the depositary converts currency itself or through any of its affiliates, the depositary acts as principal for its own account and not as agent, advisor, broker or fiduciary on behalf of any other person and earns revenue, including, without limitation, transaction spreads, that it will retain for its own account. The revenue is based on, among other things, the difference between the exchange rate assigned to the currency conversion made under the deposit agreement and the rate that the depositary or its affiliate receives when buying or selling foreign currency for its own account. The depositary makes no representation that the exchange rate used or obtained in any currency conversion under the deposit agreement will be the most favorable rate that could be obtained at the time or
 
138

TABLE OF CONTENTS
 
that the method by which that rate will be determined will be the most favorable to ADS holders, subject to the depositary’s obligations under the deposit agreement. The methodology used to determine exchange rates used in currency conversions made by the depositary is available upon request. Where the custodian converts currency, the custodian has no obligation to obtain the most favorable rate that could be obtained at the time or to ensure that the method by which that rate will be determined will be the most favorable to ADS holders, and the depositary makes no representation that the rate is the most favorable rate and will not be liable for any direct or indirect losses associated with the rate. In certain instances, the depositary may receive dividends or other distributions from us in U.S. dollars that represent the proceeds of a conversion of foreign currency or translation from foreign currency at a rate that was obtained or determined by us and, in such cases, the depositary will not engage in, or be responsible for, any foreign currency transactions and neither it nor we make any representation that the rate obtained or determined by us is the most favorable rate and neither it nor we will be liable for any direct or indirect losses associated with the rate.
Payment of Taxes
You will be responsible for any taxes or other governmental charges payable on or with respect to the ADSs or the deposited securities represented by any of the ADSs. The depositary may refuse to register any transfer of the ADSs or allow you to withdraw the deposited securities represented by the ADSs until those taxes or other charges are paid. It may apply payments owed to you or sell deposited securities represented by the ADSs to pay any taxes owed and you will remain liable for any deficiency. If the depositary sells deposited securities, it will, if appropriate, reduce the number of ADSs to reflect the sale and pay to ADS holders any proceeds, or send to ADS holders any property, remaining after it has paid the taxes.
Tender and Exchange Offers; Redemption, Replacement or Cancellation of Deposited Securities
The depositary will not tender deposited securities in any voluntary tender or exchange offer unless instructed to do by an ADS holder surrendering ADSs and subject to any conditions or procedures the depositary may establish.
If deposited securities are redeemed for cash in a transaction that is mandatory for the depositary as a holder of deposited securities, the depositary will call for surrender of a corresponding number of ADSs and distribute the net redemption money to the holders of called ADSs upon surrender of those ADSs.
If there is any change in the deposited securities such as a sub-division, combination or other reclassification, or any merger, consolidation, recapitalization or reorganization affecting the issuer of deposited securities in which the depositary receives new securities in exchange for or in lieu of the old deposited securities, the depositary will hold those replacement securities as deposited securities under the deposit agreement. However, if the depositary decides it would not be lawful and practical to hold the replacement securities because those securities could not be distributed to ADS holders or for any other reason, the depositary may instead sell the replacement securities and distribute the net proceeds upon surrender of the ADSs.
If there is a replacement of the deposited securities and the depositary will continue to hold the replacement securities, the depositary may distribute new ADSs representing the new deposited securities or ask you to surrender your outstanding ADRs, if any, in exchange for new ADRs identifying the new deposited securities.
If there are no deposited securities underlying ADSs, including if the deposited securities are cancelled, or if the deposited securities underlying ADSs have become apparently worthless, the depositary may call for surrender or of those ADSs or cancel those ADSs upon notice to the ADS holders. Amendment and Termination
How may the deposit agreement be amended?
We may agree with the depositary to amend the deposit agreement and the ADRs without your consent for any reason. If an amendment adds or increases fees or charges, except for taxes and other governmental charges or expenses of the depositary for registration fees, facsimile costs, delivery charges or similar items, or prejudices a substantial right of ADS holders, it will not become effective for outstanding
 
139

TABLE OF CONTENTS
 
ADSs until 30 days after the depositary notifies ADS holders of the amendment. At the time an amendment becomes effective, you are considered, by continuing to hold the ADSs, to agree to the amendment and to be bound by the ADRs and the deposit agreement as amended.
How may the deposit agreement be terminated?
The depositary will initiate termination of the deposit agreement if we instruct it to do so. The depositary may initiate termination of the deposit agreement if:

60 days have passed since the depositary told us it wants to resign but a successor depositary has not been appointed and accepted its appointment;

we delist the ADSs from an exchange in the United States on which they were listed and do not list the ADSs on another exchange in the United States or make arrangements for trading of ADSs on the United States over-the-counter market;

we delist our ordinary shares from an exchange outside the United States on which they were listed and do not list the shares on another exchange outside the United States;

the depositary has reason to believe the ADSs have become, or will become, ineligible for registration on Form F-6 under the Securities Act;

we appear to be insolvent or enter insolvency proceedings

all or substantially all the value of the deposited securities has been distributed either in cash or in the form of securities;

there are no deposited securities underlying the ADSs or the underlying deposited securities have become apparently worthless; or

there has been a replacement of deposited securities.
If the deposit agreement will terminate, the depositary will notify ADS holders at least 90 days before the termination date. At any time after the termination date, the depositary may sell the deposited securities. After that, the depositary will hold the money it received on the sale, as well as any other cash it is holding under the deposit agreement, unsegregated and without liability for interest, for the pro rata benefit of the ADS holders that have not surrendered their ADSs. Normally, the depositary will sell as soon as practicable after the termination date.
After the termination date and before the depositary sells, ADS holders can still surrender their ADSs and receive delivery of deposited securities, except that the depositary may refuse to accept a surrender for the purpose of withdrawing deposited securities or reverse previously accepted surrenders of that kind that have not settled if it would interfere with the selling process. The depositary may refuse to accept a surrender for the purpose of withdrawing sale proceeds until all the deposited securities have been sold. The depositary will continue to collect distributions on deposited securities, but, after the termination date, the depositary is not required to register any transfer of ADSs or distribute any dividends or other distributions on deposited securities to the ADSs holder (until they surrender their ADSs) or give any notices or perform any other duties under the deposit agreement except as described in this paragraph. Limitations on Obligations and Liability
Limits on our Obligations and the Obligations of the Depositary; Limits on Liability to Holders of ADSs
The deposit agreement expressly limits our obligations and the obligations of the depositary. It also limits our liability and the liability of the depositary. We and the depositary:

are only obligated to take the actions specifically set forth in the deposit agreement without negligence or bad faith, and the depositary will not be a fiduciary or have any fiduciary duty to holders of ADSs;

are not liable if we are or it is prevented or delayed by law or by events or circumstances beyond our or its control from performing our or its obligations under the deposit agreement;

are not liable if we or it exercises discretion permitted under the deposit agreement;
 
140

TABLE OF CONTENTS
 

are not liable for the inability of any holder of ADSs to benefit from any distribution on deposited securities that is not made available to holders of ADSs under the terms of the deposit agreement, or for any special, consequential or punitive damages for any breach of the terms of the deposit agreement;

have no obligation to become involved in a lawsuit or other proceeding related to the ADSs or the deposit agreement on your behalf or on behalf of any other person;

may rely upon any documents we believe or it believes in good faith to be genuine and to have been signed or presented by the proper person;

are not liable for the acts or omissions of any securities depository, clearing agency or settlement system; and

the depositary has no duty to make any determination or provide any information as to our tax status, or any liability for any tax consequences that may be incurred by ADS holders as a result of owning or holding ADSs or be liable for the inability or failure of an ADS holder to obtain the benefit of a foreign tax credit, reduced rate of withholding or refund of amounts withheld in respect of tax or any other tax benefit.
In the deposit agreement, we and the depositary agree to indemnify each other under certain circumstances.
Requirements for Depositary Actions
Before the depositary will deliver or register a transfer of ADSs, make a distribution on ADSs, or permit withdrawal of shares, the depositary may require:

payment of stock transfer or other taxes or other governmental charges and transfer or registration fees charged by third parties for the transfer of any shares or other deposited securities;

satisfactory proof of the identity and genuineness of any signature or other information it deems necessary; and

compliance with regulations it may establish, from time to time, consistent with the deposit agreement, including presentation of transfer documents.
The depositary may refuse to deliver ADSs or register transfers of ADSs when the transfer books of the depositary or our transfer books are closed or at any time if the depositary or we think it advisable to do so. Your Right to Receive the Shares Underlying the ADSs
ADS holders have the right to cancel their ADSs and withdraw the underlying shares at any time except:

when temporary delays arise because (i) the depositary has closed its transfer books or we have closed our transfer books, (ii) the transfer of shares is blocked to permit voting at a shareholders’ meeting or (iii) we are paying a dividend on our ordinary shares;

when you owe money to pay fees, taxes and similar charges; or

when it is necessary to prohibit withdrawals in order to comply with any laws or governmental regulations that apply to ADSs or to the withdrawal of shares or other deposited securities.
This right of withdrawal may not be limited by any other provision of the deposit agreement.
Direct Registration System
In the deposit agreement, all parties to the deposit agreement acknowledge that the Direct Registration System, or DRS, and Profile Modification System, or Profile, will apply to the ADSs. DRS is a system administered by DTC that facilitates interchange between registered holding of uncertificated ADSs and holding of security entitlements in ADSs through DTC and a DTC participant. Profile is a feature of DRS that allows a DTC participant, claiming to act on behalf of a registered holder of uncertificated ADSs, to direct the depositary to register a transfer of those ADSs to DTC or its nominee and to deliver those ADSs
 
141

TABLE OF CONTENTS
 
to the DTC account of that DTC participant without receipt by the depositary of prior authorization from the ADS holder to register that transfer.
In connection with and in accordance with the arrangements and procedures relating to DRS/Profile, the parties to the deposit agreement understand that the depositary will not determine whether the DTC participant that is claiming to be acting on behalf of an ADS holder in requesting registration of transfer and delivery as described in the paragraph above has the actual authority to act on behalf of the ADS holder (notwithstanding any requirements under the Uniform Commercial Code). In the deposit agreement, the parties agree that the depositary’s reliance on and compliance with instructions received by the depositary through the DRS/Profile system and in accordance with the deposit agreement will not constitute negligence or bad faith on the part of the depositary.
Shareholder Communications; Inspection of Register of Holders of ADSs
The depositary will make available for your inspection at its office all communications that it receives from us as a holder of deposited securities that we make generally available to holders of deposited securities. The depositary will send you copies of those communications or otherwise make those communications available to you if we ask it to. You have a right to inspect the register of holders of ADSs, but not for the purpose of contacting those holders about a matter unrelated to our business or the ADSs.
Jury Trial Waiver
The deposit agreement provides that, to the extent permitted by law, ADS holders waive the right to a jury trial of any claim they may have against us or the depositary arising out of or relating to our ordinary shares, the ADSs or the deposit agreement, including any claim under the United States federal securities laws. If we or the depositary opposed a jury trial demand based on the waiver, the court would determine whether the waiver was enforceable in the facts and circumstances of that case in accordance with applicable case law.
You will not, by agreeing to the terms of the deposit agreement, be deemed to have waived our or the depositary’s compliance with United States federal securities laws and the rules and regulations promulgated thereunder.
 
142

TABLE OF CONTENTS
 
MATERIAL INCOME TAX CONSIDERATIONS
The following summary contains a description of material Danish and U.S. federal income tax consequences of the acquisition, ownership and disposition of our ordinary shares. This summary should not be considered a comprehensive description of all the tax considerations that may be relevant to the decision to acquire our ordinary shares.
Danish Tax Considerations
The following discussion describes the material Danish tax consequences under present law of an investment in the ADSs. The summary is for general information only and does not purport to constitute tax or legal advice. It is specifically noted that the summary does not address all possible tax consequences relating to an investment in the ADSs. The summary is based solely on the tax laws of Denmark in effect on the date of this prospectus. Danish tax laws may be subject to change, possibly with retroactive effect.
The summary does not cover investors to whom special tax rules apply, and, therefore, may not be relevant, for example, to investors subject to the Danish Tax on Pension Yields Act (i.e., pension savings), professional investors, certain institutional investors, insurance companies, pension companies, banks, stockbrokers and investors with tax liability on return on pension investments. The summary does not cover taxation of individuals and companies who carry on a business of purchasing and selling shares. The summary only sets out the tax position of the direct owners of the ADSs and further assumes that the direct investors are the beneficial owners of the ADSs and any dividends thereon. Sales are assumed to be sales to a third party.
Potential investors in the ADSs are advised to consult their tax advisors regarding the applicable tax consequences of acquiring, holding and disposing of the ADSs based on their particular circumstances.
Investors who may be affected by the tax laws of other jurisdictions should consult their tax advisors with respect to the tax consequences applicable to their particular circumstances as such consequences may differ significantly from those described herein.
Taxation of Danish Tax Resident Holders of the ADSs
It is currently not clear under the current Danish tax legislation or case law how listed ADSs issued by Danish resident companies in general are to be treated for tax purposes, and therefore no level of assurance can be given on this matter. For the purpose of the below comments, it is assumed that Danish tax resident holders of the ADSs should be treated as holders of listed shares in the company for both Danish corporate law purpose and Danish tax purposes, even though the company’s ordinary shares are not admitted to trading on a regulated market. Recent communications and binding rulings from the Danish Tax Assessment Council indicate that the holders of ADSs for Danish tax purposes are treated as holders of listed ordinary shares. The same communications and rulings indicate that the actual distribution of dividends on ADSs to Danish investors are considered dividends for Danish tax purposes. However, it should be emphasized that these communications and binding rulings are based on the actual facts and circumstances and terms and conditions of the depositary agreement implying that a holder of ADSs might not be able to rely on said rulings, the position cannot therefore be said to be clear.
In the event that the holders of ADSs are not treated as holding listed shares, it is likely that they will be treated as either holding unlisted shares or financial instruments for tax purposes.
As described above, the below summary assumes that the holders of ADSs listed in the U.S. should be treated as holding listed ordinary shares in the company for Danish tax purposes, but if this is not the case, then this will impact the Danish tax treatment of the holders of ADSs, including in respect of the taxation of dividends paid to holders of ADSs.
Sale of the ADSs (Individuals) assuming treatment as listed shares under Danish tax law
For individual investor in 2025, gains from the sale of shares are include in the computation of the annual share income subject to 27% tax on the first DKK 67,500 (for cohabiting spouses, a total of DKK 135,000) and at a rate of 42% on share income exceeding DKK 67,500 (for cohabiting spouses over
 
143

TABLE OF CONTENTS
 
DKK 135,000). Such amounts are subject to annual adjustments and include all share income (i.e., all capital gains and dividends derived by the individual or cohabiting spouses, respectively). The realization principle applies; i.e., the gains or losses are included in the income in the year of disposal.
Gains and losses on the sale of shares are calculated as the difference between the purchase price and the sales price. The purchase price is generally determined using the average method (in Danish “gennemsnitsmetoden”) as a proportionate part of the aggregate purchase price for all the shareholder’s shares in a company (i.e. not the purchase price paid for each share).
As the ADSs, for the purpose of this tax description, are considered listed shares for Danish tax purposes, losses on the sale of listed shares may be offset against other share income deriving from listed shares (i.e., dividends and capital gains on the sale of listed shares) and subject to the Danish tax authorities having received certain information concerning the ownership of the shares in due time. Unused losses will automatically be offset against a cohabiting spouse’s share income deriving from listed shares and any additional losses can be carried forward and offset against future share income deriving from listed shares.
Sale of the ADSs (Companies) assuming treatment as unlisted shares under Danish tax law
For the purpose of taxation of sales of shares made by shareholders (companies), a distinction is made between Subsidiary Shares, Group Shares, Tax-Exempt Portfolio Shares and Taxable Portfolio Shares (note that the ownership threshold described below is applied on the basis of the number of all shares issued by a company, and not on the basis of the number of the ADSs issued):
Subsidiary Shares” are generally defined as shares owned by a shareholder holding at least 10% of the nominal share capital of the issuing company.
Group Shares” are generally defined as shares in a company in which the shareholder of the company and the issuing company are subject to Danish joint taxation or fulfill the requirements for international joint taxation under Danish law (i.e., the company is controlled by the shareholder).
Tax-Exempt Portfolio Shares” are defined as shares not admitted to trading on a regulated market owned by a shareholder holding less than 10% of the nominal share capital of the issuing company. As the ADSs are listed on Nasdaq, the rules on Tax-Exempt Portfolio Shares are not applicable to the ADSs.
Taxable Portfolio Shares,” are defined as shares that do not qualify as Subsidiary Shares, Group Shares or Tax-Exempt Portfolio Shares.
Gains or losses on disposal of Subsidiary Shares and Group Shares and Tax-Exempt Portfolio Shares are not included in the taxable income of the shareholder.
Special rules apply with respect to Subsidiary Shares and Group Shares to prevent exemption through certain holding company structures just as other anti-avoidance rules may apply. These rules will not be described in further detail.
Capital gains from the sale of Taxable Portfolio Shares are taxable at a rate of 22% irrespective of ownership period and losses on such shares are generally deductible.
Gains and losses from the sale of listed Taxable Portfolio Shares are generally taxable according to the mark-to-market principle (in Danish “lagerprincippet”).
According to the mark to market principle, each year’s taxable gain or loss on Taxable Portfolio Shares is calculated as the difference between the market value of the shares at the beginning of the tax year and the market value of the shares at the end of the tax year. Hence, taxation will take place on an accrual basis even if no shares have been disposed of and no gains or losses have been realized.
If the Taxable Portfolio Shares are sold or otherwise disposed before the end of the income year, the taxable income of that income year equals the difference between the value of the Taxable Portfolio Shares at the beginning of the income year and the value of the Taxable Portfolio Shares at realization. If the Taxable Portfolio Shares are acquired and realized in the same income year, the taxable income equals the difference between the acquisition sum and the realization sum. If the Taxable Portfolio Shares are acquired in the
 
144

TABLE OF CONTENTS
 
income year and not realized in the same income year, the taxable income equals the difference between the acquisition sum and the value of the shares at the end of the income years.
A change of status from Subsidiary Shares/Group Shares/Tax-Exempt Portfolio Shares to Taxable Portfolio Shares (or vice versa) is for tax purposes considered a disposal of the shares and a reacquisition of the shares at market value at the time of change of status.
Dividends (Individuals)
As described above, the recent communications and binding rulings from the Danish Tax Assessment Council indicate that the holders of ADSs for Danish tax purposes are treated as holders of listed ordinary shares. The same communications and rulings indicate that the actual distribution of dividends on ADSs to Danish investors are considered dividends for Danish tax purposes. Provided that such distributions to Danish tax resident individual investors are treated as dividends, taxation as share income, as described above, will take place. All share income must be included when calculating whether the amounts described above are exceeded. Dividends paid to individuals are generally subject to 27% withholding tax.
Dividends (Companies)
For corporate investors, dividends paid (subject to the same uncertainty as described immediately above) on Subsidiary Shares and Group Shares are tax-exempt irrespective of ownership period.
Dividends paid on Taxable Portfolio Shares are taxable at the standard corporate rate of 22% irrespective of ownership period.
Tax applies at the standard corporate income tax rate of 22 %, which is withheld at source by the distributing company. If the distributing company withholds a higher amount, the Danish corporate shareholder can claim a refund of excess tax. A claim for repayment must be filed within two months. Otherwise, the excess tax will be credited in the corporate income tax for the year.
Taxation of Shareholders Residing Outside Denmark
It is currently not clear under current Danish tax legislation or case law how the listed ADSs are to be treated for tax purposes, and therefore no level of assurance can be given on this matter. For the purpose of the below comments, it is assumed that non-Danish tax resident holders of the ADSs should be treated as holders of listed shares in our company for Danish tax purposes, even though our company’s ordinary shares are not admitted to trading on a regulated market. Recent communications and binding rulings from the Danish Tax Assessment Council indicates that the holders of ADSs for Danish tax purposes are treated as holders of listed ordinary shares. The same communications and rulings indicate that the actual distribution of dividends on ADSs to Danish investors are considered dividends for Danish tax purposes. However, it should be emphasized that these communications and binding rulings are based on an individual analysis based on the actual facts and circumstances and terms and conditions of the depositary agreement implying that a holder of ADSs might not be able to rely on said rulings.
In the event that the holders of ADSs are not treated as holding listed shares in our company, it is likely that they will be treated as either holding unlisted shares or financial instruments for Danish tax purposes.
As described above, the below summary assumes that the holders of ADSs listed in the U.S. should be treated as holding listed ordinary shares in our company for Danish tax purposes, but if this is not the case, then this will impact the Danish tax treatment of the holders of ADSs, including in respect of the taxation of dividends paid to holders of ADSs.
Sale of the ADSs (Individuals and Companies)
Holders of the ADSs not resident in Denmark are normally not subject to Danish taxation on any gains realized on the sale of ADSs, irrespective of the ownership period, subject to certain anti-avoidance rules seeking to prevent that taxable dividend payments are converted to tax exempt capital gains.
 
145

TABLE OF CONTENTS
 
No Danish share transfer tax or stamp duties should be payable on transfer of ADSs.
If an investor holds the ADSs in connection with a trade or business conducted from a permanent establishment in Denmark, gains on shares may be included in the taxable income of such activities pursuant to the rules applying to Danish tax residents as described above.
Dividends (Individuals)
As described above, the recent communications and binding rulings from the Danish Tax Assessment Council indicate that the holders of ADSs for Danish tax purposes are treated as holders of listed ordinary shares in the company. The same communications and rulings indicate that the actual distribution of dividends on ADSs to investors are considered dividends for Danish tax purposes. In principle the holders of the ADSs should therefore be entitled to apply for a refund of Danish withholding tax on dividends paid by the company. However, it remains uncertain how the Danish tax authorities will accept/handle this in practice and whether. the holders of ADSs will in fact be entitled to apply for a refund of Danish withholding tax on dividends paid by the company.
If the holders of ADS for Danish purposes are treated as holders of the ordinary shares in the company and are entitled to apply for a refund of Danish withholding tax on dividends paid by the company, then the below should apply:
Dividends paid to individuals are generally subject to 27% withholding tax. The withholding tax is 44% for dividends paid to beneficial owners in “Blacklisted Jurisdictions”. The 44% rate only applies to “Main Shareholders” which generally encompass individual shareholders holding more than 25% of the shares or 50% of the votes.
Non-residents of Denmark are not subject to additional Danish income tax in respect to dividends received on shares.
If the holders of the ADSs are considered beneficial owners of the dividends according to the applicable double tax treaty between Denmark and the tax residence country of the ADS holder, the withholding tax rate under such double tax treaty may apply to the extent the tax residency of the ADS holder can be documented and to the extent it can be documented that the dividends are in fact paid onwards to the holder of the ADSs as the beneficial owner.
For holders of ADSs (as the beneficial owners of the dividends on the ordinary shares), if the withholding tax rate applied is higher than the applicable final tax rate (as reduced according to domestic law or an applicable double tax treaty) for the holder of ADSs, a request for a refund of Danish tax in excess hereof can be made in the following situations:
Reduction According to Tax Treaty
In the event that the ADS holder is a resident of a state with which Denmark has entered into a tax treaty, the holder may generally, through certain certification procedures, seek a refund from the Danish tax authorities of the tax withheld in excess of the applicable treaty rate, which is typically 15%. Denmark has entered into tax treaties with approximately 80 countries, including the United States, Switzerland and almost all members of the European Union. The tax treaty between Denmark and the United States generally provides for a 15% tax rate.
Reduction According to Danish Tax Law
If the ADS holder holds less than 10% of the nominal share capital (in the form of ordinary shares in the company and not on the basis of the number of the ADSs issued) of the company and the ADS holder is tax resident in a state which has a double tax treaty or an international agreement, convention or other administrative agreement on assistance in tax matters according to which the competent authority in the state of the ADS holder is obligated to exchange information with Denmark, dividends are subject to tax at a rate of 15%. If the ADS holder is tax resident outside the European Union, it is an additional requirement for eligibility for the 15% tax rate that the ADS holder together with related ADS holders holds less than 10% of the nominal share capital of the company.
 
146

TABLE OF CONTENTS
 
Note that the reduced tax rate does not affect the withholding rate, which is why the holder must claim a refund as described above in order to benefit from the reduced rate.
Where a non-resident of Denmark holds shares which can be attributed to a permanent establishment in Denmark, dividends are taxable pursuant to the rules applying to Danish tax residents described above.
The recent communications and binding rulings from the Danish Tax Assessment Council indicates that a holder of ADSs selling such ADSs back to the company should be exempt from withholding tax on the basis of a specific exception applying to shares in listed companies. It should be emphasized that these rulings are based on an individual analysis based on the actual facts and circumstances and terms and conditions of the depositary agreement implying that a holder of ADSs might not be able to rely on said rulings.
Dividends (Companies)
As described above, the recent communications and binding rulings from the Danish Tax Assessment Council indicates that holders of ADSs for Danish tax purposes are treated as holders of listed ordinary shares. The same communications and rulings indicate that the actual distribution of dividends on ADSs to investors are considered dividends for Danish tax purposes. In principle the holders of the ADSs should therefore be entitled to apply for a refund of Danish withholding tax on dividends paid by the company. However, it remains uncertain how the Danish tax authorities will accept/handle this in practice and whether the holders of ADSs will in fact be entitled to apply for a refund of Danish withholding tax on dividends paid by the company.
If the holders of ADS for Danish purposes are treated as holders of the ordinary shares in the company and are entitled to apply for a refund of Danish withholding tax on dividends paid by the company, then the below should apply:
Dividends paid to companies are generally subject to 27% withholding tax. Companies residing in certain black-listed countries and holding Group Shares or Subsidiary Shares are subject to 44% withholding tax and not eligible to for any refund of such 44% withholding tax.
Non-residents of Denmark are not subject to additional Danish income tax in respect to dividends received on shares.
If the holder of the ADSs is considered the beneficial owner of the dividends according to the applicable double tax treaty between Denmark and the tax residence country of the ADS holder, the withholding tax rate under such double tax treaty may apply to the extent the tax residency of the ADS holder can be documented.
Dividends from Subsidiary Shares are tax exempt provided the taxation of the dividends is to be waived or reduced in accordance with the Parent-Subsidiary Directive (2011/96/EEC) or in accordance with a tax treaty with the jurisdiction in which the company investor is resident. If Denmark is to reduce taxation of dividends to a foreign company under a tax treaty, Denmark will not — as a matter of domestic law — exercise such right and will in general not impose any tax at all. Further, dividends from Group Shares — not also being Subsidiary Shares — are exempt from Danish tax provided the company investor is a resident of the European Union or the EEA and provided the taxation of dividends should have been waived or reduced in accordance with the Parent-Subsidiary Directive (2011/96/EEC) or in accordance with a tax treaty with the country in which the company investor is resident had the shares been Subsidiary Shares.
Dividend payments on both Tax-Exempt and Taxable Portfolio Shares will generally be subject to a tax rate of 22% irrespective of ownership period. While the actual withholding tax rate is as a starting point 27%, it can be reduced if certain requirements are met. If the withholding tax rate applied is higher than the applicable final tax rate for the ADS holder, a request for a refund of Danish tax in excess hereof can be made by the ADS holder in the following situations:
Reduction According to Tax Treaty
In the event that the shareholder is a resident of a state with which Denmark has entered into a double taxation treaty, the shareholder may generally, through certain certification procedures, seek a refund from
 
147

TABLE OF CONTENTS
 
the Danish tax authorities of the tax withheld in excess of the applicable treaty rate, which is typically 15%. Denmark has entered into tax treaties with a large number of countries, including the United States and almost all members of the European Union. The tax treaty between Denmark and the United States generally provides for a 15% rate.
Reduction According to Danish Tax law
A corporate ADS holder to whom the 44% withholding tax rate mentioned above does not apply can always request a refund of at least 5% corresponding to the difference between a 27% withholding tax and the Danish CIT rate of 22%.
If the ADS holder holds less than 10% of the nominal share capital (in the form of ordinary shares in the company and not on the basis of the number of the ADSs issued) in the company and the ADS holder is resident in a jurisdiction which has a tax treaty or an international agreement, convention or other administrative agreement on assistance in tax according to which the competent authority in the state of the ADS holder is obligated to exchange information with Denmark, dividends are generally subject to a tax rate of 15%. If the ADS holder is tax resident outside the European Union, it is an additional requirement for eligibility for the 15% tax rate that the ADS holder together with related ADS and shareholders holds less than 10% of the nominal share capital of the company. Note that the reduced tax rate does not affect the withholding rate, hence, in this situation the ADS holder must also in this situation claim a refund as described above in order to benefit from the reduced rate. Where a non-resident company of Denmark holds ADSs which can be attributed to a permanent establishment in Denmark, dividends are taxable pursuant to the rules applying to Danish tax residents described above.
The recent communications and binding rulings from the Danish Tax Assessment Council indicate that a holder of ADSs selling such ADSs back to the company should be exempt from withholding tax on the basis of a specific exception applying to shares in listed companies. It should be emphasized that these rulings are based on an individual analysis based on the actual facts and circumstances and terms and conditions of the depositary agreement implying that a holder of ADSs might not be able to rely on said rulings.
Share Transfer Tax and Stamp Duties
No Danish share transfer tax or stamp duties should be payable on transfer of the shares.
Certain Material U.S. Federal Income Tax Considerations
The following discussion describes certain material United States federal income tax considerations relating to the acquisition, ownership and disposition of ADSs by a United States Holder (as defined below) that acquires the ADSs and holds them as a capital asset (generally property held for investment) under the Internal Revenue Code of 1986, as amended from time to time, or the “Code”. This discussion is based upon existing U.S. tax law (including the Code, its legislative history, existing, temporary and proposed United States Department of the Treasury Regulations promulgated thereunder, or the “Treasury Regulations”, administrative and judicial interpretations thereof, and other published rulings, guidance, and court decisions) in effect on the date hereof. These tax laws are subject to change, possibly with retroactive effect, and subject to differing interpretations that could affect the tax consequences described herein. No ruling has been sought from the Internal Revenue Service, or the “IRS”, or any other taxing authority, with respect to any United States federal income tax consequences described below. In addition, because the authorities upon which this summary is based are subject to various interpretations, the IRS, other taxing authorities, and the U.S. courts could disagree with one or more of the positions taken in this summary. This summary is not binding on the IRS or any other taxing authority or court, none of which are precluded from taking a position that is different from or contrary to, any position taken in this summary and there can be no assurance that the IRS, other taxing authority, or a court will not take a contrary position. No opinion from U.S. legal counsel has been requested, or will be obtained, regarding the U.S. federal income tax consequences of the acquisition, ownership and disposition of the ADSs.
This discussion does not address all aspects of United States federal income taxation that may be applicable to U.S. Holders in light of their particular circumstances or status including investors subject to special tax rules (such as, bank thrifts, and other financial institutions, insurance companies, broker-dealers in
 
148

TABLE OF CONTENTS
 
stocks, securities, currencies, or notional principal contracts, traders that have elected to mark securities to market, regulated investment companies, real estate investment trusts, partnerships or other pass-through entities, tax-exempt organizations including private foundations and charitable remainder trusts, pension plans, persons that hold the ADSs or ordinary shares as part of a straddle, hedge, conversion, constructive sale, or other integrated investment or transaction as determined for U.S. federal income tax purposes, persons subject to alternative minimum tax or whose “functional currency” is not the USD, U.S. expatriates or former long-term residents of the United States, persons that directly, indirectly or constructively own 10% or more (by vote or value) of the Company, persons who acquired interests in the Company pursuant to the exercise of any employee share option or otherwise as compensation, or persons holding interests in the Company through partnerships or other pass-through entities).
This section does not address the treatment of a non-U.S. holder, nor does it address the tax treatment under the laws of any U.S. state or local state or non-U.S. taxing jurisdiction or any U.S. estate or alternative minimum tax consequences.
This summary is for general information purposes only and does not purport to be a complete analysis or listing of all potential U.S. federal income tax considerations that may apply to a U.S. Holder as a result of the acquisition, ownership and disposition of the ADSs. In addition, this summary does not take into account the individual facts and circumstances of any particular U.S. Holder that may affect the U.S. federal income tax consequences to such U.S. Holder. Accordingly, this summary is not intended to be, and should not be construed as, legal or U.S. federal income tax advice with respect to any particular U.S. Holder. Except as specifically set forth below, this summary does not discuss applicable tax reporting requirements.
For purposes of this discussion, a “U.S. Holder” is a beneficial owner of the ADSs that, for United States federal income tax purposes, is:

an individual who is a citizen or resident of the United States;

a corporation (or other entity taxable as a corporation for U.S. federal income tax purposes) created or organized in or under the laws of the United States or of any State thereof or the District of Columbia;

an estate the income of which is subject to United States federal income taxation regardless of its source; or

a trust if (i) a court within the United States is able to exercise primary supervision over the trust’s administration and one or more United States persons have the authority to control all substantial decisions of the trust or (ii) a valid election under the Treasury regulations is in effect for the trust to be treated as a United States person.
If a partnership or other pass-through entity (including any entity or arrangement treated as a partnership or other pass-through entity for U.S. federal income tax purposes) holds the ADSs, the tax treatment of a person treated as a partner or other owner in the partnership or other pass-through entity for U.S. federal income tax purposes generally will depend on the status of the partner or other owner and the activities of the partnership or other pass-through entity. Partnerships (and other entities or arrangements so treated for U.S. federal income tax purposes) and their future partners should consult their own tax advisors.
In general, and taking into account the earlier assumptions, for U.S. federal income tax purposes, a holder of ADSs will be treated as the owner of the shares represented by those ADSs. Exchanges of shares for ADSs, and ADSs for shares, generally will not be subject to United States federal income tax.
This discussion addresses only U.S. Holders and does not discuss any tax considerations other than United States federal income tax considerations. Prospective investors are urged to consult their own tax advisors regarding the United States federal, state and local, and non-U.S. income and other tax consequences of the purchase, ownership, and disposition of ADSs.
Dividends
Under the United States federal income tax laws, and subject to the PFIC rules discussed below under “— Passive Foreign Investment Company Considerations”, any distributions of cash or other property with
 
149

TABLE OF CONTENTS
 
respect to the ADSs (including any amounts withheld in respect thereof), generally will, to the extent made out of our current and accumulated earnings and profits as determined for U.S. federal income tax purposes, constitute dividends for U.S. federal income tax purposes. Generally, the gross amount of any dividend we pay out of our current or accumulated earnings and profits (as determined for United States federal income tax purposes) is includible in income for a U.S. Holder and subject to U.S. federal income taxation. Dividends paid to a non-corporate U.S. Holder that constitute dividend income from a “qualified foreign corporation” will be taxable at a preferential tax rate applicable to long-term capital gains, provided that the U.S. Holder holds the ADSs for more than 60 days during the 121-day period beginning 60 days before the ex-dividend date and meets other holding period requirements. A non-United States corporation (other than a corporation that is classified as a PFIC for the taxable year in which the dividend is paid or the preceding taxable year) generally will be considered to be a qualified foreign corporation (i) if it is eligible for the benefits of a comprehensive tax treaty with the United States which the Secretary of Treasury of the United States determines is satisfactory for purposes of this provision and which includes an exchange of information program, or (ii) with respect to any dividend it pays on stock (or ADSs in respect of such stock) which is readily tradable on an established securities market in the United States. The ADSs are listed on The Nasdaq Capital Market, which is an established securities market in the United States. We therefore expect that dividends we pay with respect to the ADSs generally will constitute qualified dividend income. There can be no assurance, however, that the ADSs will be considered readily tradeable on an established securities market in later years.
A U.S. Holder must include any Danish tax withheld from the dividend payment, as described above under “— Danish Tax Considerations — Taxation of Shareholders Residing Outside Denmark,” in the gross amount of dividend paid even though the holder does not in fact receive it. The dividend is taxable to the holder when the depositary receives the dividend, actually or constructively. Because we are not a United States corporation and do not expect to meet the dividends-received deduction eligibility criteria for non-U.S. corporations, the dividend is not expected to be eligible for the dividends-received deduction generally allowed to U.S. corporations in respect of dividends received from other United States corporations. The amount of the dividend distribution includible in a U.S. Holder’s income will be the USD value of the Danish Krone payments made, determined at the spot Danish Krone/USD rate on the date the dividend distribution is includible in income, regardless of whether the payment is in fact converted into USD. Generally, any gain or loss resulting from currency exchange fluctuations during the period from the date the dividend payment is included in income to the date the payment is converted into USD will be treated as ordinary income or loss to the U.S. Holder and will not be eligible for the special tax rate applicable to qualified dividend income. The currency gain or loss generally will be income or loss from sources within the United States for foreign tax credit limitation purposes.
To the extent a distribution with respect to ADSs exceeds our current or accumulated earnings and profits, as determined under U.S. federal income tax principles, the distribution will be treated, first, as a tax-free return of the U.S. Holder’s capital invested in the Company, up to the holder’s adjusted tax basis in its ADSs, and, thereafter, as capital gain, which is subject to the tax treatment described below in “— Gain on Sale, Exchange or Other Taxable Disposition.”
Because we do not intend to determine our earnings and profits on the basis of United States federal income tax principles, all distributions paid will generally be treated as “dividends” for United States federal income tax purposes.
Dividends paid by the Company generally will be treated as income from foreign sources for United States foreign tax credit purposes and generally will constitute passive category income. A U.S. Holder may be eligible, subject to a number of complex limitations, to claim a foreign tax credit in respect of any foreign withholding taxes imposed on dividends received on the ADSs, including the Danish tax withheld in accordance with the Treaty and paid over to the Danish taxing authority, which may, subject to such limitations, be creditable against a U.S. Holder’s United States federal income tax liability. A U.S. Holder who does not elect to claim a foreign tax credit for foreign tax withheld, may instead claim a deduction, for United States federal income tax purposes, in respect of such withholdings, but only for a year in which such U.S. Holder elects to do so for all creditable foreign income taxes. To the extent a refund of the tax withheld is available to a U.S. Holder under Danish law or under the Treaty, the amount of tax withheld that is refundable will not be eligible for credit against a U.S. Holder’s U.S. federal income tax liability. See “— Danish
 
150

TABLE OF CONTENTS
 
Taxation — Withholding Tax Refund for United States Treaty Beneficiaries” above for the procedures for obtaining a tax refund. Investors are urged to consult their own tax advisors about the availability of any foreign tax credits or deductions in respect to their specific tax situations. Gain on Sale, Exchange or Other Taxable Disposition
Sale, Exchange or Disposition of ADSs
Subject to the PFIC rules described below under “— Passive Foreign Investment Company Considerations”, a U.S. Holder that sells, exchanges or otherwise disposes of ADSs in a taxable disposition generally will recognize capital gain or loss for United States federal income tax purposes equal to the difference between the United States dollar value of the amount realized and the holder’s adjusted tax basis, determined in United States dollars, in the ADSs. Gain or loss recognized on such a sale, exchange or other disposition of ADSs generally will be long-term capital gain if the U.S. Holder’s holding period in the ADSs exceeds one year. Long-term capital gains of non-corporate U.S. Holders are generally taxed at preferential rates. The gain or loss generally will be income or loss from sources within the United States for foreign tax credit limitation purposes. A U.S. Holder’s ability to deduct capital losses is subject to limitations.
Passive Foreign Investment Company Considerations
We have not made a determination as to whether the Company will or will not be treated as a PFIC in the current taxable year and subsequent taxable years. The determination of PFIC status is inherently factual, is subject to a number of uncertainties, and can be determined only annually after the close of the tax year in question. Additionally, the analysis depends, in part, on the application of complex U.S. federal income tax rules, which are subject to differing interpretations. There can be no assurance that the Company will or will not be determined to be a PFIC for the current tax year or any prior or future tax year, and no opinion of legal counsel or ruling from the IRS concerning the status of the Company as a PFIC has been obtained or will be requested. U.S. Holders should consult their own U.S. tax advisors regarding our PFIC status.
If we were classified as a “passive foreign investment company”, or a “PFIC”, for U.S. federal income tax purposes in any taxable year, a U.S. Holder would be subject to special rules with respect to distributions on and sales, exchanges and other dispositions of the ADSs. A non-U.S. corporation, such as the Company, will be classified as a PFIC for United States federal income tax purposes for any taxable year, if either (i) 75% or more of its gross income for such year consists of certain types of “passive” income (the “income test”) or (ii) 50% or more of the value of its assets (generally determined on the basis of a quarterly average) during such year is attributable to assets that produce or are held for the production of passive income (the “asset test”). For this purpose, cash and assets readily convertible into cash are categorized as passive assets and the company’s goodwill and other unbooked intangibles are taken into account. Passive income generally includes, among other things, dividends, interest, rents, royalties, and gains from the disposition of passive assets. However, certain rents and royalties received from unrelated parties in connection with the active conduct of a trade or business are not considered passive income for purposes of the PFIC test. For purposes of the PFIC test, we will be treated as owning a proportionate share of the assets and earning a proportionate share of the income of any other corporation in which we own, directly or indirectly, at least 25% (by value) of the stock.
If we were a PFIC with respect to a U.S. Holder, then unless such U.S. Holder makes one of the elections described below, a special tax regime would apply to the U.S. Holder with respect to (i) any “excess distribution” ​(generally, aggregate distributions in any year that are greater than 125% of the average annual distribution received by the holder in the shorter of the three preceding years or the holder’s holding period for the ADSs) and (ii) any gain realized on the sale or other disposition of the ADSs. Under this regime, any excess distribution and realized gain will be treated as ordinary income and will be subject to tax as if (a) the excess distribution or gain had been realized ratably over the U.S. Holder’s holding period, (b) the amount deemed realized in each year had been subject to tax in each year of that holding period at the highest marginal rate for such year (other than income allocated to the current period or any taxable period before we became a PFIC, which would be subject to tax at the U.S. Holder’s regular ordinary income rate for the current year and would not be subject to the interest charge discussed below), and (c) the interest charge generally applicable to underpayments of tax had been imposed on the taxes deemed to have
 
151

TABLE OF CONTENTS
 
been payable in those years. If we were determined to be a PFIC, this tax treatment for U.S. Holders would apply also to indirect distributions and gains deemed realized by U.S. Holders in respect of stock of any of our subsidiaries determined to be PFICs. In addition, dividend distributions would not qualify for the lower rates of taxation applicable to long-term capital gains discussed above under “— Taxation of Dividends.”
A U.S. Holder that holds the ADSs at any time during a taxable year in which we are classified as a PFIC generally will continue to treat such ADSs as ADSs in a PFIC, even if we no longer satisfy the PFIC income and asset tests described above, unless the U.S. Holder elects to recognize gain, which will be taxed under the excess distribution rules as if such ADSs had been sold on the last day of the last taxable year for which we were a PFIC.
Certain elections by a U.S. Holder would alleviate some of the adverse consequences of PFIC status and would result in an alternative treatment of the ADSs, as described below. These elections include a “qualified electing fund” or “QEF” election and a “mark-to-market” election, which is described in more detail below. We do not expect that a U.S. Holder would be able to make a QEF election with respect to the ADSs because we do not intend to provide to U.S. Holders the required information to make a valid QEF election.
In the event we are determined to be a PFIC, the rules applicable to PFICs described above would not apply to a U.S. Holder that makes a “mark-to-market” election with respect to the ADSs, but this election will be available with respect to the ADSs only if they meet certain minimum trading requirements to be considered “marketable stock” for purposes of the PFIC rules. Generally, shares of ADSs will be treated as marketable stock if they are “regularly traded” on a “qualified exchange” within the meaning of applicable Treasury Regulations. ADSs generally will be considered regularly traded during any calendar year during which they are traded, other than in de minimis quantities, on at least 15 days during each calendar quarter. Any trades that have as their principal purpose meeting this requirement will be disregarded. The ADSs will be considered marketable stock as long as they remain listed on The Nasdaq Capital Market and are regularly traded. We anticipate that the ADSs should qualify as being regularly traded, but no assurances may be given in this regard.
A U.S. Holder that makes a valid mark-to-market election for the first tax year in which the holder holds (or is deemed to hold) ADSs and for which we are a PFIC will be required to include each year an amount equal to the excess, if any, of the fair market value of such ADSs the holder owns as of the close of the taxable year over the holder’s adjusted tax basis in such ADSs. The U.S. Holder will be entitled to a deduction for the excess, if any, of the holder’s adjusted tax basis in the ADSs over the fair market value of such ADSs as of the close of the taxable year, but only to the extent of any net mark-to-market gains with respect to such ADSs included by the U.S. Holder under the election for prior taxable years and may be subject to certain other limitations. The U.S. Holder’s adjusted tax basis in such ADSs will be adjusted to reflect the amounts included or deducted pursuant to the election. Amounts included in income pursuant to a mark-to-market election, as well as gain on the sale, exchange or other taxable disposition of such ADSs, will be treated as ordinary income. The deductible portion of any mark-to-market loss, as well as loss on a sale, exchange or other disposition of ADSs to the extent that the amount of such loss does not exceed net mark-to-market gains previously included in income, will be treated as ordinary loss.
Because a mark-to-market election cannot be made for any lower-tier PFICs that we may own, a U.S. Holder may continue to be subject to the PFIC rules with respect to such U.S. Holder’s indirect interest in any investments held by us that are treated as an equity interest in a PFIC for U.S. federal income tax purposes.
The mark-to-market election applies to the taxable year for which the election is made and all subsequent taxable years, unless the ADSs cease to be treated as marketable stock for purposes of the PFIC rules or the IRS consents to its revocation. The excess distribution rules described above generally will not apply to a U.S. Holder for tax years for which a mark-to-market election is in effect. However, if we were a PFIC for any year in which the U.S. Holder owns the ADSs but before a mark-to-market election is made, the interest charge rules described above would apply to any mark-to-market gain recognized in the year the election is made.
A U.S. Holder of PFIC shares must generally file an annual information return on IRS Form 8621 (Information Return by a Shareholder of a Passive Foreign Investment Company or Qualified Electing
 
152

TABLE OF CONTENTS
 
Fund). The failure to file IRS Form 8621 could result in the imposition of penalties and the extension of the statute of limitations with respect to U.S. federal income tax. U.S. Holders are urged to consult their tax advisors as to our status as a PFIC, and the tax consequences to them if we were a PFIC, including the reporting requirements and the desirability of making, and the availability of, a mark-to-market election with respect to the ADSs.
Net Investment Income Tax
Non-corporate U.S. Holders that are individuals, estates or trusts and whose income exceeds certain thresholds generally are subject to a 3.8% tax on all or a portion of their net investment income, which may include their gross dividend income and net gains from the disposition of ADSs. A U.S. person that is an individual, estate or trust is encouraged to consult its tax advisors regarding the applicability of this net investment income tax to its income and gains in respect of any investment in ADSs.
Information Reporting with Respect to Foreign Financial Assets
Individual U.S. Holders may be subject to certain reporting obligations on IRS Form 8938 (Statement of Specified Foreign Financial Assets) with respect to the ADSs for any taxable year during which the U.S. Holder’s aggregate value of these and certain other “specified foreign financial assets” exceed a threshold amount that varies with the filing status of the individual. This reporting obligation also applies to domestic entities formed or availed of to hold, directly or indirectly, specified foreign financial assets, including the ADSs. Significant penalties can apply if U.S. Holders are required to make this disclosure and fail to do so.
U.S. Holders who acquire ADSs for cash may be required to file IRS Form 926 (Return by a U.S. Transferor of Property to a Foreign Corporation) with the IRS and to supply certain additional information to the IRS if (i) immediately after the transfer, the U.S. Holder owns directly or indirectly (or by attribution) at least 10% of our total voting power or value or (ii) the amount of cash transferred to us in exchange for ADSs, when aggregated with all related transfers under applicable regulations, exceeds $100,000. Substantial penalties may be imposed on a U.S. Holder that fails to comply with this reporting requirement.
Information Reporting and Backup Withholding
Dividend payments with respect to the ADSs and proceeds from the sale, exchange or redemption of the ADSs may be subject to information reporting to the IRS and possible United States backup withholding tax. In general, information reporting, including IRS Form 1099 reporting, will apply to dividends in respect of ADSs and the proceeds from the sale, exchange or redemption of ADSs that are paid to a holder of ADSs within the United States (and in certain cases, outside the United States), unless such holder is an exempt recipient such as a corporation. Backup withholding will not apply, however, to a U.S. Holder who furnishes a correct taxpayer identification number and makes other required certifications, or who is otherwise exempt from backup withholding. U.S. Holders that are required to establish their exempt status generally must provide such certification on IRS Form W-9. Backup withholding is not an additional tax. A U.S. Holder generally may obtain a refund of any amounts withheld under the backup withholding rules that exceed the U.S. Holder’s income tax liability by filing a refund claim with the IRS. U.S. Holders are urged to consult their tax advisors regarding the application of the United States information reporting and backup withholding rules.
 
153

TABLE OF CONTENTS
 
DESCRIPTION OF SECURITIES WE ARE OFFERING
We are offering up to 3,997,361 ADSs.
American Depositary Shares (‘ADSs’)
For a description of the ADSs see the section “Description of American Depositary Shares”.
On January 14, 2025, we effected a change to the ratio of the ADSs to our ordinary shares from one ADS representing ten (10) ordinary share to one ADS representing fifty (50) ordinary shares, or the 2025 ADS Ratio Change. Except as otherwise indicated, all information in this prospectus, including the number of ADSs being offered and the offering price gives retroactive effect to the 2025 ADS Ratio Change.
Warrants
Duration and Exercise Price
Each Warrant will have an exercise price equal to $2.71 per ADS. The Warrants will be immediately exercisable from the date of issuance until the five (5) year anniversary of the initial exercise date. The exercise price and number of ADSs issuable upon exercise is subject to appropriate adjustment in the event of stock dividends, stock splits, subsequent rights offerings, pro rate distributions, reorganizations, or similar events affecting the Company’s ordinary shares and ADSs and the exercise price.
Exercisability
The Warrants will be exercisable, at the option of each holder, in whole or in part, by delivering to the Company a duly executed exercise notice accompanied by payment in full for the number of ADSs purchased upon such exercise. A holder (together with its affiliates) may not exercise any portion of such holder’s Warrants to the extent that the holder would own more than 4.99% (or, at the election of the holder, 9.99%) of the outstanding ordinary shares represented by ADSs immediately after exercise, except that upon prior notice from the holder to the Company, the holder may increase or decrease the amount of ownership of outstanding ADSs after exercising the holder’s Warrants up to 9.99% of the number of the Company’s ordinary shares outstanding immediately after giving effect to the exercise, as such percentage ownership is determined in accordance with the terms of the Warrants, provided that any increase will not be effective until 61 days following notice to us.
At the time a holder exercises its Warrants, if a registration statement registering the issuance or resale of the ordinary shares represented by ADSs issuable upon exercise of the Warrants under the Securities Act is not then effective or available for the issuance of such ordinary shares represented by ADSs, we shall be obligated to pay certain liquidated damages of up to $20 per day per $1,000 of Warrant ADSs subject to exercise as further described in Section 2(c) of the Warrants.
Trading Market
There is no established trading market for the Warrants, and the Company does not expect an active trading market to develop. The Company does not intend to apply to list the Warrants on any securities exchange or other trading market. Without a trading market, the liquidity of the Warrants will be extremely limited.
Rights as a Stockholder
Except as otherwise provided in the Warrants or by virtue of the holder’s ownership of the Company’s ADSs, such holder of Warrants does not have the rights or privileges of a holder of the Company’s ADSs, including any voting rights, until such holder exercises such holder’s Warrants. The Warrants will provide that the holders of the Warrants have the right to participate in distributions or dividends paid on the Company’s ADSs.
Fundamental Transactions
If at any time the Warrants are outstanding, the Company, either directly or indirectly, in one or more related transactions effects a Fundamental Transaction (as defined in the Warrant), a Holder of Warrants
 
154

TABLE OF CONTENTS
 
will be entitled to receive, upon exercise of the Warrants, the kind and amount of securities, cash or other property that such holder would have received had they exercised the Warrants immediately prior to the Fundamental Transaction. Notwithstanding the foregoing, in the event of a fundamental transaction, the holders of the Warrants have the right to require us or a successor entity to redeem the Warrants for cash in the amount of the Black-Scholes Value (as defined in each Warrant) of the unexercised portion of the Warrants concurrently with or within 30 days following the consummation of a fundamental transaction.
However, in the event of a fundamental transaction which is not in our control, including a fundamental transaction not approved by our board of directors, the holders of the Warrants will only be entitled to receive from us or our successor entity, as of the date of consummation of such fundamental transaction the same type or form of consideration (and in the same proportion), at the Black Scholes Value of the unexercised portion of the Warrants that is being offered and paid to the holders of our ADSs in connection with the fundamental transaction, whether that consideration is in the form of cash, stock or any combination of cash and stock, or whether the holders of our ADSs are given the choice to receive alternative forms of consideration in connection with the fundamental transaction.
Waivers and Amendments
The Warrants may be modified or amended or the provisions of the Warrants waived with the Company’s and the holder’s written consent.
 
155

TABLE OF CONTENTS
 
PLAN OF DISTRIBUTION
We have engaged Lake Street Capital Markets, LLC and JonesTrading Institutional Services LLC, or the Placement Agents, to act as our exclusive Placement Agents to solicit offers to purchase the securities offered pursuant to this prospectus on a reasonable best efforts basis. The engagement agreement does not give rise to any commitment by the Placement Agents to purchase any of our securities, and the Placement Agents will have no authority to bind us by virtue of the engagement agreement. The Placement Agents are not purchasing or selling any of the securities offered by us under this prospectus, nor are they required to arrange for the purchase or sale of any specific number or dollar amount of securities, other than to use its “reasonable best efforts” to arrange for the sale of such securities by us. Therefore, we may not sell all of the securities being offered. The terms of this offering were subject to market conditions and negotiations between us, the Placement Agents and prospective investors. This is a best efforts offering and there is no minimum offering amount required as a condition to the closing of this offering. Because there is no minimum offering amount required as a condition to closing this offering, we may sell fewer than all of the securities offered hereby, which may significantly reduce the amount of proceeds received by us. The Placement Agents do not guarantee that it will be able to raise new capital in any prospective offering. The Placement Agents may engage sub-agents or selected dealers to assist with the offering.
Investors purchasing securities offered hereby will have the option to execute a securities purchase agreement with us. In addition to rights and remedies available to all purchasers in this offering under federal securities and state law, the purchasers which enter into a securities purchase agreement will also be able to bring claims of breach of contract against us. The ability to pursue a claim for breach of contract is material to larger purchasers in this offering as a means to enforce the following covenants uniquely available to them under the securities purchase agreement: (i) a covenant to not enter into variable rate financings for a period of six (6) months following the closing of the offering, subject to certain exceptions; and (ii) a covenant to not issue any ordinary shares or ADSs or securities convertible into ordinary shares or ADSs for thirty (30) days from closing of the offering, subject to certain exceptions.
The nature of the representations, warranties and covenants in the securities purchase agreements shall include:

standard issuer representations and warranties on matters such as organization, qualification, authorization, no conflict, no governmental filings required, current in SEC filings, no litigation, labor or other compliance issues, environmental, intellectual property and title matters and compliance with various laws such as the Foreign Corrupt Practices Act; and

covenants regarding matters such as registration of warrant shares, no integration with other offerings, filing of a 6-K to disclose entering into these securities purchase agreements, no shareholder rights plans, no material nonpublic information, use of proceeds, indemnification of purchasers, reservation and listing of ADSs, and no issuance of any ordinary shares or ADSs or securities convertible into ordinary shares or ADSs for thirty (30) days from closing of the offering, subject to certain exceptions.
We expect to deliver the securities being offered pursuant to this prospectus on or about       , 2025, subject to satisfaction of certain customary closing conditions.
Fees and Expenses
The following table shows the per ADS and Warrant and per Warrant proceeds and total Placement Agents fees we will pay in connection with the sale of the securities in this offering.
Per ADS And
accompanying
Warrant
Total
Public offering price
$ 2.71 $ 10,832,050
Placement Agents Fees
$ 0.17 $ 673,999
Proceeds to us (before expenses)
$ 2.54 $ 10,153.297
 
156

TABLE OF CONTENTS
 
(1)
Gross proceeds assumes no exercise of the Warrants.
We have agreed to pay the Placement Agents cash fee equal to 7.0% of the gross proceeds raised in this offering, except for certain investors totaling approximately 38% of gross proceeds who we will only pay the Placement Agents a cash fee equal to 5.0% for. We have also agreed to reimburse the Placement Agents for certain of its offering-related expenses, including for its legal fees and expenses and other out-of-pocket expenses in an amount up to $100,000. We estimate the total expenses of this offering payable by us, excluding the Placement Agents fees, will be approximately $0.7 million.
We have agreed to pay an investment banking firm that we engaged in a prior financing a cash fee of up to seven and a half percent (7.5%) of the gross proceeds received by us in this offering (the “Fee Tail”) from certain investors previously brought over-the-wall by such firm (the “Tail Investors”). To the extent such Tail Investors represent one-quarter of the gross proceeds received in this offering, we would be obligated to pay to such investment banking firm, and our net proceeds in this offering would be reduced by, approximately $235,000.
Lock-up Agreements
We and each of our officers and directors have agreed with the Placement Agents to be subject to a lock-up period of thirty (30) days following the date of closing of the offering pursuant to this prospectus. This means that, during the applicable lock-up period, we and such persons may not offer for sale, contract to sell, sell, distribute, grant any option, right or warrant to purchase, pledge, hypothecate or otherwise dispose of, directly or indirectly, any of the ADSs or any securities convertible into, or exercisable or exchangeable for, ADSs, subject to customary exceptions. The Placement Agents may waive the terms of these lock-up agreements in their sole discretion and without notice. In addition, we have agreed to not issue any securities that are subject to a price reset based on the trading prices of our ADSs or upon a specified or contingent event in the future, or enter into any agreement to issue securities at a future determined price for a period of six (6) months following the closing date of this offering, subject to certain exceptions. The Placement Agents may waive this prohibition in their sole discretion and without notice.
Tail
We have also agreed to pay the Placement Agents a tail fee equal to the cash compensation in this offering, if any investor, who was brought over-the-wall by the Placement Agents during the term of its engagement, provides us with capital in any public or private offering or other financing or capital raising transaction during the 6-month period following expiration or termination of our engagement of the Placement Agents.
Regulation M
The Placement Agents may be deemed to be an underwriter within the meaning of Section 2(a)(11) of the Securities Act, and any commissions received by it and any profit realized on the resale of the securities sold by it while acting as principal might be deemed to be underwriting discounts or commissions under the Securities Act. As an underwriter, the Placement Agents would be required to comply with the requirements of the Securities Act and the Exchange Act, including, without limitation, Rule 10b-5 and Regulation M under the Exchange Act. These rules and regulations may limit the timing of purchases and sales of our securities by the Placement Agents acting as principal. Under these rules and regulations, the Placement Agents (i) may not engage in any stabilization activity in connection with our securities and (ii) may not bid for or purchase any of our securities or attempt to induce any person to purchase any of our securities, other than as permitted under the Exchange Act, until it has completed its participation in the distribution.
Indemnification
We have agreed to indemnify the Placement Agents against certain liabilities, including certain liabilities arising under the Securities Act and to contribute to payments that the Placement Agents may be required to make for these liabilities.
 
157

TABLE OF CONTENTS
 
Determination of Offering Price
The actual offering price of the securities we are offering has been negotiated between us and the investors in the offering based on the trading of the ADSs prior to the offering, among other things. Other factors considered in determining the public offering price of the securities we are offering include our history and prospects, the stage of development of our business, our business plans for the future and the extent to which they have been implemented, an assessment of our management, the general conditions of the securities markets at the time of the offering and such other factors as were deemed relevant.
Electronic Offer, Sale and Distribution of Securities
A prospectus in electronic format may be made available on the websites maintained by the Placement Agents, if any, participating in this offering and the Placement Agents may distribute prospectuses electronically. Other than the prospectus in electronic format, the information on these websites is not part of this prospectus or the registration statement of which this prospectus forms a part, has not been approved or endorsed by us or the Placement Agents, and should not be relied upon by investors.
Other Relationships
From time to time, the Placement Agents or its affiliates have in the past or may in the future provide in the future, various advisory, investment and commercial banking and other services to us in the ordinary course of business, for which they have received and may continue to receive customary fees and commissions. However, except as disclosed in this prospectus, we have no present arrangements with the Placement Agent for any further services.
Listing
The ADSs are listed on The Nasdaq Capital Market under the symbol “EVAX.”
Depositary
The depositary for the ADSs is The Bank of New York Mellon.
 
158

TABLE OF CONTENTS
 
EXPENSES OF THE OFFERING
Set forth below is an itemization of the total anticipated expenses, excluding Placement Agents commissions, expected to be incurred in connection with the offer and sale of the ADSs by us. With the exception of the SEC registration fee and the FINRA filing fee, all amounts are estimates, in United States dollars:
SEC registration fee
$ 4,153
FINRA filing fee
$ 4,569
Printing and engraving expenses
$ 90,000
Legal fees and expenses
$ 540,000
Accounting fees and expenses
$ 45,000
Miscellaneous expenses
$ 40,000
Total
$ 723,722
LEGAL MATTERS
We are being represented by Duane Morris LLP, New York, New York with respect to certain legal matters of United States federal securities and New York state law. We are being represented by Mazanti-Andersen AdvokatPartnerselskab, Denmark with respect to certain legal matters of the law of Denmark. Sullivan & Worcester, LLP, New York, New York, is acting as counsel to the placement agents in connection with certain legal matters related to this offering.
EXPERTS
The consolidated financial statements of Evaxion Biotech A/S appearing in Evaxion Biotech A/S’s Annual Report (Form 20-F) for the year ended December 31, 2023 have been audited by EY Godkendt Revisionspartnerselskab, independent registered public accounting firm, as set forth in their report thereon (which contains an explanatory paragraph describing conditions that raise substantial doubt about the Company’s ability to continue as a going concern as described in Note 2 to the consolidated financial statements) included therein, and incorporated herein by reference. Such consolidated financial statements are incorporated herein by reference in reliance upon such report given on the authority of such firm as experts in accounting and auditing.
The registered business address of EY Godkendt Revisionspartnerselskab is Dirch Passers Allé 36, 2000 Frederiksberg, Denmark.
WHERE YOU CAN FIND MORE INFORMATION
We have filed with the SEC a registration statement on Form F-1 under the Securities Act relating to this offering. This prospectus does not contain all of the information contained in the registration statement. The rules and regulations of the SEC allow us to omit certain information from this prospectus that is included in the registration statement. Statements made in this prospectus concerning the contents of any contract, agreement or other document are summaries of all material information about the documents summarized, but are not complete descriptions of all terms of these documents. If we filed any of these documents as an exhibit to the registration statement, you may read the document itself for a complete description of its terms.
You may read and copy the registration statement, including the related exhibits and schedules, and any document we file with the SEC without charge at the SEC’s public reference room at 100 F Street, N.E., Room 1580, Washington, DC 20549. You may also obtain copies of the documents at prescribed rates by writing to the Public Reference Section of the SEC at 100 F Street, N.E., Room 1580, Washington, DC 20549. Please call the SEC at 1-800-SEC-0330 for further information on the public reference room. The SEC also maintains an Internet website that contains reports and other information regarding issuers that file electronically with the SEC. Our filings with the SEC are also available to the public through the SEC’s website at
 
159

TABLE OF CONTENTS
 
We are subject to the information reporting requirements of the Exchange Act that are applicable to foreign private issuers, and under those requirements are filing reports with the SEC. Those other reports or other information may be inspected without charge at the locations described above. As a foreign private issuer, we are exempt from the rules under the Exchange Act related to the furnishing and content of proxy statements, and our officers, directors and principal shareholders are exempt from the reporting and short-swing profit recovery provisions contained in Section 16 of the Exchange Act. In addition, we are not required under the Exchange Act to file annual, quarterly and current reports and financial statements with the SEC as frequently or as promptly as U.S. registrants whose securities are registered under the Exchange Act. However, we are required to file with the SEC, within 120 days after the end of each fiscal year, or such applicable time as required by the SEC, an annual report on Form 20-F containing financial statements audited by an independent registered public accounting firm, and will furnish to the SEC, on Form 6-K, unaudited interim financial information.
We maintain a corporate website at www.evaxion-biotech.com. Information contained on, or that can be accessed through, our website does not constitute a part of this prospectus. We have included our website address in this prospectus solely as an inactive textual reference. We will post on our website any materials required to be so posted on such website under applicable corporate or securities laws and regulations, including, posting any XBRL interactive financial data required to be filed with the SEC and any notices of general meetings of our shareholders.
INFORMATION INCORPORATED BY REFERENCE
The rules of the SEC allow us to incorporate information into this prospectus by reference. The information incorporated by reference is considered to be a part of this prospectus. This prospectus incorporates by reference the documents listed below (including any exhibits, except where otherwise noted):

our Annual Report on Form 20-F for the year ended December 31, 2023 filed with the SEC on March 26, 2024;

our reports on Form 6-K filed with the SEC on January 8, 2024, January 10, 2024, January 12, 2024, January 22, 2024, January 24, 2024, January 26, 2024, February 1, 2024, February 5, 2024, February 6, 2024, February 7, 2024, February 7, 2024, February 20, 2024, February 29, 2024, March 13, 2024, March 19, 2024, March 27, 2024, March 29, 2024, April 2, 2024, April 17, 2024, April 25, 2024, May 10, 2024, May 23, 2024, May 24, 2024, May 28, 2024, June 3, 2024, June 3, 2024, June 7, 2024, June 17, 2024, June 18, 2024, June 24, 2024, June 26, 2024, July 2, 2024, July 2, 2024, July 3, 2024, July 3, 2024, July 16, 2024, August 2, 2024, August 8, 2024, August 12, 2024, August 14, 2024, August 14, 2024, August 19, 2024, September 9, 2024, September 9, 2024, September 16, 2024, September 19, 2024, September 20, 2024, September 26, 2024, October 1, 2024, October 3, 2024, October 4, 2024, October 9, 2024, October 28, 2024, October 31, 2024, November 13, 2024, November 13, 2024; November 13, 2024; December 3, 2024; December 9, 2024; December 12, 2024; December 17, 2024; December 26, 2024; December 30, 2024; January 7, 2025; January 10, 2025; January 14, 2025; January 15, 2025; January 21, 2025; January 27, 2025 and January 28, 2025;

the description of our securities contained in our registration statement on Form 8-A filed with the SEC on January 26, 2021, including all amendments and reports filed for the purpose of updating such description.
Any statement made in a document incorporated by reference into this prospectus will be deemed to be modified or superseded for purposes of this prospectus to the extent that a statement contained in this prospectus modifies or supersedes that statement. Any statement so modified or superseded will not be deemed, except as so modified or superseded, to constitute a part of this prospectus.
You can obtain any of the filings incorporated by reference into this prospectus through us or from the SEC through the SEC’s website at http://www.sec.gov. We will provide, without charge, to each person, including any beneficial owner, to whom a copy of this prospectus is delivered, upon written or oral request
 
160

TABLE OF CONTENTS
 
of such person, a copy of any or all of the reports and documents referred to above which have been or may be incorporated by reference into this prospectus. You should direct requests for those documents to:
Evaxion Biotech A/S
Dr. Neergaards Vej 5F
2970 Hørsholm
Denmark
Tel:+ 45 53 53 18 50
DISCLOSURE OF COMMISSION POSITION ON INDEMNIFICATION FOR SECURITIES ACT LIABILITIES
In so far as indemnification for liabilities arising under the Securities Act may be permitted to our directors, officers, and controlling persons, we have been informed that in the opinion of the SEC this indemnification is against public policy as expressed in the Securities Act and is therefore unenforceable.
 
161

TABLE OF CONTENTS
UP TO 3,997,361 AMERICAN DEPOSITARY SHARES REPRESENTING
199,868,050 ORDINARY SHARES AND UP TO 1,998,675 WARRANTS
TO PURCHASE UP TO 1,998,675 AMERICAN DEPOSITARY SHARES
(and 1,998,675 American Depositary Shares representing
99,933,750 ordinary shares issuable upon exercise of the Warrants)
[MISSING IMAGE: lg_evaxion-bwlr.jpg]
EVAXION BIOTECH A/S
PROSPECTUS
Lake Street
Jones
January 30, 2025