As submitted confidentially to the U.S. Securities and Exchange Commission on December 10, 2021. This draft registration statement has not been publicly filed with the U.S. Securities and Exchange Commission and all information herein remains strictly confidential.
Registration No. [●]
UNITED STATES
SECURITIES AND EXCHANGE COMMISSION
WASHINGTON, D.C. 20549
FORM F-1
REGISTRATION STATEMENT
UNDER
THE SECURITIES ACT OF 1933
J-Star Holding Co., Ltd.
(Exact name of Registrant as specified in its charter)
Not Applicable
(Translation of Registrant’s name into English)
| Cayman Islands | 3949 | Not Applicable | ||
| (State
or other jurisdiction of incorporation or organization) |
(Primary
Standard Industrial Classification Code Number) |
(I.R.S.
Employer Identification Number) |
7/F-1, No. 633, Sec. 2, Taiwan Blvd.,
Xitun District, Taichung City 407,
Taiwan
(R.O.C.)
Tel: + 886-423229900
(Address, including zip code, and telephone number, including area code, of Registrant’s principal executive offices)
Puglisi & Associates
850 Library Avenue, Suite 204
Newark, DE19711
Tel:
(302) 738-6680
(Name, address, including zip code, and telephone number, including area code, of agent for service)
| Copies to: | ||
Lawrence S. Venick, Esq. Loeb & Loeb LLP 10100 Santa Monica Boulevard Suite 2200 Los Angeles, CA 90067 Telephone: (310) 282-2000 Facsimile: (310) 282-2200 |
Richard I. Anslow, Esq. Richard Baumann, Esq. Ellenoff Grossman & Schole LLP 1345 Avenue of the Americas New York, New York 10105 Telephone: (212) 370-1300 | |
Approximate date of commencement of proposed sale to the public: as soon as practicable after the effective date of this registration statement.
If any of the securities being registered on this Form are to be offered on a delayed or continuous basis pursuant to Rule 415 under the Securities Act of 1933, check the following box. ☒
If this Form is filed to register additional securities for an offering pursuant to Rule 462(b) under the Securities Act, please check the following box and list the Securities Act registration statement number of the earlier effective registration statement for the same offering. ☐
If this Form is a post-effective amendment filed pursuant to Rule 462(c) under the Securities Act, check the following box and list the Securities Act registration statement number of the earlier effective registration statement for the same offering. ☐
If this Form is a post-effective amendment filed pursuant to Rule 462(d) under the Securities Act, check the following box and list the Securities Act registration statement number of the earlier effective registration statement for the same offering. ☐
Indicate by check mark whether the registrant is an emerging growth company as defined in Rule 405 of the Securities Act of 1933.
Emerging growth company. ☒
If an emerging growth company that prepares its financial statements in accordance with U.S. GAAP, indicate by check mark if the registrant has elected not to use the extended transition period for complying with any new or revised financial accounting standards† provided pursuant to Section 7(a)(2)(B) of the Securities Act. ☐
CALCULATION OF REGISTRATION FEE
| Title of Each Class of Securities to be Registered | Proposed Maximum Aggregate Offering Price(1) (2) (3) | Amount of Registration Fee | ||||||
| Ordinary shares, par value US$0.36 per share | $ | $ | ||||||
| Representative’s Warrant (4)(5) | ||||||||
| Ordinary shares underlying Representative’s Warrant (4) | $ | $ | ||||||
| Total | $ | 15,000,000 | $ | 1,636.50 | (5) | |||
| (1) | Estimated solely for the purpose of calculating the amount of the registration fee in accordance with Rule 457(o) under the Securities Act of 1933, as amended. |
| (2) | Pursuant to Rule 416, the securities being registered hereunder include such indeterminate number of additional securities as may be issuable to prevent dilution resulting from stock splits, stock dividends or similar transactions. |
| (3) | Includes the price of additional ordinary shares that the underwriters have the option to purchase to cover over-allotments, if any. |
| (4) | We have agreed to issue to the underwriters warrants to purchase the number of ordinary shares (the “Representative’s Warrant”) in the aggregate equal to ten percent (10%) of the total number of offered shares sold in the offering. The Representative’s Warrants will be exercisable at any time, and from time to time, with a cashless provision, within five (5) years from effective date of the Registration Statement, in whole or in part, but may not be transferred nor may the shares underlying the Representative’s Warrants be sold until 180 days from the effective date of this Registration Statement. The exercise price of the Representative’s Warrant is equal to 110% of the public offering price per share in the offering. |
| (5) | No separate registration fee required pursuant to Rule 457(g) under the Securities Act. |
The Registrant hereby amends this Registration Statement on such date or dates as may be necessary to delay its effective date until the Registrant shall file a further amendment which specifically states that this Registration Statement shall thereafter become effective in accordance with Section 8(a) of the Securities Act of 1933, as amended, or until the Registration Statement shall become effective on such date as the Securities and Exchange Commission, acting pursuant to such Section 8(a), may determine.
The information in this preliminary prospectus is not complete and may be changed. We may not sell these securities until the registration statement filed with the Securities and Exchange Commission is effective. This preliminary prospectus is not an offer to sell these securities and we are not soliciting offers to buy these securities in any jurisdiction where the offer or sale is not permitted.
| PRELIMINARY PROSPECTUS (Subject to Completion) | Dated December 10, 2021 |
[●] Ordinary Shares

J-Star Holding Co., Ltd.
(incorporated in the Cayman Islands with limited liability)
This is the initial public offering of our ordinary shares. We are offering [ ] of our ordinary shares, par value $0.36 per share, on a firm commitment basis. The estimated initial public offering price is $[ ] per share. Currently, no public market exists for our ordinary shares. We intend to apply to have our ordinary shares listed on the Nasdaq Capital Market, or Nasdaq, under the symbol “YMAT.” We cannot guarantee that we will be successful in listing our ordinary shares on the Nasdaq; however, we will not complete this offering unless we are so listed.
J-Star Holding Co., Ltd. is an exempted company with limited liability incorporated under the laws of the Cayman Islands. As a holding company with no material operations of our own, our operations are conducted through our subsidiaries in the PRC, Taiwan, Hong Kong and Samoa with our headquarters in Taiwan. As such, the Chinese government may exercise significant oversight and discretion over the conduct of our business and may intervene in or influence our operations at any time. Such governmental actions:
| ● | could result in a material change in our operations; |
| ● | could hinder our ability to continue to offer securities to investors; and |
| ● | may cause the value of our securities to significantly decline or be worthless. |
Recent statements by the Chinese government initiated a series of regulatory actions and statements to regulate business operations in China with little advance notice, including cracking down on illegal activities in the securities market, adopting new measures to extend the scope of cybersecurity reviews, and expanding the efforts in anti-monopoly enforcement. Since these regulatory actions and statements are new, it is highly uncertain how soon legislative or administrative regulation making bodies will respond and what existing or new laws or regulations or detailed implementations and interpretations will be modified or promulgated, if any, and the potential impact such modified or new laws and regulations will have on our business operations in China, the ability to accept foreign investments and list on a U.S. or other foreign exchange. Any future action by the Chinese government expanding the categories of industries and companies whose foreign securities offerings are subject to government review could significantly limit or completely hinder our ability to offer or continue to offer securities to investors and could cause the value of such securities to significantly decline or be worthless. For a detailed description of the risks related to doing business in the PRC, and the offering, see “Risks Related to Conducting Operations in PRC” and “Risks Related to this Offering and Ownership of Our Ordinary Shares” in the Risk Factors section. Unless otherwise stated, as used in this prospectus, “we,” “us,” “our company,” the “Company,” “our,” “our group,” or the “Group” refers to J-Star Holding Co., Ltd., together with its subsidiaries, and also in the context of describing our operations and consolidated financial information. To specifically indicate any of the subsidiaries under J-Star Holding Co., Ltd, separated definition of each subsidiary is adopted as defined below in order to refer to the same.
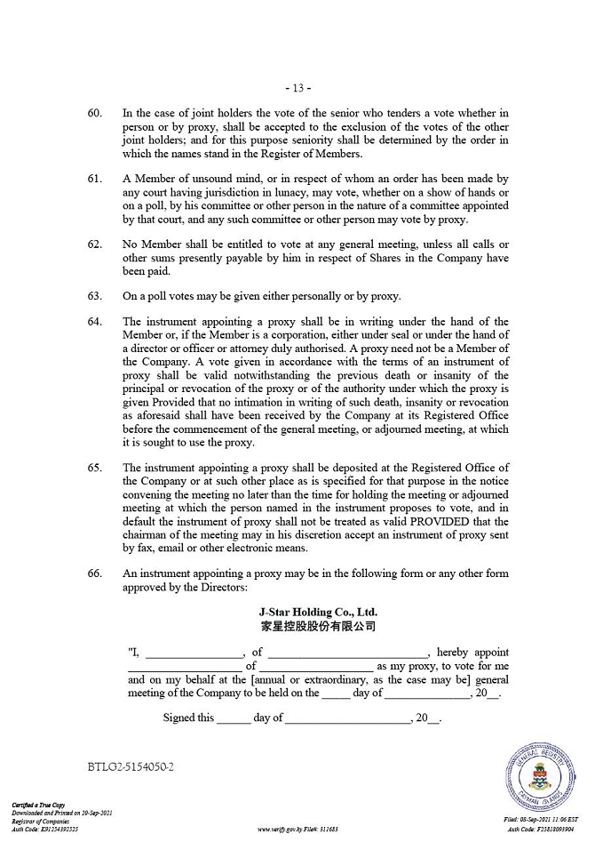
We are an “emerging growth company,” as that term is used in the Jumpstart Our Business Startups Act of 2012, and will be subject to reduced public company reporting requirements. See “Prospectus Summary — Implications of Being an Emerging Growth Company.”
Investing in our ordinary shares is highly speculative and involves a significant degree of risk. See “Risk Factors” beginning on page 13 of this prospectus for a discussion of information that should be considered before making a decision to purchase our ordinary shares.
Neither the Securities and Exchange Commission nor any state securities commission has approved or disapproved of these securities or passed upon the accuracy or adequacy of this prospectus. Any representation to the contrary is a criminal offense.
| Per Share | Total | |||||||
| Public offering price | $ | $ | ||||||
| Underwriting discount and commissions (1) | $ | $ | ||||||
| Proceeds to us, before expenses | $ | $ | ||||||
| (1) | ViewTrade Securities, Inc. as representative to the underwriters will receive compensation in addition to the underwriting discount, as set forth in the section entitled “Underwriting” beginning on page 141 upon the closing of this offering. We have also agreed to reimburse the underwriters for certain expenses incurred in connection with this offering. See “Underwriting” for additional information. |
This offering is being conducted on a firm commitment basis. The underwriters are obligated to take and pay for all of the shares if any such shares are taken. We have granted the underwriters an option, exercisable in whole or in part, to purchase up to [●] additional ordinary shares from us at the public offering price, less the underwriting discounts and commissions, within 45 days from the date of this prospectus to cover over-allotments, if any. If the underwriters exercise the option in full, the total underwriting discounts and commissions payable will be $[ ], and the total proceeds to us, before expenses, will be $[ ].
The underwriters expect to deliver the ordinary shares to purchasers in the offering on or about [____], 2022.

VIEWTRADE SECURITIES, INC.
The date of this prospectus is [_____].
TABLE OF CONTENTS
You should rely only on the information contained in this prospectus or in any related free-writing prospectus. We have not authorized anyone to provide you with information different from that contained in this prospectus. We are offering to sell, and seeking offers to buy, the ordinary shares only in jurisdictions where offers and sales are permitted. Unless otherwise stated, the information contained in this prospectus is current only as of the date of this prospectus, regardless of the time of delivery of this prospectus or of any sale of the ordinary shares.
We have not taken any action to permit a public offering of the ordinary shares outside the United States or to permit the possession or distribution of this prospectus outside the United States. Persons outside the United States who come into possession of this prospectus must inform themselves about and observe any restrictions relating to the offering of the ordinary shares and the distribution of the prospectus outside the United States.
Until , 2022 (the 25th day after the date of this prospectus), all dealers that buy, sell or trade ordinary shares, whether or not participating in this offering, may be required to deliver a prospectus. This is in addition to the obligation of dealers to deliver a prospectus when acting as underwriters and with respect to their unsold allotments or subscriptions.
| 1 |
The following summary is qualified in its entirety by, and should be read in conjunction with, the more detailed information and financial statements appearing elsewhere in this prospectus. In addition to this summary, we urge you to read the entire prospectus carefully, especially the risks of investing in our ordinary shares discussed under “Risk Factors,” before deciding whether to buy our ordinary shares.
“Bohong Technology” refers to Bohong Technology Jiangsu Co., Ltd.
All references to “we,” “us,” “our,” “our company,” the “Company,”“our group,” the “Group” or similar terms used in this prospectus refer to J-Star Holding Co., Ltd., an exempted company with limited liability incorporated under the laws of the Cayman Islands, including its consolidated subsidiaries, unless the context otherwise indicates. To specifically indicate any of the subsidiaries under J-Star Holding Co., Ltd, separated definition of each subsidiary is adopted as defined below in order to refer to the same.
“Companies Act” means the Companies Act (2021 Revision) of the Cayman Islands, as may be amended from time to time.
“HKD” refers to the legal currency of Hong Kong Special Administrative Region of the People’s Republic of China.
“Hong Kong” or “HK” refers to the Hong Kong Special Administrative Region of the People’s Republic of China.
“J-Star” refers to J-Star Holding Co., Ltd.
“NTD” refers to the New Taiwan dollar, the legal currency of Taiwan.
“PRC” or “China” refers to the People’s Republic of China, excluding, for the purpose of this prospectus only, Taiwan, Hong Kong and Macau.
“Predecessor Group” refers to the companies comprising Yuan Min An Enterprises Co., Ltd., Skyfort International PTE. Ltd., YMA Corporation (formerly known as Yuan Chuan International Co., Ltd.), Dongguan Yuantai Sports Equipment Co., Ltd., Forwell Sports Equipment Co., Ltd. and Time Yield Limited.
“RMB” or “Renminbi” refers to the legal currency of China.
“Taiwan” refers to Taiwan, Republic of China.
“$,” “US$,” “USD” or “U.S. Dollars” refers to the legal currency of the United States.
“share capital” or “shares in the capital of” or similar expressions include a reference to shares in a company that does not have a share capital under its governing law, but which is authorized to issue a maximum or unlimited number of shares.
Unless the context indicates otherwise, all information in this prospectus assumes no exercise by the underwriters of their over-allotment option.
Business Overview
Our Predecessor Group was established in 1970 and we have accumulated over 50 years know-how in material composite industry. We develop and commercialize the technology on carbon reinforcement and resin systems. With decades of experience and knowledge in composites and materials, we are able to apply our expertise and technology on designing and manufacturing a great variety of lightweight, high-performance carbon composite products, ranging from key structural parts of electric bicycles and sports bicycles, rackets, automobile parts to healthcare products. According to the industry report commissioned by us and prepared by Frost & Sullivan, we are one of the major global leading players in the carbon fiber bicycle parts industry and carbon fiber racket parts industry.
As our business is technology-driven, our vision is to offer cutting edge technology and manufacturing expertise in carbon composite to our customers, and many of our products are directly or indirectly supplied to different renowned international sports brand owners. Our carbon composite products deliver substantial weight savings, endurance and stiffness comparing to those constructed from conventional materials, such as steel and aluminum, and in doing so, our products offer remarkable and valuable efficiency and performance benefits to our customers in various applications. While our technology has potential applications over a broad range of industries, we currently have our main focus on the sporting goods industry and we prioritize the electric bicycle market to commercialize our technology.
| 2 |
We are based in Taiwan with our headquarters, research and development (“R&D”) center and material laboratory located in Taichung, Taiwan and our production plant and our second R&D center located in Dongguan, the PRC. The R&D center in Taichung focuses on resin material application, new product development and production process enhancement, and the R&D center in Dongguan, the PRC, which is located next to our production plant, focuses on structural design of products, testing on product performance and enhancement on strength and stiffness of products. Our business focuses on the research and development of, as well as manufacturing, a wide range of carbon composite products. We primarily generate revenue through three divisions and revenue streams, namely (i) sales of bicycles parts of sports bicycle and electric bicycle; (ii) sales of rackets for use in tennis, badminton, squash and beach tennis; and (iii) sales of other products, which mainly include structural parts of automobile, other sporting goods and healthcare products. Our bicycle parts and rackets are mainly supplied directly or indirectly to branded customers located in Switzerland, France, Italy, the Netherlands, Germany and Japan and they market and distribute their products worldwide. Other customers which rely on our new products, such as automobile parts and healthcare products, are mainly located in Australia, Canada and Japan.
Advanced carbon composite materials offer a number of advantages relative to traditional materials, including light weight, high strength to weight ratio, high stiffness, and improved resistance to heat, corrosion and fatigue. Nonetheless, different products require different degrees and combinations of such properties according to their functions. Carbon composite materials are formed by combining carbon fibers and resins. The properties of carbon composite materials could vary largely due to different systems of resin and structural arrangement. Differing from our competitors in the industry, instead of using preset formulas of resins with lower degree of flexibility, we have our own R&D center to develop our own resin systems and formulas according to the product requirements. Therefore, we are able to incorporate customized resin systems that can be optimized for specific parameters, such as durability, temperature performance, cure times and viscosity. This not only allows us to manufacture our products with high precision to customers’ specifications, but also offers us flexibility in developing a greater variety of new products in the future. Thus, we believe that the parallel development of our complex product and process technology has resulted in our competitive advantage which makes it difficult for our competitor to replicate.
Our total revenue for the years ended December 31, 2019 and 2020 amounts to $22.8 million and $22.2 million, respectively, and our total revenue for the six months ended June 30, 2020 and 2021 amounts to $9.6 million and $12.2 million, respectively. Our sales of bicycle parts accounted for approximately 64.9% and 64.4% of our total revenues for the years ended December 31, 2019 and 2020, respectively, and accounted for approximately 65.2% and 65.9% of our total revenues for the six months ended June 30, 2020 and 2021, respectively. Our sales of rackets business brought us considerable revenue for the years ended December 31, 2019 and 2020, which accounted for approximately 34.9% and 35.5%, respectively, of our total revenues, and accounted for approximately 34.6% and 34.1% of our total revenues for the six months ended June 30, 2020 and 2021, respectively. Our sales of other products, which accounted for approximately 0.1% and 0.1%, respectively, of our total revenues for the years ended December 31, 2019 and 2020, and accounted for 0.2% and approximately 0% of our total revenues for the six months ended June 30, 2020 and 2021, respectively.
While having our main focus on development and sales of key structural parts of bicycles and rackets in the past years, we would not limit ourselves to the existing scope of product. We intend to extend our product spectrum by launching new products, such as sporting goods for new sports like padel racket and mast foil, and further expand our production on relatively new existing products that are emerging in the market, including key structural parts of electric bicycles, automobile and robotic arms, bicycle crank sets and other healthcare products, such as wheelchairs and senior walkers.
We target to achieve growth in terms of both scale and scope. To expand our scale, we plan to establish a new production plant in Yangzhou in the PRC. For such purpose, in March 2019, Bohong Technology acquired the land use right of a land parcel in Yangzhou with a total gross land area of 64,851 square meter in order to build our new production plant for the production on key structural parts of electric bicycle, robotic arms, automobile parts and prepreg material. We intend to invest approximately $6.2 million on the purchase of machinery for our production plant in Yangzhou. We are in discussion with a local construction company in the PRC on a hire purchase agreement of building and infrastructure construction of our production plant in Yangzhou and such construction would be funded by the said local construction company in the PRC. We intend to commence the construction work of our production plant in Yangzhou by the end of 2021 and the first phase of such construction is expected to be completed by second quarter of 2022. The construction of our production plant in Yangzhou is expected to be fully completed by August 2022 and the machines are expected to be set up by the third quarter of 2022. As for growth in terms of scope, we anticipate that, by the first quarter of 2022, we will launch our own brand on electric bicycle and sporting goods and will set up sales and administration office in the U.S. and the Netherlands. We are in close dialogue with a reputed bicycle frame manufacturer in the U.S. on exploring investment opportunities, including but not limited to possibilities on acquisition, joint-venture and /or co-branding production. In addition, we intend to add a U.S. sales and administration office in Houston, Texas, which will work closely with our office in Taiwan in U.S. market sales and expansion, while our sales and administration office in the Netherlands will be handling sales on our online business platform expected to be launched around the first quarter of 2022. We also expect to further extend our production of automobile parts so as to leverage on the surging market demand of electric vehicles. By the end of 2023, we expect to launch our micro factory and R&D center in the U.S., with a view to developing automation of our production process and integrating the most advanced technology to our production. In this regard, we intend to invest in a manufacturer of carbon fiber products in the U.S. We have been in contacts with several potential target companies in the U.S., one of which is a U.S.-based aerospace composite parts manufacturer. We also plan to establish our third R&D center in Houston, Texas and our initial plan is to hire 4 to 6 employees on developing composite material and conducting researches on chemical interactions.
| 3 |
Summary of Risks Affecting Our Company
Our business is subject to numerous risks described in the section titled “Risk Factors” and elsewhere in this prospectus. The main risks set forth below and others you should consider are discussed more fully in the section entitled “Risk Factors,” which you should read in its entirety.
Risks Related to Our Business and Industry
| ● | We rely on raw materials supplied by our suppliers for the production of our products which exposes us to risk of production shortages and fluctuations in prices of raw materials. | |
| ● | If we fail to adopt new technologies or develop new manufacturing technologies or adapt our products to evolving customer requirements, our business may be materially and adversely affected. | |
| ● | We recorded a negative cash flow for the year ended December 31, 2019 and the six months ended June 30, 2021, which may continue in the future. | |
| ● | We may incur losses in the future. | |
| ● | Our production capacity may not correspond precisely to our production demands, and intended economic results may not be achieved if there is any significant increase in production demand which exceeds our production capacity or any idle or unutilized production capacity during any particular period. | |
| ● | Our success depends on our ability to attract, retain and motivate members of senior leadership, technical personnel and other employees. | |
| ● | Our failure to comply with data protection laws and regulations could lead to government enforcement actions and significant penalties against us, and adversely impact our operating results. | |
Risks Related to Our Corporate Structure | ||
| ● | We are a holding company and our sole material asset after completion of this offering will be our equity interest in our subsidiaries. Accordingly, we will depend on distributions from our subsidiaries to pay dividends and cover our corporate and other expenses. | |
| ● | The audit work on our PRC subsidiaries may not be inspected fully by the Public Company Accounting Oversight Board (“PCAOB”) and, as such, our investors are deprived of the benefits of such inspection. | |
| ● | We may rely on dividends and other distributions on equity paid by our Chinese subsidiaries to fund any cash and financing requirements we may have, and any limitation on the ability of our Chinese subsidiaries to make payments to us could have a material and adverse effect on our ability to conduct our business. | |
Risks Related to Doing Business in Taiwan
| ||
| ● | We face economic and political risks associated with doing business in Taiwan, particularly due to the geopolitical tension between Taiwan and China that could negatively affect our business and hence the value of your investment. | |
| ● | The imposition of foreign exchange restrictions in Taiwan may have an adverse effect on foreign investors’ abilities to acquire securities of a Taiwan company, including the shares of our subsidiaries in Taiwan, or to repatriate the interest, dividends or sale proceeds from those securities. | |
| Risks Related to Conducting Operations in PRC | ||
| ● | A downturn in the PRC or global economy, and economic and political policies of the PRC could materially and adversely affect our business and financial condition. | |
| ● | Uncertainties with respect to the PRC legal system could adversely affect us. | |
| ● | Changes in the policies, regulations, rules, and the enforcement of laws of the PRC government may be quick with little advance notice and could have a significant impact upon our ability to operate profitably in the PRC. | |
| ● | The Chinese government may intervene in or influence our operations at any time, which could result in a material change in our operations and significantly and adversely impact the value of our securities. | |
| ● | Compliance with China’s new Data Security Law, Cybersecurity Review Measures (revised draft for public consultation), Personal Information Protection Law, regulations and guidelines relating to the multi-level protection scheme and any other future laws and regulations may entail significant expenses and could materially affect our business. | |
| ● | The approval of the CSRC (as defined below) or other Chinese regulatory agencies may be required in connection with this offering under Chinese law. | |
| ● | We have entered into land use right assignment transaction with PRC government authority and we may be subject to penalties for failure to fully comply with the contract thereunder. | |
| 4 |
| ● | Failure to comply with regulations related to export of processed materials may result in fines and legal or administrative actions. | |
| ● | Any lack of requisite approvals, licenses, permits or filings or failure to comply with any requirements of PRC laws, regulations and policies may materially and adversely affect our daily operations. | |
| ● | We may be subject to additional contributions under various employee benefits plans and late payments and fines imposed by relevant governmental authorities. | |
| ● | Failure to comply with PRC laws and regulations on employees’ overtime wages payment may expose us to potential compensations. | |
Risks Related to this Offering and Ownership of Our Ordinary Shares
| ||
| ● | The recent joint statement by the SEC and PCAOB, proposed rule changes submitted by Nasdaq, and the Holding Foreign Companies Accountable Act (“HFCAA”) all call for additional and more stringent criteria to be applied to emerging market companies upon assessing the qualification of their auditors, especially the non-U.S. auditors who are not inspected by the PCAOB. In September 2021, the PCAOB adopted a new rule to provide a framework for its determinations under the HFCAA that the PCAOB is unable to inspect or investigate completely registered public accounting firms located in a foreign jurisdiction because of a position taken by one or more authorities in that jurisdiction. In addition, in June 2021, the Senate passed the Accelerating Holding Foreign Companies Accountable Act which, if signed into law, would reduce the time period for the delisting of foreign companies under the HFCAA to two consecutive years, instead of three. | |
| ● | As of the date of this prospectus, we are not required to obtain approval or prior permission of this offering from the China Securities Regulatory Commission (the “CSRC”) or any other Chinese regulatory authority under the Chinese laws and regulations currently in effect. As of the date of this prospectus, neither we nor any of our subsidiaries, including but not limited to our operating company subsidiaries, have been informed by the CSRC, Cybersecurity Administration of China (the “CAC”) or any other Chinese regulatory authority of any requirements, approvals or permissions that we should obtain prior to this offering. However, as there are uncertainties with respect to the Chinese legal system and changes in laws, regulations and policies, including how those laws and regulations will be interpreted or implemented, there can be no assurance that we will not be subject to such requirements, approvals or permissions in the future. | |
| ● | There has been no public market for our ordinary shares prior to this offering, and you may not be able to resell our ordinary shares at or above the price you paid, or at all. | |
| ● | Nasdaq may delist our securities from trading on its exchange, which could limit investors’ ability to make transactions in our securities and subject us to additional trading restrictions. | |
| 5 |
PRC Approvals
On July 6, 2021, the relevant Chinese government authorities published the Opinions on Strictly Cracking Down Illegal Securities Activities in Accordance with the Law. These opinions call for strengthened regulation over illegal securities activities and increased supervision of overseas listings by China-based companies, and propose to take effective measures, such as promoting the construction of relevant regulatory systems to regulate the risks and incidents faced by China-based overseas-listed companies. As of the date of this prospectus, no official guidance or related implementation rules have been issued in relation to these recently issued opinions and the interpretation and implementation of these opinions remain unclear at this stage. We could be subject to additional requirements that we obtain pre-approval to pursue this offering or any future offerings from the CSRC and potentially other regulatory authorities. As at the date of this prospectus, we have obtained from Chinese authorities all business registration certificates that are required for our PRC subsidiaries to operate. Currently, we, including our subsidiaries, are not required to obtain pre-approval from Chinese authorities, including the CSRC, or CAC to list on U.S. exchanges or issue securities to foreign investors. If approval is required in the future and we were denied permission from Chinese authorities to list on U.S. exchanges, we will not be able to continue listing on U.S. exchange, which would materially affect the interest of the investors. However, as there are uncertainties with respect to the Chinese legal system and changes in laws, regulations and policies, including how those laws and regulations will be interpreted or implemented, there can be no assurance that we will not be subject to such requirements, approvals or permissions in the future. Although we are currently not required to obtain permission from any of the PRC central or local government to obtain such permission and has not received any denial to list on the U.S. exchange, our operations may be adversely affected in the future, directly or indirectly, by existing or future laws and regulations relating to our PRC business operations. As of the date of this prospectus, we have not received any inquiry, notice, warning, sanction or any regulatory objections to this offering from the CSRC. For more detailed information, see “Risks Related to Conducting Operations in PRC — The approval of the CSRC or other Chinese regulatory agencies may be required in connection with this offering under Chinese law.”
However, to operate our general business activities currently conducted in China, each of our Chinese subsidiaries is required to obtain a business license from the State Administration for Market Regulation (“SAMR”). Each of our Chinese subsidiaries has obtained a valid business license from the SAMR, and no application for any such license has been denied. Further, to operate our general business activities currently conducted in China, our relevant Chinese subsidiaries are also required to obtain other permits from the PRC government, including sewage discharge permits, pollution discharge registration of stationary pollution source, customs registration certificate for customs declaration entities, record-filing form for entry-exit inspection and quarantine for declaration enterprise, food operation permit, and those with respect to environment protection and fire safety inspection, as applicable. Our Chinese subsidiaries have obtained the foregoing permits applicable to them and no application for such permits has been denied.
Corporate information
Proposed PRC Cybersecurity Measures
On July 10, 2021, the Cyberspace Administration of China published the draft amendment to the Cybersecurity Review Measures (revised draft for public consultation), which is expected to replace the current Cybersecurity Review Measures after it is adopted and becomes effective. The draft measures stipulate that, among other items, if an issuer is classified as a “critical information infrastructure operator” or a “data processing operator” as defined therein and such issuer possesses personal information of more than one million users and intends to be listed on a securities exchange in a foreign country, it must complete a cybersecurity review. Alternatively, relevant governmental authorities in China may initiate a cybersecurity review if such governmental authorities determine an operator’s cyber products or services, data processing or potential listing in a foreign country affect or may affect national security. The draft measures were released for public comment only, and the draft provisions and anticipated adoption or effective date are subject to changes and thus its interpretation and implementation remain substantially uncertain. We cannot predict the impact of the draft measures, if any, on the operations of our Company at this stage, and we will closely monitor and assess any development in the rule-making process.
The exact scope of “critical information infrastructure operators” and “data processing operators” under the draft measures and the current regulatory regime remains unclear, and the Chinese government authorities may have wide discretion in the interpretation and enforcement of these laws. Currently, the draft measures have not materially affected our business and operations and we do not believe our business activities affect or may be interpreted to affect national security. As of the date of this prospectus, we have not been informed by any relevant Chinese government authorities that we are identified as or considered a “critical information infrastructure operator” or “data processing operator.” We are not aware of any requirement that we should file for a cybersecurity review, nor have we received any inquiry, notice, warning, sanction in such respect or any regulatory objections to this offering. However, in anticipation of the strengthened implementation of cybersecurity laws and regulations, there can be no assurance that we will not be deemed as a critical information infrastructure operator or data processing operator under the Chinese cybersecurity laws and regulations in the future, or that the draft measures will not be further amended or other laws or regulations will not be promulgated to subject us to the cybersecurity review or other compliance requirements. In such case, we may face challenges in addressing such enhanced regulatory requirements. For additional information, see “Risk Factors––Risks related to Our Business and Industry—Our failure to comply with data protection laws and regulations could lead to government enforcement actions and significant penalties against us, and adversely impact our operating results,” “Risk Factors — Risks Related to Conducting Operations in PRC —Compliance with China’s new Data Security Law, Cybersecurity Review Measures (revised draft for public consultation), Personal Information Protection Law, regulations and guidelines relating to the multi-level protection scheme and any other future laws and regulations may entail significant expenses and could materially affect our business,” and “Risk Factors — Risks Related to Conducting Operations in PRC — The approval of the CSRC or other Chinese regulatory agencies may be required in connection with this offering under Chinese law.”
| 6 |
History and Corporate Structure
Our History
Our Predecessor Group commenced wood composite manufacturing and sports equipment processing business in 1970 and was one of the earliest private enterprises to manufacture wood composite in Taiwan. However, due to changes in the product development in the sporting goods industry with higher product requirements on the weight-saving, endurance and stiffness, our Predecessor Group gradually shifted the focus from wood composite manufacturing to carbon composite product manufacturing since 1980. Our Predecessor Group launched the carbon composite business line in 1980, targeting sporting goods, such as rackets. In 2005, our Predecessor Group launched the bicycle business line in order to expand our scope of carbon composite sporting goods to sports bicycle. In 2017, we produced our first electric bicycle frame. In 2018, in light of the prevalence of and favorable government policies on electric bicycle around the world, while continuing our development and sales of sports bicycle, we have in parallel strategically expanded further on the development and production of electric bicycle. We also developed our first carbon fiber robotic arm and other health care products in 2018. In 2019, we expanded our R&D team on the design and production of electric bicycle by addition of personnel. Through our R&D centers in Taiwan and the PRC, we have continued to upgrade and enhance our material technology, product structural design and production process technology, in order to uplift our product quality, product performance, production efficiency and expand our product spectrum.
Corporate Structure
On May 24, 2016, J-Star Holding Co., Ltd. (“J-Star”) was incorporated as an exempted company with limited liability under the laws of the Cayman Islands as our holding company. J-Star directly holds all the share capital of (i) Goal Beyond Limited (“Goal Beyond”), which is an International Company incorporated in Samoa on April 13, 2016, (ii) Star Leader Trading, which was incorporated in Hong Kong on May 30, 2016 as a limited company, and (iii) Bohong Technology, which was incorporated in the PRC on October 9, 2018. Our wholly owned subsidiary Goal Beyond, in turn, holds all the share capital of (i) YMA Corporation (“TW YMA”), which was incorporated in Taiwan on July 17, 2015, (ii) Time Yield Limited (“Time Yield”), which was incorporated in Samoa on January 30, 2013, (iii) Dongguan YMA, which was incorporated in the PRC on September 30, 2018, and (iv) Dongguan Forwell, which was incorporated in the PRC on December 5, 2003.
Organizational Structure and Cash Flow
The following diagram depicts our current corporate structure. As of the date of this prospectus, the shares of each of our subsidiaries are 100% owned by the respective entity displayed immediately above that subsidiary. Currently, our corporate structure contains no variable interest entities (“VIE”) and we do not intend to enter into any contractual arrangements to establish a VIE structure with any entity in the PRC. For the defined term of each subsidiary of our Group, please refer to the paragraph headed “Prospectus Summary – History and Corporate Structure - Corporate Structure”.

our subsidiaries with earnings.
our non-operating subsidiaries as at the date of this prospectus.
Within the organization, approximately 80% of our customer cash inflows have been received by Star Leader Trading, our order-taking subsidiary in Hong Kong, and approximately 20% of our customer cash inflows have been received by TW YMA, our subsidiary in Taiwan. Two of our subsidiaries in the PRC, Dongguan YMA and Dongguan Forwell, are involved in providing supportive services to the Group, mainly manufacturing of products, and they do not have any sales to external customers. Time Yield is our subsidiary in Samoa mainly involved in the supportive services of procurement of raw material and it does not have any sales to external customers. As at the date of this prospectus, our subsidiaries in Samoa and the PRC, Goal Beyond and Bohong Technology, does not have any operating business activities.
Our Hong Kong subsidiary purchases goods and services from our Taiwan subsidiary and then pay into our operating PRC subsidiaries; or directly from our Taiwan subsidiary to our PRC subsidiaries, and from our operating PRC subsidiaries to Time Yield, through payments on the goods and services provided by the relevant entities.
| 7 |
The following are the aggregate intra-group cash flow for the year ended December 31, 2019 and 2020 and for the six months ended June 30, 2021:
From | To | For the Year Ended December 31, 2019 | For the Year Ended December 31, 2020 | For the Six Months Ended June 30, 2021 | ||||||||||
| Star Leader Trading | TW YMA | $ | 4,574,241 | $ | 19,418,926 | $ | 11,087,519 | |||||||
| TW YMA | Dongguan YMA | $ | 1,177,817 | $ | 3,097,920 | $ | 7,238,534 | |||||||
| TW YMA | Dongguan Forwell | $ | 572,420 | $ | 469,711 | $ | 3,727,124 | |||||||
| Dongguan YMA | TW YMA | $ | 4,344,248 | $ | 12,524,842 | $ | 1.427,087 | |||||||
| Dongguan Forwell | TW YMA | $ | 1,496,603 | $ | 1,496,603 | $ | 648,152 | |||||||
| Star Leader Trading | Dongguan YMA | $ | 8,429,824 | $ | 0 | $ | 0 | |||||||
| Star Leader Trading | Dongguan Forwell | $ | 6,272,261 | $ | 0 | $ | 0 | |||||||
| Dongguan YMA | Time Yield | $ | 1,420,443 | $ | 769,756 | $ | 1,310,277 | |||||||
| Dongguan Forwell | Time Yield | $ | 844,428 | $ | 51,005 | $ | 557,150 | |||||||
Dividends and other distributions
J-Star was incorporated in Cayman Islands on May 24, 2016, to be the ultimate parent company of the Group. As a holding company with no material operations of our own, our operations are conducted through our subsidiaries in the PRC, Taiwan, Hong Kong and Samoa with our headquarters in Taiwan. Our operations in the PRC may also subject us to certain laws and regulations in China. J-Star is permitted under the laws of Cayman Islands to provide funding to our subsidiaries in Taiwan, Hong Kong and Samoa through loans or capital contributions without restrictions on the amount of the funds provided such arrangement is in the best interests of the Company.
Our operating subsidiaries in Hong Kong and Taiwan are permitted under the laws of Hong Kong and Taiwan, respectively, to provide direct or indirect funding to J-Star, the holding company incorporated in the Cayman Islands, through dividend distributions. Our Group currently intend to retain all available funds and future earnings, if any, for the operation and expansion of our business and do not anticipate declaring or paying any dividends in the foreseeable future. We also intend to settle amounts owned under our operating structure through bank loans and loans from related parties. We currently do not have any dividend policy, and any future determination will be made at the discretion of our board of directors after considering our financial condition, results of operations, capital requirements, contractual requirements, business prospects and other factors the board of directors deems relevant, and subject to the restrictions contained in any future financing instruments.
Subject to the Companies Act (2021 Revision) of the Cayman Islands and our Amended and Restated Memorandum and Articles of Association, our board of directors may authorize and declare a dividend to shareholders (including shareholders who are based in the U.S.) from time to time out of the profits from the Company, realized or unrealized, or out of the share premium account, provided that the Company will remain solvent, meaning the Company is able to pay its debts as they come due in the ordinary course of business. There is no further Cayman Islands statutory restriction on the amount of funds which may be distributed by us in the form of dividends.
In or around July 2017, J-Star declared NTD 61.5 million (approximately $2.2 million) of dividends to the then shareholders. For the years ended December 31, 2019 and 2020 and the six months ended June 30, 2021, we did not pay any dividends to our shareholders. As of the date of this prospectus, neither we nor any of our subsidiaries have ever paid dividends or made distributions to U.S. investors. If we determine to pay dividends on any of our ordinary shares in the future, as a holding company, we will be dependent on receipt of funds from our operating subsidiaries in Hong Kong and Taiwan. Under the current practice of the Inland Revenue Department of Hong Kong, no tax is payable in Hong Kong in respect of dividends paid by us, and under the current laws of Taiwan, dividends (whether in cash or shares) declared by TW YMA out of its retained earnings and distributed to Goal Beyond are subject to Taiwan withholding tax, currently at the rate of 21% on the amount of the distribution (in the case of cash dividends) or on the par value of the shares (in the case of stock dividends).
| 8 |
There are no restrictions or limitations under the laws of Hong Kong imposed on the conversion of HK dollar into foreign currencies and the remittance of currencies out of Hong Kong, nor is there any restriction on any foreign exchange to transfer cash between the Company and its subsidiaries, across borders and to investors outside of PRC, nor is there any restrictions and limitations to distribute earnings from the subsidiaries, to the Company and investors outside of PRC and amounts owed. There are no exchange controls in Cayman Islands.
All cash dividends declared and payable on the shares of TW YMA may be paid by TW YMA to Goal Beyond (as a foreign corporate shareholder) in New Taiwan dollars that, so long as Goal Beyond maintains its status as a foreign investor as approved by the Investment Commission of Taiwan, may be converted into foreign currency and freely transferred out of Taiwan without the necessity of obtaining any additional Taiwan governmental approvals.
Under current Taiwan Foreign Exchange Control Law and regulations, foreign currency earned from exports of merchandise and services may be retained and used freely by exporters, and all foreign currency needed for the importation of merchandise and services may be purchased freely from the designated foreign exchange banks. Apart from trade-related or service-related foreign exchange transactions, Taiwan companies may, without foreign exchange approval, remit to and from Taiwan foreign currency in each calendar year of up to US$50 million (or such other amount as determined by Taiwan’s Central Bank from time to time at its discretion in consideration of Taiwan’s economic and financial conditions or the needs to maintain the order of foreign exchange market in Taiwan). The above limits apply to remittances involving either a conversion of New Taiwan dollars into a foreign currency or a conversion of foreign currency into New Taiwan dollars. For further details, please refer to “Regulations – Regulations in Taiwan – Regulations Relating to Foreign Exchange”.
Although we did not rely on our Chinese subsidiaries in dividend and other distributions on equity in the past, we may rely on dividends and other distributions on equity paid by our Chinese subsidiaries for our cash and financing requirements in the future, including the funds necessary to pay dividends and other cash distributions to our shareholders or to service any debt we may incur. If any of our Chinese subsidiaries incur debt on its own behalf in the future, the instruments governing such debt may restrict their ability to pay dividends to us. To date, there have not been any such dividends or other distributions from our Chinese subsidiaries to our subsidiaries located outside of China. In addition, as of the date of this prospectus, none of our subsidiaries have ever issued any dividends or distributions to us or their respective shareholders outside of China. As of the date of this prospectus, neither we nor any of our subsidiaries have ever paid dividends or made distributions to U.S. investors. In the future, cash proceeds raised from overseas financing activities, including this offering, may be transferred by us to our Chinese subsidiaries via capital contribution or shareholder loans, as the case may be.
According to the Foreign Investment Law of the People’s Republic of China and its implementing rules, which jointly established the legal framework for the administration of foreign-invested companies, a foreign investor may, in accordance with other applicable laws, freely transfer into or out of China its contributions, profits, capital earnings, income from asset disposal, intellectual property rights royalties acquired, compensation or indemnity legally obtained, and income from liquidation, made or derived within the territory of China in RMB or any foreign currency, and any entity or individual shall not illegally restrict such transfer in terms of the currency, amount and frequency. According to the Company Law of the People’s Republic of China and other Chinese laws and regulations, our Chinese subsidiaries may pay dividends only out of their respective accumulated profits as determined in accordance with Chinese accounting standards and regulations. In addition, each of our Chinese subsidiaries is required to set aside at least 10% of its accumulated after-tax profits, if any, each year to fund a certain statutory reserve fund, until the aggregate amount of such fund reaches 50% of its registered capital. Where the statutory reserve fund is insufficient to cover any loss the Chinese subsidiary incurred in the previous financial year, its current financial year’s accumulated after-tax profits shall first be used to cover the loss before any statutory reserve fund is drawn therefrom. Such statutory reserve funds and the accumulated after-tax profits that are used for covering the loss cannot be distributed to us as dividends. At their discretion, our Chinese subsidiaries may allocate a portion of their after-tax profits based on Chinese accounting standards to a discretionary reserve fund.
Renminbi is not freely convertible into other currencies. As result, any restriction on currency exchange may limit the ability of our Chinese subsidiaries to use their potential future renminbi revenues to pay dividends to us. The Chinese government imposes controls on the convertibility of renminbi into foreign currencies and, in certain cases, the remittance of currency out of China. Shortages in availability of foreign currency may then restrict the ability of our Chinese subsidiaries to remit sufficient foreign currency to our offshore entities for our offshore entities to pay dividends or make other payments or otherwise to satisfy our foreign-currency-denominated obligations. The renminbi is currently convertible under the “current account,” which includes dividends, trade and service-related foreign exchange transactions, without the need of the approval of the State Administration of Foreign Exchange of China (“SAFE”). By contrast, the renminibi under the “capital account,” which includes foreign direct investment and foreign currency debt, including loans we may secure for our onshore subsidiaries, may be converted into other currencies upon the approval of the SAFE and the conversion is also subject to other restrictions or limitations, e.g., control of a Chinese entity’s foreign debt quota. Currently, our Chinese subsidiaries may purchase foreign currency for settlement of “current account transactions,” including payment of dividends to us, without the approval of the SAFE by complying with certain procedural requirements. However, the relevant Chinese governmental authorities may limit or eliminate our ability to purchase foreign currencies in the future for current account transactions. The Chinese government may continue to strengthen its capital controls, and additional restrictions and substantial vetting processes may be instituted by SAFE for cross-border transactions falling under both the current account and the capital account. Any existing and future restrictions on currency exchange may limit our ability to utilize revenue generated in renminbi to fund our business activities outside of China or pay dividends in foreign currencies to holders of our securities. Foreign exchange transactions under the capital account remain subject to limitations and require approvals from, or registration with, SAFE and other relevant Chinese governmental authorities. This could affect our ability to obtain foreign currency through debt or equity financing for our subsidiaries. See “Risks Related to Conducting Operations in PRC—We may rely on dividends and other distributions on equity paid by our Chinese subsidiaries to fund any cash and financing requirements we may have, and any limitation on the ability of our Chinese subsidiaries to make payments to us could have a material and adverse effect on our ability to conduct our business” for a detailed discussion of the Chinese legal restrictions on the payment of dividends and our ability to transfer cash within our group. In addition, shareholders may potentially be subject to Chinese taxes on dividends paid by us in the event we are deemed a Chinese resident enterprise for Chinese tax purposes. See “Taxation— People’s Republic of China Taxation” for more details.
| 9 |
Foreign Private Issuer Status
We are a foreign private issuer within the meaning of the rules under the Securities Exchange Act of 1934, as amended (the “Exchange Act”). As such, we are exempt from certain provisions applicable to United States domestic public companies. For example:
| ● | we are not required to provide as many Exchange Act reports, or as frequently, as a domestic public company; | |
| ● | for interim reporting, we are permitted to comply solely with our home country requirements, which are less rigorous than the rules that apply to domestic public companies; | |
| ● | we are not required to provide the same level of disclosure on certain issues, such as executive compensation; | |
| ● | we are exempt from provisions of Regulation FD aimed at preventing issuers from making selective disclosures of material information; | |
| ● | we are not required to comply with the sections of the Exchange Act regulating the solicitation of proxies, consents or authorizations in respect of a security registered under the Exchange Act; and | |
| ● | we are not required to comply with Section 16 of the Exchange Act requiring insiders to file public reports of their share ownership and trading activities and establishing insider liability for profits realized from any “short-swing” trading transaction. |
| 10 |
Implications of Being an Emerging Growth Company
As a company with less than US$1.07 billion in revenue for the last fiscal year, we qualify as an “emerging growth company” pursuant to the Jumpstart Our Business Startups Act of 2012 (as amended by the Fixing America’s Surface Transportation Act of 2015) (the “JOBS Act”). An emerging growth company may take advantage of specified reduced reporting and other requirements that are otherwise applicable generally to public companies. These provisions include exemption from the auditor attestation requirement under Section 404 of the Sarbanes-Oxley Act of 2002, or Section 404, in the assessment of the emerging growth company’s internal control over financial reporting. The JOBS Act also provides that an emerging growth company that prepares its financial statements in accordance with generally accepted accounting principles in the United States (“U.S. GAAP”), does not need to comply with any new or revised financial accounting standards until such date that a private company is otherwise required to comply with such new or revised accounting standards. Because we prepare our financial statements in accordance with International Financial Reporting Standards (“IFRS”), we are unable to take advantage of the aforementioned provision.
We may take advantage of these provisions until the last day of our fiscal year following the fifth anniversary of the date of the first sale of our ordinary shares pursuant to this offering. However, if certain events occur before the end of such five-year period, including if we become a “large accelerated filer,” our annual gross revenues exceed $1.07 billion or we issue more than $1.0 billion of non-convertible debt in any three-year period, we will cease to be an emerging growth company before the end of such five-year period.
In addition, Section 107 of the JOBS Act provides that an “emerging growth company” can take advantage of the extended transition period provided in Section 7(a)(2)(B) of the Securities Act of 1933, as amended (the “Securities Act”), for complying with new or revised accounting standards. The extended transition period provision only applies to companies preparing financial statements under U.S. GAAP. Because we prepare our financial statements in accordance with IFRS, we are unable to take advantage of the aforementioned provision.
We will remain an emerging growth company until the earliest of (i) the last day of our fiscal year during which we have total annual gross revenues of at least US$1.07 billion; (ii) the last day of our fiscal year following the fifth anniversary of the completion of this offering; (iii) the date on which we have, during the previous three year period, issued more than US$1.0 billion in non-convertible debt; or (iv) the date on which we are deemed to be a “large accelerated filer” under the Exchange Act, which would occur if the market value of our ordinary shares that are held by non-affiliates exceeds US$700 million as of the last business day of our most recently completed second fiscal quarter and we have been publicly reporting for at least 12 months. Once we cease to be an emerging growth company, we will not be entitled to the exemptions provided in the JOBS Act discussed above.
Corporate Information
Our principal executive offices in Taiwan are located at 7F-1, No. 633, Sec. 2, Taiwan Blvd., Xitun District, Taichung City 407, Taiwan (R.O.C.). Our telephone number at this address is +886-423229900. Our registered agent in Cayman Islands is Portcullis (Cayman) Ltd of The Grand Pavilion Commercial Centre, Oleander Way, 802 West Bay Road, P.O. Box 32052, Grand Cayman, KY1-1208, Cayman Islands. Investors should submit any inquiries to the address and telephone number of our principal executive offices.
Our principal website is www.ymaunivers.com. The information contained on this website is not a part of this prospectus. Our agent for service of process in the United States is Puglisi & Associates, located at 850 Library Avenue, Suite 204, Newark, Delaware 19711.
Conventions that Apply to this Prospectus
This prospectus contains information and statistics relating to Taiwan and the PRC’s economy and the industries in which we operate derived from various publications issued by market research companies and Taiwan and the PRC governmental entities, which have not been independently verified by us, the underwriters or any of our affiliates or advisers including Frost & Sullivan, an independent market research and consulting firm with respect to information on the global carbon fiber industry, global carbon fiber bicycle parts industry, global carbon fiber racket parts industry and other carbon fiber sectors industry. The information in such sources may not be consistent with other information compiled in or outside Taiwan and the PRC.
Unless otherwise noted, all translations from NTD to U.S. Dollars and from U.S. Dollars to NTD or from RMB to U.S. Dollars and from U.S. Dollars to RMB in this prospectus are made at a rate of NTD27.91 to US$1.00 and RMB6.46 to US$1.00, respectively, the exchange rate in effect as of June 30, 2021 as set forth in the H.10 statistical release of The Board of Governors of the Federal Reserve System. We make no representation that any NTD or RMB or U.S. Dollar amounts or could have been, or could be, converted into U.S. dollars or NTD or RMB, as the case may be, at any particular rate, or at all.
| 11 |
The Offering
| Shares being offered: | [_____] ordinary shares (or [_____] ordinary shares if the underwriters exercise their over-allotment option in full) on a firm commitment basis. |
| Initial offering price: | $[●] per share. |
| Number of ordinary shares outstanding before the offering: | [●] of our ordinary shares are outstanding as of the date of this prospectus. |
| Number of ordinary shares outstanding after the offering: | [●] of ordinary shares (or [●] ordinary shares if the underwriters exercise their over-allotment option in full). |
| Underwriters over-allotment option: | We have granted the underwriters an option for a period of up to [●] days to purchase up to [●] additional ordinary shares. |
| Use of proceeds: | We expect that we will receive net proceeds of approximately US$[●] million from this offering or approximately US$[●] million if the underwriters exercise their over-allotment option in full, assuming an initial public offering price of US$[●] per share, which is the midpoint of the estimated range of the initial public offering price, after deducting underwriting discounts and commissions and estimated offering expenses payable by us.
We plan to use the net proceeds of this offering as follows:
● approximately 25% for acquiring and investing in production plant in the U.S. for the production of electric bicycle;
● approximately 25% for purchasing equipment for our second production plant in Yangzhou, the PRC, for the production of key structural parts of electric bicycle, robotic arms, automobile and prepreg material;
● approximately 15% for investment on electric bicycle and sports bicycle brands in Michigan State, the U.S., through acquisition, joint venture and/or co-branding production;
● approximately 15% for establishing our R&D center in Houston, the U.S., for developing automation and advanced composite material and chemical technologies;
● approximately 15% for general administration and working capital expansion; and
● approximately 5% for establishing our sales and administration office in Houston, the U.S., to closely work with our office in Taiwan on U.S. market sales and expansion.
See “Use of Proceeds.” |
| Lock-up: | We, all of our directors and officers and certain shareholders have agreed with the underwriters not to sell, transfer or dispose of, directly or indirectly, any of our ordinary shares or securities convertible into or exercisable or exchangeable for our ordinary shares for a period of [●] ([●]) months after the date of this prospectus. See “Shares Eligible for Future Sale” and “Underwriting” for more information. |
| Listing: | We intend to apply to have our ordinary shares listed on the Nasdaq Capital Market, or Nasdaq. We cannot guarantee that we will be successful in listing our ordinary shares on the Nasdaq; however, we will not complete this offering unless we are so listed. |
| Proposed Nasdaq symbol: | YMAT |
| Risk factors: | Investing in our ordinary shares is highly speculative and involves a significant degree of risk. As an investor, you should be able to bear a complete loss of your investment. You should carefully consider the information set forth in the “Risk Factors” section. |
| 12 |
An investment in our ordinary shares involves significant risks. You should carefully consider all of the information in this prospectus, including the risks and uncertainties described below, before making an investment in our ordinary shares. Any of the following risks could have a material adverse effect on our business, financial condition and results of operations. In any such case, the market price of our ordinary shares could decline, and you may lose all or part of your investment.
Risks Related to Our Business and Industry
We rely on raw materials supplied by our suppliers for the production of our products which exposes us to risk of production shortages and fluctuations in prices of raw materials.
Our major raw materials comprise carbon fiber yam and resin. We generally purchase carbon fiber yam and resin from independent suppliers in Japan. The procurement of such raw materials required to manufacture carbon fiber composite material, which is a key component of our products, represents a major component of our cost of sales. Any failure to secure adequate supplies of such raw materials or any interruptions in any part of the supply chain may disrupt our operations. During the years ended December 31, 2019 and 2020, the purchases from our top supplier accounted for approximately 28.9% and 22.6% of our total purchases, respectively. We cannot assure you that our relationship with our top supplier will continue to be as stable, or that our current supplier will continue to supply products to us on terms acceptable to us, or that we will be able to establish new or extend current supplier relationships to ensure a steady supply in a timely and cost-efficient manner. If our relationships with our important suppliers are terminated, interrupted, or modified in any way adverse to us, our business, financial condition and results of operations could be adversely affected.
In addition, these raw materials used in our manufacturing are subject to price volatility caused by external conditions, such as market supply and demand, commodity price fluctuations, government control, business performance and operational needs (such as scheduled maintenance shutdowns) of the suppliers, which are beyond our control. For instance, there was certain price volatility for carbon fiber yam during the year ended December 31, 2020 due to regulatory investigation on a carbon fiber supplier in Japan, who is one of our carbon fiber suppliers, by the Japanese government. The said carbon fiber supplier exported a portion of carbon fiber products, which had been transferred to third parties to which such supplier had no license to export the products. In this regard, the Ministry of Economy Trade and Industry of Japan has issued a warning to request the said supplier to implement recurrence prevention measures and strict security export control. Such event raised concern in the market as to the stable supply of carbon fiber by such supplier for a short period of time. As such, our supplier base has ever since been diversified to include more suppliers in Taiwan. However, if any price volatility occurs again and we fail to effectively manage the price fluctuations in our raw materials or transfer the increased costs to our customers or modify our products or adjust our procurement strategy, any significant increase in the prices of our major raw materials would affect our profit margin and more generally, our business, financial condition and prospect.
If we fail to adopt new technologies or develop new manufacturing technologies or adapt our products to evolving customer requirements, our business may be materially and adversely affected.
Our edge lies in our carbon fiber composite materials, which as key structural component is used or featured in electronic bicycles, sports bicycles, rackets, other sporting goods, automobile and healthcare products for its light, stiff and durable qualities. As such it is crucial that the functionality, compatibility and quality of our carbon fiber composite materials can be designed and manufactured in a manner effective for and compatible to the respective purpose of electronic bicycles, rackets, other sporting goods, automobile, healthcare products and any other new products our customers request us to co-design or co-develop.
As the developments of certain of these goods and products, or goods and products that carbon fiber composite materials are increasingly used or featured in (such as electric vehicles), are evolving and speeding up at a rapid pace, we prioritize and invest heavily in the research and development of new technologies to enhance the qualities of lightweight and durability in our products. We need to continue to enhance and improve by adopting new technologies, develop new manufacturing technologies as well as adapt our products to the evolving customer requirements and preferences so as to keep up with the market trends and industry competition. If we are unable to anticipate the evolving customer requirements and preferences or the market trends and respond effectively and timely, our business, prospects, financial condition and results of operations may be materially and adversely affected.
| 13 |
We recorded a negative cash flow for the year ended December 31, 2019 and the six months ended June 30, 2021, which may continue in the future.
We recorded a negative cash flow from operating activities of $2.3 million for the year ended December 31, 2019 and $2.2 million for the six months ended June 30, 2021. For the main reason leading to the negative cash flow from operating activities for the year ended December 31, 2019 and for the six months ended June 30, 2021, please see “Management’s Discussion and Analysis of Financial Condition and Results of Operations — Cash Flows.” Although we seek to manage our working capital from time to time and we have unused credit lines from bank loans of the Group, we cannot assure you that we will be able to match the timing and amounts of our cash inflows with the timing and amounts of our payment obligations and other cash outflows. As a result, there could be a period during which we experience net cash outflow from operating activities. Net cash outflow from operating activities may impact our business growth and adversely affect our financial condition and results of operations.
We may incur losses in the future.
We had a net income of approximately $11.0 million and $1.1 million for the fiscal year ended December 31, 2019 and 2020, respectively, and approximately $1.0 million for the six months ended June 30, 2021, while we had a net loss of approximately $0.7 million for the six months ended June 30, 2020. As a growing public company, we anticipate that our operating expenses might increase in the foreseeable future as we seek to maintain and continue to grow our business, attract potential customers and further enhance our product offering. These efforts may prove more expensive than we currently anticipate, and we may not succeed in increasing our revenue sufficiently to offset these higher expenses. As a result of the foregoing and other factors, we may incur net losses in the future and may be unable to achieve or maintain profitability on a quarterly or annual basis for the foreseeable future.
Our production capacity may not correspond precisely to our production demands, and intended economic results may not be achieved if there is any significant increase in production demand which exceeds our production capacity or any idle or unutilized production capacity during any particular period.
We have two production lines for the manufacture of different types of carbon fiber composite, and all of the carbon fiber composites are applied as key structural parts of electric bicycles and sports bicycle, rackets, automobile and healthcare products and which are custom-made to the requests of our customers. Except for the outsourcing of part of the painting, cosmetic and sanding processes for greater cost efficiency, we do not outsource any production processes to independent sub-contractors. As our production demands depend on the specific orders of our customers, our actual production volume varies with various factors such as customers’ preferences, market trend, economic conditions, industry competitors’ pricing strategies or any other factors beyond our control. As a result, our production capacity may not correspond precisely to our production demands. If there is any significant increase in production demand which exceeds our production capacity, unless we are able to expand our production capacity or outsource certain production processes, we may have to reject orders from customers and intended economic results may not be achieved. And in case we opt for the outsourcing of certain production processes to meet production demands, we may experience a lower gross profit margin and it may be difficult to ensure the quality of the products. If the orders from our customers are not sufficient to fully utilize our production capacity and there is idle or unutilized production capacity which is much lower than the desired rate of utilization of our production lines, our business, financial condition and results of operations may be adversely affected.
Our success depends on our ability to attract, retain and motivate members of senior leadership, technical personnel and other employees.
Our success and growth are, to a large extent, attributable to our experienced talent pool of senior management team with strong execution capabilities, our highly skilled technical personnel who keep pace with the latest developments and manufacturing technologies in the carbon fiber composite industry, as well as our committed and qualified employees. Given the technology-driven nature of our business, as of the date of this prospectus, we have over 60 technical personnel who are responsible for research and development of new technologies and manufacturing technologies in relation to carbon fiber composite materials and we made continued and substantial investment in our technical personnel by providing them with training and various types of incentives.
| 14 |
Notwithstanding our efforts to reward them for their services and contributions, there is no assurance that our compensation packages will attract and retain our senior management team, technical personnel and employees. In particular, we may not be able to recruit talents upon unanticipated departure of our members of senior management team or key technical personnel. In addition, to keep pace with our anticipated growth, we may need to recruit additional personnel with necessary industry expertise and such candidates may not be readily available. Therefore, any failure to attract, retain and motivate senior leadership, technical personnel and other employees may impact our competitiveness and our ability to meet our growth targets, and in turn, have an adverse impact on our business operations and profitability.
Our failure to comply with data protection laws and regulations could lead to government enforcement actions and significant penalties against us, and adversely impact our operating results.
The regulatory framework for the collection, use, safeguarding, sharing, transfer and other processing of personal information worldwide is rapidly evolving and is likely to remain uncertain for the foreseeable future. Regulatory authorities in virtually every jurisdiction in which we operate in Greater China and other Asian markets have implemented and are considering a number of legislative and regulatory proposals concerning personal data protection.
Regulatory authorities in China have implemented and are considering a number of legislative and regulatory proposals concerning data protection. For example, the Cyber Security Law of the People’s Republic of China (the “Cyber Security Law”), which became effective in June 2017, created China’s first national-level data protection regime for “network operators,” which may include all organizations in China that provide services over the internet or other information network.
Under the Cyber Security Law, the transmission of certain personal information and important data outside of China is only permitted upon the completion of a security assessment conducted by or as determined by the Chinese government. Certain draft regulations, including the Measures for Security Assessment for Cross-border Transfer of Personal Information and Important Data (Draft for Comment), published in 2017, and the Measures for Security Assessment for Cross-border Transfer of Personal Information (Draft for Comment), published in 2019, have been proposed by the Chinese government that specify the procedures and stipulate more detailed compliance requirements relating to such assessment, and in certain circumstances, government approval, prior to the transmission of such information and data outside of China.
In addition, the Standing Committee of the National People’s Congress of the People’s Republic of China (“SCNPC”) promulgated the Data Security Law of the People’s Republic of China (the “Data Security Law”) on June 10, 2021, which became effective on September 1, 2021. The Data Security Law imposes data security and privacy obligations on entities and individuals carrying out data processing activities, and introduces a data classification and hierarchical protection system. The classification of data is based on its importance in economic and social development, as well as the degree of harm expected to be caused to national security, public interests, or legitimate rights and interests of individuals or organizations if such data is tampered with, destroyed, leaked, or illegally acquired or used. The security assessment mechanism was also included in the Personal Information Protection Law (the “Personal Information Protection Law”), which was promulgated in August 2021 and become effective on November 1, 2021, for the Chinese government to supervise certain cross-border transfers of personal information.
Under the Cyber Security Law and Data Security Law, we are required to establish and maintain a comprehensive data and network security management system that will enable us to monitor and respond appropriately to data security and network security risks. We will need to classify and take appropriate measures to address risks created by our data processing activities and use of networks. We will be obligated to notify affected individuals and appropriate Chinese regulators of and respond to any data security and network security incidents. Establishing and maintaining such systems takes substantial time, effort and cost, and we may not be able to establish and maintain such systems fully as needed to ensure compliance with our legal obligations. Despite our investment, such systems may not fully guard us or enable us to appropriately respond to or mitigate all data security and network security risks or incidents we face. Furthermore, under the Data Security Law, data categorized as “important data,” which will be determined by governmental authorities in the form of catalogs, is to be processed and handled with a higher level of protection. The notion of important data is not clearly defined by the Cyber Security Law or the Data Security Law. In order to comply with the statutory requirements, we will need to determine whether we possess important data, monitor the important data catalogs that are expected to be published by local governments and departments, perform risk assessments and ensure we are complying with reporting obligations to applicable regulators. We may also be required to disclose to regulators business-sensitive or network security-sensitive details regarding our processing of important data, and may need to pass the government security review or obtain government approval in order to share important data with offshore recipients, which can include foreign licensors, or share data stored in China with judicial and law enforcement authorities outside of China. If judicial and law enforcement authorities outside China require us to provide data stored in China, and we are not able to pass any required government security review or obtain any required government approval to do so, we may not be able to meet the foreign authorities’ requirements. The potential conflicts in legal obligations could have adverse impact on our operations in and outside of China.
| 15 |
Furthermore, in July 2021, the Cybersecurity Administration of China, China’s top cyberspace regulator, issued a proposed amendment to the Cybersecurity Review Measures (“Cybersecurity Review Measures”) which have been in effect since June 1, 2020. Under the proposed amendment, the scope of entities required to undergo cybersecurity review to assess national security risks that arise from data processing activities would be expanded to include all critical information infrastructure operators who purchase network products and services and all data processors carrying out data processing activities that affect or may affect national security. In addition, the draft amendment proposed that all such entities that maintain or store the personal information of more than 1 million users and undertake a public listing of securities in a foreign country would be required to pass cybersecurity review, which would focus on the potential risk of core data, important data, or a large amount of personal information being stolen, leaked, destroyed, illegally used or exported out of China, or critical information infrastructure being affected, controlled or maliciously used by foreign governments after such a listing.
The national security legal regime imposes stricter data localization requirements on personal information and requires us to undergo cybersecurity or other security review, obtain government approval or certification, or put in place certain contractual protections before transferring personal information out of China. As a result, personal information and important data that we or our customers, suppliers, and other third parties collect, generate or process in China may be subject to such data localization requirements and heightened regulatory oversight and controls. To comply with these requirements, maintaining local data centers in China, conducting security assessments or obtaining the requisite approvals from the Chinese government for the transmission outside of China of such controlled information and data could significantly increase our operating costs or cause delays or disruptions in our business operations in and outside China. We expect that the evolving regulatory interpretation and enforcement of the national security legal regime will lead to increased operational and compliance costs and will require us to continually monitor and, where necessary, make changes to our operations, policies, and procedures. If our operations, or the operations of our CROs, licensees or partners, are found to be in violation of these requirements, we may suffer loss or use of data, suffer a delay in obtaining regulatory approval for our products, be unable to transfer data out of China, be unable to comply with our contractual requirements, suffer reputational harm or be subject to penalties, including administrative, civil and criminal penalties, damages, fines and the curtailment or restructuring of our operations. If any of these were to occur, it could adversely affect our ability to operate our business and our financial results.
In addition, in the United States, at both the federal and state levels, and in territories outside of China, including Taiwan and Hong Kong, we are subject to laws and regulations that address privacy, personal information protection and data security. Numerous laws and regulations, including security breach notification laws and consumer protection laws, govern the collection, use, disclosure and protection of personal information. Given the variability and evolving state of these laws, we face uncertainty as to the exact interpretation of the new requirements, and we may be unsuccessful in implementing all measures required by regulators or courts in their interpretation.
We expect that these data protection and transfer laws and regulations will receive greater attention and focus from regulators going forward, and we will continue to face uncertainty as to whether our efforts to comply with evolving obligations under data protection, privacy and security laws in China, the United States and other countries where we plan or conduct business will be sufficient.
Any failure or perceived failure by us to comply with applicable laws and regulations could result in reputational damage or proceedings or actions against us by governmental entities, individuals or others. These proceedings or actions could subject us to significant civil or criminal penalties and negative publicity, result in the delayed or halted transfer or confiscation of certain personal information, result in the suspension of ongoing clinical trials or ban on initiation of new trials, require us to change our business practices, increase our costs and materially harm our business, prospects, financial condition and results of operations. In addition, our current and future relationships with customers, suppliers and other third parties could be negatively affected by any proceedings or actions against us or current or future data protection obligations imposed on them under applicable law, including the European Union General Data Protection Regulation and Cyber Security Law. In addition, a data breach affecting personal information, or a failure to comply with applicable requirements could result in significant management resources, legal and financial exposure and reputational damage that could potentially have a material adverse effect on our business and results of operations.
| 16 |
We may be exposed to product returns and product liability claims and latent defect liability claims
Our products are used as key components in electric bicycles and sports bicycle parts, rackets, automobile parts and healthcare products of our customers who will, after assembling various parts of and packaging the products, provide such products to the end-users. We are exposed to potential product returns, product liability claims and latent defect liability claims from our customers and the end-users of goods and products. Although we have put in place stringent quality control measures, including the setting up of different teams for incoming quality control, quality control and quality assurance which monitor the quality of the raw material, semi-finished products as well as finished products, there may be undetected flaws or manufacturing defects or other irregularities that may be subsequently detected at any point in the life of our products. We have adopted return policy on products with manufacturing defects to accommodate our customers. If after any checkup or analysis by our laboratory the defect of a product is found to be manufacturing defect, return and replacement of products will be made. Therefore, if undetected flaws or manufacturing defects or other irregularities from either the design or manufacture of our products are to occur, additional costs and expenses which we may not recoup may incur and our revenue and costs control can be negatively impacted.
In addition, if our defective or sub-standard products cause bodily injuries or property damage, we as the manufacturer may face product liability claims or latent defect liability claims from our customers or the end-users of goods and products made with our products and regardless of the merits or the outcome of these claims, we may be required to address and, if necessary, defend ourselves against such claims, which may incur substantial legal costs and divert management attention and other resources from our business and operations. We may also face adverse publicity associated with such claims, which could have an adverse effect on our business, results of operations and financial condition.
As we target to increase U.S. market exposure, if relations between the United States and PRC worsen, our business plan and operating results may be adversely impacted.
During the years ended December 31, 2019 and 2020 and the six months ended June 30, 2020 and 2021, our products were supplied to customers in Europe, Japan and U.S. and we target to increase our U.S. market exposure as we see growing demand in the U.S. markets. However, the U.S. government and Chinese government have in recent years made respective statements and taken respective actions that signal changes to its global trade policies and trade protection measures, including trade restriction or tariffs which affect certain products manufactured in the PRC and exported to the U.S. As our production is based in PRC, the export of our products may be affected by adverse changes and developments in such global trade policies and trade protection measures, such as the imposition of new trade barriers, sanctions, boycotts and other measures, which are beyond our control. It is unknown whether and to what extent new tariffs (or other new laws or regulations) will be adopted, or the effect that any such actions would have on us or our industry and users. Any trade restrictions imposed by the U.S. government or tariffs imposed by the PRC could significantly affect our gross profit margin if our products manufactured in PRC are subject to the trade restriction or tariffs or could disrupt our plan to increase U.S. market exposure, and in turn, have an adverse effect on our business plan, financial condition and results of operations.
We may not be able to obtain, maintain and protect our intellectual property rights and proprietary information, which could harm our business and competitive position.
The protection of our intellectual property rights, including trade secrets, trademarks, patents, domain names and other technical and proprietary know-how is critical to our success as we operate in an industry where technological innovation and technical capabilities and knowledge are the key to remain competitive. As of the date of this prospectus, we have obtained 31 registered patents related to our bicycle, racket and manufacturing process (with 7 invention patents, 14 utility model patents and 10 design patents) in Taiwan, PRC, Japan, Europe and the U.S. and 12 trademarks in PRC and Taiwan. We have also applied for the registration of 6 invention patents in Taiwan, PRC, Vietnam, Cambodia and Germany. See “Business – Intellectual Property.”
| 17 |
We rely on, and expect to continue to rely on a combination of intellectual property laws and contractual arrangements, including confidentiality agreements and non-complete covenants with our employees and independent parties which we have business relationships with, to protect our intellectual property and proprietary rights. We also have security system in place to ensure that access to the manufacturing process will not be misappropriated. For instance, we have 24 hours door security at the production plant and laboratory, and our computer server is safeguarded as external partners’ access is not permitted. However, there is no assurance that such efforts, policies and precautions are either sufficient or effective. As a result, our intellectual property rights may be infringed, misappropriated, or challenged. Legal proceedings involving intellectual property rights are generally costly and time consuming, and may divert management attention and other resources from our business and operations. Any failure in protecting or enforcing our intellectual property rights could materially and adversely affect our business, financial condition and results of operations.
We may be subject to third-party intellectual property infringement claims.
We depend, to a large extent, on our ability to effectively develop and maintain intellectual property rights relating to our business. However, we cannot assure you that third parties will not put forward claims that our business infringes upon or otherwise violates patents, copyrights or other intellectual property rights which they hold, whether such claims are valid or otherwise. We may face allegations that we have infringed the trademarks, copyrights, patents and other intellectual property rights of third parties, including our competitors, or allegations that we are involved in unfair trade practice. If we are found to have violated the intellectual property rights of others, we may be subject to liability for our infringement activities or may be prohibited from using such intellectual property, and any such liability or prohibition may materially and adversely affect our business, financial condition and results of operations.
Our profitability, financial condition and results of operations may be adversely affected by a downturn in the global economies.
Our products are supplied directly or indirectly to branded customers around the world, especially in Switzerland, France, Italy, the Netherlands, Germany and Japan. Sales attributable to the markets in Europe are substantial, in particular the revenue from customers in Switzerland, Italy, Germany and France represented approximately 23.0%, 10.4%, 10.1% and 9.4%, respectively, of our total revenue for the year ended December 31, 2020 and the revenue from customers in Switzerland, Italy, Japan and Germany represented approximately 22.0%, 13.3%, 8.4% and 7.4%, respectively, of our total revenue for the six months ended June 30, 2021. We estimate our sales to markets in Europe will continue to be our major source of income in the foreseeable future. Therefore, our results of operation are largely affected by the level of demand for our products from our customers located in Europe which is in turn influenced by various factors which are beyond our control, including, among others, economic downturn. We cannot predict the timing, magnitude or duration of any economic downturn. These and other economic factors may have a negative impact on our profitability, financial condition and results of operations.
Our insurance coverage may not be adequate to cover all the risks related to our business and operations.
We maintain commercial fire insurance for our headquarters, R&D center and warehouses in Taiwan and public general liability insurance in Taiwan, as well as property all risks insurance for the production plant, R&D center and warehouse in Dongguan, PRC. In addition, we purchase cargo transportation insurance to insure the risks and liabilities in relation to the shipping of our products and raw materials between our warehouse in Taiwan, production plant and warehouse in the PRC and delivery points designated by customers. We also maintain credit insurance in respect of debts arising in the course of business activity and from the trading of products and performance of services under TW YMA. We also maintain commercial general liability insurance with products liability coverage in respect of the bicycle parts products, senior walker products, motorcycle handler and pre-preg materials manufactured or distributed by us and exported or sold worldwide.
We had not made any material claims under our insurance policies. However, there is no assurance that injuries or casualties or similar or other accidents will not occur or that our insurance coverage would be adequate to cover all our potential losses associated with serious or major accidents. If we were subject to substantial liabilities that were not covered by our insurance, we may suffer loss that may adversely affect our business, financial condition and results of operations.
| 18 |
We are exposed to various risks associated with our business and operations, and we have limited liability insurance coverage. A successful liability claim against us due to injuries or damages suffered by our users could materially and adversely affect our reputation, results of operations and financial conditions. Even if unsuccessful, such a claim could cause us adverse publicity, require substantial costs to defend, and divert the time and attention of our management. In addition, we do not have any business disruption insurance. Any business disruption event could result in substantial costs to us and a diversion of our resources.
Our operations have been and may continue to be affected by the COVID-19 pandemic.
The COVID-19 pandemic and the measures imposed to contain the pandemic disrupted our operation and business in early 2020. As the pandemic continues to rapidly evolve around the world, with several new COVID-19 variants discovered in recent months, we cannot anticipate with any certainty the length or severity of the effects of COVID-19. As of the date of this prospectus, our business has been adversely affected by COVID-19 pandemic primarily in the following aspects:
● Operation: Our production plant in Dongguan, the PRC, suspended work for approximately one month in 2020 which adversely affected our production schedules, despite that the operation of our headquarters and offices in Taiwan remained unaffected. The pandemic also casted minor negative impacts on our supply chain such as manufacturing, warehousing and shipping of our products.
● Operating results and other financial metrics: Negative impact of COVID-19 on our business has resulted in a decrease in our revenue. Our revenue decreased slightly by approximately 2.7% from $22.8 million in the year ended December 31, 2019 to $22.2 million in the year ended December 31, 2020.
Furthermore, the COVID-19 pandemic has resulted in, and may intensify, economic distress in different countries, and the duration and extent of the impact of COVID-19 outbreak is still uncertain at this time. If the COVID-19 pandemic cannot be contained and it subsequently results in greater global economic distress, there may be reduced consumer confidence and spending cut backs, which may result in reduced demand for our products and in which case our business and results of operations would be adversely affected.
The occurrence of force majeure events and natural disasters may adversely affect our business, financial condition and results of operations.
The occurrence of force majeure events and natural disasters, including hurricanes, floods, earthquakes, tornadoes, fires and pandemics may adversely affect our business, financial condition or results of operations. For instance, in 2019, there was an outbreak of COVID-19 in PRC and there was emergency public health policies and measures such as suspension of work, travel restrictions and/or traffic control measures in various cities in PRC. For instance, our production plant suspended work for approximately one month in 2020 in light of such policies and measures. Additionally, some regions in PRC and Taiwan, including certain cities in which we have operations, are under the threat of flood, earthquake, fire and drought.
The potential impact of a force majeure event or natural disaster on our results of operations and financial position is speculative and would depend on numerous factors. The impact and severity of these natural disasters determines their effect on each given economy. Where there is an outbreak or a recurrence of such force majeure event or natural disaster which are beyond our control, this could result in disruption to our business or that of our customers, which could in turn materially and adversely affect our business, financial condition and results of operations.
Any labor shortage or unrest or increased labor cost may adversely affect our business, financial condition and results of operations.
Our production plant is located in the PRC. Some of our manufacturing processes, such as lamination and decals, are labor intensive and cannot be completely replaced by automation technology at this time. At the same time, there has been labor shortage from time to time in certain cities in the PRC. Although we did not experience material operational difficulty due to labor shortage in the past, there is no assurance that there will be no labor shortage for our production plant in the future. In addition, we may also be required to increase the wages to keep our labor force or attract new workers if there is labor shortage or other changes in the labor market conditions. If we cannot transfer the increased costs to our customers, our profit may be significantly impacted in such case. Also, although we have no experienced any labor unrest in the past, any future labor unrest will disrupt our production or pose threat to our properties. Therefore, any labor shortage or unrest or increased labor cost may adversely affect our business, financial condition and results of operations.
| 19 |
If we fail to implement and maintain an effective system of internal controls or fail to remediate the material weaknesses in our internal control over financial reporting that has been identified, we may be unable to accurately report our results of operations or prevent fraud or fail to meet our reporting obligations, and investor confidence and the market price of our shares may be materially and adversely affected.
Prior to this offering, we were a private company with limited accounting personnel and other resources with which to address our internal controls and procedures. Our independent registered public accounting firm has not conducted an audit of our internal control over financial reporting. However, in preparing our consolidated financial statements as of and for the years ended December 31, 2019 and 2020, we and our independent registered public accounting firm identified weaknesses in our internal control over financial reporting, as defined in the standards established by the PCAOB. The material weakness identified arose from our lack of effective financial reporting oversight process for our period-end financial reporting as well as our lack of policies and procedures over evaluation of significant complex transactions and evaluation of certain general ledger accounts. Following the identification of the material weakness, we have taken and plan to continue to take remedial measures to remedy the weakness. For details of these remedies, see “Management’s Discussion and Analysis of Financial Condition and Results of Operations—Internal Control over Financial Reporting.” However, the implementation of these measures may not fully address the material weakness in our internal control over financial reporting, and we cannot conclude that they have been fully remedied. Our failure to correct the material weakness or our failure to discover and address any other material weakness or control deficiencies could result in inaccuracies in our financial statements and could also impair our ability to comply with applicable financial reporting requirements and related regulatory filings on a timely basis. As a result, our business, financial condition, results of operations and prospects, as well as the trading price of our shares may be materially and adversely affected. Moreover, ineffective internal control over financial reporting significantly hinders our ability to prevent fraud.
Furthermore, it is possible that, had our independent registered public accounting firm conducted an audit of our internal control over financial reporting, such firm might have identified additional material weakness and deficiencies. Upon completion of this offering, we will become a public company in the United States subject to the Sarbanes-Oxley Act of 2002. Section 404 of the Sarbanes-Oxley Act of 2002, or Section 404, will require that we include a report of management on our internal control over financial reporting in our annual report on Form 20-F beginning with our annual report for the fiscal year ending December 31, 2022. In addition, once we cease to be an “emerging growth company” as such term is defined in the JOBS Act, our independent registered public accounting firm must attest to and report on the effectiveness of our internal control over financial reporting. Our management may conclude that our internal control over financial reporting is not effective. Moreover, even if our management concludes that our internal control over financial reporting is effective, our independent registered public accounting firm, after conducting its own independent testing, may issue a report that is qualified if it is not satisfied with our internal controls or the level at which our controls are documented, designed, operated or reviewed, or if it interprets the relevant requirements differently from us. In addition, after we become a public company, our reporting obligations may place a significant strain on our management, operational and financial resources and systems for the foreseeable future. We may be unable to timely complete our evaluation testing and any required remediation.
During the course of documenting and testing our internal control procedures, in order to satisfy the requirements of Section 404, we may identify other weaknesses and deficiencies in our internal control over financial reporting. In addition, if we fail to maintain the adequacy of our internal control over financial reporting, as these standards are modified, supplemented or amended from time to time, we may not be able to conclude on an ongoing basis that we have effective internal control over financial reporting in accordance with Section 404. If we fail to achieve and maintain an effective internal control environment, we could suffer material misstatements in our financial statements and fail to meet our reporting obligations, which would likely cause investors to lose confidence in our reported financial information. This could in turn limit our access to capital markets, harm our results of operations, and lead to a decline in the trading price of our shares. Additionally, ineffective internal control over financial reporting could expose us to increased risk of fraud or misuse of corporate assets and subject us to potential delisting from the stock exchange on which we list, regulatory investigations and civil or criminal sanctions. We may also be required to restate our financial statements from prior periods.
| 20 |
We adopt cost-plus pricing approach as our general pricing model and the results of our operations are dependent on the ability to remain cost competitive.
We adopt a cost-plus pricing approach for our general pricing model. The unit price of our products is determined by reference to various factors, including the technical complexity of the product, the volume of the order, estimated material cost, labor cost and production overhead. Our ability to continue to implement our pricing model and maintain our margins will depend on our ability to remain cost competitive, which means we will have to actively manage our cost of sales, and in particular, our cost of materials, labor costs and product development costs.
Historically, we have been able to pass any increases in material cost, labor cost onto our customers as we generally negotiate and agree on the estimated unit price of a product prior to confirming the purchase orders from customers. However, if there is sudden and significant increase in such costs after the purchase orders are confirmed, we will not be able to pass such increased costs onto our customers. In such event, if we are not able to lower other costs in amounts sufficient to compensate such increased costs, our margins would be negatively impacted which could have a material and adverse effect on our results of operations.
Risks Related to Our Corporate Structure
We are a holding company and our sole material asset after completion of this offering will be our equity interest in our subsidiaries. Accordingly, we will depend on distributions from our subsidiaries to pay dividends and cover our corporate and other expenses.
We are a holding company and will have no material assets other than our equity interest in our subsidiaries. Because we will have no independent means of generating revenue, our ability to pay dividends, if any, and cover our corporate and other expenses is dependent on the ability of our subsidiaries to generate revenue to pay such dividends and expenses and then distribute them up to us. The ability of our subsidiaries to make any distributions will be subject, among others, to restrictions in our exiting or future credit facilities or other debt instruments and applicable law and regulations, which could impose withholding taxes on internal distributions. Our existing credit facilities, for example, significantly restrict our ability to pay dividends. To the extent that we need funds and our subsidiaries are restricted from making such distributions or payments under the terms of any financing arrangements or under applicable law or regulation, or otherwise are unable to provide such funds, our liquidity and financial condition could be materially adversely affected.
The audit work on our PRC subsidiaries may not be inspected fully by the Public Company Accounting Oversight Board and, as such, our investors are deprived of the benefits of such inspection.
Auditors of companies that are registered with the Securities and Exchange Commission (the “SEC”) and traded publicly in the United States, including our independent registered public accounting firm, must be registered with the PCAOB, and are subject to laws in the United States pursuant to which the PCAOB conducts regular inspections to assess their compliance with the relevant professional standards. Our auditor, which is based in Taiwan, is currently subject to inspection by the PCAOB every three years, without restriction. The audit work on our China subsidiaries is performed directly by our auditor under a temporary license issued by the Ministry of Finance of the PRC. However, our auditor is unable to provide audit working papers of the Company’s subsidiaries in China for PCAOB’s inspection without the approval of the PRC authorities.
The PCAOB’s inspections of other firms outside China have identified deficiencies in those firms’ audit procedures and quality control procedures, which may be addressed as part of the inspection process to improve future audit quality. The lack of PCAOB’s inspections in China prevents the PCAOB from regularly evaluating audits and quality control procedures of any auditors operating in China. Also, the potential inability of the PCAOB to fully inspect our auditor’s working paper of our China subsidiaries prevents the PCAOB from fully evaluating audits and quality control procedures of our independent registered public accounting firm. As a result, investors may be deprived of the benefits of PCAOB inspections. The inability of the PCAOB to fully inspect our auditor’s working paper makes it more difficult to evaluate the effectiveness of our auditor’s audit procedures or quality control procedures as compared to other auditors that are subject to PCAOB inspections. Investors may lose confidence in our reported financial information and procedures and the quality of our financial statements.
| 21 |
In December 2020, the United States enacted the HFCAA. The HFCAA requires that the SEC identify issuers that retain an auditor that has a branch or office that is located in a foreign jurisdiction and that the PCAOB determines it is unable to inspect or investigate completely because of a position taken by an authority in that foreign jurisdiction. Amongst other things, the HFCAA also requires the SEC to prohibit the securities of any issuer from being traded on any of the U.S. national securities exchanges, such as Nasdaq, or on the U.S. “over-the-counter” markets, if the auditor of the issuer’s financial statements is not subject to PCAOB inspections for three consecutive “non-inspection” years after the law became effective. On April 5, 2021, the SEC’s interim final rule to implement the disclosure and submission requirements of the HFCAA was published in the U.S. Federal Register, along with the SEC’s request for public comment on the interim final rule. Regarding how the term “retain” should be interpreted for purposes of determining whether an issuer has retained an auditor that has a branch or office that is located in a foreign jurisdiction and that the PCAOB determines it is unable to inspect or investigate completely because of a position taken by an authority in that foreign jurisdiction, the SEC noted in the interim final rule that the HFCAA does not define the term “retain,” and requested comment on how the term “retain” should be understood for purposes of the HFCAA. Enactment of any of such legislations or other efforts to increase U.S. regulatory access to audit information could cause investor uncertainty for affected issuers, including us, the market price of our ordinary shares could be adversely affected, and we could be delisted if we are unable to cure the situation to meet the PCAOB inspection requirement in time. Furthermore, there have been recent media reports on deliberations within the U.S. government regarding potentially limiting or restricting China-based companies from accessing U.S. capital markets. If any such deliberations were to materialize, the resulting legislation may have material and adverse impact on the stock performance of China-based issuers listed in the United States.
Our auditor, which is based in Taiwan, conducts audit work directly on our China subsidiaries under a temporary license issued by the Ministry of Finance of the PRC. However, given the restriction imposed by the PRC government, our auditor is unable to provide audit working papers of our subsidiaries in China for PCAOB’s inspection without the approval of the PRC authorities. Given the current question as to how “retain” should be understood for purposes of the HFCAA, we cannot assure you that we will not be identified by the SEC as an issuer that has retained an auditor that has a branch or office that is located in a foreign jurisdiction that the PCAOB determines it is unable to inspect or investigate completely because of a position taken by an authority in that foreign jurisdiction as a result of the fact that the auditor of our China subsidiaries is located in, and organized under the laws of, the PRC. In addition, there can be no assurance that, if we have a “non-inspection” year, we will be able to take remedial measures in response thereto. If any such event were to occur, trading in our securities could in the future be prohibited under the HFCAA, so we cannot assure you that we will be able to maintain the listing of the ordinary shares on Nasdaq or that you will be allowed to trade our ordinary shares in the United States on the “over-the-counter” markets or otherwise. Should the ordinary shares not be listed or tradeable in the United States, the value of the ordinary shares could be materially affected.
| 22 |
We may rely on dividends and other distributions on equity paid by our Chinese subsidiaries to fund any cash and financing requirements we may have, and any limitation on the ability of our Chinese subsidiaries to make payments to us could have a material and adverse effect on our ability to conduct our business.
We are a holding company, and we may rely on dividends and other distributions on equity paid by our Chinese subsidiaries for our cash and financing requirements, including the funds necessary to pay dividends and other cash distributions to our shareholders or holders of our ordinary shares or to service any debt we may incur. If any of our Chinese subsidiaries incur debt on its own behalf in the future, the instruments governing the debt may restrict its ability to pay dividends or make other distributions to us.
According to the Foreign Investment Law of the People’s Republic of China and its implementing rules, which jointly established the legal framework for the administration of foreign-invested companies, a foreign investor may, in accordance with other applicable laws, freely transfer into or out of China its contributions, profits, capital earnings, income from asset disposal, intellectual property rights royalties acquired, compensation or indemnity legally obtained, and income from liquidation, made or derived within the territory of China in RMB or any foreign currency, and any entity or individual shall not illegally restrict such transfer in terms of the currency, amount and frequency. According to the Company Law of the People’s Republic of China and other Chinese laws and regulations, our Chinese subsidiaries may pay dividends only out of their respective accumulated profits as determined in accordance with Chinese accounting standards and regulations. In addition, each of our Chinese subsidiaries is required to set aside at least 10% of its accumulated after-tax profits, if any, each year to fund a certain statutory reserve fund, until the aggregate amount of such fund reaches 50% of its registered capital. Where the statutory reserve fund is insufficient to cover any loss the Chinese subsidiary incurred in the previous financial year, its current financial year’s accumulated after-tax profits shall first be used to cover the loss before any statutory reserve fund is drawn therefrom. Such statutory reserve funds and the accumulated after-tax profits that are used for covering the loss cannot be distributed to us as dividends. At their discretion, our Chinese subsidiaries may allocate a portion of their after-tax profits based on Chinese accounting standards to a discretionary reserve fund.
Renminbi is not freely convertible into other currencies. As result, any restriction on currency exchange may limit the ability of our Chinese subsidiaries to use any future renminbi revenues to pay dividends to us. The Chinese government imposes controls on the convertibility of renminbi into foreign currencies and, in certain cases, the remittance of currency out of China. Shortages in availability of foreign currency may then restrict the ability of our Chinese subsidiaries to remit sufficient foreign currency to our offshore entities for our offshore entities to pay dividends or make other payments or otherwise to satisfy our foreign-currency-denominated obligations. The renminbi is currently convertible under the “current account,” which includes dividends, trade and service-related foreign exchange transactions, without the need of the approval of the SAFE. By contrast, the renminbi under the “capital account,” which includes foreign direct investment and foreign currency debt, including loans we may secure for our onshore subsidiaries, may be converted into other currencies upon the approval of the SAFE and the conversion is also subject to other restrictions or limitations, e.g., control of a Chinese entity’s foreign debt quota. Currently, our Chinese subsidiaries may purchase foreign currency for settlement of “current account transactions,” including payment of dividends to us, without the approval of SAFE by complying with certain procedural requirements. However, the relevant Chinese governmental authorities may limit or eliminate our ability to purchase foreign currencies in the future for current account transactions. Any existing and future restrictions on currency exchange may limit our ability to utilize revenue generated in renminbi to fund our business activities outside of China or pay dividends in foreign currencies to holders of our ordinary shares. Foreign exchange transactions under the capital account remain subject to limitations and require approvals from, or registration with, SAFE and other relevant Chinese governmental authorities. This could affect our ability to obtain foreign currency through debt or equity financing for our subsidiaries.
In response to the persistent capital outflow in China and renminbi’s depreciation against the U.S. dollar in the fourth quarter of 2016, the People’s Bank of China (“PBOC”) and the SAFE have promulgated a series of capital controls in early 2017, including stricter vetting procedures for domestic companies to remit foreign currency for overseas investments, dividends payments and shareholder loan repayments.
The Chinese government may continue to strengthen its capital controls, and more restrictions and substantial vetting processes may be put forward by SAFE for cross-border transactions falling under both the current account and the capital account. Any limitation on the ability of our Chinese subsidiaries to pay dividends or make other kinds of payments to us could materially and adversely limit our ability to grow, make investments or acquisitions that could be beneficial to our business, pay dividends or otherwise fund and conduct our business.
| 23 |
Risks Related to Doing Business in Taiwan
We face economic and political risks associated with doing business in Taiwan, particularly due to the geopolitical tension between Taiwan and PRC that could negatively affect our business and hence the value of your investment.
Our headquarters, R&D center and material laboratory are located in Taiwan. Accordingly, our business, financial condition and results of operations and the market price of our ordinary shares may be affected by changes in governmental policies, taxation, growth rate, inflation rate or interest rates and by social instability and diplomatic and social developments in or affecting Taiwan. In particular, the unique political status of Taiwan and its internal political movement cause sustained tension between PRC and Taiwan. Past developments related to the interactions between PRC and Taiwan, especially in relation to trade activities such as bans on exports of goods from time to time, have on occasions depressed the transactions and business operations of certain Taiwanese companies and overall economic environment. We cannot predict whether there will be escalation of the tensions between PRC and Taiwan which would lead to new bans or tariffs on exports or even conflict. Any conflict which threatens the military, political or economic stability in Taiwan could have a material adverse effect on our current or future business and financial condition and results of operations.
The imposition of foreign exchange restrictions in Taiwan may have an adverse effect on foreign investors’ abilities to acquire securities of a Taiwan company, including the shares of our subsidiaries in Taiwan, or to repatriate the interest, dividends or sale proceeds from those securities.
Taiwan government may impose foreign exchange restrictions in certain emergency situations, including situations where there are sudden fluctuations in interest rates or exchange rates, where Taiwan government experiences extreme difficulty in stabilizing the balance of payments or where there are substantial disturbances in the financial and capital markets in Taiwan. These restrictions may require foreign investors to obtain Taiwan government’s approval before acquiring securities of a Taiwan company, including the shares of our subsidiaries in Taiwan, repatriating the interest or dividends from those securities or repatriating the proceeds from the sale of those securities.
Risks Related to Conducting Operations in PRC
A downturn in the PRC or global economy, and economic and political policies of the PRC could materially and adversely affect our business and financial condition.
We conduct certain operations through our subsidiaries in the PRC and we also have direct and indirect wholly-owned subsidiaries with some operations in the PRC. Accordingly, our business, prospects, financial condition and results of operations may be influenced to a significant degree by political, economic and social conditions in the PRC generally and by continued economic growth in the PRC as a whole. The Chinese economy differs from the economies of most developed countries in many respects, including the amount of government involvement, level of development, growth rate, control of foreign exchange and allocation of resources. While the Chinese economy has experienced significant growth over the past decades, growth has been uneven, both geographically and among various sectors of the economy. The Chinese government has implemented various measures to encourage economic growth and guide the allocation of resources. Some of these measures may benefit the overall Chinese economy, but may have a negative effect on us.
Economic conditions in China are sensitive to global economic conditions. Any prolonged slowdown in the global or Chinese economy may affect potential clients’ confidence in financial market as a whole and have a negative impact on our business, results of operations and financial condition. Additionally, continued turbulence in the international markets may adversely affect our ability to access the capital markets to meet liquidity needs.
Uncertainties with respect to the PRC legal system could adversely affect us.
We conduct certain operations through our subsidiaries in PRC and we also have direct and indirect wholly-owned subsidiaries with some operations in the PRC. PRC companies are generally subject to laws and regulations applicable to foreign investments in China and, in particular, laws and regulations applicable to wholly foreign-owned enterprises. The PRC legal system is based on statutes. Prior court decisions may be cited for reference but have limited precedential value.
Since 1979, PRC legislation and regulations have significantly enhanced the protections afforded to various forms of foreign investments in China. However, China has not developed a fully integrated legal system and recently enacted laws and regulations may not sufficiently cover all aspects of economic activities in China. In particular, because these laws and regulations are relatively new, and because of the limited volume of published decisions and their nonbinding nature, the interpretation and enforcement of these laws and regulations involve uncertainties. In addition, the PRC legal system is based in part on government policies and internal rules (some of which are not published on a timely basis or at all) that may have a retroactive effect. As a result, we may not be aware of our violation of these policies and rules until sometime after the violation. In addition, any litigation in China may be protracted and result in substantial costs and diversion of resources and management attention.
Changes in the policies, regulations, rules, and the enforcement of laws of the PRC government may be quick with little advance notice and could have a significant impact upon our ability to operate profitably in the PRC.
We conduct certain operations through our subsidiaries in the PRC, which may subject us to certain laws and regulations in the PRC. Accordingly, economic, political and legal developments in the PRC will affect our business, financial condition, results of operations and prospects. Policies, regulations, rules, and the enforcement of laws of the PRC government can have significant effects on economic conditions in the PRC and the ability of businesses to operate profitably. Our ability to operate profitably in the PRC may be adversely affected by changes in policies by the PRC government, including changes in laws, regulations or their interpretation, particularly those dealing with the Internet, including censorship and other restriction on material which can be transmitted over the Internet, security, intellectual property, money laundering, taxation and other laws that affect our ability to operate our business in China.
| 24 |
The Chinese government may intervene in or influence our operations in the PRC at any time, which could result in a material change in our operations and significantly and adversely impact the value of our securities.
The Chinese government has significant oversight and discretion over the conduct of our business and may intervene or influence our operations as the government deems appropriate to further regulatory, political and societal goals. The Chinese government has recently published new policies that significantly affected certain industries such as the education and internet industries, and we cannot rule out the possibility that it will in the future release regulations or policies regarding our industry that could require us to seek permission from Chinese authorities to continue to operate our business, which may adversely affect our business, financial condition and results of operations. Furthermore, recent statements made by the Chinese government have indicated an intent to increase the government’s oversight and control over offerings of companies with significant operations in China that are to be conducted in foreign markets, as well as foreign investment in China-based issuers like us. Any such action, once taken by the Chinese government, could significantly limit or completely hinder our ability to offer or continue to offer ordinary shares to our investors, and could cause the value of our ordinary shares to significantly decline or become worthless.
The approval of the CSRC or other Chinese regulatory agencies may be required in connection with this offering under Chinese law.
The Regulations on Mergers and Acquisitions of Domestic Enterprises by Foreign Investors (the “M&A Rules”) purport to require offshore special purpose vehicles that are controlled by Chinese companies or individuals and that have been formed for the purpose of seeking a public listing on an overseas stock exchange through acquisitions of Chinese domestic companies or assets in exchange for the shares of the offshore special purpose vehicles shall obtain CSRC approval prior to publicly listing their securities on an overseas stock exchange.
Furthermore, on July 6, 2021, the General Office of the Central Committee of the Communist Party of China and the General Office of the State Council jointly promulgated the Opinions on Strictly Cracking Down on Illegal Securities Activities in Accordance with the Law, pursuant to which Chinese regulators are required to accelerate rulemaking related to the overseas issuance and listing of securities, and update the existing laws and regulations related to data security, cross-border data flow, and management of confidential information. Numerous regulations, guidelines and other measures have been or are expected to be adopted under the umbrella of or in addition to the Cyber Security Law and Data Security Law. As there are still uncertainties regarding the interpretation and implementation of such regulatory guidance, we cannot assure you that we will be able to comply with new regulatory requirements relating to our future overseas capital-raising activities and we may become subject to more stringent requirements with respect to matters including data privacy and cross-border investigation and enforcement of legal claims. Notwithstanding the foregoing, as of the date of this prospectus, we are not aware of any Chinese laws or regulations in effect requiring that we obtain permission from any Chinese authority to issue securities to foreign investors, and we have not received any inquiry, notice, warning, sanction or any regulatory objection to this offering from the CSRC, the CAC or any other Chinese authorities that have jurisdiction over our operations.
Based on the above and our understanding of the Chinese laws and regulations currently in effect as of the date of this prospectus, we are not required to submit an application to the CSRC or the CAC for the approval of this offering and the listing and trading of our ordinary shares on the Nasdaq. However, there remains significant uncertainty as to the enactment, interpretation and implementation of regulatory requirements related to overseas securities offerings and other capital markets activities. If it is determined in the future that the approval of the CSRC, CAC or any other regulatory authority is required for this offering, we may face sanctions by the CSRC, the CAC or other Chinese regulatory agencies. These regulatory agencies may impose fines and penalties on our operations in China, limit our ability to pay dividends outside of China, limit our operations in China, delay or restrict the repatriation of the proceeds from this offering into China or take other actions that could have a material adverse effect on our business, financial condition, results of operations and prospects, as well as the trading price of our ordinary shares. The CSRC, the CAC or other Chinese regulatory agencies may take actions requiring us, or making it advisable for us, to halt this offering before settlement and delivery of the ordinary shares. Consequently, if you engage in market trading or other activities in anticipation of and prior to settlement and delivery, you do so at the risk that settlement and delivery may not occur. In addition, if the CSRC, the CAC or other regulatory agencies later promulgate new rules requiring that we obtain their approvals for this offering, we may be unable to obtain a waiver of such approval requirements, if and when procedures are established to obtain such a waiver. Any uncertainties and/or negative publicity regarding such an approval requirement could have a material adverse effect on the trading price of the ordinary shares.
Compliance with China’s new Data Security Law, Cybersecurity Review Measures (revised draft for public consultation), Personal Information Protection Law, regulations and guidelines relating to the multi-level protection scheme and any other future laws and regulations may entail significant expenses and could materially affect our business.
China has implemented or will implement rules and is considering a number of additional proposals relating to data protection. China’s new Data Security Law took effect in September 2021. The Data Security Law provides that the data processing activities must be conducted based on “data classification and hierarchical protection system” for the purpose of data protection and prohibits entities in China from transferring data stored in China to foreign law enforcement agencies or judicial authorities without prior approval by the Chinese government.
Additionally, China’s Cyber Security Law requires companies to take certain organizational, technical and administrative measures and other necessary measures to ensure the security of their networks and data stored on their networks. Specifically, the Cyber Security Law provides that China adopt a multi-level protection scheme (MLPS), under which network operators are required to perform obligations of security protection to ensure that the network is free from interference, disruption or unauthorized access, and prevent network data from being disclosed, stolen or tampered. Under the MLPS, entities operating information systems must have a thorough assessment of the risks and the conditions of their information and network systems to determine the level to which the entity’s information and network systems belong-from the lowest Level 1 to the highest Level 5 pursuant to a series of national standards on the grading and implementation of the classified protection of cyber security. The grading result will determine the set of security protection obligations that entities must comply with. Entities classified as Level 2 or above should report the grade to the relevant government authority for examination and approval.
| 25 |
Recently, the Cyberspace Administration of China has taken action against several Chinese internet companies in connection with their initial public offerings on U.S. securities exchanges, for alleged national security risks and improper collection and use of the personal information of Chinese data subjects. According to the official announcement, the action was initiated based on the National Security Law, the Cyber Security Law and the Cybersecurity Review Measures, which are aimed at “preventing national data security risks, maintaining national security and safeguarding public interests.” On July 10, 2021, the Cyberspace Administration of China published a revised draft of the Cybersecurity Review Measures, expanding the cybersecurity review to data processing operators in possession of personal information of over 1 million users if the operators intend to list their securities in a foreign country.
It is unclear at the present time how widespread the cybersecurity review requirement and the enforcement action will be and what effect they will have on the manufacturing and healthcare sectors generally and the Company in particular. China’s regulators may impose penalties for non-compliance ranging from fines or suspension of operations, and this could lead to us delisting from the U.S. stock market.
The National People’s Congress released the Personal Information Protection Law, which has become effective on November 1, 2021. The Personal Information Protection Law provides a comprehensive set of data privacy and protection requirements that apply to the processing of personal information and expands data protection compliance obligations to cover the processing of personal information of persons by organizations and individuals in China, and the processing of personal information of persons in China outside of China if such processing is for purposes of providing products and services to, or analyzing and evaluating the behavior of, persons in China. The Personal Information Protection Law also provides that critical information infrastructure operators and personal information processing entities who process personal information meeting a volume threshold to be set by Chinese cyberspace regulators are also required to store in China personal information generated or collected in China, and to pass a security assessment administered by Chinese cyberspace regulators for any export of such personal information. Lastly, the Personal Information Protection Law contains proposals for significant fines for serious violations of up to RMB 50 million (approximately $7.7 million) or 5% of annual revenues from the prior year and may also be ordered to suspend any related activity by competent authorities.
Interpretation, application and enforcement of these laws, rules and regulations evolve from time to time and their scope may change, through new legislation, amendments to existing legislation or changes in enforcement. Compliance with the Cyber Security Law and the Data Security Law could significantly increase the cost to us of providing our service offerings, require significant changes to our operations or even prevent us from providing certain service offerings in jurisdictions in which we currently operate or in which we may operate in the future. Despite our efforts to comply with applicable laws, regulations and other obligations relating to privacy, data protection and information security, it is possible that our practices, offerings or platform could fail to meet all of the requirements imposed on us by the Cyber Security Law, the Data Security Law and/or related implementing regulations. Any failure on our part to comply with such law or regulations or any other obligations relating to privacy, data protection or information security, or any compromise of security that results in unauthorized access, use or release of personally identifiable information or other data, or the perception or allegation that any of the foregoing types of failure or compromise has occurred, could damage our reputation, discourage new and existing counterparties from contracting with us or result in investigations, fines, suspension or other penalties by Chinese government authorities and private claims or litigation, any of which could materially adversely affect our business, financial condition and results of operations. Even if our practices are not subject to legal challenge, the perception of privacy concerns, whether or not valid, may harm our reputation and brand and adversely affect our business, financial condition and results of operations. Moreover, the legal uncertainty created by the Data Security Law and the recent Chinese government actions could materially adversely affect our ability, on favorable terms, to raise capital, including engaging in follow-on offerings of our securities in the U.S. market once we are a public company.
We have entered into land use right assignment transaction with PRC government authority and we may be subject to penalties for failure to fully comply with the contract thereunder.
Under PRC laws and regulations, if the land assignee fails to develop and use the land according to the terms of the land use right assignment contract (including those relating to designated use of land, time for commencement and completion of development of the land) or fails to pay any outstanding land grant premium by the stipulated deadlines, the relevant government authorities may issue a warning to, or impose a penalty on, the land assignee or require the land assignee to forfeit the land use rights. Specifically, under current PRC laws, if land assignee fails to pay any outstanding land grant premium by the stipulated deadlines, the land assignee may be subject to late land fees or the repossession of the land by the PRC government. If land assignee fails to commence development within one year of the commencement date stipulated in the land use right assignment contract, the relevant PRC land bureau may issue a warning to the land assignee and impose an idle land penalty of up to 20% of the land premium.
If the land assignee fails to commence development within two years from the commencement date stipulated in the land use right assignment contract, the relevant PRC land bureau may confiscate its land use right without compensation, except where the delay in the development is attributable to a force majeure event or the action of relevant government department or delay in the requisite preliminary work preceding commencement of such development. Moreover, under typical land use right assignment contracts, violation of certain terms under the land use right assignment contracts may subject the land assignee to claims on liquidated damages equivalent to certain percentage of the total purchase price for the right to use the state-owned construction land.
Bohong Technology, has entered into the State-Owned Construction Land Use Right Assignment Contract (the “Assignment Contract”) with Hanjiang Branch of Yangzhou Land and Resource Bureau (the “Hanjiang Land Bureau”) for a land parcel in Yangzhou. According to the Assignment Contract, Bohong Technology shall commence construction prior to August 28, 2020 or such later date as agreed by Hanjiang Land Bureau. The Assignment Contract also provides that if Bohong Technology cannot commence construction on schedule, it shall apply to Hanjiang Land Bureau for an extension of thirty (30) days prior to the scheduled commencement date; if such extension is approved by Hanjiang Land Bureau, the completion date of the construction project shall be extended accordingly, provided that the extended construction period shall not exceed one year. However, due to COVID-19 and its impact on economic and social activities, Bohong Technology failed to commence construction on schedule and failed to apply to and obtain the approval for extension within the prescribed 30-day period. Pursuant to the Assignment Contract, if Bohong Technology fails to commence construction on the scheduled date or a later date as agreed by Hanjiang Land Bureau, for each day of delay, Bohong Technology shall pay Hanjiang Land Bureau a liquidated damage equivalent to 0.1% of the total purchase price for the right to use the state-owned construction land. The Assignment Contract provides further that if the land is left idle for not less than one year but not more than two years, Bohong Technology shall pay the land idle fees according to the applicable laws.
| 26 |
As of the date of this prospectus, Hanjiang Land Bureau requests Bohong Technology to complete the construction project on or prior to August 28, 2022 as indicated in the Assignment Contract without granting any extension. As of the date of this prospectus, Bohong Technology has not commenced the development of the construction project, and thus the land is left idle. If we fail to obtain a written wavier from Hanjiang Land Bureau, we may be exposed to a liquidated damage in the amount of approximately RMB 5 million (approximately $773,994) calculated as of November 30, 2021, and we may be exposed to land idle fees up to 20% of the land premium, which, in turn, may have a material and adverse effect on our business, results of operations and financial condition. We cannot assure you that circumstances leading to the repossession of land or delays in the commencement and completion of construction on our acquired land in Yangzhou will not arise in the future. If our land is repossessed, we will not be able to continue our construction on the forfeited land, recover the costs incurred for the initial acquisition of the repossessed land or recover construction costs and other costs incurred up to the date of the repossession. In addition, we cannot assure you that regulations relating to idle land or other aspects of land use right assignment contracts will not become more restrictive or punitive in the future. If we fail to comply with the terms of any land use right assignment contract as a result of delays in land construction, or as a result of other factor, we may lose the opportunity to develop the land as well as our past investments in the land, which could materially and adversely affect our business, financial condition and results of operations.
Failure to comply with regulations related to export of processed materials may result in fines and legal or administrative actions.
During the years ended December 31, 2019 and 2020 and the six months ended June 30, 2021, our products were exported from PRC to branded customers around the world, especially in Switzerland, France, Italy, the Netherlands, Germany and Japan. Pursuant to the Regulation of the PRC on the Implementation of Customs Administrative Punishment, for a PRC entity managing businesses such as the transportation, storage, processing, assembly, consignment sale and exhibition of goods under customs supervision, if it fails to provide justifiable reasons for the relevant goods that are lost or short in quantity or whose records are untrue, a fine of 5% up to 30% the value of goods may be imposed upon, and the illegal gains shall be confiscated. During the year ended December 31, 2018, due to administrative oversight, one of our PRC subsidiaries, Dongguan Forwell, arbitrarily supplied the bonded materials which it imported for third party’s use (including for the use of Dongguan Yuantai Sports Equipment Co., Ltd., as Dongguan Forwell’s affiliate at that time); as a result, the short of bonded materials was identified and a fine of RMB 492,500 (approximately $76,238) was imposed upon Dongguan Forwell, and the fine was duly paid by Dongguan Forwell.
As we aim to increase our presence in overseas market, we are subject to a variety of risks and uncertainties associated with exporting of goods, such as compliance with foreign laws and regulatory requirements, foreign taxes and trade barriers. Any failure to comply with regulations related to import of raw materials or export of processed materials may result in fines and legal or administrative actions, which may have material adverse impact on our financial condition, results of operations and prospects.
Any lack of requisite approvals, licenses, permits or filings or failure to comply with any requirements of PRC laws, regulations and policies may materially and adversely affect our daily operations.
In accordance with the relevant PRC laws and regulations, we are required to maintain various approvals, licenses, permits and filings to operate our business, including but not limited to business license, sewage discharge permits, pollution discharge registration of stationary pollution source, customs registration certificate for customs declaration entities, record-filing form for entry-exit inspection and quarantine for declaration enterprise, food operation permit, and those with respect to environment protection and fire safety inspection. The obtaining of these approvals, licenses, permits and filings are subject to satisfactory compliance with, among other things, the applicable laws and regulations.
| 27 |
Furthermore, uncertainties exist with respect to the interpretation of relevant legal requirements regarding certain licenses and permits. In practice, relevant government authorities may take the view that certain license is not required for operating our business though there may be different interpretations with respect to the licensing requirements. We cannot assure you that relevant government authorities’ interpretation on such licensing requirements will remain the same in the future. If we are required to obtain relevant licenses, we will have to obtain those licenses in a timely manner. In addition, government authorities may impose additional licenses or permits or provides more strict supervision requirements when we make application, extension or renewal of licenses or permits. There is no guarantee that we would be able to obtain such licenses or permits or meet all the supervision requirements in a timely manner, or at all, or that they will not be subsequently revoked by relevant authorities. If we are unable to obtain any of such licenses and permits or extend or renew any of our current licenses or permits upon their expirations, or if we are required to incur significant additional costs to obtain or renew these licenses, permits and approvals, our daily operations could be materially and adversely affected.
We may be subject to additional contributions under various employee benefits plans and late payments and fines imposed by relevant governmental authorities.
Companies operating in PRC are required to participate in various government-sponsored employee benefit plans, including certain social insurance, housing provident funds and other welfare-oriented payment obligations, and contribute to the plans in amounts equal to certain percentages of salaries, including bonuses and allowances, of employees up to a maximum amount specified by the local government from time to time at locations where our employees are based.
During the years ended December 31, 2018 and 2019, two of our PRC subsidiaries, Dongguan YMA and Dongguan Forwell, did not make adequate contributions for the social insurance premiums, consisted of pension premium, medical insurance premium, work-related injury insurance premium, unemployment insurance premium and maternity insurance premium, for our employees in accordance with the statutory payment base required by the relevant PRC laws. Our failure in paying the social insurance premiums may subject us to any order to pay the shortfall of the social security insurance premiums within the prescribed time limited by the relevant PRC governmental authority. As of December 31, 2018, 2019 and 2020, we provided in the sum of approximately RMB2.9 million (approximately $0.4 million), RMB4.6 million (approximately $0.7 million) and RMB 4.7 million (approximately $0.7 million) for the underpaid social insurance premiums, respectively.
Furthermore, Dongguan YMA and Dongguan Forwell may be liable for a late fee of 0.5% per day of the underpaid amount, calculated from the original due date of such underpaid amount. In the event that Dongguan YMA and Dongguan Forwell failed to pay the underpaid amount within the period specified by the PRC authority, a fine of no less than one time and up to three times of the aggregate unpaid amount may be imposed. Furthermore, the relevant PRC governmental authority may apply the relevant administrative department for a decision on the allocation of the social insurance premium and notify the bank in writing for the allocation of the social insurance premium from Dongguan YMA’s and Dongguan Forwell’s bank accounts. If the balance of the bank account of Dongguan YMA and Dongguan Forwell is insufficient to cover the underpaid amount, the relevant PRC governmental authority may order Dongguan YMA and Dongguan Forwell to offer guarantee. If Dongguan YMA and Dongguan Forwell still fail to pay the social insurance premium in full amount and do not provide guarantee, the relevant PRC governmental authority may apply to competent people’s court for compulsory enforcement.
In addition, Dongguan YMA and Dongguan Forwell did not make adequate contributions for the housing provident fund for certain employees or pay such fund for our employees in accordance with the statutory payment base required by the relevant PRC laws. The reason for Dongguan YMA’s and Dongguan Forwell’s failure to pay the housing provident fund for part of their employees is that those employees are not willing to participate in the housing provident fund scheme and pay the housing provident fund. In this regard, Dongguan YMA and Dongguan Forwell may be ordered to pay the housing provident fund by the relevant PRC governmental authority. As of December 31, 2018, 2019 and 2020, we have provided in the sum of approximately RMB2.4 million (approximately $0.3 million), RMB3.4 million (approximately $0.5 million) and RMB4.3 million (approximately $0.7 million) for the underpaid housing provident fund, respectively. If Dongguan YMA and Dongguan Forwell fail to make the payment within the specified period, the relevant PRC governmental authority may apply to the competent people’s court for compulsory enforcement.
| 28 |
Failure to comply with PRC laws and regulations on employees’ overtime wages payment may expose us to potential compensations.
From time to time, we are under tight production schedule in order to meet customers’ requested timeline in different projects, and this, we may require employees to work overtime in order to fulfill the tight production schedule. Under the PRC labor law and regulations, employers are required to pay overtime wages to employees for the extended working hours. According to the PRC Labor Law, wage payments to an employee shall be no less than 150% of his/her wage if such employee is required to work longer hours during business days; wage payments to an employee shall be no less than 200% of his/her wages if such employee is required to work on days off and no rest can be arranged ex post facto; and wage payments to an employee shall be no less than 300% of his/her wages if such employee is required to work on national holidays. Two of our PRC subsidiaries, Dongguan YMA and Dongguan Forwell, have not formulated an employee overtime system and did not pay overtime wages to their employees for the extended working hours as they made payment to the employees on a piecework basis. There exists the circumstance that Dongguan YMA and Dongguan Forwell requested their employees to work overtime but did not pay overtime wages to such employees. Failure to make overtime wages payment to employees may lead to the relevant PRC governmental authority’s order on Dongguan YMA and Dongguan Forwell to pay overtime wages to employees who worked overtime within a prescribed time limit. If Dongguan YMA or Dongguan Forwell failed to do so, it may be ordered to pay a compensation of not less than fifty percent and up to one time the aggregate unpaid amount to the employees.
In addition, there can be no assurance that there will be additional or new labor laws, rules and regulations in the PRC, which may lead to potential increases in the labor costs with our employees. In such events, our business, financial condition and results of operations may be materially and adversely affected.
Uncertainties in the interpretation and enforcement of PRC laws and regulations could limit the legal protections available to you and us.
We have three subsidiaries in the PRC and all of which are subject to various PRC laws and regulations generally applicable to companies in the PRC. The PRC legal system is based on written statutes. Unlike common law systems, it is a system in which legal cases have limited value as precedents. In the late 1970s, the PRC government began to promulgate a comprehensive system of laws and regulations governing economic matters in general. The overall effect of legislation over the past four decades has significantly increased the protections afforded to various forms of foreign or private-sector investment in the PRC.
As relevant laws and regulations are relatively new and the PRC legal system continues to rapidly evolve, the interpretations of many laws, regulations and rules are not always uniform and enforcement of these laws, regulations and rules involve uncertainties.
From time to time, we may have to resort to administrative and court proceedings to enforce our legal rights. However, since PRC administrative and court authorities have significant discretion in interpreting and implementing statutory and contractual terms, it may be more difficult to evaluate the outcome of administrative and court proceedings and the level of legal protection we enjoy than in more developed legal systems. Furthermore, the PRC legal system is based in part on government policies and internal rules (some of which are not published in a timely manner or at all) that may have retroactive effect. As a result, we may not be aware of our violation of these policies and rules until sometime after the violation. Such uncertainties, including uncertainty over the scope and effect of our contractual, property (including intellectual property) and procedural rights, and any failure to respond to changes in the regulatory environment in the PRC could materially and adversely affect our business and impede our ability to continue our operations
| 29 |
The enforcement of the PRC Labor Contract Law and other labor-related regulations in the PRC may adversely affect our business and our results of operations.
The PRC Labor Law and the Labor Contract Law require that employers must execute written employment contracts with full-time employees. All employers must compensate their employees with wages equal to at least the local minimum wage standards. Violations of the PRC Labor Law and the Labor Contract Law may result in the imposition of fines, compensations and other administrative sanctions, and serious violations may constitute criminal offenses.
The PRC Labor Contract Law became effective and was implemented on January 1, 2008, which was amended on December 28, 2012. It has reinforced the protection of employees who, under the PRC Labor Contract Law, have the right, among others, to enter into written labor contracts, to enter into labor contracts with no fixed terms under certain circumstances, to receive overtime wages and to terminate or alter terms in labor contracts. According to the PRC Social Insurance Law, which became effective on July 1, 2011, and was amended on December 29, 2018, and the Administrative Regulations on the Housing Provident Funds, companies operating in PRC are required to participate in pension insurance, work-related injury insurance, medical insurance, unemployment insurance, maternity insurance and housing provident funds plans, and the employers must pay all or a portion of the social insurance premiums and housing provident funds for their employees.
As the interpretation and implementation of these laws and regulations are still evolving, our employment practice may not at all times be deemed in compliance with the new laws and regulations. If we are subject to severe penalties or incur significant liabilities in connection with labor disputes or investigations, our business and results of operations may be adversely affected.
Changes in PRC’s economic, political or social conditions or government policies could have a material adverse effect on our business and operations.
Currently, most of our production is conducted in PRC. Accordingly, our business, financial condition, results of operations and prospects may be influenced to a significant degree by political, economic and social conditions in PRC generally and by continued economic growth in PRC as a whole.
PRC’s economy differs from the economies of most developed countries in many respects, including the level of government involvement, level of development, growth rate, control of foreign exchange and allocation of resources. Although the PRC government has implemented measures since the late 1970’s emphasizing the utilization of market forces for economic reform, the reduction of state ownership of productive assets, and the establishment of improved corporate governance in business enterprises, which are generally viewed as a positive development for foreign business investment, a substantial portion of productive assets in PRC is still owned by the PRC government. In addition, the PRC government continues to play a significant role in regulating industry development by imposing industrial policies. The PRC government also exercises significant control over the PRC economic growth through allocating resources, controlling payments of foreign currency-denominated obligations, setting monetary policy, and providing preferential treatment to particular industries or companies.
While PRC’s economy has experienced significant growth over the past decades, growth has been uneven, both geographically and among various sectors of the economy, and the rate of growth has been slowing down. Some of the governmental measures may benefit the overall Chinese economy, but may have a negative effect on us. For example, our financial condition and results of operations may be adversely affected by government control over capital investments or changes in tax regulations. Any stimulus measures designed to boost the Chinese economy may contribute to higher inflation, which could adversely affect our results of operations and financial condition. For example, certain operating costs and expenses, such as employee compensation and office operating expenses, may increase as a result of higher inflation. In addition, the PRC government has implemented in the past certain measures to control the pace of economic growth. These measures may cause decreased economic activity, which in turn could lead to a reduction in demand for our products and services, and consequently have a material adverse effect on our businesses, financial condition and results of operations.
| 30 |
Failure to comply with PRC laws and regulations on leased property may expose us to potential fines.
Certain of our leasehold interests in leased properties have not been registered with the relevant PRC governmental authorities as required by PRC law, which may expose us to potential fines if we fail to remediate after receiving any notice from the relevant PRC government authorities. Our PRC subsidiary, Dongguan YMA, has subleased real properties located at Factory #B, No. 8, Block A, No. 128 Industrial Zone, Tangxia Town, Dongguan City, PRC to our another PRC subsidiary, Dongguan Forwell for its production and office, and they have not processed the lease registration in respect of such sub-lease. According to the Measures for Dongguan Housing Lease Management in the PRC, the parties to a lease agreement shall, within 15 days from the date of signing the lease, apply to the local housing rental management administrative authority where the house is located for the lease registration. Failure to process with the lease registration may lead to the administrative authority’s order on the lessor to make corrections within a prescribed time limit and a fine ranging from one to three times the monthly rent will be imposed on the lessor. As of the date of this prospectus, we have not been ordered by relevant governmental authorities for failure of registering our lease agreements. However, we may still be subject to potential fines if we fail to remediate after receiving any notice from the relevant PRC government authorities.
Failure to conform to the employment agreement regarding the practice of reassignment of employees’ job positions may expose us to lawsuits.
We enter into employment agreement with our employees when there are new hires and will reassign an employee’s job position when we need to meet production and operation demands or for other administrative reasons. We adopt our template employment agreement when entering into employment with our employees. Pursuant to the template employment agreement adopted by one of our PRC subsidiaries, Dongguan Forwell, if Dongguan Forwell intends to reassign an employee’s job position due to production and operation demands or other reasons, it shall reach a consensus with its employee through negotiation and the parties shall enter into a supplemental agreement. However, during the years ended December 31, 2017 and 2019 there were labor lawsuits where Dongguan Forwell unilaterally reassigned the employees’ job positions without reaching consensus with the employees, and Dongguan Forwell further terminated the employment agreement with the employees when the employees rejected to follow the reassignment. In such lawsuits, the court determined that Dongguan Forwell violated the relevant PRC labor laws for its unilateral termination of the employment agreement. As of the date of this prospectus, the abovementioned lawsuits have been duly settled and we are not aware of any other potential labor lawsuit in respect of the reassignment of employees’ job positions. However, if we are unable to conform to the employment agreement terms in any further reassignment of employees’ job positions, we may be liable for fines assessed by the relevant governmental authorities or incur settlement costs in order to resolve labor disputes and, and we may even be subject to higher labor costs in the future when recruiting new employees due to the reputation damage caused by labor disputes or related incidents.
Fluctuations in exchange rates could result in foreign currency exchange losses to us.
The value of the Renminbi against the U.S. dollar and other currencies may fluctuate and is affected by, among other things, changes in political and economic conditions and the foreign exchange policy adopted by the PRC government. In August 2015, the People’s Bank of China, or PBOC, changed the way it calculates the mid-point price of Renminbi against the U.S. dollar, requiring the market-makers who submit for reference rates to consider the previous day’s closing spot rate, foreign-exchange demand and supply as well as changes in major currency rates. In 2017, the value of the Renminbi appreciated by approximately 6.3% against the U.S. dollar; and in 2018, the Renminbi depreciated by approximately 5.7% against the U.S. dollar. From the end of 2018 through the end of June 2021, the value of the Renminbi appreciated by approximately 7.2% against the U.S. dollar. It is difficult to predict how market forces or PRC or U.S. government policy, including any interest rate increases by the Federal Reserve, may impact the exchange rate between the Renminbi and the U.S. dollar in the future. There remains significant international pressure on the PRC government to adopt a more flexible currency policy, including from the U.S. government, which has threatened to label China as a “currency manipulator,” which could result in greater fluctuation of the Renminbi against the U.S. dollar.
| 31 |
Governmental control of currency conversion may limit our ability to utilize our net revenues effectively and affect the value of your investment.
The PRC government imposes controls on the convertibility of the Renminbi into foreign currencies and, in certain cases, the remittance of currency into or out of China, which essentially may restrict the ability to transfer funds into or out of China. We receive part of our revenues in Renminbi. Under our current corporate structure, our Cayman Islands holding company relies on dividend payments from our PRC subsidiaries to fund some of the cash and financing requirements we may have. Under existing PRC foreign exchange regulations, payments of current account items, including profit distributions, interest payments and trade and service-related foreign exchange transactions, can be made in foreign currencies without prior approval of the SAFE by complying with certain procedural requirements. Specifically, under the existing exchange restrictions, without prior approval of SAFE, cash generated from the operations of our PRC subsidiaries in China may be used to pay dividends to our company. However, approval from or registration with appropriate government authorities is required where Renminbi is to be converted into foreign currency and remitted out of China to pay capital expenses such as the repayment of loans denominated in foreign currencies. As a result, we need to obtain SAFE approval to use cash generated from the operations of our PRC subsidiaries to pay off their respective debt in a currency other than Renminbi owed to entities outside China, or to make other capital expenditure payments outside China in a currency other than Renminbi. The PRC government may at its discretion restrict access to foreign currencies for current account transactions in the future. If the foreign exchange control system prevents us from obtaining sufficient foreign currencies to satisfy our foreign currency demands, we may not be able to pay dividends in foreign currencies to our shareholders.
Our PRC subsidiaries are subject to restrictions on paying dividends or making other payments to us, which may restrict our ability to satisfy our liquidity requirements.
We are an exempted company with limited liability incorporated under the laws of the Cayman Islands structured as a holding company. We may need dividends and other distributions on equity from our PRC subsidiaries to satisfy our liquidity requirements. Current PRC regulations permit our PRC subsidiaries to pay dividends to their respective shareholders only out of their accumulated profits, if any, determined in accordance with PRC accounting standards and regulations. In addition, each of PRC subsidiaries is required to set aside at least 10% of its accumulated profits each year, if any, to fund certain reserve funds until the total amount set aside reaches 50% of its registered capital. Each of our PRC subsidiaries may also, at its discretion, allocate a portion of its after-tax profits based on its articles of association and PRC accounting standards to certain reserve funds. These reserves are not distributable as cash dividends. Furthermore, if our PRC subsidiaries incur debt on their own behalf in the future, the instruments governing the debt may restrict their ability to pay dividends or make other payments to us. Any limitation on the ability of our PRC subsidiaries to distribute dividends or to make payments to us may restrict our ability to satisfy our liquidity requirements.
In addition, the Enterprise Income Tax Law and its implementation rules provide that a withholding tax rate of up to 10% will be applicable to dividends payable by Chinese companies to non-PRC-resident enterprises unless otherwise exempted or reduced according to treaties or arrangements between the PRC central government and governments of other countries or regions where the non-PRC-resident enterprises are incorporated.
PRC regulation on loans to, and direct investment in, PRC entities by offshore holding companies and governmental control in currency conversion may delay or prevent us from using the proceeds of our initial public offering to make loans to or make additional capital contributions to our PRC subsidiaries, which could materially and adversely affect our liquidity and our ability to fund and expand our business.
We are an exempted company with limited liability incorporated under the laws of the Cayman Islands structured as a holding company conducting our partial operations in China through our PRC subsidiaries. As permitted under PRC laws and regulations, in utilizing the proceeds of our initial public offering, we may make loans to our PRC subsidiaries subject to the approval from governmental authorities and limitation of amount, or we may make additional capital contributions to our PRC subsidiaries. Furthermore, loans by us to our PRC subsidiaries to finance its activities cannot exceed the difference between their respective total project investment amount and registered capital or 2.5 times of their net worth and capital contributions to our PRC subsidiaries are subject to the requirement of making necessary filings in the Foreign Investment Comprehensive Management Information System and registration with other governmental authorities in China.
| 32 |
The SAFE promulgated the Notice of the State Administration of Foreign Exchange on Reforming the Administration of Foreign Exchange Settlement of Capital of Foreign-invested Enterprises, or SAFE Circular 19, effective on June 1, 2015, in replacement of the Circular on the Relevant Operating Issues Concerning the Improvement of the Administration of the Payment and Settlement of Foreign Currency Capital of Foreign-Invested Enterprises, the Notice from the State Administration of Foreign Exchange on Relevant Issues Concerning Strengthening the Administration of Foreign Exchange Businesses, and the Circular on Further Clarification and Regulation of the Issues Concerning the Administration of Certain Capital Account Foreign Exchange Businesses. According to SAFE Circular 19, the flow and use of the RMB capital converted from foreign currency-denominated registered capital of a foreign-invested company is regulated such that RMB capital may not be used for the issuance of RMB entrusted loans, the repayment of inter-enterprise loans or the repayment of bank loans that have been transferred to a third party. Although SAFE Circular 19 allows RMB capital converted from foreign currency-denominated registered capital of a foreign-invested enterprise to be used for equity investments within the PRC, it also reiterates the principle that RMB converted from the foreign currency-denominated capital of a foreign-invested company may not be directly or indirectly used for purposes beyond its business scope. Thus, it is unclear whether the SAFE will permit such capital to be used for equity investments in the PRC in actual practice. The SAFE promulgated the Notice of the State Administration of Foreign Exchange on Reforming and Standardizing the Foreign Exchange Settlement Management Policy of Capital Account, or SAFE Circular 16, effective on June 9, 2016, which reiterates some of the rules set forth in SAFE Circular 19, but changes the prohibition against using RMB capital converted from foreign currency-denominated registered capital of a foreign-invested company to issue RMB entrusted loans to a prohibition against using such capital to grant loans to non-associated enterprises. Violations of SAFE Circular 19 and SAFE Circular 16 could result in administrative penalties. SAFE Circular 19 and SAFE Circular 16 may significantly limit our ability to transfer any foreign currency we hold, including the net proceeds from our initial public offering, to our PRC subsidiaries, which may adversely affect our liquidity and our ability to fund and expand our business in the PRC.
In light of the various requirements imposed by PRC regulations on loans to, and direct investment in, PRC entities by offshore holding companies, we cannot assure you that we will be able to complete the necessary government registrations or obtain the necessary government approvals on a timely basis, if at all, with respect to future loans by us to our PRC subsidiaries or with respect to future capital contributions by us to our PRC subsidiaries. If we fail to complete such registrations or obtain such approvals, our ability to use the proceeds from our initial public offering and to capitalize or otherwise fund our PRC operations may be negatively affected, which could materially and adversely affect our liquidity and our ability to fund and expand our business.
Certain PRC regulations may make it more difficult for us to pursue growth through acquisitions.
Among other things, the M&A Rules, adopted by six PRC regulatory agencies in 2006 and amended in 2009, established additional procedures and requirements that could make merger and acquisition activities by foreign investors more time-consuming and complex. Such regulation requires, among other things, that the Ministry of Commerce of the PRC, or the MOFCOM, be notified in advance of any change-of-control transaction in which a foreign investor acquires control of a PRC domestic enterprise or a foreign company with substantial PRC operations, if certain thresholds under the Provisions on Thresholds for Prior Notification of Concentrations of Undertakings, issued by the State Council in 2008, are triggered. Moreover, the Anti-Monopoly Law promulgated by the Standing Committee of the National People’s Congress which became effective in 2008 requires that transactions which are deemed concentrations and involve parties with specified turnover thresholds must be cleared by the Anti-Monopoly Bureau of State Administration for Market Regulation, or the Anti-Monopoly Bureau before they can be completed. In addition, PRC national security review rules which became effective in September 2011 require acquisitions by foreign investors of PRC companies engaged in military related or certain other industries that are crucial to national security be subject to security review before consummation of any such acquisition. We may pursue potential strategic acquisitions that are complementary to our business and operations. Complying with the requirements of these regulations to complete such transactions could be time-consuming, and any required approval processes, including obtaining approval or clearance from the MOFCOM or the Anti-Monopoly Bureau or its local counterparts, may delay or inhibit our ability to complete such transactions, which could affect our ability to expand our business or maintain our market share.
Enhanced scrutiny over acquisition transactions by the PRC tax authorities may have a negative impact on potential acquisitions we may pursue in the future.
Pursuant to the Notice on Strengthening Administration of Enterprise Income Tax for Share Transfers by Non-PRC Resident Enterprises, or SAT Circular 698, issued by China’s State Administration of Taxation (“SAT”) on December 10, 2009, where a foreign investor transfers the equity interests of a resident enterprise indirectly via disposition of the equity interests of an overseas holding company, or an “indirect transfer,” and such overseas holding company is located in a tax jurisdiction that (i) has an effective tax rate less than 12.5% or (ii) does not tax foreign income of its residents, the foreign investor shall report the indirect transfer to the competent PRC tax authority. The PRC tax authority will examine the true nature of the indirect transfer, and if the tax authority considers that the foreign investor has adopted an “abusive arrangement” in order to avoid PRC tax, it may disregard the existence of the overseas holding company and re-characterize the indirect transfer and as a result, gains derived from such indirect transfer may be subject to PRC withholding tax at a rate of up to 10%.
| 33 |
On February 3, 2015, the SAT issued the Announcement of the State Administration of Taxation on Several Issues Concerning the Enterprise Income Tax on Indirect Property Transfer by Non-Resident Enterprises, or SAT Bulletin 7, to supersede existing provisions in relation to the “indirect transfer” as set forth in SAT Circular 698, while the other provisions of SAT Circular 698 remain in force. Pursuant to SAT Bulletin 7, where a non-resident enterprise indirectly transfers properties such as equity in PRC resident enterprises without any justifiable business purposes and aiming to avoid the payment of enterprise income tax, such indirect transfer must be reclassified as a direct transfer of equity in PRC resident enterprise. To assess whether an indirect transfer of PRC taxable properties has reasonable commercial purposes, all arrangements related to the indirect transfer must be considered comprehensively and factors set forth in SAT Bulletin 7 must be comprehensively analyzed in light of the actual circumstances. SAT Bulletin 7 also provides that, where a non-PRC resident enterprise transfers its equity interests in a resident enterprise to its related parties at a price lower than the fair market value, the competent tax authority has the power to make a reasonable adjustment to the taxable income of the transaction.
On October 17, 2017, the SAT issued the Announcement of the State Administration of Taxation on Matters Concerning Withholding of Income Tax of Non-resident Enterprises as Source, or SAT Bulletin 37, which repealed the entire SAT Circular 698 and the provision in relation to the time limit for the withholding agent to declare to the competent tax authority for payment of such tax of SAT Bulletin 7. Pursuant to SAT Bulletin 37, the income from a property transfer, as stipulated in the second item under Article 19 of the Enterprise Income Tax Law, shall include the income derived from transferring such equity investment assets as stock equity. The balance of deducting the equity’s net value from the total income from equity transfer shall be taxable income from equity transfer. Where a withholding agent enters into a business contract, involving the income specified in the third paragraph of Article 3 in the Enterprise Income Tax Law, with a non-resident enterprise, the tax-excluding income of the non-resident enterprise will be treated as the tax-including income, based on which the tax payment will be calculated and remitted, if it is agreed in the contract that the withholding agent shall assume the tax payable.
During the effective period of SAT Circular 698 and by the application of SAT Bulletin 7 and SAT Bulletin 37, some intermediary holding companies were actually looked through by the PRC tax authorities, and consequently the non-PRC resident investors were deemed to have transferred the PRC subsidiary and PRC corporate taxes were assessed accordingly. It is possible that we or our non-PRC resident investors may become at risk of being taxed under SAT Bulletin 7 and SAT Bulletin 37 and may be required to expend valuable resources to comply with SAT Bulletin 7 and SAT Bulletin 37 or to establish that we or our non-PRC resident investors should not be taxed under SAT Bulletin 7 and SAT Bulletin 37, which may have an adverse effect on our financial condition and results of operations or such non-PRC resident investors’ investment in us.
It may be difficult for overseas shareholders and/or regulators to conduct investigation or collect evidence within PRC.
Shareholder claims or regulatory investigation that are common in the U.S. generally are difficult to pursue as a matter of law or practicality in PRC. For example, in PRC, there are significant legal and other obstacles to providing information needed for regulatory investigations or litigation initiated outside PRC or otherwise with respect to foreign entities. Although the authorities in PRC may establish a regulatory cooperation mechanism with the securities regulatory authorities of another country or region to implement cross-border supervision and administration, such cooperation with the securities regulatory authorities in the Unities States may not be efficient in the absence of mutual and practical cooperation mechanism. Furthermore, according to Article 177 of the PRC Securities Law, which became effective in March 2020, or Article 177, the securities regulatory authority of the State Council may collaborate with securities regulatory authorities of other countries or regions in order to monitor and oversee cross border securities activities. Article 177 further provides that no overseas securities regulator is allowed to directly conduct investigation or evidence collection activities within the territory of the PRC, and that any Chinese entities and individuals are not allowed to provide documents or materials related to securities business activities to overseas agencies without prior consent of the securities regulatory authority of the State Council and the competent departments of the State Council. While detailed interpretation of or implementation rules under Article 177 have yet to be promulgated, the inability for an overseas securities regulator to directly conduct investigation or evidence collection activities within PRC may further increase difficulties faced by you in protecting your interests.
| 34 |
You may experience difficulties in effecting service of legal process, enforcing foreign judgments or bringing actions in PRC against us or our directors and officers based on foreign laws.
We are an exempted company with limited liability incorporated under the laws of the Cayman Islands, and we conduct substantially all of our operations in Taiwan and PRC and substantially all of our assets are located in Taiwan and PRC. In addition, certain of our directors and officers reside outside the U.S. As a result, it may be difficult for you to effect service of process within the U.S. or elsewhere outside PRC upon us or those persons. In addition, there is uncertainty as to whether the courts of PRC would recognize or enforce judgments of U.S. courts against us or such persons predicated upon the civil liability provisions of the securities laws of the U.S. or any state.
The recognition and enforcement of foreign judgments are provided for under the PRC Civil Procedures Law. PRC courts may recognize and enforce foreign judgments in accordance with the requirements of the PRC Civil Procedures Law based either on treaties between PRC and the country where the judgment is made or on principles of reciprocity between jurisdictions. PRC does not have any treaties or other forms of written arrangement with the U.S. that provide for the reciprocal recognition and enforcement of foreign judgments. In addition, according to the PRC Civil Procedures Law, the PRC courts will not enforce a foreign judgment against us if they decide that the judgment violates the basic principles of PRC laws or national sovereignty, security or public interest. As a result, it is uncertain whether and on what basis a PRC court would enforce a judgment rendered by a court in the U.S.
Regulation and censorship of information disseminated over the internet in PRC may adversely affect our business, and we may be liable for content that is displayed on our website.
PRC has enacted laws and regulations governing internet access and the distribution of products, services, news, information, audio-video programs and other content through the internet. In the past, the PRC government has prohibited the distribution of information through the internet that it deems to be in violation of PRC laws and regulations. If any of our internet information was deemed by the PRC government to violate any content restrictions, we would not be able to continue to display such content and could become subject to penalties, including confiscation of income, fines, suspension of business and revocation of required licenses, which could materially and adversely affect our business, financial condition and results of operations. We may also be subject to potential liability for any unlawful actions of our customers or users of our website or for content we distribute that is deemed inappropriate. It may be difficult to determine the type of content that may result in liability to us, and if we are found to be liable, we may be prevented from operating our website in PRC.
Additional factors outside of our control related to doing business in PRC could negatively affect our business.
Additional factors that could negatively affect our business include a potential significant revaluation of the Renminbi, which may result in an increase in the cost of producing products in PRC, labor shortages and increases in labor costs in PRC as well as difficulties in moving products manufactured in PRC out of the country, whether due to port congestion, labor disputes, slowdowns, product regulations and/or inspections or other factors. Prolonged disputes or slowdowns can negatively impact both the time and cost of transporting goods. Natural disasters or health pandemics impacting PRC can also have a significant negative impact on our business. Further, the imposition of trade sanctions or other regulations against products imported by us from, or the loss of “normal trade relations” status with, PRC, could significantly increase our cost of products exported outside of PRC and harm our business.
Risks Related to this Offering and Ownership of Our Ordinary Shares
The recent joint statement by the SEC and PCAOB, proposed rule changes submitted by Nasdaq, and the Holding Foreign Companies Accountable Act all call for additional and more stringent criteria to be applied to emerging market companies upon assessing the qualification of their auditors, especially the non-U.S. auditors who are not inspected by the PCAOB. In September 2021, the PCAOB is adopting a new rule to provide a framework for its determinations under the HFCAA that the PCAOB is unable to inspect or investigate completely registered public accounting firms located in a foreign jurisdiction because of a position taken by one or more authorities in that jurisdiction. In addition, in June 2021, the Senate passed the Accelerating Holding Foreign Companies Accountable Act which, if signed into law, would reduce the time period for the delisting of foreign companies under the HFCAA to two consecutive years, instead of three years.
On April 21, 2020, SEC Chairman Jay Clayton and PCAOB Chairman William D. Duhnke III, along with other senior SEC staff, released a joint statement highlighting the risks associated with investing in companies based in or have substantial operations in emerging markets including China. The joint statement emphasized the risks associated with lack of access for the PCAOB to inspect auditors and audit work papers in China and higher risks of fraud in emerging markets.
On May 18, 2020, Nasdaq filed three proposals with the SEC to (i) apply minimum offering size requirement for companies primarily operating in “Restrictive Market”, (ii) adopt a new requirement relating to the qualification of management or board of director for Restrictive Market companies, and (iii) apply additional and more stringent criteria to an applicant or listed company based on the qualifications of the company’s auditors.
| 35 |
On May 20, 2020, the U.S. Senate passed the HFCAA requiring a foreign company to certify it is not owned or controlled by a foreign government if the PCAOB is unable to audit specified reports because the company uses a foreign auditor not subject to PCAOB inspection. If the PCAOB is unable to inspect an issuer’s auditors for three consecutive years, the issuer’s securities are prohibited to trade on a national securities exchange or in the over the counter trading market in the U.S. On December 2, 2020, the U.S. House of Representatives approved the HFCAA. On December 18, 2020, the HFCAA was signed into law.
On March 24, 2021, the SEC announced that it had adopted interim final amendments to implement congressionally mandated submission and disclosure requirements of the Act. The interim final amendments will apply to registrants that the SEC identifies as having filed an annual report on Forms 10-K, 20-F, 40-F or N-CSR with an audit report issued by a registered public accounting firm that is located in a foreign jurisdiction and that the PCAOB has determined it is unable to inspect or investigate completely because of a position taken by an authority in that jurisdiction. The SEC will implement a process for identifying such a registrant and any such identified registrant will be required to submit documentation to the SEC establishing that it is not owned or controlled by a governmental entity in that foreign jurisdiction, and will also require disclosure in the registrant’s annual report regarding the audit arrangements of, and governmental influence on, such a registrant.
On June 22, 2021, the U.S. Senate passed a bill which, if passed by the U.S. House of Representatives and signed into law, would reduce the number of consecutive non-inspection years required for triggering the prohibitions under the HFCAA from three years to two years.
Our auditor, which is based in Taiwan, is currently subject to inspection by the PCAOB every three years, without restriction. The audit work on our China subsidiaries is performed directly by our auditor under a temporary license issued by the Ministry of Finance of the PRC. However, our auditor is unable to provide audit working papers of the Company’s subsidiaries in China for PCAOB’s inspection without the approval of the PRC authorities.
Since September 22, 2021, the PCAOB is adopting a new rule, PCAOB Rule 6100, Board Determinations Under the Holding Foreign Companies Accountable Act to provide a framework for its determinations under the HFCAA that the PCAOB is unable to inspect or investigate completely registered public accounting firms located in a foreign jurisdiction because of a position taken by one or more authorities in that jurisdiction. The rule establishes the manner of the PCAOB’s determinations; the factors the PCAOB will evaluate and the documents and information the PCAOB will consider when assessing whether a determination is warranted; the form, public availability, effective date, and duration of such determinations; and the process by which the Board will reaffirm, modify, or vacate any such determinations.
However, the recent developments would add uncertainties to our offering and we cannot assure you whether Nasdaq or regulatory authorities would apply additional and more stringent criteria to us. It remains unclear what the SEC’s implementation process related to the March 2021 interim final amendments will entail or what further actions the SEC or Nasdaq will take to address these issues and what impact those actions will have on U.S. companies that have significant operations in the PRC and have securities listed on a U.S. stock exchange (including a national securities exchange or over-the-counter stock market). In addition, the March 2021 interim final amendments and any additional actions, proceedings, or new rules resulting from these efforts to increase U.S. regulatory access to audit information could create some uncertainty for investors, the market price of our ordinary shares could be adversely affected, and we could be delisted if we and our auditor are unable to meet the PCAOB inspection requirement or being required to engage a new audit firm, which would require significant expense and management time.
There has been no public market for our ordinary shares prior to this offering, and you may not be able to resell our ordinary shares at or above the price you paid, or at all.
Prior to this initial public offering, there has been no public market for our ordinary shares. We have applied to list our ordinary shares on Nasdaq under the symbol “YMAT.” If an active trading market for our ordinary shares does not develop after this offering, the market price and liquidity of our ordinary shares will be materially and adversely affected. Negotiations with the underwriters determine the initial public offering price for our ordinary shares which may bear no relationship to their market price after the initial public offering. We cannot assure you that an active trading market for our ordinary shares will develop or that the market price of our ordinary shares will not decline below the initial public offering price.
| 36 |
Nasdaq may delist our securities from trading on its exchange, which could limit investors’ ability to make transactions in our securities and subject us to additional trading restrictions.
We cannot assure you that our securities will continue to be listed on Nasdaq after our initial public offering. In order to continue listing our securities on Nasdaq, we must maintain certain financial, distribution and share price levels. In general, we must maintain a minimum amount in shareholders’ equity (generally $2,500,000) and a minimum of 300 round lot holders. For instance, our share price would generally be required to be at least $4.00 per share, our shareholders’ equity would generally be required to be at least $5.0 million and we would be required to have a minimum of 300 round lot holders of our securities (with at least 50% of such round lot holders holding securities with a market value of at least $2,500). We cannot assure you that we will be able to meet those initial listing requirements at that time.
If Nasdaq delists our securities from trading on its exchange and we are not able to list our securities on another national securities exchange, we expect our securities could be quoted on an over-the-counter market. If this were to occur, we could face significant material adverse consequences, including:
| ● | a limited availability of market quotations for our securities; | |
| ● | reduced liquidity for our securities; | |
| ● | a determination that our ordinary shares is a “penny stock” which will require brokers trading in our ordinary shares to adhere to more stringent rules and possibly result in a reduced level of trading activity in the secondary trading market for our securities; | |
| ● | a limited amount of news and analyst coverage; and | |
| ● | a decreased ability to issue additional securities or obtain additional financing in the future. |
The National Securities Markets Improvement Act of 1996, which is a federal statute, prevents or preempts the states from regulating the sale of certain securities, which are referred to as “covered securities.” Because we expect that our ordinary shares will be listed on Nasdaq, our ordinary shares will be covered securities. Although the states are preempted from regulating the sale of our securities, the federal statute does allow the states to investigate companies if there is a suspicion of fraud, and, if there is a finding of fraudulent activity, then the states can regulate or bar the sale of covered securities in a particular case. While we are not aware of a state having used these powers to prohibit or restrict the sale of securities issued by blank check companies, other than the State of Idaho, certain state securities regulators view blank check companies unfavorably and might use these powers, or threaten to use these powers, to hinder the sale of securities of blank check companies in their states. Further, if we were no longer listed on Nasdaq, our securities would not be covered securities and we would be subject to regulation in each state in which we offer our securities.
If a limited number of participants in this offering purchase a significant percentage of the offering, the effective public float may be smaller than anticipated and the price of our ordinary shares may be volatile.
As a company conducting a relatively modest public offering, we are subject to the risk that a small number of investors will purchase a high percentage of the offering. If this were to happen, investors could find our shares to be more volatile than they might otherwise anticipate. Companies that experience such volatility in their stock price may be more likely to be the subject of securities litigation. In addition, if a large portion of our public float were to be held by a few investors, smaller investors may find it more difficult to sell their shares.
| 37 |
The market price for our ordinary shares may be volatile, which could result in substantial losses to investors.
The trading prices of our ordinary shares are likely to be volatile and could fluctuate widely due to factors beyond our control. This may happen because of broad market and industry factors, like the performance and fluctuation in the market prices or the underperformance or deteriorating financial results of companies based in Taiwan that have listed their securities in the United States in recent years. The securities of some of these companies have experienced significant volatility since their initial public offerings, including, in some cases, substantial decline in their trading prices. The trading performances of other Taiwan companies’ securities after their offerings may affect the attitudes of investors toward Taiwan companies listed in the United States, which consequently may impact the trading performance of our ordinary shares, regardless of our actual operating performance. In addition, securities markets may from time to time experience significant price and volume fluctuations that are not related to our operating performance, which may have a material adverse effect on the market price of our shares. In addition to the above factors, the price and trading volume of our ordinary shares may be highly volatile due to multiple factors, including the following:
| ● | regulatory developments affecting us, our customers, or our industry; | |
| ● | announcements of studies and reports relating to our service offerings or those of our competitors; | |
| ● | actual or anticipated fluctuations in our results of operations and changes or revisions of our expected results; | |
| ● | changes in financial estimates by securities research analysts; | |
| ● | announcements by us or our competitors of new product and service offerings, acquisitions, strategic relationships, joint ventures or capital commitments; | |
| ● | additions to or departures of our senior management; | |
| ● | detrimental negative publicity about us, our management or our industry; | |
| ● | fluctuations of exchange rates between the NTD, Renminbi and the U.S. dollar; | |
| ● | release or expiry of lock-up or other transfer restrictions on our outstanding ordinary shares; and | |
| ● | sales or perceived potential sales of additional ordinary shares. |
Shares eligible for future sale may adversely affect the market price of our ordinary shares, as the future sale of a substantial amount of outstanding ordinary shares in the public marketplace could reduce the price of our ordinary shares.
The market price of our shares could decline as a result of sales of substantial amounts of our shares in the public market, or the perception that these sales could occur. In addition, these factors could make it more difficult for us to raise through future offerings of our ordinary shares. An aggregate of [*] shares were outstanding before the consummation of this offering and [*] shares will be outstanding immediately after this offering. All of the shares sold in the offering will be freely transferable without restriction or further registration under the Securities Act. The remaining shares will be “restricted securities” as defined in Rule 144. These shares may be sold in the future without registration under the Securities Act to the extent permitted by Rule 144 or other exemptions under the Securities Act.
You will experience immediate and substantial dilution.
The initial public offering price of our shares is expected to be substantially higher than the pro forma net tangible book value per share of our ordinary shares. Assuming the completion of the offering, if you purchase shares in this offering, you will incur immediate dilution of approximately $[*] or approximately [*]% in the pro forma net tangible book value per share from the price per share that you pay for the shares. Accordingly, if you purchase shares in this offering, you will incur immediate and substantial dilution of your investment. See “Dilution.”
| 38 |
As an exempted company with limited liability incorporated under the laws of the Cayman Islands, we are permitted to adopt certain home country practices in relation to corporate governance matters that differ significantly from Nasdaq corporate governance listing standards. These practices may afford less protection to shareholders than they would enjoy if we complied fully with Nasdaq corporate governance listing standards.
As a Cayman Islands company that is expected to be listed on Nasdaq, we are subject to Nasdaq corporate governance listing standards. However, Nasdaq rules permit a foreign private issuer like us to follow the corporate governance practices of its home country. Certain corporate governance practices in the Cayman Islands, which is our home country, may differ significantly from Nasdaq corporate governance listing standards. For example, neither the Companies Act nor our [post-offering] amended and restated memorandum and articles of association requires a majority of our board of directors to be independent and we could include non-independent directors as members of our compensation committee and nominating committee and our independent directors would not necessarily hold regular scheduled meetings at which only independent directors are present. In addition, we will be able to follow our home country law instead of the Nasdaq listing rules that require us to obtain shareholder approval for certain dilutive events, such as certain transactions other than a public offering involving issuances of a 20% or greater interest in the company, and acquisitions of the stock or assets of another company. If we choose to follow home country practice in the future, our shareholders may be afforded less protection than they otherwise would under Nasdaq’s corporate governance listing standards applicable to U.S. domestic issuers.
Our management has a certain level of discretion over use of proceeds of this offering.
While we have identified the priorities to which we expect to put the proceeds of this offering, our management will have considerable discretion in the application of the net proceeds received by us. Specifically, we intend to use the net proceeds from this offering to upgrade manufacturing facility and equipment and for working capital and general corporate purposes. We have reserved the right to re-allocate funds currently allocated to that purpose to our general working capital. If that were to happen, then our management would have significant discretion over even more of the net proceeds to be received by our company in this offering. You will not have the opportunity, as part of your investment decision, to assess whether the proceeds are being used appropriately. You must rely on the judgment of our management regarding the application of the net proceeds of this offering. The net proceeds may be used for corporate purposes that do not improve our efforts to achieve profitability or increase our stock price. The net proceeds from this offering may be placed in investments that do not produce profit or increase value. See “Use of Proceeds.”
We are an exempted company with limited liability incorporated under the laws of the Cayman Islands and, because judicial precedent regarding the rights of shareholders is more limited under Cayman Islands law than under U.S. law, you may have less protection for your shareholder rights than you would under U.S. law.
Our corporate affairs are governed by our memorandum and articles of association as amended from time to time, the Companies Act and the common law of the Cayman Islands. The rights of shareholders to take action against the directors, actions by minority shareholders and the fiduciary responsibilities of our directors to us under Cayman Islands law are to a large extent governed by the common law of the Cayman Islands. The common law of the Cayman Islands is derived in part from comparatively limited judicial precedent in the Cayman Islands as well as that from English common law, which has persuasive, but not binding, authority on a court in the Cayman Islands. The rights of our shareholders and the fiduciary responsibilities of our directors under Cayman Islands law may not be as clearly established as they would be under statutes or judicial precedent in some jurisdictions in the United States. In particular, the Cayman Islands has a less developed body of securities laws than the United States. Some U.S. states, such as Delaware, have more fully developed and judicially interpreted bodies of corporate law than the Cayman Islands. In addition, Cayman Islands companies may not have standing to initiate a shareholder derivative action in a federal court of the United States.
Shareholders of Cayman Islands exempted companies like us have no general rights under Cayman Islands law to inspect corporate records or to obtain copies of lists of shareholders of these companies (other than copies of our Memorandum and Articles of Association, as amended, and register of mortgages and charges). Under Cayman Islands law, the names of our current directors can be obtained from a search conducted at the Registrar of Companies. Our directors have discretion under our memorandum and articles of association to determine whether or not, and under what conditions, our corporate records may be inspected by our shareholders, but are not obliged to make them available to our shareholders. This may make it more difficult for you to obtain the information needed to establish any facts necessary for a shareholder motion or to solicit proxies from other shareholders in connection with a proxy contest.
| 39 |
As a company incorporated in the Cayman Islands, we are permitted to adopt certain home country practices in relation to corporate governance matters that differ from the Nasdaq corporate governance requirements; these practices may afford less protection to shareholders than they otherwise would under rules and regulations applicable to United States domestic issuers.
As a result of all of the above, our public shareholders may encounter different issues in protecting their interests in the face of actions taken by management, members of the board of directors or controlling shareholders than they would as shareholders of a U.S. public company.
We are a foreign private issuer and, as a result, will not be subject to U.S. proxy rules and will be subject to more lenient and less frequent Exchange Act reporting obligations than a U.S. issuer.
Upon consummation of this offering, we will report under the Securities Exchange Act as a foreign private issuer. Because we qualify as a foreign private issuer under the Exchange Act, we will be exempt from certain provisions of the Exchange Act that are applicable to U.S. public companies, including:
| ● | the sections of the Exchange Act that regulate the solicitation of proxies, consents or authorizations in respect of a security registered under the Exchange Act; | |
| ● | the sections of the Exchange Act that require insiders to file public reports of their stock ownership and trading activities and impose liability on insiders who profit from trades made in a short period of time; and | |
| ● | the rules under the Exchange Act that require the filing of quarterly reports on Form 10-Q containing unaudited financial and other specified information and current reports on Form 8-K upon the occurrence of specified significant events. |
In addition, foreign private issuers are not required to file their annual report on Form 20-F until 120 days after the end of each fiscal year, while U.S. domestic issuers that are not large accelerated filers or accelerated filers are required to file their annual report on Form 10-K within 90 days after the end of each fiscal year. Foreign private issuers are also exempt from Regulation FD, aimed at preventing issuers from making selective disclosures of material information. As a result, you may not have the same protections afforded to shareholders of companies that are not foreign private issuers.
We will incur increased costs as a result of being a public company, particularly after we cease to qualify as an “emerging growth company.”
Upon completion of this offering, we will become a public company and expect to incur significant legal, accounting and other expenses that we did not incur as a private company. The Sarbanes-Oxley Act of 2002, as well as rules subsequently implemented by the SEC and Nasdaq, impose various requirements on the corporate governance practices of public companies. As a company with less than US$1.07 billion in revenues for our last fiscal year, we qualify as an “emerging growth company” pursuant to the JOBS Act. An emerging growth company may take advantage of specified reduced reporting and other requirements that are otherwise applicable generally to public companies. These provisions include exemption from the auditor attestation requirement under Section 404 of the Sarbanes-Oxley Act of 2002 in the assessment of the emerging growth company’s internal control over financial reporting and permission to delay adopting new or revised accounting standards until such time as those standards apply to private companies.
We expect these rules and regulations to increase our legal and financial compliance costs and to make some corporate activities more time-consuming and costly. After we are no longer an “emerging growth company,” we expect to incur significant expenses and devote substantial management effort toward ensuring compliance with the requirements of Section 404 of the Sarbanes-Oxley Act of 2002 and the other rules and regulations of the SEC. For example, as a result of becoming a public company, we will need to increase the number of independent directors and adopt policies regarding internal controls and disclosure controls and procedures. We also expect that operating as a public company will make it more difficult and more expensive for us to obtain director and officer liability insurance, and we may be required to accept reduced policy limits and coverage or incur substantially higher costs to obtain the same or similar coverage. In addition, we will incur additional costs associated with our public company reporting requirements. It may also be more difficult for us to find qualified persons to serve on our board of directors or as executive officers. We are currently evaluating and monitoring developments with respect to these rules and regulations, and we cannot predict or estimate with any degree of certainty the amount of additional costs we may incur or the timing of such costs.
| 40 |
In the past, shareholders of a public company often brought securities class action suits against the company following periods of instability in the market price of that company’s securities. If we were involved in a class action suit, it could divert a significant amount of our management’s attention and other resources from our business and operations, which could harm our results of operations and require us to incur significant expenses to defend the suit. Any such class action suit, whether or not successful, could harm our reputation and restrict our ability to raise capital in the future. In addition, if a claim is successfully made against us, we may be required to pay significant damages, which could have a material adverse effect on our financial condition and results of operations.
We may lose our foreign private issuer status in the future, which could result in significant additional costs and expenses.
As discussed above, we are a foreign private issuer, and therefore, we are not required to comply with all of the periodic disclosure and current reporting requirements of the Exchange Act. The determination of foreign private issuer status is made annually on the last business day of an issuer’s most recently completed second fiscal quarter, and, accordingly, the next determination will be made with respect to us on [*]. In the future, we would lose our foreign private issuer status if (1) more than 50% of our outstanding voting securities are owned by U.S. residents and (2) a majority of our directors or executive officers are U.S. citizens or residents, or we fail to meet additional requirements necessary to avoid loss of foreign private issuer status. If we lose our foreign private issuer status, we will be required to file with the SEC periodic reports and registration statements on U.S. domestic issuer forms, which are more detailed and extensive than the forms available to a foreign private issuer. We will also have to mandatorily comply with U.S. federal proxy requirements, and our officers, directors and principal shareholders will become subject to the short-swing profit disclosure and recovery provisions of Section 16 of the Exchange Act. In addition, we will lose our ability to rely upon exemptions from certain corporate governance requirements under the listing rules of the Nasdaq. As a U.S. listed public company that is not a foreign private issuer, we will incur significant additional legal, accounting and other expenses that we will not incur as a foreign private issuer.
There can be no assurance that we will not be a passive foreign investment company, or PFIC, for United States federal income tax purposes for any taxable year, which could subject United States investors in our ordinary shares to significant adverse United States income tax consequences.
A non-United States corporation, such as our company, will be classified as a PFIC, for U.S. federal income tax purposes for any taxable year, if either (i) 75% or more of its gross income for such year consists of certain types of “passive” income or (ii) 50% or more of the value of its assets (determined on the basis of a quarterly average) during such year is attributable to assets that produce or are held for the production of passive income.
Based on our current composition of assets, subsidiaries and market capitalization (which will fluctuate from time to time), we do not expect to be or become a PFIC for U.S. federal income tax purposes. However, the determination of whether we will be or become a PFIC will depend, in part, upon the value of our goodwill and other unbooked intangibles. Furthermore, the determination of whether we will be or become a PFIC will depend, in part, on the composition of our income and assets. Fluctuations in the market price of our ordinary shares may cause us to become a PFIC for the current or subsequent taxable years. The composition of our income and assets may also be affected by how, and how quickly, we use our liquid assets and the cash raised in this offering. In addition, because there are uncertainties in the application of the relevant rules, it is possible that the Internal Revenue Service may challenge our classification of certain income and assets as non-passive or our valuation of our tangible and intangible assets.
Because determination of PFIC status is a fact-intensive inquiry made on an annual basis that depends upon the composition of our assets and income, no assurance can be given that we are not or will not become classified as a PFIC. If we were to be or become classified as a PFIC in any taxable year, a U.S. Holder (as defined in “Taxation—United States Federal Income Taxation”) may incur significantly increased U.S. federal income tax on gain recognized on the sale or other disposition of our ordinary shares and on the receipt of distributions on the ordinary shares to the extent such gain or distributions is treated as an “excess distribution” under the U.S. federal income tax rules. Further, if we are classified as a PFIC for any year during which a U.S. Holder holds our ordinary shares, we generally will continue to be treated as a PFIC for all succeeding years during which such U.S. Holder holds our ordinary shares. You are urged to consult your tax advisor concerning the United States federal income tax consequences of acquiring, holding, and disposing of ordinary shares if we are or become classified as a PFIC. For more information, see “Taxation— Certain United States Federal Income Tax Considerations.”
| 41 |
If securities or industry analysts do not publish research or publish inaccurate or unfavorable research about our business, the market price for our ordinary shares and trading volume could decline.
The trading market for our ordinary shares will depend in part on the research and reports that securities or industry analysts publish about us or our business. If research analysts do not establish and maintain adequate research coverage or if one or more of the analysts who cover us downgrade our ordinary shares or publish inaccurate or unfavorable research about our business, the market price for our ordinary shares would likely decline. If one or more of these analysts cease coverage of our company or fail to publish reports on us regularly, we could lose visibility in the financial markets, which, in turn, could cause the market price or trading volume for our ordinary shares to decline.
You may face difficulties in protecting your interests, and your ability to protect your rights through U.S. courts may be limited, because we are incorporated under Cayman Islands law.
We are an exempted company with limited liability incorporated under the laws of the Cayman Islands and certain of our officers and directors are residents of jurisdictions outside the United States. As a result, it may be difficult for investors to effect service of process within the United States upon our directors or executive officers, or enforce judgments obtained in the United States courts against our directors or officers.
Our corporate affairs will be governed by our amended and restated memorandum and articles of association as amended from time to time, the Companies Act and the common law of the Cayman Islands. The rights of shareholders to take legal action against our directors and us, actions by minority shareholders and the fiduciary responsibilities of our directors to us under Cayman Islands law are to a large extent governed by the common law of the Cayman Islands. The common law of the Cayman Islands is derived in part from comparatively limited judicial precedent in the Cayman Islands as well as that from English common law, which has persuasive, but not binding authority on a court in the Cayman Islands. The rights of our shareholders and the fiduciary responsibilities of our directors under Cayman Islands law may not be as clearly established as they would be under statutes or judicial precedent in some jurisdictions in the United States. In particular, the Cayman Islands has a less developed body of securities laws as compared to the United States, and some states, such as Delaware, have more fully developed and judicially interpreted bodies of corporate law than the Cayman Islands. In addition, Cayman Islands companies may not have standing to initiate a shareholder derivative action in a federal court of the United States.
We have been advised by our Cayman Islands legal counsel, Ogier, that there is uncertainty as to whether the courts of the Cayman Islands would:
| ● | recognize or enforce against us judgments of courts of the United States based on certain civil liability provisions of U.S. securities laws; and | |
| ● | entertain original actions brought in each respective jurisdiction against us or our directors or officers predicated upon the securities laws of the United States or any state in the United States. |
There is no statutory enforcement in the Cayman Islands of judgments obtained in the United States, although the courts of the Cayman Islands will in certain circumstances recognize and enforce a foreign judgment, without any re-examination or re-litigation of matters adjudicated upon, provided such judgment:
| (a) | is given by a foreign court of competent jurisdiction; | |
| (b) | imposes on the judgment debtor a liability to pay a liquidated sum for which the judgment has been given; | |
| (c) | is final; |
| 42 |
| (d) | is not in respect of taxes, a fine or a penalty; | |
| (e) | was not obtained by fraud; and | |
| (f) | is not of a kind the enforcement of which is contrary to natural justice or the public policy of the Cayman Islands. |
Subject to the above limitations, in appropriate circumstances, a Cayman Islands court may give effect in the Cayman Islands to other kinds of final foreign judgments such as declaratory orders, orders for performance of contracts and injunctions.
As a result of all of the above, public shareholders may have more difficulty in protecting their interests in the face of actions taken by our board of directors, management or controlling shareholders than they would as public shareholders of a U.S. company. For a discussion of certain differences between the provisions of the Companies Act, remedies available to shareholders and the laws applicable to companies incorporated in the United States and their shareholders, see “Enforceability of Civil Liabilities” and “Description of Securities.”
Judgments obtained against us by our shareholders may not be enforceable.
We are a Cayman Islands company and substantially all of our assets are located outside of the United States. Substantially all of our current operations are conducted in Taiwan and/or PRC. In addition, certain of our directors and officers reside outside the United States. As a result, it may be difficult for you to effect service of process within the United States or elsewhere outside Taiwan and/or PRC upon these persons. It may also be difficult for you to enforce in Taiwan and/or PRC or Cayman Islands courts judgments obtained in U.S. courts based on the civil liability provisions of the U.S. federal securities laws against us and our officers and directors, most of whom are not residents in the United States and the substantial majority of whose assets are located outside of the United States. It may be difficult or impossible for you to bring an action against us in the Cayman Islands if you believe your rights under the U.S. securities laws have been infringed. In addition, there is uncertainty as to whether the courts of the Cayman Islands or Taiwan and/or PRC would recognize or enforce judgments of U.S. courts against us or such persons predicated upon the civil liability provisions of the securities laws of the United States or any state and it is uncertain whether such Cayman Islands or Taiwan and/or PRC courts would hear original actions brought in the Cayman Islands or Taiwan and/or PRC against us or such persons predicated upon the securities laws of the United States or any state. See “Enforceability of Civil Liabilities.”
Provisions in our [post-offering] amended and stated memorandum and articles of association may inhibit a takeover of us, which could limit the price investors might be willing to pay in the future for our shares and could entrench management.
Our [post-offering] amended and restated memorandum and articles of association will contain provisions that may discourage unsolicited takeover proposals that shareholders may consider to be in their best interests. These provisions include a staggered board of directors and the ability of the board of directors to designate the terms of and issue new series of preferred shares, which may make the removal of management more difficult and may discourage transactions that otherwise could involve payment of a premium over prevailing market prices for our shares.
We are subject to changing law and regulations regarding regulatory matters, corporate governance and public disclosure that have increased both our costs and the risk of non-compliance.
We are subject to rules and regulations by various governing bodies, including, for example, the SEC, which are charged with the protection of investors and the oversight of companies whose securities are publicly traded, and to new and evolving regulatory measures under applicable law. Our efforts to comply with new and changing laws and regulations have resulted in and are likely to continue to result in, increased general and administrative expenses and a diversion of management time and attention from revenue generating activities to compliance activities.
Moreover, because these laws, regulations and standards are subject to varying interpretations, their application in practice may evolve over time as new guidance becomes available. This evolution may result in continuing uncertainty regarding compliance matters and additional costs necessitated by ongoing revisions to our disclosure and governance practices. If we fail to address and comply with these regulations and any subsequent changes, we may be subject to penalty and our business may be harmed.
| 43 |
SPECIAL NOTE REGARDING FORWARD-LOOKING STATEMENTS
This prospectus contains forward-looking statements that involve risks and uncertainties. All statements other than statements of historical facts are forward-looking statements. These statements involve known and unknown risks, uncertainties and other factors that may cause our actual results, performance or achievements to be materially different from those expressed or implied by the forward-looking statements.
You can identify these forward-looking statements by words or phrases such as “may,” “will,” “expect,” “anticipate,” “aim,” “estimate,” “intend,” “plan,” “believe,” “likely to” or other similar expressions. We have based these forward-looking statements largely on our current expectations and projections about future events and financial trends that we believe may affect our financial condition, results of operations, business strategy and financial needs. These forward-looking statements include, but are not limited to, statements about:
| ● | our goals and growth strategies; | |
| ● | our expectations regarding demand for and market acceptance of our products and services; | |
| ● | our future business development, results of operations and financial condition; | |
| ● | competition in our industry; | |
| ● | the expected growth of, and trends in, the markets for our products and services; | |
| ● | government policies and regulations relating to our corporate structure, business and industry; | |
| ● | our expectation regarding the use of proceeds from this offering; | |
| ● | our ability to comply with the continued listing standards on the exchange or trading market on which our ordinary shares is listed for trading; | |
| ● | the possibility that COVID-19 may adversely affect our results of operations, financial position and cash flows; | |
| ● | general economic and business condition in Taiwan and elsewhere; and | |
| ● | assumptions underlying or related to any of the foregoing. |
You should read thoroughly this prospectus and the documents that we refer to in this prospectus with the understanding that our actual future results may be materially different from and worse than what we expect. Other sections of this prospectus include additional factors which could adversely impact our business and financial performance. Moreover, we operate in an evolving environment. New risk factors and uncertainties emerge from time to time and it is not possible for our management to predict all risk factors and uncertainties, nor can we assess the impact of all factors on our business or the extent to which any factor, or combination of factors, may cause actual results to differ materially from those contained in any forward-looking statements. We qualify all of our forward-looking statements by these cautionary statements.
You should not rely upon forward-looking statements as predictions of future events. We undertake no obligation to update or revise any forward-looking statements, whether as a result of new information, future events or otherwise, after the date on which the statements are made or to reflect the occurrence of unanticipated events. You should read this prospectus and the documents that we refer to in this prospectus and have filed as exhibits to the registration statement, of which this prospectus is a part, completely and with the understanding that our actual future results may be materially different from what we expect.
| 44 |
After deducting the estimated underwriters’ discount and offering expenses payable by us, we expect to receive net proceeds of approximately $[●] million (or $ in the aggregate if the underwriters exercise their over-allotment option in full) from this offering. The net proceeds from this offering must be remitted to Taiwan before we will be able to use the funds to grow our business.
We intend to use the net proceeds of this offering as follows, after we complete the remittance process:
| ● | approximately 25% for acquiring and investing in production plant in the U.S. for the production of electric bicycle; | |
| ● | approximately 25% for purchasing equipment for our second production plant in Yangzhou, the PRC, for the production of key structural parts of electric bicycle, robotic arms, automobile and prepreg material; | |
| ● | approximately 15% for investment on electric bicycle and sports bicycle brands in Michigan State, the U.S., through acquisition, joint venture and/or co-branding production; | |
| ● | approximately 15% for establishing our R&D center in Houston, the U.S., for developing automation and advanced composite material and chemical technologies; | |
| ● | approximately 15% for general administration and working capital; and | |
| ● | approximately 5% for establishing our sales and administration office in Houston, the U.S., to closely work with our office in Taiwan on U.S. market sales and expansion. |
We carefully plan for the use of proceeds from this offering, not only to support our existing growth, but also build a road map for our future development. Regarding the acquisition and investment in production plant in the U.S., we will co-operate with the local bicycle assembly house in the U.S. and the investment amount will be capped at approximately 25% of the proceeds in respect of the infrastructure construction and machinery procurement. Regarding the construction of our second production plant in Yangzhou, approximately 25% of the proceeds is intended to be used for purchasing equipment for production only. Meanwhile, we are in discussion with a local construction company in the PRC on a hire purchase agreement of building and infrastructure construction of the production plant on our land in Yangzhou and such construction would be funded by the said local construction company in the PRC. As we intended to invest approximately USD6.2 million on the purchase of machinery and the proceeds would not be sufficient for us to accomplish such purpose, we would require additional funding by building lines of credit with financial institutions in the U.S. Concerning the investment on electric bicycle and sports bicycle brands in Michigan State, the U.S., our investment amount will be capped at approximately 15% of the proceeds in order to allow us to build our U.S. local talent force with handful of staffs to undertake the business development task. With regards to the R&D center in Houston, the U.S., we estimate that approximately 15% of the proceeds shall be sufficient for us to establish our R&D center in the U.S. as the major role of the R&D center in the U.S. is to guide our R&D center in Taiwan with their more innovated technology. For setting up our sales and administration office in Houston, the U.S., we consider that approximately 5% of the proceeds shall be sufficient for us to rent an office in Houston and hire staff for operation. We intend that our office in the U.S. will be a hub in coordinating all our business activities in the U.S. Based on the abovementioned, we believe that the proceeds from this offering shall be sufficient to accomplish each purpose. If in any circumstances we require additional funding, we will build lines of credit with financial institutions in the U.S.
The precise amounts and percentage of proceeds we devote to particular categories of activity, and their priority of use, will depend on prevailing market and business conditions as well as on the nature of particular opportunities that may arise from time to time. Accordingly, we reserve the right to change the use of proceeds that we presently anticipate and describe herein.
The foregoing is set forth based on the order of priority of each purpose and represents our current intentions based upon our present plans and business conditions to use and allocate the net proceeds of this offering. Our management, however, will have significant flexibility and discretion to apply the net proceeds of this offering. If an unforeseen event occurs or business conditions change, we may use the proceeds of this offering differently than as described in this prospectus.
| 45 |
The following tables set forth our cash and cash equivalents and capitalization as of June 30, 2021:
| ● | on an actual basis; and |
| ● | on a pro forma as adjusted basis to reflect the issuance and sale of [_______] shares at an assumed initial public offering price of $[_______] per share after deducting the underwriting discounts and commissions and estimated offering expenses payable by us. |
You should read the tables together with our consolidated financial statements and the related notes included elsewhere in this prospectus and the information under “Management’s Discussion and Analysis of Financial Condition and Results of Operations.”
| As of June 30, 2021 | ||||||||
| Actual | As Adjusted | |||||||
| (in US$) | ||||||||
| Current: | ||||||||
| Cash and cash equivalents | 928,772 | |||||||
| Current: | ||||||||
| Short-term loans | 3,916,274 | |||||||
| Current portion of long-term loans | 1,278,990 | |||||||
| Subtotal | 5,195,264 | |||||||
| Non-current: | ||||||||
| Long-term loans | 1,701,002 | |||||||
| Subtotal | 1,701,002 | |||||||
| Total interest-bearing loans and borrowings | 6,896,266 | |||||||
| Equity: | ||||||||
| Ordinary shares, $0.31 par value, 35,000,000 shares authorized, 21,892,899 ordinary shares outstanding on an actual basis; and [●] outstanding on an as adjusted basis | 6,805,098 | |||||||
| Additional paid-in capital (1) | 8,397,244 | |||||||
| Accumulated other comprehensive loss | (231,177 | ) | ||||||
| Retained earnings | (4,784,102 | ) | ||||||
| Total equity | 10,254,984 | |||||||
| Total capitalization | 17,151,250 | |||||||
| (1) | Additional paid in capital reflects the net proceeds we expect to receive, after deducting underwriting fee, underwriters expense allowance and other expenses. We expect to receive net proceeds of approximately $[●] (offering proceeds of $[_______], less underwriting discounts of $[_______], non-accountable expense of $[●] and offering expenses of $[_______]). The additional paid in capital reflects the net proceeds we expect to receive, after deducting underwriting discounts, underwriters expense allowance and other expenses. |
| 46 |
If you invest in our ordinary shares, you will incur immediate dilution since the public offering price per share you will pay in this offering is more than the net tangible book value per ordinary share immediately after this offering.
The net tangible book value of our ordinary shares as of [●] was $[●], or $[●] per share based upon [●] ordinary shares outstanding. Net tangible book value per share represents the amount of our total tangible assets reduced by the amount of our total liabilities, divided by the total number of ordinary shares outstanding. Tangible assets equal our total assets less deferred tax assets and deferred offering cost.
The dilution in net tangible book value per share to new investors, represents the difference between the amount per share paid by purchasers of shares in this offering and the pro forma net tangible book value per share immediately after completion of this offering. After giving effect to the sale of the [______] shares being sold pursuant to this offering price of $[______] per share and after deducting underwriters’ discount and commission payable by us in the amount of $[______], non-accountable expenses of $[______] payable to the underwriters and estimated offering expenses in the amount of $[______], our pro forma net tangible book value would be approximately $[______], or $[______] per share of ordinary shares. This represents an immediate increase in net tangible book value of $[______] per share to existing shareholders and an immediate decrease in net tangible book value of $[______] per share to new investors purchasing the shares in this offering.
The following table illustrates this per share dilution:
| As of [●] | ||||
| Public offering price per ordinary share | $ | |||
| Net tangible book value per share as of [●] | $ | [●] | ||
| Increase in net tangible book value per share attributable to existing shareholders | $ | |||
| Pro forma net tangible book value per share after this offering | $ | |||
| Dilution per share to new investors | $ | |||
Our adjusted pro forma net tangible book value after the offering, and the decrease to new investors in the offering, will change from the amounts shown above if the underwriters’ over-allotment option is exercised.
A $[______] increase (decrease) in the assumed public offering price would increase (decrease) our pro forma net tangible book value per share after this offering by approximately $[______], and increase the dilution per share to new investors by approximately $[______], after deducting the underwriters’ discount and estimated offering expenses payable by us.
The following table sets forth, on a pro forma as adjusted basis as of [●], the difference between the number of ordinary shares purchased from us, the total cash consideration paid, and the average price per share paid by our existing shareholders and by new public investors before deducting estimated underwriters’ discounts and commissions and estimated offering expenses payable by us, using an assumed public offering price of $[______] per ordinary share:
| Shares Purchased | Total Cash Consideration | Average Price Per | ||||||||||||||||||
| Number | Percent | Amount | Percent | Share | ||||||||||||||||
| Existing shareholders | [●] | [●] | % | $ | [●] | [●] | % | $ | [●] | |||||||||||
| New investors from public offering | % | $ | % | $ | ||||||||||||||||
| Total | 100.00 | % | $ | 100.00 | % | $ | ||||||||||||||
The pro forma as adjusted information discussed above is illustrative only. Our net tangible book value following the completion of this offering is subject to adjustment based on the actual initial public offering price of our ordinary shares and other terms of this offering determined at pricing.
| 47 |
ENFORCEABILITY OF CIVIL LIABILITIES
We are incorporated under the laws of the Cayman Islands as an exempted company with limited liability in order to enjoy the following benefits:
| ● | political and economic stability; | |
| ● | an effective judicial system; | |
| ● | a favorable tax system; | |
| ● | the absence of foreign exchange control or currency restrictions; and | |
| ● | the availability of professional and support services. |
However, certain disadvantages accompany incorporation in the Cayman Islands. These disadvantages include, but are not limited to, the following:
| ● | the Cayman Islands has a less developed body of securities laws as compared to the United States and these securities laws provide significantly less protection to investors; and | |
| ● | Cayman Islands companies may not have standing to sue before the federal courts of the United States. |
Currently, substantially all of our operations are conducted outside the United States, and substantially all of our assets are located outside the United States. All of our officers are nationals or residents of jurisdictions other than the United States and a substantial portion of their assets are located outside the United States. As a result, it may be difficult for a shareholder to effect service of process within the United States upon these persons, or to enforce against us or them judgments obtained in United States courts, including judgments predicated upon the civil liability provisions of the securities laws of the United States or any state in the United States.
We have appointed Puglisi & Associates, located at 850 Library Avenue, Suite 204, Newark, DE19711, as our agent upon whom process may be served in any action brought against us under the securities laws of the United States.
Ogier, our counsel as to Cayman Islands law, Lee and Li, Attorneys-at-Law, our counsel as to Taiwan law, and L&L-Leaven, Attorneys-at-Law, our counsel as to PRC law, have advised us, respectively, that there is uncertainty as to whether the courts of the Cayman Islands, Taiwan and China, respectively, would:
| ● | recognize or enforce judgments of U.S. courts obtained against us or our directors or officers predicated upon the civil liability provisions of securities laws of the United States or any state in the United States; or | |
| ● | entertain original actions brought in each respective jurisdiction against us or our directors or officers predicated upon the securities laws of the United States or any state in the United States. |
Ogier has informed us that it is uncertain whether the courts of the Cayman Islands will allow shareholders of our company to originate actions in the Cayman Islands based upon securities laws of the United States. In addition, there is uncertainty with regard to Cayman Islands law related to whether a judgment obtained from the U.S. courts under civil liability provisions of U.S. securities laws will be determined by the courts of the Cayman Islands as penal or punitive in nature. If such a determination is made, the courts of the Cayman Islands will not recognize or enforce the judgment against a Cayman Islands company, such as our company. As the courts of the Cayman Islands have yet to rule on making such a determination in relation to judgments obtained from U.S. courts under civil liability provisions of U.S. securities laws, it is uncertain whether such judgments would be enforceable in the Cayman Islands. Ogier has further advised us that although there is no statutory enforcement in the Cayman Islands of judgments obtained in the United States, the courts of the Cayman Islands will recognize and enforce a foreign judgement, without any re-examination or re-litigation of matters adjudicated upon, provided such judgment:
| (a) | is given by a foreign court of competent jurisdiction; |
| 48 |
| (b) | imposes on the judgment debtor a liability to pay a liquidated sum for which the judgment has been given; | |
| (c) | is final; | |
| (d) | is not in respect of taxes, a fine or a penalty; | |
| (e) | was not obtained by fraud; and | |
| (f) | is not of a kind the enforcement of which is contrary to natural justice or the public policy of the Cayman Islands. |
Our Taiwan counsel, Lee and Li, Attorneys-at-Law, has advised us that any United States judgments obtained against us will be enforced by courts in Taiwan without further review of the merits only if the court of Taiwan in which enforcement is sought is satisfied with the following:
| ● | the court rendering the judgment has jurisdiction over the subject matter according to the laws of Taiwan; | |
| ● | if the judgment was rendered by default by the court rendering the judgment, (i) we were duly served within a reasonable period of time within the jurisdiction of such court in accordance with the laws and regulations of such jurisdiction, or (ii) process was served on us with judicial assistance of Taiwan; | |
| ● | the judgment and the court procedures resulting in the judgment are not contrary to the public order or good morals of Taiwan; and | |
| ● | judgments of the courts of Taiwan are recognized in the jurisdiction of the court rendering the judgment on a reciprocal basis. |
Our PRC counsel, L&L-Leaven, Attorneys-at-Law, has advised us that the recognition and enforcement of foreign judgments are subject to compliance with the PRC Civil Procedures Law and relevant civil procedure requirements in the PRC. PRC courts may recognize and enforce foreign judgments in accordance with the requirements of PRC Civil Procedures Law based either on treaties between China and the country where the judgment is made or on reciprocity between jurisdictions. China does not have any treaties or other form of reciprocity with the United States or the Cayman Islands that provide for the reciprocal recognition and enforcement of foreign judgments. In addition, according to the PRC Civil Procedures Law, courts in the PRC will not enforce a foreign judgment against us or our directors and officers if they decide that the judgment violates the basic principles of PRC law or national sovereignty, security or public interest. As a result, it is uncertain whether and on what basis a PRC court would enforce a judgment rendered by a court in the United States or in the Cayman Islands.
As a result of all of the above, public shareholders may have more difficulty in protecting their interests in the face of actions taken by management, members of the board of directors or controlling shareholders than they would as public shareholders of a U.S. company.
| 49 |
On May 24, 2016, J-Star Holding Co., Ltd was incorporated as an exempted company with limited liability in the Cayman Islands as our holding company. J-Star directly holds all the share capital of (i) Goal Beyond, which was incorporated as an international company in Samoa on April 13, 2016; (ii) Star Leader Trading, which was incorporated in Hong Kong on May 30, 2016 as a limited company; and (iii) Bohong Technology, which was incorporated in the PRC on October 9, 2018. Our wholly-owned subsidiary Goal Beyond, in turn, holds all the share capital of (i) TW YMA, which was incorporated in Taiwan on July 17, 2015; (ii) Time Yield, which was incorporated in Samoa on January 30, 2013; (iii) Dongguan YMA, which was incorporated in the PRC on September 30, 2018; and (iv) Dongguan Forwell, which was incorporated in the PRC on December 5, 2003. As described below, J-Star, through a series of transactions which is accounted for as a reorganization of entities under a common control (the “Reorganization”), became the ultimate parent entity of its subsidiaries. Our principal executive offices are located at 7/F-1, No. 633, Sec.2, Taiwan Blvd., Xitun District, Taichung City 407, Taiwan (R.O.C.), and our phone number is +886-423229900. We maintain a corporate website at www.ymaunivers.com. The information contained in, or accessible from, our website or any other website does not constitute a part of this prospectus.
The diagram below shows our corporate structure subsequent to the completion of the reorganization:

our subsidiaries with earnings.
our non-operating subsidiaries as at the date of this prospectus.
The Reorganization
The Reorganization involved (i) the incorporation of J-Star under the laws of the Cayman Islands on May 24, 2016; (ii) the incorporation of J-Star’s wholly-owned subsidiary, Star Leader Trading, under the laws of Hong Kong on May 30, 2016; (iii) the transfer of all equity ownership of Goal Beyond to J-star from the former shareholders on August 31, 2016; (iv) the transfer of all equity ownership of Bohong Technology to J-Star from the former shareholders on December 7, 2021; (v) the transfer of all equity ownership of TW YMA to Goal Beyond from the former shareholders on August 16, 2016; (vi) the transfer of all equity ownership of Time Yield to Goal Beyond from the former shareholders on July 6, 2016; (vii) the incorporation of Dongguan YMA, a wholly-owned subsidiary of Goal Beyond, under the laws of PRC on September 30, 2018; (viii) the disposal of all equity ownership of Dongguan Yuantai Sports Equipment Co., Ltd. (“Dongguan Yuantai”), a company incorporated under the laws of PRC, by Skyfort International Pte. Limited (“Skyfort International”), a former wholly-owned subsidiary of Goal Beyond incorporated under the laws of Singapore, on April 3, 2019; (ix) the transfer of all equity ownership of Dongguan Forwell to Goal Beyond from the former shareholder on January 17, 2020; and (x) the deregistration of Skyfort International on February 13, 2020.
| 50 |
On July 6, 2016, Mr. Kuo-Pin Yu and Mr. Hsiu-Shan Chao transferred all of their respective shares of Time Yield to Goal Beyond, through a share purchase agreement dated June 1, 2016, in a total consideration of $1,000,000. After the transfer, Goal Beyond owns 100% equity interests of Time Yield.
On August 31, 2016, Mr. Jing-Bin Chiang, Mr. Kuo-Pin Yu, New Moon Corporation, Star Centurion Limited, Radian Faith Limited, Glitter Group Ltd., Colossal City Limited and Vantage Wave Limited (the “Goal Beyond Former Shareholders”), being the former shareholders of Goal Beyond transferred all of their respective shares of Goal Beyond to J-Star, through a share subscription agreement entered into between each of the Goal Beyond Former Shareholders, J-Star and Goal Beyond on June 1, 2016, for the subscription of J-Star’s newly-issued shares by Goal Beyond Former Shareholders through contributing all of their respective shares of Goal Beyond to J-Star to offset the obligation on the subscription payment. After the transfer, J-Star owns 100% equity interests of Goal Beyond.
On August 16, 2016, Mr. Kuo-Pin Yu and Ms. Hsiu-Shan Chao transferred all of their respective shares of TW YMA to Goal Beyond, through share transfer agreements dated July 27, 2016, in a total consideration of NTD1,000,000. After the transfer, Goal Beyond owns 100% equity interests of TW YMA.
Under a share transfer agreement dated August 14, 2018 (“Yuantai Share Transfer Agreement”), Skyfort International agreed to sell and Shenzhen Meishangsheng Technology Co., Ltd. (“Shenzhen Meishangsheng”), an independent third party, among others, agreed to purchase 100% equity ownership of Dongguan Yuantai, in a total consideration of RMB142.0 million, of which RMB12.0 million were agreed to be paid to certain independent third parties as agency commission fee under a separate undertaking dated May 29, 2018. Through the disposal of Dongguan Yuantai, the Group disposed of the ownership of two parcels of land in Dongguan, the PRC (“Dongguan Land”) held by Dongguan Yuantai, including the constructions and equipment implanted thereon, without disposing the assets and liabilities, production plant and products held under Dongguan Yuantai. Lease back arrangement has been made, in which Dongguan Yuantai (as lessor) leases out part of Dongguan Land (the “Leased Back Portions”) to Dongguan YMA (as lessee), which are currently used for operating our production plant in Dongguan, the PRC, and part of the consideration under Yuantai Share Transfer Agreement has been set off by rent of the Leased Back Portion for the lease period from July 2019 to June 2021. For further details on the lease concerning the Leased Back Portions, please refer to the two leased properties in Dongguan, the PRC, summarized under “Business – Properties.” The transfer of 50% equity ownership of Dongguan Yuantai to Shenzhen Meishangsheng was completed on November 13, 2018 and the transfer of another 50% of equity ownership of Dongguan Yuantai was completed on April 3, 2019. The assets and liabilities under Dongguan Yuantai were then transferred to Dongguan YMA on September 30, 2018.
On January 17, 2020, Goal Beyond acquired 100% equity ownership of Dongguan Forwell from Skyfort International Pte. Limited in a total consideration of HKD20.0 million through a share transfer agreement dated November 20, 2019. After the transfer, Goal Beyond owns 100% equity interests of Dongguan Forwell.
On December 30, 2020, J-Star, New Moon Corporation, Barium Glory Financial Ltd., Sendai Investments entered into a share swap agreement, whereby J-Star would acquire all share capital of Bohong Technology from New Moon Corporation, Barium Glory Financial Ltd., Sendai Investments, being the former shareholders of Bohong Technology, by a share swap of 838,053 treasury shares of J-Star. After the transfer, J-Star owns 100% equity interests of Bohong Technology.
On April 23, 2021, J-Star, Mr. Frédéric Sallet, Mr. Christophe Quiniou, Le Gallion and 6ème Sens Immobilier entered into an investment agreement, whereby the Group agreed to invest in 19.5% of the equity interest in Cycles Services Loire, a bicycle assemble house in France engaging in the assembly and trading of bicycles, bicycle accessories and other leisure products, in consideration of 19,500 euros, and the Group intended to invest further in Cycles Services Loire, in the amount of 40,500 euros, by early 2022, with a view to expanding our market in Europe and enhancing our proximity with customers in Europe.
| 51 |
SELECTED CONSOLIDATED FINANCIAL DATA
The following selected consolidated statements of operation data for the years ended December 31, 2019 and 2020, selected consolidated balance sheets data as of December 31, 2019 and 2020 and selected consolidated statements of cash flow data for the years ended December 31, 2019 and 2020 have been derived from our audited consolidated financial statements included elsewhere in this prospectus. The following selected consolidated statements of operation data for the six months ended June 30, 2020 and 2021, selected consolidated balance sheet data as of June 30, 2021, and selected consolidated statement of cash flow data for the six months ended June 30, 2020 and 2021 have been derived from our unaudited condensed interim consolidated financial statements included elsewhere in this prospectus and have been prepared on the same basis as our audited consolidated financial statements and include all adjustments, consisting only of normal and recurring adjustments, that we consider necessary for a fair statement of our financial position and operating results for the periods presented. Our annual consolidated financial statements are prepared and presented in accordance with International Financial Reporting Standards as issued by the International Accounting Standards Board (“IFRSs”). Our condensed consolidated interim financial statements have been prepared in accordance with IAS 34, Interim Financial Reporting. Our historical results are not necessarily indicative of results expected for future periods. You should read this Selected Consolidated Financial Data section together with our consolidated financial statements and the related notes and “Management’s Discussion and Analysis of Financial Condition and Results of Operations” included elsewhere in this prospectus.
Selected Consolidated Statements of Operation:
| For the Years Ended December 31, | For the Six months Ended June 30, |
|||||||||||||||
| 2019 | 2020 | 2020 | 2021 | |||||||||||||
| USD | USD | USD | USD | |||||||||||||
| Operating revenue | $ | 22,786,951 | $ | 22,178,572 | $ | 9,573,242 | $ | 12,184,064 | ||||||||
| Gross profit from operations | $ | 4,583,825 | $ | 7,361,667 | $ | 2,406,410 | $ | 4,484,340 | ||||||||
| Operating expenses | $ | (7,054,734 | ) | $ | (5,675,281 | ) | $ | (2,660,321 | ) | $ | (3,561,483 | ) | ||||
| Gains on disposals of non-current asset held for sale | $ | 6,859,542 | $ | - | $ | - | $ | - | ||||||||
| Gain arising from sale and leaseback transactions | $ | 6,948,966 | $ | - | $ | - | $ | - | ||||||||
| Other income and expenses | $ | (205,804 | ) | $ | 13,691 | $ | (30,158 | ) | $ | (229,906 | ) | |||||
| Net operating income | $ | 11,131,795 | $ | 1,700,077 | $ | (284,069 | ) | $ | 692,951 | |||||||
| Income taxes expense | $ | (159,807 | ) | $ | (355,273 | ) | (209,236 | ) | (398,661 | ) | ||||||
| Profit from continuing operations | $ | 11,005,799 | $ | 1,110,146 | $ | (747,509 | ) | $ | 967,537 | |||||||
| Total comprehensive income | $ | 11,011,108 | $ | 940,595 | (509,732 | ) | 968,012 | |||||||||
| Profit from continuing operations per ordinary share: | ||||||||||||||||
| Basic and diluted | $ | 0.44 | $ | 0.06 | $ | (0.04 | ) | $ | 0.04 | |||||||
Selected Consolidated Balance Sheets Data:
| As of December 31, |
As of June 30, | |||||||||||
| 2019 | 2020 | 2021 | ||||||||||
| USD | USD | USD | ||||||||||
| Current assets | $ | 20,970,214 | $ | 21,657,681 | $ | 29,299,669 | ||||||
| Total assets | $ | 25,995,359 | $ | 28,592,759 | $ | 36,185,503 | ||||||
| Current liabilities | $ | 17,520,315 | $ | 18,619,237 | $ | 23,937,864 | ||||||
| Total liabilities | $ | 20,954,072 | $ | 19,373,708 | $ | 25,930,519 | ||||||
| Total equity | $ | 5,041,287 | $ | 9,219,051 | $ | 10,254,984 | ||||||
Selected Consolidated Statements of Cash Flow Data:
| For the Years Ended December 31, | For the Six months Ended June 30, |
|||||||||||||||
| 2019 | 2020 | 2020 | 2021 | |||||||||||||
| USD | USD | USD | USD | |||||||||||||
| Net cash (used in) from operating activities | $ | (2,307,509 | ) | $ | 239,408 | $ | (703,884 | ) | $ | (2,338,841 | ) | |||||
| Net cash from (used in) investing activities | $ | 10,212,576 | $ | (1,238,681 | ) | $ | (549,633 | ) | $ | (947,354 | ) | |||||
| Net cash (used in) from financing activities | $ | (7,046,625 | ) | $ | 858,786 | $ | 1,416,794 | $ | 2,862,803 | |||||||
| Effect of foreign exchange rate changes on cash and cash equivalents | $ | 117,877 | $ | (85,751 | ) | $ | 101,710 | $ | 15,344 | |||||||
| Net increase (decrease) in cash, cash equivalents | $ | 976,319 | $ | (226,238 | ) | $ | 264,987 | $ | (408,048 | ) | ||||||
| Cash, cash equivalents at beginning of year | $ | 586,739 | $ | 1,563,058 | $ | 1,563,058 | $ | 1,336,820 | ||||||||
| Cash, cash equivalents at end of year | $ | 1,563,058 | $ | 1,336,820 | $ | 1,828,045 | $ | 928,772 | ||||||||
| 52 |
MANAGEMENT’S
DISCUSSION AND ANALYSIS OF FINANCIAL
CONDITION AND RESULTS OF OPERATIONS
The following management’s discussion and analysis of financial condition and results of operations contains forward-looking statements which involve risks and uncertainties. Our actual results could differ materially from those anticipated in these forward-looking statements as a result of certain factors, including those set forth under “Risk Factors” and elsewhere in this prospectus. We assume no obligation to update forward-looking statements or the risk factors. You should read the following discussion in conjunction with our consolidated financial statements and related notes included elsewhere in this prospectus.
Overview
Our vision is to offer cutting edge technology and manufacturing expertise in carbon composite to our customers. We have preliminarily engaged in the research and development as well as manufacturing of carbon fiber for a wide variety products including carbon bicycles, carbon rackets, automotive parts, outdoor sports gears and healthcare products.
For the fiscal years ended December 31, 2019 and 2020, our operating revenue were approximately $22.8 million and $22.2 million, respectively, and our profit after income tax from continuing operations were approximately $11.0 million and $1.1 million, respectively. For the six months ended June 30, 2020 and 2021, our operating revenue were approximately $9.6 million and $12.2 million, respectively, and our loss after income tax from continuing operations was approximately $747,509 for the six months ended June 30, 2020, and our profit after income tax from continuing operations was approximately $967,537 for the six months ended June 30, 2021. We primarily generates revenue through three divisions and revenue streams, namely (i) sales of bicycle parts for sports bicycle and electric bicycle, (ii) sales of rackets, and (iii) sales of other products.
Key Factors that Affect Operating Results
We believe the following key factors may affect our financial condition and results of operations:
| ● | our ability to increase our bicycle parts sales volume; | |
| ● | our ability to increase our rackets sales volume; | |
| ● | our ability to increase our other products sales volume; | |
| ● | our ability to enhance our operational efficiency; and | |
| ● | our ability to research and develop new products. |
COVID-19
The outbreak of novel coronavirus (COVID-19) began in December 2019 and was declared as a pandemic on March 11, 2020 by the World Health Organization. Subsequent to the outbreak, COVID-19 has spread rapidly to many parts of China and other parts of the world. The pandemic has resulted in quarantines, travel restrictions, and the temporary closure of stores and facilities in China and elsewhere.
As our production plant is located in China, the COVID-19 pandemic has adversely affected our business operations and financial condition, operating results and cash flow for fiscal year 2020, including but not limited to adverse impacts to our production pipeline and total revenue. Our operating revenue decreased by approximately 2.7% for the year ended December 31, 2020 as compared to the same period in 2019. Our operating revenue increased by approximately 27% for the six months ended June 30, 2021 as compared to the same period in 2020. For the six months ended June 30, 2021, there is an increase in inventories of $8,424,368 due to shortage of containers for international shipment to ship our products to the customers, which has in turn casted impact on our operating revenue for the six months ended June 30, 2021. In response to the COVID-19 pandemic, our primary focuses are on our cash flow management and timely collection of accounts receivables.
| 53 |
Results of Operations
The following table sets forth a summary of our consolidated statements of income for the six months ended June 30, 2020 and 2021, and for the fiscal years ended December 31, 2019 and 2020, respectively. This information should be read together with our consolidated financial statements and related notes included elsewhere in this prospectus. The results of operations in any period are not necessarily indicative of our future trends.
Six Months Ended June 30, 2020 and 2021
| For the Six months Ended June 30, | ||||||||||||||||||||||||
| 2020 | 2021 | Change | ||||||||||||||||||||||
| USD | % | USD | % | Amount | % | |||||||||||||||||||
| (Unaudited) | (Unaudited) | |||||||||||||||||||||||
| Operating revenue | $ | 9,573,242 | 100 | $ | 12,184,064 | 100 | $ | 2,610,822 | 27 | |||||||||||||||
| Less: Cost of revenue | (7,166,832 | ) | 75 | (7,699,724 | ) | 63 | (532,892 | ) | (7 | ) | ||||||||||||||
| Gross profit from operations | 2,406,410 | 25 | 4,484,340 | 37 | 2,077,930 | 86 | ||||||||||||||||||
| Operating expenses: | ||||||||||||||||||||||||
| Selling expenses | (685,648 | ) | 7 | (719,447 | ) | 6 | (33,799 | ) | (5 | ) | ||||||||||||||
| Administrative expenses | (1,229,066 | ) | 13 | (1,997,054 | ) | 16 | (767,988 | ) | (62 | ) | ||||||||||||||
| Research and development expenses | (814,023 | ) | 9 | (778,319 | ) | 6 | 35,704 | 4 | ||||||||||||||||
| Expected credit gains (losses) | 68,416 | 1 | (66,663 | ) | 1 | (135,079 | ) | (197 | ) | |||||||||||||||
| Gains on disposals of non-current asset held for sale | - | - | - | - | - | - | ||||||||||||||||||
| Gain arising from sale and leaseback transaction | - | - | - | - | - | - | ||||||||||||||||||
| Other income and expenses | (30,158 | ) | 0 | (229,906 | ) | 2 | (199,748 | ) | (662 | ) | ||||||||||||||
| Net operating income (loss) | (284,069 | ) | 3 | 692,951 | 6 | 977,020 | 344 | |||||||||||||||||
| Non-operating income and expenses: | ||||||||||||||||||||||||
| Interest income | 989 | 0 | 1,142 | 0 | 153 | 15 | ||||||||||||||||||
| Other gains and losses | (55,059 | ) | 1 | 733,325 | 6 | 788,384 | 1432 | |||||||||||||||||
| Finance costs | (200,134 | ) | 2 | (61,220 | ) | 1 | 138,914 | 69 | ||||||||||||||||
| Non-operating income and expenses | (254,204 | ) | 3 | 673,247 | 6 | 927,451 | 365 | |||||||||||||||||
| (Loss) Profit before income tax | (538,273 | ) | 6 | 1,366,198 | 11 | 1,904,471 | 354 | |||||||||||||||||
| Income tax benefit (expense) | (209,236 | ) | 2 | (398,661 | ) | 3 | (189,425 | ) | (91 | ) | ||||||||||||||
| (Loss) Profit after income tax | (747,509 | ) | 8 | (967,537 | ) | 8 | (220,028 | ) | (29 | ) | ||||||||||||||
| Exchange differences on translation of foreign operations | 237,777 | 2 | 475 | 0 | (237,302 | ) | (100 | ) | ||||||||||||||||
| Total comprehensive income | $ | (509,732 | ) | 5 | $ | 968,012 | 8 | $ | 1,477,744 | 290 | ||||||||||||||
Segment Information
For six months ended June 30, 2020 and 2021, we primarily generates revenue through three divisions and revenue streams, namely (i) sales of bicycle parts for sports bicycle and electric bicycle, (ii) sales of rackets, and (iii) sales of other products.
The following tables present the summary of each reportable segment’s revenue and income, which are considered as segment operating measures, for the six months ended June 30, 2020 and 2021:
| Six months ended June 30, 2021 | ||||||||||||||||
| Bicycle parts segment | Racket segment | All Other segment | Total
segments | |||||||||||||
| Total segment revenue | $ | 8,023,708 | $ | 4,160,356 | $ | 0 | $ | 12,184,064 | ||||||||
| Inter-segment revenue | $ | 0 | $ | 0 | $ | 0 | $ | 0 | ||||||||
| Revenue from contracts with customers | $ | 8,023,708 | $ | 4,160,356 | $ | 0 | $ | 12,184,064 | ||||||||
| Segment profit before income tax | $ | 949,895 | 416,303 | 0 | 1,366,198 | |||||||||||
| Six months ended June 30, 2020 | ||||||||||||||||
| Bicycle parts segment | Racket segment | All Other segment | Total
segments | |||||||||||||
| Total segment revenue | $ | 6,238,542 | $ | 3,314,089 | $ | 20,611 | $ | 9,573,242 | ||||||||
| Inter-segment revenue | $ | 0 | $ | 0 | $ | 0 | $ | 0 | ||||||||
| Revenue from contracts with customers | $ | 6,238,542 | $ | 3,314,089 | $ | 20,611 | $ | 9,573,242 | ||||||||
| Segment profit before income tax | 80,014 | 628,611 | 10,324 | 538,273 | ||||||||||||
| * | Please refer to the analysis of operating revenue in the paragraph headed “Components of Results of Operations” in this section. |
| 54 |
Years Ended December 31, 2019 and 2020
| For the Years Ended December 31, | ||||||||||||||||||||||||
| 2019 | 2020 | Change | ||||||||||||||||||||||
| USD | % | USD | % | Amount | % | |||||||||||||||||||
| Operating revenue | $ | 22,786,951 | 100 | $ | 22,178,572 | 100 | $ | (608,379 | ) | (3 | ) | |||||||||||||
| Less: Cost of revenue | (18,203,126 | ) | (80 | ) | (14,816,905 | ) | (67 | ) | 3,386,221 | 19 | ||||||||||||||
| Gross profit from operations | 4,583,825 | 20 | 7,361,667 | 33 | 2,777,842 | 61 | ||||||||||||||||||
| Operating expenses: | ||||||||||||||||||||||||
| Selling expenses | (1,927,635 | ) | (9 | ) | (1,386,309 | ) | (6 | ) | 541,326 | 28 | ||||||||||||||
| Administrative expenses | (3,152,487 | ) | (14 | ) | (2,517,208 | ) | (11 | ) | 635,279 | 20 | ||||||||||||||
| Research and development expenses | (1,744,141 | ) | (7 | ) | (1,689,817 | ) | (8 | ) | 54,324 | 3 | ||||||||||||||
| Expected credit losses | (230,471 | ) | (1 | ) | (81,947 | ) | (0 | ) | 148,524 | 64 | ||||||||||||||
| Gains on disposals of non-current asset held for sale | 6,859,542 | 30 | - | - | (6,859,542 | ) | (100 | ) | ||||||||||||||||
| Gain arising from sale and leaseback transactions | 6,948,966 | 31 | - | - | (6,948,966 | ) | (100 | ) | ||||||||||||||||
| Other income and expenses | (205,804 | ) | (1 | ) | 13,691 | 0 | 219,495 | 107 | ||||||||||||||||
| Net operating income | 11,131,795 | 49 | 1,700,077 | 8 | (9,431,718 | ) | (85 | ) | ||||||||||||||||
| Non-operating income and expenses | ||||||||||||||||||||||||
| Interest income | 9,502 | 0 | 2,802 | 0 | (6,700 | ) | (71 | ) | ||||||||||||||||
| Other gains and losses | 514,890 | 2 | 180,463 | 1 | (334,427 | ) | (65 | ) | ||||||||||||||||
| Finance costs | (490,581 | ) | (2 | ) | (417,923 | ) | (2 | ) | 72,658 | 15 | ||||||||||||||
| Non-operating income and expenses | 33,811 | 0 | (234,658 | ) | (1 | ) | (268,469 | ) | (794 | ) | ||||||||||||||
| Profit before income tax | 11,165,606 | 49 | 1,465,419 | 7 | (9,700,187 | ) | (87 | ) | ||||||||||||||||
| Income tax expense | (159,807 | ) | (1 | ) | (355,273 | ) | (2 | ) | (195,466 | ) | (122 | ) | ||||||||||||
| Profit after income tax | 11,005,799 | 48 | 1,110,146 | 5 | (9,895,651 | ) | (90 | ) | ||||||||||||||||
| Exchange differences on translation of foreign operations | 5,309 | 0 | (169,551 | ) | (1 | ) | (174,860 | ) | (3394 | ) | ||||||||||||||
| Total comprehensive income | $ | 11,011,108 | 48 | $ | 940,595 | 4 | $ | (10,070,513 | ) | (91 | ) | |||||||||||||
| 55 |
Segment Information
For the years ended December 31, 2019 and 2020, we primarily generates revenue through three divisions and revenue streams, namely (i) sales of bicycle parts for sports bicycle and electric bicycle, (ii) sales of rackets, (iii) sales of other products. We also received revenue of $146,282 from providing sanding and painting service for the year ended December 31, 2019, in which such business has been discontinued.
The following tables present the summary of each reportable segment’s revenue and income (loss), which are considered as segment operating performance measures, for the years ended December 31, 2019 and 2020:
| Year ended December 31, 2020 | ||||||||||||||||
| Bicycle parts segment | Racket segment | Others | Total
segments | |||||||||||||
| Total segment revenue | $ | 14,275,730 | $ | 7,880,514 | $ | 22,328 | $ | 22,178,572 | ||||||||
| Inter-segment revenue | $ | 0 | $ | 0 | $ | 0 | $ | 0 | ||||||||
| Revenue from contracts with customers | $ | 14,275,730 | $ | 7,880,514 | $ | 22,328 | $ | 22,178,572 | ||||||||
| Segment profit before income tax | $ | 1,893,547 | $ | (436,219 | ) | $ | 8,091 | $ | 1,465,419 | |||||||
| Year ended December 31, 2019 | ||||||||||||||||
| Bicycle parts segment | Racket segment | Others | Total
segments | |||||||||||||
| Total segment revenue | $ | 14,794,649 | $ | 7,964,035 | $ | 28,267 | $ | 22,786,951 | ||||||||
| Inter-segment revenue | $ | 0 | $ | 0 | $ | - | $ | 0 | ||||||||
| Revenue from contracts with customers | $ | 14,794,649 | $ | 7,964,035 | $ | 28,267 | $ | 22,786,951 | ||||||||
| Segment profit before income tax | $ | (11,969,151 | ) | (567,260 | ) | $ | (236,285 | ) | $ | 11,165,606 | ||||||
| * | Please refer to the analysis of operating revenue in the paragraph headed “Components of Results of Operations” in this section. |
Components of Results of Operations
Six Months Ended June 30, 2020 and 2021
Operating revenue
The following table identifies the disaggregation of our revenue from continuing operations and reportable segments for the six months ended June 30, 2020 and 2021, respectively:
| For the Six months Ended June 30, | Change | |||||||||||||||||||||||
| Segment | 2020 | % | 2021 | % | Amount | % | ||||||||||||||||||
| Bicycle parts | $ | 6,238,542 | 65 | $ | 8,023,708 | 66 | $ | 1,785,166 | 29 | |||||||||||||||
| Racket | 3,314,089 | 35 | 4,160,356 | 34 | 846,267 | 26 | ||||||||||||||||||
| All other segments | 20,611 | 0 | - | 0 | 20,611 | 100 | ||||||||||||||||||
| Revenue from contracts with customers | $ | 9,573,242 | 100 | $ | 12,184,064 | 100 | $ | 2,610,822 | (27 | ) | ||||||||||||||
Our operating revenue for the six months ended June 30, 2020 and 2021 were $9,573,242 and $12,184,064, respectively, representing an increase of approximately 27%. The increase in revenues was mainly driven by increase in sales of bicycle parts and racket. The revenue from sales of bicycle parts for the six months ended June 30, 2021 was $8,023,708, as compared to $6,238,542 for the six months ended June 30, 2020. The revenue from sales of bicycle parts increased by $1,785,166, was mainly due to the increase in sales of bicycle parts in the Europe and Asia markets. The revenue from sales of racket for the six months ended June 30, 2021 was $4,160,356, as compared to $3,314,089 for the six months ended June 30, 2020. The revenue from sales of racket increased by $846,267, which was mainly due to (i) the increase in sales of racket in the Asia market; and (ii) the sales of our paddle rackets introduced.
Cost of revenue
Cost of revenue consists primarily of (i) cost of goods sold; (ii) loss on physical inventory observation; and (iii) reversal of inventory valuation. Our cost of revenue increased by $532,892, or approximately 7.4%, to $7,699,724 for the six months ended June 30, 2021 from $7,166,832 for the six months ended June 30, 2020, which was primarily due to (i) the increase of revenue, (ii) cost of goods sold such as decrease in manufacture expenses and (iii) decrease in labor cost incurred during the six months ended June 30, 2021.
Gross profit
Gross profit for the six months ended June 30, 2020 and 2021 were $2,406,410 and $4,484,340, respectively, representing 25.1% and 36.8%, respectively, of operating revenue. Gross profit for the six months ended June 30, 2021 increased by 86.3% due to (i) the increase in the selling price of all our products and the increase in the number of new projects; and (ii) the decrease in manufacture expenses and decrease in labor cost incurred during the six months ended June 30, 2021.
Operating expenses
Our operating expenses primarily consist of (i) selling expenses; (ii) administrative expenses; (iii) research and development expenses; and (iv) expected credit gains or losses, and our operating expenses increased by $901,162 from $2,660,321 for the six months ended June 30, 2020 to $3,561,483 for the six months ended June 30, 2021. Such increase was primarily due to the increase in number of employees, resulting in increase in salary expense.
| 56 |
Other income and expenses
Our other income and expenses consist primarily of (i) gains or losses on disposals of property, plant and equipment; (ii) government grants; and (iii) others. We recorded an other expenses of $30,158 for the six months ended June 30, 2020 while we incurred other expenses of $229,906 for the six months ended June 30, 2021. The change was mainly due to the increase in losses on disposal of property, plant and equipment by $274,947 from the gains on disposals of property, plant and equipment of $11,501 for the six months ended June 30, 2020 to the losses on disposals of property, plant and equipment of $263,446 for the six months ended June 30, 2021.
Non-operating income and expenses
Our non-operating income and expenses consist primarily of (i) interest income; (ii) other gains and losses; and (iii) finance costs. We incurred a non-operating expenses $254,204 for the six months ended June 30, 2020 while we recorded a non-operating income of $673,247 for the six months ended June 30, 2021. The change from non-operating expenses to non-operating income was mainly due to the change in other gains and losses from the other losses of $55,059 for the six months ended June 30, 2020 to the other gains of $733,325 for the six months ended June 30, 2021. Such change was mainly due to recognition of foreign exchange gains in the six months ended June 30, 2021 as a result of appreciation of RMB and NTD against USD.
Income tax expense
We recorded income tax expense of $209,236 and $398,661 for the six months ended June 30, 2020 and 2021, respectively.
Profit (loss) after income tax
Our loss after income tax for the six months ended June 30, 2020 was $747,509 and our profit after income tax for the six months ended June 30, 2021 was $967,537.
Exchange differences on translation of foreign operations
We recorded an exchange gain of $237,777 and $475 for the six months ended June 30, 2020 and 2021.
We do not currently engage in currency hedging activities in order to reduce our currency exposure.
Total comprehensive income
As a result of the foregoing, our total comprehensive expense for the six months ended June 30, 2020 was $509,732 and our total comprehensive income for the six months ended June 30, 2021 was $968,012.
Years Ended December 31, 2019 and 2020
Operating revenues
The following table identifies the disaggregation of our revenue from continuing operations and reportable segments for the years ended December 31, 2019 and 2020, respectively:
| For the Year Ended December 31, | Change | |||||||||||||||||||||||
| Segment | 2019 | % | 2020 | % | Amount | % | ||||||||||||||||||
| Bicycle parts | $ | 14,794,649 | 64.9 | $ | 14,275,730 | 64.4 | $ | (518,919 | ) | (4 | ) | |||||||||||||
| Racket | 7,964,035 | 35.0 | 7,880,514 | 35.5 | (83,521 | ) | (1 | ) | ||||||||||||||||
| Others | 28,267 | 0.1 | 22,328 | 0.1 | (5,939 | ) | (21 | ) | ||||||||||||||||
| Revenue from contracts with customers | $ | 22,786,951 | 100 | $ | 22,178,572 | 100 | $ | (608,379 | ) | (3 | ) | |||||||||||||
Our operating revenue for the years ended December 31, 2019 and 2020 were $22,786,951 and $22,178,572, respectively. The decrease in operating revenue was mainly due to the decrease in sales of bicycle parts and racket. The decrease in sales of bicycle parts as (i) the decrease in revenue from the sales of bicycle parts from $14,794,649 for the year ended December 31, 2019 to $14,275,730 for the year ended December 31, 2020 was mainly due to slight decrease on the volumes; and (ii) no revenue has been received from the sale of bicycle parts in the United States for the year ended December 31, 2020, compared to the revenue from bicycle parts in the United States of $164,354 we received for the year ended December 31, 2019. The revenue from racket decreased was mainly due to the decrease in the sales of racket in Asia and Europe for the year ended December 31, 2020. The decrease in the sales of racket in Asia and Europe was mainly due to the delay in cargo transportation in Asia and Europe as a consequence of the outbreak of COVID-19.
| 57 |
Cost of revenue
Cost of revenue consists primarily of (i) cost of goods sold; (ii) loss on physical inventory observation; and (iii) Reversal of inventory valuation. Our cost of revenue decreased by $3,386,221, or approximately 18.6%, to $14,816,905 for the year ended December 31, 2020 from $18,203,126 for the year ended December 31, 2019, which was primarily due to the decrease in (i) cost of goods sold such as decrease in raw materials and supplies used and decrease in labor cost incurred during the year ended December 31, 2020; and (ii) loss on physical inventory.
Gross profit
Gross profit for the years ended December 31, 2019 and 2020 was $4,583,825 and $7,361,667, respectively, representing 20.1% and 33.2%, respectively, of operating revenue. Gross profit for the year ended December 31, 2020 increased by 60.6% due to (i) the increase in the selling price of bicycle parts mainly for new customers and the increase in the number of new customers, such increase in operating revenue from new customers was partially offset by the decrease in our total operating revenue due to the reasons mentioned above; and (ii) the decrease in raw materials and supplies used and decrease in labor cost incurred during the year ended December 31, 2020.
Operating expenses
Our operating expenses primarily consist of (i) selling expenses; (ii) administrative expenses; (iii) research and development expenses; and (iv) expected credit losses, and our operating expenses decreased by $1,379,453 from $7,054,734 for the year ended December 31, 2019 to $5,675,281 for the year ended December 31, 2020. Such decrease was primarily due to the outbreak of COVID-19 that affected our business operation, resulting in decrease in salary expenses and depreciation under our administrative expenses. Our selling expenses, research and development expenses and expected credit losses also decreased during the year ended December 31, 2020, resulting the decrease in our operating expenses.
Gains on disposals of non-current asset held for sale and gains arising from sale and leaseback transactions
In 2019, we sold certain land use right and buildings to Shenzhen Meishangsheng Technology Co., Ltd. and lease back a portion of the land use right and buildings sold. As a result, we recognized gains on disposals of non-current asset held for sale of $6,859,542 and gains arising from sale and leaseback transactions of $6,948,966.
Other income and expenses
Our other income and expenses consist primarily of (i) losses on disposals of property, plant and equipment; (ii) government grants; and (iii) others. We recorded an other expenses of $205,804 for the year ended December 31, 2019 while we incurred other income $13,691 for the year ended December 31, 2020. The change was mainly due to the losses on disposals of property, plant and equipment decreased by $149,264 from $221,065 for the year ended December 31, 2019 to $71,801 for the year ended December 31, 2020.
Non-operating income and expenses
Our non-operating income and expenses consist primarily of (i) interest income; (ii) other gains and losses; and (iii) finance costs. We recorded a non-operating income of $33,811 for the year ended December 31, 2019 while we incurred a non-operating expenses of $234,658 for the year ended December 31, 2020. The change from non-operating income to non-operating expenses was mainly due to foreign exchange gains decreased by $334,427 from $514,890 for the year ended December 31, 2019 to $180,463 for the year ended December 31, 2020.
Income tax expense
We recorded income tax expense of $159,807 and $355,273 for the years ended December 31, 2019 and 2020, respectively.
The effective tax rate was 1.4% and 24.2% for the years ended December 2019 and 2020. The increase in effective tax rate was mainly because the majority of our profit before income tax for the year ended December 31, 2019 was derived from gains on disposals of non-current asset held for sale and gains from sale and leaseback transactions and such gains are non-taxable.
| 58 |
Profit after income tax
Our profit after income tax for the years ended December 31, 2019 and 2020, was $11,005,799 and $1,110,146, respectively.
Exchange differences on translation of foreign operations
We recorded an exchange loss of $169,551 for the year ended December 31, 2020 while we recorded an exchange gain of $5,309 for the year ended December 31, 2019. The changes in exchange differences on translation of foreign operations year-over-year of $174,860 from gain to loss was primarily due to foreign currency translation loss from our subsidiaries located in China and Taiwan as a result of the translation of assets, liabilities, and results of operations into U.S. dollars using the relevant foreign currency exchange rates.
We do not currently engage in currency hedging activities in order to reduce our currency exposure.
Total comprehensive income
As a result of the foregoing, our total comprehensive income for the years ended December 31, 2019 and 2020, was $11,011,108 and $940,595, respectively.
Liquidity and Capital Resources
Our primary sources of liquidity consist of existing cash balances, cash flows from our operating activities and availability under our loan arrangements with banks. As of June 30, 2021, we had outstanding short-term loans with aggregate principal amount of $3,916,274 and $2,979,992 of long-term loans (including current portion), respectively. The short-term loans had floating interest rate between 1.42% to 2.65%. Long-term bank loans, however, had floating interest rate between 0.66% to 0.94%, and other long-term loans have interest rate ranging from 7.20% to 10.62%. As of June 30, 2021, we had cash and cash equivalents of $928,772 and working capital of $5,361,805. We also had unused credit lines from bank loans of $3,356,085, of which $3,196,530 expires within one year and $159,555 expires beyond one year, as of June 30, 2021. In November 2021, we have extended $2,239,000 of those $3,196,530 unused credit lines due within one year as of June 30, 2021 to October 2022. As of December 31, 2020, we had outstanding short-term loans with aggregate principal amount of $2,743,646 and $663,000 of long-term loans (including current portion), respectively. The short-term loans had floating interest rate between 1.69% to 2.6%. Long-term loans, however, had floating interest rate between 0.66% to 0.94%. As of December 31, 2020, we had cash and cash equivalents of $1,336,820 and working capital of $3,038,444. As of December 31, 2019, we had cash and cash equivalents of $1,563,058 and working capital of $3,449,899. We also had unused credit lines from bank loans of $0 as of December 31, 2019 and $3,349,619, of which $3,310,619 expires within one year and $39,000 expires beyond one year, as of December 31, 2020. Our short-term capital requirements are mainly due to strong growth of the market demand and accordingly, the increase of working capital requirements.
For the six months period ended June 30, 2021, we had cash and cash equivalent of $928,772, unused credit terms of $3,356,085, profit after tax of $967,537 and negative cash outflow in operating activities of ($2,338,841). We also had inventories of $20,124,028 as of June 30, 2021 which represents 165% of the Company’s sales revenue for the six months ended June 30, 2021.
Despite the strong growth of market demand, recent shortage of shipping containers and delays in international shipments delayed our shipment of inventories to our customers as scheduled which resulted in significant increase in the amount of inventories from $11,699,660 as of December 31, 2020 to $20,124,028 as of June 30, 2021. Such increase is the main reason for our negative cash outflow in operating activities of ($2,338,841) for the six months period June 30, 2021.
We anticipate that the shortage of shipping containers and delays in international shipments may continue, at least in the near future. Aforementioned shortage of shipping containers and delays in international shipments, if remain unrelieved in the near future, may continue to have negative impact on our liquidity and we may be required to raise additional funds from bank financing or issuance of equity to fund our operations. We have taken certain actions to manage the level of inventories held by us as well as negotiating new credit terms with our customers (for example one customer shorten the payment term from T/T 60 days to payment upon shipment from our factories) to ensure sufficient liquidity and capital resources.
For the expansion of our production capacity through Bohong Technology in Yangzhou, China, our plan is to commence the construction before the end of 2021. We expect to use cash generated from operations, additional bank secured borrowings with collateral of land use right and around $3 million of capital contribution, which have yet to be arranged or received to support the capital expenditures on machinery amounted to RMB 40.0 million (approximately $6.2 million). To date, we have financed our operations primarily through capital contributions, bank borrowings and from operations. We believe that we will generate sufficient cash flows after taking into account the inventory management, negotiation of new credit terms with customers, cash and cash equivalents on hand, our operating cash flows, available financing facilities and around $3 million of capital contributions, which have yet to arranged or received, to fund our operations and to meet our obligations on a timely basis for the next 12 months from the date our financial statements as of and for the six months ended June 30, 2021 was authorized for issuance. Accordingly, the financial statements have been prepared on a basis that assumes we will continue as a going concern and which contemplates the realization of assets and satisfaction of liabilities and commitments in the ordinary course of business.
Current foreign exchange and other regulations in the PRC may restrict our PRC entities in their ability to transfer their net assets to us and our subsidiary. However, we have no present plans to declare dividend and we plan to retain our retained earnings to continue to grow our business.
We are permitted under PRC laws and regulations to provide funding to our PRC subsidiaries only through loans or capital contributions, and only if we satisfy the applicable government registration and approval requirements. The relevant filing and registration processes for capital contributions to our PRC subsidiaries typically take approximately eight weeks to complete. The filing and registration processes for loans either to our PRC subsidiaries typically take approximately four weeks or longer to complete. While we currently see no material obstacles to completing the filing and registration procedures with respect to future capital contributions to our PRC subsidiaries and loans to our PRC subsidiaries, we cannot assure you that we will be able to complete these filings and registrations on a timely basis, or at all. See “Risk Factors—Risks Related to Conducting Operations in PRC—Governmental control of currency conversion may limit our ability to utilize our net revenues effectively and affect the value of your investment.’’ Additionally, while there is no statutory limit on the amount of capital contribution that we can make to our PRC subsidiaries, loans provided to our PRC subsidiaries are subject to certain statutory limits. We are able to use all of the net proceeds from this offering for investment in our PRC operations by funding our PRC subsidiary through capital contributions which is not subject to any statutory limit on the amount under PRC laws and regulations. We expect the net proceeds from our initial public offering to be used in the PRC will be in the form of Renminbi and, therefore, our PRC subsidiaries will need to convert any capital contributions or loans from U.S. dollars into Renminbi in accordance with applicable PRC laws and regulations.
| 59 |
Cash Flows
Six Months Ended June 30, 2020 and 2021
The following table summarizes our cash flows for the periods indicated:
| For the Six Months Ended June 30, | ||||||||
| 2020 | 2021 | |||||||
| USD | USD | |||||||
| Net cash (used in) from operating activities | $ | (703,884 | ) | $ | (2,338,841 | ) | ||
| Net cash from (used in) investing activities | $ | (549,633 | ) | $ | (947,354 | ) | ||
| Net cash (used in) from financing activities | $ | 1,416,794 | $ | 2,862,803 | ||||
| Effect of foreign exchange rate changes | $ | 101,710 | $ | 15,344 | ||||
| Net increase (decrease) in cash, cash equivalents | $ | 264,987 | $ | (408,048 | ) | |||
| Cash, cash equivalents at beginning of year | $ | 1,563,058 | $ | 1,336,820 | ||||
| Cash, cash equivalents at end of year | $ | 1,828,045 | $ | 928,772 | ||||
Operating Activities
Net cash used in operating activities was $703,884 for the six months ended June 30, 2020, primarily derived from loss before tax of $538,273, adjusted mainly by (a) the decrease in accounts and payable of $554,636; and (b) the increase in inventories of $884,933 as we intend to increase the inventories to support our growth on sales and avoid for shortage on raw material as a consequence of the outbreak of COVID-19 that delayed the shipment of raw materials to us during the six months ended June 30, 2020.
Net cash used in operating activities was $2,338,841 for the six months ended June 30, 2021, primarily derived from profit before tax of $1,366,198, adjusted mainly by (a) the increase in accounts and payable of $1,972,002; and (b) the increase in inventories of $8,424,368 due to shortage of containers for international shipment to ship our products to the customers as well as our intention to increase the inventories to support our growth on sales and avoid for shortage on raw material as a consequence of the outbreak of COVID-19 that delayed the shipment of raw materials to us during the six months ended June 30, 2021.
Investing Activities
For the six months ended June 30, 2020, net cash used in investing activities was $549,633, mainly for (i) acquisition of financial assets at amortized cost of $400,616; and (ii) acquisition of property, plant and equipment of $275,890.
For the six months ended June 30, 2021, net cash used in investing activities was $947,354, mainly for (i) acquisition of property, plant and equipment of $527,850; and (ii) increase in guarantee deposits paid of $386,168.
Financing Activities
For the six months ended June 30, 2020, net cash from financing activities was $1,416,794, mainly consisted of (i) proceeds from short-term bank loans of $1,827,579, and offset by (ii) decrease in long-term notes and accounts payable to related parties of $393,202.
For the six months ended June 30, 2021, net cash from financing activities was $2,862,803, mainly consisted of (i) proceeds from short-term bank loans of $1,138,935l and (ii) proceeds from long-term bank loans of $2,408,434, and offset by (iii) decrease in other payables to related parties of $442,473.
Years Ended December 31, 2019 and 2020
The following table summarizes our cash flows for the periods indicated:
| For the Years Ended December 31, | ||||||||
| 2019 | 2020 | |||||||
| USD | USD | |||||||
| Net cash (used in) from operating activities | $ | (2,307,509 | ) | $ | 239,408 | |||
| Net cash from (used in) investing activities | $ | 10,212,576 | $ | (1,238,681 | ) | |||
| Net cash (used in) from financing activities | $ | (7,046,625 | ) | $ | 858,786 | |||
| Effect of foreign exchange rate changes | $ | 117,877 | $ | (85,751 | ) | |||
| Net increase (decrease) in cash, cash equivalents | $ | 976,319 | $ | (226,238 | ) | |||
| Cash, cash equivalents at beginning of year | $ | 586,739 | $ | 1,563,058 | ||||
| Cash, cash equivalents at end of year | $ | 1,563,058 | $ | 1,336,820 | ||||
| 60 |
Operating Activities
Net cash from operating activities was $239,408 for the year ended December 31, 2020, primarily derived from profit before tax of $1,465,419, adjusted mainly by (a) a decrease in prepayments of $1,109,801 mainly because we made large sum of prepayment to our supplier at the end of 2019; (b) an increase in accounts and payable of $850,274, and offset by an increase in inventories of $3,522,931 as we intended to increase the inventories to avoid for shortage of inventory as a consequence of the outbreak of COVID-19 that delayed the shipment of raw materials to us during the year ended December 31, 2020.
Net cash used in operating activities was $2,307,509 for the year ended December 31, 2019, primarily derived from profit before tax of $11,165,606, adjusted mainly by (a) gains on disposals of a building held for sale of $6,859,542; (b) gains of $6,948,966 arising from sale and leaseback transactions of certain land and buildings to Shenzhen Meishang Technology Co., Ltd. in March 2019; (c) a decrease in accounts receivable of $1,417,142 mainly due to the decrease in revenue during the year ended December 31, 2019; (d) a decrease in other receivables of $2,611,063; (e) an increase in current contract liabilities of $986,139 mainly due to the increase in prepayments received from our customers during December 31, 2019; (f) an increase in inventories of $2,000,366; (g) an increase in prepayments from our customers of $815,807; and (h) an decrease in other payables of $1,780,811.
Investing Activities
For the year ended December 31, 2020, net cash used in investing activities was $1,238,681, mainly for (i) acquisition of financial assets at amortized cost of $704,776; and (ii) acquisition of property, plant and equipment of $659,266.
For the year ended December 31, 2019, net cash from investing activities was $10,212,576, mainly consist of the proceeds from the sale and leaseback transactions and disposal of non-current asset held for sale of $11,457,760, mainly offset by cash for acquisition of property, plant and equipment of $1,080,399.
Financing Activities
For the year ended December 31, 2020, net cash from financing activities was $858,786, mainly consisted of proceeds from short-term bank loans of $2,011,783 and long-term bank loans of $638,444, and offset by decrease in other payables to related parties of $1,137,495.
For the year ended December 31, 2019, net cash used in financing activities was $7,046,625, mainly consisted of treasury shares acquired for the repurchase of 4,999,447 treasury shares amounting to $8,022,078, and offset by an increase in other payables to related parties of $770,250.
Trend Information
Other than as disclosed in “Risk Factors—Risks Related to Our Business and Industry—The occurrence of force majeure events and natural disasters may adversely affect our business, financial condition and results of operations” in this prospectus, we are not aware of any trends, uncertainties, demands, commitments or events that are reasonably likely to have a material effect on our operating revenue, income from continuing operations, profitability, liquidity or capital resources, or that would cause reported financial information not necessarily to be indicative of future operating results or financial condition.
Off-Balance Sheet Arrangements
We did not have during the periods presented, and we do not currently have, any off-balance sheet financing arrangements or any relationships with unconsolidated entities or financial partnerships, including entities sometimes referred to as structured finance or special purpose entities, that were established for the purpose of facilitating off-balance sheet arrangements or other contractually narrow or limited purposes.
| 61 |
Internal Control Over Financial Reporting
Prior to this offering, we were a private company with limited accounting personnel and other resources to address our internal control over financial reporting. Our independent registered public accounting firm has not conducted an audit of our internal control over financial reporting. However, in preparing our consolidated financial statements as of and for the years ended December 31, 2019 and 2020, we and our independent registered public accounting firm identified material weaknesses in our internal control over financial reporting as of December 31, 2020, in accordance with the standards established by PCAOB. As defined in standards established by the PCAOB, a “material weakness” is a deficiency, or combination of deficiencies, in internal control over financial reporting, such that there is a reasonable possibility that a material misstatement of the annual or interim financial statements will not be prevented or detected on a timely basis.
The material weaknesses identified arose from our lack of effective financial reporting oversight process for our period-end financial reporting as well as our lack of policies and procedures over evaluation of significant complex transactions and evaluation of certain general ledger accounts. Following the identification of the material weaknesses, we have taken and plan to continue to take remedial measures to remedy the material weaknesses. Neither we nor our independent registered public accounting firm undertook a comprehensive assessment of our internal control over financial reporting under the Sarbanes-Oxley Act for purposes of identifying and reporting any weakness or significant deficiency in our internal control over financial reporting, as we and they will be required to do so once we become a public company. Had we performed a formal assessment of our internal control over financial reporting or had our independent registered public accounting firm performed an audit of our internal control over financial reporting, additional control deficiencies may have been identified.
To remedy our identified material weaknesses, we are in the process of adopting several measures that will improve our internal control over financial reporting, including: (i) recruiting a chief financial officer with extensive financial reporting experience to effectively oversight our financial reporting process; (ii) establishing a comprehensive accounting policies and procedures manual, which document the current IFRS accounting policies and technical accounting guidance and are tailored to the Company’s business; (iii) establishing an ongoing program to provide sufficient and additional appropriate training to its accounting staff, especially trainings related to IFRSs and SEC financial reporting requirements; and (iv) implementing internal controls over financial reporting to ensure our controls over accounting policies and procedures are operating effectively.
We expect to complete the measures above as soon as practicable and we will continue to implement measures to remedy our internal control deficiencies in order to meet the deadline imposed under Section 404 of the Sarbanes-Oxley Act. The process of designing and implementing an effective financial reporting system is a continuous effort that requires us to anticipate and react to changes in our business and the economic and regulatory environments and to expend significant resources to maintain a financial reporting system that is adequate to satisfy our reporting obligations. If we fail to develop or maintain an effective system of internal controls over our financial reporting, we may not be able to accurately report our financial results, prevent fraud or meet our reporting obligations. As a result, investor confidence and the market price of our shares may be materially and adversely affected. See “Risk Factors—Risks Related to Our Business and Industry—If we fail to implement and maintain an effective system of internal controls or fail to remediate the material weaknesses in our internal control over financial reporting that has been identified, we may be unable to accurately report our results of operations or prevent fraud or fail to meet our reporting obligations, and investor confidence and the market price of our shares may be materially and adversely affected.”
For the Critical Accounting Policies, please refer to Note 4 “Summary of significant accounting policies” of our consolidated financial statements.
| 62 |
Quantitative and Qualitative Disclosures about Market Risks
Market Risks
Our exposure to financial market risks relates primarily to changes in foreign exchange rates and interest rates. To mitigate these risks, we utilize derivative financial instruments, the application of which is primarily for hedging, and not for speculative purposes.
Foreign Currency Exchange Rate Risks
Our foreign currency exposure gives rise to market risks associated with exchange rate movements against the NT dollar, the RMB, the HKD and the US dollar. As of December 31, 2020 and June 30, 2021, we did not hold or issue any derivative for trading purposes or to hedge against fluctuations in foreign exchange rates. We mitigated this risk by conducting sales and purchases transactions in the same currency. Doing so helped to reduce, but has not eliminated, the impact of foreign currency exchange rate movements. An average appreciation of the US dollar against all other relevant foreign currencies of 5% would decrease our exchange loss by US$156,786 and US$ 11,755, respectively, based on our outstanding assets and liabilities denominated in foreign currencies as of December 31, 2020 and June 30, 2021. As of December 31, 2019 and 2020 and June 30, 2020 and 2021, we had no outstanding forward exchange or foreign currency option contracts.
See Note 37 of our audited consolidated financial statements and Note 36 of our condensed consolidated interim financial statements for additional information on financial risk management.
Interest Rate Risks
As of December 31, 2020 and June 30, 2021, we had aggregate debts outstanding of US$3,406,646 and US$6,896,266, which was incurred for capital expenditure and general operating expenses. Of our outstanding debts as of December 31, 2020 and June 30, 2021, 100% and 65% bore interest at variable rates, respectively. The interest rate for the majority of our variable rate debts varies based on a fixed percentage spread over the prime rate established by our lenders. Our variable rate debts had an annual interest rate between 0.66% and 2.60% as of December 31, 2020 and between 0.66% and 2.65% as of June 30, 2021. Accordingly, we have cash flows and earnings exposure due to market interest rate changes for our variable rate debts. An increase in interest rates of 1% would increase our annual interest charge by US$34,066 and US$68,963, respectively, based on our outstanding floating rate indebtedness as of December 31, 2020 and June 30, 2021.
As of December 31, 2019 and 2020 and June 30, 2020 and 2021, we had no interest rate swap agreements outstanding.
| 63 |
The information presented in this section has been derived from an industry report commissioned by us and prepared by Frost & Sullivan, an independent research firm, regarding our industry and our market position around the world.
Global Carbon Fiber Industry Overview
Carbon fiber is a kind of fiber material with the carbon content of more than 90%. Because of its fibrous shape and softness, it can be processed into various fabrics. It is usually combined with resin, metal and ceramic materials to make advanced composite materials. Carbon fiber is widely used in many fields because of its high specific strength, high specific modulus, corrosion resistance, high-temperature tolerance, friction resistance, good electrical conductivity and low thermal expansion coefficient. The figure below summarizes the classification of carbon fiber.
Figure 1: Overview of classification of carbon fiber
Source: Frost & Sullivan
As shown in the figure below, the carbon fiber industry chain is divided into upstream, midstream and downstream, in which the production process of carbon fiber in midstream is complex. The precursors are obtained after a series of treatment processes which include polymerization and spinning process by raw material. Then, applying the pre-oxidation and carbonization process on precursors to obtain carbon fiber. To meet different requirements, carbon fiber is processed together with other materials like resin, metal and ceramic to composite material parts, which are used in downstream products. For instance, because of its lightweight, high rigidity and other advantages, carbon fiber is used instead of wood in sports goods like golf clubs, hockey clubs, ski clubs, tennis rackets, badminton rackets, bicycles, fishing rods and bows.
| 64 |
Figure 2: Overview of the industry chain of carbon fiber

Source: Frost & Sullivan
Market Size
The concept of carbon fiber has appeared for many years and carbon fiber products have increased market presence over the past few years. As shown in Figure 3, the market size of the global carbon fiber industry increased from approximately USD2,114.7 million in 2016 and reached approximately USD2,630.0 million in 2020 at a Compound Annual Growth Rate (“CAGR”) of approximately 5.6%. In 2020, carbon fiber is mainly used in aerospace (38%), wind blade (17%) and sports/leisure (14%), which shows major application markets of carbon fiber are for commercial and industrial use (Figure 4). At present, there is a fierce competition in the low-end carbon fiber market with low profit margins. There is still a large profit margin in the mid-end and high-end carbon fiber markets. However, in the future, the demands of carbon fiber products for consumption use will continue to be released. With the development of technology, there will be increasing application of carbon fiber for new purpose and usage, and the cost of carbon fiber products will be reduced. It is expected that these factors will enable a higher margin for the manufacturers and promote people’s willingness to buy carbon fiber sports and leisure products. Therefore, the global carbon fiber industry market size is expected to maintain a CAGR of approximately 10.1%, reaching approximately USD4,117.6 million by 2025 from approximately USD2,806.2 million in 2021. In the future, long-term low-price competition will force low-end carbon fiber products manufacturers to face business transformation. However, manufacturers who develop mid-end and high-end products will maintain their first-mover advantages through resource accumulation and research and development capability and maintain a leading position in the industry.
| 65 |
Figure 3: Market Size of Global Carbon Fiber Industry, 2016-2025E
Source: Frost & Sullivan
Figure 4: Breakdown by Application Segments of Global Carbon Fiber Market, 2020
Source: Frost & Sullivan
Market Drivers and Development Trends
Favorable policies
The global major countries and regions pay attention to the development of carbon fiber industry and have launched relevant policies to stimulate the development of carbon fiber industry. For example, the “Going Climate Neutral” by 2050 which issued by European Commission calls for the study of carbon fiber products to reduce costs. The “Research and Development of Innovative Structural Materials” from the New Energy and Industrial Technology Development Organization aim to develop new carbon fiber precursor compounds, clarified the formation mechanism of carbonization structure and standardize evaluation methods for carbon fibers. There are not only policies to encourage R&D, but also many policies to encourage industrialization and capacity improvement. Policy support will provide a good external environment for the development of the carbon fiber industry, which is conducive to the rapid development of the industry.
| 66 |
Strong downstream demand
With the release of the National Fitness Plan (2021-2025), China will focus on promoting table tennis, badminton, cycling and other sports in the next five years. The plan will also focus on supporting research and development of fitness equipment and manufacturing enterprises. With the promotion of policies and the continuous integration of outdoor sports and tourism, more people will participate in these sports activities, which will directly promote the development of related equipment. In addition, with the increasing influence of cycling events such as the Tour de France, the Tour of Italy, the Tour of Spain, and the Crossing the U.S. Cycling Race, the number of cyclists in Europe and the United States is also increasing, which will also push up the demands for sports and fitness equipment. As important equipment for sports such as bicycles, tennis, badminton and surfing, carbon fiber products will have greater market demand in the future.
High-end products
Europe attaches importance to the application of carbon fiber in the aerospace field and emphasizes the use of carbon fiber composite aerospace materials to reduce the generation of waste in “Horizon 2020” released by the European Commission. American companies such as SpaceX, Blue Origin and Boeing also use carbon fiber materials in their products in the aerospace field. Compared with the foreign carbon fiber market, domestic carbon fiber is mainly concentrated in low value-added areas, which results in competitive pressure on the price. At the same time, key technologies of China’s carbon fiber industry lag behind developed countries, which leads to the limitation of carbon fiber materials in high value-added fields such as aviation manufacturing. With policy support and the pursuit of high value-added products, more domestic enterprises will invest in the research and development of high-end carbon fiber so that the products of the whole industry will develop into a high-end trend.
Global Carbon Fiber Bicycle Parts Industry Overview
Carbon fiber bicycle is the second largest segment of the sports/leisure market. Major components of bicycles made of carbon fiber (CF) composite materials include bicycle frame, fork, wheelset, pedal, seat post, and so forth. Since the 1970s, carbon fiber has become the material for bicycle frames on account of its lightweight, ease of shaping, high strength, high stiffness, and so forth, and has been mainly used in mid-to-high-end products for professional athletes or bicycle enthusiasts. Compared with traditional racing bicycles made of aluminium alloys, carbon fiber bicycles could remarkably reduce the extra energy consumption of athletes due to the lightweight of the bicycle and reduce bendability occurred by accidental collision. Carbon fiber and its composite materials have now become mainstream materials for racing bicycles and high-end bicycle products (including electric bicycles). Figure 5 below shows the comparison of features between regular bicycles and carbon bicycles and Figure 6 below shows different types of carbon fiber composite bicycles.
| 67 |
As shown in Figure 7 below, carbon fiber bicycle is the second largest segment of the sports/leisure market, which accounts for around 25.0% of the market share in the global carbon fiber demand in sports/leisure market in 2020. Major components of bicycles made of carbon fiber composite materials include bicycle frame, fork, wheelset, pedal, seat post, and so forth. Since the 1970s, carbon fiber has become the material for bicycle frames on account of its lightweight, ease of shaping, high strength, high rigidity, and so forth, and has been mainly used in mid-to-high-end products for professional athletes or bicycle enthusiasts. Compared with traditional racing bicycles made of aluminium alloys, carbon fiber bicycles could remarkably reduce the extra energy consumption of athletes due to the lightweight of the bicycle and reduce bendability occurred by accidental collision. Up to date, carbon fiber and its composite materials have now become mainstream materials for racing bicycles and high-end bicycle products (including electric bicycles).
Figure 5: Comparison of Regular Bicycles and Carbon Bicycles

Source: Frost & Sullivan
Figure 6: Types of Carbon Fiber Composite Bicycles

Source: Frost & Sullivan
Figure 7: Global Carbon Fiber Demand in Sports/Leisure Market, 2020

Source: Frost & Sullivan
| 68 |
Market Size
As shown in Figure 8 below, in recent years, global carbon fiber bicycle parts market experienced moderate growth, increasing from approximately USD288.0 million in 2016 to USD462.0 million in 2020, registering a CAGR of 12.5%. Driven by improving people’s living standards, transformation of consumers’ lifestyle and technology development, the market size of global carbon fiber bicycle parts industry is expected to increase from approximately USD522.1 million in 2021 to USD945.0 million in 2025, representing a CAGR of 16.0%. The penetration of carbon fiber in professional-grade bicycles is expected to further grow due to its outstanding physical performance, while as the manufacturing process becomes mature, carbon fiber or carbon fiber composite materials are expected to expand its application in regular bicycles and electric bicycles.
Followed by the implementation of policies in the U.S. and Europe and the other countries to encourage replacement of public transportation by bicycle, such as addition of bicycle lanes and other bicycle-related infrastructures, the market demand on electric bicycles increased, which recorded an annual growth rate of 23.4% from January 2020 to May 2020. The pandemic in 2020 has changed people’s commuting behavior in Europe and the U.S. Government’s policies and subsidies on encouraging the use of bicycles also contribute to the increasing market demand on electric bicycles.
Figure 8: Market Size of Global Carbon Fiber Bicycle Parts Industry, 2016-2025E
Source: Frost & Sullivan
As shown in Figure 9 below, the market size of global electric bicycle reached approximately USD40.5 billion in 2020, and is expected to further increase to approximately USD68.3 billion in 2025, with a CAGR of 10.5% from 2021 to 2025. Compared with other public transportation systems, the electric bicycle has advantages of affordability and convenience. Most countries are working on boosting electric bicycle to reduce the stress on public transportation systems. Driven by the growing urbanization, traffic congestion in the city, as well as support and initiatives from governments, the demand of electric bicycle is expected to further expand.
| 69 |
Figure 9: Market Size of Global Electric Bicycle Industry, 2016-2025E

Source: Frost & Sullivan
Market Drivers and Development Trends
Sustainable Cooperation with Cycling Brands
As bicycle parts manufacturers, companies who have established expansive and stable client networks with well-known cycling brands may stand out in the competition globally. For example, for racing bicycles, carbon fiber bicycle parts manufacturers produce frames, wheelsets, forks, cranks according to specifications and functions required by racing bicycle brands. Thus, carbon fiber bicycle parts are highly customized products, and reliable bicycle parts manufacturers which can design and manufacture products that meet or exceed the requirement would be a determining success factor for carbon fiber bicycle brand customers in their operation. Besides, brand spillover effects could increase the market visibility of carbon fiber bicycle parts companies due to supplier relationships with award-winning racing bicycles.
Technology Upgrade of Manufacturing
With the development of carbon fiber and composite materials manufacturing technology, as well as the decreasing manufacturing cost, carbon fiber has been applied in regular bicycles and emerging electric bicycles. Some leading companies in the industry have set up the prototyping center for manufacturing carbon fiber frames, and applied automated painting technology to continuously optimize the production process and enhance manufacturing efficiency. Additionally, the state-of-the-art technology includes vacuum forming, plasma surface treatment technology, and so forth. Companies who own strong R&D capabilities, ability to design resin formulas and diverse product portfolios are more likely to stand out in the global competition. The disruptive technology innovation is conducive to elevating the industrialization of carbon fiber bicycle parts to a new level, increasing production capacities and expanding downstream applications.
Growing Consumer Demand for Carbon Fiber Bicycles
As consumers’ health awareness rises around the globe, cycling is considered a new symbol of a healthy lifestyle. The outbreak of COVID-19 in 2020 has greatly impacted consumers’ perceptions of health and fitness, which is reflected by the increasing number of road and mountain bicycle enthusiasts, not only for races but also for tour or leisure purposes. Besides, more and more people have chosen cycling as a fast, flexible and reliable method of transport, which spurs the demand for carbon fiber bicycle parts.
Currently, major consumers of high-end bicycles are located in Europe and North America, while it is expected that Asia-Pacific area will become the next promising carbon fiber bicycle market. Thus, the global carbon fiber bicycle parts market is expected to embrace growth opportunities in the next few years.
| 70 |
Increasing Environmental Awareness
In recent years, the environmental awareness of people around the globe is growing. In April 2018, the United Nations General Assembly declared June 3 as International World Bicycle Day to foster environmental stewardship and health. In 2020, due to the impact of the COVID-19, the European and American governments have begun to encourage people to walk or ride bicycles in order to prevent people from using public transportation, which might in turn cause group infections, and at the same time to avoid traffic jams. Countries such as the U.K., France and Italy have also expanded bicycle lanes and provided subsidies on purchasing bicycles, in order to encourage citizens to opt for zero-carbon bicycles, which has also led to a rapid growth in bicycle sales. Bicycles contribute to cleaner air, reduce congestion and make education, health care and other social services more accessible to the most vulnerable populations. A sustainable transport system that promotes economic growth reduces inequalities while bolstering the fight against climate change is critical to achieving sustainable development goals. Copenhagen and Amsterdam are considered as bicycle capitals in the world, which have been building their bicycle infrastructure since the 1970s and fostered a sustainable lifestyle. Therefore, the growing environmental consciousness is conducive to the development of carbon bicycle industry and related upstream industries.
Vertical Integration
At present, many carbon fiber composite material manufacturers purchase yarns and resin raw materials from suppliers, and then produce prepreg according to a specific ratio, followed by laminating, molding, heat treatment and other processes. However, the material properties cannot be standardized, which prolongs the product launch period and raises production costs. Many industry-leading players proactively extend their business to the upstream industry, including establishing their own material research centers, investing material analysis instruments and equipment, and recruiting technical talents to develop differentiated products by self-developed resin formations, which reduces production costs and capture a larger portion of the value chain. On the other hand, some carbon bicycle parts manufacturers step into the manufacturing of carbon bicycles business by providing bicycle assembly service or cooperating with renowned carbon bicycle brands to achieve vertical integration, which expands business portfolio and increases brand awareness.
Favorable Government Policies
Electric Bicycle Incentive Kickstart for the Environment (E-BIKE) Act
In 2021, the Senate and House of Representatives of the United States issued the Electric Bicycle Incentive Kickstart for the Environment (E-BIKE) Act, which encourages the use of electric bicycles through a consumer tax credit. Due to the distance, speed and ease by which they can travel, electric bicycle will help replace vehicle trips and commutes and reduce carbon emissions. If the E-BIKE Act is passed, it would create a consumer tax credit that (i) covers 30% of the cost of the electric bicycle, up to a US$1,500 credit, (ii) applies to new electric bicycles that cost less than US$8,000, and (iii) is fully refundable, which allows lower-income workers to claim the credit.
Recommendations for Delivering Green Growth and an Effective Mobility in 2030
In 2020, the European Commission issued Recommendations for Delivering Green Growth and an Effective Mobility in 2030, in which recommends that cycling should be an equal partner in the mobility system. It suggests that there is an increase in use of bicycle in European Union by 50% in average in 2019-2020 and expects that such trend will be continued until 2030. It also indicates that the European Union investment in cycling will be raised to 3 billion Euros from 2021 to 2027 and 6 billion Euros from 2028 to 2034.
Bicycle Sports Industry Development Plan
In 2018, the General Administration of Sports and Development and Reform Commission in China issued the Bicycle Sports Industry Development Plan. It takes the supply-side structural reform of the bicycle sports industry as the main line, focusing on consolidating the foundation of the bicycle sports industry, improving the ability and quality of the supply of bicycle sports products and services, promoting industrial agglomeration and integration, and promoting the marketization, standardization and branding of bicycle sports in China. It also promotes the healthy and sustainable development of the bicycle sports industry and provides solid and stable support for expanding sports consumption and demand, realizing the transformation and upgrading the sports industry in China.
| 71 |
Light Industry Development Plan
In 2016, the Ministry of Industry and Information Technology in China issued the Light Industry Development Plan. It is pointed out that the bicycle industry should be promoted in the direction of lightweight, diversified, fashionable and intelligent. Such plan accelerates the research and development and application of high-strength lightweight materials, transmissions, transmission systems, new energy, smart sensing technologies and Internet of Things technologies. The Light Industry Development Plan also focus on the development of diversified bicycles such as fashion leisure, sports fitness, long-distance cross-country and high-performance folding, as well as standard-compliant lithium-ion battery electric bicycles and smart electric bicycles.
E-bike Subsidy Schemes by European Cyclists’ Federation in 2016
In 2016, the European Commission set up the E-bike Subsidy Schemes, in which subsidies aimed at cycling can be provided to encourage uptake or an increase in cycle use through providing a financial benefit. Using a subsidy to encourage cycling can take one of two forms: providing a financial benefit for commuters to switch to cycling by paying for km travelled or subsidising the untaxed purchase of equipment through employee schemes.
Competitive Landscape - Competitor Profiles
The table below shows the major global leading players in the carbon fiber bicycle parts industry:
| Company Name | Listed or Unlisted | Year Established and Headquarters | Business Introduction | Major | ||||
| YMA Corporation | Unlisted | 2015, Taichung City, Taiwan | YMA Corporation, a subsidiary of J-Star, is principally engaged in the R&D, manufacture and processing and trading of carbon fiber composite materials. YMA has reached the production capacity of about 100,000 carbon bicycle frames per year and 200,000 carbon forks per year. YMA has established cooperation with multiple renowned bicycle brands, including Conalgo, and so forth. YMA has obtained many patents regarding bicycle products, which are well recognized by global athletes and cycling enthusiasts; for example, Thomas Pidcock won the MTB World Cup championship on a YMA-built Lightrider Worldcup (EST-MS-08) frame in 2021. | Tennis rackets parts, badminton rackets parts, road bicycle parts, mountain bicycle parts, electric bicycle parts, automotive parts, healthcare products, and so forth. | ||||
| Topkey Group | Listed
(4536 .TPE) | 1980, Taichung City, Taiwan | Topkey Group is principally engaged in the manufacture, processing and trading of carbon fiber materials in sports and leisure products and aerospace medical equipment. | Tennis rackets parts, helmets parts, bicycle racks and aerospace materials, and so forth. | ||||
| XDS Shenzhen Xidesheng Bicycles Co., Ltd. | Unlisted | 1995, Shenzhen City, Guangdong | As the largest manufacturer of carbon-fiber bicycles in the world, XDS specializes in the integration of R&D, manufacturing, sales and services of bicycles. | Parts of mountain bicycles, road bicycles, electric bicycles, folding bicycles, city bicycles, and so forth. | ||||
| Tentech Composite Technology Co., Ltd | Unlisted | 2003, Dongguan City, Guangdong | Tentech is principally engaged in the manufacture, processing and trading of carbon fiber composite products. | Bicycle frames, accessories, modules, and so forth. |
Source: Frost & Sullivan
| 72 |
Global Carbon Fiber Racket Parts Industry Overview
Carbon fiber is widely used in tennis and badminton rackets due to its excellent performance. With the gradual development of material technology, rackets have gradually evolved from traditional wooden rackets and metal rackets (such as iron and aluminum) to aluminum alloy and carbon fiber materials. Carbon fiber is the high-end material of the current racket frame, and is mainly used in sports events and professional or amateurish training. Compared with aluminum alloy rackets, carbon fiber rackets have the characteristics of light weight, good mechanical properties, good impact resistance and good damping properties. The carbon fiber racket has low vibration, which can provide better hitting feel and ball control without hurting the wrist, but the price of carbon fiber racket is still high; while the aluminum alloy racket has a simple production process and lower production cost, its weight is high and the damping property is poor, and hence, players’ wrist is easily injured. In addition, in order to further improve the performance of the racket, some leading companies produce hybrid carbon fiber rackets by adding high-performance materials such as graphite and glass fiber. At present, the U.S., Europe and Japan markets are the major consumer markets of rackets.
Market Size
Driven by the higher requirements on the mechanical properties of rackets and increasing purchasing ability of high-end sports goods customers, as shown in Figure 9 below, the market size by revenue of global carbon fiber applied in rackets has witnessed a steady growth, increasing from $194.1 million in 2016 to $242.6 million in 2019. The outbreak of the COVID-19 has caused a negative impact in the carbon fiber racket parts industry due to the limited sports events and reduced daily sports activities around the world. As a result, the sales revenue of global carbon fiber racket parts declined to USD230.5 million in 2020.
Looking forward, as the pandemic is gradually controlled, the carbon fiber racket parts industry is expected to recover from 2021. Promoted by the increasing health awareness post-pandemic, encouraging policies of sports activities in developing countries, as well as progressed carbon fiber manufacturing techniques, it is estimated that the demand of carbon fiber applied in the rackets will further rise and the market size by revenue of carbon fiber racket parts will increase from USD243.9 million in 2021 to USD332.4 million in 2025, representing a CAGR of approximately 8.0%.
| 73 |
Figure 10: Market Size of Global Carbon Fiber Racket Parts Industry, 2016-2025E

Source: Frost & Sullivan
Market Drivers and Development Trends
Increasing Tennis and Badminton Participants
Driven by the supportive policies on sports activities, the number of people participating in tennis and badminton is increasing all over the world. In 2019, the State Council of China issued the “outline of building a sports power” and stated the target that the proportion of people who regularly participate in physical exercise will reach more than 45%, and the per capita sports area will reach 2.5 square meters in 2035. In Japan, facing issues such as aging problem and declining birth rates, the Japanese government has successively promulgated the “Basic Sports Law” and “Basic Sports Plan,” emphasizing the right of everyone to participate in sports, and promoting the development of “sports for all” by holding the international events such as the Olympic Games. In the United States, a new iteration of “Healthy People” initiative is launched at the beginning of every decade to set measurable objectives to improve the health and well-being of people nationwide. According to the “2021 Physical Activity Council’s Overview Report on U.S. Participation” released by the Physical Activity Council (PAC), around 75.6% of people in the U.S. regularly participate in sports, and the penetration rate of racket sports has increased from 12.4% in 2013 to 13.9% in 2020. In Europe, voluntary sports clubs are promoted by many countries to support mass sports participation. According to the data released by European Union, there were over 320,000 people employed in the sports and fitness sector in the European Union in 2020. Under the continuous publicity, public health awareness is also increasing year by year. Besides, with the investment of various government agencies, the construction of sports facilities is gradually improved and sports events are more abundant. Meanwhile, the emergence of many badminton and tennis superstars has further stimulated people’s enthusiasm for participating in these two sports. Badminton has become an extremely popular sport, which is played regularly by over 300 million people around the world. It is particularly popular in Asia, with many of the best players ever to grace the game hailing from the continent. The number of global tennis players reached 87 million in 2019, of which China accounted for the highest of 22.5%, according to the report released by the ITF (International Tennis Association). Therefore, the increasing participants of tennis and badminton are expected to drive the demand for relevant sports equipment such as carbon fiber rackets.
Application of Carbon Fiber Rackets Expanding from Professional Events to the Public
From 2016 to 2020, the global per capita GDP increased from USD10,365.2 to USD10,953.6 at a CAGR of 1.4%. Driven by the growing economy, people’s health awareness and average purchasing ability on sports equipment are rising as well, especially in developing countries like China. For example, the overall sales value of sports equipment in China increased from RMB12.0 billion in 2016 to RMB13.9 billion in 2019, representing a CAGR of 5.1%. In addition, the sport industry in the developed world has also experienced a continuous growth. Taking Switzerland as an example, a recent report published by Federal Department of Defense, Civil Protection and Sport shows that Switzerland has witnessed a rapid increase of sport over the past few years as increasing sports events are hold in the country (e.g., European Athletics Championships, the Youth Olympic Games and the World Road Cycling Championships), with the estimated turnover of sport sector in Switzerland reaching 22.2 billion francs in 2017, increasing by 31% from 2005. Besides, the media strengthened the promotion and marketing of carbon fiber rackets such as the excellent properties of the carbon fiber material, which enhanced consumers’ recognition and demand for carbon fiber rackets. Some racket manufacturers also launch co-branding carbon fiber rackets with other famous brands or IPs and promoting the same racket models used by sports stars to attract customers. As result, carbon fiber rackets is not just limited to the professional market. It is expected that increasing amateurs will be willing to purchase carbon fiber rackets in the future.
| 74 |
Technology Breakthrough of Carbon Fiber Racket Parts
Among high-end rackets, major brands have strong brand recognition and brand loyalty, and hence, well-known brands. Under the absolute leadership of brand manufacturers, there are fewer tennis racket manufacturers developing their own brands, and most of them adopt OEM or ODM business models. As one of the key competitive factors of carbon fiber manufacturers, technological upgrade accelerates the production speed of carbon fiber rackets and improves the quality of finished products. The carbon fiber racket is composed of a carbon fiber composite racket frame which is made of a racket surface interlaced with mesh and a resin material skeleton wrapped with carbon fiber belt. For most players in the carbon fiber racket parts industry, the carbon fiber used to make rackets is purchased from upstream suppliers, but the resin formula is the secret and R&D focus of each company. Our breakthrough nanoresin formula and patented technology are the key to improve the performance and durability of the carbon fiber rackets. After years of accumulation of technology and experience, leading companies in the industry continue to improve resin formulations and produce prepreg materials according to product characteristics and customer needs. In addition, driven by the improving automation level, emerging moulding technologies can improve the product quality and production efficiency of carbon fiber rackets. Some leading carbon fiber racket manufacturers have made great efforts in core technology development such as microscopic analysis of material, product structure design, module design, tooling design and customized process design, and so on. In the future, with further maturity of material technology and production techniques, the price of carbon fiber rackets will gradually decrease, attracting more consumers.
Competitive Landscape – Competitor Profiles
The table below shows the major global leading players in the carbon fiber racket parts industry:
| Company Name | Listed
or | Year Established and Headquarters | Business Introduction | Major | ||||
| Topkey Group | Listed
(4536 .TPE) | 1980, Taichung City, Taiwan | Topkey Group is principally engaged in the manufacture, processing and trading of sports and leisure products and aerospace medical equipment. | Tennis rackets, helmets, bicycle racks and aerospace materials, and so forth. | ||||
| OTIS Co., Ltd. | Unlisted | 2002, Dongguan, Guangdong | The company is a Taiwan-funded enterprise, mainly engaged in the production, sales and processing of carbon fiber composite materials. In 2017, the company became a partner supplier of Decathlon, participating in the R&D and production of carbon fiber related sports products. It is a cooperative manufacturer of many sports goods companies in Europe and America. | Carbon Fiber parts of tennis rackets, badminton rackets, squash rackets, beach rackets, paddles, hockey sticks, fishing rods, arrow shafts, golf clubs, and so forth. |
| 75 |
| Forwell Sports Equipment Co., Ltd. | Unlisted | 2003, Dongguan, Guangdong | As a subsidiary of J-Star, the company is a Taiwan-funded enterprise with more than 20 years of professional carbon fiber bicycle and racket manufacturing experience. The company has built a wide customer network of many world-renowned brands such as Tecnifiber, and so forth. Its products are exported to Europe, America, Asia and other countries and has supported many athletes to win the champion in the international competitions. | Golf clubs, ice hockey sticks, carbon bicycle tubes, bicycle accessories, shoe accessories, composite products, rackets, and so forth. | ||||
| Bonny Worldwide Co., Ltd. | Listed
(8467 .TPE) | 1982, Taichung City, Taiwan | The company is a professional manufacturer of carbon fiber rackets OEM and ODM and related sports goods. The company has developed a variety of new deceleration patents, and many all-carbon fiber rackets with novel and unique designs and shapes. The company has become an important partner of many well-known international companies, and its products are sold all over the world. | Carbon fiber parts products of hockey sticks, tennis rackets, badminton rackets, and so forth. | ||||
| Long Yi Industrial (Huizhou) Co., Ltd. | Unlisted | 2004, Huizhou, Guangdong | The company is a wholly foreign-owned manufacturing enterprise focusing on the development and production of carbon fiber tennis racket sports goods series and carbon fiber tube sheet industrial products series. The company is currently one of the largest and most prominent enterprises in the international high-end carbon fiber tennis racket industry. | Carbon fiber parts products in the fields of tennis rackets, badminton rackets, golf clubs, water skis, bicycles, automobiles, home appliances, and medical applications, and so forth. | ||||
| Xiamen Keentech Composite Technology Co., Ltd. | Unlisted | 1988, Xiamen, Fujian | As a subsidiary of Topkey Group, the company is engaged in the development and manufacturing of advanced carbon fiber composite products. The company’s R&D and production in the application of composite materials ranks the highest level in the world. It cooperates with many world-renowned brand manufacturers and sells its products to Europe, America, Japan and other countries. | Carbon fiber tennis rackets, badminton rackets, racing helmets, bicycle racks, aviation knots, medical equipment, and so forth. | ||||
| Xiamen Leader Sporting Goods Co., Ltd. | Unlisted | 1988, Xiamen, Fujian | Affiliated with Lianjie Group, Xiamen Leader Sporting Goods Co., Ltd. is a Hong Kong-invested enterprise having been specialized in the R&D and manufacture of carbon fiber composite products for 25 years, being one of the largest professional manufacturers of composite products. | Frame of mountain bicycle, frame of road bicycle, front fork of road bicycle, tennis racket, pelota racket, squash racket, bow and arrow, badminton racket, baseball bat, and so forth. |
Source: Frost & Sullivan
| 76 |
Other Global Carbon Fiber Sectors Industry Overview
Automobile
Compared to metals, carbon fiber composite materials applied in some car parts such as chassis, car roof, cockpits, interior accessories and the car body could reduce the weight by approximately 10%. Simultaneously, the lighter the vehicle, the higher fuel efficiency, the lower volume of carbon dioxide emissions. Due to the integration, designability, high vibration damping, carbon fiber composite materials could make vehicles lighter, which accelerates the development of anti-pollution and lower fuel consumption. For example, Volkswagen’s “2L car” CC1 used carbon material as 45% of its car body. The market size of global carbon fiber automotive parts industry is USD1,147.5 million in 2020 and is expected to increase from 1,319.6 million in 2021 to USD2,044.8 million in 2025, registering a CAGR of 11.6%.
Foil Masts and Padel Rackets
With the increasing popularity of surfing and padel around the world, the foil masts made of carbon fiber are coming into people’s spotlight. Carbon foil masts have unique advantages compared to aluminium foil masts due to the high strength, corrosion resistance, strong seismic performance, good balance, and high flexibility. Carbon foil masts enable surfers to maintain stability and avoid damage when riding big waves or immersing in seawater for a long period, achieving protection for surfers. The market size of global carbon fiber foil mast parts industry is expected to reach over USD30 million in 2025 with a CAGR of 10.4% from 2021 to 2025.
The excellent performance of carbon padel rackets is widely recognized by athletes and the public. Padel rackets made of carbon fiber are lighter, more durable and can withstand high temperature. For athletes, carbon fiber rackets can reduce the load on the arm during long rallies and improve the speed and efficiency when hitting the ball. The market size of global carbon fiber padel racket parts industry is expected to reach over USD35 million in 2025 with a CAGR of 9.2% from 2021 to 2025.
Healthcare Products
Carbon fiber is widely applied in healthcare products. Due to the lightweight, high stability, high strength and fatigue resistance, carbon fiber is generally used in wheelchairs, senior walkers and other medical equipment. Carbon fiber is usually used in the chassis and backrest frame of wheelchairs and the body of senior walkers, featuring lightness, stiffness and exceptional durability. The stability and biocompatibility of carbon fiber materials have attracted extensive attention in medical devices and biomaterials. With the average expenditure on health care in China increasing from RMB1,307 in 2016 to RMB1,843 in 2020, as well as population ageing, healthcare products made of carbon fiber are expected to fulfill growth potential in the future. In developed countries, per capita healthcare spending in the US, the UK, Denmark and Japan were USD10,948, USD4,500, USD5,47 and USD4,691 in 2019. The global market size of medical device in 2019 is USD445.93 billion and is expected to increase to USD587.41 in 2024, registering a CAGR of 5.7%. The market size of global carbon fiber healthcare product parts industry is expected to reach over USD300 million in 2025 with a CAGR of 19.0% from 2021 to 2025.
| 77 |
Robotic Arm
With the continuous improvement of carbon fiber production and processing technology, carbon fiber has gained more market share in robotic arms, particularly industrial robots. Compared to traditional robotic arms made of aluminium alloy and alloy steel, carbon fiber robotic arms have higher flexibility, fracture resistance and a longer service life. Also, the vibration dampening of carbon fiber robotic arms allows for precise control and positioning, enhancing working speed and efficiency of robots. With the accelerated automation process and wide application of industrial robotics, carbon fiber is expected to develop further and be favored by downstream customers. The global robotic arm market is expected to grow at a CAGR of approximately 14.0% during the forecast period, growing from USD24.9 billion in 2021 to USD42.0 billion by 2025.
Aerospace
Carbon fiber composite materials are widely applied in aircraft and aerospace fields, such as civil and military aircraft, rockets for space development and artificial satellites, and so forth. Subject to a harsh operating environment, aerospace equipment is usually required to have high tensile and compression performance, high impact and fatigue resistance, and so forth. Thus, the carbon fiber product in aerospace is on the high end of the quality and cost spectrum. In recent years, the proportion of carbon fiber composite materials employed in aircraft has increased, which could significantly reduce the weight of the plane body, improve aeroelasticity and enhance the overall performance. Therefore, the square, weight and parts of carbon fiber composite materials used in aircraft are forecast to grow in the next few years.
Electronics
Driven by the lightweight of consumer electronics, carbon fiber is gradually applied in 3C products. For example, Lenovo, a leading PC brand, released the YOGA Pro 13s Carbon 2021 laptop in 2020, with its body made of carbon fiber and magnesium alloy, weighing only 966 grams. Chopped carbon fiber reinforced plastic with anti-static, electromagnetic shielding and other functions in copiers, printers, digital cameras, data transmission cable connectors and other products has been applied in different products. Compared with other similar materials such as carbon black and metal, carbon fiber with reinforced plastic has a more affordable price, which raises the demand for the market.
| 78 |
Overview
Our Predecessor Group was established in 1970 and we have accumulated over 50 years know-how in material composite industry. We currently develop and commercialize the technology on carbon reinforcement and resin systems. With decades of experience and knowledge in composites and materials, we are able to apply our expertise and technology on designing and manufacturing a great variety of lightweight, high-performance carbon composite products, ranging from key structural parts of electric bicycles and sports bicycles, rackets, automobile parts to healthcare products. According to the industry report commissioned by us and prepared by Frost & Sullivan, we are one of the major global leading players in the carbon fiber bicycle parts industry and carbon fiber racket parts industry.
As our business is technology-driven, our vision is to offer cutting edge technology and manufacturing expertise in carbon composite to our customers, and many of our products are directly or indirectly supplied to different renowned international sports brand owners. Our carbon composite products deliver substantial weight savings, endurance and stiffness comparing to those constructed from conventional materials, such as steel and aluminum, and in doing so, our products offer remarkable and valuable efficiency and performance benefits to our customers in various applications. While our technology has potential applications over a broad range of industries, we currently have our main focus on the sporting goods industry and we prioritize the electric bicycle market to commercialize our technology.
We are based in Taiwan with our headquarters, R&D center and material laboratory located in Taichung, Taiwan and our production plant and our second R&D center located in Dongguan, the PRC. The R&D center in Taichung focuses on resin material application, new product development and production process enhancement, and the R&D center in Dongguan, the PRC, which is located next to our production plant focuses on structural design of products, testing on product performance and enhancement on strength and stiffness of products. Our business focuses on the research and development as well as manufacturing a wide range of carbon composite products. We primarily generate revenue through three divisions and revenue streams, namely (i) sales of bicycles parts of sports bicycle and electric bicycle; (ii) sales of rackets for use in tennis, badminton, squash and beach tennis; and (iii) sales of other products, which mainly include structural parts of automobile, other sporting goods and healthcare products. Our bicycle parts and rackets are mainly supplied directly or indirectly to branded customers located in Switzerland, France, Italy, the Netherlands, Germany and Japan and they primarily market and distribute their products worldwide. Other customers which rely on our new products, such as healthcare products, are mainly located in Australia, Canada and Japan.
Advanced carbon composite materials offer a number of advantages relative to traditional materials, including light weight, high strength to weight ratio, high stiffness, and improved resistance to heat, corrosion and fatigue. Nonetheless, different products require different degrees and combinations of such properties according to their functions. For instance, automobile parts, such as hoods and seatback, require higher heat resistance, while bicycle frames require greater degree of stiffness. Hence, material application technology plays an important role in refining the production of different types of carbon composite products. Carbon composite materials are formed by combining carbon fibers and resins. The properties of carbon composite materials could vary largely due to different systems of resin and structural arrangement. Differing from our competitors in the industry, instead of using preset formulas of resins with lower degree of flexibility, we have our own R&D center to develop our own resin systems and formulas according to the product requirements. Therefore, we are able to incorporate customized resin systems that can be optimized for specific parameters, such as durability, temperature performance, cure times and viscosity. This not only allows us to manufacture our products with high precision to customers’ specifications, but also offers us flexibility in developing a greater variety of new products in the future. Apart from our advanced material application technology, our R&D team is also experienced in providing technical recommendations and solutions to and respond to feedbacks from our customers regarding the structural design of product. Our advanced material application technology and expertise in product design and development complement each other. Thus, we believe that the parallel development of our complex product and process technology has resulted in our competitive advantage which makes it difficult for our competitor to replicate.
| 79 |
Our total revenue for the years ended December 31, 2019 and 2020 amounts to $22.8 million and $22.2 million, respectively, and our total revenue for the six months ended June 30, 2020 and 2021 amounts to $9.6 million and $12.2 million, respectively. Our sales of bicycle parts accounted for approximately 64.9% and 64.4% of our total revenue for the years ended December 31, 2019 and 2020, respectively, and accounted for approximately 65.2% and 65.9% of our total revenue for the six months ended June 30, 2020 and 2021, respectively. Our sales of rackets business brought us considerable revenue for the years ended December 31, 2019 and 2020, which accounted for approximately 34.9% and 35.5%, respectively, of our total revenues, and accounted for approximately 34.6% and 34.1% of our total revenues for the six months ended June 30, 2020 and 2021, respectively. Our sales of other products, which accounted for approximately 0.1% and 0.1%, respectively, of our total revenues for the years ended December 31, 2019 and 2020, and accounted for 0.2% and approximately 0% of our total revenues for the six months ended June 30, 2020 and 2021, respectively.
While having our main focus on development and sales of key structural parts of bicycles and rackets in the past years, we would not limit ourselves to the existing scope of product. We intend to extend our product spectrum by launching new products, such as sporting goods for new sports like padel racket and mast foil, and further expand our production on relatively new existing products that are emerging in the market, including key structural parts of electric bicycles, automobile and robotic arms, bicycle crank sets and other healthcare products, such as wheelchairs and senior walkers.
Our production plant is located in Dongguan in the PRC with two production lines in place. The production plant has a total gross floor area of 42,695 square meter. We selected Dongguan, the PRC, as a place to set up our production plant due to its geographical proximity to Hong Kong which favors the shipping of products and its strong labor supply in the region. As of June 30, 2021, we had 27 forming machines and 10 prepreg machines in use and other equipment including vacuum forming machine, automated painting robotic arm and an EFBE standard (“EFBE”) testing machine with testing standards specific to the bicycle and electric bicycle. The prepreg machines and forming machines are major machines we used in our manufacturing process. We use our prepreg machines to convert our raw material, carbon fiber yam, to carbon fiber sheet by adding our self-engineered resin to enhance the material’s malleability. We then utilize our forming machines to give designated shape, stiffness and strength to our products under high temperature. These machines and equipment form two production lines in total, one of which focuses on the production of key structural parts of sports bicycle, electric bicycle and automobile, while the another focuses on manufacturing rackets and healthcare products. Equipped with these automation and testing machines, and leveraged on our strong research and development efforts, we are able to offer a wide range of high-quality customized products to our customers. In the future, in order to enhance our production capacity, we intend to recruit more manpower for our production team, acquire more forming machines, increase the operating hours of forming machines and outsource our painting, cosmetic and sanding processes, which are labor-intensive manufacturing procedures with lower technical requirements.
In March 2020, the World Health Organization declared the outbreak of COVID-19 a pandemic. Countries across Asia, North America, Europe have continued to report increases in COVID-19 infections, which has resulted in governments implementing travel bans, lockdowns, quarantines and social distancing measures in those countries in an effort to contain the virus. In response to the outbreak of pandemic, in January 2020, the People’s Government of Guangdong Province announced certain measures to prevent continuing widespread of the disease in the community, among others, corporates were not allowed to resume operation before February 10, 2020. In compliance with the government instructions, we temporarily suspended the operation of our production plant in Dongguan, the PRC, from February 3, 2020 to February 26, 2020, which has then fully resumed our production on March 9, 2020 and remained normal thereafter. In this regard, we had arranged for tighter production schedule from June 2020 to December 2020 to make up for the suspension of operation of our production plant in February 2020.
| 80 |
History and Milestones
Our Predecessor Group commenced wood composite manufacturing and sports equipment processing business in 1970 and was one of the earliest private enterprises to manufacture wood composite in Taiwan. However, due to changes in the product development in the sporting goods industry with higher product requirements on the weight-saving, endurance and stiffness, our Predecessor Group gradually shifted the focus from wood composite manufacturing to carbon composite product manufacturing since 1980. Our Predecessor Group launched the carbon composite business line in 1980, targeting sporting goods, such as rackets. In 2005, our Predecessor Group launched the bicycle business line in order to expand the scope of carbon composite sporting goods to sports bicycle. In 2017, we launched our first electric bicycle. In 2018, in light of the prevalence of and favorable government policies on electric bicycle around the world, while continuing our development and sales of sports bicycle, we have in parallel strategically expanded further on the development and production of electric bicycle. We also developed our first carbon fiber robotic arm and other health care products in 2018. In 2019, we expanded our R&D team on the design and production of electric bicycle by addition of personnel. Through our R&D centers in Taiwan and the PRC, we have continued to upgrade and enhance our material technology, product structural design and production process technology, in order to uplift our product quality, product performance, production efficiency and expand our product spectrum.
We target to achieve growth in terms of both scale and scope. To expand our scale, we plan to establish a new production plant in Yangzhou in the PRC. For such purpose, in March 2019, Bohong Technology acquired the land use right of a land parcel in Yangzhou with a total gross land area of 64,851 square meter in order to build our new production plant for the production on key structural parts of electric bicycle, robotic arms, automobile parts and prepreg material. We intend to invest approximately $6.2 million on the purchase of machinery for our production plant in Yangzhou. As to the construction of our production plant in Yangzhou, we are in discussion with a local construction company in the PRC on a hire purchase agreement of building and infrastructure construction of our production plant in Yangzhou and such construction would be funded by the said local construction company in the PRC. We intend to commence the construction work of our production plant in Yangzhou by the end of 2021 and the first phase of such construction is expected to be completed by second quarter of 2022. The construction of our production plant in Yangzhou is expected to be fully completed by August 2022 and the machines are expected to be set up by the third quarter of 2022. As for growth in terms of scope, we anticipate that, by the first quarter of 2022, we will launch our own brand on electric bicycle and sporting goods and will set up sales and administration office in the U.S. and the Netherlands. We are in close dialogue with a reputed bicycle frame manufacturer in the U.S. on exploring investment opportunities, including but not limited to possibilities on acquisition, joint-venture and/or co-branding production. In addition, we intend to add a U.S. sales and administration office in Houston, Texas, which will work closely with our office in Taiwan in U.S. market sales and expansion, while our sales and administration office in the Netherlands will be handling sales on our online business platform expected to be launched around the first quarter of 2022. We also expect to further extend our production of automobile parts so as to leverage on the surging market demand of electric vehicles. By the end of 2023, we expect to launch our micro factory and R&D center in the U.S., with a view to developing automation of our production process and integrating the most advanced technology to our production. In this regard, we intend to invest in a manufacturer of carbon fiber products in the U.S. We have been in contacts with several potential target companies in the U.S., one of which is a U.S.-based aerospace composite parts manufacturer. We also plan to establish our third R&D center in Houston, Texas and our initial plan is to hire 4 to 6 employees on developing composite material and conducting researches on chemical interactions.
The following events are our key business developments and milestones:
| Year | Event | |
| 1970 | Our Predecessor Group commenced business of manufacturing and trading of wood composite products and processing of sports equipment. Our Predecessor Group developed our first wooden racket and commenced production for wooden composite rackets in Taiwan. | |
| 1978 | Our Predecessor Group commenced graphite or wood composite processing for rackets. |
| 81 |
| 1980 | Our Predecessor Group established carbon composite production line and developed our first carbon fiber racket, ski stick and golf shaft. | |
| 1990 | Our Predecessor Group established the first production plant in Dongguan, the PRC for manufacturing of rackets. | |
| 1992 | Our Predecessor Group developed our first full carbon racket. | |
| 2000 | Our Predecessor Group acquired the hot-melt prepreg technology and applied the technology to the production. | |
| 2005 | Our Predecessor Group established the bicycle business line and the second production plant in Dongguan, the PRC, for the production of carbon fiber bicycles. Our Predecessor Group then developed our first carbon fiber bicycle. | |
| 2012 | Our Predecessor Group applied for numerous patents on manufacturing of a variety of carbon fiber products. | |
| 2016 | We produced our first Olympic Champion badminton racket used by Misaki Matsutomo in winning her champion in the badminton women’s doubles tournament at 2016 Summer Olympics. | |
| 2017 | We established our R&D center and material laboratory in Taiwan. We also produced our first electric bicycle frame. | |
| 2018 | We developed our first carbon fiber automobile parts, robotic arm and other health care products, such as wheelchairs and senior walkers. | |
| 2019 | We expanded our R&D team on the design and production of key structural parts of electric bicycles. |
On May 24, 2016, we established J-Star as a holding and management company, holding 100% of the equity of Goal Beyond, 100% of the equity of Star Leader Trading and 100% of Bohong Technology. Goal Beyond, in turn, holds 100% of the equity of TW YMA, 100% of equity of Time Yield, 100% of equity of Dongguan YMA and 100% of equity of Dongguan Forwell. For further details regarding the Reorganization of the Group, see “Corporate Structure – The Reorganization.”
| 82 |
Our Business Model
We are engaged in the design, development, manufacturing and sale of carbon fiber composite products, with our main focus on key structural bicycle parts and racket products, on an original equipment manufacturing (“OEM”) & original design manufacturing (“ODM”) basis. For our OEM model, we manufacture our products in accordance with the customer’s specifications and are marketed under the customer’s own brand names. Our products are mainly supplied directly or indirectly to international sports brand owners. We secure sales contracts with customers on project basis.

Our ODM business begins with receiving customer’s request in designing and developing a new product. After our sales team communicates client’s requests with our R&D team, our R&D team will then consult with our procurement team and production team on our production capacity in order to assess the production timeline and make quotation. The product design and development process will be commenced once our customers confirmed our quotation. Our sales team is responsible for preparing the project summary which lists out the customers’ specification on the new product, including but not limited to requirements on physical properties of product material, special features on the design of product, product performance, accessories, outlook, the brand name to be used and expected size of order, and so forth. Our R&D team will then work on the structural design and composite material formula design based on the specifications required by our customers. Throughout the entire process of design, customization and modification of product, we communicate and receive feedbacks from our customers and provide various technical solutions in response to customers’ feedbacks regarding the product design and development. We will then deliver a prototype to our customers for their review and confirmation. Meanwhile, we will also conduct preliminary product testing with our in-house testing equipment or recognized independent third party institutions on the prototype to ensure that the product meets our customers’ required standard.
After the product development process is completed, the customers will place purchase orders with us according to their needs. We will then arrange for procurement of raw materials and commence production. We will conduct quality control on the raw materials, semi-finished product and the finished product. We have our technical staff on-site to provide supervision and technical support in our production plant in Dongguan, the PRC. We also have quality control staff on-site to monitor the production process. The finished products will then be delivered to designated place agreed with our customers. For example, for bicycle parts, we will send them to customer’s designated bicycle assemble house for assembly, while for racket products, we will send them to our customers directly.
Competitive Strengths
We attribute our success to the following key competitive strengths:
Strong research and products development capabilities
With over 50 years of composite product manufacturing experience accumulated from our Predecessor Group and our continuous commitment to enhance our composite material application technologies and production process, we pride ourselves on our accumulated know-how and research and development capabilities focused on the development of new products and the improvement of our production process. For instance, our resin technologies allow for prepreg-ing of our carbon fiber composite and creating higher ratio of strength and stiffness with lower weight. Some of the bicycle and racket products we co-designed and developed with our customer had been used by players in Olympic Games and international tournaments in winning their champion. We believe our accumulated composite material application know-how and continuous dedication to research and product development has enabled us to increase our product quality, production efficiency, technical expertise, ability to tailor-make products to meet customers specifications and reduce costs, which would in turn help us retain and attract customers who demand precise, reliable and high quality composite products and obtain higher profit margin. We also believe that our strong research and development ability will widen the product types to effectively satisfy customers’ changing needs, which in turn will enhance our organic growth.
| 83 |
Our research and development primarily focuses on product development, new application discovery and production process improvement. Our objectives in research and development is to promote innovation, automation and differentiation in our production and enhance our product quality. Our investment in research and development are significant. From January 2017 to June 2021, our continued expenditure in research and development has amounted to approximately $7.5 million. We had a R&D team of 65 members as of June 30, 2021. The majority of our R&D team members also have over 10 years of experience in industries relevant to our business. Our R&D centers have accomplished a number of research results and successfully developed and improved various composite materials formulas and application as well as the production process. In addition, we have also undertaken leading research and development projects on resins formulas and production processes, such as formulas on highly heat resistant resins, formulas on biomass materials, vacuum forming technology and waterborne paint technology, which could enhance the performance, cleanliness and durability of products, as well as satisfy our customers’ particular requirements on different products. As of June 30, 2021, we had registered 7 invention patents, 10 design patents and 14 utility model, including but not limited to patents on structure of bicycle frame, structure and design of rackets and manufacturing process of carbon fiber products, in Taiwan, PRC, Japan, Europe and the U.S. We have also applied for the registration of 6 invention patents. We also work with research institute to improve our production process, to discover new product applications, and to develop our material technologies. In particular, we are collaborating with National Chin-Yi University of Technology in Taiwan on carrying out comprehensive analysis and testing on our product materials, researches on production techniques of thermoplastic composite material and market research and comparisons on our products and other similar products readily available in the market. We believe that this collaboration will give us synergy and allow us to focus on the development of high-value and cost-effective products.
We have been devoting research and development efforts in respect of our carbon composite technology and application. In particular, we developed new resins systems, Nano-CT and Nano-GS, which are applied to our bicycle frame and racket products. Comparing to resins of regular formulation, Nano-CT and Nano-GS can increase the material strength, resistance to fatigue and stiffness, which effectively enhance the performance and toughness of our bicycle and racket products and lower their susceptibility to shocks. We also developed our nano-powder modification technology which uplifts the strength and impact resistance of our product material. We are also developing resins with higher degree of heat resistance and strength which are applicable to carrier plates of furnace and bicycle wheels, and halogen-free resins with higher degree of strength and transparency which are applicable to exhaust pipe, engine protector and brake disc of automobile.
We have optimized our production processes through our research and development efforts. We applied our vacuum forming technology in the production process to maintain the strength and quality of our products. We also developed and applied our waterborne paint technology to our bicycle frames, air intakes and engine rods of automobile, which enhance the cleanliness of our production process and improve the durability, gloss finish extent and corrosion and abrasion resistance of our products. We also introduced automated painting technology with robotic arms in order to promote automation in the painting process of our products, which in turn improves cost efficiency in our production process. With a view to further upgrading our production process, we commenced our major research and development projects on resins rapid curing technology, which not only could boost the production efficiency by speeding up the curing process, but also could enhance the strength, malleability and manufacturability of material. Being one of the major global leading players in the carbon fiber bicycle parts industry and the carbon fiber racket parts, we believe we have been able to capture the relevant technology and know-how in advance of our competitors in the industry.
In order to optimize the research and development effort, we have set up two R&D centers carefully designed for different purposes. The R&D center in Taiwan, which includes a laboratory, focuses on resin material application, new product development and production process enhancement, while R&D center in the PRC, which locates next to our production plant focuses on structural design of products, testing on product performance and enhancement on strength and stiffness of products. Under such arrangement, research and development in Taiwan can adopt a more experimental and innovative oriented approach while research and development conducted in the PRC, can focus more on resources and process enhancement which can be quickly implemented and tested in the production plant. We intend to establish our third R&D center in the U.S. to carry out researches on automation of production processes.
| 84 |
Quality product and comprehensive services which cater our customers’ needs
Leveraging on our solid experience and expertise in research and development, we are able to develop and produce high quality products satisfying our customers’ specific requirements. Depending on the needs of our customers, we also offer comprehensive services covering the processes of product analysis, product design and development; processing and manufacturing; product testing and adjustment; trial production of final products; and after sales services. Our product development team and our sales team work closely with our branded customers to understand their needs and make recommendations to them. Our product development team assists our customers in either (i) advising on the product designs; or (ii) designing products based on the customers’ ideas, concepts or specifications, with a view to enhancing the product efficiency, functionality and endurance.
Our quality control team is responsible for developing and implementing quality control policy specifying various quality control procedures for different kinds of products. We have adopted stringent quality assurance procedures throughout each stage in the entire production processes from the inspection of raw materials to finished products. We have our internal quality control room for testing the quality of the incoming raw materials. We inspect the appearance, structure, dimensions and performance of raw materials according to our inspection standards. We will also produce prototype as part of the product development process and perform a series of tests on the prototype to ensure it performs as designed. Throughout the manufacturing process, we carry out quality control procedures at the stage of molding, machining, gluing, mending, grinding and painting. Various performance tests, such as fatigue resistance test, compressive strength test, loading test, shock resistance test, are carried out in our in-house laboratory or by recognized independent third party to ensure our products meet the quality and safety requirements. Before packing and shipment, our quality control team will conduct final checking on products so as to ascertain that the quality of our products complies with the specifications and standards of our customers.
We have a stringent quality management system to ensure adherence to and consistency in the quality of our products. In 2011, we obtained ISO9001:2015 certification for manufacture of carbon fiber rackets. In 2019, we also obtained IATF 16949:2016 certification for manufacture of carbon fiber seat fittings. We also adopt the EFBE standards, which is a testing standard specific to the bicycle and electric bicycle industry, on certain bicycle and electric bicycle products. EFBE tests offer comprehensive and high-standard tests on bicycle-related products, such as fatigue tests on bicycle parts, maximum load and overload test stands and stiffness test stands. The EFBE test standards are compatible with ISO 4210 and European standard EN15194. In consideration of saving time and cost, we have acquired EFBE testing machines in March 2021, so that we are capable of quickly running our own in-house tests, and hence, we could ensure that our bicycle and electric bicycle products adhere to the EFBE.
We believe our ability to provide customized composite products of quality to meet customers’ requirements in a timely and cost efficient manner enables us to develop strong customer relationship and reputation, which are crucial in our long-term growth.
Strong presence in the carbon composite application industry and sporting goods industry with long operating history and strong production capabilities
The history of our Predecessor Group can be traced back to over 50 years ago when it was established in 1970. We have been applying our material technology accumulated for decades in manufacturing a great variety of composite products, which are mainly sports equipment, such as bicycles and rackets, and have extensive industry experience in respect of design, research and development of carbon composite products. We have established strong reputation in the carbon composite application industry and sporting goods industry as a result of the long operating history and establishment of our Predecessor Group in the industry. Such reputation has attracted various renowned brand owners (including their distributors) to procure our products directly or indirectly, including Colnago, Tecnifibre and Groupe Magellan SA, the distributor of Prince in France. According to the industry report commissioned by us and prepared by Frost & Sullivan, we are one of the major global leading players in the carbon fiber bicycle parts industry and the carbon fiber racket parts industry. Based on our successful track record, we believe we are positioned to capture market opportunities in the future.
| 85 |
Our production plant in Dongguan, the PRC, is set up with two production lines, which enable us to keep pace with our business development and to satisfy our customers’ demand in terms of product type, volume, customization, timelines and pricing. As at June 30, 2021, our production plant had an aggregate gross floor area of approximately 42,695 square meter and we owned 10 prepreg machines and 27 forming machines and other special equipment including vacuum forming machine, automated painting robotic arm and an EFBE testing machine. The prepreg machines and forming machines are major machines we used in our manufacturing process. We use our prepreg machines to convert our raw material, carbon fiber yam, to carbon fiber sheet by adding our self-engineered resin to enhance the material’s malleability. We then utilize our forming machines to give designated shape, stiffness and strength to our products under high temperature. Further, we are committed to invest in enhancing the automation of our production process with an aim to accommodate the production for a variety of products with high precision, efficiency and consistency. We believe that with our production capabilities, coupled with our product design and development expertise, we are able to offer a comprehensive portfolio of carbon composite products to our customers.
Well-established relationship with customers and diversified customer base
We had established strong and long-standing business relationships with our key customers through our Predecessor Group, which connect us to internationally reputed sports brands (including their distributors), such as Colnago, Tecnifibre and Groupe Magellan SA, the distributor of Prince in France. We believe that our good business relationships connected directly or indirectly with internationally well-known sports brand operators, are recognitions of the high standards of our quality and services. We believe that such relationships help us enhance our reputation in the industry and attract new customers with profile similar to our existing branded customers. We mainly acquire customers by referrals from our existing customers, direct approach by potential customers after learning our industry reputation and our current customer base and direct approach by bicycle assemble houses which connect us to branded customers. We also approach potential customers directly through phone call and email. With our long-standing reputation, we are able to secure numerous new customers from different countries, such as Australia, Russia, Canada, the U.S., Spain and the PRC, which helps us maintain diversified base of customers. We believe these strong and extensive relationships enable us to establish and maintain market leadership in the carbon composite application industry. We believe that other than our reliable and high-quality products, our customers are satisfied with our dedicated customer services. We have adopted return policy on products with manufacturing defects to accommodate our customers. If after any checkup or analysis by our laboratory the defect of a product is found to be manufacturing defect, return and replacement of products will be made.
We also capitalize on our experiences in the current business operation to further expand into the European and US markets. In January 2021, we invested in 19.5% equity ownership of a bicycle assemble house in France, which is a newly established company without revenue or income yet, in consideration of 19,500 Euros (approximately $23,100), to enhance our presence in Europe. We believe such measured business expansion strategy will help to further diversify our customer base and market recognition effectively.
Our Strategies
Our principal goal is to offer cutting edge technology and manufacturing expertise in carbon composite to customers in the international market and from different industries.
Enhance our research and development capabilities and enrich our product portfolio
We believe that it is essential for us to continue to strengthen our R&D team in order to improve our product quality, range of product and production efficiency. We intend to expand our research and development capabilities by setting up a R&D center in the U.S. to develop automation of our production process, integrate the most advanced technology to our production and acquire talents from the globe with a view to enhancing our perspective and innovation in research and development. We believe that development on automation of production process would greatly enhance the efficiency of production and minimize occurrence of human errors. We also believe that global talents with extensive industry experience would lead us to explore and develop the continuous innovation in technology research and development. To capitalize on the market opportunities, we intend to enrich our product portfolio to increase our profitability. Hence, we intend to further research and develop our material technology such that our product can be applied to greater variety of industries, such as electric vehicle and aerospace industries. Currently, we are also expanding our scope of products under the sporting goods industry. For instance, we are having upcoming new projects on producing padel rackets for major padel players and we commenced our production in the second half year of 2021 and launching of which will be in the first quarter of 2022. Further, in view of the growing market trend on electric vehicles, we plan to open up separate production line on automobile parts, supported by a local U.S. carbon fiber products manufacturer which we will invest in, in order to extend our production on key structural components for electric motorcycle and electric automobile in support of local U.S. manufacturer. We also intend to expand our business to electric vehicle market once we have developed appropriate scale and manufacturing automation and have established our strong presence in the U.S., so as to open up opportunities in public transport, freight and logistics vehicles. We intend to further improve our production efficiency by developing new production technologies and keeping abreast of latest growth and development of the industry. We also encourage our R&D personnel to participate in training provided by external research institutions in order to maintain our capabilities in developing new technologies and equipment.
| 86 |
Expand our customer base and extend our sales to global market
We intend to continue to leverage on our experience in carbon composite application industry to expand our market share and continue to identify new customers in these industries to diversify our customer base. In the years ended December 31, 2019 and 2020 and the six months ended June 30, 2020 and 2021, our sales were made primarily to the Asia and Europe markets, which accounted for approximately 62.9% and 32.3% of our revenue for the year ended December 31, 2019, approximately 50.7% and 40.4% of our revenue for the year ended December 31, 2020, approximately 45.2% and 50.3% of our revenue for the six months ended June 30, 2020, and approximately 47.8% and 46.5% of our revenue for the six months ended June 30, 2021, respectively. Our strategy is to further increase our market presence in Europe and the U.S. and expand our business in the PRC and other overseas market. In addition to our investment in 19.5% equity ownership of a bicycle assemble house in France, we plan to penetrate the Europe and U.S. markets by investing in other suitable local bicycle assemble house and setting up sales and administration offices in Europe and the U.S., in order to provide total solutions to our existing customers and enhance our presence in the U.S. and Europe markets by having direct access to the market. We also launched a co-owned electric bicycle brand, Ymagine, in Europe in July 2021 and intend to invest in a local electric bicycle brand in the U.S.
In addition, we also plan to build alliance with partners in different nations by firstly building up business relationship with potential customers from different countries progressively and discussing on investment plans on part of these customers’ operation after cooperating with them for certain period of time, in order to enter other overseas markets. In view of the fast growing trend of electric bicycle industry in the PRC, we plan to expand our business in the PRC market by promoting our electric bicycle products under our co-owned brand in Europe to local retail stores in China to attract domestic customers as end-users in the PRC. Further, we plan to expand our customer base and market sales by organizing and participating in different product exhibitions in the U.S. and the PRC. Apart from maintaining our strong and long-standing relationship with existing customers, we also intend to diversify our customer base, with a view to diverting our operational risks and enhance the sustainability of our business.
Vertical expansion of our business by establishing our own brand
We believe that our success is driven by our ability to adapt swiftly to the market demand and seamlessly cater the customers’ need. According to the industry report commissioned by us and prepared by Frost & Sullivan, the global expected CAGR of the carbon fiber bicycle parts industry from 2021 to 2025 is 16.0%. With the anticipation of further growth of demand on bicycles, in particular electric bicycles, in the future, we believe sales of our carbon composite electric bicycle and sporting goods will continue to grow remarkably in the coming years. The industry report prepared by Frost & Sullivan also reveals that the market size by revenue of carbon fiber racket parts will increase from US$243.9 million in 2021 to US$332.4 million in 2025, representing a CAGR of approximately 8.0%. To capitalize on the market opportunities, we established our co-owned electric bicycle brand, Imagine Bikes, in Europe in July 2021. In addition, we also plan to expand our business vertically in the next 1 to 3 years by establishing and launching our own brand in the U.S. by the first quarter of 2022 on carbon composite electric bicycle and sporting goods, ranging from electric bicycle, bicycle crank set, padel racket to mast foil, and intend to offer such products via online stores and distributing agents. Our brand will target end-consumers, who seeks for sporting goods of excellent quality and performance at reasonable price. We aim to set up a sales and administration office in the U.S. for selling products under our electric bicycles and sporting goods brand immediately after listing. We believe that setting up sales and administration office in the U.S. will help us further explore new areas of customer demand and drive the growth of our sales and enhance our brand recognition. We are also in the progress of setting up our sales and administration office in the Netherlands and are currently applying for its company registration.
Expand our production plant and capabilities
We expect the market demand for sports bicycle, electric bicycle, mast foil and padel rackets to increase in the near future, as there are rising number of inquiries on these products from our potential customers. We expect to capture the market growth and also increase our market share through our equipment upgrade and capacity expansion. According to the industry report prepared by Frost & Sullivan, the global carbon fiber bicycle parts market experienced moderate growth in recent years, increasing from approximately US$288 million in 2016 to US$462 million in 2020, registering a CAGR of 12.5%. Driven by improving people’s living standards, transformation of consumers, lifestyle and technology development, the market size of global carbon fiber bicycle parts industry is expected to increase from approximately US$522 million in 2021 to US$945 million in 2025, representing a CAGR of 16.0%. The penetration of carbon fiber professional-grade bicycles is expected to further grow due to its outstanding physical performance, while wider application of carbon fiber composite materials in the market on regular bicycles and electric bicycles is also expected. Referring to the industry report of Frost & Sullivan, the popularity of surfing and padel is increasing around the world and the foil mast made of carbon fiber are coming into people’s spotlight as carbon fiber foil masts enable surfers to maintain stability and avoid damage when riding big waves or immersing in seawater for a long period, which provides protection for surfers. The excellent performance of carbon fiber padel rackets is also widely recognized by athletes and the public as carbon fiber rackets can reduce the load on the arm during long rallies and improve the speed and efficiency when hitting the ball. For the years ended December 31, 2019 and 2020, the utilization rate of the production plant in Dongguan, the PRC, was approximately 80% and 80%, respectively. For the six months ended June 30, 2020 and 2021, the utilization rate of the production plant in Dongguan, the PRC, was approximately 82% and 100%, respectively. As a result of the limited production capacity of our existing production plant, we currently outsource certain production processes that require less technical skills, such as painting, cosmetic and sanding. However, we still focus on our competencies on those key production processes, including structure design, lamination, formation and quality control. In order to cater for our expected growth in sales and increase our production capacity, we plan to a construct new production plant in the PRC and set up a micro factory in the U.S. by channeling our know-how from our production plant in China to the U.S. factory. In respect of our plan on new production plant in the PRC, we have already acquired the land use right of a parcel of land in Yangzhou and the expected time for completion of construction and commencement of operation would be in 2022. We also plan to set up our sales and administration office in the U.S. by the first quarter of 2022 and establish our micro factory in the U.S. by 2023.
| 87 |
Our Products and Services
We are principally engaged in offering cutting edge technology and manufacturing expertise in carbon composite products, focusing on products in electric bicycle industry, sports bicycle industry, sporting goods industry, automobile industry and healthcare industry. Our products include carbon fiber electric bicycle and sports bicycle parts, rackets, automobile parts, medical robotic arms and healthcare products. Carbon fiber composite products are remarkable in their properties of high strength, durability, light weight, high stiffness and corrosion resistance. We aim at offering our customers superior levels of performance and efficiency on our products. Our carbon fiber composite products are also custom-made to meet our customers’ specifications and requirements. The life span and prices of composite products we manufacture varies depending on the specifications of the product.
Bicycle parts
Our bicycle-related products include key structural parts of electric bicycle and sports bicycle, such as bicycle frame, seat post, front fork, paddle, crank and handle bar and so on. As an important underpinning structure, bicycle frames are mostly made of Carbon Fiber Reinforced Polymers (CFRP) or carbon fiber composite materials, which has high rigidity, flexibility, durability and lightweight, determined by the fabric property, which is impregnated with a glue called resin that allows shaping and joining the material. The great advantage is that carbon fiber can be fine-tuned to provide any ride qualities riders desire. A bicycle fork is the part of a bicycle that holds the front wheel, which is commonly made of steel, aluminium, carbon fiber, titanium and other materials. Since the material of the forks can noticeably affect the feel and handling of the bicycle, forks of road bicycles and touring bicycles are usually made of carbon fiber to lessen and absorb vibrations from the road surface. Carbon crank wholly made of carbon fiber can minimize the weight of the bicycle while maintaining a smooth appearance; while handlebar made of carbon fiber can absorb vibrations and deliver outstanding strength-to-weight ratio, which is commonly applied in mountain bicycles and racing bicycles.
The figure below shows the key structural parts of a bicycle:

Source: Frost & Sullivan
We realized revenue of approximately $14.8 million and $14.3 million from our sales of bicycle parts for the years ended December 31, 2019 and 2020, which accounted for approximately 64.9% and 64.4%, respectively, of our revenue for the corresponding periods. We realized revenue of approximately $6.2 million and $8.0 million from our sales of bicycle parts for the six months ended June 30, 2020 and 2021, which accounted for approximately 65.2% and 65.9%, respectively, of our revenue for the corresponding periods. In the future, we will continue to engage in and focus on our sales of bicycle parts, in particular electric bicycles, in light of the expected market growth the electric bicycle industry.
| 88 |
We believe that there is a strong market demand on sports bicycles and electric bicycles in the global market. According to the industry report prepared by Frost & Sullivan, such inclining trend on the demand of bicycle products is mainly attributable to the change in people’s habit on pursuing healthier lifestyle and the implementation of government policies on supporting environmentally friendly transportation or vehicles. Additionally, in the aftermath of the outbreak of COVID-19, the market demand on bicycle products is likely to grow as people are spending more time on outdoor activities domestically owing to the travel restrictions implemented globally. In light of the inclining market demand on bicycle products, in the future, we will focus on sales of bicycle products and continue to enhance the quality and modify the design of our sports bicycle and electric bicycle products. For further details in respect of the industry report prepared by Frost & Sullivan, see the section “Industry” of this prospectus.
With our direction on commercializing and popularizing more bicycle products, including both electric bicycle and sports bicycle, in the future, we continuously design and develop new models of bicycle products. In 2021, we launched 28 new models of bicycle, and in 2022, 24 new models of bicycle are expected to be launched. We combined our competitive strengths on material technology and structural design expertise in the development of our new electric bicycle models under the concerted effort of our R&D team in Taichung and Dongguan, the PRC. Distinguished from other electric bicycles available in the market, our new electric bicycle model adopts minimalistic and stylish structural design, which is able to hide the battery in a less visible manner. Its key components are made of our developed nano resins, which boosts its level of stiffness and weight savings, such that these new models could offer smoother and more cozy commuting experience to customers.
Below are some of the electric bicycle and sports bicycle models that we co-designed with customers and manufactured their carbon fiber parts:

One of the most requested carbon full suspension electric bicycles in market launched under a reputed Swiss-based bicycle brand.
The entire frame of this electric bicycle is constructed of carbon fiber, which keeps its weight down to 20.54kg and it won acclaim internationally for its lightness, agility and directness on trails.
| 89 |

YMA 2017 B-01
The first carbon electric mountain bicycle open model launched by us.
A lightweight carbon-fiber electric mountain bicycle with the improved vehicle weight to a new level. This open model carbon frame is made with more concise appearance design, pull-up battery extraction and higher frame strength. The geometric design of this bicycle is compatible with 500W & 600W battery.

YMA 2017 S-01
The first carbon electric mountain bicycle open model launched and its carbon fiber frame is manufactured to fulfill the industry standard weight.
| 90 |
Colnago 2017 V2-R
This racing bicycle is launched by Colnago, a prominent high-end road-racing bicycle brand based in Italy. Seat post clamp of Colnago 2017 V2-R is designed to boost the aero efficiency of the bicycle.

Colnago 2021 V3-R
This racing bicycle is also launched by Colnago and is an upgraded version of Colnago 2017 V2-R. The V3Rs Capsule Collection represents excellence in terms of technological innovation, performance and style. We used a new type of carbon fiber that allows Colnago V3Rs to significantly increase the rigidity to lateral flexions. Tadej Pogacar rode Colnago V3R in winning his championship in Tour de France 2021. The ability to absorb vertical shocks has improved significantly, which translates into greater comfort. Colnago 2021 V3-R is fast on long climbs, in windy plains, on big tours and in stages and its design improves the concepts of lightness and aerodynamics of its road frames.
| 91 |


A mountain bicycle launched by a reputed Swiss-based bicycle brand that is reliable in all conditions and surfaces and allows world-class performance.
Manufactured with high-strength and modular high-end carbon fibers, the frame is controlled at a light weight combined with the low frame weight give this bicycle an enormous amount of propulsion.
| 92 |

One of the most desirable urban electric bicycles in the market launched by a reputed Swiss-based bicycle brand. With our carbon fiber frame adopted, this electric bicycle weights lighter than a typical electric bicycle. On the road, this electric bicycle is extremely good-natured and predictable, making it the perfect companion for the next city adventure.
Rackets
Our racket products include carbon fiber tennis rackets, badminton rackets, squash rackets and beach tennis rackets. We also provide racket stringing services upon customers’ requests. Based on our customers’ requirements and specifications, our racket development team provides product design that could enhance products’ efficiency, endurance and functionalities. Mass production of racket products will only be carried out after the prototype has passed our product tests in our test center. Racket products are usually delivered to customers’ warehouse around the world through free on board (FOB) in Hong Kong.
According to the industry report prepared by Frost & Sullivan, driven by the higher requirements on the mechanical properties of rackets and increasing purchasing ability of high-end sports goods customers, the market size by revenue of global carbon fiber applied in rackets has witnessed a steady growth, increasing from US$194.1 million in 2016 to US$242.6 million in 2019. Promoted by the increasing health awareness post-pandemic, encouraging policies of sports activities in developing countries, as well as progressed carbon fiber manufacturing techniques, it is estimated that the demand of carbon fiber applied in rackets will further rise and the market size by revenue of carbon fiber racket parts will increase from US$243.9 million in 2021 to US$332.4 million in 2025, representing a CAGR of approximately 8.0%. In light of the inclining market demand on racket products, in the future, we will focus on sales of racket products and continue to enhance the quality and modify the design of our racket products. For further details in respect of the industry report prepared by Frost & Sullivan, see the section “Industry” of this prospectus.
We generated revenue of approximately $8.0 million and $7.9 million from our sales of racket for the years ended December 31, 2019 and 2020, which accounted for approximately 34.9% and 35.5%, respectively, of our revenue for the corresponding periods. We generated revenue of approximately $3.3 million and $4.2 million from our sales of racket for the six months ended June 30, 2020 and 2021, which accounted for approximately 34.6% and 34.1%, respectively, of our revenue for the corresponding periods. In the future, we will continue to engage in our sales of racket products and we expect that our sales of rackets will increase drastically in the second half of 2021 as we had secured two new customers.
| 93 |
Below are some of the championship rackets we co-designed with our customers and manufactured their carbon fiber parts:
|
PRINCE Twistpower X100
Twistpower X100 is a Prince tennis racket distributed by Groupe Magellan S.A. Twistpower X100 is a light and speedy player’s racket that rewards full swings with a great combination of spin, power and precision. It has uniquely good feel and pocketing, which comes in part from a twisted shaft design which helps the racket bend optimally at impact.] |
TECNIFIBRE CARBOFLEX 125S
Carboflex 125S is a squash racket launched by Tecnifibre, a French brand of sporting equipment, specializing in tennis and squash. Carboflex 125S is used by Mohamed El Shorbagy, the world number one squash player in 2020. It offers quick response, great maneuverability and high swing speed. | |
|
PRINCE Pro Rebel 950 Pro Rebel 950 is a Prince squash racket distributed by Groupe Magellan S.A. It offers an excellent accuracy and unique maneuverability for players seeking for enhanced performance with lightweight power. Prince Pro Rebel 950 is endorsed by Ramy Ashour, a former worldclass professional squash player.
|
TECNIFIBRE Wall Master 360 PHD Wall Master 360 PHD is the padel paddle dedicated to club players and it has been engineered with a round head shop to optimize precision and control. Its light weight also allows easier maneuverability. |
| 94 |
Other products
Other products include automobile parts, healthcare products, prepreg sheets and carbon fiber boards.
We generated revenue of $28,267 and $22,328 from our sales of other products for the year ended December 31, 2019 and 2020, which accounted for approximately 0.1% and 0.1% of our revenue for the corresponding periods. We generated revenue of $20,611 and $0 from our sales of other products for the six months ended June 30, 2020 and 2021, which accounted for 0.2% and approximately 0% of our revenue for the corresponding periods. Despite that our revenue from our sales of other products accounts for a relatively small portion of our total revenue for the years ended December 31, 2019 and 2020 and the six months ended June 30, 2020 and 2021, we intend to expand and develop our products on automobile parts, healthcare products and raw materials. We are currently in discussion with a number of customers concerning new projects on certain healthcare products and motorcycle parts.
| (i) | Automobile parts |
Our automobile-related products include carbon fiber parts of automobile, such as air intakes, air-collecting hoods, engine rods, seat back, windshield, handlebar, and so on. Similar to the production model of our bicycle products, our automobile parts development team will first discuss with our customers on the design and specification of the automobile parts. Our R&D team will then commence the product development process based on our customers’ specific requirements.
The electric vehicle market is showing a pattern of continued growth and such trend is pushed forward by the favorable government policies on promoting the use of electric vehicles in different countries, such as providing tax incentives and subsidies. Due to the light-weight property, strength and stiffness of carbon composite, it is commonly used as the major material for producing key components of electric vehicles, such as air intake and seatback. In order to seize market opportunities, we have been preparing the know-how to produce carbon fiber automobile parts since 2019 and have expanded our R&D on technology of producing carbon fiber automobile parts. Although our revenue from sales of automobile parts is yet to be significant in the years ended December 31, 2019 and 2020 and the six months ended June 30, 2020 and 2021, we received numerous inquiries from customers in the electric vehicle industry and we expect that there will be more upcoming projects on automobile parts in the future.
Below are some of the carbon fiber automobile parts manufactured by us:
|
Air intake of automobile |
Air intake of automobile
| |
|
Air-collecting hoods of automobile |
Wind shield of motorcycle
| |
|
cover sets of motor cycle |
Seat back of automobile
| |
|
Engine rod of automobile |
Handlebar of motorcycle |
| (ii) | Healthcare and other products |
We had also manufactured carbon fiber healthcare products and other parts, which include carbon fiber senior walker, wheelchair, medical robotic arm, electric wheelchair robotic arm and drone parts. We adopt the same ODM model in respect of the production of health care and other products.
According to the industry report prepared by Frost & Sullivan, carbon fiber is usually used in the chassis and backrest frame of wheelchairs, featuring lightness, stiffness and exceptional durability. The stability and biocompatibility of carbon fiber materials have attracted extensive attention in medical devices and biomaterials. In addition, with the continuous improvement of carbon fiber production and processing technology, carbon fiber has gained more market share in robotic arms, particularly industrial robots. Compared to traditional robotic arms made of aluminium alloy and alloy steel, carbon fiber robotic arms have higher flexibility, fracture resistance and a longer service life. Also, the vibration dampening of carbon fiber robotic arms allows for precise control and positioning, enhancing working speed and efficiency of robots. With the accelerated automation process and wide application of industrial robotics, carbon fiber is expected to develop further and be favored by downstream customers. Therefore, we intended to further expand our production on healthcare products and we are currently in discussion with a number of customers concerning new projects on certain healthcare products. For further details in respect of the industry report prepared by Frost & Sullivan, see the section “Industry” of this prospectus.
| 95 |
Below are some of the healthcare products and other products we co-designed with our customers and manufactured their carbon fiber parts:
|
Rollator |
Wheelchair
|
|
Medical robotic arm |
Electric wheelchair robotic arm
|
|
Medical robotic arm |
Rollator |
Research and Development
From January 2017 to June 2021, our continued expenditure in research and development has amounted to an aggregate of approximately $7.5 million. We had a R&D team of 65 members as of June 30, 2021. The majority of our R&D team members also have over 10 years of experience in industries relevant to our business. We predominately focused on developing know-how for the carbon fiber & resin application technology and carbon fiber & resin processing technology. We obtained a number of patents in this area. For more details on our patents, see the paragraph “Intellectual Property” in this section.
| 96 |
Our R&D center in Taichung focuses on resin material application, new product development and production process enhancement. We invested approximately NTD72.2 million (approximately $2.6 million) in our R&D in Taiwan to develop our resin technology between January 2017 and June 2021, and we have various resin recipes for applications on different scope of products. Meanwhile, our R&D center in Dongguan, the PRC, focuses on structural design of products, testing on product performance and enhancement on strength and stiffness of products and we invested approximately RMB31.5 million (approximately $4.9 million) from January 2017 to June 2021 in our R&D in Dongguan, the PRC, and we have on-site machinery and equipment for product testing in order to offer more comprehensive services to our customer.
In 2020, we entered into a strategic cooperation with National Chin-Yi University of Technology in Taiwan, which provides us with opportunities in personnel training, technologies sharing and technical supports.
In the future, as part of our use of proceeds, we intend to open up a new R&D center in the U.S. in order to focus on our research and development on automation of production processes. For more details on our use of proceeds, see “Use of Proceeds” section.
Raw Materials and Suppliers
Our major raw materials mainly include carbon fiber yam and resin, which are the major components for manufacturing carbon composite material of our products. Typically, our purchases are made based on the purchase orders we receive from our customers and customer’s forecast for the year after. We mainly purchase top-graded carbon fiber yam and resin from independent suppliers in Japan, Taiwan and PRC. To procure carbon fiber yam from Japan, we are required to obtain Special General Bulk Export License from the Japanese government in order to comply with regulations from the Security Export Control implemented in Japan. In order to avoid over-reliance on a single source of supply, we will continue to maintain more than one supplier for each category of our major raw materials. For instance, we have been sourcing quality carbon fiber yam not only from Japan and Taiwan, but also from certain reliable suppliers in PRC. Save as disclosed above, during the years ended December 31, 2019 and 2020 and the six months ended June 30, 2021, we had not encountered any material shortage, delay or major difficulty in the procurement of raw materials from our suppliers.
Customers
We supply our products directly or indirectly to reputed branded customers predominantly engaged in the electric bicycle industry, sports bicycle industry, sporting goods industry, automobile industry and healthcare industry, most of which are based in European countries, including Colnago, an international high-end road-racing bicycle manufacturer and trader based in Italy, and Tecnifibre, a well-known French brand of sporting equipment specializing in tennis and squash. We usually supply our products on an order basis and we do not have formal contracts or agreements with our customers. Hence, sales terms and arrangements are made through purchase orders from the customers and accepted by us.
We are currently diversifying our customer base in order to lower our exposure to risks relating to reliance on any one single customer. Leveraging our substantial experience and expertise in the carbon composite application industry and sporting goods industry, we believe we are positioned to maintain our relationship with our current customers, and further expand our customer base in the future.
Sales and Marketing
We primarily acquire our customers by the following means: (i) referrals from our existing customers; (ii) direct approach to potential customers through phone calls or emails; (iii) direct approach by potential customers after learning our industry reputation and our current customer base; and (iv) direct approach by bicycle assemble houses which connect us to branded customers. Our sales and marketing team is responsible for handling purchase orders received from our customers, coordinating with our production plant for execution of purchasing orders, and communicating with customers on their requests and feedbacks and developing relationship with customers. We generally market and tailor-make products for our branded customers. We seek opportunities to expand our customer base while maintain our business relationship with our existing customers. We conduct visits to and meet with our existing major customers from time to time with a view to securing existing business, promoting our scope of business and our range of products, and increasing of their chance of engaging new projects with us. Our customers will also regularly visit our Taichung headquarters and Dongguan production plant to discuss ongoing projects, explore opportunities of new projects and share business and market information. In 2018, we had our anniversary celebrations and we invited our customers, suppliers and connoisseur to attend our celebration, during which we introduced the history and development of our Group, our major products and new products to be launched. In terms of after-sales service, our sales and marketing team gathers feedback from our customers regarding our products from time to time. We visit our customers on a periodic basis to discuss the quality of our products and services.
| 97 |
Seasonality
Our products and services have no obvious seasonal characteristics. We generally record relatively stable sales revenue around the year. We only experience production declines during the first two months of the year due to the Chinese New Year holidays. To overcome the seasonality effect on production, we encourage our manufacturing employees to take early leave for the Chinese New Year and resume work as soon as possible in February.
Quality Control
We place great emphasis on the quality of our products. We have adopted stringent quality procedures throughout each stage in the entire production processes from the inspection of raw materials, production of prototype, manufacturing processes to finished products. We have our internal quality control room for testing the quality of the incoming raw materials We also have our reliability test laboratory and in-house testing equipment serving a purpose of continuously monitoring the reliability and function stability of our products. Our quality control team is responsible for developing and implementing the quality control policy, which specifies various quality control steps for different products at different stages.
We have a stringent management system to ensure adherence to and consistency in the quality of our products. We obtained ISO9001:2015 certification in 2011 for manufacture of carbon fiber rackets and obtained IATF 16949:2016 certification in 2019 for manufacture of carbon fiber seat fittings. We also adopt the EFBE on certain bicycle and electric bicycle products. EFBE tests offer comprehensive and high-standard tests on bicycle-related products, such as fatigue tests on bicycle parts, maximum load and overload test stands and stiffness test stands. The EFBF are compatible with ISO4210 and European standard EN15194. In consideration of saving time and cost, we have acquired EFBE testing machines in March 2021, so that we are capable of quickly running our own in-house tests and ensure that our bicycle and electric bicycle products adhere to the EFBE. We did not experience any significant quality defects or product claims or refunds or returns from our customers or remedies in respect of our products which materially and adversely affected our business, operations or financial conditions during the two years ended December 31, 2019 and 2020 and up to the date of this prospectus.
Intellectual Property
We regard our patents, copyrights, trademarks, trade secrets and other intellectual property rights as critical to our success. We rely on a combination of patent, copyright, trademark and trade secret laws and restrictions on disclosure to protect our intellectual property rights. Our intellectual property portfolio as of the date of this prospectus included the following:
Patents: We have 31 registered patents in Taiwan, PRC, Japan, Europe and the U.S., among which 7 of them are invention patents, 14 of them are utility model patents and 10 of them are design patents). The registered patents cover bicycle, racket and manufacturing process of carbon fiber products. Details of the 31 registered patents are as follows:
| No. | Patent Description | Holder | Place of Registration | Patent Type | Patent Number | Duration | ||||||
| 1 | Carbon-fiber product forming device | Star Leader Trading | Taiwan | Utility Model | M538875 | April 1, 2017 – August 4, 2026 | ||||||
| 2 | Carbon-fiber product forming device | Star Leader Trading | PRC | Utility Model | ZL201620845839.X | August 5, 2016 – August 5, 2026 | ||||||
| 3 | Carbon-fiber product forming device | Star Leader Trading | Japan | Utility Model | 3208329 | October 24, 2016 – October 24, 2026 | ||||||
| 4 | Apparatus of manufacturing carbon fiber prepreg | TW YMA | Taiwan | Utility Model | M567260 | September 21, 2018 – May 17, 2028 | ||||||
| 5 | Carbon fiber prepreg material preparation equipment | TW YMA | PRC | Utility Model | ZL201821112561.0 | July 13, 2018 – July 13, 2028 | ||||||
| 6 | Twisted bicycle frame | TW YMA | PRC | Utility Model | ZL201821587258.6 | September 28, 2018 – September 28, 2028 | ||||||
| 7 | Tennis racket with padding material | TW YMA | Taiwan | Utility Model | M581924 | August 11, 2019 - January 28, 2029 | ||||||
| 8 | Lightweight pike racket | TW YMA | Taiwan | Utility Model | M581926 | August 11, 2019 - January 28, 2029 | ||||||
| 9 | Lightweight pike racket | TW YMA | PRC | Utility Model | ZL201920211539.X | February 19, 2019 - February 19, 2029 | ||||||
| 10 | Tennis racket with packing material | TW YMA | Japan | Utility Model | 3221292 | February 27, 2019 - February 27, 2029 | ||||||
| 11 | Racket frame with shock absorption effect | TW YMA | PRC | Utility Model | ZL201921038799.8 | July 4, 2019 - July 4, 2029 | ||||||
| 12 | The badminton racket frame has functions of adjusting shock absorption effect and changing gravity center position | TW YMA | PRC | Utility Model | ZL201921033514.1 | July 4, 2019 - July 4, 2029 | ||||||
| 13 | The racket frame having a vibration absorbing effect | TW YMA | Japan | Utility Model | 3223222 | July 12, 2019 - July 12, 2029 | ||||||
| 14 | Badminton racket that can adjust vibration absorption effect and change the center of gravity position | TW YMA | Japan | Utility Model | 3223277 | July 18, 2019 - July 18, 2029 |
| 98 |
| 15 | Racket with replaceable grip sleeve | TW YMA | the U.S. | Invention | US8579738B2 | May 11, 2012 – June 5, 2032 | ||||||
| 16 | Weight changeable racket | TW YMA | the U.S. | Invention | US8721478B2 | May 11, 2012 – August 9, 2032 | ||||||
| 17 | Weighting device and racket equipped with the same | TW YMA | the U.S. | Invention | US8758175B2 | May 22, 2012 – January 26, 2033 | ||||||
| 18 | Shock-absorbing seat stay for bicycle | TW YMA | the U.S. | Invention | US8894085B2 | April 16, 2013 – April 16, 2033 | ||||||
| 19 | Twisted tennis racket frame | TW YMA | Europe | Invention | EP3056249B1 | December 28, 2015 – December 28, 2035 | ||||||
| 20 | Device method forming carbon-fiber product | Star Leader | Europe | Invention | EP3278965 | November 7, 2016 – November 7, 2036 | ||||||
| 21 | Method of forming carbon-fiber product and implementation device thereof | Star Leader Trading | the U.S. | Invention | US10500798B2 | November 16, 2016 – August 25, 2037 | ||||||
| 22 | Racket | TW YMA | the U.S. | Design | USD561279S | February 5, 2008 – February 5, 2022 | ||||||
| 23 | Squash racket | TW YMA | Europe | Design | 005804630-0001 | October 23, 2018 - October 23, 2043 | ||||||
| 24 | Squash frame | TW YMA | PRC | Design | ZL201830591835.8 | October 23, 2018 - October 23, 2028 | ||||||
| 25 | Badminton racket frame | TW YMA | PRC | Design | ZL201930062297.8 | February 12, 2019 - February 12, 2029 | ||||||
| 26 | Badminton racket frame | TW YMA | PRC | Design | ZL201930062298.2 | February 12, 2019 - February 12, 2029 | ||||||
| 27 | Squash racket | TW YMA | the U.S. | Design | USD876562S | February 25, 2020 - February 25, 2035 | ||||||
| 28 | Badminton racket frame | TW YMA | Japan | Design | 1643801 | January 31, 2019 – January 31, 2039 | ||||||
| 29 | Badminton racket frame | TW YMA | Japan | Design | 1643802 | January 31, 2019 – January 31, 2039 | ||||||
| 30 | Tennis Racket Frame | TW YMA | the U.S. | Design | USD813962S | March 27, 2018 – March 27, 2033 | ||||||
| 31 | Tennis Racket Frame | TW YMA | the U.S. | Design | USD777859S | January 31, 2017 – January 31, 2032 |
| 99 |
We had applied for the registration of the following patents in Taiwan, PRC, Vietnam, Cambodia and Germany, covering carbon-fiber products manufacturing, parts manufacturing and prepreg production equipment. Details of the 6 patent applications are as follows:
| No. | Patent Description | Holder | Place of Application | Patent Type | Application Number | Date of Application | ||||||
| 1 | Manufacturing method of bicycle parts | TW YMA | Taiwan | Invention | 109110056 | March 25, 2020 | ||||||
| 2 | Manufacturing method of parts | TW YMA | Taiwan | Invention | 109144726 | December 17, 2020 | ||||||
| 3 | Manufacturing method of parts | TW YMA | PRC | Invention | 202011642889.5 | December 30, 2020 | ||||||
| 4 | Carbon-fiber prepreg producing equipment | TW YMA | Vietnam | Invention | VN 1-2018-05804 | December 21, 2018 | ||||||
| 5 | Carbon-fiber prepreg producing equipment | TW YMA | Cambodia | Invention | KH/P/2018/00062 | December 6, 2018 | ||||||
| 6 | Equipment for the production of carbo fiber prepreg materials | TW YMA | Germany | Invention | 102018221759.9 | December 14, 2018 |
| ● | Trademarks: We owned a total of 12 registered trademarks in PRC and Taiwan. Our trademarks include the combination of graphs and names for TW YMA: |
| ● | Domain name: We have 1 registered domain name in the U.S., which is www.ymaunivers.com. |
In addition to the foregoing protections, we generally control access to and use of our proprietary and other confidential information through the use of internal and external controls. For example, for external controls, we enter into non-disclosure agreements or agree to confidentiality clauses with our customers and, for internal controls, we adopt and maintain policies governing the operation and maintenance of our systems and the management of user-generated data, and enter into standard confidentiality and intellectual property agreements with our key employees.
| 100 |
Competition
According to the industry report commissioned by us and prepared by Frost & Sullivan, at present, there is a fierce competition in the low-end carbon fiber market with low profit margins. There is still a large profit margin in the mid-end and high-end carbon fiber markets. However, in the future, the demands of carbon fiber products for consumption use will continue to be released. With the development of technology, there will be increasing application of carbon fiber for new purpose and usage, and the cost of carbon fiber will be reduced. It is expected that these factors will enable a higher margin for the manufacturers and promote people’s willingness to buy carbon fiber productions sports and leisure products. In the future, long-term low-price competition will force low-end carbon fiber products manufacturers to face business transformation. However, manufacturers who develop mid-end and high-end products will maintain their first mover advantages through resource accumulation and research and development capability and maintain a leading position in the industry.
Our ability to remain competitive will largely depend on our business model, the quality of our products and services, the effectiveness of our sales and marketing efforts and our ability to enhance the features and functionality of our products to satisfy our customers’ needs.
We believe that the principal competitive factors in our market are:
| ● | Core competence in providing high-standard customized products according to customers’ specifications; | |
| ● | quality of technologies and, as a result, research and development capabilities; | |
| ● | ability to innovate and respond rapidly to customer needs; | |
| ● | strategic expansion of production capacity and quality management; | |
| ● | ability to control costs; | |
| ● | sufficient capital support; and | |
| ● | brand awareness and reputation of the Company. |
Employees
We had 901 full-time employees as of June 30, 2021. As of the date of this prospectus, our employees are based in Taiwan and the PRC. In order to address the development, attraction and retention of personnel, we made continued and substantial investment in our technical personnel by providing them with training and various types of incentives so as to reward them for their services and contributions.
The following table provides the number of our employees by function, as of June 30, 2021:
| Function | Number of Full-Time Employees | |||
| R&D | 65 | |||
| Quality control | 9 | |||
| Business development | 24 | |||
| Procurement | 11 | |||
| Management | 2 | |||
| Accounting & finance | 13 | |||
| Production | 746 | |||
| Human resources, I.T. & Administration | 31 | |||
| Total | 901 | |||
| 101 |
As required by the laws of the PRC, we participate in various employee social security plans that are organized by municipal and provincial governments for our PRC-based full-time employees, including pension, unemployment insurance, childbirth insurance, work-related injury insurance and medical insurance. We are required under PRC law to make contributions monthly at specified percentages of the salaries, bonuses and certain allowances of our PRC-based full-time employees, up to maximum amounts specified by applicable local governments. For risks relating to our failure to make adequate contributions for social insurance premiums for our employees in accordance with the statutory payment base required by the relevant PRC laws, see “Risk Factors – Risks Related to Conducting Operations in PRC – We may be subject to additional contributions under various employee benefits plans and late payments and fines imposed by relevant government authority.”
We have a defined contribution pension plan under Taiwan’s Labor Pension Act covering all Taiwan employees. We contribute 6% of an employee’s monthly wages to the personal pension account of such employee each month with the Bureau of Labor Insurance of Taiwan.
We enter into labor contracts and standard confidentiality with our key employees. We have been involved in 9 legal proceedings in relation to labor disputes during the years ended December 31, 2019 and 2020 and the six months ended June 30, 2021, all of which have been duly settled. None of our employees are represented by labor unions.
Inventory
We generally maintain limited inventory. We order materials for our projects on an as-needed basis. Where our proprietary products are needed, we place orders with our suppliers for raw materials and commence our production upon receipt of orders from our customers.
We held total inventory of $8,176,729 and $11,699,660 as of December 31, 2019 and 2020, respectively, and $20,124,028 as of June 30, 2021. The higher level of total inventory in December 31, 2020 as compare to December 31, 2019 was mainly due to increased demand from our customers for shipments to be made in the first half of 2021. The higher level of total inventory in June 30, 2021 as compare to December 31, 2020 was mainly due to unstable shipping schedule of our products. As demands from our customers are dependent on, among other things, market conditions, the higher level of inventory in the year ended December 31, 2020 may not be indicative of our future inventory levels.
Properties
Our headquarters are located in 7/F-1, No.633, Sec. 2, Taiwan Blvd., Xitun District, Taichung City 407, Taiwan (the “Taichung headquarters”), and we maintain a R&D center with material laboratory in Taichung and production plant in Dongguan in the PRC. As of June 30, 2021, we have land use right to one property of approximately 64,851 square meters (approximately 698,050.4 square feet) at the development zones for new and high technology industries in Yangzhou, the PRC (the “Yangzhou Property”), which would be used for building our new production plant in Yangzhou under our expansion plan. We currently leased 6 properties with an aggregate of approximately 14,225.3 square meters (approximately 153,119.9 square feet) in Taiwan and PRC, which primarily carry out production function. Saved for our Yangzhou Property, we lease all of our facilities and do not own any real property. We do not expect to experience difficulties in renewing any of the leases when they expire. For the leasing agreement of our production plant located at No. 613, Dongfu Guoyong 2003, No. 128 Industrial Zone, Tangxia Town, Dongguan City, it contains a renewal clause in which we enjoy the right to preferential lease, and therefore, we do not expect to experience difficulties in renewing such lease. If we require additional space, we expect to be able to obtain additional facilities on commercially reasonable terms.
| 102 |
| Address | Size | Rent | Expiration | |||
Flat 1 & 2, 7th Floor, No. 633, Section 2, Taiwan Blvd., Xitun District, Taichung City, Taiwan |
approximately 696.5 square meters (approximately 7,497.1 square feet) | NTD21,714 per month (approximately $7,586) | August 16, 2022 | |||
No. 18, 1 Shude Lane, South District, Taichung City, Taiwan |
approximately 696.9 square meters (approximately 7,501.4 square feet) | NTD204,336 per month (approximately $7,321) | June 15, 2023 | |||
Car Park Space B4-72, 73, 74, 75 & 76, No. 633, Section 2, Taiwan Blvd., Xitun District, Taichung City, Taiwan |
N/A | NTD15,000 per month (approximately $537) | August 16, 2022 | |||
5th Floor, Dongguan Yuantai Sports Equipment Co., Ltd., 128 Industrial Zone, Tangxia Town, Dongguan City, PRC |
approximately 800 square meters (approximately 8,611.13 square feet) | RMB14,400 per month (approximately $2,229) | February 25, 2022 | |||
| No. 613, Dongfu Guoyong 2003, No. 128 Industrial Zone, Tangxia Town, Dongguan City, PRC | approximately 12,031.9 square meters (approximately 129,510.3 square feet) | RMB700,000 per month (approximately $108,359) | February 25, 2022 |
For risks relating to our failure to fully comply with the land use right assignment contract entered into between Bohong Technology and the PRC government authority in respect of the Yangzhou Property, see “Risk Factors – Risks Related to Conducting Operations in PRC – We have entered into land use right assignment transaction with PRC government authority and we may be subject to penalties for failure to fully comply with the contract thereunder.”
Insurance
We maintain commercial fire insurance for our headquarters, R&D center and warehouse in Taiwan and public general liability insurance in Taiwan. In respect of the production plant, R&D center and warehouses in Dongguan, the PRC, we maintain property all risks insurance. We also maintain credit insurance in respect of debts arising in the course of business activity and from the trading of products and performance of services under TW YMA. In addition, we purchase cargo transportation insurance to insure the risks and liabilities in relation to the shipping of our products and raw materials between our warehouse in Taiwan, production plant and warehouse in the PRC and delivery points designated by customers. We also maintain commercial general liability insurance with products liability coverage in respect of the bicycle parts products, senior walker products, motorcycle handler and pre-preg materials manufactured or distributed by us and exported or sold worldwide. We consider our insurance coverage to be consistent with customary industry standards adopted by other companies in the same industry and of similar size.
Legal Proceedings
Other than the legal proceedings in relation to the labor disputes disclosed in the sub-section above headed “Employees” under the Business section, we are not a party to, nor are we aware of, any legal proceedings, investigations or claims which, in the opinion of our management, are likely to have a material adverse effect on our business, financial condition or results of operations.
| 103 |
Our business operations are primarily in Taiwan and the PRC and we are primarily subject to Taiwan and the PRC laws and regulations. This section sets forth a summary of the most significant regulations or requirements that affect our business activities in Taiwan and PRC or our shareholders’ rights to receive dividends and other distributions from us.
Regulations in Taiwan
Regulations Relating to Foreign Exchange
Taiwan Foreign Exchange Control Law and regulations provide that all foreign exchange transactions must be executed by banks designated by Taiwan’s Financial Supervisory Commission and the Central Bank of the Republic of China (Taiwan) to engage in such transactions. Current regulations favor trade-related or service-related foreign exchange transactions. Consequently, foreign currency earned from exports of merchandise and services may now be retained and used freely by exporters, and all foreign currency needed for the importation of merchandise and services may be purchased freely from the designated foreign exchange banks.
Apart from trade-related or service-related foreign exchange transactions, Taiwan companies and individual residents reaching the age of 20 may, without foreign exchange approval, remit foreign currency of up to US$50 million (or its equivalent) and US$5 million (or its equivalent) to and from Taiwan (or such other amount as determined by the Central Bank of the Republic of China (Taiwan) from time to time at its discretion in consideration of Taiwan’s economic and financial conditions or the needs to maintain the order of foreign exchange market in Taiwan), respectively, in each calendar year. The above limits apply to remittances involving either a conversion of NTD into a foreign currency or a conversion of foreign currency into NTD. In addition, a requirement is also imposed on all enterprises to register medium- and long-term foreign debt with the Central Bank of the Republic of China (Taiwan).
Subject to specified requirements but without foreign exchange approval of the Central Bank of the Republic of China (Taiwan), foreign persons may remit to and from Taiwan foreign currencies of up to US$100,000 (or its equivalent) per remittance if the required documentation is provided to the authorities in Taiwan. The above limit applies to remittances involving either a conversion of NTD into a foreign currency or a conversion of foreign currency into NTD.
Regulations Relating to Dividend Distributions
Except under limited circumstances, a Taiwanese company will not be permitted to distribute dividends or make other distributions to shareholders in any given year in which it did not record net income or retained earnings (excluding reserves). The Taiwan Company Act requires that 10% of annual net income (less prior years’ losses, if any, and applicable income taxes) be set aside as a legal reserve until the accumulated legal reserve equals the paid-in capital of the company. The company will be permitted to make distributions to its shareholders in cash or in the form of ordinary shares from legal reserves if it has no accumulated loss, provided that the distribution payable out of the company’s legal reserve can only come from the amount exceeding 25% of the total paid-in capital.
The articles of incorporation of TW YMA provide that its net profit after tax shall be distributed first for making up accumulated losses, and then setting aside 10% as legal reserve, unless the accumulated legal reserve equals the paid-in capital. The remaining earnings along with the undistributed earnings at the beginning of the period are considered as accumulated distributable earnings. The shareholders’ dividends are appropriated based on the accumulated distributable earnings. The dividend payout ratio is proposed by TW YMA’s board of directors and approved by its shareholder(s) at the shareholders’ meeting.
| 104 |
According to the articles of incorporation of TW YMA, upon the final settlement of accounts, if there is any surplus profit (meaning the net profit before tax before deduction of employees’ remuneration), TW YMA shall set aside at least 10% of the surplus profit as employees’ remuneration, and set aside certain amount as the remuneration of directors and supervisors; provided that if TW YMA has accumulated losses, it shall reserve an amount thereof for making up the losses. Employees’ remuneration may be in the form of cash or shares. Employees (including those of TW YMA’s controlling companies or subsidiaries) entitled to such remuneration or other employee incentive programs shall meet certain requirements, and such requirements shall be determined by the board of directors of TW YMA.
Regulations Relating to Preemptive Rights
Under Taiwan Company Act, when a Taiwan company issues new shares for cash, the company’s employees, whether they are shareholders of the company or not, have rights to subscribe for 10% to 15% of the new issue, and existing shareholders who are listed on the shareholders’ register as of the record date have a preemptive right to acquire the remaining 85% to 90% of the issue; provided that pursuant to the Statute For Investment By Foreign Nationals, such employee preemptive rights may be excluded if 45% or more of the company’s total capital is owned by foreign investors.
Regulations on Taxation
Effective from 2018, Taiwan’s Income Tax Law abolished the imputation system, raised the corporate income tax rate from 17% to 20%, and reduced the rate of surtax imposed on unappropriated earnings from 10% to 5%. Effective from 2020, Taiwan’s Statute for Industrial Innovation extended the tax incentive by 10 years for R&D expenditure. In addition, if a company uses its undistributed earnings to construct or purchase buildings, software or hardware equipment, or technology for use in production or operation, such investment amounts may be deducted from the undistributed earnings in calculation of the current year’s undistributed earnings for assessment of surtax imposed on undistributed earnings from the year 2018.
The alternative minimum tax (“AMT”) imposed under Taiwan’s AMT Act is a supplemental income tax which applies if the amount of regular income tax calculated pursuant to Taiwan’s Income Tax Law and relevant laws and regulations is below the amount of basic tax prescribed under the AMT Act. The taxable income for calculating AMT includes most income that is exempt from income tax under various regulations, such as tax holidays. The prevailing AMT rate for business entities is 12%.
Regulations in PRC
Regulations on Foreign Currency Exchange
The principal regulations governing foreign currency exchange in China are the Foreign Exchange Administration Regulations, most recently amended in 2008. Under PRC foreign exchange regulations, payments of current account items, such as profit distributions, interest payments and trade and service-related foreign exchange transactions, can be made in foreign currencies without prior approval from the SAFE, by complying with certain procedural requirements. By contrast, approval from or registration with appropriate government authorities is required where RMB is to be converted into foreign currency and remitted out of China to pay capital account items, such as direct investments, repayment of foreign currency-denominated loans, repatriation of investments and investments in securities outside of China.
In 2012, SAFE promulgated the Circular of Further Improving and Adjusting Foreign Exchange Administration Policies on Foreign Direct Investment, or Circular 59, as amended in May 2015, which substantially amends and simplifies the foreign exchange procedure. Pursuant to Circular 59, the opening of various special purpose foreign exchange accounts, such as pre-establishment expenses accounts, foreign exchange capital accounts and guarantee accounts, the reinvestment of Renminbi proceeds derived by foreign investors in the PRC, and remittance of foreign exchange profits and dividends by an foreign-invested enterprise, or FIE to its foreign shareholders no longer require the approval or verification of SAFE. In February 2015, SAFE promulgated the Notice on Further Simplifying and Improving the Administration of the Foreign Exchange Concerning Direct Investment, or SAFE Notice 13. Instead of applying for approvals regarding foreign exchange registrations of foreign direct investment and overseas direct investment from SAFE, entities and individuals may apply for such foreign exchange registrations from qualified banks. The qualified banks, under the supervision of SAFE, may directly review the applications and conduct the registration.
| 105 |
In addition, the PRC governmental authorities have gradually relaxed restrictions on the settlement of the foreign exchange capitals of FIEs in recent years. In March 2015, SAFE promulgated SAFE Circular 19, which expands a pilot reform of the administration of the settlement of the foreign exchange capitals of FIEs nationwide. SAFE Circular 19 replaced both the Circular of the SAFE on Issues Relating to the Improvement of Business Operations with Respect to the Administration of Foreign Exchange Capital Payment and Settlement of Foreign- invested Enterprises, or SAFE Circular 142, and the Circular of the SAFE on Issues concerning the Pilot Reform of the Administrative Approach Regarding the Settlement of the Foreign Exchange Capitals of Foreign-invested Enterprises in Certain Areas, or SAFE Circular 36. SAFE Circular 19 allows all FIEs established in the PRC to settle their foreign exchange capital on a discretionary basis according to the actual needs of their business operation, provides the procedures for foreign invested companies to use Renminbi converted from foreign currency-denominated capital for equity investments and removes certain other restrictions that had been provided in SAFE Circular 142. However, SAFE Circular 19 continues to prohibit FIEs from, among other things, using Renminbi funds converted from their foreign exchange capital for expenditure beyond their business scope and providing entrusted loans or repaying loans between non-financial enterprises. SAFE promulgated the SAFE Circular 16, effective June 2016, which reiterates some of the rules set forth in SAFE Circular 19. SAFE Circular 16 provides that discretionary foreign exchange settlement applies to foreign exchange capital, foreign debt offering proceeds and remitted foreign listing proceeds, and the corresponding Renminbi capital converted from foreign exchange may be used to extend loans to related parties or repay inter-company loans (including advances by third parties). On October 23, 2019, SAFE further issued Circular of the State Administration of Foreign Exchange on Further Promoting the Facilitation of Cross-border Trade and Investment, or SAFE Circular 28, which took effect on the same day. SAFE Circular 28 allows non-investment FIEs to use their capital funds to make equity investments in China as long as such investments do not violate the Negative List and the target investment projects are genuine and in compliance with laws. In addition, SAFE Circular 28 stipulates that qualified enterprises in certain pilot areas may use their capital income from registered capital, foreign debt and overseas listing for the purpose of domestic payments without providing authenticity certifications to the relevant banks in advance for those domestic payments.
Regulations Relating to Dividend Distributions
The principal laws, rules and regulations governing dividend distributions by FIEs in the PRC are the PRC Company Law, promulgated in 1993 and last amended in 2018 and the Foreign Investment Law and its Implementing Regulations, both came into effect on January 1, 2020. Under these requirements, FIEs may pay dividends only out of their accumulated after-tax profit, if any, as determined in accordance with PRC accounting standards and regulations. In addition, a PRC company, including FIEs in the PRC, is required to allocate at least 10% of its accumulated after-tax profit each year, if any, to fund the statutory reserve fund until the aggregate amount of the reserve fund has reached 50% of its registered capital. A PRC company may, at its discretion, allocate a portion of its after-tax profits based on its articles of association and PRC accounting standards to certain reserve funds. These reserves can only be used for specific purposes and are not distributable as cash dividends. A PRC company is not permitted to distribute any profits until any losses from prior fiscal years have been offset. Profits retained from prior fiscal years may be distributed together with distributable profits from the current fiscal year.
Regulations on Foreign Exchange Registration of Overseas Investment by PRC Residents
In 2014, SAFE issued the SAFE Circular on Relevant Issues Relating to Domestic Resident’s Investment and Financing and Roundtrip Investment through Special Purpose Vehicles, or SAFE Circular 37, replacing the SAFE Circular on Issues Concerning the Regulation of Foreign Exchange in Equity Finance and Return Investments by Domestic Residents through Offshore Special Purpose Vehicles, or SAFE Circular 75. SAFE Circular 37 regulates foreign exchange matters in relation to the use of special purpose vehicles by PRC residents or entities to seek offshore investment and financing or conduct round trip investment in China. Under SAFE Circular 37, a “special purpose vehicle” refers to an offshore entity established or controlled, directly or indirectly, by PRC residents or entities for the purpose of seeking offshore financing or making offshore investment, using legitimate onshore or offshore assets or interests, while “round trip investment” refers to direct investment in the PRC by PRC residents or entities through special purpose vehicles, namely, establishing FIEs to obtain ownership, control rights and management rights. SAFE Circular 37 provides that, before making a contribution into a special purpose vehicle, PRC residents or entities are required to complete foreign exchange registration with SAFE or its local branch.
| 106 |
In 2015, SAFE promulgated SAFE Notice 13, which amended SAFE Circular 37 by requiring PRC residents or entities to register with qualified banks rather than SAFE or its local branch in connection with their establishment or control of an offshore entity established for the purpose of overseas investment or financing. PRC residents or entities who had contributed legitimate onshore or offshore interests or assets to special purpose vehicles but had not registered as required before the implementation of SAFE Circular 37 must register their ownership interests or control in the special purpose vehicles with qualified banks. An amendment to the registration is required if there is a material change with respect to the special purpose vehicle registered, such as any change of basic information (including change of PRC residents, name and operation term), increases or decreases in investment amount, transfers or exchanges of shares, and mergers or divisions.
Failure to comply with the registration procedures set forth in SAFE Circular 37 and the subsequent notice, or making misrepresentations or failing to disclose the control of the FIE that is established through round-trip investment, may result in restrictions being imposed on the foreign exchange activities of the relevant FIEs, including payment of dividends and other distributions, such as proceeds from any reduction in capital, share transfer or liquidation, to its offshore parent or affiliate, and the capital inflow from the offshore parent, and may also subject relevant PRC residents or entities to penalties under PRC foreign exchange administration.
Regulations on Taxation
Enterprise Income Tax
On March 16, 2007, the National People’s Congress promulgated the PRC Enterprise Income Tax Law, which was amended on February 24, 2017 and December 29, 2018. On December 6, 2007, the State Council enacted the Regulations for the Implementation of the Enterprise Income Tax Law, which became effective on January 1, 2008 and was amended on April 23, 2019. Under the Enterprise Income Tax Law and the relevant implementing regulations, both resident enterprises and non-resident enterprises are subject to tax in the PRC. Resident enterprises are defined as enterprises that are established in the PRC in accordance with PRC laws, or that are established in accordance with the laws of foreign countries but are actually or in effect controlled from within China. Non-resident enterprises are defined as enterprises that are organized under the laws of foreign countries and whose actual management is conducted outside the PRC, but have established institutions or premises in the PRC, or have no such established institutions or premises but have income generated from inside the PRC. Under the Enterprise Income Tax Law and relevant implementing regulations, a uniform corporate income tax rate of 25% is applied. However, if non-resident enterprises have not formed permanent establishments or premises in the PRC, or if they have formed permanent establishments or premises in the PRC but there is no actual relationship between the relevant income derived in the PRC and the established institutions or premises set up by them, withholding income tax is set at the rate of 10% with respect to their income sourced from inside the PRC.
Value-Added Tax
The PRC Provisional Regulations on Value-Added Tax were promulgated by the State Council on December 13, 1993, became effective on January 1, 1994, and were subsequently amended from time to time. The Detailed Rules for the Implementation of the PRC Provisional Regulations on Value-Added Tax (2011 Revision) were promulgated by the Ministry of Finance on December 25, 1993 and subsequently amended in 2008 and 2011. On November 19, 2017, the State Council promulgated the Decisions on Abolishing the PRC Provisional Regulations on Business Tax and Amending the PRC Provisional Regulations on Value-Added Tax. Pursuant to these regulations, rules and decisions, all enterprises and individuals engaged in sale of goods, provision of processing, repair, and replacement services, sales of services, intangible assets, real property, and the importation of goods within the PRC are value-added tax, or VAT taxpayers. On March 20, 2019, the Ministry of Finance, the State Administration of Taxation, or SAT, and the General Administration of Customs jointly issued the Announcement on Relevant Policies on Deepening the Reform of Value-Added Tax. Pursuant to this announcement, the generally applicable VAT rates are simplified as 13%, 9%, 6%, and 0%, which became effective on April 1, 2019, and the VAT rate applicable to the small-scale taxpayers is 3%. If a small-scale taxpayer’s total monthly sales amount does not exceed RMB100 thousand and its quarterly sales volume does not exceed RMB300 thousand, the VAT will be exempted.
| 107 |
Dividend Withholding Tax
The Enterprise Income Tax Law and its implementation rules provide that since January 1, 2008, an income tax rate of 10% will normally apply to dividends declared to non-PRC resident investors that do not have an establishment or place of business in the PRC, or that have such establishment or place of business but the relevant income is not effectively connected with the establishment or place of business, to the extent such dividends are derived from sources within the PRC.
Tax on Indirect Transfer
On February 3, 2015, SAT issued the Bulletin on Issues of Enterprise Income Tax on Indirect Transfers of Assets by Non PRC Resident Enterprises, or SAT Bulletin 7. Pursuant to SAT Bulletin 7, an “indirect transfer” of assets, including equity interests in a PRC resident enterprise, by non-PRC resident enterprises, may be recharacterized and treated as a direct transfer of PRC taxable assets, if such arrangement does not have a reasonable commercial purpose and was established for the purpose of avoiding payment of PRC enterprise income tax. As a result, gains derived from such indirect transfer may be subject to PRC enterprise income tax. When determining whether there is a “reasonable commercial purpose” in the transaction arrangement, features to be taken into consideration include, inter alia, whether the main value of the equity interest of the relevant offshore enterprise derives directly or indirectly from PRC taxable assets; whether the assets of the relevant offshore enterprise mainly consists of direct or indirect investment in China or if its income is mainly derived from China; and whether the offshore enterprise and its subsidiaries directly or indirectly holding PRC taxable assets have a real commercial nature which is evidenced by their actual function and risk exposure. SAT Bulletin 7 does not apply to transactions of sale of shares by investors through a public stock exchange where such shares are acquired on a public stock exchange. On October 17, 2017, SAT issued the Announcement of the State Administration of Taxation on Issues Concerning the Withholding of Non- resident Enterprise Income Tax at Source, or SAT Bulletin 37, which was amended by the Announcement of the State Administration of Taxation on Revising Certain Taxation Normative Documents issued on June 15, 2018 by SAT. SAT Bulletin 37 further elaborates the relevant implemental rules regarding the calculation, reporting, and payment obligations of the withholding tax by the non-resident enterprises. Nonetheless, there remain uncertainties as to the interpretation and application of SAT Bulletin 7. SAT Bulletin 7 may be determined by the tax authorities to be applicable to our offshore transactions or sale of our shares or those of our offshore subsidiaries where non-resident enterprises, being the transferors, are involved.
Regulation of Foreign Investment
The PRC Company Law or Company Law was promulgated on December 29, 1993, which became effective on July 1, 1994, and was subsequently revised on December 25, 1999, August 28, 2004, October 27, 2005, December 28, 2013 and on October 26, 2018. Limited liability companies and companies limited by shares established in China shall be subject to the Company Law. Each company has the status of a legal person and owns its own assets. Assets of a company may be used in full for the company’s liability. Foreign-invested companies are also subject to the Company Law, except as otherwise provided in the foreign investment laws including the Law of the PRC on Wholly Foreign-owned Enterprise.
Pursuant to the Law of the PRC on Wholly Foreign-owned Enterprise, which was adopted on April 12, 1986, amended on October 31, 2000 and September 2016, and abolished on January 1, 2020, the establishment and subsequent changes of a wholly foreign-owned enterprise is subject to the approval by the authority in charge of commerce or foreign trade and investment and registration with the relevant administration for industry and commerce. The investor of the wholly foreign-owned enterprise must make payment or subscribe for the registered capital according to its articles of association.
| 108 |
On March 15, 2019, the National People’s Congress approved the Foreign Investment Law, which came into effect on January 1, 2020 and replace the trio of existing laws regulating foreign investment in China, namely, the Sino-foreign Equity Joint Venture Enterprise Law, the Sino-foreign Cooperative Joint Venture Enterprise Law and the Wholly Foreign-invested Enterprise Law, together with their implementation rules and ancillary regulations. The organization form, organization and activities of foreign-invested enterprises shall be governed, among others, by the Company Law and the PRC Partnership Enterprise Law. Foreign-invested enterprises established before the implementation of the Foreign Investment Law may retain the original business organization and so on within five years after the implementation of this law. Foreign investors’ investment, earnings and other legitimate rights and interests within the territory of China shall be protected in accordance with the law, and all national policies on supporting the development of enterprises shall equally apply to foreign-invested enterprises. Among others, the state guarantees that foreign-invested enterprises participate in the formulation of standards in an equal manner and that foreign-invested enterprises participate in government procurement activities through fair competition in accordance with the law. Further, the state shall not expropriate any foreign investment except under special circumstances. In special circumstances, the state may levy or expropriate the investment of foreign investors in accordance with the law for the needs of the public interest. The expropriation and requisition shall be conducted in accordance with legal procedures and timely and reasonable compensation shall be given.
The Foreign Investment Law is formulated to further expand opening-up, vigorously promote foreign investment and protect the legitimate rights and interests of foreign investors. According to the Foreign Investment Law, foreign investments are entitled to pre-entry national treatment and are subject to negative list management system. The pre-entry national treatment means that the treatment given to foreign investors and their investments at the stage of investment access shall not be less favorable than that of domestic investors and their investments. The negative list management system means that the state implements special administrative measures for access of foreign investment in specific fields. The Foreign Investment Law does not mention the relevant concept and regulatory regime of contractual arrangement structures. However, since it is relatively new, uncertainties still exist in relation to its interpretation and implementation.
On December 26, 2019, the State Council promulgated the Implementing Regulations of the Foreign Investment Law of the PRC, or the Implementing Regulations of the Foreign Investment Law, which became effective on January 1, 2020. The Implementing Regulations of the Foreign Investment Law strictly implement the legislative principles and purpose of the Foreign Investment Law, emphasize on promoting and protecting the foreign investment, and refine the specific measures. At the same day, the Supreme People’s Court issued an Interpretation on the Application of the Foreign Investment law, which also came into effect on January 1, 2020. This interpretation shall apply to any contractual dispute arising from the acquisition of the relevant rights and interests by a foreign investor by way of, among other things, gift, division of property, merger of enterprises, or division of enterprises.
Furthermore, foreign investments in China are subject to investment information reporting obligations under the foreign investment laws, which is further stipulated in the Measures for Reporting of Foreign Investment Information, or the Foreign Investment Reporting Measures, that were jointly promulgated by the MOFCOM and the State Administration for Market Regulation on December 30, 2019 and became effective on January 1, 2020. Pursuant to the Foreign Investment Reporting Measures, foreign investors and foreign-invested enterprises are obligated to submit investment information reports in regard with their direct or indirect investment activities in China through the Enterprise Registration System and the National Enterprise Credit Information Publicity System, commencing from January 1, 2020. Such reports include preliminary report relating to establishment, modification report, deregistration report, and annual report.
Negative List of Foreign Investment
The current regulation regime of foreign investment in the PRC, setting aside special arrangements adopted in pilot free trade zones, preliminarily consists of three principal legal documents, i.e. the Catalogue of Industries for Encouraged Foreign Investment (2020 Edition), or the 2020 Encouraged Catalogue, which was promulgated jointly by the Ministry of Commerce and the National Development and Reform Commission (or NDRC), on December 27, 2020 and became effective on January 27, 2021, the Special Administrative Measures for Access of Foreign Investment (Negative List) (2020 Edition), or the 2020 Negative List, which was promulgated jointly by the Ministry of Commerce and the NDRC, on June 24, 2020 and became effective on July 23, 2020, and the Provisions Guiding Foreign Investment Direction, which was promulgated by the State Council on February 11, 2002 and came into effect on April 1, 2002. These three legal documents collectively classify all foreign investment projects into four categories: (1) encouraged projects, (2) permitted projects, (3) restricted projects, and (4) prohibited projects. If the industry in which the investment is to occur falls into the encouraged category, foreign investment, in certain cases, may receive preferential policies or benefits. If it falls into the restricted category, foreign investment may be conducted in accordance with applicable legal and regulatory restrictions. If falls into the prohibited category, foreign investment of any kind will not be allowed.
| 109 |
The 2020 Encouraged Catalogue and the 2020 Negative List govern investment activities in the PRC by foreign investors and classify industries into three categories with regard to foreign investment: “encouraged,” “restricted” and “prohibited.” Industries not listed in the Catalogue are generally deemed as falling into a fourth category, “permitted,” unless specifically restricted by other PRC laws. For some restricted industries, foreign investors can only conduct investment activities through equity or contractual joint ventures, while in other cases PRC partners are required to hold the majority interests in such joint ventures. In addition, some projects in the restricted category are subject to higher-level governmental approvals. Foreign investors are not allowed to invest in industries in the prohibited category.
Regulations Related to Mergers and Acquisitions and Overseas Listings
On August 8, 2006, six PRC governmental and regulatory agencies, including MOFCOM and the China Securities Regulatory Commission, or the CSRC, promulgated the M&A Rules, governing the mergers and acquisitions of domestic enterprises by foreign investors that became effective on September 8, 2006 and was revised on June 22, 2009. The M&A Rules, among other things, requires that offshore special purpose vehicles that are controlled by PRC companies or individuals and that have been formed for overseas listing purposes through acquisitions of PRC domestic interest held by such PRC companies or individuals, to obtain the approval of the CSRC prior to publicly listing their securities on an overseas stock exchange.
Regulation of the Production of Electric Bicycles
On June 24, 2017, the State Council of the PRC issued the Decision on Adjusting the Catalogue for the Administration of Production Permits for Industrial Products and on Trying out the Simplification of Approval Procedures, or the Decision. Pursuant to the Decision, the production license for electric bicycle was cancelled and was changed to implement mandatory product certification management. On July 2, 2018, the Announcement on the Arrangements for the Transfer of Electric Bicycle Products from Licensing to CCC Certification Management or Announcement was jointly promulgated by the State Administration for Market Regulation and the Certification and Accreditation Administration of the PRC, or the CNCA. According to the Announcement, electric bicycle products without CCC certification shall not be delivered, sold, imported or used in other business activities commencing from April 15, 2019. On July 19, 2018, the CNCA issued the Implementation Rules for Compulsory Product Certification of Electric Bicycles (CNCA-C11-16: 2018) which came into effect on August 1, 2018. On June 23, 2021, the CNCA issued the amended Implementation Rules for Compulsory Product Certification of Electric Bicycles (CNCA-C11-16: 2021), which has become effective on July 1, 2021, replacing the Implementation Rules for Compulsory Product Certification of Electric Bicycles (CNCA-C11-16: 2018).
On May 15, 2018, the New National Standards were promulgated by the State Administration for Market Regulation and the National Standardization Management Committee and became effective on April 15, 2019. The New National Standards replace the General Technical Requirements for Electric Bicycles (GB 17761-1999) which were issued on May 28, 1999.
Regulation of the Registration of Electric Bicycles
Pursuant to the Road Traffic Safety Law of the PRC (revised in 2011), a non-motorized vehicle which ought to be lawfully registered shall be deemed street-illegal until it has been registered with the local traffic administrative department. In addition, the categories of such non-motorized vehicles shall be determined by provincial governments in light of their respective actual local situation and shall consist of technical standards in terms of overall weight, braking performance, overall size and reflectors, which all non-motorized vehicles should abide by. Pursuant to the Circular on Strengthening the Management of Electric Bicycles, promulgated on March 18, 2011, any non-compliant vehicle may not be registered as a non-motorized vehicle, which in turn means it shall be deemed street-illegal.
| 110 |
Regulations Relating to Production Safety
Pursuant to the Production Safety Law of the PRC, or the Production Safety Law, which took effect on November 1, 2002 and was amended on August 31, 2014, the entities that are engaged in production and business operation activities must implement national industrial standards which guarantee the production safety and comply with production safety requirements provided by the laws, administrative regulations and national or industrial standards. An entity must take effective measures for safety production, maintain safety facilities, examine the safety production procedures, educate and train employees and take any other measures to ensure the safety of its employees and the public. An entity or its relevant persons-in-charge which has failed to perform such safety production liabilities will be required to make amends within a time limit or face administrative penalties. If it fails to amend within the prescribed time limit, the production and business operation entity may be ordered to suspend business for rectification, and serious violations may result in criminal liabilities.
Regulations Relating to Product Quality
The Product Quality Law of the PRC was promulgated on February 22, 1993, amended on July 8, 2000, August 27, 2009 and December 29, 2018, respectively. The Product Quality Law applies to anyone who manufactures or sells any product within the territory of the PRC. It is prohibited from producing or selling counterfeit products in any form, including counterfeit brands, or providing false information about the product manufacturers. Violation of national or industrial standards may result in civil liability and administrative penalties such as compensation, fines, suspension of business and confiscation of illegal income, and serious violations may result in criminal liabilities.
Regulations Relating to Intellectual Property Rights
Patent
Pursuant to the Patent Law of the PRC, which was promulgated by the Standing Committee of the National People’s Congress on March 12, 1984 and became effective from April 1, 1985, and was most recently amended on October 17, 2020, and became effective on June 1, 2021, patents in China are classified into three categories, namely, inventions, utility models and designs. A patentable invention, utility model or design must meet three conditions: novelty, inventiveness and practical applicability. Patents cannot be granted for scientific discoveries, rules and methods for intellectual activities, methods used to diagnose or treat diseases, animal and plant breeds or substances obtained by means of nuclear transformation. The Patent Office under the China National Intellectual Property Administration is responsible for receiving, examining and approving patent applications. A patent is valid for a twenty-year term for an invention and a ten-year term for a utility model or design, starting from the application date. After the grant of the patent right for an invention or utility model, except where otherwise provided for in the Patent Law of the PRC, no entity or individual may, without the authorization of the patent owner, exploit the patent, that is, make, use, offer to sell, sell or import the patented product, or use the patented process, or use, offer to sell, sell or import any product which is a direct result of the use of the patented process, for production or business purposes. And after a patent right is granted for a design, no entity or individual shall, without the permission of the patent owner, exploit the patent, that is, for production or business purposes, manufacture, offer to sell, sell, or import any product containing the patented design.
Copyright
Pursuant to the Copyright Law of the PRC, which was first promulgated by the Standing Committee of the National People’s Congress on September 7, 1990 and became effective from June 1, 1991, and was last amended on November 11, 2020 and became effective as of June 1, 2021, copyrights include personal rights such as the right of publication and that of attribution as well as property rights such as the right of production and that of distribution. Reproducing, distributing, performing, projecting, broadcasting or compiling a work or communicating the same to the public via an information network without permission from the owner of the copyright therein, unless otherwise provided in the Copyright Law of the PRC, constitute infringements of copyrights. The amended Copyright Law of the PRC extends copyright protection to Internet activities, products disseminated over the Internet and software products. In addition, there is a voluntary registration system administered by the China Copyright Protection Center.
In order to further implement the Computer Software Protection Regulations, promulgated by the State Council on June 4, 1991 and amended on January 30, 2013, the National Copyright Administration issued the Computer Software Copyright Registration Procedures on April 6, 1992 and amended on February 20, 2002, which specify detailed procedures and requirements with respect to the registration of software copyrights. The China Copyright Protection Center shall grant registration certificates to the computer software copyrights applicants which meet the requirements of both the software copyright registration procedures and the computer software protection regulations.
| 111 |
Trademark
Pursuant to the Trademark Law of the PRC, or the Trademark Law, which was first promulgated by the Standing Committee of the National People’s Congress on August 23, 1982 and became effective from March 1, 1983, and was most recently amended on April 23, 2019 and became effective on November 1, 2019, the right to exclusive use of a registered trademark shall be limited to trademarks which have been approved for registration and to goods and/or services for which the use of such trademark has been approved. The period of validity of a registered trademark shall be ten years, counted from the day the registration is approved, and may be renewed for another ten years provided relevant application procedures have been completed within twelvemonths before the end of the validity period. According to this law, using a trademark that is identical to or similar to a registered trademark in connection with the same or similar goods and/or services without the authorization of the owner of the registered trademark constitutes an infringement of the exclusive right to use a registered trademark.
The Implementation Regulation for the Trademark Law promulgated by the State Council came into effect on September 15, 2002 and was further amended on April 29, 2014. Under the Trademark Law and the implementing regulation, the Trademark Office of the State Administration for Market Regulation, or the Trademark Office, is responsible for the registration and administration of trademarks. The Trademark Office handles trademark registrations. As with patents, China has adopted a “first-to-file” principle for trademark registration. If two or more applicants apply for registration of identical or similar trademarks for the same or similar commodities, the application that was filed first will receive preliminary approval and will be publicly announced. A registrant may apply to renew a registration within twelve months before the expiration date of the registration. If the registrant fails to apply in a timely manner, a grace period of six additional months may be granted. If the registrant fails to apply before the grace period expires, the registered trademark shall be deregistered. Renewed registrations are valid for ten years.
In addition to the above, a Trademark Review and Adjudication Board was established for resolving trademark disputes. According to the Trademark Law, within three months since the date of the announcement of a preliminarily validated trademark, if a titleholder is of the view that such trademark in application is identical or similar to its registered trademark for the same type of commodities or similar commodities which violates relevant provisions of the Trademark Law, such titleholder may raise an objection to the Trademark Office within the aforesaid period. In such event, the Trademark Office shall consider the facts and grounds submitted by both the dissenting party and the party being challenged and shall decide on whether the registration is allowed within twelve months upon the expiration of the announcement after investigation and verification, and notify the dissenting party and the person challenged in writing.
Domain Names
Pursuant to the Administrative Measures on Internet Domain Names of China, which was recently amended by the Ministry of Industry and Information Technology on August 24, 2017 and became effective on November 1, 2017, “domain name” shall refer to the character mark of hierarchical structure, which identifies and locates a computer on the internet and corresponds to the internet protocol (IP) address of that computer. The principle of “first come, first serve” is followed for the domain name registration service. Applicants for registration of domain names shall provide the true, accurate and complete information of their identifications to domain name registration service institutions. After completing the domain name registration, the applicant becomes the holder of the domain name registered by him/it. Furthermore, the holder shall pay operation fees for registered domain names on schedule. If the domain name holder fails to pay the corresponding fees as required, the original domain name registrar shall write it off and notify the holder of the domain name in written form.
| 112 |
Regulation of Employment and Social Welfare
Labor Laws
Companies in the PRC are subject to the PRC Labor Law which was promulgated on July 5, 1994, became effective on January 1, 1995 and was further amended on August 27, 2009 and December 29, 2018, PRC Labor Contract Law which was promulgated on June 29, 2007, became effective on January 1, 2008 and was further amended on December 28, 2012, and the Implementation Regulations of the PRC Labor Contract Law which was promulgated by the State Council on September 18, 2008 and became effective on the same date, as well as other related regulations, rules and provisions promulgated by the relevant government authorities from time to time. Compared to previous PRC laws and regulations, the PRC Labor Contract Law imposes stricter requirements in such respects as signing of labor contracts with employees, stipulation of probation period and violation penalties, termination of labor contracts, payment of remuneration and economic compensation, use of labor dispatches as well as social security premiums.
According to the PRC Labor Law and the PRC Labor Contract Law, a labor contract in writing shall be concluded when a labor relationship is to be established between an employer and an employee. An employer shall pay an employee two times of his/her salary for each month in the circumstance where the employer fails to enter a written labor contract with the employee for more than a month but less than a year; where such period exceeds one year, the parities are deemed to have entered an unfixed-term labor contract. Employers shall pay wages that are not lower than the local minimum wage standards to the employees. Employers are also required to establish labor safety and sanitation systems in compliance with PRC rules and standards, and to provide relevant training to the employees.
Social Insurance and Housing Provident Funds
According to the Temporary Regulations on the Collection and Payment of Social Insurance Premium, the Regulations on Work Injury Insurance, the Regulations on Unemployment Insurance and the Trial Measures on Employee Maternity Insurance of Enterprises, enterprises in the PRC must provide beneficial plans for their employees, that include basic pension insurance, unemployment insurance, maternity insurance, work-related injury insurance and medical insurance. An enterprise must also provide social insurance by processing social insurance registration with local social insurance agencies, and must pay or withhold relevant social insurance premiums for or on behalf of the employees. The Law on Social Insurance, which was promulgated on October 28, 2010 and came into effect on July 1, 2011 and was amended on December 29, 2018, regulates basic pension insurance, unemployment insurance, maternity insurance, work injury insurance and medical insurance, and has elaborated in detail the legal obligations and liabilities of employers who do not comply with relevant laws and regulations on social insurance. The Administrative Regulations on the Housing Provident Funds, which was promulgated and came into effect on April 3, 1999, and was amended on March 24, 2002 and March 24, 2019, provides that housing provident fund contributions paid by an individual employee and housing provident fund contributions paid by his or her employer all belong to the individual employee.
Regulation under PRC Securities Law
The PRC Securities Law was promulgated in December 1998 and was subsequently revised in October 2005, June 2013, August 2019 and December 2019. According to Article 177 of the PRC Securities Law, or Article 177, which became effective in March 2020, the securities regulatory authority of the State Council may collaborate with securities regulatory authorities of other countries or regions in order to monitor and oversee cross border securities activities. Article 177 further provides that no overseas securities regulator is allowed to directly conduct investigation or evidence collection activities within the territory of the PRC, and that any Chinese entities and individuals are not allowed to provide documents or materials related to securities business activities to overseas agencies without prior consent of the securities regulatory authority of the State Council and the competent departments of the State Council. While there is no detailed interpretation regarding the rule implementation under Article 177, it will be difficult for an overseas securities regulator to conduct investigation or evidence collection activities in China.
Regulations on Loans to and Direct Investment in the PRC Entities by Offshore Holding Companies
According to the Implementation Regulations on Statistics and Supervision of Foreign Debt promulgated by SAFE on September 24, 1997 and the Interim Measures on the Management of Foreign Debts promulgated by SAFE, the NDRC and the Ministry of Finance of the PRC and effective from March 1, 2003, loans by foreign companies to their subsidiaries in China, which accordingly are FIEs, are considered foreign debt, and such loans must be registered with the local branches of the SAFE. Under the provisions, the total amount of accumulated medium-term and long-term foreign debt and the balance of short-term debt borrowed by a FIE is limited to the difference between the total investment and the registered capital of the foreign invested enterprise.
| 113 |
On January 12, 2017, the PBOC promulgated the Circular of the People’s Bank of China on Matters relating to the Macro-prudential Management of Comprehensive Cross-border Financing, or PBOC Circular 9, which took effect on the same date. The PBOC Circular 9 established a capital or net assets-based constraint mechanism for cross-border financing. Under such mechanism, a company may carry out cross-border financing in Renminbi or foreign currencies at their own discretion. The total cross-border financing of a company shall be calculated using a risk-weighted approach and shall not exceed an upper limit. The upper limit is calculated as capital or assets multiplied by a cross-border financing leverage ratio and multiplied by a macro-prudential regulation parameter.
In addition, according to PBOC Circular 9, as of the date of the promulgation of PBOC Circular 9, a transition period of one year is set for foreign-invested enterprises and during such transition period, FIEs may apply either the current cross-border financing management mode, namely the mode provided by Implementation Rules for the Provisional Regulations on Statistics and Supervision of Foreign Debt and the Interim Provisions on the Management of Foreign Debts, or the mode in this PBOC Circular 9 at its sole discretion. After the end of the transition period, the cross-border financing management mode for FIEs will be determined by the People’s Bank of China and SAFE after assessment based on the overall implementation of this PBOC Circular 9. However, although the transitional period ended on January 10, 2018, as of the date of this prospectus, neither PBOC nor SAFE has issued any new regulations regarding the appropriate means of calculating the maximum amount of foreign debt for foreign-invested enterprises. Domestic-invested enterprises, have only been subject to the net assets limit in calculating the maximum amount of foreign debt they may hold from the date of promulgation of PBOC Circular 9.
Laws and Regulations on the Protection of Consumer Rights and Interests
Business operators in the business of supplying and selling manufactured goods or services to consumers, shall comply with the Law of the PRC on the Protection of Consumer Rights and Interests, or the Consumer Rights Protection Law, promulgated by the Standing Committee of the National People’s Congress on October 31, 1993, and effective as of January 1, 1994, and revised on August 27, 2009 and October 25, 2013.
According to the Consumer Rights Protection Law, business operators must ensure that the goods or services provided by them meet the requirements for safeguarding personal and property safety. For goods and services that may endanger personal and property safety, consumers should be provided with a true description and an explicit warning, as well as a description and indication of the proper way to use the goods or accept the services and the methods of preventing the occurrence of a hazard. If the goods or services provided by the business operators cause personal injuries to consumers or third parties, the business operators shall compensate the injured parties for their losses.
Laws on Contracts
On May 28, 2020, the Civil Code of the PRC was issued by the National People’s Congress and became effective on January 1, 2021 and replaced the General Principles of the Civil Law of the PRC, the Security Law of the PRC, the Contract Law of the PRC, the Real Right Law of PRC, the General Rules of the Civil Law of the PRC and several other basic civil laws in the PRC. Under the Civil Code of the PRC, a natural person, legal person or other legally established organization shall have full capacity of civil right and civil conduct in order to enter into a valid contract. Except as otherwise required by other laws and regulations, the formation, validity, performance, modification, assignment, termination, and liability for breach of a contract are governed by the Civil Code of the PRC. A contracting party who fails to perform or fails to fulfill its contractual obligation shall bear the responsibility of a continued duty to perform or to provide remedies and compensation as provided by PRC laws.
Standardization Law of the People’s Republic of China
Standardization Law of the People’s Republic of China was passed by the fifth session of the Standing Committee of the Seventh National People’s Congress on December 29, 1988, and revised on November 4, 2017. This law is formulated for the purposes of enhancing standardization work, promoting scientific and technological advancement, improving the quality of products and services, safeguarding personal health and life and property security, protecting state security and ecological environmental security, raising the level of economic and social development. This law applies to technical requirements that need to be unified for agricultural field, industrial field, service industry, social undertakings industry, and others. Enterprises which manufacture, sell, import products or provide services that fail to meet the mandatory standards, and enterprises which manufacture products or provide services that fail to meet the technical requirements under their publicized standardization, shall undertake civil liabilities.
Regulations of the People’s Republic of China on Certification and Accreditation
Regulations of the People’s Republic of China on Certification and Accreditation became effective as of September 3, 2003, and was revised on February 6, 2016 and November 29, 2020. This regulation is formulated for the purposes of standardizing certification and accreditation, improving the quality of products and services and management standard. This regulation applies to all certification agencies, certification services and accreditation services in the PRC, excluding certification on quality management standardization of enterprises engaging in pharmaceutical productions and/or operations, certification on quality of laboratory animals, certification of military products, accreditation on laboratories and personnel engaging in the calibration and testing of military products.
| 114 |
Directors and Executive Officers
The following table sets forth information regarding our executive officers and directors as of the date of this prospectus:
| Directors and Executive Officers | Age | Position/Title | ||
| Jing-Bin Chiang | 54 | Chairman, Chief Executive Officer and Director | ||
| Wan-Tzu Chen | 54 | Chief Financial Officer | ||
| Ting-Pang Sung | 65 | Director | ||
| Ching-Chou Huang | 63 | Independent Director | ||
| Shen-Huei Wang | 65 | Independent Director | ||
| Ping-Hong Lin | 61 | Independent Director |
| * | Each of Mr. Ching-Chou Huang, Mr. Shen-Huei Wang and Mr. Ping-Hong Lin has accepted our appointment to be our independent director, effective upon the SEC’s declaration of effectiveness of our registration statement on Form F-1, of which this prospectus is a part. |
Jing-Bin Chiang has been appointed as our Chief Executive Officer since May 2016 and as our Chairman of the Board since July 2021. Prior to that, Mr. Chiang had been acting as representative of one of our former corporate directors as Chairman from February 2017 to July 2021. For our subsidiary TW YMA, Mr. Chiang has been serving as the chairman of the board since its incorporation date. Mr. Chiang is responsible for the overall strategic planning, corporate management and business development of our day-to-day operation as well as the overall accounting management. Mr. Chiang has approximately 18 years of experience in the composite material application industry. From November 2003 to August 2009, Mr. Chiang worked as chief financial officer and vice president in finance in LCY Elastomers LP, a thermoplastic rubber manufacturer with factory in Houston. From September 2010 to February 2015, Mr. Chiang worked as vice president in Coretronic Corporation (TWO: 5371), a company which develops, manufactures and markets liquid crystal display (LCD). Mr. Chiang received a bachelor’s degree in business administration from Tunghai University in Taiwan in June 1990 and a master’s degree in Accountancy and Financial Information System from Cleveland State University in the United States in March 1995. Mr. Chiang has been admitted as a certified public accountant of Washington State Board of Accountancy since February 1997. Mr. Chiang has also been admitted as a certified internal auditor of The Institute of Internal Auditors since May 2000.
Wan-Tzu Chen has been serving as our Chief Financial Officer since August 2021. Ms. Chen has over 25 years of professional experience in accounting and auditing. Prior to that, Ms. Chen has been acting as sole practitioner in JunYue CPA Firm since March 2013. From July 1994 to August 1995, Ms. Chen served as an auditor in PwC Taiwan. From August 1996 to February 2013, Ms. Chen served as financial controller in Per Aarsleff A/S (CPH: PAAL-B), a Danish civil engineering and construction company, in Taiwan. Ms. Chen obtained her bachelor’s degree in accounting from Tunghai University in Taiwan in June 1990 and master’s degree in accountancy and financial information systems from Cleveland State University in December 1992. Ms. Chen also received her master’s degree of science in finance from Temple University in August 1994 and master’s degree in law from Tunghai University in Taiwan in June 2009. Ms. Chen also obtained her master’s degree in law from University of Washington in June 2018. Ms. Chen has been admitted as a certified public accountant in Illinois, the U.S. in February 1994 and in Taiwan in September 2005. Ms. Chen has also been admitted as an attorney in Washington, the U.S., in June 2020.
Ting-Pang Sung has been serving as our Director since July 2021. Mr. Sung is responsible for our formulation of business strategies and supervision on daily operation. Mr. Sung holds various management positions in different companies, and among others, he served as the Methanol/Solvent Business Unit Vice President of LCY Chemical Corp., a company engaged in manufacturing various chemical products, including but not limited to TPE and copper foil, from May 2012 to November 2016, and has subsequently been serving as the Performance Plastics Business Unit Senior Vice President since November 2016. He has been serving as the director of LCY Technology Corp. (TW: 4989), a company engaging in the manufacturing of copper foil used in electronic products, such as computer, since June 2020. Mr. Sung has also been serving as a director of Global Rubber Corp., a company engaging in the manufacture and export of conveyor belts, transmission belts and rubber hoses, since December 2019. He served as a chairman of Zhenjiang LCY Warehousing & Storage Co., Ltd., a company providing import or export storage, blending packaging and transportation services from August 2015 to February 2017, and has subsequently been serving as a director since then. From August 2015 to February 2017, Mr. Sung also served as a chairman of Zhenjiang Lee Chang Yung General Chemical Co., Ltd, a company engaging in the manufacture and distribution of chemical products, and has then been serving as a director since February 2017. Mr. Sung received a bachelor’s degree of science from Tamkang University in June 1982 and an executive master of business administration from National Chengchi University in March 2012.
| 115 |
Ching-Chou Huang has been serving as our independent Director since February 2017 and will be the chairman of the compensation committee and nominating and corporate governance committee effective upon the SEC’s declaration of effectiveness of our registration statement on Form F-1. Since June 2015, Mr. Huang has been serving as the Chairman of Young Optics, Inc. (TW: 3504), a company which develops, designs and retails optical engineering parts. From November 2008 to November 2013, Mr. Huang served as the director of Chung Tsen Investment Corp., an investment company, and he subsequently served as the chairman from November 2013 to June 2020. From February 2011 to June 2020, he also served as a director of Coretronic Venture Capital Co., Ltd. an investment company. Mr. Huang is a graduate of Chien Hsin University of Science and Technology (formerly known as Chien Hsin Industrial Specialized Private School) in electrical engineering in June 1978 and he also obtained a master’s degree in industrial engineering from National Tsing Hua University in January 2005.
Shen-Huei Wang has been serving as our independent Director since February 2017 and will be the chairman of the audit committee effective upon the SEC’s declaration of effectiveness of our registration statement on Form F-1. Since June 2020, Mr. Wang has been serving as an independent director of Welldone Company (TWO: 6170), a company engaging in foreign workers’ internet fund transfers and shopping services, including pre-paid phone card and wifi machine leasing service at the airport. From October 2001 to May 2016, Mr. Wang worked as general manager in the assets management department of Coretronic Corporation, a company providing innovative display solution. Mr. Wang received a bachelor’s degree in electrical engineering from National Taiwan University in June 1977 and a master’s degree in science from Virginia Polytechnic Institute and State University in December 1981.
Ping-Hong Lin will serve as our independent Director effective upon the SEC’s declaration of effectiveness of our registration statement on Form F-1. Since February 2012, Mr. Lin has been serving as the general manager of Taiwan Copper Foils Co., Ltd., an electrodeposited copper foil manufacturer to supply for the printed circuit board industry. Mr. Lin served as finance manager in Qatar Fuel Additives Co., Ltd., a company engaged in production and export of methanol and other chemicals. Mr. Lin obtained a master of business administration from the University of Akron in January 1991.
Family Relationships
There is no family relationship among any of our directors or executive officers.
Employment Agreements, Director Agreements and Indemnification
We have entered into employment agreements with each of our executive officers. Under these agreements, each of our executive officers is employed for an initial term of three year. The executive officers are entitled to a fixed salary and other company benefits, each as determined by the Board from time to time. We may terminate an executive officer’s employment under Cayman Law and under other applicable laws and regulations.
Each executive officer has agreed to hold, at all times during and after the termination or expiry of his or her employment agreement, in strict confidence and not to use, except as required in the performance of his or her duties in connection with the employment or pursuant to applicable law, any of our confidential information, or the confidential or proprietary information disclosed to the executive officer by or obtained by the executive officer from us either directly or indirectly in writing, orally or otherwise, if specifically indicated to be confidential or reasonably expected to be confidential.
| 116 |
We have also entered into director agreements with each of our directors which agreements set forth the terms and provisions of their engagement.
Under the employment agreements and director agreements, we have agreed to indemnify our directors and executive officers against certain liabilities and expenses incurred by such persons in connection with claims made by reason of their being a director or officer of our company.
Board of Directors
Duties of Directors
Under Cayman Islands law, our board of directors has the powers necessary for managing, and for directing and supervising, our business affairs. The functions and powers of our board of directors include, among others:
| ● | convening shareholders’ annual and extraordinary general meetings and reporting its work to shareholders at such meetings; | |
| ● | declaring dividends and distributions; | |
| ● | appointing officers and determining the term of office of the officers; | |
| ● | exercising the borrowing powers of our company and mortgaging the property of our company; and | |
| ● | approving the transfer of shares in our company, including the registration of such shares in our share register. |
Under Cayman Islands law, directors owe the following fiduciary duties: (i) duty to act in good faith in what the director believes to be in the best interests of the company as a whole; (ii) duty to exercise powers for the purposes for which those powers were conferred and not for a collateral purpose; (iii) directors should not improperly fetter the exercise of future discretion; (iv) duty not to put themselves in a position in which there is a conflict between their duty to the company and their personal interests; and (v) duty to exercise independent judgment. In addition to the above, directors also owe a duty to act with skill, care and diligence. This duty has been defined as a requirement to act as a reasonably diligent person having both the general knowledge, skill and experience that may reasonably be expected of a person carrying out the same functions as are carried out by that director in relation to the company and the general knowledge skill and experience which that director has. As set out above, directors have a duty not to put themselves in a position of conflict and this includes a duty not to engage in self-dealing, or to otherwise benefit as a result of their position. However, in some instances what would otherwise be a breach of this duty can be forgiven and/or authorized in advance by the shareholders provided that there is full disclosure by the directors. This can be done by way of permission granted in the amended and restated memorandum and articles of association or alternatively by shareholder approval at general meetings. You should refer to “Description of Securities—Differences in Corporate Law” for additional information on our standard of corporate governance under Cayman Islands law.
Composition of our Board of Directors
Our board of directors will consist of five (5) directors upon the SEC’s declaration of effectiveness of our registration statement on Form F-1, of which this prospectus is a part. A director is not required to hold any shares in our Company to qualify to serve as a director. Subject to making appropriate disclosures to the board of directors in accordance with our post-offering amended and restated memorandum and articles of association, a director may vote with respect to any contract, proposed contract, or arrangement in which he or she is interested, in voting in respect of any such matter, such director should take into account his or her directors duties. A director may exercise all the powers of the company to borrow money, mortgage its business, property and uncalled capital, and issue debentures or other securities whenever money is borrowed or as security for any obligation of the company or of any third party.
| 117 |
Committees of the Board of Directors
We plan to establish an audit committee, a compensation committee and a nominating and corporate governance committee under the board of directors upon the effectiveness of the registration statement of which this prospectus forms a part. We will adopt a charter for each of the three committees. Each committee’s members and functions are described below.
Audit Committee. Our audit committee will consist of Ching-Chou Huang, Shen-Huei Wang and Ping-Hong Lin and will be chaired by Shen-Huei Wang. We have determined that each of these director nominees satisfies the “independence” requirements of the Nasdaq Listing Rules and meet the independence standards under Rule 10A-3 under the Exchange Act. We have determined that Ping-Hong Lin qualifies as an “audit committee financial expert.” The audit committee oversees our accounting and financial reporting processes and the audits of our financial statements. The audit committee is responsible for, among other things:
| ● | selecting the independent registered public accounting firm and pre-approving all auditing and non-auditing services permitted to be performed by the independent registered public accounting firm; | |
| ● | reviewing with the independent registered public accounting firm any audit problems or difficulties and management’s response; | |
| ● | reviewing and approving all proposed related party transactions, as defined in Item 404 of Regulation S-K under the Securities Act; | |
| ● | discussing the annual audited financial statements with management and the independent registered public accounting firm; | |
| ● | reviewing the adequacy and effectiveness of our accounting and internal control policies and procedures and any special steps taken to monitor and control major financial risk exposures; | |
| ● | annually reviewing and reassessing the adequacy of our audit committee charter; | |
| ● | meeting separately and periodically with management and the independent registered public accounting firm; | |
| ● | monitoring compliance with our code of business conduct and ethics, including reviewing the adequacy and effectiveness of our procedures to ensure proper compliance; and | |
| ● | reporting regularly to the board. |
Compensation Committee. Our compensation committee will consist of Ching-Chou Huang, Shen-Huei Wang and Ping-Hong Lin, and will be chaired by Ching-Chou Huang. We have determined that each of these directors satisfies the “independence” requirements of the Nasdaq Listing Rules. The compensation committee assists the board in reviewing and approving the compensation structure, including all forms of compensation, relating to our directors and executive officers. Our chief executive officer may not be present at any committee meeting during which their compensation is deliberated upon. The compensation committee is responsible for, among other things:
| ● | reviewing and approving, or recommending to the board for its approval, the compensation for our chief executive officer and other executive officers; | |
| ● | reviewing and recommending to the board for determination with respect to the compensation of our non-employee directors; | |
| ● | reviewing periodically and approving any incentive compensation or equity plans, programs or other similar arrangements; and | |
| ● | selecting compensation consultant, legal counsel or other adviser only after taking into consideration all factors relevant to that person’s independence from management. |
| 118 |
Nominating and Corporate Governance Committee. Our nominating and corporate governance committee will consist of Ching-Chou Huang, Shen-Huei Wang and Ping-Hong Lin and will be chaired by Ching-Chou Huang. We have determined that each of these directors satisfies the “independence” requirements of the Nasdaq Listing Rules. The nominating and corporate governance committee assists the board in selecting individuals qualified to become our directors and in determining the composition of the board and its committees. The nominating and corporate governance committee is responsible for, among other things:
| ● | recommending nominees to the board for election or re-election to the board, or for appointment to fill any vacancy on the board; | |
| ● | reviewing annually with the board the current composition of the board with regards to characteristics such as independence, knowledge, skills, experience, expertise, diversity and availability of service to us; | |
| ● | selecting and recommending to the board the names of directors to serve as members of the audit committee and the compensation committee, as well as of the nominating and corporate governance committee itself; | |
| ● | developing and reviewing the corporate governance principles adopted by the board and advising the board with respect to significant developments in the law and practice of corporate governance and our compliance with such laws and practices; and | |
| ● | evaluating the performance and effectiveness of the board as a whole. |
Terms of Directors and Officers
Our board of directors is divided into three classes with only one class of directors being elected in each year and each class (except for those directors appointed prior to our first annual meeting of shareholders) serving a three-year term. The term of office of the first class of directors, consisting of Ching-Chou Huang, will expire at our first annual meeting of shareholders. The term of office of the second class of directors, consisting of Shen-Huei Wang and Ping-Hong Lin, will expire at the second annual meeting of shareholders. The term of office of the third class of directors, consisting of Jing-Bin Chiang and Ting-Pang Sung, will expire at the third annual meeting of shareholders.
Our officers are elected by the board of directors and serve at the discretion of the board of directors, rather than for specific terms of office. Our board of directors is authorized to appoint persons to the offices set forth in our post-offering amended and restated memorandum and articles of association as it deems appropriate.
Compensation of Directors and Executive Officers
For the years ended December 31, 2019 and 2020, we paid an aggregate of $381,241 and $472,181, respectively, and for the six months ended June 30, 2020 and 2021, we paid an aggregate of $191,138 and $271,687, respectively, in cash and benefits in-kind granted to or accrued on behalf of all of our directors and members of senior management for their services, in all capacities, and we did not pay any additional compensation to our directors and members of senior management. We have not set aside or accrued any amount to provide pension, retirement or other similar benefits to our executive officers and directors. Our PRC subsidiaries are required by law to make contributions equal to certain percentages of each full-time employee’s salary for his or her pension insurance, medical insurance, unemployment insurance, work-related injury insurance and maternity insurance and a housing provident fund.
Equity Compensation Plan Information
We have not adopted any equity compensation plans.
| 119 |
Outstanding Equity Awards at Fiscal Year-End
On August 28, 2020, New Moon Corporation (“New Moon”), a shareholder of the Company, an employee of the Company and the Company signed a tripartite talent award agreement. Under the agreement, the Company provides NT$10,000,000 (US$327,600) to the employee for the purchase of 1,000,000 shares of the Company owned by New Moon at NT$10 per share. The employee should return the payment to the Company if the acquisition of the shares could not be completed in thirty days after the payment. Also, the employee should return the shares to New Moon if the employee resigned within five years from the date of the agreement. New Moon should also return the consideration received from the employee to the Company.
The aforementioned bonus shares settled by a shareholder of the Company cannot be transferred during the vesting period, but voting right and dividend right are not restricted. The employee is required to return the shares to the shareholder but not required to return the dividends received if she resigns during the vesting period.
The Company accounted for the shares contributed by New Moon as share-based payment arrangement settled by equity. The NT$10,000,000 (US$327,600) contributed by the Company is accounted for as prepaid cash incentive to the employee and is amortized over the contract period which is five years.
| 120 |
The following table sets forth information regarding the beneficial ownership of our ordinary shares as of the date of this prospectus by our officers, directors, and 5% or greater beneficial owners of ordinary shares. There is no other person or group of affiliated persons known by us to beneficially own more than 5% of our ordinary shares. The following table assumes that none of our officers, directors or 5% or greater beneficial owners of our ordinary shares will purchase shares in this offering. In addition, the following table assumes that the over-allotment option has not been exercised. Holders of our ordinary shares are entitled to one (1) vote per share and vote on all matters submitted to a vote of our shareholders, except as may otherwise be required by law.
We have determined beneficial ownership in accordance with the rules of the SEC. These rules generally attribute beneficial ownership of securities to persons who possess sole or shared voting power or investment power with respect to those securities. The person is also deemed to be a beneficial owner of any security of which that person has a right to acquire beneficial ownership within 60 days. Unless otherwise indicated, the person identified in this table has sole voting and investment power with respect to all shares shown as beneficially owned by him, subject to applicable community property laws. Unless otherwise noted, the business address for each of our directors and executive officers is 7F-1, No. 633, Sec. 2, Taiwan Blvd., Xitun District, Taichung City407, Taiwan (R.O.C.).
Ordinary Shares Beneficially Owned Prior to The Offering(1) | Ordinary Shares Beneficially Owned After The Offering(2) | |||||||||||||||
| Name of Beneficial Owners | Number | % | Number | % | ||||||||||||
| Directors, Executive Officers and over 5% Shareholders: | ||||||||||||||||
Chiang Jing-Bin(3) | 8,468,310 | 38.68 | [●] | [●] | ||||||||||||
| Sung Ting-Pang | - | - | [●] | [●] | ||||||||||||
| Chen Wan-Tzu | - | - | [●] | [●] | ||||||||||||
Huang Ching-Chou | - | - | [●] | [●] | ||||||||||||
| Wang Shen-Huei | - | - | [●] | [●] | ||||||||||||
| Lin Ping-Hong | - | - | [●] | [●] | ||||||||||||
| NEW MOON CORPORATION(4) | 6,789,017 | 31.01 | [●] | [●] | ||||||||||||
Lee Bo-Wei(5) | 4,210,929 | 19.23 | [●] | [●] | ||||||||||||
| RADIANT FAITH LIMITED(6) | 3,750,000 | 17.13 | [●] | [●] | ||||||||||||
| STAR CENTURION LIMITED(7) | 2,388,660 | 10.91 | [●] | [●] | ||||||||||||
| Barium Glory Financial Ltd.(8) | 2,084,513 | 9.52 | [●] | [●] | ||||||||||||
* Less than 1%
| (1) | Applicable percentage of ownership is based on 21,892,899 ordinary shares outstanding as of the date of this prospectus. |
| (2) | Applicable percentage of ownership is based on [●] ordinary shares outstanding immediately after the offering. |
| (3) | Chiang Jing-Bin is the sole shareholder of NEW MOON CORPORATION and holds the voting and dispositive power over the ordinary shares held by such entity. Chiang Jing-Bin also directly holds 1,679,293 ordinary shares of J-Star. |
| 121 |
| (4) | The registered address of NEW MOON CORPORATION, a British Virgin Islands company, is OMC Chambers, Wickhams Cay 1, Road Town, Tortola, British Virgin Islands. 6,789,017 ordinary shares directly held by NEW MOON CORPORATION of which Chiang Jing-Bin is the sole shareholder and holds the voting and dispositive power over the ordinary shares held by such entity. |
| (5) | Lee Bo-Wei is the sole shareholder of Barium Glory Financial Ltd., which directly holds 2,084,513 shares of J-Star, and he holds the voting and dispositive power over the ordinary shares held by such entity. Lee Bo-Wei is also the sole shareholder of Sendai Investments Company Inc., which directly holds 876,416 ordinary shares of J-Star, and he holds the voting and dispositive power over the ordinary shares held by such entity. Lee Bo-Wei also directly holds 1,250,000 ordinary shares of J-Star. |
| (6) | The registered address of RADIANT FAITH LIMITED, a Samoa company, is Offshore Chambers, P.O. Box 217, Apia, Samoa. 3,750,000 ordinary shares directly held by RADIANT FAITH LIMITED of which Chiang Yu-Ning is the sole shareholder and holds the voting and dispositive power over the ordinary shares held by such entity. |
| (7) | The registered address of STAR CENTURION LIMITED, a Republic of Seychelles company, is P.O. Box 1239, Offshore Incorporations Centre, Victoria, Maché, Republic of Seychelles. 2,388,660 ordinary shares directly held by STAR CENTURION LIMITED of which Yu Li-Hsin is the sole shareholder and holds the voting and dispositive power over the ordinary shares held by such entity. |
| (8) | The registered address of Barium Glory Financial Ltd., a British Virgin Islands company, is Nerine Chambers, P.O. Box 905, Road Town, Tortola, British Virgin Islands. 2,084,513 ordinary shares directly held by Barium Glory Financial Ltd. of which Lee Bo-Wei is the sole shareholder and holds the voting and dispositive power over the ordinary shares held by such entity. |
| 122 |
Transactions with Certain Related Parties
Set forth below are our related party transactions that occurred since the beginning of our preceding two fiscal years up to the date of December 31, 2020 and from January 1, 2021 to June 30, 2021. The “related party transactions” are transactions identified in accordance with the rules prescribed under Part I, Item 7B of Form 20-F.
Under Part I, Item 7B of Form 20-F, the Company is required to disclose any transaction occurring since the beginning of the Company’s preceding two financial years, with respect to transactions or loans between the Company and (a) enterprises that directly or indirectly through one or more intermediaries, control or are controlled by, or are under common control with, the Company; (b) associates; (c) individuals owning, directly or indirectly, an interest in the voting power of the Company that gives them significant influence over the Company, and close members of any such individual’s family; (d) key management personnel, that is, those persons having authority and responsibility for planning, directing and controlling the activities of the Company, including directors and senior management of companies and close members of such individuals’ families; and (e) enterprises in which a substantial interest in the voting power is owned, directly or indirectly, by any person described in (c) or (d) or over which such a person is able to exercise significant influence.
Before the completion of this offering, we intend to adopt an audit committee charter, which will require the committee to review all related party transactions on an ongoing basis and all such transactions be approved by the audit committee. In determining whether to approve a related party transaction, the audit committee shall consider, among other factors, the following factors to the extent relevant to the related party transaction:
| ● | whether the terms of the related party transaction are fair to the Company and on the same basis as would apply if the transaction did not involve a related party; | |
| ● | whether there are business reasons for the Company to enter into the related party transaction; | |
| ● | whether the related party transaction would impair the independence of an outside director; | |
| ● | whether the related party transaction would present an improper conflict of interest for any director or executive officer of the Company, taking into account the size of the transaction, the overall financial position of the director, executive officer or the related party, the direct or indirect nature of the director’s, executive officer’s or the related party’s interest in the transaction and the ongoing nature of any proposed relationship, and any other factors the audit committee deems relevant; and | |
| ● | any pre-existing contractual obligations. |
| 123 |
During the years ended December 31, 2019 and 2020 and from January 1, 2021 to June 30, 2021, we had the following material related party transactions:
For the years ended December 31, | For the six month ended June 30, | |||||||||||||
| Related Parties | Nature | 2019 | 2020 | 2021 | ||||||||||
| New Moon Corporation | Interest expense from a related party loan | $ | 138,682 | $ | 102,337 | $ | - | |||||||
| Key management including Chiang, Jing-Bin and Chiang, Yu-Ning | Interest expense from a related party loan | $ | 189,177 | $ | 203,900 | $ | 4,085 | |||||||
| Key management including Chiang, Jing-Bin and Chiang, Yu-Ning | Compensation including salaries and other short-term benefits, post-employment benefits and share-based payment | $ | 381,241 | $ | 472,181 | $ | 271,687 | |||||||
As of December 31, 2019 and 2020 and June 30, 2021, we had the following material related party balances:
| As of December 31, | As of June 30, | |||||||||||
| 2019 | 2020 | 2021 | ||||||||||
| Amounts due from related parties-current | ||||||||||||
| New Moon Corporation | $ | 1,800 | $ | - | $ | - | ||||||
| Bohong Technology Jiangsu Co., Ltd | $ | 48,030 | $ | - | $ | - | ||||||
| Total | $ | 49,830 | $ | - | $ | - | ||||||
| Amounts due to related parties - current | ||||||||||||
| Key management including Chiang, Jing-Bin and Chiang, Yu-Ning | $ | 1,723,440 | $ | 442,473 | $ | - | ||||||
| New Moon Corporation | $ | 202,800 | $ | - | $ | - | ||||||
| Total | $ | 1,926,240 | $ | 442,473 | $ | - | ||||||
| Amounts due to related parties - non-current | ||||||||||||
| Key management including Chiang, Jing-Bin and Chiang, Yu-Ning | $ | 645,369 | $ | - | $ | - | ||||||
| New Moon Corporation | $ | 1,280,220 | $ | - | $ | - | ||||||
| Total | $ | 1,925,589 | $ | - | $ | - | ||||||
| Endorsements and guarantees provided by related parties: | ||||||||||||
| Key management including Chiang, Jing-Bin and Chiang, Yu-Ning | $ | 647,000 | $ | 6,756,265 | $ | 8,851,824 | ||||||
| Total | $ | 647,000 | $ | 6,756,265 | $ | 8,851,824 | ||||||
Share Based Payment
a) For the year ended December 31, 2020, the Group’s share-based payment arrangements was as follows:
| Quantity granted | Fair value | Contract | Vesting | |||||||
| Type of arrangement | Grant date | (shares) | per unit | period | conditions | |||||
| Bonus shares | August 28, 2020 | 1,000,000 | 1.02 | 5 years | 5 years’ service |
| 124 |
On August 28, 2020, New Moon, a shareholder of the Company, an employee of the Company and the Company signed a tripartite talent award agreement. Under the agreement, the Company provides NT$10,000,000 (US$327,600) to the employee for the purchase of 1,000,000 shares of the Company owned by New Moon at NT$10 per share. The employee should return the payment to the Company if the acquisition of the shares could not be completed in thirty days after the payment. Also, the employee should return the shares to New Moon if the employee resigned within five years from the date of the agreement. New Moon should also return the consideration received from the employee to the Company.
The aforementioned bonus shares settled by a shareholder of the Company cannot be transferred during the vesting period, but voting right and dividend right are not restricted. The employee is required to return the shares to the shareholder but not required to return the dividends received if she resigns during the vesting period.
The Company accounted for the shares contributed by New Moon as share-based payment arrangement settled by equity. The NT$10,000,000 (US$327,600) contributed by the Company is accounted for as prepaid cash incentive to the employee and is amortized over the contract period which is five years.
b) The expenses incurred on share-based payment transactions for the year ended December 31, 2020 was $46,944.
Share Swap
On December 25, 2020, the Board of Directors resolved to issue 838,053 shares (3.4% of the total ordinary share capital issued) of the treasury shares repurchased in 2019 (with book value of $1,344,734) to the shareholders of Bohong Technology to obtain 100% of its ordinary shares through a share swap. On December 30, 2020, the Group signed the share swap agreement with the shareholders of Bohong Technology. The ordinary shares issued have the same rights as other shares in issue. Bohong Technology was a company that only held land use right without any operation, did not have an organized workforce and manufacturing equipment. As a result, the Group treated this transaction as an asset acquisition. The fair value of the land use right amounted to $1,415,559. As of December 31, 2020 and June 30, 2021, the issued shares were shown as other non-current assets as long-term prepayments for investments since the share swap registration of the shareholders of Bohong Technology was not yet completed. The shareholder registration was completed and approved by relevant government authority on December 7, 2021.
| 125 |
We are an exempted company with limited liability incorporated under the laws of the Cayman Islands and our affairs are governed by our memorandum and articles of association, as amended from time to time and the Companies Act, and the common law of the Cayman Islands.
The share capital of the Company consists of ordinary shares. As of the date hereof, our authorized share capital is US$12,600,000 divided into 35,000,000 ordinary shares of par value US$0.36 each. As of the date of this prospectus, ordinary shares were issued and outstanding. We will issue ordinary shares in this offering. The following are summaries of material provisions of our [post-offering] amended and restated memorandum and articles of association (which will become effective immediately prior to completion of this offering) and the Companies Act insofar as they relate to the material terms of our ordinary shares.
Ordinary Shares
General. Upon the completion of this offering, our authorized share capital is US$[●] divided into [●] ordinary shares of par value US$[●] each and [●] shares of a par value of US$[●] each of such class (however designated) as our board of directors may determine in accordance with our [post-offering] amended and restated articles of association. All of our outstanding ordinary shares are fully paid and non-assessable. Certificates representing the ordinary shares are issued in registered form. Our shareholders, whether or not they are non-residents of the Cayman Islands, may freely hold and transfer their ordinary shares in accordance with our [post-offering] amended and restated memorandum and articles of association.
Dividends. The holders of our ordinary shares are entitled to such dividends as may be declared by our board of directors. Our [post-offering] amended and restated articles of association provide that our board of directors may declare and pay dividends if justified by our financial position and permitted by law.
Voting Rights. Holders of our ordinary shares vote on all matters submitted to a vote of our shareholders, except as may otherwise be required by law. In respect of matters requiring shareholders’ vote, each ordinary share is entitled to one vote. At any general meeting a resolution put to the vote of the meeting shall be decided on a show of hands unless voting by poll is required by Nasdaq rules or demanded by the chairman of the meeting or by shareholder(s) together holding not less than 10% of the total voting rights of all our shareholders having the right to vote at such general meeting. A quorum required for a meeting of shareholders consists of one shareholder who holds at least one-third of our issued voting shares. Shareholders’ meetings may be held annually. Each general meeting, other than an annual general meeting, shall be an extraordinary general meeting. Extraordinary general meetings may be called by a majority of our board of directors or upon a requisition of any one or more shareholders holding at the deposit of the requisition not less than 10% of the aggregate share capital of our company that carries the right to vote at a general meeting, in which case on advance notice of at least 7 clear days is required for the convening of our annual general meeting and other general meetings by requisition of our shareholders.
Any ordinary resolution to be made by the shareholders requires the affirmative vote of a simple majority of the votes attaching to the ordinary shares cast in a meeting, while a special resolution requires the affirmative vote of no less than two-thirds of the votes attaching to the ordinary shares cast in a meeting.
A special resolution will be required for important matters such as amending our memorandum and articles of association or changing the name.
There are no limitations on non-residents or foreign shareholders in the memorandum and articles of association to hold or exercise voting rights on the ordinary shares imposed by foreign law or by the charter or other constituent document of our company. However, no person will be entitled to vote at any general meeting or at any separate meeting of the holders of the ordinary shares unless the person is registered as of the record date for such meeting and unless all calls or other sums presently payable by the person in respect of ordinary shares in the Company have been paid.
Winding Up; Liquidation. Upon the winding up of our company, after the full amount that holders of any issued shares ranking senior to the ordinary shares as to distribution on liquidation or winding up are entitled to receive has been paid or set aside for payment, the holders of our ordinary shares are entitled to receive any remaining assets of the Company available for distribution as determined by the liquidator.
| 126 |
Calls on Ordinary Shares and Forfeiture of Ordinary Shares. Our directors may from time to time make calls on our shareholders in respect of any moneys unpaid on their shares including any premium in a notice served to such shareholders at least 14 clear days prior to the specified time of payment. Any ordinary shares that have been called upon and remain unpaid are subject to forfeiture.
Redemption of Ordinary Shares. The Companies Act and our [post-offering] amended and restated memorandum and articles permit us to purchase our own shares. In accordance with our [post-offering] amended and restated articles of association, provided the necessary shareholders or board approval have been obtained and requirements under the Companies Act have been satisfied, we may issue shares on terms that are subject to redemption at our option on such terms and in such manner as may be determined by our board of directors.
Inspection of Books and Records. Holders of our ordinary shares have no general right under our [post-offering] amended and restated articles of association to inspect or obtain copies of our list of shareholders or our corporate records. However, we will provide our shareholders with annual audited financial statements. See “Where You Can Find Additional Information.”
Issuance of Additional Shares. Our [post-offering] amended and restated memorandum and articles of association authorize our board of directors to issue additional ordinary shares from time to time as our board of directors shall determine, to the extent of available authorized but unissued shares. Issuance of these shares may dilute the voting power of holders of ordinary shares.
Anti-Takeover Provisions. Some provisions of our [post-offering] amended and restated memorandum and articles of association may discourage, delay or prevent a change of control of our company or management that shareholders may consider favorable. Our authorized, but unissued ordinary shares are available for future issuance without shareholders’ approval and could be utilized for a variety of corporate purposes, including future offerings to raise addition capital, acquisitions and employee benefit plans. The existence of authorized but unissued and unreserved ordinary shares could render more difficult or discourage an attempt to obtain control of us by means of a proxy contest, tender offer, merger or otherwise.
Exempted Company. We are an exempted company with limited liability under the Companies Act. The Companies Act distinguishes between ordinary resident companies and exempted companies. Any company that is registered in the Cayman Islands but conducts business mainly outside of the Cayman Islands may apply to be registered as an exempted company. The requirements for an exempted company are essentially the same as for an ordinary company except that an exempted company:
| ● | does not have to file an annual return of its shareholders with the Registrar of Companies; | |
| ● | is not required to open its register of members for inspection; | |
| ● | does not have to hold an annual general meeting; | |
| ● | may not issue negotiable or bearer shares, but may issue shares with no par value; | |
| ● | may obtain an undertaking against the imposition of any future taxation (such undertakings are usually given for 20 years in the first instance); | |
| ● | may register by way of continuation in another jurisdiction and be deregistered in the Cayman Islands; | |
| ● | may register as a limited duration company; and | |
| ● | may register as a segregated portfolio company. |
“Limited liability” means that the liability of each shareholder is limited to the amount unpaid by the shareholder on the shares of the company.
| 127 |
Anti-Money Laundering — Cayman Islands
In order to comply with legislation or regulations aimed at the prevention of money laundering, we are required to adopt and maintain anti-money laundering procedures, and may require subscribers to provide evidence to verify their identity and source of funds. Where permitted, and subject to certain conditions, we may also delegate the maintenance of our anti-money laundering procedures (including the acquisition of due diligence information) to a suitable person.
We reserve the right to request such information as is necessary to verify the identity of a subscriber. In some cases the directors may be satisfied that no further information is required since an exemption applies under the Anti-Money Laundering Regulations (Revised) of the Cayman Islands, as amended and revised from time to time (the “Regulations”) or any other applicable law. Depending on the circumstances of each application, a detailed verification of identity might not be required where:
| (a) | the subscriber makes the payment for their investment from an account held in the subscriber’s name at a recognized financial institution; or | |
| (b) | the subscriber is regulated by a recognized regulatory authority and is based or incorporated in, or formed under the law of, a recognized jurisdiction; or | |
| (c) | the application is made through an intermediary which is regulated by a recognized regulatory authority and is based in or incorporated in, or formed under the law of a recognized jurisdiction and an assurance is provided in relation to the procedures undertaken on the underlying investors. |
For the purposes of these exceptions, recognition of a financial institution, regulatory authority or jurisdiction will be determined in accordance with the Regulations by reference to those jurisdictions recognized by the Cayman Islands Monetary Authority as having equivalent anti-money laundering regulations.
In the event of delay or failure on the part of the subscriber in producing any information required for verification purposes, we may refuse to accept the application, in which case any funds received will be returned without interest to the account from which they were originally debited.
We also reserve the right to refuse to make any payment to a shareholder if our directors or officers suspect or are advised that the payment to such shareholder might result in a breach of applicable anti-money laundering or other laws or regulations by any person in any relevant jurisdiction, or if such refusal is considered necessary or appropriate to ensure our compliance with any such laws or regulations in any applicable jurisdiction.
If any person in the Cayman Islands knows or suspects or has reasonable grounds for knowing or suspecting that another person is engaged in criminal conduct or money laundering or is involved with terrorism or terrorist financing and property and the information for that knowledge or suspicion came to their attention in the course of business in the regulated sector, or other trade, profession, business or employment, the person will be required to report such knowledge or suspicion to (i) the Financial Reporting Authority (“FRA”) of the Cayman Islands, pursuant to the Proceeds of Crime Act (Revised) of the Cayman Islands if the disclosure relates to criminal conduct or money laundering, or (ii) a police officer of the rank of constable or higher, or the FRA, pursuant to the Terrorism Act (Revised) of the Cayman Islands, if the disclosure relates to involvement with terrorism or terrorist financing and property. Such a report shall not be treated as a breach of confidence or of any restriction upon the disclosure of information imposed by any enactment or otherwise.
Data Protection in the Cayman Islands – Privacy Notice
This privacy notice explains the manner in which the company collects, processes and maintains personal data about investors of the company pursuant to the Data Protection Act, 2017 of the Cayman Islands, as amended from time to time and any regulations, codes of practice or orders promulgated pursuant thereto (“DPA”).
The company is committed to processing personal data in accordance with the DPA. In its use of personal data, the company will be characterized under the DPA as a “data controller”, whilst certain of the company’s service providers, affiliates and delegates may act as “data processors” under the DPA. These service providers may process personal information for their own lawful purposes in connection with services provided to the company.
This privacy notice puts our shareholders on notice that, by virtue of making an investment in the company, the company and certain of the company’s service providers may collect, record, store, transfer and otherwise process personal data by which individuals may be directly or indirectly identified.
| 128 |
Your personal data will be processed fairly and for lawful purposes, including (a) where the processing is necessary for the company to perform a contract to which you are a party or for taking pre-contractual steps at your request (b) where the processing is necessary for compliance with any legal, tax or regulatory obligation to which the company is subject or (c) where the processing is for the purposes of legitimate interests pursued by the company or by a service provider to whom the data are disclosed. As a data controller, we will only use your personal data for the purposes for which we collected it. If we need to use your personal data for an unrelated purpose, we will contact you.
We anticipate that we will share your personal data with the company’s service providers for the purposes set out in this privacy notice. We may also share relevant personal data where it is lawful to do so and necessary to comply with our contractual obligations or your instructions or where it is necessary or desirable to do so in connection with any regulatory reporting obligations. In exceptional circumstances, we will share your personal data with regulatory, prosecuting and other governmental agencies or departments, and parties to litigation (whether pending or threatened), in any country or territory including to any other person where we have a public or legal duty to do so (e.g. to assist with detecting and preventing fraud, tax evasion and financial crime or compliance with a court order).
Your personal data shall not be held by the company for longer than necessary with regard to the purposes of the data processing.
We will not sell your personal data. Any transfer of personal data outside of the Cayman Islands shall be in accordance with the requirements of the DPA. Where necessary, we will ensure that separate and appropriate legal agreements are put in place with the recipient of that data.
The company will only transfer personal data in accordance with the requirements of the DPA, and will apply appropriate technical and organizational information security measures designed to protect against unauthorized or unlawful processing of the personal data and against the accidental loss, destruction or damage to the personal data.
If you are a natural person, this will affect you directly. If you are a corporate investor (including, for these purposes, legal arrangements such as trusts or exempted limited partnerships) that provides us with personal data on individuals connected to you for any reason in relation to your investment into the company, this will be relevant for those individuals and you should inform such individuals of the content.
You have certain rights under the DPA, including (a) the right to be informed as to how we collect and use your personal data (and this privacy notice fulfils the Company’s obligation in this respect); (b) the right to obtain a copy of your personal data; (c) the right to require us to stop direct marketing; (d) the right to have inaccurate or incomplete personal data corrected; (e) the right to withdraw your consent and require us to stop processing or restrict the processing, or not begin the processing of your personal data; (f) the right to be notified of a data breach (unless the breach is unlikely to be prejudicial); (g) the right to obtain information as to any countries or territories outside the Cayman Islands to which we, whether directly or indirectly, transfer, intend to transfer or wish to transfer your personal data, general measures we take to ensure the security of personal data and any information available to us as to the source of your personal data; (h) the right to complain to the Office of the Ombudsman of the Cayman Islands; and (i) the right to require us to delete your personal data in some limited circumstances.
If you consider that your personal data has not been handled correctly, or you are not satisfied with the company’s responses to any requests you have made regarding the use of your personal data, you have the right to complain to the Cayman Islands’ Ombudsman. The Ombudsman can be contacted by calling +1 (345) 946-6283 or by email at info@ombudsman.ky.
Differences in Corporate Law
The Companies Act is modeled after that of English law but does not follow many recent English law statutory enactments. In addition, the Companies Act differs from laws applicable to United States corporations and their shareholders. Set forth below is a summary of some of the significant differences between the provisions of the Companies Act applicable to us and the laws applicable to companies incorporated in the State of Delaware.
Mergers and Similar Arrangements. The Companies Act permits merger and consolidations between Cayman Islands companies and between Cayman Islands companies and non-Cayman Islands companies. For these purposes, a “merger” means the merging of two or more constituent companies and the vesting of their undertaking, property and liabilities in one of such companies as the surviving company, and a “consolidation” means the combination of two or more constituent companies into a consolidated company and the vesting of the undertaking, property and liabilities of such companies to the consolidated company.
| 129 |
In order to effect a merger or consolidation, the directors of each constituent company must approve a written plan of merger or consolidation, which must then be authorized by a special resolution of the shareholders of each constituent company, and such other authorization, if any, as may be specified in such constituent company’s articles of association. A merger between a Cayman Islands parent company and its Cayman Islands subsidiary or subsidiaries does not require authorization by a resolution of shareholders of that Cayman Islands subsidiary if a copy of the plan of merger is given to every member of that Cayman Islands subsidiary to be merged unless that member agrees otherwise. For this purpose, a subsidiary is a company of which at least ninety percent (90%) of the issued shares entitled to vote are owned by the parent company.
The plan of merger or consolidation must be filed with the Registrar of Companies of the Cayman Islands together with a declaration as to the solvency of the consolidated or surviving company, a list of the assets and liabilities of each constituent company and an undertaking that a copy of the certificate of merger or consolidation will be given to the members and creditors of each constituent company and that notification of the merger and consolidation will be published in the Cayman Islands Gazette. Dissenting shareholders have the right to be paid the fair value of their shares if they follow the required procedures under the Companies Act subject to certain exceptions. The fair value of the shares will be determined by the Cayman Islands court if it cannot be agreed among the parties. Court approval is not required for a merger or consolidation effected in compliance with these statutory procedures.
In addition, there are statutory provisions that facilitate the reconstruction and amalgamation of companies, provided that the arrangement is approved by a majority in number of each class of shareholders and creditors (as the case may be) with whom the arrangement is to be made, and who must in addition represent three-fourths in value of each such class of shareholders or creditors, as the case may be, that are present and voting either in person or by proxy at a meeting, or meetings, convened for that purpose. The convening of the meetings and subsequently the arrangement must be sanctioned by the Grand Court of the Cayman Islands. While a dissenting shareholder has the right to express to the court the view that the transaction ought not to be approved, the court can be expected to approve the arrangement if it determines that:
| ● | the statutory provisions as to the required majority vote have been met; | |
| ● | the shareholders have been fairly represented at the meeting in question; | |
| ● | the arrangement is such that an intelligent and honest man of that class acting in respect of his interest would reasonably approve; and | |
| ● | the arrangement is not one that would more properly be sanctioned under some other provision of the Companies Act. |
When a takeover offer is made and accepted by holders of not less than 90.0% of the shares within four months, the offeror may, within a two-month period commencing on the expiration of such four month period, give notice to require the holders of the remaining shares to transfer such shares on the terms of the offer. An objection can be made to the Grand Court of the Cayman Islands by a dissenting shareholder within one month from the date on which the notice was given but this is unlikely to succeed unless there is evidence of fraud, bad faith or collusion.
If an arrangement and reconstruction is thus approved, the dissenting shareholder would have no rights comparable to appraisal rights, which would otherwise ordinarily be available to dissenting shareholders of Delaware corporations, providing rights to receive payment in cash for the judicially determined value of the shares.
| 130 |
Shareholders’ Suits. In principle, we will normally be the proper plaintiff and as a general rule a derivative action may not be brought by a minority shareholder. However, based on English authorities, which would in all likelihood be of persuasive authority in the Cayman Islands, there are exceptions to the foregoing principle, including when:
| ● | a company acts or proposes to act illegally or ultra vires and is therefore incapable of ratification by the shareholders; | |
| ● | the act complained of, although not ultra vires, could only be effected duly if authorized by more than a simple majority vote that has not been obtained; and | |
| ● | those who control the company are perpetrating a “fraud on the minority.” |
Indemnification of Directors and Executive Officers and Limitation of Liability. The Companies Act does not limit the extent to which a company’s memorandum and articles of association may provide for indemnification of officers and directors, except to the extent any such provision may be held by the Cayman Islands courts to be contrary to public policy, such as to provide indemnification against civil fraud or the consequences of committing a crime. Our [post-offering] amended and restated memorandum and articles of association permit, in the absence of fraud or wilful default, indemnification of officers and directors for costs, losses, damages and expenses, which such director or officers may incur or become liable in respect of by reason of any contract entered into or act or thing done by him as such director and officer in any way in or about the execution of his duties incurred in connection with legal, administrative or investigative proceedings incurred in their capacities as such. This standard of conduct is generally the same as permitted under the Delaware General Corporation Law for a Delaware corporation. Insofar as indemnification for holder to a refund, provided that certain required information is timely furnished to the IRS. Holders are urged to consult their own tax advisors regarding the application of backup withholding and the availability of a procedure for obtaining an exemption from backup withholding in their particular circumstances.
Directors’ Fiduciary Duties. Under Delaware General Corporation Law, a director of a Delaware corporation has a fiduciary duty to the corporation and its shareholders. This duty has two components: the duty of care and the duty of loyalty. The duty of care requires that a director act in good faith, with the care that an ordinarily prudent person would exercise under similar circumstances. Under this duty, a director must inform himself of, and disclose to shareholders, all material information reasonably available regarding a significant transaction. The duty of loyalty requires that a director acts in a manner he reasonably believes to be in the best interests of the corporation. He must not use his corporate position for personal gain or advantage. This duty prohibits self-dealing by a director and mandates that the best interest of the corporation and its shareholders take precedence over any interest possessed by a director, officer or controlling shareholder and not shared by the shareholders generally. In general, actions of a director are presumed to have been made on an informed basis, in good faith and in the honest belief that the action taken was in the best interests of the corporation. However, this presumption may be rebutted by evidence of a breach of one of the fiduciary duties. Should such evidence be presented concerning a transaction by a director, the director must prove the procedural fairness of the transaction, and that the transaction was of fair value to the corporation.
As a matter of Cayman Islands law, a director of a Cayman Islands company is in the position of a fiduciary with respect to the company and therefore it is considered that he or she owes the following duties to the company—a duty to act bona fide in the best interests of the company, a duty not to make a profit based on his or her position as director (unless the company permits him or her to do so) and a duty not to put himself or herself in a position where the interests of the company conflict with his or her personal interest or his or her duty to a third party. A director of a Cayman Islands company owes to the company a duty to act with skill and care. It was previously considered that a director need not exhibit in the performance of his or her duties a greater degree of skill than may reasonably be expected from a person of his or her knowledge and experience. However, English and Commonwealth courts have moved towards an objective standard with regard to the required skill and care and these authorities are likely to be followed in the Cayman Islands.
Shareholder Action by Written Consent. Under the Delaware General Corporation Law, a corporation may eliminate the right of shareholders to act by written consent by amendment to its certificate of incorporation. Cayman Islands law and our articles of association provide that shareholders may approve corporate matters by way of a unanimous written resolution signed by or on behalf of each shareholder who would have been entitled to vote on such matter at a general meeting without a meeting being held.
| 131 |
Shareholder Proposals. Under the Delaware General Corporation Law, a shareholder has the right to put any proposal before the annual meeting of shareholders, provided it complies with the notice provisions in the governing documents. A special meeting may be called by the board of directors or any other person authorized to do so in the governing documents, but shareholders may be precluded from calling special meetings.
Cayman Islands law does not provide shareholders any right to put proposals before a meeting or requisition a general meeting. However, these rights may be provided in articles of association. Our articles of association allow our shareholders holding not less than one-tenth of all voting power of our share capital in issue to requisition a shareholder’s meeting. Other than this right to requisition a shareholders’ meeting, our articles of association do not provide our shareholders other right to put proposal before a meeting. As an exempted Cayman Islands company, we are not obliged by law to call shareholders’ annual general meetings.
Cumulative Voting. Under the Delaware General Corporation Law, cumulative voting for elections of directors is not permitted unless the corporation’s certificate of incorporation specifically provides for it. Cumulative voting potentially facilitates the representation of minority shareholders on a board of directors since it permits the minority shareholder to cast all the votes to which the shareholder is entitled on a single director, which increases the shareholder’s voting power with respect to electing such director. There are no prohibitions in relation to cumulative voting under the Companies Act but our articles of association do not provide for cumulative voting.
Removal of Directors. Under the Delaware General Corporation Law, a director of a corporation with a classified board may be removed only for cause with the approval of a majority of the outstanding shares entitled to vote, unless the certificate of incorporation provides otherwise. Under our articles of association, directors may be removed with or without cause, by an ordinary resolution of our shareholders.
Transactions with Interested Shareholders. The Delaware General Corporation Law contains a business combination statute applicable to Delaware corporations whereby, unless the corporation has specifically elected not to be governed by such statute by amendment to its certificate of incorporation, it is prohibited from engaging in certain business combinations with an “interested shareholder” for three years following the date that such person becomes an interested shareholder. An interested shareholder generally is a person or a group who or which owns or owned 15% or more of the target’s outstanding voting share within the past three years. This has the effect of limiting the ability of a potential acquirer to make a two-tiered bid for the target in which all shareholders would not be treated equally. The statute does not apply if, among other things, prior to the date on which such shareholder becomes an interested shareholder, the board of directors approves either the business combination or the transaction which resulted in the person becoming an interested shareholder. This encourages any potential acquirer of a Delaware corporation to negotiate the terms of any acquisition transaction with the target’s board of directors.
The Cayman Islands has no comparable statute. As a result, we cannot avail ourselves of the types of protections afforded by the Delaware business combination statute. However, although Cayman Islands law does not regulate transactions between a company and its significant shareholders, it does provide that such transactions must be entered into bona fide in the best interests of the company and for a proper corporate purpose and not with the effect of constituting a fraud on the minority shareholders.
Dissolution; Winding up. Under the Delaware General Corporation Law, unless the board of directors approves the proposal to dissolve, dissolution must be approved by shareholders holding 100% of the total voting power of the corporation. Only if the dissolution is initiated by the board of directors may it be approved by a simple majority of the corporation’s outstanding shares. Delaware law allows a Delaware corporation to include in its certificate of incorporation a supermajority voting requirement in connection with dissolutions initiated by the board. Under the Companies Act, a company may be wound up by either an order of the courts of the Cayman Islands or by a special resolution of its members or, if the company is unable to pay its debts as they fall due, by an ordinary resolution of its members. The court has authority to order winding up in a number of specified circumstances including where it is, in the opinion of the court, just and equitable to do so. Under the Companies Act and our articles of association, our company may be dissolved, liquidated or wound up by a special resolution of our shareholders.
Variation of Rights of Shares. Under the Delaware General Corporation Law, a corporation may vary the rights of a class of shares with the approval of a majority of the outstanding shares of such class, unless the certificate of incorporation provides otherwise. Under the Companies Act and our [post-offering] amended and restated articles of association, if our share capital is divided into more than one class of shares, we may vary the rights attached to any class with the written consent of the three-fourths of the issued shares of that class or with the sanction of a resolution passed by not less than three-fourths of such holders of the shares of that class.
Amendment of Governing Documents. Under the Delaware General Corporation Law, a corporation’s governing documents may be amended with the approval of a majority of the outstanding shares entitled to vote, unless the certificate of incorporation provides otherwise. As permitted by the Companies Act, our memorandum and articles of association may only be amended with a special resolution of our shareholders.
Rights of Non-resident or Foreign Shareholders. There are no limitations imposed by our [post-offering] amended and restated memorandum and articles of association on the rights of non-resident or foreign shareholders to hold or exercise voting rights on our shares. In addition, there are no provisions in our [post-offering] amended and restated memorandum and articles of association governing the ownership threshold above which shareholder ownership must be disclosed.
| 132 |
SHARES ELIGIBLE FOR FUTURE SALE
Prior to this offering, there was no established public trading market for our ordinary shares. We cannot assure you that a liquid trading market for our ordinary shares will develop on Nasdaq or be sustained after this offering. Future sales of substantial amounts of ordinary shares in the public market, or the perception that such sales may occur, could adversely affect the market price of our ordinary shares. Further, since a large number of our ordinary shares will not be available for sale shortly after this offering because of the contractual and legal restrictions on resale described below, sales of substantial amounts of our ordinary shares in the public market after these restrictions lapse, or the perception that such sales may occur, could adversely affect the prevailing market price and our ability to raise equity capital in the future.
Upon completion of this offering and assuming the issuance of [_____] ordinary shares offered hereby, we will have an aggregate of [_____] ordinary shares outstanding. Upon completion of this offering and assuming the exercise of the underwriters’ over-allotment option and the issuance of [_____] ordinary shares offered hereby, we will have an aggregate of [_____] ordinary shares outstanding. All of the ordinary shares sold in this offering will be freely transferable by persons other than our “affiliates” without restriction or further registration under the Securities Act. Sales of substantial amounts of our ordinary shares in the public market could adversely affect prevailing market prices of our ordinary shares. Prior to this offering, there has been no public market for our ordinary shares, and while we intend to submit application for the ordinary shares to be listed on Nasdaq, we cannot assure you that a regular trading market will develop in the ordinary shares.
Lock-Up Agreements
We, our directors and executive officers, and our existing shareholders have agreed, subject to some exceptions, not to transfer or dispose of, directly or indirectly, any of our ordinary shares, or any securities convertible into or exchangeable or exercisable for our ordinary shares, for a period of twelve (12) months after the date of this prospectus. After the expiration of the twelve (12) months period, the ordinary shares held by our directors, executive officers and our existing shareholders may be sold subject to the restrictions under Rule 144 under the Securities Act or by means of registered public offerings.
Regulation S
Regulation S under the Securities Act provides an exemption from registration requirements in the United States for offers and sales of securities that occur outside the United States. Rule 903 of Regulation S provides the conditions to the exemption for a sale by an issuer, a distributor, their respective affiliates or anyone acting on their behalf, while Rule 904 of Regulation S provides the conditions to the exemption for a resale by persons other than those covered by Rule 903. In each case, any sale must be completed in an offshore transaction, as that term is defined in Regulation S, and no directed selling efforts, as that term is defined in Regulation S, may be made in the United States.
We are a foreign issuer as defined in Regulation S. As a foreign issuer, securities that we sell outside the United States pursuant to Regulation S are not considered to be restricted securities under the Securities Act, and are freely tradable without registration or restrictions under the Securities Act, unless the securities are held by our affiliates. Generally, subject to certain limitations, holders of our restricted shares who are not our affiliates or who are our affiliates solely by virtue of their status as an officer or director of us may, under Regulation S, resell their restricted shares in an “offshore transaction” if none of the seller, its affiliate nor any person acting on their behalf engages in directed selling efforts in the United States and, in the case of a sale of our restricted shares by an officer or director who is an affiliate of us solely by virtue of holding such position, no selling commission, fee or other remuneration is paid in connection with the offer or sale other than the usual and customary broker’s commission that would be received by a person executing such transaction as agent. Additional restrictions are applicable to a holder of our restricted shares who will be an affiliate of us other than by virtue of his or her status as an officer or director of us.
We are not claiming the potential exemption offered by Regulation S in connection with the offering of newly issued shares outside the United States and will register all of the newly issued shares under the Securities Act.
| 133 |
Rule 144
All of our ordinary shares outstanding prior to this offering are “restricted shares” as that term is defined in Rule 144 under the Securities Act and may be sold publicly in the United States only if they are subject to an effective registration statement under the Securities Act or pursuant to an exemption from the registration requirements. Under Rule 144 as currently in effect, a person who has beneficially owned our restricted shares for at least six months is generally entitled to sell the restricted securities without registration under the Securities Act beginning 90 days after the date of this prospectus, subject to certain additional restrictions.
Our affiliates may sell within any three-month period a number of restricted shares that does not exceed the greater of the following:
| ● | 1% of the then outstanding ordinary shares of the same class, which will equal approximately [●] ordinary shares immediately after this offering assuming the over-allotment option is not exercised and [●]ordinary shares assuming the over-allotment option is exercised in full; or | |
| ● | the average weekly trading volume of our ordinary shares on Nasdaq during the four calendar weeks preceding the date on which notice of the sale is filed with the SEC. |
Affiliates who sell restricted securities under Rule 144 may not solicit orders or arrange for the solicitation of orders, and they are also subject to notice requirements and the availability of current public information about us.
Persons who are not our affiliates are only subject to one of these additional restrictions, the requirement of the availability of current public information about us, and this additional restriction does not apply if they have beneficially owned our restricted shares for more than one year.
Rule 701
In general, under Rule 701 of the Securities Act as currently in effect, each of our employees, consultants or advisors who purchases our ordinary shares from us in connection with a compensatory stock or option plan or other written agreement relating to compensation is eligible to resell such ordinary shares 90 days after we became a reporting company under the Exchange Act in reliance on Rule 144, but without compliance with some of the restrictions, including the holding period, contained in Rule 144. However, these shares would remain subject to lock-up arrangements and would only become eligible for sale when the lock-up period expires.
| 134 |
The following discussion of material Cayman Islands, Taiwan, PRC and United States federal income tax consequences of an investment in our ordinary shares is based upon laws and relevant interpretations thereof in effect as of the date of this prospectus, all of which are subject to change. This discussion does not deal with all possible tax consequences relating to an investment in our ordinary shares, such as the tax consequences under state, local and other tax laws. Unless otherwise noted in the following discussion, this section is the opinion of Loeb & Loeb LLP, our U.S. counsel, insofar as it relates to legal conclusions with respect to matters of U.S. federal income tax law, and of Lee and Li, Attorneys-at-Law, insofar as it relates to legal conclusions with respect to matters of Taiwan tax law, and of L&L-Leaven, Attorneys-at-Law, insofar as it relates to legal conclusions with respect to matters of PRC tax law, and of Ogier, insofar as it relates to legal conclusions with respect to matters of Cayman Islands tax law.
Cayman Islands Taxation
The following is a discussion on certain Cayman Islands income tax consequences of an investment in our securities. The discussion is a general summary of present law, which is subject to prospective and retroactive change. It is not intended as tax advice, does not consider any investor’s particular circumstances, and does not consider tax consequences other than those arising under Cayman Islands law.
Payments of dividends and capital in respect of our securities will not be subject to taxation in the Cayman Islands and no withholding will be required on the payment of a dividend or capital to any holder of the securities nor will gains derived from the disposal of the securities be subject to Cayman Islands income or corporation tax.
The Cayman Islands currently levies no taxes on individuals or corporations based upon profits, income, gains or appreciation and there is no taxation in the nature of inheritance tax or estate duty. There are no other taxes likely to be material to us levied by the Government of the Cayman Islands except for stamp duties which may be applicable on instruments executed in, or brought within, the jurisdiction of the Cayman Islands. The Cayman Islands is not party to any double tax treaties. There are no exchange control regulations or currency restrictions in the Cayman Islands. No stamp duty is payable in respect of the issue of our securities or on an instrument of transfer in respect of our securities.
Taiwan Taxation
The following is a general summary of the principal Taiwan tax consequences of the ownership and disposition of our ordinary shares by and to a non-resident individual or non-resident entity holder (referred to herein as a “Non-Taiwan Holder”). As used in the preceding sentence, a “non-resident individual” is a foreign national who owns our ordinary shares and is not physically present in Taiwan for 183 days or more during any calendar year, and a “non-resident entity” is a corporation or a non-corporate body that owns our ordinary shares and is organized under the laws of a jurisdiction other than Taiwan.
Holders should consult their tax advisors concerning the Taiwan tax consequences of holding our ordinary shares and the laws of any relevant taxing jurisdiction to which they are subject.
Capital gains from the sale or disposal of our ordinary shares
Sale or disposal of our ordinary shares is not regarded as the sale of Taiwan securities; thus, any gains generated therefrom by Non-Taiwan Holders are not subject to Taiwan income tax.
Securities Transaction Tax
Sale of our ordinary shares by Non-Taiwan Holders is not subject to Taiwan securities transaction tax.
| 135 |
People’s Republic of China Taxation
According to the Enterprise Income Tax Law of the PRC (the “Income Tax Law”) and the Implementation Regulations of Enterprise Income Tax Law of the PRC, the enterprise income tax for both domestic and foreign-invested enterprises are unified at 25%.
According to the Income Tax Law, income such as dividends, rental, interest and royalty from the PRC derived by a non-resident enterprise which has no establishment in the PRC or has establishment but the income has no relationship with such establishment is subject to a 10% withholding tax, which may be reduced if the foreign jurisdiction of incorporation has a tax treaty with the PRC that provides for a different withholding arrangement, unless the relevant income is specifically exempted from tax under the applicable income tax laws, regulations, notices and decisions which relate to foreign invested enterprises and their investors.
According to the Notice of the State Administration of Taxation on Issues Relating to the Administration of the Dividend Provision in Tax Treaties, the corporate recipients of dividends distributed by PRC enterprises must satisfy the direct ownership thresholds at all times during the twelve (12) consecutive months preceding the receipt of the dividends.
Certain United States Federal Income Tax Considerations
The following discussion is a summary of U.S. federal income tax considerations generally applicable to U.S. Holders (as defined below) of the ownership and disposition of our ordinary shares. This summary applies only to U.S. Holders that hold our ordinary shares as capital assets (generally, property held for investment) and that have the U.S. dollar as their functional currency. This summary is based on U.S. tax laws in effect as of the date of this prospectus, on U.S. Treasury regulations in effect or, in some cases, proposed as of the date of this prospectus, and judicial and administrative interpretations thereof available on or before such date. All of the foregoing authorities are subject to change, which could apply retroactively and could affect the tax consequences described below. Moreover, this summary does not address the U.S. federal estate, gift, backup withholding, and alternative minimum tax considerations, or any state, local, and non-U.S. tax considerations, relating to the ownership and disposition of our ordinary shares. The following summary does not address all aspects of U.S. federal income taxation that may be important to particular investors in light of their individual circumstances or to persons in special tax situations such as:
| ● | financial institutions or financial services entities; | |
| ● | insurance companies; | |
| ● | pension plans; | |
| ● | cooperatives; | |
| ● | regulated investment companies; | |
| ● | real estate investment trusts; | |
| ● | broker-dealers; | |
| ● | traders that elect to use a mark-to-market method of accounting; | |
| ● | governments or agencies or instrumentalities thereof; | |
| ● | certain former U.S. citizens or long-term residents; | |
| ● | tax-exempt entities (including private foundations); | |
| ● | persons liable for alternative minimum tax; |
| 136 |
| ● | persons holding stock as part of a straddle, hedging, conversion or other integrated transaction; | |
| ● | persons whose functional currency is not the U.S. dollar; | |
| ● | passive foreign investment companies; | |
| ● | controlled foreign corporations; | |
| ● | persons that actually or constructively own 5% or more of the total combined voting power of all classes of our voting stock; or | |
| ● | partnerships or other entities taxable as partnerships for U.S. federal income tax purposes, or persons holding ordinary shares through such entities. |
PROSPECTIVE INVESTORS ARE URGED TO CONSULT THEIR OWN TAX ADVISORS REGARDING THE APPLICATION OF U.S. FEDERAL TAXATION TO THEIR PARTICULAR CIRCUMSTANCES, AND THE STATE, LOCAL, NON-U.S., OR OTHER TAX CONSEQUENCES OF THE OWNERSHIP AND DISPOSITION OF OUR ORDINARY SHARES.
For purposes of this discussion, a “U.S. Holder” is a beneficial owner of our ordinary shares that is, for U.S. federal income tax purposes:
| ● | an individual who is a citizen or resident of the United States; | |
| ● | a corporation (or other entity taxable as a corporation for U.S. federal income tax purposes) created or organized in the United States or under the laws of the United States, any state thereof or the District of Columbia; | |
| ● | an estate, the income of which is subject to U.S. federal income taxation regardless of its source; or | |
| ● | a trust that (1) is subject to the primary supervision of a court within the United States and the control of one or more U.S. persons for all substantial decisions, or (2) has a valid election in effect under applicable U.S. Treasury regulations to be treated as a U.S. person. |
If a partnership (or other entity treated as a partnership for U.S. federal income tax purposes) is a beneficial owner of our ordinary shares, the tax treatment of a partner in the partnership will generally depend upon the status of the partner and the activities of the partnership. Partnerships holding our ordinary shares and their partners are urged to consult their tax advisors regarding an investment in our ordinary shares.
Taxation of Dividends and Other Distributions on Our Ordinary Shares
Subject to the discussion below under “Passive Foreign Investment Company Rules,” any cash distributions (including the amount of any PRC tax withheld) paid on our ordinary shares out of our current or accumulated earnings and profits, as determined under U.S. federal income tax principles, will generally be includible in the gross income of a U.S. Holder as dividend income on the day actually or constructively received by the U.S. Holder. Because we do not intend to determine our earnings and profits on the basis of U.S. federal income tax principles, any distribution we pay will generally be treated as a “dividend” for U.S. federal income tax purposes. A non-corporate U.S. Holder will be subject to tax on dividend income from a “qualified foreign corporation” at a lower applicable capital gains rate rather than the marginal tax rates generally applicable to ordinary income provided that certain holding period requirements are met. A non-U.S. corporation (other than a corporation that is classified as a PFIC for the taxable year in which the dividend is paid or the preceding taxable year) will generally be considered to be a qualified foreign corporation (i) if it is eligible for the benefits of a comprehensive tax treaty with the United States that the U.S. Secretary of Treasury determines is satisfactory for purposes of this provision and includes an exchange of information program, or (ii) with respect to any dividend it pays on stock that is readily tradable on an established securities market in the United States, including Nasdaq. It is unclear whether dividends that we pay on our ordinary shares will meet the conditions required for the reduced tax rate. However, in the event that we are deemed to be a PRC resident enterprise under the PRC Enterprise Income Tax Law, we may be eligible for the benefits of the United States-PRC income tax treaty. If we are eligible for such benefits, dividends we pay on our ordinary shares, would be eligible for the reduced rates of taxation described in this paragraph. You are urged to consult your tax advisor regarding the availability of the lower rate for dividends paid with respect to our ordinary shares. Dividends received on our ordinary shares will not be eligible for the dividends-received deduction allowed to corporations.
| 137 |
Dividends will generally be treated as income from foreign sources for U.S. foreign tax credit purposes and will generally constitute passive category income. Depending on the U.S. Holder’s individual facts and circumstances, a U.S. Holder may be eligible, subject to a number of complex limitations, to claim a foreign tax credit not in excess of any applicable treaty rate in respect of any foreign withholding taxes imposed on dividends received on our ordinary shares. A U.S. Holder who does not elect to claim a foreign tax credit for foreign tax withheld may instead claim a deduction, for U.S. federal income tax purposes, in respect of such withholding, but only for a year in which such U.S. Holder elects to do so for all creditable foreign income taxes. The rules governing the foreign tax credit are complex and their outcome depends in large part on the U.S. Holder’s individual facts and circumstances. Accordingly, U.S. Holders are urged to consult their tax advisors regarding the availability of the foreign tax credit under their particular circumstances.
Taxation of Sale or Other Disposition of Ordinary Shares
Subject to the discussion below under “Passive Foreign Investment Company Rules,” a U.S. Holder will generally recognize capital gain or loss upon the sale or other disposition of ordinary shares in an amount equal to the difference between the amount realized upon the disposition and the U.S. Holder’s adjusted tax basis in such ordinary shares. Any capital gain or loss will be long term if the ordinary shares have been held for more than one year and will generally be U.S.-source gain or loss for U.S. foreign tax credit purposes. Long-term capital gains of non-corporate taxpayers are currently eligible for reduced rates of taxation. In the event that gain from the disposition of the ordinary shares is subject to tax in the PRC, such gain may be treated as PRC-source gain under the United States-PRC income tax treaty. The deductibility of a capital loss may be subject to limitations. U.S. Holders are urged to consult their tax advisors regarding the tax consequences if a foreign tax is imposed on a disposition of our ordinary shares, including the availability of the foreign tax credit under their particular circumstances.
Passive Foreign Investment Company Rules
A non-U.S. corporation, such as our company, will be classified as a PFIC, for U.S. federal income tax purposes for any taxable year, if either (i) 75% or more of its gross income for such year consists of certain types of “passive” income or (ii) 50% or more of the value of its assets (determined on the basis of a quarterly average) during such year is attributable to assets that produce or are held for the production of passive income. For this purpose, cash and cash equivalents are categorized as passive assets and the company’s goodwill and other unbooked intangibles are taken into account as non-passive assets. Passive income generally includes, among other things, dividends, interest, rents, royalties, and gains from the disposition of passive assets. We will be treated as owning a proportionate share of the assets and earning a proportionate share of the income of any other corporation in which we own, directly or indirectly, more than 25% (by value) of the stock.
Based on our current composition of assets, subsidiaries and market capitalization (which will fluctuate from time to time), we do not expect to be or become a PFIC for U.S. federal income tax purposes. However, no assurance can be given in this regard because the determination of whether we will be or become a PFIC is a factual determination made annually that will depend, in part, upon the composition of our income and assets. Furthermore, the composition of our income and assets may also be affected by how, and how quickly, we use our liquid assets and the cash raised in this offering. Under circumstances where our revenue from activities that produce passive income significantly increase relative to our revenue from activities that produce non-passive income, or where we determine not to deploy significant amounts of cash for active purposes, our risk of becoming classified as a PFIC may substantially increase. In addition, because there are uncertainties in the application of the relevant rules, it is possible that the Internal Revenue Service may challenge our classification of certain income and assets as non-passive or our valuation of our tangible and intangible assets, each of which may result in our becoming a PFIC for the current or subsequent taxable years. If we were classified as a PFIC for any year during which a U.S. Holder held our ordinary shares, we generally would continue to be treated as a PFIC for all succeeding years during which such U.S. Holder held our ordinary shares even if we cease to be a PFIC in subsequent years, unless certain elections are made.
| 138 |
If we are classified as a PFIC for any taxable year during which a U.S. Holder holds our ordinary shares, and unless the U.S. Holder makes a mark-to-market election (as described below), the U.S. Holder will generally be subject to special tax rules that have a penalizing effect, regardless of whether we remain a PFIC, on (i) any excess distribution that we make to the U.S. Holder (which generally means any distribution paid during a taxable year to a U.S. Holder that is greater than 125 percent of the average annual distributions paid in the three preceding taxable years or, if shorter, the U.S. Holder’s holding period for the ordinary shares), and (ii) any gain realized on the sale or other disposition of ordinary shares. Under these rules,
| ● | the U.S. Holder’s gain or excess distribution will be allocated ratably over the U.S. Holder’s holding period for the ordinary shares; | |
| ● | the amount allocated to the current taxable year and any taxable years in the U.S. Holder’s holding period prior to the first taxable year in which we are classified as a PFIC (each, a “pre-PFIC year”), will be taxable as ordinary income; | |
| ● | the amount allocated to each prior taxable year, other than a pre-PFIC year, will be subject to tax at the highest tax rate in effect for individuals or corporations, as appropriate, for that year; and | |
| ● | an additional tax equal to the interest charge generally applicable to underpayments of tax will be imposed in respect of the tax attributable to each prior taxable year, other than a pre-PFIC year, of the U.S. Holder. |
If we are treated as a PFIC for any taxable year during which a U.S. Holder holds our ordinary shares, or if any of our subsidiaries is also a PFIC, such U.S. Holder would be treated as owning a proportionate amount (by value) of the shares of any lower-tier PFICs for purposes of the application of these rules. U.S. Holders are urged to consult their tax advisors regarding the application of the PFIC rules to any of our subsidiaries.
As an alternative to the foregoing rules, a U.S. Holder of “marketable stock” in a PFIC may make a mark-to-market election with respect to such stock, provided that such stock is “regularly traded” within the meaning of applicable U.S. Treasury regulations. If our ordinary shares qualify as being regularly traded, and an election is made, the U.S. Holder will generally (i) include as ordinary income for each taxable year that we are a PFIC the excess, if any, of the fair market value of ordinary shares held at the end of the taxable year over the adjusted tax basis of such ordinary shares and (ii) deduct as an ordinary loss the excess, if any, of the adjusted tax basis of the ordinary shares over the fair market value of such ordinary shares held at the end of the taxable year, but such deduction will only be allowed to the extent of the amount previously included in income as a result of the mark-to-market election. The U.S. Holder’s adjusted tax basis in the ordinary shares would be adjusted to reflect any income or loss resulting from the mark-to-market election. If a U.S. Holder makes a mark-to-market election in respect of a corporation classified as a PFIC and such corporation ceases to be classified as a PFIC, the U.S. Holder will not be required to take into account the gain or loss described above during any period that such corporation is not classified as a PFIC. If a U.S. Holder makes a mark-to-market election, any gain such U.S. Holder recognizes upon the sale or other disposition of our ordinary shares in a year when we are a PFIC will be treated as ordinary income and any loss will be treated as ordinary loss, but such loss will only be treated as ordinary loss to the extent of the net amount previously included in income as a result of the mark-to-market election.
Because a mark-to-market election cannot be made for any lower-tier PFICs that we may own, a U.S. Holder may continue to be subject to the PFIC rules with respect to such U.S. Holder’s indirect interest in any investments held by us that are treated as an equity interest in a PFIC for U.S. federal income tax purposes.
Furthermore, as an alternative to the foregoing rules, a U.S. Holder that owns stock of a PFIC generally may make a “qualified electing fund” election regarding such corporation to elect out of the PFIC rules described above regarding excess distributions and recognized gains. However, we do not intend to provide information necessary for U.S. Holders to make qualified electing fund elections which, if available, would result in tax treatment different from the general tax treatment for PFICs described above.
| 139 |
If a U.S. Holder owns our ordinary shares during any taxable year that we are a PFIC, the U.S. Holder must generally file an annual Internal Revenue Service Form 8621 and provide such other information as may be required by the U.S. Treasury Department, whether or not a mark-to-market election is or has been made. If we are or become a PFIC, you should consult your tax advisor regarding any reporting requirements that may apply to you.
You should consult your tax advisors regarding how the PFIC rules apply to your investment in our ordinary shares.
Non-U.S. Holders
Cash dividends paid or deemed paid to a Non-U.S. Holder with respect to the ordinary shares generally will not be subject to U.S. federal income tax unless such dividends are effectively connected with the Non-U.S. Holder’s conduct of a trade or business within the United States (and, if required by an applicable income tax treaty, are attributable to a permanent establishment or fixed base that such holder maintains or maintained in the United States).
In addition, a Non-U.S. Holder generally will not be subject to U.S. federal income tax on any gain attributable to a sale or other taxable disposition of the ordinary shares unless such gain is effectively connected with its conduct of a trade or business in the United States (and, if required by an applicable income tax treaty, is attributable to a permanent establishment or fixed base that such holder maintains or maintained in the United States) or the Non-U.S. Holder is an individual who is present in the United States for 183 days or more in the taxable year of such sale or other disposition and certain other conditions are met (in which case, such gain from U.S. sources generally is subject to U.S. federal income tax at a 30% rate or a lower applicable tax treaty rate).
Cash dividends and gains that are effectively connected with the Non-U.S. Holder’s conduct of a trade or business in the United States (and, if required by an applicable income tax treaty, are attributable to a permanent establishment or fixed base that such holder maintains or maintained in the United States) generally will be subject to regular U.S. federal income tax at the same regular U.S. federal income tax rates as applicable to a comparable U.S. Holder and, in the case of a Non-U.S. Holder that is a corporation for U.S. federal income tax purposes, may also be subject to an additional branch profits tax at a 30% rate or a lower applicable tax treaty rate.
Information Reporting and Backup Withholding
Certain U.S. Holders are required to report information to the Internal Revenue Service relating to an interest in “specified foreign financial assets,” including shares issued by a non-United States corporation, for any year in which the aggregate value of all specified foreign financial assets exceeds $50,000 (or a higher dollar amount prescribed by the Internal Revenue Service), subject to certain exceptions (including an exception for shares held in custodial accounts maintained with a U.S. financial institution). These rules also impose penalties if a U.S. Holder is required to submit such information to the Internal Revenue Service and fails to do so.
In addition, dividend payments with respect to our ordinary shares and proceeds from the sale, exchange or redemption of our ordinary shares may be subject to additional information reporting to the IRS and possible U.S. backup withholding. Backup withholding will not apply, however, to a U.S. Holder who furnishes a correct taxpayer identification number and makes any other required certification on IRS Form W-9 or who is otherwise exempt from backup withholding. U.S. Holders who are required to establish their exempt status generally must provide such certification on IRS Form W-9. U.S. Holders are urged to consult their tax advisors regarding the application of the U.S. information reporting and backup withholding rules.
Backup withholding is not an additional tax. Amounts withheld as backup withholding may be credited against your U.S. federal income tax liability, and you may obtain a refund of any excess amounts withheld under the backup withholding rules by filing the appropriate claim for refund with the IRS and furnishing any required information. We do not intend to withhold taxes for individual shareholders. However, transactions effected through certain brokers or other intermediaries may be subject to withholding taxes (including backup withholding), and such brokers or intermediaries may be required by law to withhold such taxes.
THE PRECEDING DISCUSSION OF U.S. FEDERAL TAX CONSIDERATIONS IS FOR GENERAL INFORMATION PURPOSES ONLY. IT IS NOT TAX ADVICE. EACH PROSPECTIVE INVESTOR SHOULD CONSULT ITS OWN TAX ADVISOR REGARDING THE PARTICULAR U.S. FEDERAL, STATE, LOCAL AND FOREIGN TAX CONSEQUENCES OF PURCHASING, HOLDING AND DISPOSING OF OUR ORDINARY SHARES, INCLUDING THE CONSEQUENCES OF ANY PROPOSED CHANGE IN APPLICABLE LAWS.
| 140 |
Under the terms and subject to the conditions of an underwriting agreement dated , 2022, the underwriters named below, for whom ViewTrade Securities, Inc. is acting as the representative and sole book-running manager, have severally agreed to purchase, and we have agreed to sell to them, the number of our ordinary shares at the initial public offering price, less the underwriting discounts and commissions, as set forth on the cover page of this prospectus and as indicated below:
| Underwriters | Number of Shares | |
| ViewTrade Securities, Inc. | ||
| Total |
The underwriters are offering the shares subject to their acceptance of the shares from us and subject to prior sale. The underwriting agreement provides that the obligations of the underwriters to pay for and accept delivery of the ordinary shares offered by this prospectus are subject to the approval of certain legal matters by their counsel and to other conditions. The underwriters are obligated to take and pay for all of the ordinary shares offered by this prospectus if any such shares are taken. However, the underwriters are not required to take or pay for the shares covered by the underwriters’ option to purchase additional shares described below.
We have granted to the underwriters an option, exercisable for 45 days from the date of this prospectus, to purchase up to additional ordinary shares at the initial public offering price listed on the cover page of this prospectus, less underwriting discounts and commissions. The underwriters may exercise this option solely for the purpose of covering over-allotments, if any, made in connection with the offering contemplated by this prospectus. To the extent the option is exercised, each underwriter will become obligated, subject to certain conditions, to purchase approximately the same percentage of the additional ordinary shares as the number listed next to the underwriter’s name in the preceding table bears to the total number of ordinary shares listed next to the names of all underwriters in the preceding table.
The underwriters will offer the shares to the public at the initial public offering price set forth on the cover of this prospectus and to selected dealers at the initial public offering price less a selling concession not in excess of $ per share. After this offering, the initial public offering price, concession and reallowance to dealers may be reduced by the representative. No change in those terms will change the amount of proceeds to be received by us as set forth on the cover of this prospectus. The securities are offered by the underwriters as stated herein, subject to receipt and acceptance by them and subject to their right to reject any order in whole or in part.
Discount, Commissions and Expenses
The underwriting discounts and commissions are equal to 8.0% of the initial public offering price set forth on the cover of this prospectus.
| 141 |
The following table shows the per share and total initial public offering price, underwriting discounts and commissions, and proceeds before expenses to us. These amounts are shown assuming both no exercise and full exercise of the underwriters’ option to purchase up to an additional ordinary shares.
| Per Share | Total Without Exercise of Over-allotment Option | Total With Full Exercise of Over-allotment Option | ||||||||||
| Initial public offering price | $ | $ | $ | |||||||||
| Underwriting discounts and commissions to be paid by us | $ | $ | $ | |||||||||
| Proceeds, before expenses, to us | $ | $ | $ | |||||||||
We will also pay to the representative by deduction from the net proceeds of the offering contemplated herein, a non-accountable expense allowance equal to one and one half percent (1.5%) of the gross proceeds received by us from the sale of our ordinary shares.
We have agreed to reimburse the representative up to a maximum of $175,000 for out-of-pocket accountable expenses (including the legal fees and other disbursements as disclosed below).
We paid an expense deposit of $35,000 to the representative, within three days of the execution of the letter of intent between us and the representative, and will pay an additional $35,000 upon receipt of the SEC’s first comments to the registration statement of which this prospectus forms a part, for the representative’s anticipated out-of-pocket expenses; any expense deposits will be returned to us to the extent the representative’s out-of-pocket accountable expenses are not actually incurred in accordance with FINRA Rule 5110(f)(2)(C).
We have agreed to reimburse the representative’s accountable expenses of the offering, up to $175,000, including, but not limited to: (i) the legal and due diligence fees and expenses incurred by the representative; (ii) translation costs for due diligence purposes; (iii) the reasonable cost for road show meetings and preparation of a power point presentation; and (iv) all reasonable travel and lodging expenses incurred by the representative or its counsel in connection with visits to, and examinations of, our company. In addition, we have agreed to pay the costs associated with “tombstone” advertisements, not to exceed $8,000.
We estimate that the total expenses of the offering payable by us, excluding the underwriting discounts and commissions and non-accountable expense allowance, will be approximately $ , including a maximum aggregate reimbursement of $175,000 of representative’s accountable expenses.
In addition, we agreed, until the effectiveness of the registration statement in connection with this offering, not to negotiate with any other broker-dealer relating to a possible private and/or public offering of the securities without the written consent of the representative. If, prior to the 12 month period following the effective date of our letter of intent with the representative, we (i) do not complete the offering and listing of the securities on a national securities exchange and enter into discussions regarding a letter of intent or similar agreement with a third party broker-dealer and enter into a new engagement letter, and/or (ii) effect a private and/or public offering of the securities with another broker-dealer or any other person without the written consent of the representative, we will be liable to the representative for its accountable expenses of up to $175,000 and a breakup fee in the amount of $250,000; provided, however, that such fees shall be subject to FINRA Rule 5110(f)(2)(D)(ii) and shall not apply if and to the extent the representative has advised us of the representative’s inability or unwillingness to proceed with this offering.
We have applied to list our ordinary shares on the Nasdaq Capital Market under the symbol “YMAT.” There is no assurance that such application will be approved, and if our application is not approved, this offering may not be completed.
For a period of one year from the effective date of the registration statement of which this prospectus forms a part, the representative shall have the right to send a representative to observe each meeting of our board of directors; provided, that (i) such representative shall sign a Regulation FD compliant confidentiality agreement which is reasonably acceptable to the representative and its counsel; and (ii) upon written notice to the representative, we may exclude such representative from meetings where, upon the written opinion of our counsel, such representative’s presence would compromise an attorney-client privilege.
| 142 |
Representative’s Warrants
In addition, we have agreed to issue warrants to the representative of the underwriters to purchase a number of ordinary shares equal to 10% of the total number of ordinary shares sold in this offering (including any ordinary shares sold pursuant to an exercise of the over-allotment option). Such warrants shall have an exercise price equal to 110% of the offering price of the ordinary shares sold in this offering. The representative’s warrants may be exercised in cash or on a cashless basis, will be exercisable for five years from the commencement of sales in this offering and will terminate on the fifth anniversary of the commencement of sales. The representative’s warrants and the underlying shares will be deemed compensation by FINRA, and therefore will be subject to FINRA Rule 5110(g)(1). In accordance with FINRA Rule 5110(g)(1), and except as otherwise permitted by FINRA rules, neither the representative’s warrants nor any of our shares issued upon exercise of the representative’s warrants may be sold, transferred, assigned, pledged or hypothecated, or be the subject of any hedging, short sale, derivative, put or call transaction that would result in the effective economic disposition of such securities by any person, for a period of 180 days immediately following the commencement of sales in this offering. In addition, although the representative’s warrants and the underlying ordinary shares will be registered by the registration statement of which this prospectus forms a part, we have also agreed that the warrants will provide for registration rights in certain cases. These registration rights apply to all of the securities directly and indirectly issuable upon exercise of the representative’s warrants. The piggyback registration right provided will not be greater than seven years from the effective date of the offering in compliance with FINRA Rule 5110(f)(2)(G)(v).
We will bear all fees and expenses attendant to registering the ordinary shares issuable upon exercise of the warrants. The exercise price and number of ordinary shares issuable upon exercise of the warrants may be adjusted in certain circumstances, including in the event of a stock dividend, extraordinary cash dividend or our recapitalization, reorganization, merger or consolidation.
Indemnification; Indemnification Escrow
We have agreed to indemnify the underwriters against certain liabilities, including liabilities under the Securities Act and liabilities arising from breaches of representations and warranties contained in the underwriting agreement, or to contribute to payments that the underwriters may be required to make in respect of those liabilities.
Concurrently with the execution and delivery of the underwriting agreement, the Company will set up an escrow account with a third-party escrow agent in the United States and will fund such account with $600,000 from this offering that may be utilized by the underwriters to fund any bona fide indemnification claims of the underwriters arising during the 12 month period following the closing of the offering. The escrow account will be interest bearing, and we will be free to invest the assets in securities. All funds that are not subject to an indemnification claim will be returned to us after the applicable period expires. The Company will pay the reasonable fees and expenses of the escrow agent.
Lock-Up Agreements
Our officers, directors and principal shareholders (5% or more shareholders, provided that the representative may in its discretion require a lower percentage threshold) have agreed, subject to certain exceptions, to a twelve (12) month “lock-up” period from the effective date of the registration statement of which this prospectus forms a part with respect to the ordinary shares that they beneficially own, including the issuance of shares upon the exercise of convertible securities and options that are currently outstanding or which may be issued. This means that, for a period of twelve (12) months following the closing of the offering, such persons may not offer, sell, pledge or otherwise dispose of these securities without the prior written consent of the representative.
The representative has no present intention to waive or shorten the lock-up period; however, the terms of the lock-up agreements may be waived at its discretion. In determining whether to waive the terms of the lock-up agreements, the representative may base its decision on its assessment of the relative strengths of the securities markets and companies similar to ours in general, and the trading pattern of, and demand for, our securities in general.
Pricing of the Offering
Prior to this offering, there has been no public market for our ordinary shares. The initial public offering price of the shares has been negotiated between us and the underwriters. Among the factors considered in determining the initial public offering price of the shares, in addition to the prevailing market conditions, are our historical performance, estimates of our business potential and earnings prospects, an assessment of our management and the consideration of the above factors in relation to market valuation of companies in related businesses.
| 143 |
No Sales of Similar Securities
We have agreed not to offer, pledge, announce the intention to sell, sell, contract to sell, sell any option or contract to purchase, purchase any option or contract to sell, grant any option, right or warrant to purchase or otherwise transfer or dispose of, directly or indirectly, any ordinary shares or any securities convertible into or exercisable or exchangeable for ordinary shares or enter into any swap or other agreement that transfers, in whole or in part, any of the economic consequences of ownership of our ordinary shares, whether any such transaction is to be settled by delivery of ordinary shares or such other securities, in cash or otherwise, without the prior written consent of the representative, for a period of days from the effective date of the registration statement of which this prospectus forms a part.
Electronic Offer, Sale and Distribution of Securities
A prospectus in electronic format may be made available on the websites maintained by the underwriters or selling group members, if any, participating in this offering and the underwriters may distribute prospectuses electronically. The underwriters may agree to allocate a number of ordinary shares to selling group members for sale to their online brokerage account holders. The ordinary shares to be sold pursuant to internet distributions will be allocated on the same basis as other allocations. Other than the prospectus in electronic format, the information on these websites is not part of, nor incorporated by reference into, this prospectus or the registration statement of which this prospectus forms a part, has not been approved or endorsed by us or the underwriters, and should not be relied upon by investors.
Price Stabilization, Short Positions and Penalty Bids
In connection with this offering, the underwriters may engage in transactions that stabilize, maintain or otherwise affect the price of our ordinary shares. Specifically, the underwriters may sell more shares than they are obligated to purchase under the underwriting agreement, creating a short position. A short sale is covered if the short position is no greater than the number of shares available for purchase by the underwriters under option to purchase additional shares. The underwriters can close out a covered short sale by exercising the option to purchase additional shares or purchasing shares in the open market. In determining the source of shares to close out a covered short sale, the underwriters will consider, among other things, the open market price of shares compared to the price available under the option to purchase additional shares. The underwriters may also sell shares in excess of the option to purchase additional shares, creating a naked short position. The underwriters must close out any naked short position by purchasing shares in the open market. A naked short position is more likely to be created if the underwriters are concerned that there may be downward pressure on the price of the shares in the open market after pricing that could adversely affect investors who purchase in the offering.
The underwriters may also impose a penalty bid. This occurs when a particular underwriter or dealer repays selling concessions allowed to it for distributing our ordinary shares in this offering because such underwriter repurchases those shares in stabilizing or short covering transactions.
Finally, the underwriters may bid for, and purchase, our ordinary shares in market making transactions, including “passive” market making transactions as described below.
These activities may stabilize or maintain the market price of our ordinary shares at a price that is higher than the price that might otherwise exist in the absence of these activities. The underwriters are not required to engage in these activities, and may discontinue any of these activities at any time without notice. These transactions may be effected on the Nasdaq Capital Market, in the over-the-counter market, or otherwise.
| 144 |
Passive Market Making
In connection with this offering, the underwriters may engage in passive market making transactions in our ordinary shares on the Nasdaq Capital Market in accordance with Rule 103 of Regulation M under the Exchange Act, during a period before the commencement of offers or sales of the shares and extending through the completion of the distribution. A passive market maker must display its bid at a price not in excess of the highest independent bid of that security. However, if all independent bids are lowered below the passive market maker’s bid, then that bid must then be lowered when specified purchase limits are exceeded.
Potential Conflicts of Interest
The underwriters and their affiliates may, from time to time, engage in transactions with and perform services for us in the ordinary course of their business for which they may receive customary fees and reimbursement of expenses. In the ordinary course of their various business activities, the underwriters and their affiliates may make or hold a broad array of investments and actively trade debt and equity securities (or related derivative securities) and financial instruments (including bank loans) for their own accounts and for the accounts of their customers and such investment and securities activities may involve securities and/or instruments of our Company. The underwriters and their affiliates may also make investment recommendations and/or publish or express independent research views in respect of such securities or instruments and may at any time hold, or recommend to clients that they acquire, long and/or short positions in such securities and instruments.
Other Relationships
The underwriters and certain of their affiliates are full service financial institutions engaged in various activities, which may include securities trading, commercial and investment banking, financial advisory, investment management, investment research, principal investment, hedging, financing and brokerage activities. Some of the underwriters and certain of their affiliates may in the future engage in investment banking and other commercial dealings in the ordinary course of business with us and our affiliates, for which they may in the future receive customary fees, commissions and expenses.
In addition, in the ordinary course of their business activities, the underwriters and their affiliates may make or hold a broad array of investments and actively trade debt and equity securities (or related derivative securities) and financial instruments (including bank loans) for their own account and for the accounts of their customers. Such investments and securities activities may involve securities and/or instruments of ours or our affiliates. The underwriters and their affiliates may also make investment recommendations and/or publish or express independent research views in respect of such securities or financial instruments and may hold, or recommend to clients that they acquire, long and/or short positions in such securities and instruments.
Right of First Refusal
For a period of twelve months from the completion of this offering, we have granted the representative of the underwriters the right to act as a manager in any public or private offering or placement of our securities.
Nasdaq Listing
We intend to apply to have our ordinary shares listed on the Nasdaq Capital Market, or Nasdaq, under the symbol “YMAT.” We cannot guarantee that we will be successful in listing our ordinary shares on the Nasdaq; however, we will not complete this offering unless we are so listed.
| 145 |
EXPENSES RELATING TO THIS OFFERING
Set forth below is an itemization of the total expenses, excluding underwriting discounts and commissions, that we expect to incur in connection with this offering. With the exception of the SEC registration fee, the Nasdaq listing fee and the filing fee payable to Financial Industry Regulatory Authority, Inc., or FINRA, all amounts are estimates.
| SEC Registration Fee | $ | [●] | ||
| Nasdaq Listing Fee | $ | [●] | ||
| FINRA filing fee | $ | [●] | ||
| Legal Fees and Expenses | $ | [●] | ||
| Accounting Fees and Expenses | $ | [●] | ||
| Printing and Engraving Expenses | $ | [●] | ||
| Miscellaneous Expenses | $ | [●] | ||
| Total | $ | [●] |
We are being represented by Loeb & Loeb LLP, New York, with respect to certain legal matters as to United States federal securities and New York State law. The validity of the ordinary shares offered by this prospectus and legal matters as to Cayman Islands law will be passed upon for us by Ogier. Legal matters as to PRC law will be passed upon for us by L&L-Leaven, Attorneys-at-Law. Legal matters as to Taiwan law will be passed upon for us by Lee and Li, Attorneys-at-Law. Loeb & Loeb LLP may rely upon Ogier with respect to matters governed by Cayman Islands law, L&L-Leaven, Attorneys-at-Law with respect to matters governed by PRC law and Lee and Li, Attorneys-at-Law with respect to matters governed by Taiwan law. Ellenoff Grossman & Schole LLP is acting as U.S. counsel for the underwriters.
The consolidated financial statements as of December 31, 2019 and 2020, and for each of the two years in the period ended December 31, 2020, included in this Prospectus have been so included in reliance on the report of PricewaterhouseCoopers, Taiwan, an independent registered public accounting firm, given on the authority of said firm as experts in auditing and accounting.
The registered business address of PricewaterhouseCoopers, Taiwan is 27F, No. 333, Sec. 1, Keelung Rd., Xinyi Dist., Taipei 11012, Taiwan.
CHANGE IN REGISTRANT’S CERTIFYING ACCOUNTANT
Deloitte & Touche, Taiwan was removed as our independent auditor on September 1, 2020. The registered address of Deloitte & Touche, Taiwan is 22/F, CTBC Taichung Financial Plaza, No. 88, Huizhong Road, Sec. 1, Xitun District, Taichung 407025, Taiwan.
The removal of Deloitte & Touche, Taiwan was approved by our board of directors.
| 146 |
During the fiscal years ended December 31, 2019 and 2018 and the subsequent interim period through September 2020, there were no (1) disagreements with Deloitte & Touche, Taiwan on any matter of accounting principles or practices, financial statement disclosure or auditing scope or procedures, which disagreements if not resolved to their satisfaction would have caused them to make reference in connection with their opinion to the subject matter of the disagreement, or (2) reportable events as described in Item 16F of Form 20-F.
The audit report of Deloitte & Touche, Taiwan on the consolidated financial statements of J-Star Holding Co., Ltd. as of and for the fiscal years ended December 31, 2019 and 2018 did not contain any adverse opinion or a disclaimer of opinion and was not qualified or modified as to uncertainty, audit scope or accounting principles.
On September 21, 2020, we engaged PricewaterhouseCoopers, Taiwan as our independent registered public accounting firm to audit our consolidated financial statements as of and for the fiscal year ended December 31, 2019 and 2020. During the fiscal years ended December 31, 2019 and 2018 and the subsequent interim period through September 21, 2020, we did not consult with PricewaterhouseCoopers, Taiwan with respect to (i) the application of accounting principles to a specified transaction, either completed or proposed, or the type of audit opinion that might be rendered on our financial statements, and neither a written report nor oral advice was provided to us that PricewaterhouseCoopers, Taiwan concluded was an important factor considered by us in reaching a decision as to any accounting, auditing or financial reporting issue, or (ii) any matter that was either the subject of a “disagreement,” as defined in Item 16F(a)(1)(iv) of Form 20-F (and the related instructions thereto), or a “reportable event” as defined in Item 16F(a)(1)(v) of Form 20-F.
WHERE YOU CAN FIND ADDITIONAL INFORMATION
We have filed with the SEC a registration statement on Form F-1 under the Securities Act with respect to the ordinary shares described herein. This prospectus, which constitutes part of the registration statement, does not include all of the information contained in the registration statement. You should refer to the registration statement and its exhibits for additional information. Whenever we make reference in this prospectus to any of our contracts, agreements or other documents, the references are not necessarily complete and you should refer to the exhibits attached to the registration statement for copies of the actual contract, agreement or other document. We anticipate making these documents publicly available, free of charge, on our website at www.ymaunivers.com as soon as reasonably practicable after filing such documents with the SEC. The information on our website is not incorporated by reference into this prospectus and should not be considered to be a part of this prospectus. We have included our website address as an inactive textual reference only.
You can read the registration statement and our future filings with the SEC, over the Internet at the SEC’s web site at http://www.sec.gov.
Please call the SEC at 1-800-SEC-0330 for further information on the operation of the public reference room.
| 147 |
INDEX TO CONSOLIDATED FINANCIAL STATEMENTS
J-STAR HOLDING CO., LTD. AND SUBSIDIARIES
CONSOLIDATED FINANCIAL STATEMENTS AND
REPORT OF INDEPENDENT REGISTERED PUBLIC ACCOUNTING FIRM
FOR THE YEARS ENDED DECEMBER 31, 2019 AND 2020
FOR THE SIX MONTHS ENDED JUNE 30, 2020 AND 2021
| F-1 |
REPORT OF INDEPENDENT REGISTERED PUBLIC ACCOUNTING FIRM
To the Board of Directors and Shareholders of J-Star Holding Co., Ltd.
Opinion on the Financial Statements
We have audited the accompanying consolidated balance sheets of J-Star Holding Co., Ltd. and its subsidiaries (the “Company”) as of December 31, 2019 and 2020, and the related consolidated statements of comprehensive income, of changes in equity and of cash flows for each of the two years in the period ended December 31, 2020, including the related notes (collectively referred to as the “consolidated financial statements”). In our opinion, the consolidated financial statements present fairly, in all material respects, the financial position of the Company as of December 31, 2019 and 2020, and the results of its operations and its cash flows for each of the two years in the period ended December 31, 2020, in conformity with International Financial Reporting Standards as issued by the International Accounting Standards Board.
Change in Accounting Principles
As discussed in Note 40 to the consolidated financial statements, the Company changed the manner in which it accounts for leases in 2019.
Basis for opinion
These consolidated financial statements are the responsibility of the Company’s management. Our responsibility is to express an opinion on the Company’s consolidated financial statements based on our audits. We are a public accounting firm registered with the Public Company Accounting Oversight Board (United States) (“PCAOB”) and are required to be independent with respect to the Company in accordance with the U.S. federal securities laws and the applicable rules and regulations of the Securities and Exchange Commission and the PCAOB.
We conducted our audits of these consolidated financial statements in accordance with the standards of the PCAOB. Those standards require that we plan and perform the audit to obtain reasonable assurance about whether the consolidated financial statements are free of material misstatement, whether due to error or fraud.
Our audits included performing procedures to assess the risks of material misstatement of the consolidated financial statements, whether due to error or fraud, and performing procedures that respond to those risks. Such procedures included examining, on a test basis, evidence regarding the amounts and disclosures in the consolidated financial statements. Our audits also included evaluating the accounting principles used and significant estimates made by management, as well as evaluating the overall presentation of the consolidated financial statements. We believe that our audits provide a reasonable basis for our opinion.
/s/ PricewaterhouseCoopers, Taiwan
Taipei, Taiwan
Republic of China
September 30, 2021
We have served as the Company’s auditor since 2020.
| F-2 |
J-Star Holding Co., Ltd. AND SUBSIDIARIES
December 31, 2019 and 2020
Expressed in United States dollars
| December 31, 2019 | December 31, 2020 | |||||||||||
| Assets | Notes | AMOUNT | AMOUNT | |||||||||
| Current assets | ||||||||||||
| Cash and cash equivalents | 5 | $ | 1,563,058 | $ | 1,336,820 | |||||||
| Current financial assets at amortized cost | 6 | 66,816 | 771,592 | |||||||||
| Accounts receivable, net | 7 | 5,455,635 | 5,118,874 | |||||||||
| Other receivables | 11 | 2,752,788 | 858,556 | |||||||||
| Other receivables due from related parties | 31 | 49,830 | - | |||||||||
| Inventories | 8 | 8,176,729 | 11,699,660 | |||||||||
| Prepayments | 9 | 2,799,130 | 1,670,669 | |||||||||
| Other current assets | 106,228 | 201,510 | ||||||||||
| Current assets | 20,970,214 | 21,657,681 | ||||||||||
| Non-current assets | ||||||||||||
| Property, plant and equipment | 10 | 3,874,823 | 3,955,568 | |||||||||
| Right-of-use assets | 11 | 387,710 | 505,034 | |||||||||
| Intangible assets | 37,051 | 21,816 | ||||||||||
| Deferred tax assets | 27 | 311,300 | 368,009 | |||||||||
| Other non-current assets, others | 17 | 414,261 | 2,084,651 | |||||||||
| Non-current assets | 5,025,145 | 6,935,078 | ||||||||||
| Total assets | $ | 25,995,359 | $ | 28,592,759 | ||||||||
(Continued)
The accompanying notes are an integral part of these consolidated financial statements.
| F-3 |
J-Star Holding Co., Ltd. AND SUBSIDIARIES
Consolidated Balance Sheets
December 31, 2019 and 2020
Expressed in United States dollars
| December 31, 2019 | December 31, 2020 | |||||||||||
| Liabilities and Equity | Notes | AMOUNT | AMOUNT | |||||||||
| Current liabilities | ||||||||||||
| Short-term loans | 12 | $ | 667,120 | $ | 2,743,646 | |||||||
| Current contract liabilities | 20 | 986,139 | 601,351 | |||||||||
| Notes payable | 7,364 | 9,046 | ||||||||||
| Accounts payable | 2,899,710 | 3,749,984 | ||||||||||
| Other payables | 13 | 7,647,101 | 7,481,911 | |||||||||
| Other payables to related parties | 31 | 1,936,422 | 442,473 | |||||||||
| Current tax liabilities | 1,408,314 | 1,786,265 | ||||||||||
| Current lease liabilities | 1,268,381 | 1,199,345 | ||||||||||
| Other current liabilities | 14 | 699,764 | 605,216 | |||||||||
| Current liabilities | 17,520,315 | 18,619,237 | ||||||||||
| Non-current liabilities | ||||||||||||
| Long-term loans | 14 | - | 429,000 | |||||||||
| Deferred tax liabilities | 27 | 7,755 | 34,405 | |||||||||
| Non-current lease liabilities | 1,432,903 | 218,827 | ||||||||||
| Long-term notes and accounts payable to related parties | 31 | 1,925,589 | - | |||||||||
| Guarantee deposits received | 67,510 | 72,239 | ||||||||||
| Non-current liabilities | 3,433,757 | 754,471 | ||||||||||
| Total Liabilities | 20,954,072 | 19,373,708 | ||||||||||
| Equity | ||||||||||||
| Equity attributable to owners of parent | ||||||||||||
| Share capital | 17 | |||||||||||
| Ordinary share | 7,770,896 | 6,805,098 | ||||||||||
| Capital surplus | 18 | |||||||||||
| Capital surplus | 9,520,046 | 8,397,244 | ||||||||||
| Retained earnings | 19 | |||||||||||
| Accumulated deficit | (4,165,476 | ) | (5,751,639 | ) | ||||||||
| Other equity interest | ||||||||||||
| Other equity interest | (62,101 | ) | (231,652 | ) | ||||||||
| Treasury shares | 17 | (8,022,078 | ) | - | ||||||||
| Total Equity | 5,041,287 | 9,219,051 | ||||||||||
| Total liabilities and equity | $ | 25,995,359 | $ | 28,592,759 | ||||||||
The accompanying notes are an integral part of these consolidated financial statements.
| F-4 |
J-Star Holding Co., Ltd. AND SUBSIDIARIES
Consolidated Statements of Comprehensive Income
Years Ended December 31, 2019 and 2020
Expressed in United States dollars
| Year ended December 31 | ||||||||||||
| 2019 | 2020 | |||||||||||
| Notes | AMOUNT | AMOUNT | ||||||||||
| Operating revenue | 20 | $ | 22,786,951 | $ | 22,178,572 | |||||||
| Cost of revenue | 8,25,26 | (18,203,126 | ) | (14,816,905 | ) | |||||||
| Gross profit from operations | 4,583,825 | 7,361,667 | ||||||||||
| Operating expenses | 25,26 | |||||||||||
| Selling expenses | (1,927,635 | ) | (1,386,309 | ) | ||||||||
| Administrative expenses | (3,152,487 | ) | (2,517,208 | ) | ||||||||
| Research and development expenses | (1,744,141 | ) | (1,689,817 | ) | ||||||||
| Expected credit losses | 37 | (230,471 | ) | (81,947 | ) | |||||||
| Gains on disposals of non-current asset held for sale | 11 | 6,859,542 | - | |||||||||
| Gains arising from sale and leaseback transactions | 11 | 6,948,966 | - | |||||||||
| Other income and expenses | 21 | (205,804 | ) | 13,691 | ||||||||
| Net operating income (loss) | 11,131,795 | 1,700,077 | ||||||||||
| Non-operating income and expenses | ||||||||||||
| Interest income | 22 | 9,502 | 2,802 | |||||||||
| Other gains and losses | 23 | 514,890 | 180,463 | |||||||||
| Finance costs | 24 | (490,581 | ) | (417,923 | ) | |||||||
| Non-operating income and expenses | 33,811 | (234,658 | ) | |||||||||
| Profit before income tax | 11,165,606 | 1,465,419 | ||||||||||
| Income tax expense | 27 | (159,807 | ) | (355,273 | ) | |||||||
| Profit after income tax | $ | 11,005,799 | $ | 1,110,146 | ||||||||
| Components of other comprehensive income that will be reclassified to profit or loss | ||||||||||||
| Exchange differences on translation of foreign operations | 5,309 | (169,551 | ) | |||||||||
| Total comprehensive income | $ | 11,011,108 | $ | 940,595 | ||||||||
| Basic and diluted | ||||||||||||
| Earnings per share | 28 | $ | 0.44 | $ | 0.06 | |||||||
The accompanying notes are an integral part of these consolidated financial statements.
| F-5 |
J-Star Holding Co., Ltd. AND SUBSIDIARIES
Consolidated Statements of Changes in Equity
Years Ended December 31, 2019 and 2020
Expressed in United States dollars
| Equity attributable to owners of the parent | ||||||||||||||||||||||||||||
| Other equity interest | ||||||||||||||||||||||||||||
| Year 2019 | Notes | Ordinary share | Capital surplus | Accumulated deficit | Financial statements translation differences of foreign operations | Treasury shares | Total equity | |||||||||||||||||||||
| Balance at January 1, 2019 | $ | 7,770,896 | $ | 9,520,046 | $ | (15,171,275 | ) | $ | (67,410 | ) | $ | - | $ | 2,052,257 | ||||||||||||||
| Profit for the year | - | - | 11,005,799 | - | - | 11,005,799 | ||||||||||||||||||||||
| Other comprehensive loss | - | - | - | 5,309 | - | 5,309 | ||||||||||||||||||||||
| Total comprehensive income | - | - | 11,005,799 | 5,309 | - | 11,011,108 | ||||||||||||||||||||||
| Stock reacquisition | 17 | - | - | - | - | (8,022,078 | ) | (8,022,078 | ) | |||||||||||||||||||
| Balance at December 31, 2019 | $ | 7,770,896 | $ | 9,520,046 | $ | (4,165,476 | ) | $ | (62,101 | ) | $ | (8,022,078 | ) | $ | 5,041,287 | |||||||||||||
| Year 2020 | ||||||||||||||||||||||||||||
| Balance at January 1, 2020 | $ | 7,770,896 | $ | 9,520,046 | $ | (4,165,476 | ) | $ | (62,101 | ) | $ | (8,022,078 | ) | $ | 5,041,287 | |||||||||||||
| Profit for the year | - | - | 1,110,146 | - | - | 1,110,146 | ||||||||||||||||||||||
| Other comprehensive income | - | - | - | (169,551 | ) | - | (169,551 | ) | ||||||||||||||||||||
| Total comprehensive income | - | - | 1,110,146 | (169,551 | ) | - | 940,595 | |||||||||||||||||||||
| Share-based payments | 16,18 | - | 46,944 | - | - | - | 46,944 | |||||||||||||||||||||
| Treasury shares reissue | 17,18 | - | 153,780 | - | - | 3,036,445 | 3,190,225 | |||||||||||||||||||||
| Treasury shares retirement | 17,18 | (965,798 | ) | (1,323,526 | ) | (2,696,309 | ) | - | 4,985,633 | - | ||||||||||||||||||
| Balance at December 31, 2020 | $ | 6,805,098 | $ | 8,397,244 | $ | (5,751,639 | ) | $ | (231,652 | ) | $ | - | $ | 9,219,051 | ||||||||||||||
The accompanying notes are an integral part of these consolidated financial statements.
| F-6 |
J-Star Holding Co., Ltd. AND SUBSIDIARIES
Consolidated Statements of Cash Flows
Years Ended December 31, 2019 and 2020
Expressed in United States dollars
Year ended December 31 | ||||||||||||
| Notes | 2019 | 2020 | ||||||||||
| CASH FLOWS FROM OPERATING ACTIVITIES | ||||||||||||
| Profit before tax | $ | 11,165,606 | $ | 1,465,419 | ||||||||
| Adjustments | ||||||||||||
| Adjustments to reconcile profit (loss) | ||||||||||||
| Depreciation expenses | 10,25 | 556,779 | 643,003 | |||||||||
| Depreciation expenses-Right-of-use assets | 11,25 | 223,769 | 222,821 | |||||||||
| Amortization expenses | 25 | 36,851 | 29,534 | |||||||||
| Expected credit losses | 37 | 230,471 | 81,947 | |||||||||
| Cost of share-based payment | 16,26 | - | 46,944 | |||||||||
| Interest income | 22 | (9,502 | ) | (2,802 | ) | |||||||
| Interest expense | 24 | 490,581 | 417,923 | |||||||||
| Loss on disposal of property, plant and equipment | 21 | 221,065 | 71,801 | |||||||||
| Gains on disposals of non-current asset held for sale | 11 | (6,859,542 | ) | - | ||||||||
| Gains arising from lease modifications | 11,21 | - | (1,557 | ) | ||||||||
| Gains arising from sale and leaseback transactions | 11 | (6,948,966 | ) | - | ||||||||
| Changes in operating assets and liabilities | ||||||||||||
| Changes in operating assets | ||||||||||||
| Accounts receivable | 1,417,142 | 240,728 | ||||||||||
| Other receivables | (2,611,063 | ) | 237,967 | |||||||||
| Other receivables – related parties | (49,818 | ) | 49,830 | |||||||||
| Inventories | (2,000,366 | ) | (3,522,931 | ) | ||||||||
| Prepayments | (815,807 | ) | 1,109,801 | |||||||||
| Other current asset | 574,630 | (95,282 | ) | |||||||||
| Other non-current assets | - | (276,697 | ) | |||||||||
| Changes in operating liabilities | ||||||||||||
| Current contract liabilities | 986,139 | (384,788 | ) | |||||||||
| Notes payable | (7,463 | ) | 1,682 | |||||||||
| Accounts and payable | (102,941 | ) | 850,274 | |||||||||
| Other payables | 1,780,811 | 17,469 | ||||||||||
| Other current liabilities | 307,097 | (328,548 | ) | |||||||||
| Cash (outflow) inflow generated from operations | (1,414,527 | ) | 874,538 | |||||||||
| Interest received | 9,502 | 2,802 | ||||||||||
| Interest paid | (706,936 | ) | (537,994 | ) | ||||||||
| Income tax paid | (195,548 | ) | (99,938 | ) | ||||||||
| Net cash flows (used in) from operating activities | (2,307,509 | ) | 239,408 | |||||||||
(Continued)
The accompanying notes are an integral part of these consolidated financial statements.
| F-7 |
J-Star Holding Co., Ltd. AND SUBSIDIARIES
Consolidated Statements of Cash Flows
Years Ended December 31, 2019 and 2020
Expressed in United States dollars
Year ended December 31 | ||||||||||||
Notes | 2019 | 2020 | ||||||||||
| CASH FLOWS FROM INVESTING ACTIVITIES | ||||||||||||
| Acquisition of financial assets at amortized cost | $ | - | $ | (704,776 | ) | |||||||
| Acquisition of property, plant and equipment | 29 | (1,080,399 | ) | (659,266 | ) | |||||||
| Proceeds from disposal of property, plant and equipment | - | 138,188 | ||||||||||
| Acquisition of intangible assets | (9,107 | ) | (12,827 | ) | ||||||||
| Proceeds from sale and leaseback transactions and disposal of non-current asset held for sale | 11,457,760 | - | ||||||||||
| Increase in guarantee deposits received | (155,678 | ) | - | |||||||||
| Net cash flows from (used in) investing activities | 10,212,576 | (1,238,681 | ) | |||||||||
| CASH FLOWS FROM FINANCING ACTIVITIES | ||||||||||||
| Proceeds from short-term bank loans | 30 | 323,500 | 2,752,858 | |||||||||
| Payments on short-term loans | 30 | - | (741,075 | ) | ||||||||
| Proceeds from long-term bank loans | 30 | - | 676,000 | |||||||||
| Payments on long-term bank loans | 30 | - | (37,556 | ) | ||||||||
| Increase(decrease) in other payables to related parties | 770,250 | (1,137,495 | ) | |||||||||
| Payment on lease liabilities | 30 | (192,213 | ) | (155,052 | ) | |||||||
| Increase (decrease) in long-term notes and accounts payable to related parties | 30 | 73,916 | (498,894 | ) | ||||||||
| Treasury shares acquired | 17 | (8,022,078 | ) | - | ||||||||
| Net cash flows (used in) from financing activities | (7,046,625 | ) | 858,786 | |||||||||
| Effect of foreign exchange rate changes | 117,877 | (85,751 | ) | |||||||||
| Net increase (decrease) in cash and cash equivalents | 976,319 | (226,238 | ) | |||||||||
| Cash and cash equivalents at beginning of year | 586,739 | 1,563,058 | ||||||||||
| Cash and cash equivalents at end of year | $ | 1,563,058 | $ | 1,336,820 | ||||||||
The accompanying notes are an integral part of these consolidated financial statements.
| F-8 |
J-Star Holding Co., Ltd. AND SUBSIDIARIES
Notes to the Consolidated Financial Statements
December 31, 2019 and 2020
Expressed in US dollars, except as otherwise indicated
| 1. | Corporate and group information |
J-Star Holding Co., Ltd. (the “Company”) was incorporated in the Cayman Islands in May 2016. The Company and its subsidiaries (collectively referred herein as the “Group”) are primarily engaged in manufacturing and trading business of bicycle parts, sports accessories and carbon fiber composite products.
| 2. | The authorization of the consolidated financial statements |
The accompanying consolidated financial statements were authorized for issuance by the Board of Directors on September 30, 2021.
| 3. | Application of new and revised International Financial Reporting Standards (“IFRS”), International Accounting Standards (“IAS”), International Financial Reporting Interpretations Committee (“IFRIC”) Interpretations and Standing Interpretations Committee (“SIC”) Interpretations issued by the International Accounting Standards Board (“IASB”), (collectively, “IFRSs”) |
| a) | Amendments to IFRSs and the new interpretation that are mandatorily effective for the current year |
| New Standards, Interpretations and Amendments | Effective date issued by IASB | |
| Amendments to IAS 1 and IAS 8, “Disclosure Initiative-Definition of Material” | January 1, 2020 | |
| Amendments to IFRS 3, “Definition of a Business” | January 1, 2020 | |
| Amendments to IFRS 9, IAS 39 and IFRS 7, “Interest Rate Benchmark Reform” | January 1, 2020 | |
| Amendment to IFRS 16, “Covid-19-Related Rent Concessions” | June 1, 2020 |
Based on the Group’s assessment, the above standards and interpretations have no significant impact to the Group’s financial position and financial performance.
| b) | New standards, interpretations and amendments in issue but not yet effective |
| New Standards, Interpretations and Amendments | Effective date issued by IASB | |
| Amendments to IFRS 4, “Extension of the Temporary Exemption from Applying IFRS 9” | January 1, 2021 | |
| Amendments to IFRS 9, IAS 39, IFRS 7, IFRS 4 and IFRS 16, “Interest Rate Benchmark Reform-Phase 2” | January 1, 2021 | |
| Amendments to IFRS 3, “Reference to the Conceptual Framework” | January 1, 2022 | |
| Amendments to IFRS 10 and IAS 28, “Sale or Contribution of Assets between an Investor and its Associate or Joint Venture” | To be determined by IASB | |
| IFRS 17, “Insurance Contracts” | January 1, 2023 | |
| Amendments to IFRS 17, “Insurance Contracts” | January 1, 2023 | |
| Amendments to IAS 1, “Classification of Liabilities as Current or Non-current” | January 1, 2023 | |
| Amendments to IAS 1, “Disclosure of Accounting Policies” | January 1, 2023 | |
| Amendments to IAS 8, “Definition of Accounting Estimates” | January 1, 2023 | |
| Amendments to IAS 16, “Property, Plant and Equipment:Proceeds before Intended Use” | January 1, 2022 | |
| Amendments to IAS 37, “Onerous Contracts—Cost of Fulfilling a Contract” | January 1, 2022 | |
| Annual Improvements to IFRS Standards 2018–2020 | January 1, 2022 |
| F-9 |
Except for the following, the above standards and interpretations have no significant impact to the Group’s financial condition and financial performance based on the Group’s assessment. The quantitative impact will be disclosed when the assessment is complete.
| (a) | Amendments to IAS 1, ‘Classification of liabilities as current or non-current’ | |
| The amendments clarify that classification of liabilities depends on the rights that exist at the end of the reporting period. An entity shall classify a liability as current when it does not have a right at the end of the reporting period to defer settlement of the liability for at least twelve months after the reporting period. Also, the amendments define ‘settlement’ as the extinguishment of a liability with cash, other economic resources or an entity’s own equity instruments. | ||
| (b) | Amendments to IAS 16, ‘Property, plant and equipment: proceeds before intended use’ | |
| This amendment to IAS 16 prohibits an entity from deducting from the cost of an item of property, plant and equipment any proceeds received from selling items produced while the entity is preparing the asset for its intended use (for example, the proceeds from selling samples produced when testing a machine to see if it is functioning properly). The proceeds from selling such samples and the costs relating to items produced are now recognized in profit or loss. This amendment also clarifies that an entity is ‘testing whether the asset is functioning properly’ when it assesses the technical and physical performance of the asset. The financial performance of the asset is not relevant to this assessment. |
| 4. | Summary of significant accounting policies |
The significant accounting policies applied in the preparation of these accompanying consolidated financial statements are set out below. These policies have been consistently applied during the reported periods, unless otherwise stated.
| a) | Statement of compliance | |
| The consolidated financial statements of the Group have been prepared in accordance with IFRSs as issued by the IASB. | ||
| b) | Basis of preparation |
| (a) | The consolidated financial statements have been prepared under the historical cost convention: | |
| (b) | The preparation of the consolidated financial statements in conformity with IFRSs requires the use of certain critical accounting estimates. It also requires management to exercise its judgment in the process of applying the Group’s accounting policies. The areas involving a higher degree of judgment or complexity, or areas where assumptions and estimates are significant to the consolidated financial statements are disclosed in Note 4 bb). | |
| (c) | These consolidated financial statements are presented in U.S. dollars (“US$”), which is the Company’s functional currency. |
| c) | Basis of consolidation |
| (a) | Basis for preparation of consolidated financial statements: | ||
| i) | All subsidiaries are included in the Group’s consolidated financial statements. Subsidiaries are all entities controlled by the Group. The Group controls an entity when the Group is exposed, or has rights, to variable returns from its involvement with the entity and has the ability to affect those returns through its power over the entity. Consolidation of subsidiaries begins from the date the Group obtains control of the subsidiaries and ceases when the Group loses control of the subsidiaries Transactions, balances and unrealized gains or losses on transactions between companies within the Group are eliminated. Accounting policies of subsidiaries have been adjusted where necessary to ensure consistency with the policies adopted by the Group. | ||
| ii) | Transactions, balances and unrealized gains or losses on transactions between companies within the Group are eliminated. Accounting policies of subsidiaries have been adjusted where necessary to ensure consistency with the policies adopted by the Group. | ||
| iii) | In 2016, the Company, through a series of transactions which is accounted for as a reorganization of entities under a common control, became the ultimate parent entity of its subsidiaries. The Group accounted for the transactions using the book value method of accounting and is retrospectively applied. Difference between consideration paid and the net assets acquired is adjusted to shareholders’ equity. | ||
| F-10 |
| (b) | Subsidiaries included in the consolidated financial statements: |
| Percentage of Ownership (%) | ||||||||||||||||
| December 31, | ||||||||||||||||
| Name of investor | Name of investee | Main business | Location | 2019 | 2020 | Note | ||||||||||
| The Company | GOAL BEYOND LIMITED(GOAL BEYOND) | Holding company | Samoa | 100 | 100 | |||||||||||
| The Company | STAR LEADER TRADING LIMITED (STAR LEADER) | Sales of bicycle,sporting goods,and otheer carbon composite products | Hong Kong | 100 | 100 | |||||||||||
| GOAL BEYOND | YMA CORPORATION (YMA) | Product development,design,manufacturing and sales of carbon fiber composite products | Republic of China (“ROC”) | 100 | 100 | |||||||||||
| GOAL BEYOND | TIME YIELD LIMITED (TIME YIELD) | Purchasing | Samoa | 100 | 100 | |||||||||||
| GOAL BEYOND | Forwell Sports Equipment Co., Ltd. (Forwell) | Manufacturing of bicycle,sporting goods and carbon fiber composite | Dongguan, People’s Republic of China (“PRC”) | - | 100 | ii | ||||||||||
| GOAL BEYOND | YMA Composite Materials (DG) Co., Ltd. (YMA DG) | Manufacturing of bicycle,sporting goods and carbon fiber composite | Dongguan, People’s Republic of China (“PRC”) | 100 | 100 | |||||||||||
| GOAL BEYOND | SKYFORT INTERNATIONAL PTE. LIMITED (SKYFORT) | Holding company | Singapore | 100 | - | i | ||||||||||
| SKYFORT | Forwell | Manufacturing of bicycle,sporting goods and carbon fiber composite | Dongguan, People’s Republic of China (“PRC”) | 100 | - | ii | ||||||||||
| (a) | Subsidiaries not included in the consolidated financial statements: None. |
| (b) | Adjustments for subsidiaries with different balance sheet date: Not applicable. |
| (c) | Significant restrictions |
As of December 31, 2020, cash and short-term deposits of $41,718 deposited in mainland China are under local foreign exchange control which restricts the capital to be remitted outside the borders except for normal dividend distribution.
| F-11 |
| (d) | Subsidiaries that have non-controlling interests that are material to the Group: None. |
| (e) | Note: |
| i) | SKYFORT was liquidated in February 2020. |
| ii) | There was a change of shareholder in Forwell in January 2020. Forwell was held by SKYFORT before the change and held by GOAL BEYOND after the change. |
| d) | Foreign currency translation |
Items included in the financial statements of each of the Group’s entities are measured using the currency of the primary economic environment in which the entity operates (the “functional currency”). The consolidated financial statements are presented in US$, which is the Company’s functional currency and the Group’s presentation currency.
| (a) | Foreign currency transactions and balances |
| i) | Foreign currency transactions are translated into the functional currency using the exchange rates prevailing at the dates of the transactions or valuation where items are remeasured. Therefore, foreign exchange differences resulting from the settlement of such transactions are recognized in profit or loss in the period in which they arise. | |
| ii) | Monetary assets and liabilities denominated in foreign currencies at the period end are re-translated at the exchange rates prevailing at the balance sheet date. Exchange differences arising upon re-translation are recognized in profit or loss on the balance sheet date. | |
| iii) | Non-monetary assets and liabilities denominated in foreign currencies held at fair value through profit or loss are re-translated at the exchange rates prevailing at the balance sheet date; their exchange differences are recognized in profit or loss. Non-monetary assets and liabilities denominated in foreign currencies held at fair value through other comprehensive income are re-translated at the exchange rates prevailing at the balance sheet date; their exchange differences are recognized in other comprehensive income. However, non-monetary assets and liabilities denominated in foreign currencies that are not measured at fair value are translated using the historical exchange rates at the initial dates of the transactions. | |
| iv) | All foreign exchange differences are presented in the statement of comprehensive income under “Other gains and losses” by the nature of transactions. |
| (b) | Translation of foreign operations |
The operating results and financial position of all the group entities, associates that have different functional currency and presentation currency are translated into the presentation currency as follows:
| i) | Assets and liabilities for each balance sheet presented are translated at the exchange rates prevailing at the balance sheet date; | |
| ii) | Income and expenses for each statement of comprehensive income are translated at average exchange rates of that period; and | |
| iii) | All exchange differences are recognized in other comprehensive income. |
| F-12 |
| e) | Classification of current and non-current assets and liabilities |
| (a) | Assets that meet one of the following criteria are classified as current assets: |
| i) | Assets arising from operating activities that are expected to be realized, or are intended to be sold or consumed within the normal operating cycle; | |
| ii) | Assets held mainly for trading purposes; | |
| iii) | Assets that are expected to be realized within 12 months from the balance sheet date; | |
| iv) | Cash and cash equivalents, excluding restricted cash and cash equivalents and those that are to be exchanged or used to pay off liabilities more than 12 months after the balance sheet date. |
All assets that do not meet the above criteria are classified as non-current assets.
| (b) | Liabilities that meet one of the following criteria are classified as current liabilities: |
| i) | Liabilities that are expected to be settled within the normal operating cycle; | |
| ii) | Liabilities arising mainly from trading activities; | |
| iii) | Liabilities that are to be settled within 12 months from the balance sheet date; | |
| iv) | Liabilities for which the repayment date cannot be unconditionally extended to more than 12 months after the balance sheet date. Liabilities bearing terms that could, at the option of the counterparty, result in its settlement by the issue of equity instruments do not affect its classification. |
All liabilities that do not meet the above criteria are classified as non-current liabilities.
| f) | Cash equivalents |
Cash equivalents refer to short-term, highly liquid investments that are readily convertible to known amounts of cash and are subject to an insignificant risk of changes in value (including time deposits with less than 3 months contract period from date of acquisition). Time deposits that meet the above definition and are held for the purpose of meeting short-term cash commitments in operations are classified as cash equivalents.
| g) | Financial assets at amortized cost |
| (a) | Financial assets at amortized cost are those that meet all of the following criteria: |
| i) | The objective of the Group’s business model is achieved by collecting contractual cash flows. |
| ii) | The financial assets’ contractual cash flows represent solely payments of principal and interest. |
| F-13 |
| (b) | The Group’s time deposits which do not fall under cash equivalents are those with a short maturity period and are measured at initial investment amount as the effect of discounting is immaterial. |
| (c) | At initial recognition, the Group measures the financial assets at fair value plus transaction costs. Interest income from these financial assets is included in finance income using the effective interest method. A gain or loss is recognized in profit or loss when the asset is derecognized or impaired. |
| h) | Accounts and notes receivable |
| (a) | Accounts and notes receivable entitle the Group a legal right to receive consideration in exchange for transferred goods or rendered services. |
| (b) | The short-term accounts and notes receivable without bearing interest are subsequently measured at initial invoice amount as the effect of discounting is immaterial. |
| i) | Impairment of financial assets |
For financial assets at amortized cost, at each reporting date, the Group recognizes the impairment provision for 12 months expected credit losses if there has not been a significant increase in credit risk since initial recognition or recognizes the impairment provision for the lifetime expected credit losses if such credit risk has increased since initial recognition after taking into consideration all reasonable and verifiable information that includes forecasts. On the other hand, for accounts receivable that do not contain a significant financing component, the Group recognizes the impairment provision for lifetime expected credit losses.
| j) | Derecognition of financial assets |
The Group derecognizes a financial asset when the contractual rights to receive the cash flows from the financial asset expire.
| k) | Inventories |
Inventories are stated at the lower of cost and net realizable value. Cost is determined using the weighted-average method. The cost of finished goods and work in progress comprises raw materials, direct labour, other direct costs and related production overheads (allocated based on normal operating capacity). It excludes borrowing costs.
Net realizable value is the estimated selling price in the ordinary course of business less the estimated costs of completion and the estimated costs necessary to make the sale. The item by item approach is used in raw materials. The amount of any write-down of inventories to net realizable value and all losses of inventories are recognized as an expense in the period the write-down or loss occurs. The reversal of inventory valuations should not be more than historical cost.
| F-14 |
| l) | Non-current assets (or disposal groups) held for sale |
Non-current assets are classified as assets held for sale when their carrying amount is to be recovered principally through a sale transaction rather than through continuing use, and a sale is considered highly probable. They are stated at the lower of carrying amount and fair value less costs to sell.
| m) | Property, plant and equipment |
| (a) | Property, plant and equipment are initially recorded at cost. Borrowing costs incurred during the construction period are capitalized. |
| (b) | Subsequent costs are included in the asset’s carrying amount or recognized as a separate asset, as appropriate, only when it is probable that future economic benefits associated with the item will flow to the Group and the cost of the item can be measured reliably. The carrying amount of the replaced part is derecognized. All other repairs and maintenance are charged to profit or loss during the financial period in which they are incurred. |
| (c) | Property, plant and equipment apply cost model and are depreciated using the straight-line method to allocate their cost over their estimated useful lives. Each part of an item of property, plant and equipment with a cost that is significant in relation to the total cost of the item must be depreciated separately. |
| (d) | The assets’ residual values, useful lives and depreciation methods are reviewed, and adjusted if appropriate, at each financial year-end. If expectations for the assets’ residual values and useful lives differ from previous estimates or the patterns of consumption of the assets’ future economic benefits embodied in the assets have changed significantly, any change is accounted for as a change in estimate under IAS 8 “Accounting Policies, Change in Accounting Estimates and Errors”, from the date of the change. The estimated useful lives of property, plant and equipment are as follows: |
| Leasehold improvement | 3 years | |
| Machinery and equipment | 3 to 10 years | |
| Molding equipment | 2 years | |
| Others | 2 to 10 years |
| n) | Leasing arrangements (lessee)-right-of-use assets / lease liabilities |
| (a) | Leases are recognized as a right-of-use asset and a corresponding lease liability at the date at which the leased asset is available for use by the Group. For short-term leases or leases of low value assets, lease payments are recognized as an expense on a straight-line basis over the lease term. |
| (b) | Lease liabilities include the net present value of the remaining lease payments at the commencement date, discounted using the incremental borrowing interest rate. |
Lease payments are fixed payments, less any lease incentives receivable.
The Group subsequently measures the lease liability at amortized cost using the interest method and recognizes interest expense over the lease term. The lease liability is remeasured and the amount of remeasurement is recognized as an adjustment to the right-of-use asset when there are changes in the lease term or lease payments and such changes do not arise from contract modifications.
| F-15 |
| (c) | At the commencement date, the right-of-use asset is stated at the amount of the initial measurement of lease liability. The right-of-use asset is measured subsequently using the cost model and is depreciated from the commencement date to the earlier of the end of the asset’s useful life or the end of the lease term. When the lease liability is remeasured, the amount of remeasurement is recognized as an adjustment to the right-of-use asset. |
| o) | Intangible assets |
Computer software
Computer software is stated at cost and amortized on a straight-line basis over its estimated useful life of 3 to 5 years.
| p) | Impairment of non-financial assets |
The Group assesses at each balance sheet date the recoverable amounts of those assets where there is an indication that they are impaired. An impairment loss is recognized for the amount by which the asset’s carrying amount exceeds its recoverable amount. The recoverable amount is the higher of an asset’s fair value less costs to sell or value in use. When the circumstances or reasons for recognizing impairment loss for an asset in prior years no longer exist or diminish, the impairment loss is reversed. The increased carrying amount due to reversal should not be more than what the depreciated or amortized historical cost would have been if the impairment had not been recognized.
| q) | Loans |
Loans comprise long-term and short-term bank loans. Loans are recognized initially at fair value, net of transaction costs incurred. Loans are subsequently stated at amortized cost; any difference between the proceeds (net of transaction costs) and the redemption value is recognized as interest expense in profit or loss over the period of the loans using the effective interest method.
| r) | Accounts and notes payable |
| (a) | Accounts payable are liabilities for purchases of raw materials, goods or services and notes payable are those resulting from operating and non-operating activities. |
| (b) | The short-term accounts and notes payable without bearing interest are subsequently measured at initial invoice amount as the effect of discounting is immaterial. |
| s) | Derecognition of financial liabilities |
| (a) | A financial liability is derecognized when the obligation specified in the contract is either discharged or cancelled or expires. |
| (b) | Where the terms of a financial liability are renegotiated and the Group issues equity instruments to a creditor to extinguish all or part of the liability (debt for equity swap), a gain or loss is recognized in profit or loss, which is measured as the difference between the carrying amount of the financial liability and the fair value of the equity instruments issued. |
| F-16 |
| t) | Employee benefits |
| (a) | Short-term employee benefits |
Short-term employee benefits are measured at the undiscounted amount of the benefits expected to be paid in respect of service rendered by employees and should be recognized as expenses when the employees render service.
| (b) | Pensions |
Defined contribution plans
For defined contribution plans, the contributions are recognized as pension expenses when they are due on an accrual basis. Prepaid contributions are recognized as an asset to the extent of a cash refund or a reduction in future payments.
| (c) | Employees’ compensation and directors’ remuneration |
Employees’ compensation and directors’ remuneration are recognized as expenses and liabilities, provided that such recognition is required under legal obligation or constructive obligation and those amounts can be reliably estimated. Any difference between the resolved amounts and the subsequently actual distributed amounts is accounted for as changes in estimates. If employee compensation is paid by shares, the Company calculates the number of shares based on the closing price at the previous day of the board meeting resolution.
| u) | Employee share-based payments |
For the equity-settled share-based payment arrangements, the employee services received are measured at the fair value of the equity instruments granted at the grant date, and are recognized as compensation cost over the vesting period, with a corresponding adjustment to equity. The fair value of the equity instruments granted shall reflect the impact of market vesting conditions and non-vesting conditions. Compensation cost is subject to adjustment based on the service conditions that are expected to be satisfied and the estimates of the number of equity instruments that are expected to vest under the non-market vesting conditions at each balance sheet date. Ultimately, the amount of compensation cost recognized is based on the number of equity instruments that eventually vest.
| v) | Income tax |
| (a) | The income tax expense for the period comprises current and deferred tax. Income tax is recognized in profit or loss, except to the extent that it relates to items recognized in other comprehensive income or items recognized directly in equity, in which cases the income tax is recognized in other comprehensive income or equity. |
| (b) | The current income tax expense is calculated on the basis of the tax laws enacted or substantially enacted at the balance sheet date in the countries where the Group and its subsidiaries operate and generate taxable income. Management periodically evaluates positions taken in tax returns with respect to situations in accordance with applicable tax regulations. It establishes provisions where appropriate based on the amounts expected to be paid to the tax authorities. An additional income tax is levied on the unappropriated retained earnings and is recorded as income tax expense in the year the profit generated. There were no additional taxes levied on unappropriated retained earnings in any of the periods presented. |
| F-17 |
| (c) | Deferred tax is recognized, using the balance sheet liability method, on temporary differences arising between the tax bases of assets and liabilities and their carrying amounts in the consolidated balance sheet date. However, the deferred tax is not accounted for if it arises from initial recognition of an asset or liability in a transaction other than a business combination that at the time of the transaction affects neither accounting nor taxable profit or loss. Deferred tax is provided on temporary differences arising on investments in subsidiaries and associates, except where the timing of the reversal of the temporary difference is controlled by the Group and it is probable that the temporary difference will not reverse in the foreseeable future. Deferred tax is determined using tax rates (and laws) that have been enacted or substantially enacted at the balance sheet date and are expected to apply when the related deferred tax asset is realized or the deferred tax liability is settled. | |
| (d) | Deferred tax assets are recognized only to the extent that it is probable that future taxable profit will be available against which the temporary differences can be utilized. At each balance sheet date, unrecognized and recognized deferred tax assets are reassessed. | |
| (e) | Current income tax assets and liabilities are offset and the net amount reported in the balance sheet when there is a legally enforceable right to offset the recognised amounts and there is an intention to settle on a net basis or realise the asset and settle the liability simultaneously. Deferred tax assets and liabilities are offset on the balance sheet when the entity has the legally enforceable right to offset current tax assets against current tax liabilities and they are levied by the same taxation authority on either the same entity or different entities that intend to settle on a net basis or realise the asset and settle the liability simultaneously. | |
| (f) | A deferred tax asset shall be recognized for the carry forward of unused tax credits resulting from equity investments to the extent that it is possible that future taxable profit will be available against which the unused tax credits can be utilized. | |
| (g) | If a change in tax rate is enacted or substantively enacted, the Group recognizes the effect of the change immediately in the period in which the change occurs. The effect of the change on items recognized outside profit or loss is recognized in other comprehensive income or equity while the effect of the change on items recognized in profit or loss is recognized in profit or loss. |
| w) | Capital stock |
| (a) | Ordinary shares are classified as equity. Incremental costs directly attributable to the issue of new shares are shown in equity as a deduction. |
| (b) | Where the Company repurchases the Company’s shares that have been issued, the consideration paid, including any directly attributable incremental costs (net of income taxes) is deducted from equity attributable to the Company’s equity holders. Where such shares are subsequently reissued, the difference between their book value and any consideration received, net of any directly attributable incremental transaction costs and the related income tax effects, is included in equity attributable to the Company’s equity holders. |
| F-18 |
| x) | Revenue recognition |
| (a) | The Group manufactures and sells spare parts such as bicycle frame and racket. Sales are recognized when control of the products has transferred, being when the products are delivered to the customers. Delivery occurs when the products have been shipped to the specific location, the risks of obsolescence and loss have been transferred to the customers, and either the customers accepted the products in accordance with the sales contract, or the Group has objective evidence that all criteria for acceptance have been satisfied. |
| (b) | A receivable is recognized when the goods are delivered as this is the point in time that the consideration is unconditional because only the passage of time is required before the payment is due. |
| (c) | Sales revenue was recognized based on the contract price net of sales discount. Accumulated experience is used to estimate and provide for the sales discounts and allowances. The sales usually are made with a credit term of 30 to 90 days after monthly billings. which is consistent with market practice. As the time interval between the transfer of committed goods and the payment of customer does not exceed one year, the Group does not adjust the transaction price to reflect the time value of money. |
| y) | Government grants |
Government grants are recognized at their fair value only when there is reasonable assurance that the Group will comply with any conditions attached to the grants will be received. Government grants are recognized in profit or loss on a systematic basis over the periods in which the Group recognizes expenses for the related costs for which the grants are intended to compensate. Government grants related to property, plant and equipment are recognized as non-current liabilities and are amortized to profit or loss over the estimated useful lives of the related assets using straight-line method.
| z) | Business combinations – determination of business |
The Group shall determine whether a transaction or other event is a business combination, which requires that the assets acquired and liabilities assumed constitute a business. A business consists of inputs and processes applied to those inputs that have the ability to contribute to the creation of outputs. If the assets acquired are not a business, the Group shall account for the transaction or other event as an asset acquisition. If the assets acquired are a business, the Group shall account for each business combination by applying the acquisition method.
| aa) | Operating segments |
Operating segments are reported in a manner consistent with the internal reporting provided to the chief operating decision maker. The Group’s chief operating decision maker, who is responsible for allocating resources and assessing performance of the operating segments, has been identified as the Board of Directors that makes strategic decisions.
| F-19 |
| bb) | Critical accounting judgments, estimates and key sources of assumption uncertainty |
Evaluation of inventories
As inventories are stated at the lower of cost and net realizable value, the Group must determine the net realizable value of inventories on balance sheet date using judgements and estimates. Due to the rapid technology innovation, the Group evaluates the amounts of normal inventory consumption, obsolete inventories or inventories without market selling value on balance sheet date, and writes down the cost of inventories to the net realizable value. The evaluation of inventories is principally based on the unit price of the sales order as the basis of the estimate. Therefore, there might be material changes to the evaluation.
As of December 31, 2020, the Group’s cost of inventories and allowance for inventory valuation losses amounted to $12,713,025 and $1,013,365, respectively. For the years ended December 31, 2020, the amounts of reversal of inventory valuation was $159,460.
| 5. | Cash and cash equivalents |
| December 31, 2019 | December 31, 2020 | |||||||
| Cash on hand and petty cash | $ | 86,285 | $ | 1,870 | ||||
| Checking accounts and demand deposits | 1,476,773 | 1,334,950 | ||||||
| $ | 1,563,058 | $ | 1,336,820 | |||||
| a) | The Group transacts with a variety of financial institutions all with high credit quality to disperse credit risk, so it expects that the probability of counterparty default is remote. | |
| b) | No cash and cash equivalents of the Group were pledged to others. |
| 6. | Financial assets at amortized cost |
| December 31, 2019 | December 31, 2020 | |||||||
| Current items: | ||||||||
| Restricted time deposits | $ | - | $ | 701,282 | ||||
| Restricted bank deposits | 66,816 | 70,310 | ||||||
| $ | 66,816 | $ | 771,592 | ||||
| a) | Without taking into account any collateral held or other credit enhancements, the maximum exposure to credit risk in respect of the amount that best represents the financial assets at amortized cost held by the Group is the carrying amount at the end of each reporting period. |
| b) | Information about the financial assets at amortized cost that were pledged to others as collateral is provided in Notes 12 and 32. |
| c) | Information relating to credit risk of financial assets at amortized cost is provided in Note 37 c). |
| F-20 |
| 7. | Accounts receivable |
| December 31, 2019 | December 31, 2020 | |||||||
| Accounts receivable | $ | 5,686,588 | $ | 5,445,860 | ||||
| Less: Loss allowance | (230,953 | ) | (326,986 | ) | ||||
| $ | 5,455,635 | $ | 5,118,874 | |||||
| a) | The Group’s credit term granted to customers is 30~90 days. Receivables do not bear interest. The loss allowance is determined based on the credit quality of customers. Information relating to credit risk is provided in Note 37 c). |
| b) | The ageing analysis of accounts receivable that were past due but not impaired is as follows: |
| December 31, 2019 | December 31, 2020 | |||||||
| Not past due | $ | 4,568,628 | $ | 4,843,098 | ||||
| Up to 30 days | 346,861 | 167,147 | ||||||
| 31 to 90 days | 147,087 | 28,675 | ||||||
| 91 to 180 days | 297,811 | 12,317 | ||||||
| Over 180 days | 326,201 | 394,623 | ||||||
| $ | 5,686,588 | $ | 5,445,860 | |||||
| c) | As of December 31, 2019 and 2020, accounts receivable were all from contracts with customers. And as of January 1, 2019, the balance of accounts receivable from contracts with customers was $7,103,248. |
| d) | Without taking into account of any collateral held or other credit enhancements, the amount that best reflects the Group’s maximum exposure to credit risk in respect of the accounts receivable is the carrying amount at the end of each reporting period. |
| e) | No accounts receivable of the Group were pledged to others. |
| 8. | Inventories |
| December 31, 2019 | ||||||||||||
| Cost | Allowance for valuation loss | Book value | ||||||||||
| Raw materials | $ | 4,405,622 | $ | (439,255 | ) | $ | 3,966,367 | |||||
| Work in progress | 3,780,594 | (628,199 | ) | 3,152,395 | ||||||||
| Finished goods | 823,175 | (37,819 | ) | 785,356 | ||||||||
| Inventory in transit | 272,611 | - | 272,611 | |||||||||
| $ | 9,282,002 | $ | (1,105,273 | ) | $ | 8,176,729 | ||||||
| December 31, 2020 | ||||||||||||
| Cost | Allowance for valuation loss | Book value | ||||||||||
| Raw materials | $ | 3,807,079 | $ | (323,804 | ) | $ | 3,483,275 | |||||
| Work in progress | 8,172,868 | (519,528 | ) | 7,653,340 | ||||||||
| Finished goods | 733,078 | (170,033 | ) | 563,045 | ||||||||
| $ | 12,713,025 | $ | (1,013,365 | ) | $ | 11,699,660 | ||||||
The cost of inventories recognized as an expense for the year:
Year ended December 31, 2019 | Year ended December 31, 2020 | |||||||
| Cost of goods sold | $ | 17,957,717 | $ | 14,817,898 | ||||
| Loss on physical inventory observation | 485,891 | 158,467 | ||||||
| Reversal of inventory valuation | (240,482 | ) | (159,460 | ) | ||||
| $ | 18,203,126 | $ | 14,816,905 | |||||
| a) | Reversal of allowance for inventory valuation was recognized due to disposal of certain inventories which were previously provided with allowance for price decline. |
| b) | No inventories of the Group were pledged to others. |
| F-21 |
| 9. | Prepayments |
| December 31, 2019 | December 31, 2020 | |||||||
| Prepayment for purchases | $ | 309,843 | $ | 644,713 | ||||
| Prepaid sales tax | 1,990,334 | 787,652 | ||||||
| Other prepayments | 498,953 | 238,304 | ||||||
| $ | 2,799,130 | $ | 1,670,669 | |||||
| 10. | Property, plant and equipment, net |
| 2019 | ||||||||||||||||||||||||
Machinery and equipment | Leasehold improvement | Molding equipment | Others | Construction in progress and equipment to be inspected | Total | |||||||||||||||||||
| January 1 | ||||||||||||||||||||||||
| Cost | $ | 4,187,284 | $ | 559,517 | $ | 141,835 | $ | 905,653 | $ | - | $ | 5,794,289 | ||||||||||||
| Accumulated depreciation | (1,212,733 | ) | (233,035 | ) | (25,691 | ) | (721,837 | ) | - | (2,193,296 | ) | |||||||||||||
| $ | 2,974,551 | $ | 326,482 | $ | 116,144 | $ | 183,816 | $ | - | $ | 3,600,993 | |||||||||||||
| January 1 | $ | 2,974,551 | $ | 326,482 | $ | 116,144 | $ | 183,816 | $ | - | $ | 3,600,993 | ||||||||||||
| Additions | 47,512 | 71,641 | 949,266 | - | 12,471 | 1,080,890 | ||||||||||||||||||
| Disposals | (139,626 | ) | - | - | (81,439 | ) | - | (221,065 | ) | |||||||||||||||
| Depreciation expenses | (386,317 | ) | (70,352 | ) | (39,995 | ) | (60,115 | ) | - | (556,779 | ) | |||||||||||||
| Exchange adjustment | (16,906 | ) | (215 | ) | (12,095 | ) | 92 | (92 | ) | (29,216 | ) | |||||||||||||
| December 31 | $ | 2,479,214 | $ | 327,556 | $ | 1,013,320 | $ | 42,354 | $ | 12,379 | $ | 3,874,823 | ||||||||||||
| December 31 | ||||||||||||||||||||||||
| Cost | $ | 3,746,634 | $ | 638,900 | $ | 1,078,929 | $ | 276,525 | $ | 12,379 | $ | 5,753,367 | ||||||||||||
| Accumulated depreciation and impairment | (1,267,420 | ) | (311,344 | ) | (65,609 | ) | (234,171 | ) | - | (1,878,544 | ) | |||||||||||||
| $ | 2,479,214 | $ | 327,556 | $ | 1,013,320 | $ | 42,354 | $ | 12,379 | $ | 3,874,823 | |||||||||||||
| 2020 | ||||||||||||||||||||||||
Machinery and equipment | Leasehold improvement | Molding equipment | Others | Construction in progress and equipment to be inspected | Total | |||||||||||||||||||
| January 1 | ||||||||||||||||||||||||
| Cost | $ | 3,746,634 | $ | 638,900 | $ | 1,078,929 | $ | 276,525 | $ | 12,379 | $ | 5,753,367 | ||||||||||||
| Accumulated depreciation and impairment | (1,267,420 | ) | (311,344 | ) | (65,609 | ) | (234,171 | ) | - | (1,878,544 | ) | |||||||||||||
| $ | 2,479,214 | $ | 327,556 | $ | 1,013,320 | $ | 42,354 | $ | 12,379 | $ | 3,874,823 | |||||||||||||
| January 1 | $ | 2,479,214 | $ | 327,556 | $ | 1,013,320 | $ | 42,354 | $ | 12,379 | $ | 3,874,823 | ||||||||||||
| Additions | 162,832 | 82,992 | 430,473 | - | - | 676,297 | ||||||||||||||||||
| Disposals | (130,608 | ) | (79,381 | ) | - | - | - | (209,989 | ) | |||||||||||||||
| Depreciation expenses | (416,556 | ) | (50,890 | ) | (154,732 | ) | (20,825 | ) | - | (643,003 | ) | |||||||||||||
| Exchange adjustment | 148,351 | 18,995 | 87,729 | 1,494 | 871 | 257,440 | ||||||||||||||||||
| December 31 | $ | 2,243,233 | $ | 299,272 | $ | 1,376,790 | $ | 23,023 | $ | 13,250 | $ | 3,955,568 | ||||||||||||
| December 31 | ||||||||||||||||||||||||
| Cost | $ | 3,880,445 | $ | 497,465 | $ | 1,610,749 | $ | 249,990 | $ | 13,250 | $ | 6,251,899 | ||||||||||||
| Accumulated depreciation and impairment | (1,637,212 | ) | (198,193 | ) | (233,959 | ) | (226,967 | ) | - | (2,296,331 | ) | |||||||||||||
| $ | 2,243,233 | $ | 299,272 | $ | 1,376,790 | $ | 23,023 | $ | 13,250 | $ | 3,955,568 | |||||||||||||
The property, plant and equipment were not pledged to others as collaterals.
| F-22 |
| 11. | Leasing arrangements-lessee |
| a) | The Group leases various assets including land use right and buildings. Rental contracts are typically made for periods of 2 to 3 years. Lease terms are negotiated on an individual basis and contain a wide range of different terms and conditions. The lease agreements do not impose covenants, but leased assets may not be used as security for borrowing purposes. |
| b) | The carrying amount of right-of-use assets and the depreciation charge are as follows: |
| December 31, 2019 | December 31, 2020 | |||||||
| Carrying amount | Carrying amount | |||||||
| Land use right | $ | 123,847 | $ | 71,379 | ||||
| Buildings | 263,863 | 433,655 | ||||||
| $ | 387,710 | $ | 505,034 | |||||
| Year ended December 31, | ||||||||
| 2019 | 2020 | |||||||
Depreciation expenses | Depreciation expenses | |||||||
| Land use right | $ | 51,260 | $ | 57,679 | ||||
| Buildings | 172,509 | 165,142 | ||||||
| $ | 223,769 | $ | 222,821 | |||||
| c) | For the years ended December 31, 2019 and 2020, the additions to right-of-use assets were $409,516 (including addition from sale-and-leaseback transaction $334,348) and $416,641, respectively. |
| d) | The information on profit and loss accounts relating to lease contracts is as follows: |
| Year ended December 31, 2019 | Year ended December 31, 2020 | |||||||
| Items affecting profit or loss | ||||||||
| Interest expense on lease liabilities | $ | 75,696 | $ | 62,589 | ||||
| Expense on short-term lease contracts | 376,390 | 52,889 | ||||||
| Gain on lease modification | - | 1,557 | ||||||
| Gain on sale and leaseback transactions | 6,948,966 | - | ||||||
| e) | For the years ended December 31, 2019 and 2020, the Group’s total cash outflow for leases were $644,299 and $270,530 respectively. |
| f) | In order to effectively utilize the assets and strengthen the Group’s financial structure, the Group signed a share transfer agreement (“The Agreement”) dated August 14, 2018, to dispose its 100% owned subsidiary, Dongguan Yuantai Sports Equipment Co., Ltd. (“Yuantai”) to Shenzhen Meishangsheng Technology Ltd. (“Meishangsheng”) with a total consideration of RMB $142 million (USD $20,390,631), of which RMB $12 million (USD $1,723,152) were agreed to be paid to certain independent third parties as agency commission fee under a separate undertaking dated May 29, 2018. Yuantai was a company that only held land use right and buildings without any operation, did not have an organized workforce and manufacturing equipments. The Group sold the land use right and buildings, consisting Plant I and Plant II, to Meishangsheng and leaseback Plant II with a lease term of 3 years. The fair value of these two plants amounted to RMB$ 129.7 million (USD $18,623,251). Valuations were made using the market approach and replacement cost method which are categorized within Level 3 in the fair value hierarchy. The aforementioned transaction was completed in April 2019 and the Group recognized a gain on disposals of non-current asset held for sale of $6,859,542 for Plant I and a gain from the sale-and-leaseback transaction of $6,948,966 for Plant II. As of December 31, 2019, other receivable of the aforementioned transaction amounted to $2,039,702. In December 2020, the Group agreed with Meishangsheng to offset the other receivable against lease liabilities of sale-and-leaseback and other payables to Meishangsheng. The monthly lease payment for Plant II is RMB $700,000 (USD $103,516), based on the current market rents for similar comparable properties in the same location and condition. The annual lease payment for Plant II is RMB $8,400,000 (USD $1,242,199). |
| F-23 |
| 12. | Short-term loans |
| Period and | Interest rate range | |||||||||
| Type of loans | December 31, 2019 | repayment term | ( Floating rate ) | Collateral | ||||||
| Bank loans | ||||||||||
| Bank secured loans | $ | 567,120 | Principal is repayable in June 2020 at maturity. | 2.473%~2.85% | Restricted bank deposit | |||||
| Bank unsecured loans | 100,000 | Principal is repayable in March 2020 at maturity. | 2.473% | - | ||||||
| $ | 667,120 | |||||||||
| Period and | Interest rate range | |||||||||
| Type of loans | December 31, 2020 | repayment term | ( Floating rate ) | Collateral | ||||||
| Bank loans | ||||||||||
| Bank secured loans | $ | 2,041,646 | Principal is repayable in April 2021 at maturity. | 1.69%~2.60% | Restricted bank deposit Restricted time deposit | |||||
| Bank unsecured loans | 702,000 | Principal is repayable in July 2021 at maturity. | 1.75%~2.325% | - | ||||||
| $ | 2,743,646 | |||||||||
| a) | Interest expense recognized in profit or loss amounted to $9,502 and $45,625 for the years ended December 31, 2019 and 2020, respectively. |
| b) | All short-term loans were guaranteed by key management. |
| 13. | Other payables |
| December 31, 2019 | December 31, 2020 | |||||||
| Professional service fees payable | $ | 1,793,200 | $ | 1,844,400 | ||||
| Social security and provident fund payable | 1,288,664 | 1,379,340 | ||||||
| Salaries and bonuses payable | 827,917 | 821,937 | ||||||
| Processing cost payable | 2,259,885 | 735,119 | ||||||
| Mold and toolings payable | 442,568 | - | ||||||
| Employees’compensation payable | 41,857 | 63,861 | ||||||
| Other expense payable | 993,010 | 2,637,254 | ||||||
| $ | 7,647,101 | $ | 7,481,911 | |||||
The Company corrected its opening balance of shareholders’ equity account on January 1, 2019 and reversed the dividend payable to one of its former shareholders in the amount of $108,182 as the Company has settled the liability with the former shareholder in prior periods and has no obligation to make the payment.
| F-24 |
| 14. | Long-term loans |
| Interest rate range | ||||||||
| Type of loans | Period and payment term | ( Floating rate ) | December 31, 2020 | |||||
| Long-term bank loans | ||||||||
| Unsecured loans | Borrowing period is from October 12, 2020 to October 12, 2023; interest is repayable monthly;principal is repayable monthly | 0.66%~0.94% | $ | 663,000 | ||||
| Less: Current portion | (234,000 | ) | ||||||
| $ | 429,000 | |||||||
All long-term loans were guaranteed by key management.
| F-25 |
| 15. | Pensions |
Defined contribution plans
| a) | The Company’s subsidiaries in Taiwan have established a defined contribution pension plan (the “Plan”) under the Labor Pension Act (the “Act”), covering all regular employees with R.O.C. nationality. Under the Plan, the Company’s Taiwan subsidiaries contribute monthly an amount based on 6% of the employees’ monthly salaries and wages to the employees’ individual pension accounts at the Bureau of Labor Insurance. The benefits accrued are paid monthly or in lump sum upon termination of employment. |
| b) | The subsidiaries in mainland China have defined contribution pension plans and contribute monthly an amount equal to 13% of employees’ monthly salaries and wages to an independent fund administered by a government agency. The plan is administered by the government of mainland China. Other than the monthly contributions, the Group does not have further pension liabilities. |
| c) | The pension costs under the defined contribution pension plans of the Group for the years ended December 31, 2019 and 2020 were $685,529 and $106,369, respectively. As a result of the coronavirus epidemic in China in early 2020, the local government exempted the pension insurance premiums for a period of eleven months from February 2020. |
| 16. | Share-based payment |
| a) | For the year ended December 31, 2020, the Group’s share-based payment arrangements was as follows: |
| Type of arrangement | Grant date | Quantity granted (shares) | Fair value per unit | Contract period | Vesting conditions | |||||||||
| Bonus shares | August 28, 2020 | 1,000,000 | 1.02 | 5 years | 5 years’ service | |||||||||
On August 28, 2020, New Moon Corporation (New Moon), a shareholder of the Company, an employee of the Company and the Company signed a tripartite talent award agreement. Under the agreement, the Company provides NT$10,000,000 (US$327,600) to the employee for the purchase of 1,000,000 shares of the Company owned by New Moon at NT$10 per share. The employee should return the payment to the Company if the acquisition of the shares could not be completed in thirty days after the payment. Also, the employee should return the shares to New Moon if the employee resigned within five years from the date of the agreement. New Moon should also return the consideration received from the employee to the Company.
The aforementioned bonus shares settled by a shareholder of the Company cannot be transferred during the vesting period, but voting right and dividend right are not restricted. The employee is required to return the shares to the shareholder but not required to return the dividends received if she resigns during the vesting period.
The Company accounted for the shares contributed by New Moon as share-based payment arrangement settled by equity. The NT$10,000,000 (US$327,600) contributed by the Company is accounted for as prepaid cash incentive to the employee and is amortized over the contract period which is five years.
| b) | The expenses incurred on share-based payment transactions for the year ended December 31, 2020 was $46,944. |
| F-26 |
| 17. | Share capital |
| a) | As of December 31, 2020, the Company’s authorized capital was $10,879,254, consisting of 35,000,000 shares of ordinary stock, and the paid-in capital was $6,805,098 with a par value of $10 in New Taiwan dollars ($0.31 in US dollars) per share, consisting of 21,892,899 shares of ordinary stock. All proceeds from shares issued have been collected except for the share swap transaction in e). |
Movements in the number of the Company’s ordinary shares outstanding are as follows:
| 2019 | 2020 | |||||||
| January 1 | 25,000,000 | 20,000,553 | ||||||
| Stock reacquisition | (4,999,447 | ) | - | |||||
| Treasury shares reissue | - | 1,892,346 | ||||||
| December 31 | 20,000,553 | 21,892,899 | ||||||
| b) | Treasury shares |
| i) | Reason for share reacquisition and movements in the number of the Company’s treasury shares are as follows: |
| 2019 | ||||||||
| Shares | Amount | |||||||
| January 1 | - | $ | - | |||||
| Stock reacquisition | 4,999,447 | 8,022,078 | ||||||
| December 31 | 4,999,447 | $ | 8,022,078 | |||||
| 2020 | ||||||||
| Shares | Amount | |||||||
| January 1 | 4,999,447 | $ | 8,022,078 | |||||
| Treasury shares reissue | (1,892,346 | ) | (3,036,445 | ) | ||||
| Treasury shares retirement | (3,107,101 | ) | (4,985,633 | ) | ||||
| December 31 | - | $ | - | |||||
| c) | To enhance the best interest of shareholders, the Company repurchased the shares (treasury shares) amounting to $8,022,078, consisting of 4,999,447 shares at carrying amount in 2019. |
| d) | On December 25, 2020, the Board of Directors resolved to issue 1,054,293 shares (4.2% of the total ordinary share capital issued) of the treasury shares it repurchased in 2019 (with book value of $1,691,712) to one of the Group’s key management as consideration for repaying the loans from the key management. The book value of the loans from the key management amounted to $1,779,502. The ordinary shares issued have the same rights as other shares in issue. |
| e) | On December 25, 2020, the Board of Directors resolved to issue 838,053 shares (3.4% of the total ordinary share capital issued) of the treasury shares repurchased in 2019 (with book value of $1,344,733) to the shareholders of Bohong Techonology Jiangsu Co., Ltd. (Bohong) to obtain 100% of its ordinary shares through a share swap. On December 30, 2020, the Group signed the share swap agreement with the shareholders of Bohong. The ordinary shares issued have the same rights as other shares in issue. Bohong was a company that only held land use right without any operation, did not have an organized workforce and manufacturing equipment. As a result, the Group treated this transaction as an asset acquisition. The fair value of the land use right amounted to $1,410,724. Valuation for land use right was made using market approach which is categorized within Level 3 in the fair value hierarchy. As of December 31, 2020 and September 30, 2021 (the date the consolidated financial statements is authorized for issuance), the issued shares were shown as other non-current assets since the share swap registration of the shareholders of Bohong was not yet completed. |
| F-27 |
| f) | To enhance the Company’s capital structure, the Board of Directors resolved to retire all treasury shares amounting to $4,985,633 thousand (3,107,101 shares) on December 25, 2020. The retirement was approved by the regulatory authority and the capital change registration was completed on December 30, 2020. |
| 18. | Capital surplus |
Pursuant to the Cayman Islands Company Act, capital surplus arising from paid-in capital in excess of par value on issuance of ordinary shares and donations can be used to cover accumulated deficit or to issue new stocks or cash to shareholders in proportion to their share ownership, provided that the Company has no accumulated deficit. However, capital surplus should not be used to cover accumulated deficit unless the legal reserve is insufficient.
| 2019 | ||||
Share premium | ||||
| January 1 and December 31 | $ | 9,520,046 | ||
| 2020 | ||||||||||||
Share premium | Share-based payments | Total | ||||||||||
| January 1 | $ | 9,520,046 | $ | - | $ | 9,520,046 | ||||||
| Employee bonus shares | - | 46,944 | 46,944 | |||||||||
| Treasury shares reissue | 153,780 | - | 153,780 | |||||||||
| Treasury shares retirement | (1,323,526 | ) | - | (1,323,526 | ) | |||||||
| December 31 | $ | 8,350,300 | $ | 46,944 | $ | 8,397,244 | ||||||
| 19. | Accumulated deficit / retained earnings |
| a) | In accordance with the Articles of Incorporation of the Company, the Directors may, in their absolute discretion, declare dividends and distributions on Shares in issue and authorize payment of the dividends or distributions out of the funds of the Company lawfully available therefor. The Board of Directors may from time to time declare interim dividends to the shareholders. Before the declaration of an additional dividend distribution, the Board of Directors may set aside provision from the earnings as it deems appropriate to pay any unforeseen expense or to adjust dividends or for any other purpose to be met by using the earnings based on its discretion, and before such use, the provision may, at the same discretion, be used temporarily in the business of the Company or to invest in such investments as the Board of Directors may at any time as it deems appropriate. |
| b) | As of December 31, 2019 and 2020, the Company had accumulated deficit and thus had no earnings for distribution. |
| 20. | Operating revenue |
| Year ended December 31, 2019 | Year ended December 31, 2020 | |||||||
| Revenue from contracts with customers | ||||||||
| Goods sales | $ | 22,640,669 | $ | 22,178,572 | ||||
| Processing | 146,282 | - | ||||||
| $ | 22,786,951 | $ | 22,178,572 | |||||
| F-28 |
| a) | Disaggregation of revenue from contracts with customers |
The Group derives revenue from the transfer of goods and services at a point in time in the following major product lines and geographical regions:
| US | Asia | Europe | ||||||||||||||||||||||||||||||
| 2019 | Bicycle frame | Racket | Bicycle frame | Racket | Bicycle frame | Racket | Others | Total | ||||||||||||||||||||||||
| Revenue from external customer contracts | $ | 164,354 | $ | 906,651 | $ | 10,273,365 | $ | 4,048,547 | $ | 4,356,930 | $ | 3,008,837 | $ | 28,267 | $ | 22,786,951 | ||||||||||||||||
| US | Asia | Europe | ||||||||||||||||||||||||||||||
| 2020 | Bicycle frame |
Racket | Bicycle frame | Racket | Bicycle frame | Racket | Others | Total | ||||||||||||||||||||||||
| Revenue from external customer contracts | $ | - | $ | 1,935,333 | $ | 8,063,891 | $ | 3,186,704 | $ | 6,211,839 | $ | 2,758,477 | $ | 22,328 | $ | 22,178,572 | ||||||||||||||||
| b) | Contract assets and liabilities |
i.) The Group has recognized the following revenue-related contract assets and liabilities:
| January 1, 2019 | December 31, 2019 | December 31, 2020 | ||||||||||
| Contract liabilities – receipts in advance | $ | 197,546 | $ | 986,139 | $ | 601,351 | ||||||
ii) Revenue recognized that was included in the contract liability balance at the beginning of the period:
Year ended December 31, 2019 | Year ended December 31, 2020 | |||||||
| Contract liabilities – receipts in advance | $ | 197,546 | $ | 852,642 | ||||
| 21. | Other income and expenses |
Year ended December 31, 2019 | Year ended December 31, 2020 | |||||||
| Losses on disposals of property, plant and equipment | $ | (221,065 | ) | $ | (71,801 | ) | ||
| Gains arising from lease modifications | - | 1,557 | ||||||
| Government grants | 22,645 | 30,783 | ||||||
| Others | (7,384 | ) | 53,152 | |||||
| $ | (205,804 | ) | $ | 13,691 | ||||
| 22. | Interest income |
Year ended December 31, 2019 | Year ended December 31, 2020 | |||||||
| Interest income from bank deposits | $ | 9,502 | $ | 2,802 | ||||
| 23. | Other gains and losses |
Year ended December 31, 2019 | Year ended December 31, 2020 | |||||||
| Foreign exchange gains | $ | 514,890 | $ | 180,463 | ||||
| 24. | Finance costs |
Year ended December 31, 2019 | Year ended December 31, 2020 | |||||||
| Interest expense | ||||||||
| Bank loans | $ | 12,946 | $ | 49,097 | ||||
| Lease liabilities | 75,696 | 62,589 | ||||||
| Loans from related parties | 401,939 | 306,237 | ||||||
| $ | 490,581 | $ | 417,923 | |||||
| F-29 |
| 25. | Expenses by nature |
Year ended December 31, 2019 | Year ended December 31, 2020 | |||||||
| Raw materials and supplies used | $ | 11,009,762 | $ | 7,944,086 | ||||
| Employee benefit expenses | 10,056,780 | 8,388,842 | ||||||
| Fuel and utility expense | 1,247,762 | 1,214,071 | ||||||
| Short-term rent expenses | 376,390 | 52,889 | ||||||
| Freight expenses | 613,933 | 931,768 | ||||||
| Professional service expenses | 299,058 | 322,783 | ||||||
| Expected credit losses | 230,471 | 81,947 | ||||||
| Loss on physical inventory observation | 485,891 | 158,467 | ||||||
| Reversal of inventory valuation | (240,482 | ) | (159,460 | ) | ||||
| Depreciation expenses | 780,548 | 865,824 | ||||||
| Amortization expenses | 36,851 | 29,534 | ||||||
| Other expenses | 360,896 | 661,435 | ||||||
| $ | 25,257,860 | $ | 20,492,186 | |||||
| 26. | Employee benefit expenses |
Year ended December 31, 2019 | Year ended December 31, 2020 | |||||||
| Wages and salaries | $ | 8,464,283 | $ | 7,637,368 | ||||
| Labour and health insurance fees | 800,819 | 307,441 | ||||||
| Pension | 685,529 | 106,369 | ||||||
| Share-based payments | - | 46,944 | ||||||
| Other personnel expenses | 106,149 | 290,720 | ||||||
| $ | 10,056,780 | $ | 8,388,842 | |||||
| 27. | Income tax |
| a) | Income tax expense |
Components of income tax expense:
Year ended December 31, 2019 | Year ended December 31, 2020 | |||||||
| Current income tax: | ||||||||
| Current income tax on profits for the period | $ | 14,387 | $ | 387,528 | ||||
| Tax on unappropriated retained earnings | 872 | - | ||||||
| Prior year income tax under (over) estimation | 97,333 | (2,196 | ) | |||||
| Total current income tax | 112,592 | 385,332 | ||||||
| Deferred income tax: | ||||||||
| Origination and reversal of temporary differences | 47,215 | (30,059 | ) | |||||
| Income tax (benefit) expense | $ | 159,807 | $ | 355,273 | ||||
Tax expenses were computed based on the rates applicable in the respective countries where the Group entities operate.
| F-30 |
| b) | Reconciliation between income tax expense and accounting profit |
| Year ended December 31, 2019 | Year ended December 31, 2020 | |||||||
| Tax calculated based on profit before tax and statutory tax rate | $ | 2,563,130 | $ | 42,792 | ||||
| Effects from adjustments based on tax regulation | (3,057,370 | ) | 314,677 | |||||
| Taxable loss not recognized as deferred tax assets | 555,842 | - | ||||||
| Prior year income tax under (over) estimation | 97,333 | (2,196 | ) | |||||
| Tax on unappropriated retained earnings | 872 | - | ||||||
| Income tax (benefit) expense | $ | 159,807 | $ | 355,273 | ||||
Effect from adjustments based on tax regulation for the year ended December 31, 2019 was mainly due to non-taxable gain of the share transfer agreement in Note 11 f).
Effect from adjustments based on tax regulation for the year ended December 31, 2020 was mainly due to non-taxable income and expenses disallowed by tax regulation.
| c) | Amounts of deferred tax assets or liabilities as a result of temporary differences, tax losses and investment tax credits are as follows: |
| 2019 | ||||||||||||
| January 1 | Recognized in profit or loss | December 31 | ||||||||||
| Deferred tax assets | ||||||||||||
| Unrealize exchange losses | $ | 4,909 | $ | (4,909 | ) | $ | - | |||||
| Loss on inventories | 339,999 | (50,521 | ) | 289,478 | ||||||||
| Deferred employee benefits | 5,852 | (1,849 | ) | 4,003 | ||||||||
| Tax losses | - | 17,819 | 17,819 | |||||||||
| $ | 350,760 | $ | (39,460 | ) | $ | 311,300 | ||||||
| Deferred tax liabilities | ||||||||||||
| Unrealized exchange gain | $ | - | $ | (7,755 | ) | $ | (7,755 | ) | ||||
| $ | 350,760 | $ | (47,215 | ) | $ | 303,545 | ||||||
| 2020 | ||||||||||||
| January 1 | Recognized in profit or loss | December 31 | ||||||||||
| Deferred tax assets | ||||||||||||
| Unrealize exchange losses | $ | - | $ | 55,724 | $ | 55,724 | ||||||
| Loss on inventories | 289,478 | (37,447 | ) | 252,031 | ||||||||
| Deferred employee benefits | 4,003 | (1,897 | ) | 2,106 | ||||||||
| Tax losses | 17,819 | (17,819 | ) | - | ||||||||
| Disaster loss | - | 408 | 408 | |||||||||
| Allowance for bad debts | - | 55,640 | 55,640 | |||||||||
| Unused vacation bonus | - | 2,100 | 2,100 | |||||||||
| $ | 311,300 | $ | 56,709 | $ | 368,009 | |||||||
| Deferred tax liabilities | ||||||||||||
| Unrealized exchange gain | $ | (7,755 | ) | $ | (26,650 | ) | $ | (34,405 | ) | |||
| $ | 303,545 | $ | 30,059 | $ | 333,604 | |||||||
| F-31 |
| d) | Expiration dates of unused tax losses and amounts of unrecognized deferred tax assets are as follows: |
| December 31, 2019 | ||||||||
| Year incurred | Unused amount | Expiry year | ||||||
| 2019 | $ | 2,990,425 | 2024 | |||||
| 2018 | 40,884 | 2023 | ||||||
| e) | The Company has not recognized deductible temporary differences associated with investment in subsidiaries as deferred tax assets. As of December 31, 2019 and 2020, the amounts of temporary difference unrecognized as deferred tax assets were $7,758,627 and $7,508,950, respectively. |
| f) | The Company has not recognized taxable temporary differences associated with investment in subsidiaries as deferred tax liabilities. As of December 31, 2019 and 2020, the amounts of temporary difference unrecognized as deferred tax liabilities were $146,647 and $1,879,742, respectively. |
| g) | The Company’s foreign subsidiaries file income tax returns in the countries where their operations are located. Generally, these countries have statutes of limitations ranging from 5 to 6 years. The statute of limitations has closed through the following years in these major jurisdictions: China (2014), Taiwan (2014) and Hong kong (2013). |
| h) | The Group principally operates business in Taiwan, China and Hong Kong. The tax rate for above countries was 20%, 25% and 16.5%, respectively. |
| 28. | Earnings per share |
| Year ended December 31, 2019 | ||||||||||||
| Amount after income tax | Weighted average number of ordinary shares outstanding | Earnings per share (in dollars) | ||||||||||
| Basic and diluted earnings per share | ||||||||||||
| Profit attributable to the parent | $ | 11,005,799 | 25,000,000 | $ | 0.44 | |||||||
| Year ended December 31, 2020 | ||||||||||||
| Amount after income tax | Weighted average number of ordinary shares outstanding | Earnings per share (in dollars) | ||||||||||
| Basic and diluted earnings per share | ||||||||||||
| Profit attributable to the parent | $ | 1,110,146 | 20,000,553 | $ | 0.06 | |||||||
| a) | The weighted average numbers of ordinary shares outstanding in 2019 and 2020 have been calculated weighted averagely by considering acquisition, reduction and retirement of treasury shares. Refer to Note 17. |
| b) | There were no potentially dilutive instruments in 2019 and 2020. |
| F-32 |
| 29. | Supplementary cash flow information |
| a) | Investing activities with partial cash payments |
| Year ended December 31, 2019 | Year ended December 31, 2020 | |||||||
| Purchase of property, plant and equipment | $ | 1,080,890 | $ | 676,297 | ||||
| Less: Opening balance of prepaid on equipment | (36,350 | ) | (35,859 | ) | ||||
| Add: Ending balance of prepaid on equipment | 35,859 | 18,828 | ||||||
| Cash paid during the year | $ | 1,080,399 | $ | 659,266 | ||||
| b) | Financing activities with no cash flow effects |
| Year ended December 31, 2019 | Year ended December 31, 2020 | |||||||
| Other payables being converted to capital stocks- treasury shares reissue | $ | - | $ | 1,691,712 | ||||
| Asset acquisition through share swap | - | 1,344,733 | ||||||
| $ | - | $ | 3,036,445 | |||||
| 30. | Changes in liabilities from financing activities |
| 2019 | ||||||||||||||||||||
| Short-term loans | Other payables to related parties | Long-term notes and accounts payable to related parties | Lease liabilities | Total liabilities from financing activities | ||||||||||||||||
| January 1 | $ | 325,100 | $ | 1,130,594 | $ | 1,838,255 | $ | 170,308 | $ | 3,464,257 | ||||||||||
| Changes in cash flow from financing activities | 323,500 | 770,250 | 73,916 | (192,213 | ) | 975,453 | ||||||||||||||
| Changes in additions to right-of-use assets | - | - | - | 75,168 | 75,168 | |||||||||||||||
| Change in sale-and-leaseback transaction | - | - | - | 3,189,240 | 3,189,240 | |||||||||||||||
| Offset lease liabilities against sale-and-leaseback transaction | - | - | - | (494,899 | ) | (494,899 | ) | |||||||||||||
| Exchange difference | 18,520 | 25,396 | 13,418 | (46,320 | ) | 11,014 | ||||||||||||||
| December 31 | $ | 667,120 | $ | 1,926,240 | $ | 1,925,589 | $ | 2,701,284 | $ | 7,220,233 | ||||||||||
| 2020 | ||||||||||||||||||||||||
| Short-term loans | Other payables to related parties | Long-term loans (including current portion) | Long-term notes and accounts payable to related parties | Lease liabilities | Total liabilities from financing activities | |||||||||||||||||||
| January 1 | $ | 667,120 | $ | 1,926,240 | $ | - | $ | 1,925,589 | $ | 2,701,284 | $ | 7,220,233 | ||||||||||||
| Changes in cash flow from financing activities | 2,011,783 | (1,137,495 | ) | 638,444 | (498,894 | ) | (155,052 | ) | 858,786 | |||||||||||||||
| Changes in debt for equity swap | - | (356,464 | ) | - | (1,423,038 | ) | - | (1,779,502 | ) | |||||||||||||||
| Changes in additions to right-of-use assets | - | - | - | - | 416,641 | 416,641 | ||||||||||||||||||
| Changes in lease modification | - | - | - | - | (45,376 | ) | (45,376 | ) | ||||||||||||||||
| Offset lease liabilities against sale-and-leaseback transaction | - | - | - | - | (1,656,265 | ) | (1,656,265 | ) | ||||||||||||||||
| Exchange difference | 64,743 | 10,192 | 24,556 | (3,657 | ) | 156,940 | 252,774 | |||||||||||||||||
| December 31 | $ | 2,743,646 | $ | 442,473 | $ | 663,000 | $ | - | $ | 1,418,172 | $ | 5,267,291 | ||||||||||||
| F-33 |
| 31. | Related party transactions |
| a) | Parent and ultimate controlling party |
The Group is controlled by Jing-Bin Chiang and his family who directly and indirectly owns 74.50% and 55.81% equity interest in the Company as of December 31, 2019 and 2020, respectively.
| b) | Names of related parties and relationship |
| Names of related parties | Relationship with the Company | |
| NEW MOON CORPERATION (NEW MOON) | The Chairman of NEW MOON is key management of the Company. | |
| Bohong Techonology Jiansgu Co., Ltd. (Bohong) | The Chairman of Bohong is key management of the Company. | |
| Jing-Bin Chiang | Key management | |
| Yu-Ning Chiang | Key management |
| c) | Significant related party transactions |
| i) | Receivables from related parties: |
| December 31, 2019 | ||||
| Other receivables | ||||
| NEW MOON | $ | 1,800 | ||
| Bohong | 48,030 | |||
| $ | 49,830 | |||
| ii) | Payables to related parties: |
| December 31, 2019 | ||||
| Other payables | ||||
| Key management | $ | 10,182 | ||
| iii) | Loans from related parties: |
| 1. | Outstanding balance: |
| December 31, 2019 | December 31, 2020 | |||||||
| Other payables | ||||||||
| NEW MOON | $ | 202,800 | $ | - | ||||
| Key management | 1,723,440 | 442,473 | ||||||
| $ | 1,926,240 | $ | 442,473 | |||||
| December 31, 2019 | ||||
| Long-term other payables | ||||
| NEW MOON | $ | 1,280,220 | ||
| Key management | 645,369 | |||
| $ | 1,925,589 | |||
| 2. | Interest expense |
| Year ended December 31, 2019 | Year ended December 31, 2020 | |||||||
| Key management | $ | 189,177 | $ | 203,900 | ||||
| NEW MOON | 138,682 | 102,337 | ||||||
| $ | 327,859 | $ | 306,237 | |||||
| 1) | The loans from Key management are repayable in August 2021 at the maturity and carry interest at 5% to 10% per annum for the years ended December 31, 2019 and 2020, respectively. |
| 2) | The loans from NEW MOON are repayable in December 2021 at the maturity and carry interest at 10% per annum for the years ended December 31, 2019 and 2020, respectively. |
| d) | Provision of guarantees by related parties: |
| December 31, 2019 | December 31, 2020 | |||||||
| Key management | $ | 647,000 | $ | 6,756,265 | ||||
| i) | Refer to Note 12 and 14 for the provision of guarantees by the Group’s key management. |
| ii) | The provision of guarantees by key management as of December 31, 2020 was inclusive of unused credit lines from bank loans. |
| e) | Key management compensation |
| Year ended December 31, 2019 | Year ended December 31, 2020 | |||||||
| Salaries and other short-term employee benefits | $ | 376,315 | $ | 415,503 | ||||
| Post-employment benefits | 4,926 | 9,734 | ||||||
| Share-based payments | - | 46,944 | ||||||
| $ | 381,241 | $ | 472,181 | |||||
| f) | Refer to Note 17 d) for the issuance of treasury shares to one of the Group’s key management. |
| F-34 |
| 32. | Pledged assets |
The Group’s assets pledged as collateral are as follows:
| Book value | ||||||||||
| Pledged asset | December 31, 2019 | December 31, 2020 | Purpose | |||||||
| Financial assets at amortized cost | $ | 66,816 | $ | 771,592 | Short-term bank loans | |||||
| 33. | Significant contingent liabilities and unrecognized contract commitments |
None.
| 34. | Significant events after the reporting period |
On February 28, 2019, Bohong entered into the State-Owned Construction Land Use Right Assignment Contract (the “Assignment Contract”) with Hanjiang Branch of Yangzhou Land and Resource Bureau (the “Hanjiang Land Bureau”) for a land parcel in Yangzhou. According to the Assignment Contract, Bohong shall commence construction prior to August 28, 2020 or such later date as agreed by Hanjiang Land Bureau and complete the construction project on or prior to August 28, 2022 without granting any extension. Pursuant to the Assignment Contract, if Bohong fails to commence construction or complete the construction project on the scheduled date or a later date as agreed by Hanjiang Land Bureau, for each day of delay, Bohong shall pay Hanjiang Land Bureau a liquidated damage equivalent to 0.1% of the total purchase price for the right to use the state-owned construction land. Bohong has not been able to commence construction as a result of the coronavirus epidemic and may be exposed to a liquidated damage in the amount of approximately RMB $4.3 million (USD $670,822) calculated as of September 30, 2021. Refer to Note 17 e) for more discussion on the acquisition of Bohong.
| 35. | Restrictions and parent company financial information |
Under existing foreign exchange regulations of the People’s Republic of China (“PRC”), payments of current account items, including profit distributions, interest payments and trade and service-related foreign exchange transactions, can be made in foreign currencies without prior approval of the State Administration of Foreign Exchange (“SAFE”) by complying with certain procedural requirements. However, approval from or registration or filings with competent government authorities is required where Renminbi is to be converted into foreign currency and remitted out of China to pay capital expenses such as the repayment of loans denominated in foreign currencies.
Considering
that such Restriction on the flow of cash from the Subsidiaries in China to J-Star Holding Co., Ltd., the stand-alone condensed balance
sheets, condensed statements of comprehensive income, and condensed statements of cash flows of J-Star Holding Co., Ltd. are included
below.
Condensed balance sheets:
| December 31, 2019 | December 31, 2020 | |||||||
| Amount (USD) | Amount (USD) | |||||||
| ASSETS | ||||||||
| Current assets: | ||||||||
| Cash and cash equivalents | $ | 2,798 | $ | 83,624 | ||||
| Other receivables-related parties | 3,200 | 473,705 | ||||||
| Prepayments | 9,557 | 79,757 | ||||||
| Total current assets | 15,555 | 637,086 | ||||||
| Non-current assets: | ||||||||
| Investment in subsidiaries | 8,060,319 | 9,334,781 | ||||||
| Prepayments for investments | - | 1,410,724 | ||||||
| Long-term prepayments | - | 257,400 | ||||||
| Total non-current assets | 8,060,319 | 11,002,905 | ||||||
| Total assets | 8,075,874 | 11,639,991 | ||||||
| LIABILITIES AND SHAREHOLDERS’ EQUITY | ||||||||
| Current liabilities: | ||||||||
| Other payables | 7,005 | 30,489 | ||||||
| Other payables-related parties | 2,615,701 | 2,390,451 | ||||||
| Total current liabilities | 2,622,706 | 2,420,940 | ||||||
| Non-current liabilities: | ||||||||
| Amounts due to key management | 411,881 | - | ||||||
| Total liabilities | 3,034,587 | 2,420,940 | ||||||
| Shareholders’ equity | ||||||||
| Ordinary share (US$0.31 par value per share; 25,000,000 and 35,000,000 shares authorized as of December 31, 2019 and 2020, respectively; 20,000,553 and 21,892,899 shares issued and outstanding as of December 31, 2019 and 2020, respectively) | 7,770,896 | 6,805,098 | ||||||
| Capital surplus | 9,520,046 | 8,397,244 | ||||||
| Accumulated deficit | (4,165,476 | ) | (5,751,639 | ) | ||||
| Other equity interest | (62,101 | ) | (231,652 | ) | ||||
| Treasury shares | (8,022,078 | ) | - | |||||
| Total shareholders’equity | 5,041,287 | 9,219,051 | ||||||
| Total equity and liabilities | $ | 8,075,874 | $ | 11,639,991 | ||||
| F-35 |
Condensed statements of comprehensive income:
| Year ended December 31, 2019 | Year ended December 31, 2020 | |||||||
| Amount (USD) | Amount (USD) | |||||||
| Operating expenses: | ||||||||
| Administrative expenses | $ | (58,373 | ) | $ | (184,149 | ) | ||
| Other income and expenses | 1,087 | (21,816 | ) | |||||
| Net operating loss | (57,286 | ) | (205,965 | ) | ||||
| Interest income | 4 | 1 | ||||||
| Interest expenses | (153,300 | ) | (127,903 | ) | ||||
| Share of profit of subsidiaries | 11,216,381 | 1,444,013 | ||||||
| Net income attributable to ordinary shareholders | $ | 11,005,799 | $ | 1,110,146 | ||||
| Exchange differences on translation of foreign operations | 5,309 | (169,551 | ) | |||||
| Comprehensive income | $ | 11,011,108 | $ | 940,595 | ||||
Condensed statements of statements of cash flows:
| Year ended December 31, 2019 | Year ended December 31, 2020 | |||||||
| Amount (USD) | Amount (USD) | |||||||
| CASH FLOWS FROM OPERATING ACTIVITIES | ||||||||
| Profit before tax | $ | 11,005,799 | $ | 1,110,146 | ||||
| Adjustments: | ||||||||
| Adjustments to reconcile profit (loss): | ||||||||
| Cost of share-based payment | - | 46,944 | ||||||
| Interest income | (4 | ) | (1 | ) | ||||
| Interest expenses | 153,300 | 127,903 | ||||||
| Share of profit of subsidiaries accounted for under the equity method | (11,216,381 | ) | (1,444,013 | ) | ||||
| Changes in operating assets and liabilities: | ||||||||
| Prepayments | (4,807 | ) | - | |||||
| Other payables-related parties | 54,904 | 116,362 | ||||||
| Other payables | 7,005 | 23,484 | ||||||
| Cash outflow generated from operations | (184 | ) | (19,175 | ) | ||||
| Interest received | 4 | 1 | ||||||
| Net cash flows used in operating activities | $ | (180 | ) | $ | (19,174 | ) | ||
| CASH FLOWS FROM FINANCING ACTIVITIES | ||||||||
| Increase in other payables to related parties | - | 100,000 | ||||||
| Net cash flows from financing activities | - | 100,000 | ||||||
| Net (decrease) increase in cash and cash equivalents | (180 | ) | 80,826 | |||||
| Cash and cash equivalents at beginning of year | 2,978 | 2,798 | ||||||
| Cash and cash equivalents at end of year | $ | 2,798 | $ | 83,624 | ||||
Supplementary cash flow information
Financing activities with no cash flow effects
| Year ended December 31, 2019 | Year ended December 31, 2020 | |||||||
| Other payables being converted to capital stocks- treasury shares reissue | $ | - | $ | 629,055 | ||||
Business activity –
J-Star Holding Co., Ltd. is the holding company of the J-Star Group (the “Group”). The principal activities of J-Star Holding Co., Ltd. is the holding of investments in entities involved mainly in manufacturing and trading business in China, Hong Kong and Taiwan.
Basis of preparation –
Accounting policies adopted in the preparation of this condensed parent company only financial information are the same as those adopted in the consolidated financial statements and described in Note 4 - Summary of significant accounting policies, except that the equity method has been used to account for investments in subsidiaries.
| F-36 |
Investments in subsidiaries –
J-Star Holding Co., Ltd. records its investment in its subsidiaries under the equity method of accounting, such investment is presented on the condensed balance sheets as “Investment in subsidiaries” and share of the subsidiaries’ income as “Share of income in subsidiaries” on the condensed statements of comprehensive income.
As at 31 December 2020 there were no material contingencies at J-Star Holding Co., Ltd.
Distribution to shareholders –
In 2019 and 2020, J-Star Holding Co., Ltd. did not distribute any dividends to its shareholders.
Dividends from subsidiary –
In 2019 and 2020, J-Star Holding Co., Ltd. did not receive any dividends from subsidiary.
| 36. | Capital management |
The Group’s objectives when managing capital are to safeguard the Group’s ability to continue as a going concern in order to provide returns for shareholders and to maintain an optimal capital structure to reduce the cost of capital. In order to maintain or adjust the capital structure, the Group may adjust the amount of dividends paid to shareholders, return capital to shareholders, issue new shares or sell assets to reduce debt. The Group monitors capital on the basis of the gearing ratio. This ratio is calculated as net debt divided by total capital. Net debt is calculated as total loans (including ‘current and non-current loans’ as shown in the consolidated balance sheet) less cash and cash equivalents. Total capital is calculated as ‘equity’ as shown in the consolidated balance sheet plus net debt.
The Company’s strategy, which is unchanged for the reporting periods, is to maintain a reasonable ratio in order to raise capital with reasonable cost. The debt to capital ratios as of December 31, 2019 and 2020 were as follows:
| December 31, 2019 | December 31, 2020 | |||||||
| Total borrowings | $ | 4,518,949 | $ | 3,849,119 | ||||
| Less: Cash and cash equivalents | (1,563,058 | ) | (1,336,820 | ) | ||||
| Net debt | 2,955,891 | 2,512,299 | ||||||
| Total equity | 5,041,287 | 9,219,051 | ||||||
| Total capital | 7,997,178 | 11,731,350 | ||||||
| Gearing ratio | 37 | % | 21 | % | ||||
| 37. | Financial instruments |
| a) | Financial instruments by category |
| December 31, 2019 | December 31, 2020 | |||||||
| Financial assets | ||||||||
| Financial assets at amortized cost | ||||||||
| Cash and cash equivalents | $ | 1,563,058 | $ | 1,336,820 | ||||
| Financial assets at amortized cost | 66,816 | 771,592 | ||||||
| Accounts receivable | 5,455,635 | 5,118,874 | ||||||
| Other receivables | 2,752,788 | 858,556 | ||||||
| Other receivables due from related parties | 49,830 | - | ||||||
| Guarantee deposits paid | 374,147 | 392,844 | ||||||
| $ | 10,262,274 | $ | 8,478,686 | |||||
| Financial liability | ||||||||
| Financial liabilities at amortized cost | ||||||||
| Short-term loans | $ | 667,120 | $ | 2,743,646 | ||||
| Notes payable | 7,364 | 9,046 | ||||||
| Accounts payable | 2,899,710 | 3,749,984 | ||||||
| Other payables | 7,647,101 | 7,481,911 | ||||||
| Other payables to related parties | 1,936,422 | 442,473 | ||||||
| Long-term loans (including current portion) | - | 663,000 | ||||||
| Long-term other payables to related parties | 1,925,589 | - | ||||||
| Guarantee deposits received | 67,510 | 72,239 | ||||||
| $ | 15,150,816 | $ | 15,162,299 | |||||
| Lease liabilities | $ | 2,701,284 | $ | 1,418,172 | ||||
| b) | Financial risk management policies |
| i) | The Group’s activities expose it to a variety of financial risks: market risk (including foreign exchange risk, interest rate risk and price risk), credit risk and liquidity risk. |
| ii) | Risk management is carried out by a central treasury department (Group treasury) under policies approved by the Board of Directors. Group treasury identifies, evaluates and hedges financial risks in close co-operation with the Group’s operating units. The Board provides written principles for overall risk management, as well as written policies covering specific areas and matters, such as foreign exchange risk, interest rate risk, credit risk, use of derivative financial instruments and non-derivative financial instruments, and investment of excess liquidity. |
| F-37 |
| c) | Significant financial risks and degrees of financial risks |
| i) | Market risk |
Foreign exchange risk
| 1. | The Group operates internationally and is exposed to foreign exchange risk arising from the transactions of the Company and its subsidiaries used in various functional currency, primarily with respect to the USD and HKD. Foreign exchange risk arises from future commercial transactions and recognized assets and liabilities. |
| 2. | Management has set up a policy to require group companies to manage their foreign exchange risk against their functional currency. Exchange rate risk arising from the difference between various functional currencies and the reporting currency in the consolidated financial statements is centrally managed by the Group’s finance department. |
| 3. | The Group’s businesses involve some non-functional currency operations (the Company’s and certain subsidiaries’ functional currency: USD; other certain subsidiaries’ functional currency: NTD, RMB and HKD). The information on assets and liabilities denominated in foreign currencies whose values would be materially affected by the exchange rate fluctuations is as follows: |
| December 31, 2019 | ||||||||||||
| Foreign currency amount | Exchange rate | Book value (USD) | ||||||||||
| (Foreign currency: functional currency) | ||||||||||||
| Financial assets | ||||||||||||
| Monetary items | ||||||||||||
| EUR:NTD | $ | 37,810 | 33.59 | $ | 42,363 | |||||||
| USD:NTD | 11,813,774 | 29.98 | 11,813,774 | |||||||||
| USD:RMB | 16,899,439 | 6.96 | 16,899,439 | |||||||||
| Financial liabilities | ||||||||||||
| Monetary items | ||||||||||||
| EUR:NTD | $ | 10,106 | 33.59 | $ | 11,324 | |||||||
| USD:NTD | 9,313,659 | 29.98 | 9,313,659 | |||||||||
| USD:RMB | 12,682,713 | 6.96 | 12,682,713 | |||||||||
| December 31, 2020 | ||||||||||||
| Foreign currency amount | Exchange rate | Book value (USD) | ||||||||||
| (Foreign currency: functional currency) | ||||||||||||
| Financial assets | ||||||||||||
| Monetary items | ||||||||||||
| RMB:HKD | $ | 235,070 | 1.19 | $ | 36,127 | |||||||
| EUR:NTD | 38,416 | 35.02 | 47,237 | |||||||||
| USD:NTD | 10,775,247 | 28.48 | 10,775,247 | |||||||||
| USD:RMB | 23,444,169 | 6.51 | 23,444,169 | |||||||||
| Financial liabilities | ||||||||||||
| Monetary items | ||||||||||||
| EUR:NTD | $ | 10,106 | 35.02 | $ | 12,427 | |||||||
| USD:NTD | 5,004,385 | 28.48 | 5,004,385 | |||||||||
| USD:RMB | 9,380,725 | 6.51 | 9,380,725 | |||||||||
| 4. | Total exchange gain (loss), including realized and unrealized, arising from significant foreign exchange variation on the monetary items held by the Group for the years ended December 31, 2019and 2020, amounted to gain $514,890 and $180,463, respectively. |
| F-38 |
| 5. | Analysis of foreign currency market risk arising from significant foreign exchange variation: |
| Year ended December 31, 2019 | ||||||||||||
| Sensitivity analysis | ||||||||||||
| Degree of variation | Effect on profit or loss | Effect on other comprehensive income | ||||||||||
| (Foreign currency: functional currency) | ||||||||||||
| Financial assets | ||||||||||||
| Monetary items | ||||||||||||
| EUR:NTD | 5 | % | $ | 2,118 | $ | - | ||||||
| USD:NTD | 5 | % | 590,696 | - | ||||||||
| USD:RMB | 5 | % | 844,972 | - | ||||||||
| Financial liabilities | ||||||||||||
| Monetary items | ||||||||||||
| EUR:NTD | 5 | % | $ | 566 | $ | - | ||||||
| USD:NTD | 5 | % | 465,689 | - | ||||||||
| USD:RMB | 5 | % | 634,136 | - | ||||||||
| Year ended December 31, 2020 | ||||||||||||
| Sensitivity analysis | ||||||||||||
| Degree of variation | Effect on profit or loss | Effect on other comprehensive income | ||||||||||
| (Foreign currency: functional currency) | ||||||||||||
| Financial assets | ||||||||||||
| Monetary items | ||||||||||||
| RMB:HKD | 5 | % | $ | 1,806 | $ | - | ||||||
| EUR:NTD | 5 | % | 2,362 | - | ||||||||
| USD:NTD | 5 | % | 538,762 | - | ||||||||
| USD:RMB | 5 | % | 1,172,208 | - | ||||||||
| Financial liabilities | ||||||||||||
| Monetary items | ||||||||||||
| EUR:NTD | 5 | % | $ | 621 | $ | - | ||||||
| USD:NTD | 5 | % | 250,219 | - | ||||||||
| USD:RMB | 5 | % | 469,036 | - | ||||||||
Cash flow Interest rate risk
| 1. | The Group’s main interest rate risk arises from short-term loans and long-term loans with variable rates, which expose the Group to cash flow interest rate risk. During 2019 and 2020, the Group’s loans at variable rate were mainly denominated in NTD and USD. |
| 2. | The Group’s loans are measured at amortized cost. The loans are periodically contractually repriced and to that extent are also exposed to the risk of future changes in market interest rates. |
| 3. | If the borrowing interest rate had increased/decreased by 1% with all other variables held constant, profit, before income tax for the years ended December 31, 2019 and 2020 would have increased/decreased by $6,671 and $34,066, respectively. The main factor is that changes in interest expense result in floating-rate loans. |
| F-39 |
| ii) | Credit risk |
| 1. | Credit risk refers to the risk of financial loss to the Group arising from default by the clients or counterparties of financial instruments on the contract obligations. The main factor is that counterparties could not repay in full the accounts receivable based on the agreed terms, and the contract cash flows of debt instruments stated at amortized cost. |
| 2. | The Group manages their credit risk taking into consideration the entire group’s concern. For banks and financial institutions, only independently rated parties with a minimum rating of ‘A’ are accepted. According to the Group’s credit policy, each local entity in the Group is responsible for managing and analysing the credit risk for each of their new clients before standard payment and delivery terms and conditions are offered. Internal risk control assesses the credit quality of the customers, taking into account their financial position, past experience and other factors. Individual risk limits are set based on internal or external ratings in accordance with limits set by the Board of Directors. The utilization of credit limits is regularly monitored. |
| 3. | In line with credit risk management procedure, when the contract payments of the counterparty was past due over 180 days and after repeatedly asking for payment over 180 days, the default has occurred. |
| 4. | The Group adopts following assumptions under IFRS 9 to assess whether there has been a significant increase in credit risk on that instrument since initial recognition: |
If the contract payments were past due over 30 days based on the terms, there has been a significant increase in credit risk on that instrument since initial recognition.
| 5. | The Group classifies customer’s accounts receivable in accordance with credit risk on trade and customer type. The Group applies the modified approach using a provision matrix based on the loss rate methodology to estimate expected credit loss under the provision matrix basis. |
| 6. | The Group wrote-off the financial assets, which cannot be reasonably expected to be recovered, after initiating recourse procedures. However, the Group will continue executing the recourse procedures to secure their rights. |
| 7. | The Group used the forecastability of Taiwan Institute of Economic Research boom observation report to adjust historical and timely information to assess the default possibility of accounts receivable; accounts receivable that are significantly past due are assessed individually for their expected credit losses. On December 31, 2019 and 2020, the loss rate methodology is as follows: |
| Not past due | Up to 30 days past due | 31~90 days past due | 91~180 days past due | Over 180 days | Total | |||||||||||||||||||
| At December 31, 2019 | ||||||||||||||||||||||||
| Expected loss rate | 0.00 | % | 0.04 | % | 0.14 | % | 2.28 | % | 68.60 | % | ||||||||||||||
| Total book value | $ | 4,568,628 | $ | 346,861 | $ | 147,087 | $ | 297,811 | $ | 326,201 | $ | 5,686,588 | ||||||||||||
| Loss allowance | $ | 62 | $ | 129 | $ | 201 | $ | 6,776 | $ | 223,785 | $ | 230,953 | ||||||||||||
| At December 31, 2020 | ||||||||||||||||||||||||
| Expected loss rate | 0.02 | % | 0.21 | % | 0.44 | % | 18.36 | % | 81.96 | % | ||||||||||||||
| Total book value | $ | 4,843,098 | $ | 167,147 | $ | 28,675 | $ | 12,317 | $ | 394,623 | $ | 5,445,860 | ||||||||||||
| Loss allowance | $ | 832 | $ | 347 | $ | 125 | $ | 2,262 | $ | 323,420 | $ | 326,986 | ||||||||||||
| F-40 |
| 8. | Movements in relation to the Group applying the modified approach to provide loss allowance for accounts receivable, contract assets and lease payments receivable are as follows: |
| 2019 | ||||
| Accounts receivable | ||||
| At January 1 | $ | - | ||
| Provision for impairment | 230,471 | |||
| Effect of foreign exchange | 482 | |||
| At December 31 | $ | 230,953 | ||
| 2020 | ||||
| Accounts receivable | ||||
| At January 1 | $ | 230,953 | ||
| Provision for impairment | 81,947 | |||
| Effect of foreign exchange | 14,086 | |||
| At December 31 | $ | 326,986 | ||
| 9. | For investments in debt instruments at amortized cost, the credit rating levels are presented below: |
| December 31, 2019 | ||||||||||||||||
| Lifetime | ||||||||||||||||
| 12 months | Significant increase in credit risk | Impairment of credit | Total | |||||||||||||
| Financial assets at amortized cost | $ | 66,816 | $ | - | $ | - | $ | 66,816 | ||||||||
| December 31, 2020 | ||||||||||||||||
| Lifetime | ||||||||||||||||
| 12 months | Significant increase in credit risk | Impairment of credit | Total | |||||||||||||
| Financial assets at amortized cost | $ | 771,592 | $ | - | $ | - | $ | 771,592 | ||||||||
| iii) | Liquidity risk |
| 1. | Cash flow forecasting is performed in the operating entities of the Group and aggregated by Group treasury. Group treasury monitors rolling forecasts of the Group’s liquidity requirements to ensure it has sufficient cash to meet operational needs. |
| 2. | Surplus cash held by the operating entities over and above balance required for working capital management are transferred to the Group treasury. Group treasury invests surplus cash in interest bearing current accounts, time deposits, money market deposits, choosing instruments with appropriate maturities or sufficient liquidity to provide sufficient head-room as determined by the above-mentioned forecasts. |
| 3. | The unused credit lines from bank loans of the Group as of December 31, 2019 and 2020 are $0 and $3,349,619, respectively. |
| Year ended December 31, 2019 | Year ended December 31, 2020 | |||||||
| Floating rate: | ||||||||
| Expiring within one year | $ | - | $ | 3,310,619 | ||||
| Expiring beyond one year | - | 39,000 | ||||||
| $ | - | $ | 3,349,619 | |||||
| F-41 |
| 4. | The table below analyses the Group’s non-derivative financial liabilities into relevant maturity groupings based on the remaining period at the balance sheet date to the contractual maturity date for non-derivative financial liabilities. The amounts disclosed in the table are the contractual undiscounted cash flows. |
| December 31, 2019 | Less than 1 year | Between 1 year and 2 year | Over 2 years | Total | ||||||||||||
| Non-derivative financial liabilities | ||||||||||||||||
| Short-term loans | $ | 671,159 | $ | - | $ | - | $ | 671,159 | ||||||||
| Notes payable | 7,364 | - | - | 7,364 | ||||||||||||
| Accounts payable | 2,899,710 | - | - | 2,899,710 | ||||||||||||
| Other payables | 7,647,101 | - | - | 7,647,101 | ||||||||||||
| Other payables to related parties | 1,936,422 | - | - | 1,936,422 | ||||||||||||
| Long-term notes and accounts payable to related parties | - | - | 1,925,589 | 1,925,589 | ||||||||||||
| Lease liabilities | 1,389,659 | 1,277,949 | 205,899 | 2,873,507 | ||||||||||||
| December 31, 2020 | Less than 1 year | Between 1 year and 2 year | Over 2 years | Total | ||||||||||||
| Non-derivative financial liabilities | ||||||||||||||||
| Short-term loans | $ | 2,754,470 | $ | - | $ | - | $ | 2,754,470 | ||||||||
| Notes payable | 9,046 | - | - | 9,046 | ||||||||||||
| Accounts payable | 3,749,984 | - | - | 3,749,984 | ||||||||||||
| Other payables | 7,481,911 | - | - | 7,481,911 | ||||||||||||
| Other payables to related parties | 442,473 | - | - | 442,473 | ||||||||||||
| Lease liabilities | 1,068,268 | 358,724 | 35,861 | 1,462,853 | ||||||||||||
| Long-term loans (including current portion) | 238,613 | 236,669 | 195,739 | 671,021 | ||||||||||||
| 38. | Fair value information |
| a) | The different levels that the inputs to valuation techniques are used to measure fair value of financial and non-financial instruments have been defined as follows: |
Level 1: Quoted prices (unadjusted) in active markets for identical assets or liabilities that the entity can access at the measurement date. A market is regarded as active where a market in which transactions for the asset or liability take place with sufficient frequency and volume to provide pricing information on an ongoing basis.
Level 2: Inputs other than quoted prices included within Level 1 that are observable for the asset or liability, either directly or indirectly.
Level 3: Unobservable inputs for the asset or liability.
| b) | Financial instruments not measured at fair value |
The carrying amounts of cash and cash equivalents, current financial assets at amortized cost, accounts receivable, other receivables, other receivables due from related parties guarantee deposits paid, short-term loans, current contract liabilities, notes payable, accounts payable, other payables, other payables to related parties, long-term loans (including current portion), long-term notes and accounts payable to related parties and guarantee deposits received are approximate to their fair values.
| F-42 |
| 39. | Segment Information |
| a) | General information |
Management has determined the reportable operating segments based on the reports reviewed by the Board of Directors that are used to make strategic decisions. The Group considers the business from a product perspective. The Group’s business is segregated into bicycle business, racket business and other business.
| b) | Measurement of segment information |
The Board of Directors evaluates the performance of the operating segments based on a measure of profit before income tax.
| c) | Information about segment profit or loss |
The segment information provided to the chief operating decision-maker for the reportable segments is as follows:
| Year ended December 31, 2019 | Bicycle frame | Racket | Others | Total | ||||||||||||
| Revenue | ||||||||||||||||
| External customers | $ | 14,794,649 | $ | 7,964,035 | $ | 28,267 | $ | 22,786,951 | ||||||||
| Inter-segment | - | - | - | - | ||||||||||||
| Total revenue | $ | 14,794,649 | $ | 7,964,035 | $ | 28,267 | $ | 22,786,951 | ||||||||
| Profit before income tax | $ | 11,969,151 | ($ | 567,260 | ) | ($ | 236,285 | ) | $ | 11,165,606 | ||||||
| Depreciation expenses | $ | 524,707 | $ | 255,392 | $ | 449 | $ | 780,548 | ||||||||
| Interest income | 4,347 | 5,148 | 7 | 9,502 | ||||||||||||
| Finance costs | 324,327 | 165,828 | 426 | 490,581 | ||||||||||||
| Year ended December 31, 2020 | Bicycle frame | Racket | Others | Total | ||||||||||||
| Revenue | ||||||||||||||||
| External customers | $ | 14,275,730 | $ | 7,880,514 | $ | 22,328 | $ | 22,178,572 | ||||||||
| Inter-segment | - | - | - | - | ||||||||||||
| Total revenue | $ | 14,275,730 | $ | 7,880,514 | $ | 22,328 | $ | 22,178,572 | ||||||||
| Profit before income tax | $ | 1,893,547 | ($ | 436,219 | ) | $ | 8,091 | $ | 1,465,419 | |||||||
| Depreciation expenses | $ | 619,488 | $ | 245,996 | $ | 340 | $ | 865,824 | ||||||||
| Interest income | 1,807 | 993 | 2 | 2,802 | ||||||||||||
| Finance costs | 304,374 | 113,230 | 319 | 417,923 | ||||||||||||
| d) | Reconciliation for segment income |
Revenue from external customers and profit before income tax reported to the chief operating decision maker are measured using the same method as for revenue and profit before income tax in the financial statements. Thus, no reconciliation is needed.
| e) | Information on products |
Please refer to Note 20 for the related information.
| F-43 |
| f) | Geographical information |
The Group’s revenue from external customers by location of operations and information about its
non-current assets by location of assets are detailed below.
| Year ended December 31, 2019 | Year ended December 31, 2020 | |||||||||||||||
| Revenue | Non-current assets | Revenue | Non-current assets | |||||||||||||
| Taiwan | $ | 9,857,197 | $ | 730,501 | $ | 8,086,376 | $ | 725,586 | ||||||||
| China | 636,599 | 3,965,673 | 176,822 | 4,155,603 | ||||||||||||
| Germany | 2,351,428 | - | 3,725,203 | - | ||||||||||||
| France | 2,562,968 | - | 2,293,421 | - | ||||||||||||
| USA | 869,247 | - | 1,888,433 | - | ||||||||||||
| Japan | 807,556 | - | 1,783,544 | - | ||||||||||||
| Singapore | 2,103,160 | - | 1,181,380 | - | ||||||||||||
| Australia | 386,729 | - | 926,126 | - | ||||||||||||
| Others | 3,212,067 | 17,671 | 2,117,267 | 1,685,880 | ||||||||||||
| $ | 22,786,951 | $ | 4,713,845 | $ | 22,178,572 | $ | 6,567,069 | |||||||||
| g) | Major customer information |
Major customer representing at least 10% of net revenue of the Group for the years ended December 31, 2019 and 2020 is as follows:
| Year ended December 31, 2019 | Year ended December 31, 2020 | |||||||||||
| Revenue | Segment | Revenue | Segment | |||||||||
| A | $ | 3,913,508 | Bicycle frame | $ | 3,523,444 | Bicycle frame | ||||||
| B | 2,466,519 | Racket | 2,071,955 | Racket | ||||||||
| C | 3,254,970 | Bicycle frame | 1,506,534 | Bicycle frame | ||||||||
| $ | 9,634,997 | $ | 7,101,933 | |||||||||
| 40. | Effects on initial application of IFRS 16 |
| a) | IFRS 16, supersedes IAS 17 “Leases” (“IAS 17”) and the related interpretations issued by the Standing Interpretation Committee. The standard requires lessees to recognize a right-of-use asset and a lease liability (except for those leases with terms of 12 months or less and leases of low-value assets). The accounting stays the same for lessors, which is to classify their leases as either finance leases or operating leases and account for those two types of leases differently. IFRS 16 only requires enhanced disclosures to be provided by lessors. |
| b) | The Group has elected to apply IFRS 16 by not restating the comparative information (referred herein as the “simplified retrospective approach”) when applying IFRSs effective in 2019. Accordingly, the Group increased right-of-use assets and lease liabilities by $170,308 and $170,308, respectively. |
| c) | The Group has adopted the following practical expedients permitted by the standard at the date of initial application of IFRS 16: |
| i) | Reassessment as to whether a contract is, or contains, a lease is not required, instead, the application of IFRS 16 depends on whether or not the contracts were previously identified as leases applying IAS 17 and IFRIC 4 “Determining whether an Arrangement contains a Lease”. |
| ii) | The use of a single discount rate to a portfolio of leases with reasonably similar characteristics. |
| iii) | The accounting for operating leases whose period will end before December 31, 2019 as short-term leases and accordingly, rent expense of $162,299 was recognized for the year ended 2019. |
| d) | The Group calculated the present value of lease liabilities by using the incremental borrowing interest rate 2.85%. |
| e) | The reconciliation between operating lease commitments for the remaining lease payments under IAS 17 and lease liabilities recognized as of January 1, 2019, measured at the present value of the remaining lease payments, discounted using the lessee’s incremental borrowing rate is as follows: |
| Operating lease commitments disclosed by applying IAS 17 as of December 31, 2018 | $ | 245,613 | ||
| Less: Short-term leases | (13,544 | ) | ||
| Less: Low-value assets | (57,300 | ) | ||
| Total lease contracts amount recognized as lease liabilities by applying IFRS 16 on January 1, 2019 | $ | 174,769 | ||
| Incremental borrowing interest rate at the date of initial application | 2.85 | % | ||
| Lease liabilities recognized as of January 1, 2019 by applying IFRS 16 | $ | 170,308 |
| F-44 |
J-STAR HOLDING CO., LTD. AND SUBSIDIARIES
UNAUDITED CONDENSED INTERIM CONSOLIDATED
FINANCIAL STATEMENTS
FOR THE SIX-MONTHS PERIODS ENDED
JUNE 30, 2020 AND 2021
J-Star Holding Co., Ltd. AND SUBSIDIARIES
Condensed Interim Consolidated Balance Sheets
Expressed in United States dollars
| December 31, 2020 | June 30, 2021 | |||||||||||
| (Unaudited) | ||||||||||||
| Assets | Notes | AMOUNT | AMOUNT | |||||||||
| Current assets | ||||||||||||
| Cash and cash equivalents | 5 | $ | 1,336,820 | $ | 928,772 | |||||||
| Current financial assets at amortized cost | 6 | 771,592 | 773,940 | |||||||||
| Accounts receivable, net | 7 | 5,118,874 | 4,449,964 | |||||||||
| Other receivables | 858,556 | 737,213 | ||||||||||
| Inventories | 8 | 11,699,660 | 20,124,028 | |||||||||
| Prepayments | 9 | 1,670,669 | 2,069,367 | |||||||||
| Other current assets | 201,510 | 216,385 | ||||||||||
| Current assets | 21,657,681 | 29,299,669 | ||||||||||
| Non-current assets | ||||||||||||
| Non-current financial assets at fair | ||||||||||||
| value through other comprehensive income | - | 21,758 | ||||||||||
| Property, plant and equipment | 10 | 3,955,568 | 3,749,988 | |||||||||
| Right-of-use assets | 11 | 505,034 | 356,321 | |||||||||
| Intangible assets | 21,816 | 16,176 | ||||||||||
| Deferred tax assets | 368,009 | 291,988 | ||||||||||
| Other non-current assets, others | 17 | 2,084,651 | 2,449,603 | |||||||||
| Non-current assets | 6,935,078 | 6,885,834 | ||||||||||
| Total assets | $ | 28,592,759 | $ | 36,185,503 | ||||||||
(Continued)
The accompanying notes are an integral part of these condensed interim consolidated financial statements.
| F-46 |
J-Star Holding Co., Ltd. AND SUBSIDIARIES
Condensed Interim Consolidated Balance Sheets
Expressed in United States dollars
| December 31, 2020 | June 30, 2021 | |||||||||||
| (Unaudited) | ||||||||||||
| Liabilities and Equity | Notes | AMOUNT | AMOUNT | |||||||||
| Current liabilities | ||||||||||||
| Short-term loans | 12 | $ | 2,743,646 | $ | 3,916,274 | |||||||
| Current contract liabilities | 20 | 601,351 | 265,379 | |||||||||
| Notes payable | 9,046 | - | ||||||||||
| Accounts payable | 3,749,984 | 5,721,986 | ||||||||||
| Other payables | 13 | 7,481,911 | 9,205,420 | |||||||||
| Other payables to related parties | 31 | 442,473 | - | |||||||||
| Current tax liabilities | 1,786,265 | 1,942,341 | ||||||||||
| Current lease liabilities | 1,199,345 | 1,109,820 | ||||||||||
| Other current liabilities | 14 | 605,216 | 1,776,644 | |||||||||
| Current liabilities | 18,619,237 | 23,937,864 | ||||||||||
| Non-current liabilities | ||||||||||||
| Long-term loans | 14 | 429,000 | 1,701,002 | |||||||||
| Deferred tax liabilities | 34,405 | 131,022 | ||||||||||
| Non-current lease liabilities | 218,827 | 87,922 | ||||||||||
| Guarantee deposits received | 72,239 | 72,709 | ||||||||||
| Non-current liabilities | 754,471 | 1,992,655 | ||||||||||
| Total Liabilities | 19,373,708 | 25,930,519 | ||||||||||
| Equity | ||||||||||||
| Equity attributable to owners of parent | ||||||||||||
| Share capital | 17 | |||||||||||
| Ordinary share | 6,805,098 | 6,805,098 | ||||||||||
| Capital surplus | 18 | |||||||||||
| Capital surplus | 8,397,244 | 8,465,165 | ||||||||||
| Retained earnings | 19 | |||||||||||
| Accumulated deficit | (5,751,639 | ) | (4,784,102 | ) | ||||||||
| Other equity interest | ||||||||||||
| Other equity interest | (231,652 | ) | (231,177 | ) | ||||||||
| Total Equity | 9,219,051 | 10,254,984 | ||||||||||
| Total liabilities and equity | $ | 28,592,759 | $ | 36,185,503 | ||||||||
The accompanying notes are an integral part of these condensed interim consolidated financial statements.
| F-47 |
J-Star Holding Co., Ltd. AND SUBSIDIARIES
Condensed Interim Consolidated Statements of Comprehensive Income (Loss)
Expressed in United States dollars
| Six months ended June 30 | ||||||||||||
| 2020 | 2021 | |||||||||||
| (Unaudited) | (Unaudited) | |||||||||||
| Notes | AMOUNT | AMOUNT | ||||||||||
| Operating revenue | 20 | $ | 9,573,242 | $ | 12,184,064 | |||||||
| Cost of revenue | 8,25,26 | (7,166,832 | ) | (7,699,724 | ) | |||||||
| Gross profit from operations | 2,406,410 | 4,484,340 | ||||||||||
| Operating expenses | 25,26 | |||||||||||
| Selling expenses | (685,648 | ) | (719,447 | ) | ||||||||
| Administrative expenses | (1,229,066 | ) | (1,997,054 | ) | ||||||||
| Research and development expenses | (814,023 | ) | (778,319 | ) | ||||||||
| Expected credit gains (losses) | 36 | 68,416 | (66,663 | ) | ||||||||
| Other income and expenses | 21 | (30,158 | ) | (229,906 | ) | |||||||
| Net operating income | (284,069 | ) | 692,951 | |||||||||
| Non-operating income and expenses | ||||||||||||
| Interest income | 22 | 989 | 1,142 | |||||||||
| Other gains and losses | 23 | (55,059 | ) | 733,325 | ||||||||
| Finance costs | 24 | (200,134 | ) | (61,220 | ) | |||||||
| Non-operating income and expenses | (254,204 | ) | 673,247 | |||||||||
| (Loss) Profit before income tax | (538,273 | ) | 1,366,198 | |||||||||
| Income tax expense | 27 | (209,236 | ) | (398,661 | ) | |||||||
| (Loss) Profit after income tax | $ | (747,509 | ) | $ | 967,537 | |||||||
Components of other comprehensive income that will be reclassified to profit or loss | ||||||||||||
| Exchange differences on translation of foreign operations | 237,777 | 475 | ||||||||||
| Total comprehensive income | $ | (509,732 | ) | $ | 968,012 | |||||||
| Basic and diluted | ||||||||||||
| (Loss) Earnings per share | 28 | $ | (0.04 | ) | $ | 0.04 | ||||||
The accompanying notes are an integral part of these condensed interim consolidated financial statements.
| F-48 |
J-Star Holding Co., Ltd. AND SUBSIDIARIES
Condensed Interim Consolidated Statements of Changes in Equity
Expressed in United States dollars
| Equity attributable to owners of the parent | |||||||||||||||||||||||||||
Other equity interest | |||||||||||||||||||||||||||
| Year 2020 (Unaudited) | Notes | Ordinary share | Capital surplus | Accumulated deficit | Financial statements translation differences of foreign operations | Treasury shares | Total equity | ||||||||||||||||||||
| Balance at January 1, 2020 | $ | 7,770,896 | $ | 9,520,046 | $ | (4,165,476 | ) | $ | (62,101 | ) | $ | (8,022,078 | ) | $ | 5,041,287 | ||||||||||||
| Loss for the period | - | - | (747,509) | - | - | (747,509 | ) | ||||||||||||||||||||
| Other comprehensive income | - | - | - | 237,777 | - | 237,777 | |||||||||||||||||||||
| Total comprehensive income | - | - | (747,509 | ) | 237,777 | - | (509,732 | ) | |||||||||||||||||||
| Balance at June 30, 2020 | $ | 7,770,896 | $ | 9,520,046 | $ | (4,912,985 | ) | $ | 175,676 | $ | (8,022,078 | ) | $ | 4,531,555 | |||||||||||||
| Year 2021 (Unaudited) | |||||||||||||||||||||||||||
| Balance at January 1, 2021 | $ | 6,805,098 | $ | 8,397,244 | $ | (5,751,639 | ) | $ | (231,652 | ) | $ | - | $ | 9,219,051 | |||||||||||||
| Profit for the period | - | - | 967,537 | - | - | 967,537 | |||||||||||||||||||||
| Other comprehensive income | - | - | - | 475 | - | 475 | |||||||||||||||||||||
| Total comprehensive income | - | - | 967,537 | 475 | - | 968,012 | |||||||||||||||||||||
| Share-based payments | 16,18 | - | 67,921 | - | - | - | 67,921 | ||||||||||||||||||||
| Balance at June 30, 2021 | $ | 6,805,098 | $ | 8,465,165 | $ | (4,784,102 | ) | $ | (231,177 | ) | $ | - | $ | 10,254,984 | |||||||||||||
The accompanying notes are an integral part of these condensed interim consolidated financial statements.
| F-49 |
J-Star Holding Co., Ltd. AND SUBSIDIARIES
Condensed Interim Consolidated Statements of Cash Flows
Expressed in United States dollars
| Six months ended June 30 | ||||||||||||
| 2020 | 2021 | |||||||||||
| (Unaudited) | (Unaudited) | |||||||||||
| Notes | AMOUNT | AMOUNT | ||||||||||
| CASH FLOWS FROM OPERATING ACTIVITIES | ||||||||||||
| (Loss) Profit before tax | $ | (538,273 | ) | $ | 1,366,198 | |||||||
| Adjustments | ||||||||||||
| Adjustments to reconcile profit (loss) | ||||||||||||
| Depreciation expenses | 10,25 | 350,301 | 491,459 | |||||||||
| Depreciation expenses-Right-of-use assets | 11,25 | 128,079 | 155,891 | |||||||||
| Amortization expenses | 25 | 13,934 | 15,145 | |||||||||
| Expected credit (gains) losses | 36 | (68,416 | ) | 66,663 | ||||||||
| Cost of share-based payment | 16,26 | - | 67,921 | |||||||||
| Interest income | 22 | (989 | ) | (1,142 | ) | |||||||
| Interest expense | 24 | 200,134 | 61,220 | |||||||||
| (Gains) Loss on disposal of property, plant and equipment | 21 | (11,501 | ) | 263,446 | ||||||||
| Gains arising from lease modifications | 11,21 | (462 | ) | - | ||||||||
| Changes in operating assets and liabilities | ||||||||||||
| Changes in operating assets | ||||||||||||
| Accounts receivable | 181,838 | 615,637 | ||||||||||
| Other receivables | (14,291 | ) | 10,968 | |||||||||
| Inventories | (884,933 | ) | (8,424,368 | ) | ||||||||
| Prepayments | 144,243 | (398,698 | ) | |||||||||
| Other current asset | 7,429 | (14,875 | ) | |||||||||
| Other non-current assets | (4,505 | ) | 35,371 | |||||||||
| Changes in operating liabilities | ||||||||||||
| Current contract liabilities | 1,995,857 | (335,972 | ) | |||||||||
| Notes payable | 39,238 | (9,046 | ) | |||||||||
| Accounts and payable | (554,636 | ) | 1,972,002 | |||||||||
| Other payables | (909,121 | ) | 1,762,470 | |||||||||
| Other current liabilities | (587,597 | ) | 126,438 | |||||||||
| Cash outflow generated from operations | (513,671 | ) | (2,173,272 | ) | ||||||||
| Interest received | 989 | 1,142 | ||||||||||
| Interest paid | (99,910 | ) | (85,947 | ) | ||||||||
| Income tax paid | (91,292 | ) | (80,764 | ) | ||||||||
| Net cash flows used in operating activities | (703,884 | ) | (2,338,841 | ) | ||||||||
(Continued)
The accompanying notes are an integral part of these condensed interim consolidated financial statements.
| F-50 |
J-Star Holding Co., Ltd. AND SUBSIDIARIES
Condensed Interim Consolidated Statements of Cash Flows
Expressed in United States dollars
| Six months ended June 30 | ||||||||||||
| 2020 | 2021 | |||||||||||
| (Unaudited) | (Unaudited) | |||||||||||
| Notes | AMOUNT | AMOUNT | ||||||||||
| CASH FLOWS FROM INVESTING ACTIVITIES | ||||||||||||
| Acquisition of financial assets at amortized cost | $ | (400,616 | ) | $ | (2,348 | ) | ||||||
| Acquisition of Non-current financial assets at fair | ||||||||||||
| value through other comprehensive income | - | (21,758 | ) | |||||||||
| Acquisition of property, plant and equipment | 29 | (275,890 | ) | (527,850 | ) | |||||||
| Proceeds from disposal of property, plant and equipment | 136,144 | - | ||||||||||
| Acquisition of intangible assets | (9,271 | ) | (9,230 | ) | ||||||||
| Increase in guarantee deposits paid | - | (386,168 | ) | |||||||||
| Net cash flows used in investing activities | (549,633 | ) | (947,354 | ) | ||||||||
| CASH FLOWS FROM FINANCING ACTIVITIES | ||||||||||||
| Proceeds from short-term bank loans | 30 | 1,827,579 | 1,138,935 | |||||||||
| Proceeds from long-term bank loans | 30 | - | 2,408,434 | |||||||||
| Payments on long-term bank loans | 30 | - | (118,333 | ) | ||||||||
| Decrease in other payables to related parties | 30 | - | (442,473 | ) | ||||||||
| Payment on lease liabilities | 30 | (17,583 | ) | (123,760 | ) | |||||||
| Decrease in long-term notes and accounts payable to related parties | 30 | (393,202 | ) | - | ||||||||
| Net cash flows from financing activities | 1,416,794 | 2,862,803 | ||||||||||
| Effect of foreign exchange rate changes | 101,710 | 15,344 | ||||||||||
| Net increase (decrease) in cash and cash equivalents | 264,987 | (408,048 | ) | |||||||||
| Cash and cash equivalents at beginning of year | 1,563,058 | 1,336,820 | ||||||||||
| Cash and cash equivalents at end of period | $ | 1,828,045 | $ | 928,772 | ||||||||
The accompanying notes are an integral part of these condensed interim consolidated financial statements.
| F-51 |
J-Star Holding Co., Ltd. AND SUBSIDIARIES
NOTES TO THE UNAUDITED CONDENSED INTERIM
CONSOLIDATED FINANCIAL STATEMENTS
SIX MONTHS ENDED JUNE 30, 2021 AND 2020
(Expressed in United States dollars, except as otherwise indicated)
| 1. | Corporate and group information |
J-Star Holding Co., Ltd. (the “Company”) was incorporated in the Cayman Islands in May 2016. The Company and its subsidiaries (collectively referred herein as the “Group”) are primarily engaged in manufacturing and trading business of bicycles, sports accessories and carbon fiber composite products.
These condensed interim consolidated financial statements have been prepared by management on a going concern basis which assumes that the Company will be able to realize its assets and discharge its liabilities in the normal course of business for the foreseeable future. In assessing its liquidity, management monitors and analyzes the Company’s cash on-hand, its ability to deliver inventories to its customers timely and generate sufficient revenue in the future, and its operating and capital expenditure commitments. For the six months period ended June 30, 2021, the Company had cash and cash equivalent of $928,772, unused credit terms of $3,356,085, profit after tax of $967,537 and negative cash outflow in operating activities of ($2,338,841). The Company also had inventories of $20,124,028 as of June 30, 2021 which represents 165% of the Company’s sales revenue for the six months ended June 30, 2021.
Despite the demand from the Company’s customers, recent shortage of shipping containers and delays in international shipments delayed the Company’s shipment of inventories to its customers as scheduled which resulted in significant increase in the amount of inventories as compared to December 31, 2020 and negative cash outflow in operating activities of ($2,338,841) for the six months period June 30, 2021. Management anticipates that the shortage of shipping containers and delays in international shipments may continue, at least in the near future. Aforementioned shortage of shipping containers and delays in international shipments, if remain unrelieved in the near future, may continue to have negative impact on our liquidity and we may be required to raise additional funds from bank financing or issuance of equity to fund our operations.
Management has taken certain actions to manage the level of inventories held by the Company as well as negotiating new credit terms with the customers to ensure sufficient liquidity and capital resources. Based on the actions taken by management and the lines of credit available to the Company, management believes that its cash and cash equivalents are sufficient to fund its operating expenses and meet its obligations for at least the next twelve months from the issuance date of these condensed interim consolidated financial statements.
| 2. | The authorization of the consolidated financial statements |
The accompanying consolidated financial statements were authorized for issuance by the Board of Directors on December 10, 2021.
| 3. | Application of new and revised International Financial Reporting Standards (“IFRS”), International Accounting Standards (“IAS”), International Financial Reporting Interpretations Committee (“IFRIC”) Interpretations and Standing Interpretations Committee (“SIC”) Interpretations issued by the International Accounting Standards Board (“IASB”), (collectively, “IFRSs”) |
| a) | Amendments to IFRSs and the new interpretation that are mandatorily effective for the current year |
| New Standards, Interpretations and Amendments | Effective date issued by IASB | |
| Amendments to IFRS 4, “Extension of the temporary exemption from applying IFRS 9” | January 1, 2021 | |
| Amendments to IFRS 9, IAS 39, IFRS 7, IFRS 4 and IFRS 16, “Interest Rate Benchmark Reform— Phase 2” | January 1, 2021 |
Based on the Group’s assessment, the above standards and interpretations have no significant impact to the Group’s financial position and financial performance.
| b) | New Standards, interpretations and amendments in issue but not yet effective |
| New Standards, Interpretations and Amendments | Effective date issued by IASB | |
| Amendments to IFRS 3, “Reference to the conceptual framework” | January 1, 2022 | |
| Amendments to IAS 16, “Property, plant and equipment: proceeds before intended use” | January 1, 2022 | |
| Amendments to IAS 37, “Onerous contracts— cost of fulfilling a contract” | January 1, 2022 | |
| Annual improvements to IFRS Standards 2018–2020 | January 1, 2022 | |
| Amendments to IFRS 10 and IAS 28, “Sale or contribution of assets between an investor and its associate or joint venture” | To be determined by IASB |
| F-52 |
| New Standards, Interpretations and Amendments | Effective date issued by IASB | |
| IFRS 17, “Insurance contracts” | January 1, 2023 | |
| Amendments to IFRS 17, ‘Insurance contracts’ | January 1, 2023 | |
| Amendments to IAS 1, “Classification of liabilities as current or non-current” | January 1, 2023 | |
| Amendments to IAS 1, “Disclosure of accounting policies” | January 1, 2023 | |
| Amendments to IAS 8, “Definition of accounting estimate” | January 1, 2023 | |
| Amendments to IAS 12, “Deferred tax related to assets and liabilities arising from a single transaction” | January 1, 2023 |
The above standards and interpretations have no significant impact to the Group’s financial condition and financial performance based on the Group’s assessment except for the following standards where the Group is still assessing the impact and that impact is currently not known.
| (a) | Amendments to IAS 1, “Classification of liabilities as current or non-current” | |
| The amendments clarify that classification of liabilities depends on the rights that exist at the end of the reporting period. An entity shall classify a liability as current when it does not have a right at the end of the reporting period to defer settlement of the liability for at least twelve months after the reporting period. Also, the amendments define ‘settlement’ as the extinguishment of a liability with cash, other economic resources or an entity’s own equity instruments. | ||
| (b) | Amendments to IAS 16, “Property, plant and equipment: proceeds before intended use” | |
| This amendment to IAS 16 prohibits an entity from deducting from the cost of an item of property, plant and equipment any proceeds received from selling items produced while the entity is preparing the asset for its intended use (for example, the proceeds from selling samples produced when testing a machine to see if it is functioning properly). The proceeds from selling such samples and the costs relating to items produced are now recognized in profit or loss. This amendment also clarifies that an entity is ‘testing whether the asset is functioning properly’ when it assesses the technical and physical performance of the asset. The financial performance of the asset is not relevant to this assessment. |
| 4. | Summary of significant accounting policies |
The principal accounting policies adopted are consistent with Note 4 in the consolidated financial statements for the year ended December 31, 2020, except for the compliance statement, basis of preparation, basis of consolidation and additional policies as set out below. These policies have been consistently applied to all the periods presented, unless otherwise stated.
| a) | Statement of compliance |
These condensed consolidated interim financial statements have been prepared in accordance with IAS 34 Interim Financial Reporting.
| b) | Basis of preparation |
| (a) | The condensed consolidated interim financial statements have been prepared under the historical cost convention: | |
| (b) | The preparation of financial statements in conformity with IAS 34 Interim Financial Reporting requires the use of certain critical accounting estimates. It also requires management to exercise its judgement in the process of applying the Group’s accounting policies. The areas involving a higher degree of judgement or complexity, or areas where assumptions and estimates are significant to the condensed consolidated financial statements are disclosed in Note 4 f). | |
| (c) | These condensed consolidated interim financial statements are presented in U.S. dollars (“US$”), which is the Company’s functional currency. |
| F-53 |
| c) | Basis of consolidation |
| (a) | Basis for preparation of consolidated financial statements: |
| i) | All subsidiaries are included in the Group’s consolidated financial statements. Subsidiaries are all entities controlled by the Group. The Group controls an entity when the Group is exposed, or has rights, to variable returns from its involvement with the entity and has the ability to affect those returns through its power over the entity. Consolidation of subsidiaries begins from the date the Group obtains control of the subsidiaries and ceases when the Group loses control of the subsidiaries Transactions, balances and unrealized gains or losses on transactions between companies within the Group are eliminated. Accounting policies of subsidiaries have been adjusted where necessary to ensure consistency with the policies adopted by the Group. | ||
| ii) | Transactions, balances and unrealized gains or losses on transactions between companies within the Group are eliminated. Accounting policies of subsidiaries have been adjusted where necessary to ensure consistency with the policies adopted by the Group. | ||
| iii) | In 2016, the Company, through a series of transactions which is accounted for as a reorganization of entities under a common control, became the ultimate parent entity of its subsidiaries. The Group accounted for the transactions using the book value method of accounting and is retrospectively applied. Difference between consideration paid and the net assets acquired is adjusted to shareholders’ equity. | ||
| (b) | Subsidiaries included in the consolidated financial statements: |
| Percentage of Ownership (%) | ||||||||||||||||||
| Name of investor | Name of investee | Main business | Location | June 30, 2020 | December 31, 2020 | June 30, 2021 | ||||||||||||
| The Company | GOAL BEYOND LIMITED(GOAL BEYOND) | Holding company | Samoa | 100 | 100 | 100 | ||||||||||||
| The Company | STAR LEADER TRADING LIMITED (STAR LEADER) | Sales of bicycle,sporting goods,and otheer carbon composite products | Hong Kong | 100 | 100 | 100 | ||||||||||||
| GOAL BEYOND | YMA CORPORATION (YMA) | Product development,design,manufacturing and sales of carbon fiber composite products | Republic of China (“ROC”) | 100 | 100 | 100 | ||||||||||||
| GOAL BEYOND | TIME YIELD LIMITED (TIME YIELD) | Purchasing | Samoa | 100 | 100 | 100 | ||||||||||||
| GOAL BEYOND | Forwell Sports Equipment Co., Ltd. (Forwell) | Manufacturing of bicycle,sporting goods and carbon fiber composite | Dongguan, People’s Republic of China (“PRC”) | 100 | 100 | 100 | ||||||||||||
| GOAL BEYOND | YMA Composite Materials (DG) Co., Ltd. (YMA DG) | Manufacturing of bicycle,sporting goods and carbon fiber composite | Dongguan, People’s Republic of China (“PRC”) | 100 | 100 | 100 | ||||||||||||
| F-54 |
| (c) | Subsidiaries not included in the consolidated financial statements: None. | |
| (d) | Adjustments for subsidiaries with different statements of financial position dates: Not applicable. | |
| (e) | Significant restrictions | |
| As of June 30, 2021, cash and short-term deposits of $21,822 deposited in mainland China are under local foreign exchange control which restricts the capital to be remitted outside the borders except for normal dividend distribution. | ||
| (f) | Subsidiaries that have non-controlling interests that are material to the Group: None. |
| d) | Employee benefits |
Pensions
Pension cost for the interim period is calculated on a year-to-date basis by using the pension cost rate derived from the actuarial valuation at the end of the prior financial year, adjusted for significant market fluctuations since that time and for significant curtailments, settlements, or other significant one-off events. Also, the related information is disclosed accordingly.
| e) | Income taxes |
| (a) | The interim period income tax expense is recognised based on the estimated average annual effective income tax rate expected for the full financial year applied to the pretax income of the interim period, and the related information is disclosed accordingly. | |
| (b) | If a change in tax rate is enacted or substantively enacted in an interim period, the Group recognises the effect of the change immediately in the interim period in which the change occurs. The effect of the change on items recognised outside profit or loss is recognised in other comprehensive income or equity while the effect of the change on items recognised in profit or loss is recognised in profit or loss. |
| f) | Critical accounting judgments, estimates and key sources of assumption uncertainty |
There have been no significant changes as of June 30, 2021. Please refer to Note 4 bb) in the consolidated financial statements for the year ended December 31, 2020.
| 5. | Cash and cash equivalents |
| December 31, 2020 | June 30, 2021 | |||||||
| Cash on hand and petty cash | $ | 1,870 | $ | 2,835 | ||||
| Checking accounts and demand deposits | 1,334,950 | 925,937 | ||||||
| $ | 1,336,820 | $ | 928,772 | |||||
| a) | The Group transacts with a variety of financial institutions all with high credit quality to disperse credit risk, so it expects that the probability of counterparty default is remote. | |
| b) | No cash and cash equivalents of the Group were pledged to others. |
| F-55 |
| 6. | Financial assets at amortized cost |
| December 31, 2020 | June 30, 2021 | |||||||
| Current items: | ||||||||
| Restricted time deposits | $ | 701,282 | $ | 702,028 | ||||
| Restricted demand deposits | 70,310 | 71,912 | ||||||
| $ | 771,592 | $ | 773,940 | |||||
| a) | Without taking into account any collateral held or other credit enhancements, the maximum exposure to credit risk in respect of the amount that best represents the financial assets at amortized cost held by the Group is the carrying amount at the end of each reporting period. | |
| b) | Information about the financial assets at amortized cost that were pledged to others as collateral is provided in Note 12 and 32. | |
| c) | Information relating to credit risk of financial assets at amortized cost is provided in Note 36 c). |
| 7. | Accounts receivable |
| December 31, 2020 | June 30, 2021 | |||||||
| Accounts receivable | $ | 5,445,860 | $ | 4,830,223 | ||||
| Less: Loss allowance | (326,986 | ) | (380,259 | ) | ||||
| $ | 5,118,874 | $ | 4,449,964 | |||||
| a) | The Group’s credit term granted to customers is 30~90 days. Receivables do not bear interest. The loss allowance is determined based on the credit quality of customers. Information relating to credit risk is provided in Note 36 c). | |
| b) | The ageing analysis of accounts receivable and that were past due but not impaired is as follows: |
| December 31, 2020 | June 30, 2021 | |||||||
| Not past due | $ | 4,843,098 | $ | 4,266,521 | ||||
| Up to 30 days | 167,147 | 28,032 | ||||||
| 31 to 90 days | 28,675 | 130,546 | ||||||
| 91 to 180 days | 12,317 | 22,540 | ||||||
| Over 180 days | 394,623 | 382,584 | ||||||
| $ | 5,445,860 | $ | 4,830,223 | |||||
| c) | As of December 31, 2020 and June 30, 2021, accounts receivable were all from contracts with customers. And as of January 1, 2020, the balance of accounts receivable from contracts with customers was $5,686,588. | |
| d) | Without taking into account of any collateral held or other credit enhancements, the amount that best reflects the Group’s maximum exposure to credit risk in respect of the accounts receivable is the carrying amount at the end of each reporting period. | |
| e) | No accounts receivable of the Group were pledged to others. |
| F-56 |
| 8. | Inventories |
| December 31, 2020 | ||||||||||||
| Cost | Allowance for valuation loss | Book value | ||||||||||
| Raw materials | $ | 3,807,079 | $ | (323,804 | ) | $ | 3,483,275 | |||||
| Work in progress | 8,172,868 | (519,528 | ) | 7,653,340 | ||||||||
| Finished goods | 733,078 | (170,033 | ) | 563,045 | ||||||||
| $ | 12,713,025 | $ | (1,013,365 | ) | $ | 11,699,660 | ||||||
| June 30, 2021 | ||||||||||||
| Cost | Allowance for valuation loss | Book value | ||||||||||
| Raw materials | $ | 4,995,525 | $ | (402,371 | ) | $ | 4,593,154 | |||||
| Work in progress | 14,184,056 | (237,547 | ) | 13,946,509 | ||||||||
| Finished goods | 1,784,868 | (200,503 | ) | 1,584,365 | ||||||||
| $ | 20,964,449 | $ | (840,421 | ) | $ | 20,124,028 | ||||||
The cost of inventories recognized as an expense for the period:
| Six months | Six months | |||||||
| ended June 30, 2020 | ended June 30, 2021 | |||||||
| Cost of goods sold | $ | 7,401,956 | $ | 7,879,320 | ||||
| Loss on physical inventory | 39,562 | 122 | ||||||
| Reversal of inventory valuation | (274,686 | ) | (179,718 | ) | ||||
| $ | 7,166,832 | $ | 7,699,724 | |||||
| a) | Reversal of allowance for inventory valuation and obsolescence loss was recognized due to disposal of certain inventories which were previously provided with allowance for valuation loss. | |
| b) | No inventories of the Group were pledged to others. |
| 9. | Prepayments |
| December 31, 2020 | June 30, 2021 | |||||||
| Prepayment for purchases | $ | 644,713 | $ | 769,041 | ||||
| Prepaid sales tax | 787,652 | 898,883 | ||||||
| Professional service fees prepayments | - | 170,650 | ||||||
| Other prepayments | 238,304 | 230,793 | ||||||
| $ | 1,670,669 | $ | 2,069,367 | |||||
| F-57 |
| 10. | Property, plant and equipment, net |
| 2021 | ||||||||||||||||||||||||
| Machinery and equipment | Leasehold improvement | Molding equipment | Others | Construction in progress and equipment to be inspected | Total | |||||||||||||||||||
| At January 1 | ||||||||||||||||||||||||
| Cost | $ | 3,880,445 | $ | 497,465 | $ | 1,610,749 | $ | 249,990 | $ | 13,250 | $ | 6,251,899 | ||||||||||||
| Accumulated depreciation | (1,637,212 | ) | (198,193 | ) | (233,959 | ) | (226,967 | ) | - | (2,296,331 | ) | |||||||||||||
| $ | 2,243,233 | $ | 299,272 | $ | 1,376,790 | $ | 23,023 | $ | 13,250 | $ | 3,955,568 | |||||||||||||
| January 1 | $ | 2,243,233 | $ | 299,272 | $ | 1,376,790 | $ | 23,023 | $ | 13,250 | $ | 3,955,568 | ||||||||||||
| Additions | 50,487 | - | 446,267 | 22,536 | - | 519,290 | ||||||||||||||||||
| Disposals | (406 | ) | - | (263,040 | ) | - | - | (263,446 | ) | |||||||||||||||
| Depreciation expenses | (187,599 | ) | (14,118 | ) | (280,311 | ) | (9,431 | ) | - | (491,459 | ) | |||||||||||||
| Exchange adjustment | 17,487 | 3,119 | 8,959 | 386 | 86 | 30,037 | ||||||||||||||||||
| June 30 | $ | 2,123,202 | $ | 288,273 | $ | 1,288,665 | $ | 36,514 | $ | 13,336 | $ | 3,749,990 | ||||||||||||
| At June 30 | ||||||||||||||||||||||||
| Cost | $ | 3,965,156 | $ | 504,914 | $ | 1,805,320 | $ | 277,982 | $ | 13,336 | $ | 6,566,708 | ||||||||||||
| Accumulated depreciation | (1,841,954 | ) | (216,641 | ) | (516,657 | ) | (241,468 | ) | - | (2,816,720 | ) | |||||||||||||
| $ | 2,123,202 | $ | 288,273 | $ | 1,288,663 | $ | 36,514 | $ | 13,336 | $ | 3,749,988 | |||||||||||||
Information about the property, plant and equipment that were pledged to others as collaterals is provided in Notes 14 and 32.
| 11. | Leasing arrangements- lessee |
| a) | The Group leases various assets including land use right and buildings. Rental contracts are typically made for periods of 2 to 3 years. Lease terms are negotiated on an individual basis and contain a wide range of different terms and conditions. The lease agreements do not impose covenants, but leased assets may not be used as security for borrowing purposes. | |
| b) | The carrying amount of right-of-use assets and the depreciation charge are as follows: |
| December 31, 2020 | June 30, 2021 | |||||||
| Carrying amount | Carrying amount | |||||||
| Land use right | $ | 71,379 | $ | 41,053 | ||||
| Buildings | 433,655 | 315,268 | ||||||
| $ | 505,034 | $ | 356,321 | |||||
| Six months ended June 30, | ||||||||
| 2020 | 2021 | |||||||
| Depreciation expenses | Depreciation expenses | |||||||
| Land use right | $ | 30,262 | $ | 31,371 | ||||
| Buildings | 97,817 | 124,520 | ||||||
| $ | 128,079 | $ | 155,891 | |||||
| F-58 |
| c) | For the six-month periods ended June 30, 2020 and 2021, the additions to right-of-use assets were $240,194 and $0, respectively. |
| d) | The information on profit and loss accounts relating to lease contracts is as follows: |
| Six months ended June 30, 2020 | Six months ended June 30, 2021 | |||||||
| Items affecting profit or loss | ||||||||
| Interest expense on lease liabilities | $ | 34,310 | $ | 19,829 | ||||
| Expense on short-term lease contracts | 54,188 | 2,339 | ||||||
| Gain on lease modification | 462 | - | ||||||
| e) | For the six-month periods ended June 30, 2020 and 2021, the Group’s total cash outflow for leases were $106,081 and $145,928, respectively. |
| 12. | Short-term loans |
| Type of loans | December 31, 2020 | Interest rate range (Floating rate) | Collateral | |||||||||
| Bank loans | ||||||||||||
| Bank secured loans | $ | 2,041,646 | 1.69%~2.60% | restricted demand deposit restricted time deposit | ||||||||
| Bank unsecured loans | 702,000 | 1.75%~2.325% | - | |||||||||
| $ | 2,743,646 | |||||||||||
| Type of loans | June 30, 2021 | Interest rate range (Floating rate) | Collateral | |||||||||
| Bank loans | ||||||||||||
| Bank secured loans | $ | 2,408,474 | 1.43%~2.65% | restricted demand deposit restricted time deposit | ||||||||
| Bank unsecured loans | 1,507,800 | 1.42%~2.30% | - | |||||||||
| $ | 3,916,274 | |||||||||||
| a) | Interest expense recognized in profit or loss amounted to $15,021 and $24,991 for the six-month periods ended June 30, 2020 and 2021, respectively. | |
| b) | All short-term loans were guaranteed by key management. |
| 13. | Other payables |
| December 31, 2020 | June 30, 2021 | |||||||
| Professional service fees payable | $ | 1,844,400 | $ | 1,897,948 | ||||
| Social security and provident fund payable | 1,379,340 | 1,388,314 | ||||||
| Salaries and bonuses payable | 821,937 | 1,063,448 | ||||||
| Processing cost payable | 735,119 | 1,309,377 | ||||||
| Mold and toolings payable | 699,665 | 929,387 | ||||||
| Employees’compensation payable | 63,861 | 118,738 | ||||||
| Other expense payable | 1,937,589 | 2,498,208 | ||||||
| $ | 7,481,911 | $ | 9,205,420 | |||||
| F-59 |
| 14. | Long-term loans |
| Type of loans | Period and payment term | Interest rate range (Floating rate) | Collateral | December 31, 2020 | Note | |||||||||||
| Long-term bank loans | ||||||||||||||||
| Unsecured loans | Borrowing period is from October 12, 2020 to October 12, 2023; interest is repayable monthly;principal is repayable monthly | 0.66%~0.94% | - | $ | 663,000 | b | ||||||||||
| Less: Current portion | (234,000 | ) | ||||||||||||||
| $ | 429,000 | |||||||||||||||
| Type of loans | Period and payment term | Interest rate range | Collateral | June 30, 2021 | Note | |||||||||||
| Long-term bank loans | ||||||||||||||||
| Unsecured loans | Borrowing period is from October 12, 2020 to October 12, 2023; interest is repayable monthly;principal is repayable monthly | 0.66%~0.94% | - | $ | 558,445 | b | ||||||||||
| Other long-term loans | ||||||||||||||||
| Secured loans | Borrowing period is from April 12, 2021 to April 12, 2024; interest is repayable monthly;principal is repayable quarterly | 6.20 | % | Guarantee deposits paid | 1,400,527 | |||||||||||
| Secured loans | Borrowing period is from June 30, 2021 to May 31, 2023; interest is repayable monthly;principal is repayable monthly | 10.62 | % | Guarantee deposits paid, Property, plant and equipment | 711,620 | b | ||||||||||
| Secured loans | Borrowing period is from June 30, 2021 to May 31, 2023; interest is repayable monthly;principal is repayable monthly | 10.14 | % | Guarantee deposits paid, Property, plant and equipment | 309,400 | b | ||||||||||
| 2,979,992 | ||||||||||||||||
| Less: Current portion | (1,278,990 | ) | ||||||||||||||
| $ | 1,701,002 | |||||||||||||||
| a) | Information about the property, plant and equipment that were pledged to others as collaterals for other long-term loans is provided in Notes 32. | |
| b) | The long-term loans were guaranteed by key management. |
| F-60 |
| 15. | Pensions |
Defined contribution plans
| a) | The Company’s subsidiaries in Taiwan have established a defined contribution pension plan (the “New Plan”) under the Labor Pension Act (the “Act”), covering all regular employees with R.O.C. nationality. Under the New Plan, the Company’s Taiwan subsidiaries contribute monthly an amount based on 6% of the employees’ monthly salaries and wages to the employees’ individual pension accounts at the Bureau of Labor Insurance. The benefits accrued are paid monthly or in lump sum upon termination of employment. |
| b) | The subsidiaries in mainland China have defined contribution pension plans and contribute monthly an amount equal to 13% of employees’ monthly salaries and wages to an independent fund administered by a government agency. The plan is administered by the government of mainland China. Other than the monthly contributions, the Group does not have further pension liabilities. |
| c) | The pension costs under the defined contribution pension plans of the Group for the six-month periods ended June 30, 2020 and 2021 were $87,958 and $349,575, respectively. As a result of the coronavirus epidemic in China in early 2020, the local government reduced the pension insurance premiums by half for a period of five months from February 2020. |
| 16. | Share-based payment |
| a) | For the six-month periods ended June 30, 2021, the Group’s share-based payment arrangements was as follows: |
| Type of arrangement | Grant date | Quantity granted (shares) | Fair value per unit | Contract period | Vesting conditions | |||||||||||
| Bonus shares | August 28,2020 | 1,000,000 | 1.02 | 5 years | 5 years’ service | |||||||||||
On August 28, 2020, New Moon Corporation (New Moon), a shareholder of the Company, an employee of the Company and the Company signed a tripartite talent award agreement. Under the agreement, the Company provides NT$10,000,000 (US$327,600) to the employee for the purchase of 1,000,000 shares of the Company owned by New Moon at NT$10 per share. The employee should return the payment to the Company if the acquisition of the shares could not be completed in thirty days after the payment. Also, the employee should return the shares to New Moon if the employee resigned within five years from the date of the agreement. New Moon should also return the consideration received from the employee to the Company.
The aforementioned bonus shares settled by a shareholder of the Company cannot be transferred during the vesting period, but voting right and dividend right are not restricted. The employee is required to return the shares to the shareholder but not required to return the dividends received if she resigns during the vesting period.
| F-61 |
The Company accounted for the shares contributed by New Moon as share-based payment arrangement settled by equity. The NT$10,000,000 (US$327,600) contributed by the Company is accounted for as prepaid cash incentive to the employee and is amortized over the contract period which is five years.
| b) | The expenses incurred on share-based payment transactions for the six-month periods ended June 30, 2021 were $67,921. |
| 17. | Share capital |
| a) | As of June 30, 2021, the Company’s authorised capital was $10,879,254, consisting of 35,000,000 shares of ordinary stock, and the paid-in capital was $6,805,098 with a par value of $10 in New Taiwan dollars ($0.31 in US dollars) per share, consisting of 21,892,899 shares of ordinary stock. All proceeds from shares issued have been collected. |
| b) | Treasury shares |
The Company’s treasury shares at June 30, 2020 are as follows:
| 2020 | ||||||||
| Shares | Amount | |||||||
| At January 1 and June 30 | 4,999,447 | $ | 8,022,078 | |||||
There were no treasury shares at January 1 and June 30, 2021.
| c) | On December 25, 2020, the Board of Directors resolved to issue 838,053 shares (3.4% of the total ordinary share capital issued)of the treasury shares repurchased in 2019 to the shareholders of Bohong Techonology Jiansgu Co., Ltd. (Bohong) to obtain 100% of its ordinary shares through a share swap. The ordinary shares issued have the same rights as other shares in issue. Bohong was a company that only held land use right and did not meet the definition of a “business” and the Group treated this transaction as an asset acquisition. The fair value of the land use right and shares issued are both amounted to $1,344,734 ($1.60 per share). Valuations were made using the market comparable companies method while valuations for land use right were made using replacement cost method which are both categorized within Level 3 in the fair value hierarchy. The significant inputs of the market comparable companies method are transaction price of the market comparable companies and the indexes to adjust different conditions, such as area and useful life, between the target company and the market comparable companies. As of December 31, 2020 and June 30, 2021, the issued shares were shown as other non-current assets as long-term prepayments for investments since the share swap registration of the shareholders of Bohong was not yet completed. |
| F-62 |
| 18. | Capital surplus |
Pursuant to the Cayman Islands Company Act, capital surplus arising from paid-in capital in excess of par value on issuance of ordinary shares donations can be used to cover accumulated deficit or to issue new stocks or cash to shareholders in proportion to their share ownership, provided that the Company has no accumulated deficit. However, capital surplus should not be used to cover accumulated deficit unless the legal reserve is insufficient.
| 2020 | ||||
| Share premium | ||||
| At January 1 and June 30 | $ | 9,520,046 | ||
| 2021 | ||||||||||||
| Share premium | Share-based payments | Total | ||||||||||
| January 1 | $ | 8,350,300 | $ | 46,944 | $ | 8,397,244 | ||||||
| Employee bonus shares | - | 67,921 | 67,921 | |||||||||
| June 30 | $ | 8,350,300 | $ | 114,865 | $ | 8,465,165 | ||||||
| 19. | Accumulated deficit / retained earnings |
| a) | In accordance with the Articles of Incorporation of the Company, the Directors may, in their absolute discretion, declare dividends and distributions on Shares in issue and authorize payment of the dividends or distributions out of the funds of the Company lawfully available therefor. The Board of Directors may from time to time declare interim dividends to the shareholders. Before the declaration of an additional dividend distribution, the Board of Directors may set aside provision from the earnings as it deems appropriate to pay any unforeseen expense or to adjust dividends or for any other purpose to be met by using the earnings based on its discretion, and before such use, the provision may, at the same discretion, be used temporarily in the business of the Company or to invest in such investments as the Board of Directors may at any time as it deems appropriate. |
| b) | As of June 30, 2020 and 2021, the Directors had not declared any dividends and distributions. |
| 20. | Operating revenue |
| Six months ended June 30, 2020 | Six months ended June 30, 2021 | |||||||
| Revenue from contracts with customers | ||||||||
| Good sales | $ | 9,573,242 | $ | 12,184,064 | ||||
| F-63 |
| a) | Disaggregation of revenue from contracts with customers |
The Group derives revenue from the transfer of goods and services at a point in time in the following major product lines and geographical regions:
| US | Asia | Europe | ||||||||||||||||||||||||||||||
| Six months ended June 30, 2020 | Bicycle frame | Racket | Bicycle frame | Racket | Bicycle frame | Racket | Others | Total | ||||||||||||||||||||||||
| Revenue from external customer contracts | $ | - | $ | 406,872 | $ | 3,026,122 | $ | 1,300,275 | $ | 3,212,420 | $ | 1,606,942 | $ | 20,611 | $ | 9,573,242 | ||||||||||||||||
| US | Asia | Europe | ||||||||||||||||||||||||||||||
| Six months ended June 30, 2021 | Bicycle frame | Racket | Bicycle frame | Racket | Bicycle frame | Racket | Others | Total | ||||||||||||||||||||||||
| Revenue from external customer contracts | $ | 2,188 | $ | 702,384 | $ | 3,884,835 | $ | 1,933,946 | $ | 4,136,685 | $ | 1,524,026 | $ | - | $ | 12,184,064 | ||||||||||||||||
| b) | Contract assets and liabilities |
| i) | The Group has recognized the following revenue-related contract assets and liabilities: |
| January 1, 2020 | December 31, 2020 | June 30, 2021 | ||||||||||
| Contract liabilities – receipts in advance | $ | 986,139 | $ | 601,351 | $ | 265,379 | ||||||
| ii) | Revenue recognized that was included in the contract liability balance at the beginning of the period: |
| Six months ended June 30, 2020 | Six months ended June 30, 2021 | |||||||
| Contract liabilities – receipts in advance | $ | 852,642 | $ | 470,873 | ||||
| 21. | Other income and expenses |
| Six months ended June 30, 2020 | Six months ended June 30, 2021 | |||||||
| Gains (Losses) on disposals of property, plant and equipment | $ | 11,501 | $ | (263,446 | ) | |||
| Gains arising from lease modifications | 462 | - | ||||||
| Government grants | 14,200 | 5,101 | ||||||
| Others | (56,321 | ) | 28,439 | |||||
| $ | (30,158 | ) | $ | (229,906 | ) | |||
| 22. | Interest income |
| Six months ended June 30, 2020 | Six months ended June 30, 2021 | |||||||
| Interest income from bank deposits | $ | 989 | $ | 1,142 | ||||
| 23. | Other gains and losses |
| Six months ended June 30, 2020 | Six months ended June 30, 2021 | |||||||
| Foreign exchange (losses) gains | $ | (55,059 | ) | $ | 733,325 | |||
| F-64 |
| 24. | Finance costs |
| Six months ended June 30, 2020 | Six months ended June 30, 2021 | |||||||
| Interest expense | ||||||||
| Bank loans | $ | 14,369 | $ | 37,306 | ||||
| Lease liabilities | 34,310 | 19,829 | ||||||
| Loans from related parties | 151,455 | 4,085 | ||||||
| $ | 200,134 | $ | 61,220 | |||||
| 25. | Expenses by nature |
| Six months ended June 30, 2020 | Six months ended June 30, 2021 | |||||||
| Change in inventory of finished goods and work in process | $ | (1,698,472 | ) | $ | (7,062,978 | ) | ||
| Raw materials and supplies used | 5,287, 836 | 7,921,830 | ||||||
| Employee benefit expenses | 3,928,346 | 6,511,757 | ||||||
| Processing cost | 553,117 | 1,348,077 | ||||||
| Fuel and utility expense | 545,807 | 813,161 | ||||||
| Short-term rent expenses | 54,188 | 2,339 | ||||||
| Freight expenses | 626,981 | 539,252 | ||||||
| Professional service expenses | 165,749 | 412,055 | ||||||
| Expected credit (gains) losses | (68,416 | ) | 66,663 | |||||
| Reversal of inventory valuation | (274,686 | ) | (179,718 | ) | ||||
| Depreciation expenses | 478,380 | 647,350 | ||||||
| Amortization expenses | 13,934 | 15,145 | ||||||
| Miscellaneous purchases and maintenance expenses | 138,381 | 146,254 | ||||||
| Other expenses | 76,008 | 80,020 | ||||||
| $ | 9,827,153 | $ | 11,261,207 | |||||
| 26. | Employee benefit expenses |
| Six months ended June 30, 2020 | Six months ended June 30, 2021 | |||||||
| Wages and salaries | $ | 3,537,006 | $ | 5,647,224 | ||||
| Labour and health insurance fees | 162,458 | 213,355 | ||||||
| Pension | 87,958 | 349,575 | ||||||
| Share-based payments | - | 67,921 | ||||||
| Other personnel expenses | 140,924 | 233,682 | ||||||
| $ | 3,928,346 | $ | 6,511,757 | |||||
| F-65 |
| 27. | Income tax |
| a) | Income tax expense |
Components of income tax expense:
| Six months ended June 30, 2020 | Six months ended June 30, 2021 | |||||||
| Current income tax: | ||||||||
| Current income tax on profits for the period | $ | 151,357 | $ | 210,685 | ||||
| Tax on unappropriated retained earnings | - | 6,335 | ||||||
| Prior year income tax (over) under estimation | (2,163 | ) | 9,003 | |||||
| Total current income tax | 149,194 | 226,023 | ||||||
| Deferred income tax: | ||||||||
| Origination and reversal of temporary differences | 60,042 | 172,638 | ||||||
| Income tax expense | $ | 209,236 | $ | 398,661 | ||||
Tax expenses were computed based on the rates applicable in the respective countries where the Group entities operate.
| b) | The Company’s foreign subsidiaries file income tax returns in the countries where their operations are located. Generally, these countries have statutes of limitations ranging from 5 to 6 years. The statute of limitations has closed through the following years in these major jurisdictions: China (2015), Taiwan (2015) and Hong Kong (2014). |
| c) | The Group principally operates business in Taiwan, China and Hong Kong. The tax rate for above countries was 20%, 25% and 16.5%, respectively. |
| 28. | (Loss) Earnings per share |
| Six months ended June 30, 2020 | ||||||||||||
| Amount after income tax | Weighted average number of ordinary shares outstanding | Loss per share (in dollars) | ||||||||||
| Basic and diluted loss per share | ||||||||||||
| Loss attributable to the parent | $ | (747,509 | ) | 20,000,553 | $ | (0.04 | ) | |||||
| Six months ended June 30, 2021 | ||||||||||||
| Amount after income tax | Weighted average number of ordinary shares outstanding | Earnings per share (in dollars) | ||||||||||
| Basic and diluted earnings per share | ||||||||||||
| Profit attributable to the parent | $ | 967,537 | 21,892,899 | $ | 0.04 | |||||||
There were no potentially dilutive instruments for the six months periods ended June30, 2020 and 2021.
| F-66 |
| 29. | Supplementary cash flow information |
Investing activities with partial cash payments
| Six months ended June 30, 2020 | Six months ended June 30, 2021 | |||||||
| Purchase of property, plant and equipment | $ | 275,882 | $ | 519,290 | ||||
| Less: Ending balance of payable on equipment | - | (5,595 | ) | |||||
| Less: Opening balance of prepaid on equipment | (35,859 | ) | (18,828 | ) | ||||
| Add: Ending balance of prepaid on equipment | 35,867 | 32,983 | ||||||
| Cash paid during the year | $ | 275,890 | $ | 527,850 | ||||
| 30. | Changes in liabilities from financing activities |
| 2020 | ||||||||||||||||||||
| Short-term loans | Other payables to related parties | Long-term notes and accounts payable to related parties | Lease liabilities | Total liabilities from financing activities | ||||||||||||||||
| January 1 | $ | 667,120 | $ | 1,926,240 | $ | 1,925,589 | $ | 2,701,284 | $ | 7,220,233 | ||||||||||
| Changes in cash flow from financing activities | 1,827,579 | - | (393,202 | ) | (17,583 | ) | 1,416,794 | |||||||||||||
| Changes in additions to right-of-use assets | - | - | - | 240,194 | 240,194 | |||||||||||||||
| Changes in lease modification | - | (24,351 | ) | |||||||||||||||||
| exchange difference | 5,413 | 140,883 | (93,279 | ) | (42,652 | ) | 10,365 | |||||||||||||
| June 30 | $ | 2,500,112 | $ | 2,067,123 | $ | 1,439,108 | $ | 2,856,892 | $ | 8,863,235 | ||||||||||
| 2021 | ||||||||||||||||||||
| Short-term loans | Other payables to related parties | Long-term loans (including current portion) | Lease liabilities | Total liabilities from financing activities | ||||||||||||||||
| January 1 | $ | 2,743,646 | $ | 442,473 | $ | 663,000 | $ | 1,418,172 | $ | 5,267,291 | ||||||||||
| Changes in cash flow from financing activities | 1,138,935 | (442,473 | ) | 2,290,101 | (123,760 | ) | 2,862,803 | |||||||||||||
| Offset lease liabilities against sale-and-leaseback transaction | - | - | - | (110,375 | ) | (110,375 | ) | |||||||||||||
| exchange difference | 33,693 | - | 26,891 | 13,705 | 74,289 | |||||||||||||||
| June 30 | $ | 3,916,274 | $ | - | $ | 2,979,992 | $ | 1,197,742 | $ | 8,094,008 | ||||||||||
| 31. | Related party transactions |
| a) | Parent and ultimate controlling party |
The Group is controlled by Jing-Bin Chiang and his family who directly and indirectly owns 55.81% equity interest in the Company as of December 31, 2020 and June 30, 2021.
| b) | Names of related parties and relationship |
| Names of related parties | Relationship with the Company | |
| NEW MOON CORPORATION (NEW MOON) | The Chairman of NEW MOON is key management of the Company. | |
| Jing-Bin Chiang | Key management | |
| Yu-Ning Chiang | Key management |
| c) | Significant related party transactions |
Loans from related parties:
| i) | Outstanding balance: |
December 31, 2020 | June 30, 2021 | |||||||
| Other payables | ||||||||
| Key management | $ | 442,473 | $ | - | ||||
| ii) | Interest expense |
| Six months ended June 30, 2020 | Six months ended June 30, 2021 | |||||||
| Key management | $ | 87,722 | $ | 4,085 | ||||
| NEW MOON | 63,733 | - | ||||||
| $ | 151,455 | $ | 4,085 | |||||
| 1. | The loans from Key management were repaid in March 2021 at the maturity and carry interest at 5% to 10% per annum for the six months ended June 30, 2020 and 2021, respectively. |
| 2. | The loans from NEW MOON were repaid in December 2020 at the maturity and carry interest at 10% per annum for the six months ended June 30, 2020. |
| d) | Endorsements and guarantees provided by related parties: |
December 31, 2020 | June 30, 2021 | |||||||
| Key management | $ | 6,756,265 | $ | 8,851,824 | ||||
| i) | Refer to Note 12 and 14 for the provision of guarantees by the Group’s key management. |
| ii) | The provision of guarantees by key management as of December 31, 2020 and June 30, 2021 was inclusive of unused credit lines from bank loans. |
| e) | Key management compensation |
| Six months ended June 30, 2020 | Six months ended June 30, 2021 | |||||||
| Salaries and other short-term employee benefits | $ | 186,343 | $ | 198,654 | ||||
| Post-employment benefits | 4,795 | 5,112 | ||||||
| Share-based payments | - | 67,921 | ||||||
| $ | 191,138 | $ | 271,687 | |||||
| F-67 |
| 32. | Pledged assets |
The Group’s assets pledged as collateral are as follows:
| Pledged asset | December 31, 2020 | June 30, 2021 | Purpose | |||||||
| Financial assets at amortized cost | $ | 771,592 | $ | 773,940 | Short-term bank loans | |||||
| Property, plant and equipment | - | 1,263,244 | Long-term bank loans | |||||||
| Guarantee deposits paid | - | 372,820 | Long-term bank loans | |||||||
| $ | 771,592 | $ | 2,410,004 | |||||||
| 33. | Significant contingent liabilities and unrecognised contract commitments |
On February 28, 2019, Bohong entered into the State-Owned Construction Land Use Right Assignment Contract (the “Assignment Contract”) with Hanjiang Branch of Yangzhou Land and Resource Bureau (the “Hanjiang Land Bureau”) for a land parcel in Yangzhou. According to the Assignment Contract, Bohong shall commence construction prior to August 28, 2020 or such later date as agreed by Hanjiang Land Bureau and complete the construction project on or prior to August 28, 2022 without granting any extension. Pursuant to the Assignment Contract, if Bohong fails to commence construction or complete the construction project on the scheduled date or a later date as agreed by Hanjiang Land Bureau, for each day of delay, Bohong shall pay Hanjiang Land Bureau a liquidated damage equivalent to 0.1% of the total purchase price for the right to use the state-owned construction land. Bohong has not been able to commence construction as a result of the coronavirus epidemic and may be exposed to a liquidated damage in the amount of approximately RMB $4.9 million (USD $755,082) calculated as of November 19, 2021. Refer to Note 17 c) for more discussion on the acquisition of Bohong.
| 34. | Significant events after the reporting period |
As discussed in Note 17 c), the share swap registration of the shareholders of Bohong was not yet completed as of December 31, 2020 and June 30, 2021. The shareholder registration was completed and approved by relevant government authority on December 7, 2021.
| 35. | Capital management |
The Group’s objectives when managing capital are to safeguard the Group’s ability to continue as a going concern in order to provide returns for shareholders and to maintain an optimal capital structure to reduce the cost of capital. In order to maintain or adjust the capital structure, the Group may adjust the amount of dividends paid to shareholders, return capital to shareholders, issue new shares or sell assets to reduce debt. The Group monitors capital on the basis of the gearing ratio. This ratio is calculated as net debt divided by total capital. Net debt is calculated as total loans (including ‘current and non-current loans’ as shown in the consolidated balance sheet) less cash and cash equivalents. Total capital is calculated as ‘equity’ as shown in the consolidated balance sheet plus net debt.
The Company’s strategy, which is unchanged for the reporting periods, is to maintain a reasonable ratio in order to raise capital with reasonable cost. The debt to capital ratios as of December 31, 2020 and June 30, 2021 were as follows:
| December 31, 2020 | June 30, 2021 | |||||||
| Total borrowings | $ | 3,849,119 | $ | 6,896,266 | ||||
| Less: Cash and cash equivalents | (1,336,820 | ) | (928,772 | ) | ||||
| Net debt | 2,512,299 | 5,967,494 | ||||||
| Total equity | 9,219,051 | 10,254,984 | ||||||
| Total capital | 11,731,350 | 16,222,478 | ||||||
| Gearing ratio | 21 | % | 37 | % | ||||
| F-68 |
| 36. | Financial instruments |
| a) | Financial instruments by category |
| December 31, 2020 | June 30, 2021 | |||||||
| Financial assets | ||||||||
| Financial assets at amortised cost | ||||||||
| Cash and cash equivalents | $ | 1,336,820 | $ | 928,772 | ||||
| Financial assets at amortised cost | 771,592 | 773,940 | ||||||
| Accounts receivable | 5,118,874 | 4,449,964 | ||||||
| Other receivables | 858,556 | 737,213 | ||||||
| Guarantee deposits paid | 392,844 | 779,012 | ||||||
| $ | 8,478,686 | $ | 7,668,901 | |||||
| Financial liability | ||||||||
| Financial liabilities at amortised cost | ||||||||
| Short-term loans | $ | 2,743,646 | $ | 3,916,274 | ||||
| Notes payable | 9,046 | - | ||||||
| Accounts payable | 3,749,984 | 5,721,986 | ||||||
| Other payables | 7,481,911 | 9,205,420 | ||||||
| Other payables to related parties | 442,473 | - | ||||||
| Long-term loans (including current portion) | 663,000 | 2,979,992 | ||||||
| Guarantee deposits received | 72,239 | 72,709 | ||||||
| $ | 15,162,299 | $ | 21,896,381 | |||||
| Lease liability | $ | 1,418,172 | $ | 1,197,742 | ||||
| b) | Financial risk management policies |
| i) | The Group’s activities expose it to a variety of financial risks: market risk (including foreign exchange risk, interest rate risk and price risk), credit risk and liquidity risk. | |
| ii) | Risk management is carried out by a central treasury department (Group treasury) under policies approved by the Board of Directors. Group treasury identifies, evaluates and hedges financial risks in close co-operation with the Group’s operating units. The Board provides written principles for overall risk management, as well as written policies covering specific areas and matters, such as foreign exchange risk, interest rate risk, credit risk, use of derivative financial instruments and non-derivative financial instruments, and investment of excess liquidity. |
| F-69 |
| c) | Significant financial risks and degrees of financial risks |
| i) | Market risk |
Foreign exchange risk
| 1. | The Group operates internationally and is exposed to foreign exchange risk arising from the transactions of the Company and its subsidiaries used in various functional currency, primarily with respect to the USD and HKD. Foreign exchange risk arises from future commercial transactions and recognized assets and liabilities. | |
| 2. | Management has set up a policy to require group companies to manage their foreign exchange risk against their functional currency. Exchange rate risk arising from the difference between various functional currencies and the reporting currency in the consolidated financial statements is centrally managed by the Group’s finance department. | |
| 3. | The Group’s businesses involve some non-functional currency operations (the Company’s and certain subsidiaries’ functional currency: USD; other certain subsidiaries’ functional currency: NTD, RMB and HKD). The information on assets and liabilities denominated in foreign currencies whose values would be materially affected by the exchange rate fluctuations is as follows: |
| December 31, 2020 | ||||||||||||
| Foreign currency amount | Exchange rate | Book value (USD) | ||||||||||
| (Foreign currency: functional currency) | ||||||||||||
| Financial assets | ||||||||||||
| Monetary items | ||||||||||||
| RMB:HKD | $ | 235,070 | 1.19 | $ | 36,127 | |||||||
| EUR:NTD | $ | 28,454 | 35.02 | $ | 34,988 | |||||||
| USD:NTD | $ | 2,756,969 | 28.48 | $ | 2,756,969 | |||||||
| USD:RMB | $ | 9,065,990 | 6.51 | $ | 9,065,990 | |||||||
| Financial liabilities | ||||||||||||
| Monetary items | ||||||||||||
| EUR:NTD | $ | 10,106 | 35.02 | $ | 12,427 | |||||||
| USD:NTD | $ | 2,269,887 | 28.48 | $ | 2,269,887 | |||||||
| USD:RMB | $ | 6,476,046 | 6.51 | $ | 6,476,046 | |||||||
| F-70 |
| June 30, 2021 | ||||||||||||
| Foreign currency amount | Exchange rate | Book value (USD) | ||||||||||
| (Foreign currency: functional currency) | ||||||||||||
| Financial assets | ||||||||||||
| Monetary items | ||||||||||||
| RMB:HKD | $ | 235,070 | 1.20 | $ | 36,357 | |||||||
| EUR:NTD | $ | 37,249 | 33.15 | $ | 44,321 | |||||||
| USD:NTD | $ | 7,957,519 | 27.86 | $ | 7,957,519 | |||||||
| USD:RMB | $ | 7,772,153 | 6.46 | $ | 7,772,153 | |||||||
| Financial liabilities | ||||||||||||
| Monetary items | ||||||||||||
| EUR:NTD | $ | 16,492 | 33.15 | $ | 19,624 | |||||||
| USD:NTD | $ | 8,313,365 | 27.86 | $ | 8,313,365 | |||||||
| USD:RMB | $ | 7,242,287 | 6.47 | $ | 7,242,287 | |||||||
| 4. | Total exchange gain (loss), including realized and unrealized, arising from significant foreign exchange variation on the monetary items held by the Group for the six months period ended June 30, 2020 and 2021, amounted to loss $55,059 and gain $733,325, respectively. | |
| 5. | Analysis of foreign currency market risk arising from significant foreign exchange variation: |
| December 31, 2020 | ||||||||||||
| Sensitivity analysis | ||||||||||||
| Degree of variation | Effect on profit or loss | Effect on other comprehensive income | ||||||||||
| (Foreign currency: functional currency) | ||||||||||||
| Financial assets | ||||||||||||
| Monetary items | ||||||||||||
| RMB:HKD | 5 | % | $ | 1,806 | $ | - | ||||||
| EUR:NTD | 5 | % | $ | 1,749 | $ | - | ||||||
| USD:NTD | 5 | % | $ | 137,848 | $ | - | ||||||
| USD:RMB | 5 | % | $ | 453,300 | $ | - | ||||||
| Financial liabilities | ||||||||||||
| Monetary items | ||||||||||||
| EUR:NTD | 5 | % | $ | 621 | $ | - | ||||||
| USD:NTD | 5 | % | $ | 113,494 | $ | - | ||||||
| USD:RMB | 5 | % | $ | 323,802 | $ | - | ||||||
| F-71 |
| June 30, 2021 | ||||||||||||
| Sensitivity analysis | ||||||||||||
| Degree of variation | Effect on profit or loss | Effect on other comprehensive income | ||||||||||
| (Foreign currency: functional currency) | ||||||||||||
| Financial assets | ||||||||||||
| Monetary items | ||||||||||||
| RMB:HKD | 5 | % | $ | 1,818 | $ | - | ||||||
| EUR:NTD | 5 | % | $ | 2,216 | $ | - | ||||||
| USD:NTD | 5 | % | $ | 397,876 | $ | - | ||||||
| USD:RMB | 5 | % | $ | 388,608 | $ | - | ||||||
| Financial liabilities | ||||||||||||
| Monetary items | ||||||||||||
| EUR:NTD | 5 | % | $ | 981 | $ | - | ||||||
| USD:NTD | 5 | % | $ | 415,668 | $ | - | ||||||
| USD:RMB | 5 | % | $ | 362,114 | $ | - | ||||||
Cash flow Interest rate risk
| 1. | The Group’s main interest rate risk arises from short-term loans and long-term loans with variable rates, which expose the Group to cash flow interest rate risk. For the six months period ended June 30, 2020 and 2021, the Group’s loans at variable rate were mainly denominated in NTD and USD. | |
| 2. | The Group’s loans are measured at amortized cost. The loans are periodically contractually repriced and to that extent are also exposed to the risk of future changes in market interest rates. | |
| 3. | If the borrowing interest rate had increased/decreased by 1% with all other variables held constant, profit, net of tax for the six months period ended June 30, 2020 and 2021 would have increased/decreased by $25,001 and $68,963, respectively. The main factor is that changes in interest expense result in floating-rate loans. |
| ii) | Credit risk |
| 1. | Credit risk refers to the risk of financial loss to the Group arising from default by the clients or counterparties of financial instruments on the contract obligations. The main factor is that counterparties could not repay in full the accounts receivable based on the agreed terms, and the contract cash flows of debt instruments stated at amortized cost. | |
| 2. | The Group manages their credit risk taking into consideration the entire group’s concern. For banks and financial institutions, only independently rated parties with a minimum rating of ‘A’ are accepted. According to the Group’s credit policy, each local entity in the Group is responsible for managing and analysing the credit risk for each of their new clients before standard payment and delivery terms and conditions are offered. Internal risk control assesses the credit quality of the customers, taking into account their financial position, past experience and other factors. Individual risk limits are set based on internal or external ratings in accordance with limits set by the Board of Directors. The utilization of credit limits is regularly monitored. | |
| 3. | In line with credit risk management procedure, when the contract payments of the counterparty was past due over 180 days and after repeatedly asking for payment over 180 days, the default has occurred. |
| F-72 |
| 4. | The Group adopts following assumptions under IFRS 9 to assess whether there has been a significant increase in credit risk on that instrument since initial recognition: |
If the contract payments were past due over 30 days based on the terms, there has been a significant increase in credit risk on that instrument since initial recognition.
| 5. | The Group classifies customer’s accounts receivable in accordance with credit risk on trade and customer type. The Group applies the modified approach using a provision matrix based on the loss rate methodology to estimate expected credit loss under the provision matrix basis. | |
| 6. | The Group wrote-off the financial assets, which cannot be reasonably expected to be recovered, after initiating recourse procedures. However, the Group will continue executing the recourse procedures to secure their rights. | |
| 7. | The Group used the forecastability of Taiwan Institute of Economic Research boom observation report to adjust historical and timely information to assess the default possibility of accounts receivable. On December 31, 2020 and June 30, 2021, the loss rate methodology is as follows: |
| Not past due | Up to 30 days past due | 31~90 days past due | 91~180 days past due | Over 180 days | Total | |||||||||||||||||||
| At December 31, 2020 | ||||||||||||||||||||||||
| Expected loss rate | 0.02 | % | 0.21 | % | 0.44 | % | 18.36 | % | 81.96 | % | ||||||||||||||
| Total book value | $ | 4,843,098 | $ | 167,147 | $ | 28,675 | $ | 12,317 | $ | 394,623 | $ | 5,445,860 | ||||||||||||
| Loss allowance | $ | 832 | $ | 347 | $ | 125 | $ | 2,262 | $ | 323,420 | $ | 326,986 | ||||||||||||
| At June 30, 2021 | ||||||||||||||||||||||||
| Expected loss rate | 0.01 | % | 0.13 | % | 0.02 | % | 3.57 | % | 99.03 | % | ||||||||||||||
| Total book value | $ | 4,266,521 | $ | 28,032 | $ | 130,546 | $ | 22,540 | $ | 382,584 | $ | 4,830,223 | ||||||||||||
| Loss allowance | $ | 530 | $ | 37 | $ | 26 | $ | 804 | $ | 378,862 | $ | 380,259 | ||||||||||||
| 8. | Movements in relation to the Group applying the modified approach to provide loss allowance for accounts receivable, contract assets and lease payments receivable are as follows: |
| 2020 | ||||
| Accounts receivable | ||||
| At January 1 | $ | 230,953 | ||
| Reversal for impairment | (68,416 | ) | ||
| Effect of foreign exchange | (223 | ) | ||
| At June 30 | $ | 162,314 | ||
| 2021 | ||||
| Accounts receivable | ||||
| At January 1 | $ | 326,986 | ||
| Provision for impairment | 66,663 | |||
| Effect of foreign exchange | (13,390 | ) | ||
| At June 30 | $ | 380,259 | ||
| F-73 |
| 9. | For investments in debt instruments at amortized cost, the credit rating levels are presented below: |
| December 31, 2020 | ||||||||||||||||
| Lifetime | ||||||||||||||||
| 12 months | Significant increase in credit risk | Impairment of credit | Total | |||||||||||||
| Financial assets at amortised cost | $ | 771,592 | $ | - | $ | - | $ | 771,592 | ||||||||
| Other receivables (including related parties) | $ | 858,556 | $ | - | $ | - | $ | 858,556 | ||||||||
| June 30, 2021 | ||||||||||||||||
| Lifetime | ||||||||||||||||
| 12 months | Significant increase in credit risk | Impairment of credit | Total | |||||||||||||
| Financial assets at amortised cost | $ | 773,940 | $ | - | $ | - | $ | 773,940 | ||||||||
| Other receivables (including related parties) | $ | 737,213 | $ | - | $ | - | $ | 737,213 | ||||||||
| iii) | Liquidity risk |
| 1. | Cash flow forecasting is performed in the operating entities of the Group and aggregated by Group treasury. Group treasury monitors rolling forecasts of the Group’s liquidity requirements to ensure it has sufficient cash to meet operational needs. | |
| 2. | Surplus cash held by the operating entities over and above balance required for working capital management are transferred to the Group treasury. Group treasury invests surplus cash in interest bearing current accounts, time deposits, money market deposits, choosing instruments with appropriate maturities or sufficient liquidity to provide sufficient head-room as determined by the above-mentioned forecasts. | |
| 3. | The unused credit lines from bank loans of the Group as of December 31, 2020 and June 30, 2021 are $3,349,619 and $3,356,085, respectively. |
| December 31, 2020 | June 30, 2021 | |||||||
| Floating rate: | ||||||||
| Expiring within one year | $ | 3,310,619 | $ | 3,196,530 | ||||
| Expiring beyond one year | 39,000 | 159,555 | ||||||
| $ | 3,349,619 | $ | 3,356,085 | |||||
| 4. | The table below analyses the Group’s non-derivative financial liabilities into relevant maturity groupings based on the remaining period at the balance sheet date to the contractual maturity date for non-derivative financial liabilities. The amounts disclosed in the table are the contractual undiscounted cash flows. |
| F-74 |
| December 31, 2020 | Less than 1 year | Between 1 year and 2 year | Over 2 years | Total | ||||||||||||
| Non-derivative financial liabilities | ||||||||||||||||
| Short-term loans | $ | 2,754,470 | $ | - | $ | - | $ | 2,754,470 | ||||||||
| Notes payable | 9,046 | - | - | 9,046 | ||||||||||||
| Accounts payable | 3,749,984 | - | - | 3,749,984 | ||||||||||||
| Other payables | 7,481,911 | - | - | 7,481,911 | ||||||||||||
| Other payables to related parties | 442,473 | - | - | 442,473 | ||||||||||||
| Lease liabilities | 1,068,268 | 358,724 | 35,861 | 1,462,853 | ||||||||||||
| Long-term loans (including current portion) | 238,613 | 236,669 | 195,739 | 671,021 | ||||||||||||
| June 30, 2021 | Less than 1 year | Between 1 year and 2 year | Over 2 years | Total | ||||||||||||
| Non-derivative financial liabilities | ||||||||||||||||
| Short-term loans | $ | 3,957,971 | $ | - | $ | - | $ | 3,957,971 | ||||||||
| Accounts payable | 5,721,986 | - | - | 5,721,986 | ||||||||||||
| Other payables | 9,205,420 | - | - | 9,205,420 | ||||||||||||
| Lease liabilities | 1,131,055 | 88,965 | - | 1,220,020 | ||||||||||||
| Long-term loans (including current portion) | 1,429,553 | 1,186,578 | 557,276 | 3,173,407 | ||||||||||||
| 37. | Fair value information |
| a) | The different levels that the inputs to valuation techniques are used to measure fair value of financial and non-financial instruments have been defined as follows: |
| Level 1: | Quoted prices (unadjusted) in active markets for identical assets or liabilities that the entity can access at the measurement date. A market is regarded as active where a market in which transactions for the asset or liability take place with sufficient frequency and volume to provide pricing information on an ongoing basis. | |
| Level 2: | Inputs other than quoted prices included within Level 1 that are observable for the asset or liability, either directly or indirectly. | |
| Level 3: | Unobservable inputs for the asset or liability. |
| b) | Financial instruments not measured at fair value |
The carrying amounts of cash and cash equivalents, current financial assets at amortized cost, accounts receivable, other receivables, other receivables due from related parties guarantee deposits paid, short-term loans, current contract liabilities, notes payable, accounts payable, other payables, other payables to related parties, long-term loans (including current portion), long-term notes and accounts payable to related parties and guarantee deposits received are approximate to their fair values.
| 38. | Segment Information |
| a) | General information |
Management has determined the reportable operating segments based on the reports reviewed by the Board of Directors that are used to make strategic decisions. The Group considers the business from a product perspective. The Group’s business is segregated into bicycle business, racket business and other business.
| F-75 |
| b) | Measurement of segment information |
The Board of Directors evaluates the performance of the operating segments based on a measure of adjusted income before tax.
| c) | Information about segment profit or loss |
The segment information provided to the chief operating decision-maker for the reportable segments is as follows:
| Six months ended June 30, 2020 | Bicycle frame | Racket | Others | Total | ||||||||||||
| Revenue | ||||||||||||||||
| External customers | $ | 6,238,542 | $ | 3,314,089 | $ | 20,611 | $ | 9,573,242 | ||||||||
| Inter-segment | - | - | - | - | ||||||||||||
| Total revenue | $ | 6,238,542 | $ | 3,314,089 | $ | 20,611 | $ | 9,573,242 | ||||||||
| Loss before income tax | $ | 80,014 | $ | (628,611 | ) | $ | 10,324 | $ | (538,273 | ) | ||||||
| Depreciation expenses | $ | (377,944 | ) | $ | (100,107 | ) | $ | (329 | ) | $ | (478,380 | ) | ||||
| Interest income | 610 | 377 | 2 | 989 | ||||||||||||
| Finance costs | (167,917 | ) | (32,087 | ) | (130 | ) | (200,134 | ) | ||||||||
| Six months ended June 30, 2021 | Bicycle frame | Racket | Others | Total | ||||||||||||
| Revenue | ||||||||||||||||
| External customers | $ | 8,023,708 | $ | 4,160,356 | $ | - | $ | 12,184,064 | ||||||||
| Inter-segment | - | - | - | - | ||||||||||||
| Total revenue | $ | 8,023,708 | $ | 4,160,356 | $ | - | $ | 12,184,064 | ||||||||
| Profit before income tax | $ | 949,895 | $ | 416,303 | $ | - | $ | 1,366,198 | ||||||||
| Depreciation expenses | $ | (519,563 | ) | $ | (127,787 | ) | $ | - | $ | (647,350 | ) | |||||
| Interest income | 746 | 396 | - | 1,142 | ||||||||||||
| Finance costs | (49,648 | ) | (11,572 | ) | - | (61,220 | ) | |||||||||
| d) | Reconciliation for segment income (loss) |
Revenue from external customers and segment income (loss) reported to the chief operating decision maker are measured using the same method as for revenue and operating profit in the financial statements. Thus, no reconciliation is needed.
| F-76 |
PART II
INFORMATION NOT REQUIRED IN PROSPECTUS
ITEM 6. INDEMNIFICATION OF DIRECTORS AND OFFICERS.
We are a Cayman Islands company. Cayman Islands law does not limit the extent to which a company’s memorandum and articles of association may provide for indemnification of officers and directors, except to the extent any such provision may be held by the Cayman Islands courts to be contrary to public policy, such as to provide indemnification against willful default, willful neglect, civil fraud or the consequences of committing a crime. Our articles of association will provide for indemnification of our officers and directors to the maximum extent permitted by law, including for any liability incurred in their capacities as such, except through their own actual fraud, willful negligence or default.
Insofar as indemnification for liabilities arising under the Securities Act may be permitted to directors, officers or persons controlling us pursuant to the foregoing provisions, we have been informed that in the opinion of the Securities and Exchange Commission such indemnification is against public policy as expressed in the Securities Act and is therefore unenforceable.
ITEM 7. RECENT SALES OF UNREGISTERED SECURITIES.
During the past three years, we have issued the following securities. We believe that each of the following issuances was exempt from registration under the Securities Act pursuant to Section 4(a)(2) of the Securities Act regarding transactions not involving a public offering or in reliance on Regulation S under the Securities Act regarding sales by an issuer in offshore transactions. No underwriters were involved in these issuances of securities and no underwriting commissions were paid in connection therewith.
| Purchaser | Date of Issuance | Number of Securities | Consideration | Underwriting Discount and Commission | ||||
| NEW MOON CORPORATION | September 30, 2019 | 10,251,947 | Nil | - | ||||
| NEW MOON CORPORATION | January 10, 2020 | 5,252,500 | Nil | - | ||||
| NEW MOON CORPORATION | August 12, 2020 | 2,863,840 | Nil | - | ||||
| NEW MOON CORPORATION | August 20, 2020 | 1,856,598 | Nil | - | ||||
| NEW MOON CORPORATION | September 30, 2020 | 856,598 | Nil | - | ||||
| NEW MOON CORPORATION | December 30, 2020 | 377,124 | USD585,000.00 from total paid-in capital of USD1,300,000.00 in Bohong Technology | - | ||||
| CHIANG Jing-Bin | November 6, 2020 | 1,054,293 | NTD51,133,251 | - | ||||
| CHIANG Jing-Bin | December 18, 2020 | 375,000 | Nil | - | ||||
| STAR CENTURION LIMITED | August 15, 2020 | 2,388,660 | Nil | - | ||||
| RADIANT FAITH LIMITED | August 20, 2020 | 2,500,000 | Nil | - | ||||
| GLITTER GROUP CO., LTD | August 12, 2020 | 2,388,660 | Nil | - | ||||
| ABICO ASIA Capital Corporation | December 18, 2020 | 975,000 | Nil | - | ||||
| Sendai Investments Company Inc. | December 30, 2020 | 251,416 | USD390,000.00 from total paid-in capital of USD1,300,000.00 in Bohong Technology | - | ||||
| Barium Glory Financial Ltd. | December 30, 2020 | 209,513 | USD325,000 from total paid-in capital of USD1,300,000.00 in Bohong Technology | - | ||||
| J-Star Holding Co., Ltd. | January 10, 2020 | 4,999,447 | Nil | - | ||||
| J-Star Holding Co., Ltd. | November 6, 2020 | 3,945,154 | Nil | - | ||||
| J-Star Holding Co., Ltd. | December 30, 2020 | 3,107,101 | Nil | - | ||||
| HSU Chung-Haw | August 20, 2020 | 100,000 | Nil | - | ||||
| CHEN Chu-Jhen | August 20, 2020 | 1,000,000 | Nil | - | ||||
| CHAN CHIH LIMITED | September 30, 2020 | 1,000,000 | Nil | - |
ITEM 8. EXHIBITS AND FINANCIAL STATEMENT SCHEDULES.
(a) Exhibits
See Exhibit Index of this registration statement.
The agreements included as exhibits to this registration statement contain representations and warranties by each of the parties to the applicable agreement. These representations and warranties were made solely for the benefit of the other parties to the applicable agreement and (i) were not intended to be treated as categorical statements of fact, but rather as a way of allocating the risk to one of the parties if those statements prove to be inaccurate; (ii) may have been qualified in such agreement by disclosures that were made to the other party in connection with the negotiation of the applicable agreement; (iii) may apply contract standards of “materiality” that are different from “materiality” under the applicable securities laws; and (iv) were made only as of the date of the applicable agreement or such other date or dates as may be specified in the agreement.
We acknowledge that, notwithstanding the inclusion of the foregoing cautionary statements, we are responsible for considering whether additional specific disclosures of material information regarding material contractual provisions are required to make the statements in this registration statement not misleading.
(b) Financial Statement Schedules
Schedules have been omitted because the information required to be set forth therein is not applicable or is shown in the Consolidated Financial Statements or the Notes thereto.
| II-1 |
ITEM 9. UNDERTAKINGS.
(1) To file, during any period in which offers or sales are being made, a post-effective amendment to this registration statement:
i. To include any prospectus required by Section 10(a)(3) of the Securities Act;
ii. To reflect in the prospectus any facts or events arising after the effective date of the registration statement (or the most recent post-effective amendment thereof) which, individually or in the aggregate, represent a fundamental change in the information set forth in the registration statement. Notwithstanding the foregoing, any increase or decrease in volume of securities offered (if the total dollar value of securities offered would not exceed that which was registered) and any deviation from the low or high end of the estimated maximum offering range may be reflected in the form of prospectus filed with the SEC pursuant to Rule 424(b) if, in the aggregate, the changes in volume and price represent no more than a 20% change in the maximum aggregate offering price set forth in the “Calculation of Registration Fee” table in the effective Registration Statement;
iii. To include any material information with respect to the plan of distribution not previously disclosed in the registration statement or any material change to such information in the registration statement.
(2) That, for the purpose of determining any liability under the Securities Act, each such post-effective amendment shall be deemed to be a new registration statement relating to the securities offered therein, and the offering of such securities at that time shall be deemed to be the initial bona fide offering thereof;
(3) To remove from registration by means of a post-effective amendment any of the securities being registered which remain unsold at the termination of the offering.
(4) To file a post-effective amendment to the registration statement to include any financial statements required by “Item 8.A. of Form 20-F” at the start of any delayed offering or throughout a continuous offering. Financial statements and information otherwise required by Section 10(a)(3) of the Act need not be furnished, provided that the registrant includes in the prospectus, by means of a post-effective amendment, financial statements required pursuant to this paragraph (4) and other information necessary to ensure that all other information in the prospectus is at least as current as the date of those financial statements.
(5) That, for purposes of determining any liability under the Securities Act, the information omitted from the form of prospectus filed as part of this registration statement in reliance upon Rule 430A and contained in a form of prospectus filed by the registrant pursuant to Rule 424(b) (1) or (4) or 497(h) under the Securities Act shall be deemed to be part of this registration statement as of the time it was declared effective.
(6) For the purpose of determining any liability under the Securities Act, each post-effective amendment that contains a form of prospectus shall be deemed to be a new registration statement relating to the securities offered therein, and the offering of such securities at that time shall be deemed to be the initial bona fide offering thereof.
(7) That, for the purpose of determining liability under the Securities Act to any purchaser:
| II-2 |
Each prospectus filed by the registrant pursuant to Rule 424(b) as part of a registration statement relating to an offering, other than registration statements relying on Rule 430B or other than prospectuses filed in reliance on Rule 430A, shall be deemed to be part of and included in the registration statement as of the date it is first used after effectiveness. Provided, however, that no statement made in a registration statement or prospectus that is part of the registration statement or made in a document incorporated or deemed incorporated by reference into the registration statement or prospectus that is part of the registration statement will, as to a purchaser with a time of contract of sale prior to such first use, supersede or modify any statement that was made in the registration statement or prospectus that was part of the registration statement or made in any such document immediately prior to such date of first use.
Insofar as indemnification for liabilities arising under the Securities Act may be permitted to directors, officers and controlling persons of the small business issuer pursuant to the foregoing provisions, or otherwise, the small business issuer has been advised that in the opinion of the Securities and Exchange Commission such indemnification is against public policy as expressed in the Act and is, therefore, unenforceable. In the event that a claim for indemnification against such liabilities (other than the payment by the small business issuer of expenses incurred or paid by a director, officer or controlling person of the small business issuer in the successful defense of any action, suit or proceeding) is asserted by such director, officer or controlling person in connection with the securities being registered, the small business issuer will, unless in the opinion of its counsel the matter has been settled by controlling precedent, submit to a court of appropriate jurisdiction the question whether such indemnification by it is against public policy as expressed in the Act and will be governed by the final adjudication of such issue.
(8) That, for the purpose of determining liability of the registrant under the Securities Act to any purchaser in the initial distribution of the securities:
The undersigned registrant undertakes that in a primary offering of securities of the undersigned registrant pursuant to this registration statement, regardless of the placement method used to sell the securities to the purchaser, if the securities are offered or sold to such purchaser by means of any of the following communications, the undersigned registrant will be a seller to the purchaser and will be considered to offer or sell such securities to such purchaser:
(i) Any preliminary prospectus or prospectus of the undersigned registrant relating to the offering required to be filed pursuant to Rule 424;
(ii) Any free writing prospectus relating to the offering prepared by or on behalf of the undersigned registrant or used or referred to by the undersigned registrant;
(iii) The portion of any other free writing prospectus relating to the offering containing material information about the undersigned registrant or its securities provided by or on behalf of the undersigned registrant; and
(iv) Any other communication that is an offer in the offering made by the undersigned registrant to the purchaser.
| II-3 |
EXHIBIT INDEX
| * | To be filed by amendment. |
| II-4 |
SIGNATURES
Pursuant to the requirements of the Securities Act of 1933, as amended, the registrant certifies that it has reasonable grounds to believe that it meets all of the requirements for filing on Form F-1 and has duly caused this registration statement to be signed on its behalf by the undersigned, thereunto duly authorized, in Taichung City, Taiwan, on [______], 2021.
| J-Star Holding Co., Ltd. |
| By: | ||
| Name: | Jing-Bin Chiang | |
| Title: | Chief Executive Officer |
POWER OF ATTORNEY
KNOW ALL MEN BY THESE PRESENTS, that each person whose signature appears below constitutes and appoints Jing-Bin Chiang and [ ] [his or her] true and lawful attorney-in-fact, with full power of substitution and resubstitution for him or her and in his or her name, place and stead, in any and all capacities to sign any and all amendments including post-effective amendments to this registration statement, and to file the same, with all exhibits thereto, and other documents in connection therewith, with the Securities and Exchange Commission, hereby ratifying and confirming all that said attorney-in-fact or his or her substitute, each acting alone, may lawfully do or cause to be done by virtue thereof.
Pursuant to the requirements of the Securities Act of 1933, as amended, this Registration Statement has been signed by the following persons in the capacities and on the dates indicated.
| Signature | Title | Date | ||
| Chairman, Chief Executive Officer | , 2021 | |||
| Jing-Bin Chiang | (Principal Executive Officer) and Director | |||
| Chief Financial Officer | , 2021 | |||
| Wan-Tzu Chen | (Principal Financial and Accounting Officer) | |||
| Director | , 2021 | |||
| Ting-Pang Sung | ||||
| Independent Director | , 2021 | |||
| Ching-Chou Huang | ||||
| Independent Director | , 2021 | |||
| Shen-Huei Wang | ||||
| Independent Director | , 2021 | |||
| Ping-Hong Lin |
SIGNATURE OF AUTHORIZED REPRESENTATIVE IN THE UNITED STATES
Pursuant to the Securities Act of 1933, as amended, the undersigned, the duly authorized representative in the United States of J-Star Holding Co., Ltd. has signed this registration statement or amendment thereto in City of Newark, State of Delaware on [______], 2021.
| PUGLISI & ASSOCIATES |
| By: | ||
| Name: | ||
| Title: |
| II-5 |
Exhibit 3.1



























Exhibit 10.1
Cycles Services Loire
Joint stock company
With a capital of 100,000 euros
Headquarters: Avenue de l’Industrie,
42160 ST CYPRIEN
STATUS
The undersigned:
Mr. Frédéric SALLET
Born March 19, 1975 in L’ARBRESLE (69)
French nationality
Residing Route Nationale 6 69380 LISSIEU
Married under the regime of the community reduced to acquests with Madame Raphaëlle VILLIE born June 14, 1976 in MONTPELLIER (34), in the absence of a marriage contract prior to their union celebrated on June 9, 2001 in ECULLY (69),
Mr. Christophe QUINIOU
Born May 13, 1972 in PARIS XIVth (75)
French nationality
Residing at 84, rue Boileau 69330 MEYZIEU
Married under the regime of separation of property with Mrs. Pauline VERDIER-DAVIOUD born September 17, 1972 in FONTAINEBLEAU (77), under a marriage contract dated February 3, 1997 received by Maître VINATIER, notary in PARIS (75 ), established prior to their union celebrated on February 22, 1997 in BAZOCHES-SUR-GUYONNE (78),
The company LE GALLION, a liability company with capital of 495,000 euros, whose registered office is located at La Fessy 38070 SAINT QUENTIN FALLAVIER, registered in the trade and companies register of VIENNE under number 402 521 041,
Represented herein by its manager, Mr. Bruno LE GALL,
STAR LEADER TRADING LIMITED, a company incorporated under Hong Kong law with a capital of 1,578,284 USD, whose registered office is at 15 / F., BOC Group Life Assurance Tower, 136 Des Voeux Road Central, Central, HONG KONG, registered in the register HONG KONG trade under number 2383420,
Represented herein by its director, Mr. Jonathan CHIANG,
The company 6ème SENS IMMOBILIER - INVESTISSEMENT, a simplified joint stock company with a capital of 4,000,000 euros, whose head office is located at 30, quai Claude Bernard 69007 LYON, registered in the LYON trade and companies register under number 484 963 699 ,
Represented herein by its president, Mr. Nicolas GAGNEUX,
Have thus established that it follows the statutes of a simplified joint stock company (SAS) that must exist between them.
ARTICLE 1 – FORM
Between the owners of the shares created below and of all those which would be created subsequently, there is a simplified joint stock company governed by the laws and regulations in force, and by these articles of association.
It operates in the same form with one or more partners.
It cannot make a public offer of its securities but can nevertheless make offers reserved for qualified investors or a restricted circle of investors.
ARTICLE 2 – PURPOSE
The purpose of the Company is, in France and abroad:
The assembly, assembly and trading of cycles, cycle accessories and all leisure products,
All industrial and commercial operations relating to:
- The creation, acquisition, rental, hire-management of all business assets, leasing, installation, operation of all establishments, business assets, factories, workshops, relating to any of the activities specified above;
- The taking, the acquisition, the exploitation or the transfer of all processes, patents and intellectual property rights concerning these activities;
- The direct or indirect participation of the Company in all financial, securities or real estate transactions or commercial or industrial enterprises that may be related to the corporate purpose or to any similar or related purpose;
- Any operations whatsoever contributing to the achievement of this object.
ARTICLE 3 – NAME
The company name is: Cycles Services Loire.
In all acts and documents emanating from the Company and intended for third parties, the name will be immediately preceded or followed by the words clearly written “Simplified Joint Stock Company” or the initials “SAS” and the statement of the amount of the share capital.
In addition, the Company must indicate at the top of its invoices, order notes, prices and advertising documents, as well as on all correspondence and receipts concerning its activity and signed by it or on its behalf, the seat of the court at whose registry it is located.
Registered in the Trade and Companies Register, and the registration number it received
ARTICLE 4 - REGISTERED OFFICE
The registered office is: Avenue de l’Industrie 42160 ST CYPRIEN.
It can be transferred to any place by decision of the group of partners or by decision of the Chairman who is empowered to modify the articles of association accordingly. However, the President’s decision must be ratified by the next collective decision of the partners.
ARTICLE 5 – DURATION
The duration of the Company is set at ninety-nine years from the date of its registration in the Trade and Companies Register, except in cases of early dissolution or extension.
ARTICLE 6 – CONTRIBUTIONS
The undersigned bring to the Company:
Cash contributions
A cash sum of one hundred thousand euros (100,000.00 euros), corresponding to 10,000 shares for cash, with a nominal value of ten euros (10 euros) each, subscribed in full and fully paid, as follows of the certificate issued on 22 April 2021 by the bankCredit Agricole Centre-Est, Place de L’Eglise 69380 CHAZAY D’AZERGUES, depositary of the funds, to which the list of partners having subscribed with the indication, for each of them, of the sums paid has remained attached.
The total sum paid by the partners, i.e. 100,000.00 euros, was regularly deposited in an account opened in the name of the Company in formation, at said bank.
ARTICLE 7 - SHARE CAPITAL
The share capital is set at the sum of one hundred thousand euros (100,000 euros).
All actions are of the same category.
ARTICLE 8 - CHANGES IN THE SHARE CAPITAL
I - The share capital may be increased by any means and according to any terms provided for by law.
The share capital is increased either by issuing ordinary shares or preference shares, or by increasing the nominal amount of existing capital securities. It may also be increased by the exercise of rights attached to securities giving access to the capital, under the conditions provided for by law.
The group of partners alone is competent to decide, based on the Chairman’s report, on an immediate or future capital increase. It may delegate this power to the Chairman under the conditions set out in Article L. 225-129-2 of the French Commercial Code.
When the group of partners decides on the capital increase, it can delegate to the Chairman the power to set the terms and conditions for the issue of securities.
The issues of securities giving access to the capital or giving the right to the allocation of debt securities governed by Article L. 228-91 of the Commercial Code are authorized by the group of partners deciding by a two-thirds majority of the votes. Partners present or represented, on the report of the Chairman and special report of the Statutory Auditor, if any, in accordance with Articles L. 225-129 to L. 225-129-6 of the French Commercial Code.
In the event of an increase through the issue of cash shares or the issue of securities giving access to the capital or giving the right to the allocation of debt securities, a preferential right to the subscription of these shares is reserved, under the legal conditions, to the owners of existing shares.
However, in accordance with paragraph 5 of article L. 228-11 of the French Commercial Code, preference shares to which a limited right of participation in dividends, reserves or sharing of assets in the event of liquidation is attached are private. Preferential subscription rights for any capital increase in cash.
The partners can individually waive their preferential right and the group of partners which decides on the capital increase can decide, under the conditions provided for by law, to cancel this preferential subscription right.
If the group of partners or, in the event of delegation of the Chairman, expressly decides, the capital securities not subscribed on an irreducible basis are allocated to the shareholders who have subscribed a number of securities greater than that to which they could subscribe on a preferential basis, proportionally. To the subscription rights they have and, in any event, within the limit of their requests.
If the capital increase is carried out by incorporating reserves, profits or issue premiums, the group of shareholders deliberates under the conditions of quorum and majority provided for in ordinary decisions.
The right to the allotment of new shares, following the incorporation into the capital of reserves, profits or issue premiums belongs to the bare owner, subject to the rights of the usufructuary.
II - The capital reduction is authorized or decided by the group of shareholders deliberating under the conditions provided for extraordinary decisions and may in no case affect the equality of the shareholders. The partners can delegate all powers to the Chairman to carry it out.
III - The group of partners deliberating under the conditions provided for extraordinary decisions may also decide to amortize all or part of the share capital and replace the capital shares with partially or fully amortized dividends, all in accordance with Articles L. 225-198 et seq. Of the French Commercial Code.
IV - The decision of a General Meeting of shareholders to modify the rights attached to a category of preference shares will only be taken after approval by the shareholders of said category constituted in a Special Meeting and ruling under the conditions and according to the modalities Extraordinary General Meetings.
ARTICLE 9 - PAYMENT OF SHARES
When the Company is incorporated, the cash shares are paid up for at least half of their nominal value upon subscription.
During a capital increase, the cash shares are paid up, upon subscription, of at least a quarter of their nominal value and, where applicable, of the entire share premium.
The release of the surplus must occur on one or more occasions upon appeal by the President, within five years of registration in the Trade and Companies Register with regard to the initial capital, and within five years from the day on which the transaction becomes final in the event of a capital increase.
Calls for funds are brought to the attention of the subscriber (s) at least fifteen days before the date set for each payment, by registered letter with acknowledgment of receipt, addressed to each partner.
Any delay in the payment of the sums due on the unpaid amount of the shares automatically entails interest at the legal rate from the due date, without prejudice to the personal action that the Company may exercise against the defaulting partner and enforcement measures provided for by law.
In accordance with the provisions of article 1843-3 of the Civil Code, when the calls for funds have not been made within a legal time limit to achieve the full release of the capital, any interested party may request the President of the court ruling in summary proceedings either to order under penalty the directors to proceed with these calls for funds, or to appoint an agent responsible for carrying out this formality.
ARTICLE 10 - FORM OF SHARES
The shares must be registered. They give rise to registration in an individual account under the conditions and according to the methods provided for by the law and regulations in force.
Any partner may ask the Company to issue an account registration certificate.
ARTICLE 11 - TRANSMISSION OF SHARES
The shares are not negotiable until the Company has been registered in the Trade and Companies Register. In the event of a capital increase, the shares are negotiable as of the completion thereof.
The shares remain negotiable after the dissolution of the Company and until the close of the liquidation.
Ownership of the shares results from their registration in an individual account in the name of the holder (s) in the registers kept for this purpose at the registered office.
In the event of transmission of the shares, the transfer of ownership results from the registration of the securities in the buyer’s account on the date fixed by the agreement of the parties and notified to the Company.
Shares resulting from contributions to industry are allocated on a personal basis. They are inalienable and non-transferable.
They will be canceled in the event of the death of their holder as well as in the event of termination by the said holder of his services at the end of a period of three months following formal notice, by registered letter with acknowledgment of receipt, to continue said services under the conditions provided for in the contribution agreement.
ARTICLE 12 - APPROVAL
The sale of equity securities and securities giving access to the capital to a third party or for the benefit of a partner is subject to the prior approval of the group of partners.
The transferor must notify the Chairman of the Company by registered letter with acknowledgment of receipt, indicating the name, first names and address of the transferee, the number of equity securities or securities giving access to the capital of which the assignment is considered and the price offered. This request for approval is sent by the Chairman to the partners.
The approval results from a collective decision of the partners deciding by a two-thirds majority of the votes of the partners present or represented.
The decision of approval or refusal of approval does not have to be motivated. It is notified to the transferor by registered letter. In the absence of notification within three months of the request for approval, the approval is deemed to have been acquired.
In the event of authorization, the assigning partner may freely carry out the transfer under the conditions provided for in the request for authorization.
In the event of refusal of authorization, the Company is required, within three months of notification of the refusal, to procure the capital securities or securities giving access to the capital, either by a partner or by a third party or, with the consent of the transferor, by the Company, with a view to reducing the capital.
In the absence of agreement between the parties, the price of the equity securities or securities giving access to the capital is determined by means of an appraisal, under the conditions provided for in article 1843-4 of the Civil Code.
If the methods for determining the price of equity securities or securities giving access to the capital are provided for in an agreement binding the parties to the sale or redemption, the appointed expert will be required to apply them in accordance with the provisions of the second paragraph of I of article 1843-4 of the Civil Code.
The transferor may at any time notify the Chairman, by registered letter with acknowledgment of receipt, that he renounces the transfer of his equity securities or securities giving access to the capital.
If, at the end of the three-month period, the purchase is not made, the approval is considered given. However, this period may be extended by interim order of the President of the Commercial Court, without recourse, the assigning partner and the assignee duly called.
The foregoing provisions are applicable to all transfers, whether said transfers occur in the event of inheritance devolution or liquidation of a community of property between spouses, by way of contribution, merger, or partition following the liquidation of a associated company, universal transmission of a company’s assets or by public tender by virtue of a court decision or otherwise.
They may also apply to the transfer of allotment rights in the event of a capital increase by incorporation of reserves, share premiums or profits, as well as in the event of the transfer of subscription rights to a capital increase by through contributions in cash or individual waiver of subscription rights in favor of named persons.
This approval clause can only be removed or modified by collective decision of the partners deciding by a two-thirds majority of the votes of the partners present or represented.
Any assignment made in violation of this approval clause is void.
ARTICLE 13 - RENTAL OF SHARES
Rental of shares is prohibited.
ARTICLE 14 - RIGHTS AND OBLIGATIONS ATTACHED TO THE SHARES
Any share gives the right, in the profits and the corporate assets, to a net share proportional to the proportion of capital that it represents.
Unless otherwise provided in the contribution deed, the rights attached to shares resulting from industrial contributions are equal to those of the partner who contributed the least.
Each share also gives the right to vote and to representation in collective consultations or general meetings, as well as the right to be informed about the progress of the Company and to obtain communication of certain social documents at the times and under the conditions provided for by law and the statutes.
The partners only bear losses up to the amount of their contributions.
Subject to legal and statutory provisions, no majority can impose an increase in their commitments. The rights and obligations attached to the share follow the share regardless of the holder.
Ownership of a share automatically entails adherence to the Company’s articles of association and to the decisions of the group of partners.
Creditors, assigns or other representatives of a partner may not, under any pretext whatsoever, request the affixing of seals to corporate assets and values, nor ask for them to be shared or auctioned off; they must refer to the social inventories and to the decisions of the group of associates.
Whenever it will be necessary to own several shares in order to exercise any right, in the event of an exchange, consolidation or allocation of shares or as a consequence of an increase or reduction in capital, merger or other corporate operation, the shareholders owning individual securities, or in a number less than that required, can only exercise these rights on the condition that they make the grouping their personal business, and possibly the purchase or sale of the number of shares or rights required.
ARTICLE 15 - INDIVISIBILITY OF SHARES
The shares are indivisible with regard to the Company.
Partners who own undivided shares are required to be represented to the Company by one of them, considered to be the sole owner, or by a single representative; in the event of disagreement, the sole representative may be appointed at the request of the most diligent joint owner.
The designation of the representative of the joint ownership must be notified to the Company within one month of the occurrence of the joint ownership. Any change in the person of the joint owner’s representative will not have any effect, vis-à-vis the Company, until the expiration of a period of one month from its notification to the Company, justifying the regularity of the modification.
If a share is encumbered with a usufruct, the bare owner and the usufructuary have the right to participate in collective decisions, regardless of the holder of the voting rights. They must be called to all meetings and have the same right to information.
The right to vote belongs to the bare owner, except for decisions concerning the allocation of profits, where it is reserved for the usufructuary.
However, for other decisions, the bare owner and the usufructuary may agree that the voting right will be exercised by the usufructuary. The agreement is notified by registered letter to the Company, which will be required to apply this agreement for any consultation after the expiration of a period of one month following the sending of this letter.
ARTICLE 16 - PRESIDENT OF THE COMPANY
The company is represented, managed and administered by a Chairman, natural or legal person, partner or not of the Company.
Designation
The first President of the Company will be appointed under the terms of these statutes. The Chairman is then appointed by collective decision of the partners taken by an absolute majority of the votes of the partners present or represented.
The Chairman legal entity is represented by its legal representative unless, at the time of its appointment or at any time during its mandate, it designates a person specially authorized to represent it as a representative.
When a legal person is appointed Chairman, its officers are subject to the same conditions and obligations and incur the same civil and criminal responsibilities as if they were Chairman in their own name, without prejudice to the joint and several liability of the legal person they lead.
The mandate of the President is renewable without limitation.
The Chairman, a natural person, or the representative of the Chairman legal entity, may also be bound to the Company by an employment contract provided that this contract corresponds to actual employment.
Term of office
The term of office of the President is fixed in the decision appointing him.
The functions of President end either by death, resignation, dismissal, expiration of his mandate, or by the opening against him of a judicial reorganization or liquidation procedure.
The Chairman may resign from his mandate subject to respecting a three-month notice period which may be reduced during the consultation of the group of partners who will have to decide on the replacement of the resigning Chairman.
The Chairman’s resignation is only admissible if it is sent to each of the partners by registered letter.
Revocation
The Chairman may be dismissed for just cause, by decision of the group of shareholders taken on the initiative of one or more shareholders bringing together at least 50% of the capital and voting rights of the Company and acting by an absolute majority of the shareholders voice of partners present or represented. Any dismissal occurring without a just cause being established will entitle the Chairman to compensation.
In addition, the President is automatically dismissed, without compensation, in the following cases:
- Prohibition to direct, manage, administer or control a company or legal person, incapacity or personal bankruptcy of the Chairman, natural person,
- Receivership or judicial liquidation, ban on management or dissolution of the Chairman as a legal person,
- Exclusion of the Associate Chairman.
Remuneration
The Chairman may receive compensation for his duties, which will be set and modified by decision of the group of partners. It may be fixed or proportional or both fixed and proportional to profit or turnover. In addition to this remuneration, he will be reimbursed, on supporting documents, for the costs he incurs in the performance of his duties.
Powers of the President
The Chairman manages the Company and represents it vis-à-vis third parties. As such, he is vested with the broadest powers to act in all circumstances on behalf of the Company within the limits of the corporate purpose and the powers expressly devolved by law and the articles of association to the group of partners.
The provisions of these statutes limiting the powers of the Chairman are unenforceable against third parties.
The Company is committed even by acts of the Chairman that do not fall within the corporate purpose, unless it proves that the third party knew that the act went beyond this purpose or that he could not ignore it given the circumstances, publication of the articles of association alone is not sufficient to constitute this proof.
The Chairman may delegate to any person of his choice certain of his powers for the exercise of specific functions or the accomplishment of certain acts.
ARTICLE 17 - MANAGING DIRECTOR
Designation
The Chairman may mandate a natural person or a legal person to assist him in his capacity as Chief Executive Officer.
The Chief Executive Officer legal person is represented by its legal representative unless, at the time of its appointment or at any time during its mandate, it designates a person specially authorized to represent it as a representative.
When a legal person is appointed Chief Executive Officer, its officers are subject to the same conditions and obligations and incur the same civil and criminal responsibilities as if they were Chief Executive Officer in their own name, without prejudice to the joint and several liability of the legal person. “They lead”.
The Managing Director who is a natural person may be bound to the Company by an employment contract.
Term of office
The term of office of the Chief Executive Officer is set in the appointment decision and may not exceed that of the Chairman’s term of office.
However, in the event of the termination of the Chairman’s duties, the Chief Executive Officer retains his duties until the appointment of the new Chairman, unless the partners decide otherwise.
The functions of Chief Executive Officer end either by death, resignation, dismissal, expiration of his mandate, or by the opening against him of a judicial reorganization or liquidation procedure.
The Chief Executive Officer may resign from his mandate by registered letter addressed to the Chairman, subject to a three-month notice period, which may be reduced when the Chairman decides to appoint a new Chief Executive Officer to replace the resigning Chief Executive Officer.
Revocation
The Chief Executive Officer can be dismissed at any time, without the need for just cause, by decision of the Chairman. This revocation does not give rise to the right to any compensation.
In addition, the Chief Executive Officer is automatically dismissed, without compensation, in the following cases:
- Prohibition from directing, managing, administering or controlling a company or legal person, incapacity or personal bankruptcy of the CEO, natural person,
- Receivership or judicial liquidation, ban on management or dissolution of the Chief Executive Officer, legal person,
- Exclusion of the Associate Chief Executive Officer.
Remuneration
The Chief Executive Officer may receive compensation, the terms of which are set and modified by decision of the Chairman. It can be fixed or proportional or both fixed and proportional to profit or turnover.
In addition, the Chief Executive Officer is reimbursed for his representation and travel expenses upon supporting documentation.
Powers of the Chief Executive Officer
The Chief Executive Officer has the same powers as the Chairman, subject to any limitations set by the appointment decision or by a subsequent decision.
The Chief Executive Officer has the power to represent the Company with regard to third parties.
ARTICLE 18 - AGREEMENTS BETWEEN THE COMPANY AND ITS OFFICERS OR PARTNERS
Pursuant to the provisions of Article L. 227-10 of the French Commercial Code, the Chairman or the Statutory Auditor, if there is one, presents the shareholders with a report on the agreements entered into directly or through an intermediary between the Company and its Chairman, one of its directors, one of its partners with a fraction of the voting rights greater than ten percent or, in the case of an associated company, the Company controlling it at the meaning of Article L. 233-3 of said code.
The partners rule on this report during the collective decision ruling on the accounts for the past financial year.
The foregoing provisions are not applicable to agreements relating to the Company’s current operations and concluded under normal conditions.
Non-approved agreements nevertheless produce their effects, with the responsibility for the person concerned and, possibly, for the Chairman and other managers to bear the damaging consequences for the Company.
The prohibitions provided for in Article L. 225-43 of the Commercial Code apply under the conditions determined by this article, to the Chairman and to the other executives of the Company.
ARTICLE 19 - STATUTORY AUDITORS
The Company’s legal control is carried out by one or more Statutory Auditors appointed by collective decision of the partners, in application of Article L. 823-1 of the Commercial Code.
If the Company exceeds the legally defined thresholds set by decree at the end of a financial year, this designation is mandatory. It is also compulsory if one or more partners representing at least one third of the capital so request.
The group of partners may, by an absolute majority of the votes of the partners present or represented, voluntarily appoint a Statutory Auditor under the conditions provided for in Article L. 225-228 of the Commercial Code.
When a Statutory Auditor thus appointed is a natural person or a one-person company, a substitute Statutory Auditor called upon to replace the incumbent (s) in the event of refusal, impediment, resignation or death, is appointed at the same time as the holder for the same duration.
In addition, the appointment of an Auditor may be requested in court by one or more partners representing at least one tenth of the capital.
The Statutory Auditors exercise their control mission, in accordance with the laws and regulations in force. Their permanent mission is in particular to verify the values and accounting documents of the Company, to check the regularity and fairness of the company accounts and to report them to the Company. They must in no case interfere in the management of the Company.
The Statutory Auditors are invited to participate in any consultation of the group of partners, in accordance with legal and regulatory provisions.
ARTICLE 20 - SOCIAL REPRESENTATION
The delegates of the social and economic committee, if there is one, exercise the rights provided for by article L. 2312-72 of the Labor Code with the Chairman. To this end, it will bring them together at least once a quarter, and in particular when closing the annual accounts.
The social and economic committee must be informed of collective decisions under the same conditions as the partners.
Requests for registration of draft resolutions presented by the social and economic committee must be sent by any written means by a representative of the committee to the Chairman and accompanied by the text of the draft resolutions which may be accompanied by a brief statement of reasons.
They must be received at the head office and at least one day before the date fixed for the decision of the partners. The Chairman acknowledges receipt of these draft resolutions within three days of their receipt to the representative of the social and economic committee by registered letter or electronically under the conditions defined in article R. 225-63 of the French Commercial Code.
ARTICLE 21 - COLLECTIVE DECISIONS
The group of partners alone is competent to make the following decisions:
- Approval of the annual accounts and allocation of results,
- Approval of regulated agreements,
- Appointment of the Statutory Auditors,
- Increase, amortization and reduction of the share capital,
- Transformation of the Company,
- Merger, split or partial contribution of assets,
- Dissolution and liquidation of the Company,
- Increase in partners’ commitments,
- Approval of share transfers,
- Appointment, dismissal and remuneration of the Chairman,
- Modification of the articles of association, except transfer of the registered office,
All other decisions fall within the competence of the President.
ARTICLE 22 - FORM AND MODALITIES OF COLLECTIVE DECISIONS
Collective decisions are taken, at the choice of the President at a general meeting or result from the consent of the partners expressed in an act under private signature. They can also be the subject of a written consultation and be taken by any means of electronic telecommunication.
However, decisions relating to the approval of the annual accounts and the allocation of results, changes in the share capital, mergers, demergers or partial contributions of assets, excluding of an associate.
Any partner has the right to participate in collective decisions, personally or by proxy, regardless of the number of shares he owns. He must justify his identity and the registration of his actions on the day of the collective decision.
ARTICLE 23 - WRITTEN CONSULTATION
In the event of a written consultation, the Chairman sends each partner, by registered letter, the text of the proposed resolutions as well as the documents necessary to inform the partners.
The partners have ten days from receipt of the draft resolutions to send their vote to the author of the consultation by registered letter.
Any partner who does not respond within the above time limit is considered to have abstained.
ARTICLE 24 - GENERAL MEETING
General Meetings are convened either by the Chairman or by an agent appointed by the President of the Commercial Court ruling in summary proceedings at the request of one or more partners bringing together at least five percent of the capital or at the request of the social committee. and economic in the event of an emergency, or by the External Auditor, if there is one.
During the liquidation period, the Meeting is called by the liquidator.
The convocation is made by all written communication procedures eight days before the date of the meeting and mentions the day, time, place and agenda of the meeting.
However, the General Assembly meets validly on verbal convocation and without delay if all the partners agree.
The agenda is set by the author of the convocation.
One or more shareholders representing at least 25% of the capital have the right to request the inclusion of draft resolutions on the agenda of the Meeting by any means of written communication. These requests must be received at the head office came and at least one day before the date of the meeting. The President acknowledges receipt of these requests within three days of receipt.
The Assembly cannot deliberate on a question which is not on the agenda. It may however, in all circumstances, dismiss the Chairman, one or more officers, and replace them.
The partners can be represented at the deliberations of the General Meeting by another partner or by a third party justifying a mandate. Each representative can have an unlimited number of mandates.
Mandates can be given by any written communication process, and in particular by fax, electronic mail.
Any partner may vote by correspondence, using a form drawn up by the Company and given to partners who so request. He must complete the ballot, by ticking for each resolution, a single box corresponding to the meaning of his vote.
Failure to respond within the time period indicated by the convocation constitutes total abstention by the partner.
In the event of a remote vote using an electronic voting form or a proxy vote given by electronic signature, it is exercised under the conditions provided for by the regulations in force, either in the form of a secure electronic signature within the meaning of Decree 2017-1416 of September 28, 2017, or in the form of a reliable identification process guaranteeing its link with the act to which it is attached.
At each meeting, the chairman of the meeting may decide to mention the identity of each partner, the number of shares and the number of voting rights he has, in the minutes or in an attendance sheet that he has will certify after having had it signed by the partners present and the representatives.
The meetings of the general assemblies take place at the registered office or in any other place indicated in the convocation.
The Assembly is chaired by the President or, in his absence by a partner appointed by the Assembly.
The Assembly appoints a secretary who may be taken from outside its members.
ARTICLE 25 - RULES FOR ADOPTING COLLECTIVE DECISIONS
The voting right attached to the shares is proportional to the proportion of capital they represent. Each share gives the right to one vote.
Collective decisions involving modification of the articles of association, with the exception of those for which unanimity is required by law, will be taken by a two-thirds majority of the votes of the partners present or represented. The other decisions will be taken by an absolute majority of the votes of the partners present or represented.
ARTICLE 26 - MINUTES OF COLLECTIVE DECISIONS
Collective decisions taken in assembly are recorded in minutes signed by the President and the secretary and established in a special register, or on numbered loose sheets.
The minutes must indicate the place and date of the consultation, the documents and information communicated in advance to the partners, a statement of the debates as well as the text of the resolutions and for each resolution the result of the vote.
In the event of a collective decision resulting from the unanimous consent of the partners expressed in a deed, this deed must mention the documents and information previously communicated to the partners. It is signed by all the partners and transcribed in the special register or numbered pages.
Copies or extracts of the minutes of collective decisions are validly certified by the President, or a proxy authorized for this purpose.
ARTICLE 27 - PARTNERS ‘RIGHT OF INFORMATION
Whatever the method of consultation, any decision of the shareholders must be the subject of prior information including the agenda, the text of the resolutions and all documents and information enabling them to make an informed decision on the or the resolutions submitted for their approval.
The reports drawn up by the Chairman must be communicated at the expense of the Company to the partners five days before the date of the consultation, as well as the annual accounts and, where applicable, the consolidated accounts for the last financial year during the collective decision ruling on these accounts.
The partners can, at any time, consult at the registered office, and, if necessary take a copy, of the up-to-date articles of association of the Company as well as, for the last three financial years, of the company registers, of the annual accounts, of the table of last five financial years, consolidated accounts, reports and documents submitted to the partners on the occasion of collective decisions.
ARTICLE 28 - FINANCIAL YEAR
Each financial year lasts for one year, which begins on January 1 and ends on December 31.
As an exception, the first financial year will begin on the day the Company is registered in the Trade and Companies Register and will end on December 31, 2022.
ARTICLE 29 - INVENTORY - ANNUAL ACCOUNTS
Regular accounts are kept of corporate transactions, in accordance with the law and commercial practice.
At the end of each financial year, the Chairman draws up an inventory of the various elements of the assets and liabilities existing at that date and draws up the annual accounts including the balance sheet, the income statement and, if applicable, the appendix, in accordance with the laws and regulations in force.
It also draws up the balance sheet describing the assets and liabilities and showing separately the shareholders’ equity, the income statement summarizing the income and expenses for the year, as well as, where applicable, the appendix supplementing and commenting on the information given by the balance sheet and the income statement.
Even in the event of absence or insufficiency of profit, the necessary depreciation and provisions are made. The amount of bonded, endorsed or guaranteed commitments is mentioned after the balance sheet.
All these documents are made available to the Company’s Statutory Auditors, if any, under legal and regulatory conditions.
Within six months of the end of the financial year or, in the event of an extension, within the time limit set by court decision, the partners must rule by collective decision on the annual accounts, in the light of the management report and the report of the or the Statutory Auditors, if there are any. When the Company draws up consolidated accounts, these are presented, at the time of this collective decision, with the group’s management report and the report of the Statutory Auditors.
ARTICLE 30 - ALLOCATION AND DISTRIBUTION OF THE RESULT
The income statement which recapitulates the income and expenses for the financial year shows by difference, after deduction of depreciation and provisions, the profit or loss for the closed financial year.
At least five percent is deducted from the profit for the financial year less any previous losses to constitute the legal reserve fund. This deduction ceases to be compulsory when the reserve fund reaches one tenth of the share capital; it resumes its course when, for any reason, the legal reserve has fallen below this tenth.
Distributable profit is made up of the profit for the financial year less previous losses and sums to be carried in reserve, in application of the law and the articles of association, and increased by profit carried forward.
From this profit, the group of partners may withdraw any sums that it deems advisable to allocate to the endowment of any optional, ordinary or extraordinary reserve funds, or to carry forward again.
The balance, if any, is distributed among all the partners in proportion to their rights in the capital.
In addition, the group of partners may decide to distribute sums withdrawn from the available reserves, by expressly indicating the reserve items from which the withdrawals are made. However, dividends are taken in priority from the profits for the year.
Except in the case of a reduction in capital, no distribution can be made to the partners when the shareholders’ equity is or would become as a result of this, lower than the amount of the capital increased by the reserves that the law or the articles of association do not allow to be distributed. . The revaluation surplus is not distributable. It can be incorporated in whole or in part in the capital.
The losses, if any, are after the approval of the accounts by the group of partners, carried forward again, to be charged against the profits of subsequent years until extinction.
ARTICLE 31 - PAYMENT OF DIVIDENDS - DEPOSITS
The terms of payment of cash dividends are set by collective decision of the shareholders or, failing that, by the Chairman.
However, the payment of dividends in cash must take place within a maximum period of nine months after the end of the financial year, unless this period is extended by court authorization.
When a balance sheet drawn up during or at the end of the financial year and certified by an External Auditor shows that the Company, since the end of the previous financial year, after constitution of the necessary depreciation and provisions and deduction made if any previous losses as well as sums to be carried in reserve, in application of the law or the articles of association, has made a profit, it can be distributed by decision of the Chairman of the interim dividends before the approval of the accounts of the exercise. The amount of these down payments may not exceed the amount of profit thus defined.
No repetition of dividends may be required from the partners except when the distribution was made in violation of legal provisions and the Company establishes that the beneficiaries were aware of the irregular nature of this distribution at the time of it or could not ignore it. given the circumstances. Where applicable, the action for recovery is barred three years after the payment of these dividends.
Dividends not claimed within five years of their payment are time-barred.
ARTICLE 32 - EQUITY LESS THAN HALF OF THE SHARE CAPITAL
If, due to losses noted in the accounting documents, the Company’s equity falls below half of the share capital, the Chairman must, within four months following the approval of the accounts showing these losses, consult the collectivity of partners, in order to decide whether there is any need for the early dissolution of the Company.
If the dissolution is not pronounced, the capital must be, within the period fixed by the law, reduced by an amount equal to that of the losses which could not be set off against the reserves if, within this period, the capital own have not become at least equal to half of the share capital.
In all cases, the collective decision of the partners must be published under the legal and regulatory conditions.
In the event of non-observance of these prescriptions, any interested party may seek the dissolution of the Company in court. The same applies if the group of partners has not been able to deliberate validly. However, the court cannot pronounce the dissolution if, on the day when it rules on the merits, the regularization has taken place.
ARTICLE 33 - TRANSFORMATION OF THE COMPANY
The Company can be transformed into a company of another form by collective decision of the partners under the conditions set by law.
The transformation into a general partnership requires the agreement of all the partners. In this case, the conditions provided for above are not payable.
The transformation into a limited partnership or by shares is decided under the conditions provided for the modification of the articles of association and with the agreement of each of the partners who agree to become general partners because of the joint and indefinite liability of the social debts.
The transformation into a limited liability company is decided under the conditions provided for the modification of the articles of association of companies of this form.
Any transformation which would lead either to an increase in the commitments of the partners or to the modification of the clauses of these statutes requiring the unanimity of the partners must be the subject of a unanimous decision by the latter.
ARTICLE 34 - DISSOLUTION - LIQUIDATION
The Company is dissolved in the cases provided for by law and, except for extension, at the expiration of the term fixed by the articles of association, or following a collective decision of the partners taken under the conditions fixed by these articles of association.
One or more liquidators are then appointed by this collective decision.
The liquidator represents the Company. He is vested with the broadest powers to realize the asset, even amicably. He is empowered to pay creditors and distribute the available balance among the partners.
The group of partners may authorize it to continue the business in progress or to initiate new ones for the needs of the liquidation.
The net proceeds from the liquidation, after reimbursement to each of the partners of the nominal and unamortized amount of their shares, is distributed among the partners in proportion to their participation in the share capital.
Losses, if any, are borne by the partners up to the amount of their contributions.
In the event that all the shares are combined in one hand, the dissolution of the Company entails, when the sole shareholder is a legal person, the universal transmission of the assets of the Company to the sole shareholder, in accordance with the provisions of the article 1844-5 of the Civil Code.
ARTICLE 35 - DISPUTES
All disputes that may arise during the term of the Company or during its liquidation, either between the Company and the partners holding its shares, or between the partners holding shares themselves, concerning social affairs, the interpretation or execution of these statutes will be judged in accordance with the law and subject to the jurisdiction of the competent courts.
ARTICLE 36 - APPOINTMENT OF OFFICERS
Appointment of the President
The first Chairman of the Company appointed under the terms of these articles of association without time limit is:
Mr. Frédéric SALLET
Born in L ARBRESLE (69) on March 19, 1975
French nationality
Resident Route Nationale 6, 69380 LISSIEU
Mr. Frédéric SALLET accepts the functions of Chairman and declares, as far as he is concerned, that he has not been affected by any incompatibility or any prohibition liable to prevent his appointment and the exercise of his functions.
ARTICLE 37 - COMMITMENTS ON BEHALF OF THE COMPANY IN TRAINING
In accordance with the law, the Company will only have legal personality from the day of its registration in the Trade and Companies Register.
The statement of acts performed in the name of the Company in formation, with an indication for each of them of the resulting commitment for the Company, is appended to these statutes.
This report was made available to the partners within the legal time limits at the address of the registered office.
The signing of these articles of association will take over these commitments by the Company, when the latter has been registered in the Trade and Companies Register.
The undersigned give a mandate to Mr. Frédéric SALLET for the purpose of carrying out the acts and making the necessary commitments on behalf of the Company.
These commitments will be taken over by the Company by the sole fact of its registration in the Trade and Companies Register.
The acts performed on behalf of the Company during the training period and regularly taken up by the latter will be attached to the first financial year.
ARTICLE 38 - ADVERTISING FORMALITIES - POWERS - FEES
All powers are given to the bearer of an original or a certified true copy of these presents to carry out all the legal formalities relating to the incorporation of the Company and in particular:
- Sign and have the notice of incorporation published in a medium authorized to receive legal notices in the department of the head office;
- Make all declarations to the competent Business Formalities Center;
- Carry out all formalities for the registration of the Company in the Trade and Companies Register;
- For this purpose, sign all deeds and documents, pay all rights and costs, and more generally do everything necessary to give the Company currently constituted its legal existence by completing all other formalities prescribed by law.
All powers are conferred on the bearer of an original or a certified true copy hereof for the purpose of carrying out all the publicity, filing and other formalities to achieve the registration of the Company in the Register of commerce and corporations.
| Done at St CYPRIEN ON | ||
| 23 April 2021 | ||
| In 2 Original copies |
| Frederic SALLET | Christophe QUINIOU | |
| “Good acceptance of the functions of President” | ||
| [signature of Frederic Sallet] | [signature of Christophe Quiniou] |
| STAR LEADER TRADING LIMITED Company | Company LE GALLION | |
| Represented by Jonathan CHIANG | Represented by Bruno LE GALL | |
| [signature of Jonathan Chiang] | [signature of Bruno Le Gall] |
| Company 6 th REAL ESTATE SENSE – INVESTMENT | ||
| Represented by Nicolas GAGNEUX | ||
| [signature of Nicolas Gagneux] |
ANNEX
STATEMENT OF ACTS COMPLETED
FOR THE TRAINING SOCIETY
BEFORE SIGNING THE ARTICLES OF ASSOCIATION
- Signature of an engagement letter with the company IN EXTENSO AUVERGNE RHONE ALPES.
- Opening of a bank account in the name and on behalf of the company with the bank Credit Agricole Centre-Est, Place de l’Eglise 69380 CHAZAY D’AZERGUES.
- Signature of a commercial lease for the premises located at Avenue de l’Industrie 42160 ST CYPRIEN.
In accordance with the provisions of article R. 210-6 of the French Commercial Code, this statement will be appended to the articles of association, the signature of which will take over the commitments by the Company as soon as it has been registered in the Trade and Companies Register.
Exhibit 10.2
Wei Qi Yun Public Notary Office of Taichung District Court, Taiwan
Address: No. 112, 1 Ziyou Rd., West District, Taichung City
Tel: 04-222127361 (Opposite Taichung District Court)
| ORIGINAL NOTARIAL CERTIFICATE | Year 109 Middle Court No. 0845 |
| 1. | Requestor (full name, whether a legal person or other entity, alternate names and legal representative’s full name, gender, date of birth, identity certificate and number, home address or office address) |
| Lessor: Farglory Life Insurance Inc. / 84703052 | 28th Floor, 1 Songgao Road, Xinyi District, Taipei City | |
| Legal representative: Meng Jia Ren / Male / 49.08.02 / Q120346645 | 2nd Floor, No. 19, 2 Shidong Road, Shilin District, Taipei City | |
| Tenant: YMA Corporation / 54902977 | 7/F-1, No. 633, Sec.2, Taiwan Blvd., Taichung City, Xitun District | |
| Legal representative: Chiang Jing Bin / Male / 56.06.08 / D120602620 | Unit 6, Lane 9 No. 1, Weiguo Street 114, East District, Tainan City |
| 2. | Agent (full name, gender, date of birth, place of birth, identity certificate and number, home address or office address) |
| Lessor agent: Sun Hui Zhen / Female / 54.12.29 / E221202467 | No. 633, Sec. 2, Taiwan Blvd., Xitun District, Taichung City | |
| Lessee agent: Chen Shu Jhen / Female / 72.12.06 / P222884916 | Unit 3, 8th Floor, No. 220 Wuquan Road, North District, Taichung City |
| 3. | Third parties, interpreters or witnesses permitted before law or agreed by the parties (full name, gender, date of birth, place of birth, identity certificate and number, home address or office address) |
[ Blank ]
| 4. | Subject of Public or Private Notary: House Lease Contract |
To release the landlord’s house for lease, and sign a house lease contract with the lessee, with intention to bind. Both parties have agreed to the terms and are willing to implement them. To obtain legal protection for a period of time to avoid litigation by requesting for notarization.
| 5. | Notary Public Witness Incidents: |
| (1) | Statement by the Requestor on the notarized content: the Requestor (including the Agent) indicates that both parties have promised to enter into a lease contract, requesting notarization, and an agreement to enforce the contract. | |
| (2) | The situation as seen by the notary and the methods and results of other actual incidents: the identity certificate and related documents submitted by the Requestor are verified to be consistent with the content agreed in the contract, and the Requestor applies all meanings of such contents into the attached contract. There is no obvious violation of the law. |
| (3) | The situation of the notary’s right to make an announcement and what the petitioner did: the notary asks the parties about the true meaning of the contract and informs the legal effect of the contract. The requester expressed understanding. |
| 6. | The purpose of the notarization and its basis in Law: |
The notary public will make a notarized certificate and, if attached, the lease contract of the house based on the matters stated by the parties, and sign or seal it upon recognition. Notarization shall be made in accordance with the relevant provisions of Article 2 Section 1 and Article 13 Section 1 paragraph 1 and 10 of the Notarization Law, and other relevant regulations.
| 7. | Binding obligations to involve enforcement in event of relocation: |
If the lessee does not return the leased subject at the end of the lease term, or in event of non-payment of rent in accordance with the contract, or failure to perform liquidated damages in breach of contract, the lessee shall be subject to enforcement. If the lessor fails to return the security deposit after the lessee has repaid the house in accordance with the second paragraph of Article 7 of this agreement, the lessor shall be subject to enforcement.
| 8. | This notarized certificate was made at the office of Wei Qi Yun, a private notary affiliated to the Taichung District Court in Taiwan Bay on Republic of China Republic Era 7th August, 109. |
The above certificate has been acknowledged, signed and sealed by the following persons present:
| Requestor | (signature and stamp) | |
| Lessor agent: | Sun Hui Zhen | |
| Lessee agent: | Chen Shu Jhen |
Public Notary Officer of Taichung District Court, Taiwan: Wei Qi Yun
The public notary was signed on the 7th of August, 109 in Public Notary Office of Taichung District Court, Taiwan in witness of Wei Qi Yuan, of which the original was received by: Sun Hui Zhen, Chen Shu Jhen
Public Notary Officer of Taichung District Court, Taiwan: Wei Qi Yun
| 2 |
Farglory Financial Center Taichung Lease Contract
Lessee: YMA Corporation Ltd.
Parties entering into the Lease Contract
Lessor: Farglory Life Insurance Inc.
In the matter of the lease of the “Farglory Financial Center Taichung” building (hereinafter referred to as the “Building”), both parties agree to enter into this lease agreement (hereinafter referred to as the “Lease Agreement”). Before signing this lease, the lessee has perused the document for more than five days, and understands that the terms of this Lease Agreement are fair and reasonable, and agrees to enter into this Lease Agreement and comply with the terms:
| Article 1 | The Leased Properties |
Base location of the Leased Properties: No. 77-64, Hecuo Section, Xitun District, Taichung City. The useable zone is within the third block of the commercial area, and the house shall be used for the G2 office (hall), as shown in the following table. The house area includes public facilities, subject to the area registered under the ownership certificate (the floorplan of the house is shown in Annex 1, hereinafter referred to as the “Leased Properties”).
| Floor Number | Building Number | Address | Area/ Square Feet |
Remark | ||||
| A01F07 | 4904 | 7/F-1, No. 633, Sec.2 Taiwan Blvd., Xitun District, Taichung City | 105.36 | |||||
| A02F07 | 4905 | 7/F-2, No. 633, Sec.2 Taiwan Blvd., Xitun District, Taichung City | 105.09 |
| Article 2 | Lease Period |
The lease period of this lease is from Republic Era August 17, 109 to August 16, 111; for a total of 2 years.
| Article 3 | Rent (New Taiwan Dollars) |
| Lease Term | Lease Fee (excluding tax) | Business Tax | Total Rent | Remark | ||||
| 109.08.17-110.08.16 | 201,631 | 10,082 | 211,713 | 1st Year | ||||
| 110.08.17- 111.08.16 | 201,631 | 10,082 | 211,713 | 2nd Year |
| 1. | The rent includes 5% business tax. If the business tax is adjusted during the rental period, the lessee shall bear the difference. |
| 2. | Management fees, water, electricity and other expenses are borne by the lessee and are not included in the rent. |
| Article 4 | Rent Payment Method |
| 1. | The rent shall be paid in monthly installments, and the Lessee shall deposit the monthly rent before the 16th of each month into the lessor’s designated account (Payee Details: [Cathay United Bank — Songshan Branch] Bank Code: [013] Account Number: [585900-54902977] Account Name: [Farglory Life Insurance Co., Ltd.]). |
| 3 |
| 2. | If the lessee fails to pay the rent on time or if any of the issued rent bills are not present, the additional penalty shall be calculated at one thousandth of the monthly rent for every additional day. |
| 3. | In event when the lessee fails to pay the rent for two months, the lessor may terminate the lease. |
| Article 5 | Security Deposit |
| 1. | In order to ensure compliance and performance of the terms and conditions of this lease, the lessee shall, upon signing the lease, pay a total lease deposit of NT$635,139 to the lessor. The lessee shall not claim to use the lease deposit to offset the rent. |
| 2. | If the lessee has arrears of expenses or other breaches of contract, or paid or consulted the fee after the lessor has issued reminders, the lessee may repay the amount using the lease deposit. The lessee shall make up the amount deducted by the lessor within a time period specified by the lessor, and the lessor shall seek compensation from the lessee separately. |
| 3. | After the lease period expires, and the lessee has fulfilled the obligations of this lease, and has not owed any rent or other expenses, and has returned the Leased Property to the lessor in their original state, the lessor shall return the lease deposit specified in the preceding paragraph without interest. |
| Article 6 | Renewal |
| 1. | The lessee shall notify the lessor in writing three months before the expiration of the lease if the lease is to be renewed, and the lessor has up to a month to reply whether to renew the lease to the lessee. If the lessee wants to renew the lease, he should obtain the consent of the lessor and sign a new lease to adjust the rent before continuing to use. If the lessee does not want to renew the lease or the lessor does not want to continue the lease to the lessee, the lessee shall move out when the Lease Agreement is fulfilled during the lease period, and return the Leased Properties to the lessor, and shall not delay or require the lessor to make up for any expenses for the provisions of Article 451 of the Civil Law shall not apply. The lessee shall not claim that the lease relationship continues to exist on the grounds that the rent or lease deposit has been paid, and the lessor may immediately cut off the supply of water, power and air-conditioning, etc. of the Leased Properties. |
| 2. | If the lessee has no intention to renew the lease, they shall agree to unconditionally cooperate during the lessee’s work hours, such as renting, renting and indoor viewing. |
| Article 7 | Interior Renovation and Maintenance |
| 1. | The lessee’s renovations shall comply with the relevant government building management laws, fire protection laws and public safety laws and regulations, and prior to renovation, the lessee apply for interior renovation permission from the competent authority. Before renovation, the lessee should first install adequate floorplan layouts, water and electricity, fire escape routes etc. in other design drawings and interior decoration certificates approved by the relevant competent authority, and deliver them to the lessor. The lessee can start renovations after the lessor’s consent. |
| 4 |
| 2. | The lessee shall complete the renovation within the interior renovation permit period (including any extensions), and request a complete inspection and issue an interior renovation qualification certificate. After obtaining the adequate certificate, a photocopy of the certificate and the as-built aforementioned drawings shall be delivered to the lessee for inspection and keeping. |
| 3. | During the lease period, the lessee shall properly maintain the Leased Properties and its renovation, repair, maintenance and renewal costs of the Leased Properties shall be borne by the lessee, and shall be in accordance with the management regulations stipulated by the building management committee or the person in charge of management. |
| 4. | When the lease expires without renewal or termination, the lessee shall be responsible for restoring the indoor and layout renovations to its original state (such as the attached photo), and the transportation leases the goods to the lessor without damaging the building and its original equipment. If the lessee group does not vacate at that time, all decoration equipment and articles left in the leased property will be regarded as waste and will be handled by the lessor, and the restoring and other expenses shall be borne by the lessee. |
| Article 8 | Expenses |
The management fee, water and electricity fees of the leased property shall be borne by the lessee from the lease start date (if the actual payment date is advanced or delayed from the lease start date, the actual payment date shall prevail). The calculation standards are as follows:
| 1. | The management fee is calculated at ¥115/square feet (tax included), and the management fee shall be prepaid every month, and the first business day of each month shall be the management fee payment day of the current month. The building management committee or the person in charge of management has the right to reasonably adjust the management fee based on the income and expenditure situation, but the lessee shall be notified in writing 3 months in advance. |
| 2. | The electricity used in the Leased Properties shall be calculated based on the consumption records of each household’s electricity meter, and shall be borne by the lessee. If the lessee installs other water equipment indoors, the lessee shall bear the cost of the water distribution meter installation and water consumption. |
| 3. | The power, lighting, air-conditioning etc. and other public parts of public facilities shall be borne by the lessee according to the calculations of the building management center. The water consumption of public facilities shall be treated the same. |
| 4. | The land price tax and house tax shall be borne by the lessor. |
| 5. | This lease agreement must be notarized, and the notarization fee shall be borne equally by both parties. |
| 5 |
| Article 9 | Use and Management |
The lessee, in using the Leased Properties, shall comply with the following rules:
| 1. | The use and management of the Leased Properties shall be handled in accordance with the relevant management measures stipulated by the building management committee or the person in charge of management. If the lessee violates the regulations, the lessor or the person in charge of the building management may notify the lessee in writing to make regular improvements. If the lessee fails to make improvements within the time limit, the lessor may terminate the lease at any time. |
| 2. | Signboard installation in thee Leased Properties etc. shall be handled by the lessee in accordance with the regulations for the management of signboard installation in this building. |
| 3. | The lessee shall allow the lessor and its agent and the personnel of the building management center to enter the Leased Properties to inspect and inspect the maintenance status when necessary, but the lessee shall be notified in advance. |
| 4. | When the tenants’ personnel or visitors and articles enter and exit the building, they shall be handled in accordance with the relevant management regulations of the building. |
| 5. | Without the written consent of the lessor, the lessee shall not lease out, sublet, gift, sell, allow others to borrow, or entrust others to operate, or merge with other companies all or any part of the Leased Properties without the lessor’s written consent, or if doing results in violation of the relevant management regulations of the building. The occurrence of any one of the aforementioned situations results in a breach of this Lease Agreement, and the lessor may immediately terminate the lease, and should this result in additional damages to the lessor, he may also request compensation from the lessee. |
| 6. | The lessee shall not store any prohibited, explosive, flammable or dangerous items in the Leased Properties, and shall not excessively use electrical appliances and cooking equipment or high-voltage equipment, neon tubes or LED advertising materials. Window glass shall not be installed and advertising materials shall not be posted. Without the consent of the management center, antennas, wire racks and various other equipment shall not be installed outdoors. |
| 7. | Should the lessee directly or indirectly damage and cause malfunction of the devices, equipment, wiring, etc. in the Leased Properties, or should the behavior of the lessee or his servants cause damage to any other person or property within the Leased Property, the lessee shall be liable for compensation and for ensuring that the lessor is protected from all confrontational acts, accusations, extortion and incidental expenses caused by such damages. |
| 8. | The lessee shall not do anything that would cause the fire insurance of the building or any insurance against third-party rights to be invalidated, or cause an increase in insurance premiums. The lessee shall compensate for the loss caused by the invalidation of the insurance contract of the lessor or other lessees, or all the expenses incurred by the renewal of the insurance contract or the overpayment of insurance premiums due to contravention of the aforementioned clauses. |
| 6 |
| 9. | The public areas of this building, such as engine room space, unloading area parking space, locomotive parking space etc., are managed by the building management committee or the person in charge of management, and the planned usage and revenue have been reserved, in which the lessee has no objection towards. |
| 10. | Smoking is prohibited in the entire building and indoors (including the balcony of the air-conditioning machine room). Smokers should smoke in the designated area stipulated by the management center, and must not litter cigarette butts and other garbage. |
| Article 10 | Maintenance and Emergency Incidents |
| 1. | In order to deal with emergency incidents (fire, water leakage, typhoon damage, etc.), the lessor may enter the Leased Properties to deal with the disaster without notifying the lessee, but the lessee shall be notified afterwards as quickly as possible. |
| 2. | In order to maintain the leased property or public equipment etc., the lessor shall notify the lessee in advance, and when accompanied by the lessee, the lessor may enter the Leased Properties for regular maintenance or inspection. |
| Article 11 | Penalties for Breach of Contract |
| 1. | If the lessee violates or fails to perform the obligations stipulated in this lease, the lessor may terminate this lease and the lease deposit paid by the lessee will be used to pay for punitive liquidated damages, and may simultaneously be confiscated by the lessor without injury to make up for the loss of the lessor’s free period for decoration and early termination of the lease. |
| 2. | Upon expiration or termination of the lease term, the lessee shall move out and return the Leased Properties immediately, but should the lease be terminated by the lessor due to violation of the provisions of this lease, the lessee shall move out within the time limit specified by the lessor. If the lessee does not move out by the due date, the lessee agrees to be subjected to forced removal and shall bear all the costs of the lawsuit and enforcement. The lessee shall pay on a daily basis from the date when the transfer is overdue to the day when the transfer to the lessor is complete. The punitive liquidated damages amount to three times the daily agreed rent (based on calculations of the monthly rent on the 30th of each month) to the lessor. |
| 3. | Except for the punitive contract payment in the above paragraph 2, if the lessee causes other damages to the lessor, the lessee should still compensate the lessor to the extent that he is not overly affected. |
| 4. | If the lessee terminates the lease before the lease term expires, it shall notify the lessor in writing three months in advance, and use the lease deposit as the full compensation for any losses occurring to the lessor as a result of the termination. |
| Article 12 | Supplementary Provisions |
| 1. | Inquiries, negotiations or notices by both the lessee and the lessor in performance of this Lease Agreement shall be in writing and mailed to the correspondence address contained in this Lease Agreement by registered mail, and any changes to the correspondence address shall be in writing and the other party shall be notified immediately, otherwise if posts are returned due to rejection or failure to deliver, the first delivery date at the post office will be regarded as the delivery date. |
| 7 |
| 2. | The management committee or the person in charge of management have announced that the Farglory Financial Center Taichung Administration Provisions shall be a part of the Lease Agreement, and the lessee or its employees shall fully comply with it. Any violation or non-performance of these provisions shall also be regarded as a breach of contract. |
| 3. | In the event of disputes and litigation regarding this Lease Agreement, both the lessee and the lessor agree that the first instance jurisdiction shall be the Taichung District Court in Taiwan. |
| 4. | If this lease is dealt with through an intermediary of real estate brokerage, the real estate brokerage should register the real estate price in accordance with regulations. |
| 5. | Personal Data Provisions: |
| 1. | Regarding all documents and information delivered by the lessee to the lessor due to the signing of this Lease Agreement, except for the following purposes, the lessor shall comply with the Personal Data Protection Law Regulations in its handling and utilization of data. | |
| 2. | The lessee agrees that the lessor may provide the lessee’s personal data or a copy of this Lease Agreement to the following relevant units: |
| (1) | Real estate brokerage for registering real-value declarations. | |
| (2) | Relevant criminal units that handle applications for tap water, electricity, or public security, fire protection, etc. | |
| (3) | The management center (or management committee) or property management company that performs management affairs. | |
| (4) | Others when required by the unit or relevant competent authority to perform the related matters of this Lease Agreement. |
| 6. | The original Lease Agreement has 3 counterparts, with one copy held by the lessee, the lessor and the private notary. |
Appendix:
| 1. | The floor plan of the house and the photos of the current indoor conditions. | |
| 2. | Farglory Financial Center Taichung Administration Provisions (delivered separately). |
The original Lease Agreement has been prepared by the private notary.
| 8 |
Contracting Parties:
| Lessee: | YMA Corporation |
| Representative: | Chiang Jing Bin |
| Address: | 7/F-1, No. 633, Sec.2 Taiwan Blvd., Xitun District, Taichung City |
| Mail Address: | 7/F-1, No. 633, Sec.2 Taiwan Blvd., Xitun District, Taichung City |
| Company No.: | 54902977 |
| Telephone: | 04-23229900 |
| Lessor: | Farglory Life Insurance Inc., Ltd |
| Legal Agent: | Meng Jia Ren |
| Address: | 28th Floor, 1 Songgao Road, Xinyi District, Taipei City |
| Mail Address: | 28th Floor, 1 Songgao Road, Xinyi District, Taipei City |
| Company No.: | 84703052 |
| Telephone: | 02-27583099 |
Republic of China Republic Era 7th August, 109
| 9 |
Appendix: House Floorplan
Appendix: Photograph of the indoors
(Original house condition is as shown, prior to exiting the lease, the house should be turned back into what is shown in the pictures)

| 10 |
Exhibit 10.3
Wei Qi Yun Public Notary Office of Taichung District Court, Taiwan
Address: No. 112, Section 1, Ziyou Rd., West District, Taichung
Tel: 04-222127361 (Opposite Taichung District Court)
| ORIGINAL NOTARIAL CERTIFICATE | Year 109 Middle Court No. 0455 |
| 1. | Requestor (full name, whether a legal person or other entity, alternate names and legal representative’s full name, gender, date of birth, identity certificate and number, home address or office address) |
| Lessor: Jiang Feng Yuan / Male / 54.05.09 / B120317115 | No. 12, Shude Lane 1, South District, Taichung City | |
| Tenant: YMA Corporation / 54902777 | 7/F-1, No. 633 Sec. 2, Taiwan Blvd., Taichung City, Xitun District | |
| Legal representative: Chiang Jing Bin / Male / 56.06.08 / D120602620 | Unit 6, Lane 9 No. 1, Weiguo Street 114, East District, Tainan City |
| 2. | Agent (full name, gender, date of birth, place of birth, identity certificate and number, home address or office address) |
| Renting agent: Chen Shu Jhen / Female / 72.12.06 / P222884916 | Unit 3, 8th Floor, No. 220 Wuquan Road, North District, Taichung City |
| 3. | Third parties, interpreters or witnesses permitted before law or agreed by the parties (full name, gender, date of birth, place of birth, identity certificate and number, home address or office address) |
[ Blank ]
| 4. | Subject of Public or Private Notary: House Lease Contract |
To release the landlord’s house for lease, and sign a house lease contract with the lessee, with intention to bind. Both parties have agreed to the terms and are willing to implement them. To obtain legal protection for a period of time to avoid litigation by requesting for notarization.
| 5. | Notary Public Witness Incidents: |
| (1) | Statement by the Requestor on the notarized content: the Requestor (including the Agent) indicates that both parties have promised to enter into a lease contract, requesting notarization, and an agreement to enforce the contract. |
| (2) | The situation as seen by the notary and the methods and results of other actual incidents: the identity certificate and related documents submitted by the Requestor are verified to be consistent with the content agreed in the contract, and the Requestor applies all meanings of such contents into the attached contract. There is no obvious violation of the law. |
| (3) | The situation of the notary’s right to make an announcement and what the petitioner did: the notary asks the parties about the true meaning of the contract and informs the legal effect of the contract. The requester expressed understanding. |
| 6. | The purpose of the notarization and its basis in Law: |
The notary public will make a notarized certificate and, if attached, the lease contract of the house based on the matters stated by the parties, and sign or seal it upon recognition. Notarization shall be made in accordance with the relevant provisions of Article 2 Section 1 and Article 13 Section 1 paragraph 1 and 10 of the Notarization Law, and other relevant regulations.
| 7. | Binding obligations to involve enforcement in event of relocation: |
If the lessee does not return the leased subject at the end of the lease term, or in event of non-payment of rent in accordance with the contract, or failure to perform liquidated damages in breach of contract, the lessee shall be subject to enforcement. If the lessor fails to return the security deposit after the lessee has repaid the house in accordance with the second paragraph of Article 7 of this agreement, the lessor shall be subject to enforcement.
| 8. | This notarized certificate was made at the office of Wei Qi Yun, a private notary affiliated to the Taichung District Court in Taiwan Bay on Republic of China Republic Era 21st of April, 109. |
The above certificate has been acknowledged, signed and sealed by the following persons present:
| Requestor | (signature and stamp) |
| Lessor: | Jiang Feng Yuan |
| Renting agent: | Chen Shu Jhen |
Public Notary Officer of Taichung District Court, Taiwan: Wei Qi Yun
The public notary was signed on the 2nd of April, 109 in Public Notary Office of Taichung District Court, Taiwan in witness of Wei Qi Yuan, of which the original was received by: Jiang Feng Yuan, Chen Shu Jhen
Public Notary Officer of Taichung District Court, Taiwan: Wei Qi Yun
House Lease Contract
| House Tenancy Contractors: Lessor: | Jiang Feng Yuan (hereinafter referred to as “Party A”) |
| Tenant: | YMA Corporation (hereinafter referred to as “Party B”) |
| Legal Rep.: | Chiang Jing Bin |
In regards to house lease matters, the two parties have agreed to enter into this Contract with the following provisions:
Article 1: Leased Property
No. 18, 1 Shude Lane, South District, Taichung City; Scope of use: all.
Article 2: Lease Term
From Republic Era 16 June 109 to Republic Era 15 June 112, with a lease term of three years.
The renovation period is between Republic Era 1 May 109 to Republic Era 15 June 109, and Party A agrees to give preferential treatment without involving calculation of rent.
Article 3: Rent and Security Deposit
| 1. | Rent Payment |
Monthly rent is New Taiwan Dollars (“NT$”) Twenty-Four Thousand, Three Hundred and Thirty-Six Yuan (excluding 20,434 rental income tax)
3,902 Yuan for second-generation health insurance (the current premium rate is 1.91%, adjustments subject to changes in the future), the actual payment amount is 180,000 Yuan, and all outstanding payments will be delivered to Party A at the end of the year.
| 2. | Rent Payment Method |
Party B shall issue twelve rent cheques to Party A in the first month of each lease year. The cheques shall be available on the 16th of every month.
| 3. | The security deposit is NT$360,000 yuan, and Party B shall pay it upon signing this contract. When Party B completes the return of the house in accordance to Article 7 paragraph 2 of this Contract, after deducting the expenses that must be paid by Party B for use or the compensation caused by Party B’s damage, Party A shall return the security deposit to Party B without interest. |
| 4. | The security deposit in the preceding paragraph shall not be deducted from the rent. |
Article 4: Restrictions on the Use of the Leased Property
| 1. | The Leased Property shall be for business, laboratory and factory use. |
| 2. | Without the consent of Party A, Party B shall not sublet, lend, give away, or provide others to use the leased object in other ways not agreed upon by Party A. |
| 3. | The Leased Property shall not be used for illegal use or storage of dangerous goods, which will affect public safety. |
| 4. | Should the Leased Property require tower repair, reinforcements, renovations, and modifications necessary for the business, Party B shall be responsible for them and bear the costs of these modifications. Should the Leased Property require relocation of equipment, additional equipment (hydropower, fire-fighting equipment), and if necessary to modify the structure, Party B shall obtain the consent of Party A to install it on its own, but shall not damage the original building and bear the cost of refitting the facilities. When Party B returns the house, where additional installations have been done by Party B, and where Party A believes that the house should be restored to its original state, Party B shall be responsible for restoring the original state by itself and shall not require Party A to compensate for any expenses. |
Article 5: Liabilities for Danger
| 1. | Party B should use the house with kind management and care. Except in the case of natural disasters and inevitable circumstances etc., if Party B’s intention or negligence damages the house, or causes damages to the house due to reasons attributable to Party B, Party B shall be responsible for damages and public safety. |
| 2. | During the lease term, Party B shall have Part A secure full fire insurance for the leased house. The insurance premium shall be paid by Party B. A copy of the insurance policy shall be presented to Party A within one month from the date of signing this Contract. Party B shall fully cooperate with the insurance company in handling all matters concerning the identification and settlement of claims. |
Article 6: Penalties
If Party B does not return the Leased Property upon the expiration of the lease term or in breach of contract after Party A’s reminder, then the rent will still be calculated on a daily basis. On every day after the deadline, Party A shall be paid a penalty of five times the daily rent. In addition, Party B violates the provisions of Article 4 paragraph 2, Party A may terminate the lease and request Party B to pay the penalty of NT$36,000.
Article 7: Other Agreed Terms
| 1. | Party A shall bear the housing tax and land value tax of the Leased Property. Party A shall bear the water and electricity charges, telephone charges and taxes and fees that must be paid in business. The cost of regular inspection and maintenance and fire safety inspection shall be borne by Party B and is responsible for the interim report. |
| 2. | Upon expiration of the lease term or termination of the lease, Party B must register for continuous transfer and return the Leased Property in regards to company registration, profit-making registration, and factory registration, and shall not require Party A to pay for any related expenses. |
| 3. | The Leased Property is handed over to Party B in its current state. During the lease period, if the house is damaged due to natural damage or natural disasters, Party A shall be responsible for the repair. The use of consumables that need to be replaced, and the related repair costs shall be taken care of by Party B. Party B shall not require Party A to compensate for the expenses when returning the Leased Property. |
| 4. | The air-conditioning equipment handed over for the subject of this lease shall be used by Party B, and Party B shall be responsible for maintenance, and shall also be handed over when the lease expires or the lease is terminated. |
| 5. | When the lease expires and the lease is not renewed or when the lease is terminated, if Party B still leaves furniture, machinery or other items not scattered, it shall be deemed to have given up for disposal to Party A, and the disposal costs shall be borne by Party B. Party A shall not be required to make compensation for valuables or any other reason. |
| 6. | The lease term of this contract is over one year. When Party B intends to terminate the lease, they shall inform Party A six months in advance, and Party A will refund the outstanding rent without interest. There is no interest when Party B completes the return of the house in accordance to Article 7 Paragraph 2. |
| 7. | When the lease term of this contract expires and Party A does not lease or Party B does not renew the lease, it shall inform the other party in a letter six months before the expiration of the lease, and Party B has the priority to lease again. |
| 8. | Regarding the Leased Property, Party A currently does not provide Party B for factory registration. If Party B requires it and Party A can provide for factory registration in the future, Party B agrees to increase the monthly rent by 8,000 Yuan. |
| 9. | When Party B owes rent for more than two months, or breaches the restrictions on the use of the leased property in Article 4, Party A may terminate the lease and take back the Leased Property. |
| 10. | Both parties of this lease Contract agree to handle notarization, and both parties shall bear one-half of the cost of notarization. |
| 11. | All notices for fulfilling this contract should be based on the addresses and telephone numbers recorded in the Contract. If the delivery fails after being notified to other parties, the first date of delivery shall be regarded as the notification date. |
Article 8: Matters subject to enforcement
If the lessee fails to return the Leased Property at the end of the lease term, or fails to pay rent in accordance with the Contract, or fails to perform the liquidated damages when the lease expires, the lessee shall be subject to enforcement. If the lessor does not return the security deposit after the lessee has agreed to return the house in accordance with Article 7 Paragraph 2 of this Agreement, the lessor shall also be subject to enforcement.
| Article 9: | The clauses listed in this agreement are signed after both parties have read in detail and agreed to implement them, and they will take effect after both parties sign. Both parties agreed to use Taichung District Court as the Court of First Instance. |
| Article 10: | There are five copies of this Contract, and each party, the notary, the referee and the court shall hold one copy as proof. |
Supplementary Documents: 1. Single copy of the housing tax department
2. Copy of the identity certificate of the representative of Party A
3. Copy of the official company registration of Party B.
4. Copy of the identity certificate of the representative of Party B
5. Certified description of the Leased Property
* The Supplementary Documents have been delivered by both parties.
| Party A (Lessor): | Jiang Feng Yuan |
| Identity No. : | B120317115 |
| Address : | No. 165, Alley 418, 506 Xinan Road Section 1, Wuri District, Taichung City |
| Telephone No. : | (04) 2335-4606 |
| Party B (Lessee): | YMA Corporation |
| Legal Representative: | Chiang Jing Bin |
| Agent: | Chen Shu Jhen |
| Registration No.: | 54902777 |
| Address : | 7/F-1, No. 633 Sec. 2, Taiwan Blvd., Taichung City, Xitun District |
| Telephone No. : | (04) 2322-5950 |
Republic of China Republic Era 21st April 109

Republic of China ID Card
To be used for House Rental Purposes
Name: Jiang Feng Yuan |
[picture] |
| Date of Birth: Ming Guo 9th May, Year 59 | Sex: Male |
| Expiry Date: Ming Guo 25th December, Year 95, Tai Chung Central | ID No. B120317115 |
| Father: Jiang Sheng Hong Mother: Jiang Qiu Yu Mei |
| Spouse: Lai Mei Miao To be used for House Rental Purposes |
| Place of Birth: Taiwan Province Taichung District |
| Address: No. 12, Shude Lane 1, South District, Taichung City |
| [bar code] 1715418505 |
Taichung City Government Letter
Address: No. 99, Sec. 3 Taiwan Avenue, Xitun District, Taichung City
Person in Charge: Qiu Yu Qin
Fax: 04-22297657
Telephone number: 22289111 Line: 31361
22/F, No. 88 Sec. 1 Wei Chung Road, Xitun District, Taichung City 407
Recipient: YMA Corporation Agent: Hang Yu Ye Accountants
Publication Date: Republic Era 6 January, 109
Publication Number: Government granted business Number 10907001190
Category: Normal
Confidential level and decrypting condition or terms of confidentiality:
Attachment: See below
Subject: The Company on 2 January, 109 applied for the registration of foreign names, the sole legal person shareholder reassigns directors and supervisors, and amends the registration of changes to the articles of association. After verification and compliance with regulations, the registration is approved.
Description:
| 1. | Enclosed are one receipt of prescribed fee and one form of change of registration. Any case application submit to the government thereafter shall mark the company uniform number 54902977 and file number (10014306) on the application form. |
| 2. | Name of counterparty: YMA Corporation (Name of representative: Chiang Jing Bin; ID number: D12060****); Address of the Company: 7/F-1, Sec. 2 Taiwan Blvd., Xitun District, Taichung City) . |
| 3. | Pursuant to the stipulation under the [Autonomous Regulations on the mandatory insurance of public place of business on public accident liability and risk in Taichung City], if the business premises of the company or branch with its address in this market fall under the provisions of Article 3 of the said Autonomous Regulations, which shall be covered by public accident liability insurance, they shall be insured in accordance with the said Autonomous Regulations. If they do not comply with the said Autonomous Regulations, they shall be sanctioned in accordance with Article 9 of the said Autonomous Regulations. |
| 4. | If you are dissatisfied with this sanction, you shall submit a petition within 30 days from the day after receiving the sanction and send it to Chan of this department to be forwarded to the Ministry of Economic Affairs to file a petition. |
According to the provisions under Article 22-1 of the Companies Law, except for foreign companies, companies with public issued shares and state-owned enterprises, the Company shall review this change, and if there are changes on the information of directors, supervisors, managers, and shareholders who hold more than 10% of the total issued shares or total capital, the Company shall report such changes on the “Company Responsible Person and Major Shareholder Reporting Platform” (website: https://ctp.tdcc.com.tw) within 15 days of such changes. If such changes are not reported or the information reported are false, and such changes are not updated even after notification within a given period, the Company may be subject to penalty of NTD 50,000 ~ 5,000,000, the greatest penalty would be abolishing the company registration. Method of application and related regulations can be referred to on the application platform.
In respect of the part of universal health insurance, please submit the relevant forms to the Central District Business Team of the Central Health Insurance Division of the Ministry of Health and Welfare to handle the change of the person in charge of the insurance unit. For relevant regulations, please refer to the global information website (http://www.nhi.gov.tw) of the department.
“Taichung City Youth Entrepreneurship and Small and Medium0sized Enterprise Loans” provide financial assistance up to $3,000,000. For related matters, please contact the Youth Entrepreneurship Dreamer Project Office by phone (number: 04-25675713) or by website: (http://www.taichung-sbir.org.tw).
For those who need to operate import and export business, please pay attention to the relevant provisions of the English name pre-check and the registration of export and import manufacturers. (regulations on related matters please contact Ministry of Economy International Trading Department by phone (number: 07-2711171 ext. 218)
Original: YMA Corporation
Copy:
Mayor Lu Xiu Yan
| (Company seal) | (Company seal) | ||
| Tick when there is change |
[stamp] |
Tick when there is change |
[stamp] |
Please use oily ink pad for the seal, and do not exceed the frame
Shareholding Limited Company Change of Registration Form
Change inspection code:
Company uniform code: 54902977
Company contact number:
Foreign investment business: [v] Yes [ ] No Issued in Public [ ] Yes [v] No
Mainland financed: [ ] Yes [v] No
No. of shareholder of closed shareholding limited company
Multiple voting rights special shares: [ ] Yes [v] No
Special unit with veto power for special matters: [ ] Yes [v] No
Restrictions or prohibition on special shareholder being elected as director or supervisor: [ ] Yes [v] No or the right to be elected of certain quota
Originally named as _______________________ Corporation
| 1.Company Name (After Change) | Chinese | YMA CORPORATION (in Chinese) | ||||||
| v | Foreign Language (as set out in the articles of association) | YMA CORPORATION | ||||||
| 2. (postal code) Address of the Company (including county city and village) | (407) 7/F-1, No. 633, Sec. 2 Taiwan Blvd., Xitun District, Taichung City | |||||||
| 3. Responsible person of the company | Chiang Jing Bin | 4. Price per share (Arabic numbers) | $10 | |||||
| 5. Total amount of capital (in Arabic numbers) | $200,000,000 | |||||||
| 6. Paid-up Capital (in Arabic numbers) | $30,000,000 | |||||||
| 7. Total number of shares | 20,000,000 | 8. Total number of issued shares | 1. Ordinary shares 3,000,000 | |||||
| 2. Special shares | ||||||||
| v | 9. Number of directors and their terms | 3 persons from 18 December 108 to 17 December 111 (including 0 independent director) | ||||||
| v | 10 [v] Number of supervisors and their terms or [ ] audit committee |
1 person from 18 December 108 to 17 December 111 | ||||||
| The Company has audit committee composed of all independent directors in replace of supervisors | ||||||||
| v | 11. Date of amendments on company’s articles of association | 18 December 108 | ||||||
Date of Change of Registration: 6 January 109 No. 10907001190 Document Number:
Row for sealing of public record
[Seal]
1. There are two counterparts for the application form, one copy kept by the inspection unit and one copy return to the company for record.
2. In order to be edited electronically, please type or print in black and white and fill in clearly. For the number parts, please use Arabic numbers and don’t fold, label or correct.
3. If there is any change on the registration date number or filing number, applicant please do not fill in.
4. If there is any false record on the company capital in violation of the Companies Law, the responsible person of the company can be subject to fixed-term imprisonment for 5 years at most.
5. In order to cooperate with the postal matters, please add postal code to the address.
6. In the tenth row, in accordance with the content of the company’s articles, please mark on “the number of supervisor and their terms” and fill in the number and terms; or in mark on the “audit committee” and no need to fill in the number and term part.
7. Closed shareholding limited company shall fill in number of shareholders, person paying with techniques or labor shall fill in the corresponding shareholdings and paid amount as stipulated in the article of association (payment by labour only apply to closed shareholding limited company)
YMA Corporation Change Registration Form
Note: If the rows/columns are not enough, please copy or if there are unused rows/columns, please delete. If this page is not enough to use, please copy the full page and edit the rows/columns.
| mark v when there is change | 12. Description on the increase in share capital (If the shares are the merger of 9, 10, 11, 12, please also fill in the 14th row) |
Increase in Captial |
1. Cash share, $ | ||
| 2. Assets share, $. | |||||
| 3. Techniques share, $... | |||||
| 4. Share swap share, $ | |||||
| 5. Conversion of subscription rights certificate shares, $ | |||||
| Equity Account Adjustment | 6. Capital reserve shares, $..... | ||||
| 7. Statutory surplus reserve……shares, $ | |||||
| 8. dividend and bonus shares, $...... | |||||
| Merger and Acquisition | 9. merger shares, $.... | ||||
| 10. Split transfer shares, $..... | |||||
| 11. Conversion of shares shares, $ | |||||
| 12. Acquisition shares, $ | |||||
| Others | 13. Debt payment shares, $ | ||||
| 14. Company convertible bonds shares $ | |||||
| 15. Labor shares, $ | |||||
| 13. Description of this decrease in share capital | 1. Breakeven shares; $ | 2. Return of shares share; $ | |||
| 3. Cancellation of Treasury shares shares; $ | 4. Merger share cancellation share; $ | ||||
| 5. Divide and reduce capital shares; $ | 6. Repossession of special shares | ||||
| 14. Description on the information of company being merged or acquired | |||||
| Type of merger and acquisition | Date of merger and acquisition | Company under merger or acquisition | |||
| Company name and uniform code | |||||
Row for sealing of public record
[Seal]
YMA Corporation
Note: If the rows/columns are not enough, please copy or if there are unused rows/columns, please delete. If this page is not enough to use, please copy the full page and edit the rows/columns.
| Business Conducted | ||
| No. | Code | Description of business item |
| 1 | CD01050 | Manufacturing of bicycles and its parts |
| 2 | CH01010 | Manufacturing of Sports Equipment |
| 3 | F106020 | Daily necessities wholesale |
| 4 | F107990 | Other chemical products wholesale |
| 5 | F114040 | Bicycle and its parts wholesale |
| 6 | F401010 | International trading |
| 7 | F601010 | Business of intellectual property rights |
| 8 | I50`0`0 | Business of product design |
| 9 | ZZ99999 | In addition to the approved business, business not under prohibition or restriction pursuant to business regulations |
| List of directors, supervisors or other responsible persons | ||||
| Code | Title | Name (or name of legal entity) | ID number (or uniform code of legal entity) | shareholding (no. of share) |
| (postal code) Residential address (or address of legal entity) | ||||
| 1 | Chairman | Chiang Jing Bin | D120602620 | 3,000,000 shares |
| (701) No. 1-6, Sec. 9, 114 Wei Guo Road, Eastern District, Tainan City | ||||
| 2 | Director | Chiang Yu-Ning | D220602686 | 3,000,000 shares |
| (236) 5/F No. 1, Sec. 72, Qing Shui Road, Tu Cheng District, New Taipei City | ||||
| 3 | Director | Chiang Li Gin | D120602639 | 3,000,000 shares |
| (236) 5/F No. 1, Sec. 72, Qing Shui Road, Tu Cheng District, New Taipei City | ||||
| 4 | Supervisor | Huang Shen Huei | N103318298 | 3,000,000 shares |
| (302) 8/F, 279 Wenxing Road, Zhubei City, Hsinchu County | ||||
Row for sealing of public record
[Seal]
YMA Corporation
Note: If the rows/columns are not enough, please copy or if there are unused rows/columns, please delete. If this page is not enough to use, please copy the full page and edit the rows/columns.
| Represented Legal Entity | |||
| Code | Directors and Supervisor Code | Name of represented legal entity | uniform code of legal entity |
| (postal code) Address of legal entity | |||
| `1 | 1 ~ 4 | GOAL BEYOND LIMITED | |
| ( ) Offshore Chambers, P.O. Box 217, Apia, Samoa | |||
Row for sealing of public record
[Seal]
Description of the Leased Property
| Land Unit: | No. 1409-6, Shuzijiao Lane, South District, Taichung City | ||||
| House No.: | No. 18, Shude Lane 1, South District, Taichung City | ||||
| Factory Lights: | None | Building Width | 13.14 Meters | Land sq area | 210.54 Sq ft |
| Nature of Use: | Industrial | Building Depth | 32 Meters | Building sq area | 277.23 Sq ft |
| Seating Direction | Northwest towards Southeast | Base Floor Height | |||
| Land Width | Important Structures | RC | |||
| Land Depth | Existing Dynamics | ||||
| Pavement Width | 6 Meters | ||||
| Current Status | Moving in Progress | ||||
| Remarks | The Property is 190 square feet | ||||
[picture]
| |||||
| Lessor | Lessee | ||||
[stamp]
|
[stamp] [stamp] | [stamp] [stamp] | |||
| Wei Qi Yuan Office Notary of the Taichung District Court of Taiwan | |||||||
| PAYMENT RECEIPT | 001168
|
first
receipt | |||||
| 21st April, Year 109 | Registration No.: 38906700 | ||||||
Payer: YMA Corporation
|
Case No.: Year 109, Court Notary Qi No.: 0045 | ||||||
Type of Fee Please write “√”
|
√ Notary fee | 口 Service fee | 口Travel fee | 口 consultation fee | 口 Other | ||
Amount
|
NTD 4500 Yuan only | ||||||
Type of Case
|
√ Notary | 口 Certificate | Location: Taichung District Court Name: Private Notary Offices Wei Qi Yuan No. 112, 1 Ziyou Rd, West District, Taichung City Tel.: 2221 2736 Fax.: 2221 2737 | ||||
Person in Charge
|
[stamp] | Agent | [stamp] | ||||
Exhibit 10.4
Housing Lease Contract
Lessor (Party A): Dongguan Yuantai Sports Equipment Co. Ltd
Lessee (Party B): YMA Composite Materials (DG) Co., Ltd.
In order to protect the legitimate interests of both parties, in line with the principle of equality, mutual benefit and friendship and according to the relevant laws of this country, after full consultation between the two parties, the leasing of production plants, dormitories, and related matters located in 128 industrial district, Tangxia town, Dongguan City, by Party A to Party B, will reach consensus in the following provisions and be jointly implemented:
Article 1: Leased plants, vacant spaces, and dormitories
1. Party B shall agree that the lease will be located on 5/F of Dongguan Yuantai Sports Equipment Co. Ltd in 128 industrial district, Tangxia town, Dongguan City, with an area of approximately 800 square meters (Yuantai Production Plant 1 5/F Tower B) for Party B to use.
2. At the time of signing of this lease contract, Party B has fully understood the status and condition of the lease, and Party B hereby accepts.
Article 2: Contract Period
1. From 26 February, 2019 to 25 February, 2022, a total of 36 months.
2. Party B confirms the time contract is signed, Party A has transferred the leased property to Party B as is.
Article 3: Rental Date and Monthly Rent
1. The rental date of the venue is calculated from 26 February, 2019.
2. Rent is calculated at 18 yuan per square meter per month. Total rent per month is RMB14400 yuan.
Article 4: Payment method of rent, utilities, and security deposit
1. The amount of rent does not include tax, which shall be paid separately by Party B and its related parties to the relevant government department. (If Party B requires an invoice, Party B shall therefore be responsible for the taxes and fees borne by Party A, and if Party B requests an invoice according to the current tax standard, the actual tax shall be 8% of the rent amount)
2. During the lease period, Party B provides management services for the lease. If an management fee needs to be charged, the management fee should be consistent with that of other tenants and shall not exceed the management fee charged to any other tenant by Part A.
3. Party B shall pay to Party A the monthly rent 5 days before each new month. Rent should be delivered to the bank account designated by Party A.
4. Party B shall pay to Party A three-month’s rent of RMB 43200 yuan (Renminbi forty-three thousand two hundred yuan) for the production plant lease as a security deposit for the performance of this contract within the agreed period, and at the same time complete payment for unpaid rent incurred before this lease. Party A shall collect the security deposit and shall issue a receipt voucher of the same amount to Party B.
5. After the signing of this contract, if Party B fails to perform its contractual obligations within the agreed time limit, Party A shall have the right to terminate the contract. If Party A agrees to continue the performance of contract, then Party B shall pay five thousandths of the total security deposit daily as contractual penalty until the security deposit is fully paid.
Article 5: Obligations of Party A
1. Party A guarantees that they have full ownership of the leased property under this contract, and there is no dispute to the ownership.
| 2 |
2. Party A to ensures that the main production plant construction is in line with the requirements of fire protection, and has issued and filed the construction project papers in regards to fire protection to Party B. Party B is responsible for the compliance of fire protection regulations after re-renovation. Party B should renovate according to fire protection regulations.
3. Party A shall hand over the plants and dormitories to Party B as is. Party B. Party B, without affecting the structural safety of the plant, can carry out re-renovation. Party A should ensure that the leased property and its ancillary facilities are in normal operating conditions. The parties shall confirm and explain in detail the current status of the leased property and its ancillary facilities, subsidiary properties etc., and include such information in the appendix.
4. Party A provides existing power supply facilities for Party B to use. If Party B needs to increase the capacity of power supply, then Party B should pay at their own expense and apply to relevant departments. From the date of signing this contract, Party B shall be responsible for the maintenance of the relevant power supply facilities.
5. If force majeure events occur, such as government actions (including: government power cutoff, power line maintenance, municipal pipeline constructions) or weather conditions (e.g. earthquakes, storms), causing water outage, power failure, and other circumstances, both Party A and Party B are not responsible to one another for the obligations caused by such occurrences.
Article 6: Obligations of Party B
1. When Party B uses the leased property, the weight of the items placed on the floor shall not exceed the designed compliance standards (Houses with more than two floors are designed to bear loads of _____ kg/m2). If losses incur on Party A due to Party B’s violation of this regulation, Part A has the right to terminate the contract, and is not required to return the security deposit paid by Party B. Party A shall also be entitled to demand compensation from Party B for such losses incurred.
2. During the lease term, Party B must comply with the property maintenance, furnishing, and water, electricity, fire related laws, regulations and relevant provisions, and especially pay attention to the regular inspection and maintenance of fire-fighting facilities and related hardware equipment in the production plant, actively cooperate with Party A in fire protection operations. Party B is strictly prohibited from using fire-fighting facilities in leased property for other purposes. Party A has the right to inspect the fire safety, with the permission of the responsible department of Party B, in the leased property without affecting the normal working conditions of Party B. Party B shall cooperate with Party A’s inspection. If fire or another accident occurs in the leased property, Party B should bear the responsibility for such accident.
| 3 |
3. If Party B in the production, operation process produces more industrial sewage, noise, harmful gases and other pollutants than the environmental protection limits, Party B will bear responsibility and compensate for all damages caused. If losses are incurred on Party A, Party B shall be required to bear the responsibility to compensate. Party B should ensure smooth operation of drainage. If Party B causes clogging of sewers and causes damage, no matter intentionally or negligently by improper use of the drainage system, Party B will be responsible for compensation and restoration. If Party B needs to add additional industrial sewage treatment facilities to ensure that normal production operations meet the requirements of relevant departments such as the environmental protection department, then Party B shall first provide relevant blueprints and plans to Party A in written form, and Party B shall execute construction independently and bear all costs. Party B shall apply for the relevant administrative procedures regarding government environmental protection (if any).
4. During the lease term, Party B must strictly comply with the relevant regulations on safety, family planning, labor and employment etc.. In the event of a labor dispute, fire, or safety accident, all economic and legal liabilities resulting from it shall be borne by Party B. If the lease term expires or is terminated before the expiry of term, Party B shall settle all of its employees’ wages before it can proceed with the termination procedures. In case of arrear of wages, Party A shall have the right, under the supervision and cooperation of the labor department, to seal and auction the assets of Party B for payment of unpaid wages.
5. When Party B receives a “payment notice.” from Party A calculated according to the power supply bureau, water supply department (Party A charges Party B utility charges according to national standards, and the corresponding consumption is accounted for according to the actual usage. Party A does not charge Party B additional utility charges). If any questions arise with regards to water/electricity, charges, Party B shall inquire and confirm with Party A within 3 working days. Party A shall provide Party B with utility data in written form for verification by Party B.
6. Party B must educate employees to comply with national laws and regulations, abide by the rules and regulations of the park, and obey the management of management personnel. If there is any violation, Party A has the right to submit handling opinions to Party B and to negotiate the method of handling such cases with Party B. If the loss incurs on Party A, Party A shall have the right to be compensated by Party B.
7. During the lease term, Party B shall not engage in illegal activities or store prohibited items in the leased property. Otherwise, all consequences that might arise shall be borne by Party B alone. In this regard, Party A shall not bear any responsibility and consequences, and Party A shall have the right to terminate the contract unilaterally, confiscate the security deposit, and shall be compensated by Party B for such losses incurred.
| 4 |
8. During this lease term, industrial and commercial, tax, fire, renovation, customs, government administration charges the leased property shall be borne by Party B.
9. Party B is responsible for strengthening the physical and mental health education of employees and their the personal safety.
10. Party B obtain corresponding insurances on properties stored in the leased production plant and dormitory units on its own. Party A shall not be responsible for any loss or damages caused in this regard and Party B shall bear the responsibility.
11. Party B shall provide a copy of relevant documents such as industry and commerce, taxation, business license etc to Party A after the annual review.
12. During the lease term, Party B shall notify Party A to check and confirm on-site damage or malfunction to the leased production plant or dormitory and its ancillary facilities is discovered, and Party B shall promptly repair and bear the cost of repair.
13. Party B shall not sublet the property to any third party during the lease term (At present, the actual users of leased property include Party B and one of their affiliated enterprises, Forwell Sports Equipment Co., Ltd., Dongguan City Qinhui Molding Machinery Co. Ltd. These three companies are the actual users, and thus are not considered as third parties that Party B sublets property to).
14. Party B is responsible for providing security guards, doormen, sanitation, parking spaces, landscapes in the production plant and dormitory area and public area, and regular maintenance services on the facilities in the public areas.
Article 7: Liabilities of termination and breach of contract
1. If Party B does not pay rent or utility bills in time, Party B shall pay to Party A 5‰ of the amount owed daily as penalty. If Party B owes rent and property management fees for more than 15 days, and still does not pay arrears within 5 working days of Party A’s written notice, then Party B shall unconditionally accept and agree to measures taken by Party A such as the cutoff of water and electricity supply and control of shipments etc.. All losses caused by water and electricity outage, and control of shipments etc. shall be borne by Party B unilaterally.
2. Party A shall have the right to terminate this contract, retain the security deposit, and claim on the housing rent within the renovation period if one of the following situations occurs with Party B. If losses or damages are incurred by Party A, Party B shall beobligated to make compensation.
1) Without the written consent of Party A, Party B sublets, transfers or lends the entire leased production plant or utilizes the leased plant and dormitory as external guarantee without authorization;
| 5 |
2) Party B intentionally or negligently causes serious damage to the leased property;
3) Performing illegal activities in the production plant or dormitories
4) Party B’s hired employees are found to be in violation of laws, rules and regulations resulting in adverse effects, and after written notice and negotiation by Party A, Party B still refuses to dismiss such employees;
5) Dismantlement and reformation of the structure of the production plant without consent;
6) Non-compliance of the fire protection regulations, by not equipping fire extinguishing equipment and blocking fire exits of production plants, not abiding the law and no rectification according to the law made in time;
7) Without the written consent of Party A, privately acquire electricity and water;
8) Non-payment of rent, management fees and utilities without justification ,which is equivalent to 45 days’ housing rent ;
9) Unilateral termination of contract by Party B within the contract term;
3. Party B shall settle all costs (rent, utilities, management fees etc.) upon termination or early termination of the contract, and remove all items from the production plant and dismantle additional objects (unless Party A agrees to keep them) on the date of termination of the contract period, and guarantee the return of the property and normal use of the facilities and equipment, ensuring that it would not affect Party A’s re-leasing of the property. Party B shall notify Party A in written form within 5 days of the date of termination of the contract to inspect and accept the leased property. After receiving the notice, Party A shall send personnel to inspect the property within 3 working days, and issue an acceptance opinionaire to Party B. After acceptance by Party A, Party A shall deduct the relevant expenses (fees needed to repair for re-rental, arrear of wages to Party A etc.) within 5 working days according to the condition by the time of acceptance, and refund the security deposit to Party B (interest not included) after Party B has settled all the fees. If Party A does not send any personnel to inspect and accept the property within the agreed time period, the property will be considered as qualified for acceptance. If Party B does not clear the production plant as agreed, the rent will be paid in double. If the plant is not cleared after 10 days with written notice by Party A to Party B that it has not been dealt with, it will be regarded as abandonment of all items in the production plant by Party B. Party A has the right to dispose of all items in the leased property.
| 6 |
Chapter 8: Others
1. If Party B requires continual rental of housing after the expiration of this contract term, Party B shall notify Part A in writing three months before the expiration the contract term. If Party B has performed the contract well, under the same conditions, Party B shall have the priority to lease.
2. After the end of the lease between two parties, Party B’s renovation and immovable properties (including water and electricity supply equipment, elevators, air conditioners, adapters etc.) shall be owned by Party A without compensation.
3. If Party B needs to be notified of the performance or termination of this contract, Party A’s written notice delivered to the location of the leased property and receipt acknowledged by the person in charge of Party B shall be deemed as service of such notice; After the termination of the contract, Party A’s written notice delivered to the address listed in Appendix 2 shall be counted as a completed service of notice. If the delivery address has changed, Party B shall notify Party A in written form, and Party A shall deliver relevant documents to the updated address.
4. If Party B needs to set up advertisements and outdoor billboards on the leased property buildings, it shall be approved by Party A and submitted to the relevant government departments for approval, and ensure that advertising content is legitimate and facilities are secure. If any accident occurs, Party B shall bear the responsibility.
5. If Party B requires a tax invoice from utilities etc., the tax arising from the invoice shall be paid by Party B, of which elevator maintenance fees, service charges and other invoices within the industry should be classified as: other service charges. If the government adjusts relevant taxes and fees, Party A shall have the right to make corresponding adjustments in accordance with the relevant provisions.
6. Disputes between the two parties in respect of this contract shall be resolved through negotiations; if negotiations fail, both parties may be referred to the housing authorities for mediation; if mediations fail, both parties may commence lawsuit in the People’s Court where the leased property is located.
7. If there are unaccomplished matters in this contract, both parties shall negotiate amicably, and may sign a supplementary contract, which shall have the same effect as the original.
8. This are two counterparts to this contract. Party A and Party B each receive one copy. The contract will come to effect from the date of signature and seal.
9. Details of relevant qualification documents, handover lists, lease details, etc. shall be found in Appendices 1 to 5.
(Main text ends here)
| 7 |
Party A: Dongguan Yuantai Sports Equipment Co. Ltd (Seal)
Legal representative: (signature)
Date: 26 February, 2019
Party B: YMA Composite Materials (DG) Co., Ltd. (Seal)
Legal representative: (signature)
Date: 26 February, 2019
| 8 |
Appendix 1: Party A proof of qualification
| License | Tax registration certificate | Legal representative ID |
| 9 |
Appendix 2: Party B materials for proof of qualification copies
| License | Tax registration certificate | Legal representative ID |

| 10 |
Appendix 3: Plant floor plan

| 11 |
Appendix 4: Dormitory floor plan
Not Applicable
| 12 |
Appendix 5: Handover list
| Bank | Currency | Bank account | Bank address | |||
| Agricultural Bank of China – Tangxia branch | RMB | 44-294001040002381 | 86 Lung Dong Road, Xia Tang Town, Dongguan City | |||
| USD | 44-294014040002707 | |||||
| USD | 44-294014040000701 | |||||
| HKD | 44-270013040037158 | |||||
| China Guangfa Bank – Tangxia branch | USD | 9550880014820300274 | 130-135 Fu Hang Hao Ting, Ying Bin Avenue, Tang Xia Town, Dongguan City | |||
| RMB | 9550880014820300184 | |||||
| USD | 9550880014820300364 | |||||
ICBC Bank – Tangxia branch (deregistered) |
RMB | 2010028719200999888 | 2/F Commercial Bank Tang Xia Branch 10 Garden Street, Gin Tang Building, Tang Xia Road, Tang Xia Town, Dongguan City, Guangdong Province | |||
| USD | 201002879144204048 | |||||
| E Sun Bank – Dongguan branch (deregistered) | USD | 000282000011288 | Flat 102-103, Hua Kai Building, He Seng Road, Nan Cheng District, Dongguan City, Guangdong Province | |||
| RMB | 000281000011613 | |||||
China Construction Bank – Tangxia branch (deregistered) |
RMB | 44001779308053009415 | Flat 3A-109, 1/F, Sichun Mansion, Ying Bin Avenue, Tangxia Town, Dongguan City, Guangdong Province | |||
| Rural Commercial Bank - Tangxia branch (deregistered) | RMB | 190010190010058536 | 5 Ying Bin Avenue, Tangxia Town, Dongguan City, Guangdong Province |
| State Land Certificate | Land Use Certificates for Stated Owned Land(2003) no. (613) | 1 | unit | ||||
| Premises Permit | Property Ownership Certificate no.C2415546-49 | 4 | unit | ||||
| Second factory ownership investigation report | 1 | copy |
Note: If there is any amendment or additional information on the original documents, please provide.
| 13 |
| Type | Description | Quantity | Unit | Note | ||||
| Bank | Bank cheque of Agricultural Bank of China | 71 | sheet | 47584654 – 47584725 | ||||
| Application form for close of business of Agricultural Bank of China | 3 | Book | 0311019926 – 0311020000 | |||||
| password device – Construction Bank & ICBC Bank | 2 | Unit | For the use of issuing cheuqes | |||||
| Agricultural Bank of China - U | 7 | Unit | Record by HR, review by HR, finance record, preliminary finance review, final finance review, manager | |||||
| China Construction Bank –U | 3 | Unit | finance record, preliminary finance review, final finance review | |||||
| China Guangfa Bank – U | 1 | Unit | U at the time has not set any limitations to right of use | |||||
| Signature card of E Sun Bank | 1 | Unit | ||||||
| Signature card of Agricultural Bank of China | 1 | Unit | ||||||
| copy of FDI declaration documents | 1 | Unit | ||||||
| Unit | ||||||||
| Credential seal | Company seal, financial seal, legal representative’s private seal, receipt seal | 5 | Unit | One company seal for China Construction Bank only | ||||
| original company registration certificate | 1 | sheet | ||||||
| copy company registration certificate | 1 | sheet | ||||||
| open bank account permit | 1 | sheet | ||||||
| Credit institution code certificate | 1 | sheet | ||||||
| Approval of change registration notice (Original) | 6 | sheet | ||||||
| Notice of custom procedures for close of business | 1 | sheet | ||||||
| Business registration certificate (Administration of Foreign Exchange) | 1 | sheet | ||||||
| Annual Labour Examination certificate (original and copy) | 2 | sheet | ||||||
| Foreign Investment Enterprises Finance Registration Certificate (original and copy) | 2 | sheet | ||||||
| Dongguan Port Health Care Record Book | 1 | sheet | ||||||
| Self-care inspection enterprise registration certificate | 1 | sheet | ||||||
| Social insurance amend register book | 2 | sheet | ||||||
| Provident Fund self-service application form | 1 | sheet | ||||||
| Statistics record certificate | 1 | sheet | ||||||
| Registration certificate of people in charge of statistics | 1 | sheet | ||||||
| Environmental test report | 1 | Unit | ||||||
| Yuen Tai articles of association and approval | 3 | Unit | ||||||
| Shareholders’ decision | 1 | Unit | ||||||
| Change of foreign-invested enterprise declaration form | 1 | Unit | ||||||
| Reply Receipt for Recordation of Change of Foreign-invested Enterprise | 3 | Unit | ||||||
| Agricultural Bank of China researved seal card | 1 | Unit | ||||||
| Agricultural Bank of China | 1 | Unit | ||||||
| Application for change of bank settlement account (Agricultural Bank of China) | 1 | Unit | ||||||
| Export enterprise tax rebate registration certificate | 1 | Unit | ||||||
| Shareholders transfer capital contribution agreement | 1 | Unit | ||||||
| Notification of the Major tax payers in 2010 | 1 | Unit | ||||||
| Consent letter of transfer of land (copy) | 2 | Unit | ||||||
| reserved seal card | 3 | Unit | ||||||
| Bank password slip | 1 | Unit | ||||||
| Taxation | Yuen Tai import | 11 | Unit | |||||
| Yuen Tai 2014 exemption information (external account) | 12 | Unit | ||||||
| Yuen Tai 2015 exemption information (external account) | 12 | Unit | ||||||
| Yuen Tai 2016 exemption information (external account) | 12 | Unit | ||||||
| Yuen Tai 2017 exemption information (external account) | 12 | Unit | ||||||
| Yuen Tai 2018 exemption information (external account) | 12 | Unit | ||||||
| Yuen Tai 2019 exemption information (external account) | 6 | Unit | ||||||
| Verification report | 16 | Unit | ||||||
| Invoice receipt | 1 | Unit | ||||||
| VAT invoice | 129 | Unit | pin: 08238146 – 08238224; pin: 40758978 - 40759027 | |||||
| Tax control drive | 1 | Unit | ||||||
| tax control computer | 1 | Unit | ||||||
| Unit | ||||||||
| Human Resources | Social Insurance – U | 1 | Unit | Password: 654321 |
| 14 |
| Name | Identification number | Social insurance | Provident Fund | Note | ||||||
| 1 | Cai Xiuqing | 421126198401020200 | Joining | Purchased | ||||||
| 2 | Chen Xingchun | 512530197101196516 | Joining | Purchased | ||||||
| 3 | Dong Wanli | 610424196610014658 | Joining | Purchased | ||||||
| 4 | Duan Haizhang | 362432197404121537 | Joining | Purchased | ||||||
| 5 | Han Yun | 320324197108040367 | Joining | Purchased | ||||||
| 6 | He Qunjiang | 510225197506142031 | Joining | Purchased | ||||||
| 7 | Wu Wencai | 512530197310160659 | Joining | Purchased | ||||||
| 8 | Li Yanxia | 421081198103134081 | Joining | Purchased | ||||||
| 9 | Liao Haijun | 511324198406125271 | Joining | Not yet purchased | Occupational illness | |||||
| 10 | Luo Xiaobin | 430521197711048256 | Joining | Purchased | ||||||
| 11 | Ma Chunling | 513521197204095114 | Joining | Not yet purchased | ||||||
| 12 | Ni Yinggang | 512529196701114879 | Joining | Purchased | ||||||
| 13 | Tan Xiaoyan | 430529197404012262 | Joining | Purchased | ||||||
| 14 | Wang Lan | 511123197711271484 | Joining | Purchased | ||||||
| 15 | Xu Zhihua | 512530197201212712 | Joining | Purchased | ||||||
| 16 | Yuan Yungjiang | 512530198106150618 | Joining | Purchased | ||||||
| 17 | Zhang Luyang | 411024198703296229 | Joining | Purchased | ||||||
| 18 | Zhang Yuqiang | 510223196807083912 | Joining | Purchased | ||||||
| 19 | Zhou Zhegui | 511123197703311490 | Joining | Purchased |
| 15 |
Exhibit 10.5
Contract Number:
Housing Lease Contract
Lessor (Party A): Dongguan Yuantai Sports Equipment Co. Ltd
Lessee (Party B): YMA Composite Materials (DG) Co., Ltd.
In order to protect the legitimate interests of both parties, in line with the principle of equality, mutual benefit and friendship and according to the relevant laws of this country, after adequate negotiation between the two parties, the leasing of production plants, dormitories, and related matters located in 128 industrial district, Tangxia town, Dongguan City, by Party A to Party B, is agreed under the following terms and shall be jointly implemented by both parties:
Article 1: Leased production plants, vacant site, and dormitories
1. Party B shall agree to lease in the land use right of the subject land located in No.613, Dongfu Guoyong 2003, N. 128 Industrial Zone, Tangxia Town, Dongguan City, PRC (The registered area of land on the land certificate is 12031.9 square meters. The certificate code of right to real estate on the land is Canton housing C2415546-2415549, 4 copies in total) and all buildings and their ancillaries on the land. The production plant has a frame structure, with firefighting facilities fully equipped in the main body, to be rented to Party B for its use.
2. At the time of signing of this lease contract, Party B has fully understood the status and condition of the leased property, and Party B hereby accepts the same.
Article 2: Contract Term
1. From 26 February, 2019 to 25 February, 2022, a total of 36 months.
2. Party B confirms that at the time contract is signed, Party A has transferred the leased property to Party B on an as is basis.
Article 3: Rental Date
1. The rental date of the production plant and dormitory is commenced on 26 February, 2019.
Article 4: Payment method of rent, utilities, and security deposit
1. The rent for the first month of the leased property is RMB680,000, and the rent for the second month to the expiration of the contract term is RMB 700,000. The amount of rent does not include tax, which shall be paid separately by Party B and its related parties to the relevant government department. (Note: If Party B requires an invoice, Party B shall therefore be responsible for the actual taxes and fees borne by Party A, and if Party B requests an invoice according to the current tax standard, the actual tax shall be 8% of the rent amount)
2. The leased property shall be managed by Party B at their own expense during the lease term, and Party A does not provide management services for the leased property.
3. Party B shall pay to Party A the monthly rent 5 days before each new month. Rent should be delivered to the bank account designated by Party A.
4. Party B shall, within three working days from the date of receipt of Party A’s payment request, pay to Party A three-month’s rent of RMB210 ten thousand yuan (Renminbi Two million and ten thousand yuan) for the production plant and dormitory as a security deposit for the performance of this contract, and at the same time complete payment of the rent for the first month of production plant and dormitory of RMB 68 ten thousand (Renminbi six hundred eighty thousand yuan). Party A shall collect the security deposit and shall issue a receipt of the same amount to Party B.
5. After the signing of this contract, if Party B fails to perform its contractual obligations within the agreed time limit, Party A shall have the right to terminate the contract. If Party A agrees to continue the performance of contract, then Party B shall pay five thousandths of the total security deposit daily as contractual penalty until the security deposit is fully paid.
| 2 |
Article 5: Obligations of Party A
1. Party A guarantees that they have full ownership of the leased property under this contract, and there is no dispute to the ownership.
2. Party A to ensures that the main production plant construction is in line with the requirements of fire protection, and has issued and filed the construction project papers in regards to fire protection to Party B. Party B is responsible for the compliance of fire protection regulations after re-renovation. Party B should renovate according to fire protection regulations.
3. Party A shall hand over the production plants and dormitories to Party B on an as is basis. Party B, can carry out re-renovation on the production plant. Party A should ensure that the leased property and its ancillary facilities are in normal operating conditions. The parties shall confirm and describe in detail with records on the current status of the leased property and its ancillary facilities, subsidiary properties etc., and include such information in Appendix 5.
4. Party A provides existing power supply facilities for Party B to use. If Party B needs to increase the capacity of power supply, then Party B should pay at their own expense and apply to relevant departments. From the date of signing this contract, Party B shall be responsible for the maintenance of the relevant power supply facilities.
5. If force majeure events occur, such as government actions (including: government power cutoff, power line maintenance, municipal pipeline constructions) or weather conditions (e.g. earthquakes, storms), causing water outage, power failure, and other circumstances, both Party A and Party B are not responsible to one another for the obligations caused by such occurrences.
Article 6: Obligations of Party B
1. When Party B uses the leased property, the weight of the items placed on the floor shall not exceed the designed compliance standards (Houses with more than two floors are designed to bear loads of _____ kg/m2). If losses incur on Party A due to Party B’s violation of this regulation, Part A has the right to terminate the contract, and is not required to return the security deposit paid by Party B. Party A shall also be entitled to demand compensation from Party B for such losses incurred.
2. During the lease term, Party B must comply with the property maintenance, furnishing, and water, electricity, fire related laws, regulations and relevant provisions, and especially pay attention to the regular inspection and maintenance of fire-fighting facilities and related hardware equipment in the production plant, actively cooperate with Party A in fire protection operations. Party B is strictly prohibited from using fire-fighting facilities in leased property for other purposes. Party A has the right to inspect the fire safety, with the permission of the responsible department of Party B, in the leased property without affecting the normal working conditions of Party B. Party B shall cooperate with Party A’s inspection. If fire or another accident occurs in the leased property, Party B should bear the responsibility for such accident.
| 3 |
3. If Party B in the production, operation process produces more industrial sewage, noise, harmful gases and other pollutants than the environmental protection limits, Party B will bear responsibility and compensate for all damages caused. If losses are incurred on Party A, Party B shall be required to bear the responsibility to compensate. Party B should ensure smooth operation of drainage. If Party B causes clogging of sewers and causes damage, no matter intentionally or negligently by improper use of the drainage system, Party B will be responsible for compensation and restoration. If Party B needs to add additional industrial sewage treatment facilities to ensure that normal production operations meet the requirements of relevant departments such as the environmental protection department, then Party B shall first provide relevant blueprints and plans to Party A in written form, and Party B shall execute construction independently and bear all costs. Party B shall apply for the relevant administrative procedures regarding government environmental protection (if any).
4. During the lease term, Party B must strictly comply with the relevant regulations on safety, family planning, labor and employment etc.. In the event of a labor dispute, fire, or safety accident, all economic and legal liabilities resulting from it shall be borne by Party B. If the lease term expires or is terminated before the expiry of term, Party B shall settle all of its employees’ wages before it can proceed with the termination procedures. In case of arrear of wages, Party A shall have the right, under the supervision and cooperation of the labor department, to seal and auction the assets of Party B for payment of unpaid wages.
5. When Party B receives a “payment notice.” from Party A calculated according to the power supply bureau, water supply department (Party A charges Party B utility charges according to national standards, and the corresponding consumption is accounted for according to the actual usage. Party A does not charge Party B additional utility charges). If any questions arise with regards to water/electricity, charges, Party B shall inquire and confirm with Party A within 3 working days. Party A shall provide Party B with utility data in written form for verification by Party B.
6. Party B must educate employees to comply with national laws and regulations, abide by the rules and regulations of the park, and obey the management of management personnel. If there is any violation, Party A has the right to submit handling opinions to Party B and to negotiate the method of handling such cases with Party B. If the loss incurs on Party A, Party A shall have the right to be compensated by Party B.
7. During the lease term, Party B shall not engage in illegal activities or store prohibited items in the leased property. Otherwise, all consequences that might arise shall be borne by Party B alone. In this regard, Party A shall not bear any responsibility and consequences, and Party A shall have the right to terminate the contract unilaterally, confiscate the security deposit, and shall be compensated by Party B for such losses incurred.
8. During this lease term, industrial and commercial, tax, fire, renovation, customs, government administration charges the leased property shall be borne by Party B.
| 4 |
9. Party B is responsible for strengthening the physical and mental health education of employees and their the personal safety.
10. Party B obtain corresponding insurances on properties stored in the leased production plant and dormitory units on its own. Party A shall not be responsible for any loss or damages caused in this regard and Party B shall bear the responsibility.
11. Party B shall provide a copy of relevant documents such as industry and commerce, taxation, business license etc to Party A after the annual review.
12. During the lease term, Party B shall notify Party A to check and confirm on-site damage or malfunction to the leased production plant or dormitory and its ancillary facilities is discovered, and Party B shall promptly repair and bear the cost of repair.
13. Party B shall not sublet the property to any third party during the lease term (At present, the actual users of leased property include Party B and one of their affiliated enterprises, Forwell Sports Equipment Co., Ltd., Dongguan City Qinhui Molding Machinery Co. Ltd. These three companies are the actual users, and thus are not considered as third parties that Party B sublets property to).
14. Party B is responsible for providing security guards, doormen, sanitation, parking spaces, landscapes in the production plant and dormitory area and public area, and regular maintenance services on the facilities in the public areas.
Article 7: Liabilities of termination and breach of contract
1. If Party B does not pay rent or utility bills in time, Party B shall pay to Party A 5‰ of the amount owed daily as penalty. If Party B owes rent and property management fees for more than 15 days, and still does not pay arrears within 5 working days of Party A’s written notice, then Party B shall unconditionally accept and agree to measures taken by Party A such as the cutoff of water and electricity supply and control of shipments etc.. All losses caused by water and electricity outage, and control of shipments etc. shall be borne by Party B unilaterally.
2. Party A shall have the right to terminate this contract, retain the security deposit, and claim on the housing rent within the renovation period if one of the following situations occurs with Party B. If losses or damages are incurred by Party A, Party B shall beobligated to make compensation.
1) Without the written consent of Party A, Party B sublets, transfers or lends the entire leased production plant or utilizes the leased plant and dormitory as external guarantee without authorization;
2) Party B intentionally or negligently causes serious damage to the leased property;
3) Performing illegal activities in the production plant or dormitories
| 5 |
4) Party B’s hired employees are found to be in violation of laws, rules and regulations resulting in adverse effects, and after written notice and negotiation by Party A, Party B still refuses to dismiss such employees;
5) Dismantlement and reformation of the structure of the production plant without consent;
6) Non-compliance of the fire protection regulations, by not equipping fire extinguishing equipment and blocking fire exits of production plants, not abiding the law and no rectification according to the law made in time;
7) Without the written consent of Party A, privately acquire electricity and water;
8) Non-payment of rent, management fees and utilities without justification ,which is equivalent to 45 days’ housing rent ;
9) Unilateral termination of contract by Party B within the contract term;
3. Party B shall settle all costs (rent, utilities, management fees etc.) upon termination or early termination of the contract, and remove all items from the production plant and dismantle additional objects (unless Party A agrees to keep them) on the date of termination of the contract period, and guarantee the return of the property and normal use of the facilities and equipment, ensuring that it would not affect Party A’s re-leasing of the property. Party B shall notify Party A in written form within 5 days of the date of termination of the contract to inspect and accept the leased property. After receiving the notice, Party A shall send personnel to inspect the property within 3 working days, and issue an acceptance opinionaire to Party B. After acceptance by Party A, Party A shall deduct the relevant expenses (fees needed to repair for re-rental, arrear of wages to Party A etc.) within 5 working days according to the condition by the time of acceptance, and refund the security deposit to Party B (interest not included) after Party B has settled all the fees. If Party A does not send any personnel to inspect and accept the property within the agreed time period, the property will be considered as qualified for acceptance. If Party B does not clear the production plant as agreed, the rent will be paid in double. If the plant is not cleared after 10 days with written notice by Party A to Party B that it has not been dealt with, it will be regarded as abandonment of all items in the production plant by Party B. Party A has the right to dispose of all items in the leased property.
Chapter 8: Others
1. If Party B requires continual rental of housing after the expiration of this contract term, Party B shall notify Part A in writing three months before the expiration the contract term. If Party B has performed the contract well, under the same conditions, Party B shall have the priority to lease.
| 6 |
2. After the end of the lease between two parties, Party B’s renovation and immovable properties (including water and electricity supply equipment, elevators, air conditioners, adapters etc.) shall be owned by Party A without compensation.
3. If Party B needs to be notified of the performance or termination of this contract, Party A’s written notice delivered to the location of the leased property and receipt acknowledged by the person in charge of Party B shall be deemed as service of such notice; After the termination of the contract, Party A’s written notice delivered to the address listed in Appendix 2 shall be counted as a completed service of notice. If the delivery address has changed, Party B shall notify Party A in written form, and Party A shall deliver relevant documents to the updated address.
4. If Party B needs to set up advertisements and outdoor billboards on the leased property buildings, it shall be approved by Party A and submitted to the relevant government departments for approval, and ensure that advertising content is legitimate and facilities are secure. If any accident occurs, Party B shall bear the responsibility.
5. If Party B requires a tax invoice from utilities etc., the tax arising from the invoice shall be paid by Party B, of which elevator maintenance fees, service charges and other invoices within the industry should be classified as: other service charges. If the government adjusts relevant taxes and fees, Party A shall have the right to make corresponding adjustments in accordance with the relevant provisions.
6. Disputes between the two parties in respect of this contract shall be resolved through negotiations; if negotiations fail, both parties may be referred to the housing authorities for mediation; if mediations fail, both parties may commence lawsuit in the People’s Court where the leased property is located.
7. If there are unaccomplished matters in this contract, both parties shall negotiate amicably, and may sign a supplementary contract, which shall have the same effect as the original.
8. This are two counterparts to this contract. Party A and Party B each receive one copy. The contract will come to effect from the date of signature and seal.
9. Details of relevant qualification documents, handover lists, lease details, etc. shall be found in Appendices 1 to 5.
(Main text ends here)
| 7 |
Party A: Dongguan Yuantai Sports Equipment Co. Ltd (Seal)
Legal representative: (signature)
Date:
| 8 |
Party B: YMA Composite Materials (DG) Co., Ltd. (Seal)
Legal representative: (signature)
Date:
| 9 |
Appendix 1: Party A proof of qualification
| License | Tax registration certificate | Legal representative ID |

| 10 |
Appendix 2: Party B materials for proof of qualification copies
| License | Tax registration certificate | Legal representative ID |

| 11 |
Appendix 3: Plant floor plan

| 12 |
Appendix 4: Dormitory floor plan
| 13 |
Appendix 5: Handover list
| Bank | Currency | Bank account | Bank address | |||
| Agricultural Bank of China – Tangxia branch | RMB | 44-294001040002381 | 86 Lung Dong Road, Xia Tang Town, Dongguan City | |||
| USD | 44-294014040002707 | |||||
| USD | 44-294014040000701 | |||||
| HKD | 44-270013040037158 | |||||
| China Guangfa Bank – Tangxia branch | USD | 9550880014820300274 | 130-135 Fu Hang Hao Ting, Ying Bin Avenue, Tang Xia Town, Dongguan City | |||
| RMB | 9550880014820300184 | |||||
| USD | 9550880014820300364 | |||||
ICBC Bank – Tangxia branch (deregistered) |
RMB | 2010028719200999888 | 2/F Commercial Bank Tang Xia Branch 10 Garden Street, Gin Tang Building, Tang Xia Road, Tang Xia Town, Dongguan City, Guangdong Province | |||
| USD | 201002879144204048 | |||||
| E Sun Bank – Dongguan branch (deregistered) | USD | 000282000011288 | Flat 102-103, Hua Kai Building, He Seng Road, Nan Cheng District, Dongguan City, Guangdong Province | |||
| RMB | 000281000011613 | |||||
China Construction Bank – Tangxia branch (deregistered) |
RMB | 44001779308053009415 | Flat 3A-109, 1/F, Sichun Mansion, Ying Bin Avenue, Tangxia Town, Dongguan City, Guangdong Province | |||
| Rural Commercial Bank - Tangxia branch (deregistered) | RMB | 190010190010058536 | 5 Ying Bin Avenue, Tangxia Town, Dongguan City, Guangdong Province |
| State Land Certificate | Land Use Certificates for Stated Owned Land(2003) no. (613) | 1 | unit | ||||
| Premises Permit | Property Ownership Certificate no.C2415546-49 | 4 | unit | ||||
| Second factory ownership investigation report | 1 | copy |
Note: If there is any amendment or additional information on the original documents, please provide.
| 14 |
| Type | Description | Quantity | Unit | Note | ||||
| Bank | Bank cheque of Agricultural Bank of China | 71 | sheet | 47584654 – 47584725 | ||||
| Application form for close of business of Agricultural Bank of China | 3 | Book | 0311019926 – 0311020000 | |||||
| password device – Construction Bank & ICBC Bank | 2 | Unit | For the use of issuing cheuqes | |||||
| Agricultural Bank of China - U | 7 | Unit | Record by HR, review by HR, finance record, preliminary finance review, final finance review, manager | |||||
| China Construction Bank –U | 3 | Unit | finance record, preliminary finance review, final finance review | |||||
| China Guangfa Bank – U | 1 | Unit | U at the time has not set any limitations to right of use | |||||
| Signature card of E Sun Bank | 1 | Unit | ||||||
| Signature card of Agricultural Bank of China | 1 | Unit | ||||||
| copy of FDI declaration documents | 1 | Unit | ||||||
| Unit | ||||||||
| Credential seal | Company seal, financial seal, legal representative’s private seal, receipt seal | 5 | Unit | One company seal for China Construction Bank only | ||||
| original company registration certificate | 1 | sheet | ||||||
| copy company registration certificate | 1 | sheet | ||||||
| open bank account permit | 1 | sheet | ||||||
| Credit institution code certificate | 1 | sheet | ||||||
| Approval of change registration notice (Original) | 6 | sheet | ||||||
| Notice of custom procedures for close of business | 1 | sheet | ||||||
| Business registration certificate (Administration of Foreign Exchange) | 1 | sheet | ||||||
| Annual Labour Examination certificate (original and copy) | 2 | sheet | ||||||
| Foreign Investment Enterprises Finance Registration Certificate (original and copy) | 2 | sheet | ||||||
| Dongguan Port Health Care Record Book | 1 | sheet | ||||||
| Self-care inspection enterprise registration certificate | 1 | sheet | ||||||
| Social insurance amend register book | 2 | sheet | ||||||
| Provident Fund self-service application form | 1 | sheet | ||||||
| Statistics record certificate | 1 | sheet | ||||||
| Registration certificate of people in charge of statistics | 1 | sheet | ||||||
| Environmental test report | 1 | Unit | ||||||
| Yuen Tai articles of association and approval | 3 | Unit | ||||||
| Shareholders’ decision | 1 | Unit | ||||||
| Change of foreign-invested enterprise declaration form | 1 | Unit | ||||||
| Reply Receipt for Recordation of Change of Foreign-invested Enterprise | 3 | Unit | ||||||
| Agricultural Bank of China researved seal card | 1 | Unit | ||||||
| Agricultural Bank of China | 1 | Unit | ||||||
| Application for change of bank settlement account (Agricultural Bank of China) | 1 | Unit | ||||||
| Export enterprise tax rebate registration certificate | 1 | Unit | ||||||
| Shareholders transfer capital contribution agreement | 1 | Unit | ||||||
| Notification of the Major tax payers in 2010 | 1 | Unit | ||||||
| Consent letter of transfer of land (copy) | 2 | Unit | ||||||
| reserved seal card | 3 | Unit | ||||||
| Bank password slip | 1 | Unit | ||||||
| Taxation | Yuen Tai import | 11 | Unit | |||||
| Yuen Tai 2014 exemption information (external account) | 12 | Unit | ||||||
| Yuen Tai 2015 exemption information (external account) | 12 | Unit | ||||||
| Yuen Tai 2016 exemption information (external account) | 12 | Unit | ||||||
| Yuen Tai 2017 exemption information (external account) | 12 | Unit | ||||||
| Yuen Tai 2018 exemption information (external account) | 12 | Unit | ||||||
| Yuen Tai 2019 exemption information (external account) | 6 | Unit | ||||||
| Verification report | 16 | Unit | ||||||
| Invoice receipt | 1 | Unit | ||||||
| VAT invoice | 129 | Unit | pin: 08238146 – 08238224; pin: 40758978 - 40759027 | |||||
| Tax control drive | 1 | Unit | ||||||
| tax control computer | 1 | Unit | ||||||
| Unit | ||||||||
| Human Resources | Social Insurance – U | 1 | Unit | Password: 654321 |
| 15 |
| Name | Identification number | Social insurance | Provident Fund | Note | ||||||
| 1 | Cai Xiuqing | 421126198401020200 | Joining | Purchased | ||||||
| 2 | Chen Xingchun | 512530197101196516 | Joining | Purchased | ||||||
| 3 | Dong Wanli | 610424196610014658 | Joining | Purchased | ||||||
| 4 | Duan Haizhang | 362432197404121537 | Joining | Purchased | ||||||
| 5 | Han Yun | 320324197108040367 | Joining | Purchased | ||||||
| 6 | He Qunjiang | 510225197506142031 | Joining | Purchased | ||||||
| 7 | Wu Wencai | 512530197310160659 | Joining | Purchased | ||||||
| 8 | Li Yanxia | 421081198103134081 | Joining | Purchased | ||||||
| 9 | Liao Haijun | 511324198406125271 | Joining | Not yet purchased | Occupational illness | |||||
| 10 | Luo Xiaobin | 430521197711048256 | Joining | Purchased | ||||||
| 11 | Ma Chunling | 513521197204095114 | Joining | Not yet purchased | ||||||
| 12 | Ni Yinggang | 512529196701114879 | Joining | Purchased | ||||||
| 13 | Tan Xiaoyan | 430529197404012262 | Joining | Purchased | ||||||
| 14 | Wang Lan | 511123197711271484 | Joining | Purchased | ||||||
| 15 | Xu Zhihua | 512530197201212712 | Joining | Purchased | ||||||
| 16 | Yuan Yungjiang | 512530198106150618 | Joining | Purchased | ||||||
| 17 | Zhang Luyang | 411024198703296229 | Joining | Purchased | ||||||
| 18 | Zhang Yuqiang | 510223196807083912 | Joining | Purchased | ||||||
| 19 | Zhou Zhegui | 511123197703311490 | Joining | Purchased |
| 16 |
Exhibit 10.6
| Contract No.: 3210272019CR0013 | electronic suspension code: 3210032019B00122 |
State-Owned Construction Land Usage Right Assignment Contract
Parties to this contract:
Transferor: Yangzhou Municipal Land and Resources Bureau, Hanjiang Branch;
Mailing Address: Xingcheng West Road, Hanjiang District, Yangzhou City;
Postal Code: 225009;
Telephone: 0514-82985809;
Fax: /;
Bank Account: /;
Account Number: /;
Transferee: Bohong Technology Jiangsu Co., Ltd;
Mailing Address: /;
Postal Code: /;
Telephone: 18061165560;
Fax: /;
Bank Account:/;
Account Number:/.
Formulated by:
Ministry of Land and Resources of the People’s Republic of China
State Administration for Industry and Commerce of the People’s Republic of China
Chapter One: General Principles
Article 1. According to the “Property Law of the People’s Republic of China”, “Contract Law of the People’s Republic of China”, “Land Management Law of the People’s Republic of China”, “Urban Real Estate Administration Law of the People’s Republic of China” and relevant administrative regulations and land supply policy provisions, both parties should conclude this contract while upholding principles of equality, honesty, and credibility on a voluntary and compensatory basis.
Article 2. The ownership of the transferred land belongs to the People’s Republic of China, and the transferor shall, in accordance with the authorization of the law, grant the right to use state-owned construction land. Underground resources and buried items, however, do not fall within the scope of the rights to state-owned construction land usage.
Article 3. The transferee shall have the right to possess, use, profit, and perform legal interventions on acquired state-owned construction land within the time limit of the transfer, and shall have the right to use the land to construct, in compliance with the law, buildings, infrastructure, and their ancillary facilities.
Chapter Two: Delivery of transferred land and payment of the transfer price
Article 4. The serial number of the transferred parcel of land under this contract is 2019G003. The total area of this parcel of land is sixty-four thousand eight hundred fifty-one (64851) square meters, of which sixty-four thousand eight hundred fifty-one (64851) square meters will be transferred.
The parcel of land transferred is located in the Gaoxin District of Yangzhou.
The boundary map of the land to be transferred under this contract is shown in Appendix 1.
Under this contract, the vertical boundary of the transferred land has its upper limit at__/__, its lower limit at__/___, with a height difference of __/__ meters. See vertical boundaries of transferred land in Appendix 2.
The spatial orientation of the transferred land is the spatial dimension formed by the vertical plane and the upper and lower boundary height composed of the above-mentioned boundary points
Article 5. Under this contract, the transferred land is used for industrial purposes
Article 6. The transferor agrees to deliver the parcel of land to the transferee by August 28, 2019. The transferor agrees that the parcel shall meet the land conditions set out in 1) of set rules at the time of delivery:
| 1) Flatness of land reaches Other; | |
| Surrounding infrastructure should be in accordance with the status at the time of delivery | |
| 2) Current land conditions __/__ |
| 2 |
Article 7. Under this contract, the term of transfer of the right to use state-owned construction land is 50 years, which will be calculated on the date of delivery of land as set out in Article 6 of this Contract. The reissue of transfer procedures of the original allocation of the right to use state-owned construction land will be calculated from the date on which the contract was signed.
Article 8. The transfer price of the right to use state-owned construction land under this contract is Renminbi ten million eight hundred ninety-four thousand nine hundred sixty-eight yuan (10,894,968 yuan), Renminbi one hundred sixty-eight yuan (168 yuan) per square meter.
Article 9. Under this contract, the deposit for the parcel of transferred land is Renminbi __/___yuan, which is set off against the transfer price.
Article 10. The transferee agrees to pay the transferor the transfer price of the right to use the state-owned construction land in accordance with 1) of the provisions listed below:
1) Within 1 day from the date of signing this contract, the transfer price of the right to use state-owned construction land shall be paid in one lump sum;
2) Pay the transfer price of state-owned construction land to the transferor in __/__ instalments according to the following time and amount.
Instalment one: Renminbi ten million eight hundred ninety-four thousand nine hundred sixty-eight yuan (10,894,968 yuan), payment date: before 1 March, 2019.
| Instalment two: Renminbi ___/__ (__/__) , payment date: before __/__/__ | |
| Instalment three: Renminbi ___/___(__/__), payment date: before _/__/___ | |
| Instalment four: Renminbi ____/__(__/__), payment date: before __/___/_ |
Where the transferee pays the transfer price of the right to use the state-owned construction land in installments, the transferee, when paying the transfer price of the right to use the state-owned construction land in the second instalment and beyond, is permitted to pay interest to the transferor in accordance with the loan interest rate announced by Chinese the People’s Bank of china on the date of payment of the first-period land transfer price.
Article 11. The transferee shall, after paying the full transfer price of this parcel of land in accordance with the terms of this contract, apply for registration of the right to use the state-owned construction land with such relevant supporting materials as the certificate of payment.
Chapter Three: Land development construction and utilization
Article 12. The transferee agrees that the investment intensity in land development under this contract shall be implemented in accordance with 1) below:
1) Under this contract, the parcel of land shall be used for the construction of industrial projects, and the transferee agrees that the total investment in fixed assets of this land shall not be less than the amount approved or registered of Renminbi thirty-four thousand fourty-six point seven seven five (ten thousand) yuan, (34046.775 (ten thousand yuan), investment intensity shall per square meter not be less than Renminbi five thousand two hundred and fifty yuan (5250 yuan). The total investment in fixed assets of land construction projects under this contract includes buildings, infrastructure and their ancillary facilities, equipment investment and transfer price etc.
| 3 |
2) Under this contract, the parcel of land shall be used for the construction of non-industrial projects, and the transferee promises that the total investment in the development of land under this contract shall not be less than Renminbi ___/___ (ten thousand) yuan (__/__ (ten thousand) yuan).
Article 13. If the transferee builds new buildings, infrastructure and its ancillary facilities within the area of land under this contract, it should meet the conditions for the planning of transferred land as determined by the city (county) urban planning management department (See Appendix 3). Of which:
Properties of the main building are reinforced concrete or brick-concrete structured;
Properties of ancillary buildings are __/__;
Total area of buildings ___/___ square meters;
Building floor area ratio no more than 2, no less than 1;
Building height is limited to 24 meters;
Building density no more than 55%, no less than 30%;
Green area ratio no more than 20%, no less than 10%;
Other land use requirements __/___.
Article 14. The transferee agrees that the construction of facilities under this contract shall be carried out in accordance with provision 1) below:
1) Under this contract, land shall be used for the construction of industrial projects, and according to the planning and design conditions determined by the planning department, the area of land used for internal administrative offices and living service facilities within the scope of this contract shall not exceed 7% of the area of the transferred land, which is 4539.57 square meters, area of buildings not exceeding _/_ square meters. The transferee agrees not to build non-productive facilities such as residential units, specialist buildings, hotels, hostels and training centers within the transferred land area;
2) Under this contract, land shall be used for the construction of residential projects, and the total number of residential construction units within the scope of the transferred under this contract shall not be less than _/__ set according to the planning and construction conditions determined by the planning and construction management department. In which, the construction of apartments with areas less than 90 square meters should be no less than ___/____ sets, house units should follow the requirements of ___/___. The residential area of apartments with areas less than 90 square meters of transferred land under this contract shall account for no less than ___/___% of the total development and construction of the land. Government-guaranteed housing, such as economically affordable and low-rent housing, constructed within the transferred land under this contract, shall follow the __/__ method listed below:
1. Handed over to the government;
2. Repurchased by the government;
3. Follow relevant provisions regarding the government’s economic housing construction and sales management
4. ______/_______
5._______/_______
| 4 |
Article 15. The transferee agrees to construct the following renovation and construction projects simultaneously within the transferred land under this contract and to hand them over to the government without compensation upon completion:
1. ____/_____
2.__________
3.___________.
Article 16. The transferee agrees that the land construction project under this contract will commence by August 28, 2020 and be completed by August 28, 2022.
If the transferee cannot start construction on time, they shall apply for a construction delay to the transferor 30 days in advance, and if the transferor agrees to delay the construction, the completion time of the project shall also be rescheduled accordingly, but the delay in construction shall not exceed one year.
Article 17. When the transferee carries out construction under this contract, the usage of water, gas, sewage and other facilities including off-site mainlines, electric substation interface and the introduction works shall be carried out in accordance with relevant regulations.
If the transferee agrees to the passage of various pipelines laid by the government for the needs of public utilities through the transferred land, but thereby affecting the function and usage of the land, the government or public utility department shall make reasonable compensation.
Article 18. The transferee shall use the land in accordance with the land use and floor area ratio regulations agreed upon in this contract and shall not change them without authorization. If, within the term of the transfer, it is necessary to change the land use regulations agreed upon in this contract, both parties should form an agreement according to provision 1) below:
1) The right to use the construction land shall be retrieved accompanied by compensation;
2) To handle the procedures for the approval of changing land use in accordance with the law, the signing of an agreement alteration for the transfer of state-owned construction land use rights or to re-sign a new contract for the transfer of state-owned construction land use rights is required. The transferee shall, in accordance with the market price of the right to use the construction land under the new land use at the time of the approval of the change, make up the difference between the new market price and the market price of the right to use the construction land under the original land use, and handle the land change registration
| 5 |
Article 19. The Government reserves the right to adjust the planning of land under this contract for the duration of use, and if the original plan is modified, the existing buildings of the parcel will not be affected. But when the existing buildings, infrastructures and their ancillary facilities are to be remodeled, rebuilt, rebuilt, or renewed within the term of use, it should be done in accordance with the plan in force at that time
Article 20. The right to use state-owned construction land shall not be retrieved by the transferor until the expiration of transference term stipulated in this contract. Under special circumstances, if the right to use state-owned construction land needs to be retrieved in advance for public interests, the transferor shall submit an application for approval in accordance with the legal procedures. The transferee will be compensated according to the evaluation market price of the constructed buildings, infrastructures and their ancillary facilities at the time of recovery and the right to use the state-owned construction land for the remainder of the term, as well as the direct losses determined by the assessment
Chapter Four: Transfer, lease, and mortgage of the right to use state-owned construction land
Article 21. The transferee, in accordance with the provisions of this contract, after payment of the transfer price of the right to use all state-owned construction land and receiving the state-owned land use certificate, has the right to transfer, lease and mortgage all or part of the right to use the state-owned construction land under this contract. The first time transfer shall meet the conditions stipulated in the provision 1) below:
1) In accordance with the terms of this contract for investment and development, complete more than 25 percent of the total amount of development investment;
2) Investment and development in accordance with the terms of this contract has formed industrial land or other construction land conditions.
Article 22. The transfer, lease and mortgage of the right to use state-owned construction land shall not violate the provisions of national laws, regulations and the provisions of this contract
Article 23. After the transfer of all or part of the right to use state-owned construction land, the rights and obligations set forth in this contract and the land registration documents shall be transferred, and the usage term of the right to use state-owned construction land shall be the usage term stipulated in this contract minus the remaining years after the usage term.
After the lease of all or part of the right to use state-owned construction land under this contract, the rights and obligations set forth in this contract and the land registration documents shall still be borne by the transferee.
Article 24. When transferring the right to use the state-owned construction land, the transfer or mortgage party shall retain this contract, the corresponding transfer or mortgage contract, and the state-owned land use certificate, and apply to the land and resources administration department for land change registration.
| 6 |
Chapter Five: Expiration of Term
Article 25. If the term of use stipulated in this contract expires and the land user needs to continue land use under this contract, they shall submit an application for renewal to the transferor no later than one year before the expiration of the contract, except when the land under this contract is recovered due to public interest needs.
If the term of use for construction of residential land expires, it shall be automatically renewed.
If the transferor agrees to renew the term, the transferee shall, in accordance with the law, manage the contracts for paid use of land such as transfer, lease, etc., and pay the land transfer price, rent and other land use fees.
Article 26. If the term of land transfer expires and the land user applies for renewal, and is not approved due to the needs of the public interest, the land user shall return the right to state owned land use certificate and, in accordance with the provisions, cancel the registration of the right to use the state-owned construction land, which shall be recovered without compensation by the transferor. The transferor and the land user agree that the buildings, infrastructures and their ancillary facilities on land under this contract shall be handled following provision 1) listed below:
1) The land user shall be compensated accordingly by the transferor for the reclamation of the constructed buildings, structures and their ancillary facilities, and in accordance with the residual value of the constructed buildings, structures and their ancillary facilities at the time of reclamation;
2) The constructed buildings, structures and their ancillary facilities shall be reclaimed by the transferor without compensation
Article 27. If the term of land transfer expires and the land user does not apply for renewal, the land user shall return the right to state owned land use certificate and, in accordance with the provisions, cancel the registration of the right to use the state-owned construction land, which shall be recovered without compensation by the transferor. Buildings, structures and their ancillary facilities on the land under this contract shall be reclaimed by the transferor without compensation, and the land user shall maintain the normal function of the buildings, structures and their ancillary facilities, and shall not cause any deliberate damage. If buildings, structures and their ancillary facilities on the land have lost their ordinary functions, the transferor may request the land user to move or remove the buildings, structures and their ancillary facilities on ground, in order to restore the site.
Chapter Six: Force Majeure
Article 28. Any party may be exempted from liability if it fails to fulfill the contract in part or in whole as a result of force majeure, provided that all necessary remedies are taken to reduce the damage caused by force majeure, as conditions permit. The force majeure that occurs during the party’s delayed performance does not have the eligibility for exemption.
| 7 |
Article 29. The party that has experienced a force majeure shall notify the other party of the situation in written form, by letter, telegraph, fax, etc. within 7 days, and submit to the other party within 15 days after the occurrence of force majeure, a report and evidence indicating parts or all of the contract which require an extension or are unable to be fulfilled.
Chapter Seven: Liabilities for Breach of Contract
Article 30. The transferee shall make a payment for right to the use of state-owned construction land on time, according to the stipulations in this contract. If the transferee fails to make the payment on time, they shall pay 1 ‰ of the payment daily from the date of delay. If the payment has been delayed for over 60 days, and the transferee still fails to make the payment after urged to do so by the transferor, the transferor has the right to terminate the contract. The transferee has no right to demand the return of deposit, and the transferor may request the transferee to compensate for any losses.
Article 31. If the transferee terminates the investment and construction of the project due to its own reasons, and proposes to the transferor to terminate the contract and to return the transferred land, after the transferor reports to the people’s government, who originally approved the land transfer scheme, the following conventions are followed: Refund of the transfer price of all or part of the right to use state-owned construction land except the deposit stipulated in this contract (interest not included), recovery of the right to use state-owned construction land, buildings, structures and their ancillary facilities built within the land area may not be compensated, and the transferee may also be required to remove the buildings, structures and their ancillary facilities to restore the site; However, if the transferor is willing to continue to make use of the buildings, structures and ancillary facilities already built within the land, the transferee shall be compensated to a certain extent:
1) If the transferee files an application to the transferor no less than 60 days before the expiration of the construction date stipulated in this contract, the transferor shall, after deducting the deposit, refund the transfer price of the right to use the state-owned construction land paid by the transferee;
2) If the transferee has filed an application to the transferor no less than 60 days before two year expiration of the stipulated construction commencement date under this contract, but over the one year upon the stipulated commencement date under this contract, the transferor shall refund to the transferee the remaining payment of the transfer price of the right to use the state-owned construction land after deducting the deposit stipulated in the contract and collecting land idle charges in accordance with the provisions.
Article 32. If the transferee causes the land to be idle and has been idle for over one year but less than two years, the land shall be paid for idleness in accordance with the law. If the land has been idle for two years and no construction has begun, the transferee shall have the right to reclaim the right to use the state-owned construction land without compensation.
| 8 |
Article 33. If the transferee fails to start construction in accordance with the date agreed in this contract or delays the construction to a date otherwise agreed upon by the construction institute, each extension of one day requires payment of liquidated damage by the transferee of an amount equivalent to 1 ‰ of the total transfer price of the right to use the state-owned construction land, and the transferor shall have the right to request the transferee to continue to make such payment.
If the transferee fails to complete the construction in accordance with the date agreed in this contract or delays the completion of construction date as otherwise agreed, the transferee shall be required to pay a penalty equivalent to 1 ‰ of the total amount of the transfer price of the right to use the state-owned construction land.
Article 34. If the total investment in fixed assets of the project, the investment intensity and the total amount of development investment do not meet the standards stipulated in this contract, the transferor may, in accordance with the actual difference, accounting for the proportion of the agreed total investment and investment intensity indicators, require the transferee to pay a default payment equivalent to the same proportion of the transfer price of the right to use the state-owned construction land, and may require the transferee to continue to perform the contract.
Article 35. If any of the indicators such as the floor area ratio, building density, etc. are lower than the minimum standards agreed in this contract, the transferor may, in accordance with the proportion of the actual difference part to the agreed minimum standard, require the transferee to pay a default payment equivalent to the same proportion of the transfer price of the right to use state-owned construction, and has the right to require the transferee to continue to perform this contract. If the floor area ratio, building density, etc are higher than the maximum standards agreed in this contract, the transferor may, in accordance with the proportion of the actual difference part to the agreed maximum standard, require the transferee to pay a default payment equivalent to the same proportion of the transfer price of the right to use state-owned construction, and has the right to require the transferee to continue to perform this contract.
Article 36. If any of the indicators such as the green area ratio of the industrial construction projects, the proportion of internal administrative offices and living service facilities, the construction area of internal administrative office and living service facilities exceed the standards stipulated in this contract, the transferee shall pay the transferee a penal sum equivalent to 1‰ of the land transfer price, and remove the corresponding greening and facilities.
Article 37. If the transferee pays the transfer price of the right to use the state-owned construction land in accordance with this contract, the transferor must deliver the land on time in accordance with the provisions of this contract. If the transferor fails to provide the land on time and delays the transferee’s possession of land under this contract, each extension of one day, the transferor shall pay the transferee a penalty according to 1 ‰ of the transfer price of the state-owned construction land paid by the transferee. The land usage term shall be calculated from the date of actual delivery of the land. If the delivery has been delayed for over 60 days, and the transferor still fails to delivery the land after being urged to do so by the transferee, the transferee has the right to terminate the contract. The transferor shall recompense to the transferee double the deposit and refund the remainder of the transfer price for which the right to use the state-owned construction land has been paid. The transferee may also claim compensation for the loss.
| 9 |
Article 38. If the transferor fails to deliver the land on time or the land given fails to meet the land conditions stipulated in this contract or makes one-sided changes on the conditions for land use, the transferee is entitled to demand the transferor to perform its obligations under the prescribed conditions and to compensate the transferee for direct damages caused by the delay in performance. The land usage term shall be calculated from the date on which the agreed land conditions have been met.
Chapter Eight: Applicable Laws and Dispute Resolution
Article 39. The laws of the People’s Republic of China shall apply to the conclusion, validity, interpretation, performance, and resolution of disputes in this contract.
Article 40. If a dispute arises as a result of the performance of this contract, it shall be settled through negotiation between the two disputing parties. If the negotiation fails, it shall be resolved in the manner agreed upon in 1) below:
1) Submit to Yangzhou Arbitration Commission for arbitration
2) File a lawsuit to the People’s Court
Chapter Nine: Bylaws
Article 41. The land transfer scheme under this contract has been approved by the Yangzhou Municipal People’s Government, and this contract shall take effect from the date of signature by both parties.
Article 42. Both parties to this contract guarantee that the names, mailing addresses, telephone numbers, fax, bank accounts, agents, etc. filed in this contract are true and valid. If any party’s information has changed, they shall inform the other party within 15 days from the date of the change in written form, otherwise the responsibility for the failure to inform in time shall be borne by the party that has changed information.
Article 43. There are seventeen pages in this contract and its appendices, subject to written Chinese.
Article 44. The prices, amounts and areas mentioned in this contract shall be expressed in both alphabetical letters and numbers. The expression of letters and numbers should be consistent. Where it is inconsistent, the letters shall prevail.
Article 45. If the contract is not completed, it may be supplemented and agreed by both parties as an annex to the contract and shall have the same legal effect as this original version.
Article 46. There are four counterparts of this contract. The transferor and the transferee each possesses two copes. All copies have the same legal effect.
Transferor (Stamp): Yangzhou Municipal Land and Resources Bureau, Hanjiang Branch
Legal representative (entrusted agent) (signature):
Transferee: Bohong Technology Jiangsu Co., Ltd
Legal representative (entrusted agent) (signature):
February 28, 2019
| 10 |
Appendix 1: Boundary map of transferred parcel of land

| 11 |
Appendix 2: Vertical boundaries of transferred parcel of land

| 12 |
Appendix 3: Determined conditions for the planning of transferred land by the _________city (county) government
| 13 |
Exhibit 10.7
110.03 version
Mega International Commercial Bank
Comprehensive Credit Loan Agreement
Serial Number: (110) – 2742
Client Name: YMA Corporation
Comprehensive Credit Loan Agreement
A comprehensive credit loan agreement (hereinafter referred to as the “Agreement”) shall be entered into between the Contracting Party YMA Corporation and Mega International Commercial Bank (hereinafter referred to as “the Bank”). On the basis of various credit histories, previously executed credit agreements and other agreements, the parties hereby agree to the following terms:
Article 1: Comprehensive Credit Limit
The comprehensive credit limit for this Agreement is 10 Million New Taiwan Dollars.
The total sum of credits used by the Contracting Party in this Agreement shall not exceed the comprehensive limit of credits in the preceding paragraph.
Within the comprehensive limit, separate single limits will be set for individual credit transactions, and the sum of credits used by the Contracting Party shall not exceed such limits.
Where the Contracting Party uses credits from other credit agreements executed before this Agreement comes into effect, in event of any such outstanding debts, the balance of such debts shall be taken to account in the comprehensive limit and the enacted individual limits.
When a credit transaction(s) involves utilization of foreign exchange and the exchange rate or other amounts used exceeds the individual limits or comprehensive limit, the Contracting Party must pay the outstanding excess sum immediately.
Article 2: Period of Utilization
The period of utilization of the types of credit in this Agreement is from Republic Era 110/6/1 to Republic Era 111/5/31. When the Contracting Party fulfils all the agreed conditions set by both parties, within the period of utilization set out in this Agreement, the Contracting Party may apply to the Bank with the agreed procedure and documents, and use the credit with the approval of the Bank.
Article 3: Prime Lending Rate and Adjustment
The prime lending rate and adjustment of the Bank are calculated based on the Bank’s capital, operating costs and expected losses, and the Bank may recalculate it regularly or when the financial situation requires it.
If the interest rate applicable to each type of credit in this Agreement is calculated based on the Bank’s prime lending rate at the time of the Agreement in addition to a certain ratio (the Bank’s New Taiwan Dollar base lending rate is 0.8% per annum at the time of the Agreement), the Contracting Party agrees to adjust to the rates set by the Bank. In the case of lending interest rates, such will be adjusted from the date of the adjustment. Where the prime lending rate is adjusted after the Agreement has concluded, the Contracting Party agrees that the Bank will announce it at the Bank’s places of business and be bound by it.
| 2 |
Article 4: Penalties and Default Interest
If the Contracting Party defaults the principal or interest payment, the principal shall be paid from the due date, and the interest shall be paid within six month of the due date with an additional 10% of the fixed interest rate. For a default of more than six months, the penalty shall be 20% of the fixed interest rate.
When the Contracting Party fails to repay the principal in accordance to the Agreement, the deferred interest shall be calculated and paid in addition to the liquidated damages stipulated in the preceding paragraph, in accordance with the fixed interest rate agreed in the Agreement plus the annual interest rate of 1%. In the case of guaranteed debt securities, the deferred interest shall be calculated and paid based on the Bank’s prime lending rate of New Taiwan Dollars plus an annual interest rate of 3% on the day of the advancement, and the payment will be calculated and collected in accordance with the provisions of the preceding paragraph.
Article 5: Exchange Rate Risk
The Contracting Party of this Agreement shall bear the exchange rate risk of foreign currencies, and may repay it in foreign currency or convert it into New Taiwan Dollars. The Contracting Party agrees that the Bank may choose the foreign exchange rate on date when the debt falls, or on the date of settlement.
Article 6: Clearing Credit in Advance
If the sum required by the Agreement cannot be paid in advance, and if the Contracting Party wants to pay in advance, he must first obtain the consent of the Bank.
Article 7: Conditions of Use
Both parties hereby agree that the credits and conditions of use are as follows:
| ○ | OPERATION TURNOVER LOAN | |
| ○ | (1) Credit usage: Maintenance of turnover funds for normal operation cycle | |
| ○ | (2) Credit type: (revolving) sum in 10 Million New Taiwan Dollars | |
| ○ | (3) Calculation of Interest: |
| ● | (1) Interest rate standards | |
| 1 New Taiwan Dollars: based on the Bank’s New Taiwan Dollar prime lending rate plus 1.5% of annual rate. After succession, the adjustment will be made regarding the Bank’s New Taiwan Dollar prime lending interest rate and will be calculated at the adjusted interest rate. (the Bank’s New Taiwan Dollar base lending rate is 0.8% per annum at the time of the Agreement) | ||
| ● | (2) Interest payment method: monthly installments. |
| ○ | (4) Repayment Period: the Contracting Party agrees that the repayment term of each loan shall not exceed 365 days. However, if the term of the loan is not renewed, the full amount shall be repaid during the date of the settlement. | |
| ○ | (5) The method and conditions of use: for the company secretary use. |
| 3 |
Article 8: Number of Copies of the Contract
One original copy of the Agreement shall be held each by the Bank and the Contracting Party.
Article 9: Special Provisions
(1) Guarantor Adjustments and Notifications
When the Bank considers it necessary, the Bank may notify the Contracting Party to add or replace (joint and several) guarantor(s) approved by the Bank, and the Contracting Party shall immediately cooperate with the process.
If the (joint and several) guarantor(s) serving in the capacity of a director or supervisor of the Contracting Party, when such guarantor(s) resigns or departs due to other legal reasons, there is no need to notify or remind the Bank in advance, and the bank suspend or reduce the comprehensive credit limits or single credit limits at any time. If the Contracting Party comprehensive credit or single credit is not in use, the Contracting Party shall also immediately inform the Bank of his resignation and departure. If any violation of such provisions incurs damages to the Bank, the Contracting Party shall be liable for such damages.
(2) Providing Documents
The Contracting Party agrees to provide the details of the board of directors who approved the credit to the Bank depository.
(3) Restrictions on Use of Funds
The Contracting Party is restricted on the use of funds, and shall not transfer the funds to Mainland Capital (including people, legal persons, organizations or their institutions in the Mainland, and including their overseas companies and investments) or use the funds in such. The funds shall not be used to reimburse the credit card balance of the company’s executive, his spouse, or others.
(4) Lower Limitations of Interest Rate
The interest rate of the New Taiwan Dollar used in the contract shall not be lower than the base loan interest rate of the New Taiwan Dollar announced by the Bank on the day the Agreement is in force.
(5) When the Contracting Party agrees to use the New Taiwan Dollar loan, the interest will be calculated in accordance to the interest rate standards above, but when the funds are in short supply, it should be negotiated according to the market interest rate.
(6) When the Contracting Party agrees to use the Agreement, the Small and Medium Enterprise Credit Guarantee Fund (the “Fund”) is guaranteed in accordance with the Fund’s provisions, and related guarantee matters shall be handled in accordance with the provisions of the Fund, and relevant fees shall be paid.
| 4 |
(7) The Contracting Party agrees that the Small and Medium Enterprise Credit Guarantee Fund may, due to business necessity, be deposited during the credit period and within the business scope specified in the fund’s donation charter, and the Contracting Party may be subject to inquiry about its usage by the Joint Credit Information Center.
(8) If the Contracting Party’s financial status, business operations or property has or is expected to undergo significant adverse changes, and the Bank judges that such changes are sufficient to affect its ability to perform the duties defined in this Agreement or other relevant documents, after notifying or reminding the Bank, the Bank may suspend the utilization of the credit, or deem the loan to be fully due.
Contractor:
Mega International Commercial Bank Ltd.
Agent: North Taichung Branch Manager Wu Jianping
Address: 96 Chawan Avenue Section 3, Xidan District, Taichung City
The Contracting Parties, in signing and sealing, have fully understood the contents of the Agreement.
Contracting Party: YMA Corporation
(Signature or Company Chop)
Representative: Chiang Jing Bin
Republic of China 110/5/10
| 5 |
Exhibit 10.9
Letter of Joint Guarantee
The joint Guarantor (hereinafter referred to as the “Guarantor”) hereby guarantees to Taishin International Commercial Bank (hereinafter referred to as the “Bank”) that YMA Corporation (hereinafter referred to as the “Principal Debtor”) is guaranteed to the Bank (including the head office and its branches) of existing (including those that have not been repaid in the past) and future debts, loans, lump sums, guarantees, derivatives transactions, accounts receivable for various business transactions and other related debts etc., based on the principal ([√]1. New Taiwan Dollars 30 Million only, [ ]2. New Taiwan Dollars [ ] Yuan only, [ ]3. New Taiwan Dollars [ ] Yuan only) as the limit and its interest, late court interest, liquidated damages, and for all the expenses required for fulfilling the debts of the guarantee. The Guarantor is willing to jointly and severally repay the debts with the Principal Debtor, and agree to abide by the following clauses:
| Article 1: | Trial requests, or compulsory execution, may be directed to the Guarantor to request repayment. |
| Article 2: | The Bank does not need to be compensated for the collateral disposition first, but can request the Guarantor for repayment. If the Guarantor signs several Joint Guarantees successively or together to guarantee the debts of the Principal Debtor, the Guarantor understands that the total Joint Guarantee liability includes the total amount and scope of the Guarantees of the several Guarantees. |
| Article 3: | Upon application or should the Bank deem it necessary due to other specific facts, the Bank may exempt one or more Guarantors or replace them by a written notice, and after the Bank has obtained the consent of other Guarantors, the other Guarantors shall still be fully liable for the debts borne by the Principal Debtor. |
| Article 4: | Before the Guarantor agrees to pay off the liability of the Guarantee, the right to claim against the Principal Debtor due to a subrogation (subject to the Bank’s liabilities and duties) shall be inferior to the Bank’s possession over the Principal Debtor’s such rights (the debt is limited to all or part of the Guarantee guaranteed by the Guarantor). |
| Article 5: | The Guarantor agrees that the Bank may deposit with the Guarantor the various deposits of the Guarantor’s head office and its affiliated branches. All claims, regardless of the period of the claims, after the Guarantor is notified, the right of set-off may be exercised to offset all the backlogs of the Guarantor to the Bank. At the same time, the Guarantee issued by the Bank to the Guarantor shall be offset should a loss within the scope of sale have its effect. However, there are provisions in laws and regulations that prohibit offsets, or guarantees that they cannot offset, or are based on unreasonable management or a third party’s appointment due to a transaction relationship. If the Bank pays to the Guarantor, the offset shall not be exercised. Regarding the right to cancel, if the amount of offset is insufficient to cover all debts or the Guarantor has to pay off or pay off the debts in installments, it shall be in accordance with Article 323 of the Civil Law, according to various expenses, liquidated damages, interest, deferred interest and principal. The order of payment is to pay off the debts owed by the Guarantor. If there are multiple debts and the payment proposed by the Guarantor is insufficient to cover all the debts, it is known that the payment shall be made in accordance with Article 321 or Article 322 of the Civil Law. However, when the Bank handles internal accounting in accordance with relevant regulations, the total amount of its claims will still be calculated in the order of tonnage of the credits issued above. |
| Article 6: | Due to changes in the name, organization, contents of the articles of association, seal, representatives, scope of authority and notification address of the representative etc. of the Guarantor which affect the Bank’s rights and interests, the Guarantor is willing to immediately notify the Bank of the changes in writing. If there is failure to notify the Bank which results in disputes or cause damage to the Bank, the Guarantor will be responsible. The Guarantor violates the obligation to notify of the change of the previous addresses should the Bank’s notice fail to be delivered due to obligations, or due to reasons attributable to the Guarantor. The last notice address of the Bank shall be deemed as the Bank’s last notice address, and it will be deemed to have arrived within the normal postal period. |
| Article 7: | If the deed for all debts is lost, destroyed, or damaged, the Guarantor is willing to make corrections according to the Bank’s will, or according to the Bank’s retention of the copies of photocopies, microfilms, account books, subpoenas, computer-made documents etc. of the debts. |
| Article 8: | By holding copies of the Guarantee or a letter with the Guarantor’s seal provided by the Guarantor, the Bank may be requested to return or exchange the collateral upon the Bank’s agreement. Should this be the Guarantor’s Agent, such collateral is allowed to be returned or exchanged once the Bank has acknowledged it. |
| Article 9: | The Guarantor shall issue one or more exemption certificates and grant the Promissory Note with the expiration date to the Bank in accordance with the Bank’s requirements, and use this Guarantee as the certificate of authorization of the process for repaying the debts owed by the Guarantor to the Bank. If the Guarantor fails to fulfill the terms and conditions of this Guarantee, the Bank can independently exercise all rights under the Bill law. The Guarantor also acknowledges that the delivery of the Bank’s Guarantor is to cover the real debts of the Guarantor according to this Guarantee, that is, the so-called indirect payment in the civil law, and the debts owed by the Guarantor according to this Guarantee coexist. |
| Article 10: | If all bills issued, endorsed, accepted or guaranteed by the Guarantor are not paid, accepted or unpredictable, the Guarantor is willing to pay off the debt immediately after receiving the notice from the Bank, regardless of the circumstances. The Guarantor agrees to waive the notification obligation stipulated in Article 89 of the Bills Law of the Bank for the unpaid promissory notes issued on the previous issue. |
| Article 11: | The Guarantor is willing to accept the Bank’s inspection on finance of our business, inspection and supervision of collateral and account books (including consolidated financial statements of related companies), bills and documents. Should the Bank deems it necessary, the Guarantor is required to fill in the credit information, or provide the accounting and financial statements approved by the Bank’s certified accountant, and the certified accountant may be ordered to provide working papers. However, the Bank does not have any supervisory obligations over audit, inspection, supervision and inspection. The Guarantor is willing to allow the financial joint credit investigation center (hereinafter referred to as the “Joint Credit Investigation Center”) of the financial consortium at any time to inspect the relevant account books, statements and documents, as the Joint Credit Investigation Center considers it necessary. The Guarantor may also be required to fill in the second-level credit information on time, or provide the accounting and financial statements certified by the certified accountant, and may ask the certified accountant to provide the working papers, but the Joint Credit Investigation Center does not have any consulting powers. |
| 2 |
| Article 12: | ||
| (1) | The Guarantor agrees that the Bank may collect the Guarantor’s information within the scope of business registration items or specific purposes, and may use it for processing or use or for international transmission or cover the warranty Guarantee. Witness information shall be provided to the person appointed by the Bank to handle the affairs (including but not limited to the agency entrusted to conduct market research). | |
| (2) | The Guarantor agrees that the Bank may provide the Guarantor information to the United Credit Information Center for filing and use, and agree that the Joint Credit Information Center may provide the archived manure to other members for reference. In addition, in the case of transferring the credit guarantee of the SME Credit Guarantee Fund to the consortium, the Guarantor also agrees that the fund can be obtained due to business needs During the duration of the Guarantor’s lending relationship and within the scope of business specified in the fund’s donation charter, inquire and use the Guarantor’s customs declaration information at the Joint Credit Information Center. | |
| (3) | The Guarantor agrees to the specific purpose required by the Guarantor for the assignment of the debt, and the Guarantor’s debt-related information is provided to the Debtor and the creditor’s right appraisal reviewer for file-building purposes, but the Bank should urge such data users to comply with the confidentiality provisions of the Banking Law, the Personal Data Protection Law and other relevant laws and regulations, to prevent leaking relevant information to a third party. | |
| Article 13: | The Guarantor knows and agrees to the Bank’s transaction account collection and payment business, computer processing business or other silicon-attached business related to this Guarantee (including but not limited to information systems, iInformation registration, processing and input, information system development, monitoring and maintenance, marketing, form printing, packaging and delivery mailing, storage of forms, vouchers, etc)., account collection and legal procedures, property valuation. When the Bank deems it necessary, it may entrust an appropriate third party (institution) to handle the work; the Guarantor agrees that the Bank may enter the guarantee. The information is handed over to these third parties (institutions) to deal with the entrustment matters. | |
| Article 14: | If the Guarantor is a domestic (legal) person or a foreign (legal) person and the Bank has various debts, its legal actions, methods and effectiveness of the establishment requirements are all in accordance with the laws of the Republic of China. The Guarantor fulfills the responsibility of the guarantee, and is aware that the Bank is the place of performance, and both parties agree that the Taiwan Taipei District Court or the district court has first-instance jurisdiction. If the Guarantor is a company established outside the Republic of China or does not have a residence in the Republic of China, it is agreed that the Bank and the competent court can post legal documents, including any complaints, notices, judgments or other notices, to the address of the process agent of the Guarantor in the Republic of China. The name and address of the delivery agent are specified in Article 18. | |
| 3 |
| Article 15: | The Guarantor agrees that the creditor’s rights of the Yellow Bank on the Guarantor may be trusted to the trustee in accordance with Article 6 of the Financial Asset Securitization Regulations and relevant laws and regulations, and such trust or transfer notification matters are to be announced to the Bank. If the transfer of creditor’s rights for the purpose of securitization of financial assets is agreed, the notice can be replaced by an announcement. In addition, if the trust transfer or transfer of assets involves debt bearers, the Guarantor will not do so during the announcement period of the Bank and objections are deemed to be acknowledged. | |
| Article 16: | The signature and seal on this guarantee are confirmed by the Guarantor. All subsequent dealings between the Guarantor and the Bank will not be limited to this Guarantee. | |
| Article 17: | Special Note: | |
| (1) | This guarantee is a guarantee for continuous debts without a fixed period. The Guarantor may notify the Bank anytime the Guarantor terminates this Guarantee, and the Guarantor will be notified when the notice arrives. The debts of the Principal Debtor incurred by the Bank afterwards do not really guarantee liabilities. | |
| (2) | The Guarantor hereby declares that it is based on his personal identity (not because of his role as a director, supervisor or other representative of such entities). The Principal Debtor is jointly and severally liable for full repayment, so the Guarantor’s guarantee responsibility does not apply to the provisions of Article 753 of the Civil Law. | |
| Article 18: | Special Agreements | |
Article 14 refers to [please fill in the name of the foreign (legal) person in the Guarantor] and the name and delivery address of the representative of this person are:
Article 14 refers to [please fill in the name of the foreign (legal) person in the Guarantor] and the name and delivery address of the representative of this person are:
Article 14 refers to [please fill in the name of the foreign (legal) person in the Guarantor] and the name and delivery address of the representative of this person are:
Article 14 refers to [please fill in the name of the foreign (legal) person in the Guarantor] and the name and delivery address of the representative of this person are:
| 4 |
It is hereby declared that the terms listed on the right have been fully understood and confirmed by the Guarantor, and are to be followed.
Sincerely,
Joint Guarantor: [stamp of Chiang Jingbin] [signature of Chiang Jingbin]
Number:
Birth/Establishment Date:
Address:
An original copy of this letter (copy) has been [ ] has not been [√ ] received from the Bank.
(Personally signed/sealed)
Verifier: Lin Yi Qi
Verification Date: 110, March 29th
Verification Address: 7F-1 unit, 633 Alley, Taiwan Road, Xidun District, Taichung City
Joint Guarantor:
Number:
Birth/Establishment Date:
Address:
An original copy of this letter (copy) has been [ ] has not been [ ] received from the Bank.
Verifier:
Verification Date:
Verification Address:
Joint Guarantor:
Number:
Birth/Establishment Date:
Address:
An original copy of this letter (copy) has been [ ] has not been [ ] received from the Bank.
Verifier:
Verification Date:
Verification Address:
Joint Guarantor:
Number:
Birth/Establishment Date:
Address:
An original copy of this letter (copy) has been [ ] has not been [ ] received from the Bank.
Verifier:
Verification Date:
Verification Address:
Joint Guarantor:
Number:
Birth/Establishment Date:
Address:
An original copy of this letter (copy) has been [ ] has not been [ ] received from the Bank.
Verifier:
Verification Date:
Verification Address:
Republic Era Calendar: Year 110, March 29th
| 5 |
Taishin Financial Holdings Co., Ltd. and its subsidiaries’ customer information confidentiality measures
Taishin Financial Holdings Co., Ltd. was established on February 18, 1991. Its subsidiaries cover banks, securities, etc., and provide customers with one-time purchases (one-stop shopping) products and services. Taishin Financial Holdings Co., Ltd. and its subsidiaries will adhere to the strict protection of customer information by each subsidiary in the past, and take necessary confidentiality measures to maintain the security of the information provided. The customer information confidentiality measures of Taishin Financial Holdings Co., Ltd. and its subsidiaries are described as follows:
The customer information confidentiality measures of Taishin Financial Holdings Co., Ltd. and its subsidiaries, except in accordance with the Financial Holding Company Law, are common among financial holding companies’ subsidiaries. In addition to the Marketing Management Measures (hereinafter referred to as the Common “Marketing Management Measures), the Personal Accountability Protection Law and the relevant laws and regulations of the competent authority, each subsidiary will also comply with other relevant laws and regulations (including but not limited to Article 48 of the Banking Law (for example, Item 2), to fulfill the duty of confidentiality of customer information.
1. Customer information changes and modification methods When your personal information changes, you can notify the customers of the subsidiaries of Taishin Financial Holdings Co., Ltd. at any time, and request for correction or supplementation at the service center.
2. Customer methods to exercise the right to opt-out You can notify the customer service center of each subsidiary of Taishin Financial Holdings Co., Ltd. to stop the interactive use of your personal information for marketing or business promotional behavior.
| 6 |
Joint Guarantor [Money Laundering Prevention and Anti-Terrorism Clause] Agreement
This Agreement is entered into by the Contractor (hereinafter referred to as the Contractor) Chiang Jing Bin
| 1. | For the purpose of preventing money laundering and combating capital terrorism, the Contractor entered agrees to provide relevant information required for the identity review process and follow-up review process of the Bank and to cooperate with the current related matters, if one of the following situations occurs in the person who has been reasonably identified by the Bank, and the Bank may temporarily suspend transactions with the main and standby personnel, and temporarily suspend or terminate various business relationships, and the legal representative of the Contractor, the authorized person, agrees to the following: | ||
| (1) | The Contractor has been warned by the court, prosecutor’s office, judicial police agency or other competent authority to be a suspicious account; or otherwise recognised as suspicious account by the competent authorities or the Bank as suspected illegal or abnormal traders. | ||
| (2) | When the Contractor is a legal person, the person in charge/representative is involved in sanctions identified or pursued by the Chinese government, foreign government or international money laundering prevention organization, terrorists or groups or high-risk pairs identified by the Bank. Easterners (including but not limited to suspected involvement in illegal activities, suspected money laundering, terrorist financing, or cases involving illegal activities reported by the body, etc.). | ||
| (3) | When the Contractor does not cooperate with the Bank’s regular/irregular review procedures or refuses to explain, provide relevant information (including but not limited to information on the actual cover person), or the documents or documents provided by the Contractor identified by the Bank in the foregoing procedures, they become suspects in the line of review (including but not limited to suspected illegal activities, suspected money laundering, terrorist financing activities, or media reports involving illegal cases, etc.). | ||
| (4) | When the Contractor is unwilling to cooperate in the adjustment or cannot fully explain the nature, purpose or source of funds of the various transactions, or is responsible for those who are found to be abnormal or suspected of money laundering after the Contractor’s explanation (including but not limited to suspected involvement in illegal activities, suspected of money laundering, terrorist financing or media reports involving illegal cases, etc.). | ||
| (5) | When the Bank informs the Contractor to go through the review process, the contact information (including but not limited to telephone, email or address) stated by the Contractor will be used for notification. If the Contractor cannot be contacted, this will cause the Bank to fail to complete the regular/irregular review procedures. | ||
| 2. | If one of the foregoing circumstances occurs, the Contractor agrees that the Bank may comply with the “Money Laundering Prevention Law” including but not limited to “Investment Terrorism Prevention Law”, “Financial Institutions Measures for the Prevention of Money Laundering”, “Banking and Electronic Payment Machines and Electronic Tickets Issuers’ Prevention of Money Laundering and Anti-Terrorism Internal Control Points” and “The Bank of China Association of Banks Prevention of Money Laundering and template of precautions against capital terrorism” and other relevant regulations, the content contained in this contract or the responsibility is handled in a standard manner. Therefore, the damage to the Principal Debtor or the unfavorable supervision shall be borne by the Contractor, and the Bank shall not be liable for damages. | ||
| 7 |
| 3. | The Contractor agrees that the Bank may adjust this article in accordance with China, international money laundering prevention organizations, foreign governments or areas with jurisdiction to prevent money laundering. Money or anti-forbearance and other relevant laws and regulations, and changes in anti-money laundering or anti-capital anger practices. It is agreed that there is no need to notify the Contractor separately. | |
| 4. | The Contractor agrees that the Bank may collect, process, use or internationally transmit information of the Contractor within the scope of the specific purpose of the money laundering prevention or combating terrorism, criminal and anti-terrorism laws and regulations. Basic information and various business transaction information (including but not limited to the Contractor or the transaction or payment handled by domestic/foreign banks in accordance with the country’s money laundering prevention or combating capital terrorism, crime prevention and anti-terrorism related laws. When investigating or seizing transaction funds/documents, etc. provided by the Contractor includes the personal data of a third party (including but not limited to the person in charge/representative, the actual beneficiary or the payee), the Contractor shall ensure such third parties are aware of and agree to the foregoing matters. | |
| 5. | If the Contractor fails to comply with the provisions of this article, fails to immediately explain or provide relevant information or obtain the consent of a third party, resulting in the Debtor’s transactions to be delayed, failed, terminated, cancelled, funds frozen or incurred additional costs, the Contractor shall be responsible for loss of damages. If the Bank suffers such damages as a result, the Contractor agrees to be responsible for filing and compensation. |
| 8 |
This Agreement is part of the Joint Guarantee signed with the Bank.
Sincerely,
| Taishin International Commercial Bank | ||
| Contracting Party: | [stamp of Chiang Jingbin] | (Original Agreement Seal) |
| Legal Representative: | ||
| Number: | ||
| Contracting Party: | (Original Agreement Seal) | |
| Legal Representative: | ||
| Number: | ||
| Contracting Party: | (Original Agreement Seal) | |
| Legal Representative: | ||
| Number: | ||
| Contracting Party: | (Original Agreement Seal) | |
| Legal Representative: | ||
| Number: | ||
| Contracting Party: | (Original Agreement Seal) | |
| Legal Representative: | ||
| Number: | ||
| Republic Era Calendar: Year 110, March 29th |
| 9 |
Exhibit 10.10
Collateral Guarantee Agreement
The persons entering into the Collateral Guarantee Agreement (i.e. the Collateral Guarantor, hereinafter referred to as the Contractors), hereby is responsible for providing all the collateral to guarantee the Bank in all guarantee matters and guarantees for YMA Corporation (hereinafter referred to as the ‘Debtor’) regarding all debts owed to the Bank and agrees to fulfill the following clauses:
| Article 1: | The collateral referred to in this agreement refers to the real property owned by the Contractor and has been or will be delivered to the Bank or anyone who is in possession, custody, or controlled by the Bank, regarding all current and future now movable property, deposits (receipts), accounts receivable, bills, securities, warehouse receipts, bills of lading, or other debts of the Contractor under the Bank, as well as the current and future right of the Contractor to claim against Bank in, and other rights, interests or assets of the Contractor. The details of each collateral are set out in the various documents established by the Contractor and the Bank or the certificates kept by the Bank. |
| Article 2: | The collateral provided by the Contractor to the Bank, unless otherwise agreed to guarantee specific debts, regardless of the order in which the collateral is provided, the head office of the responsible bank and its branches shall be shared and used as the Debtor’s current (including those that have not been repaid in the past) for all future bills, loans, advances, guarantees, and derivatives transactions, accounts receivable and various business transactions, and insurance premiums for collateral paid to the Bank, as well as all other debts to be repaid (separate credit and various transaction deeds are regarded as part of this agreement, and each agreement has the same effect as this agreement), deferred interest, liquidated damages, and mortgage costs, damages incurred due to non-fulfillment of debts, and all costs related to the performance of the above-mentioned debts, etc. |
| Article 3: | Upon holding a copy of the collateral provided by the Contractor or a letter with the seal of the Contractor, the bank may be requested to return or exchange the collateral. If the Bank agrees, the Bank may consider it to be the agent of the Contractor and allow the return or exchange. |
| Article 4: | The Contractor promises that the collateral provided by it is completely legally owned. Should this not be true, the Contractor shall provide other collateral of the same or higher value approved by the Bank or pay off the debt immediately, and is willing to compensate the damage suffered by the Bank. If the collateral is a bill of lading, the Contractor guarantees that the quality and quantity of the goods contained in the documents are completely consistent. The Bank may collect or inspect it at any time. If the quality is found to be inconsistent, or the quantity is short, or there are other controversies, the Contractor shall immediately pay off debts or replace a collateral agreed by the Bank. In addition, if the value of the collateral is reduced, or natural disasters or man-made disasters, or any other reasons that are not attributable to the Bank, the collateral is damaged or lost, or there is a risk of damage or loss at the time, the Contractor is responsible for immediately making up the payment with cash or collateral agreed by the Bank, and the Bank will not be liable for damages or any other liabilities. |
| 2 |
| Article 5: | The collateral has been leased or lent before the mortgage is set to the Bank. The Contractor should inform the Bank based on the facts to verify the value of the collateral, and if there is any damages and detriments caused by fraud or false exercise of rights, the Contractor shall compensate the Bank for all damages. |
| Article 6: | In the event of a change, the Contractor should notify the Bank immediately. The Contractor will never do so without written consent transfer, lease, pledge or lend all or part of the collateral to a third party or establish superficies. If the collateral is intended to be changed, improved, added, or discarded, it must be approved in writing by the Bank in advance. If the change registration is required, the Contractor is willing to immediately go through all the procedures for the change registration application. |
| Article 7: | The collateral attached and/or the attached buildings with the following indications belong to the Contractor and have not been preserved and registered. This is to make up for the preservation and registration of the part of the building for an agreed duration. The mortgage will be registered by the Bank as collateral; before the completion of the procedures, if the Bank implements the mortgage right in the preceding paragraph, the part of the building will be subject to the Bank’s disposal to repay the debt. |
| Article 8: | The collateral shall be covered by appropriate fire insurance or other insurance as required by the Bank, and the insurance company shall be requested to add special terms of mortgage or pledge on the insurance policy. The original insurance policy and a copy of the premium receipt should be submitted and accepted by the Bank. If the Contractor fails to handle or renew the contract, the Bank can apply for or renew the insurance on behalf of the Contractor (but the Bank has no obligation to apply for or renew the insurance on behalf of the Contractor). |
| Article 9: | The Contractor shall use the collateral with the care of a good-hearted manager to properly use, fill and store it, and shall not neglect repairs and other related preservation activities. All costs such as taxes and repairs on the collateral shall be jointly and severally borne by the Contractor and the Debtor. If the Contractor and the dDebtor fail to go through the above procedures or pay the fees, the Bank may do it on your behalf or pay for it (but the Bank has no obligation to do it or pay for it). |
| Article 10: | The Contractor and the Debtor shall return the entire payment on the day when the bank advances the insurance premiums, fees, taxes, etc., otherwise, the Debtor shall pay the debts to the Bank (and accrue interest and liquidated damages at the agreed interest rate). When repaying the principal and interest, priority is given to deductions and repayments and the Bank may incorporate it into debts |
| Article 11: | If the collateral generates interest and can be collected by the Bank in accordance with the law, the Bank may collect it directly to repay all debts incurred by the Debtor, but the Bank has no obligation to receive. |
| Article 12: | If the Bank violates the agreement with the Debtor to exercise the security property right, the Bank may immediately implement it in accordance with the relevant laws and/or within the maximum permitted scope of the Law. In disposal of part or all of the collateral by auction or sale, all the misuses required for auction or sale or disposal of the collateral shall be jointly and severally borne by the Contractor and the Debtor. |
| 3 |
| Article 13: | The Contractor knows and agrees the Bank’s transaction account collection and payment business, computer processing business or other silicon-attached business related to this agreement (including but not limited to the data registration, processing and input of the sales information system, the development, monitoring and maintenance of the information system, marketing, form printing, packaging and delivery mailing, storage of forms, vouchers, etc., account collection and legal procedures, property appraisal operations and other outsourcing tasks approved by the competent authority) when the Bank deems it necessary according to the regulations of the competent authority, an appropriate third party (institution) may be entrusted to deal with; the Contractor agrees that the Bank may hand over the information of the Contractor to these third parties (institutions) to handle the entrusted matters. |
| Article 14: | The Contractor and the Debtor agree that the bank’s claims against the Contractor and the Debtor may be trusted to a trustee in accordance with Article 6 of the “Financial Asset Securitization Regulations” and relevant laws and regulations, and such trusts or transfer notification matters. It is agreed that the Bank can be replaced by an announcement, and it is also agreed that if the bank makes a financial asset securitization for the purpose of destroying debt, it can also be announced instead of the notice. Another example is the transfer of trust or the transfer of assets and assets that involve debt bearers. If the Contractor and the Debtor do not disagree during the notice period, it shall be deemed to be recognized. |
| Article 15: | If the collateral needs to be registered, transferred, possessed, managed, transferred, and insured, the Contractor shall take copies, and the use of it is provided by YMA Corporation in respect of violations of the rules cause fines or detentions, etc., and shall be responsible for the management of such. |
Article 16:
The Contractor (limited to natural persons and the current marriage relationship) the marital properties at the time of signing this agreement is [√ ] in a legal property system.
The Contractor (limited to natural persons and the current marriage relationship) the marital properties at the time of signing this agreement is [ ] in a joint property system.
The Contractor (limited to natural persons and the current marriage relationship) the marital properties at the time of signing this agreement is [ ] in a separate property system.
| 4 |
I hereby declare that the provisions on the right have been fully understood and confirmed by the Contractor and the Debtor, and are willing to abide by it.
| Sincerely | |
| Taishin International Commercial Bank [Covenant] | |
| Contracting Party : [Chiang Jingbin Stamp] | (Original Agreement Seal) |
| (of the Collateral Guarantee) | |
| Legal Representative: | |
| Number: | |
| Verifier: Lin Yi Qi [signature] | |
| Contracting Party : [YMA Corporation Seal] | (Original Agreement Seal) |
| (of the Collateral Guarantee) | |
| Legal Representative: | |
| Number: | |
| Verifier: Lin Yi Qi [signature] | |
| Contracting Party : | (Original Agreement Seal) |
| (of the Collateral Guarantee) | |
| Legal Representative: | |
| Number: | |
| Verifier: | |
| Contracting Party : | (Original Agreement Seal) |
| (of the Collateral Guarantee) | |
| Legal Representative: | |
| Number: | |
| Verifier: | |
| Contracting Party : | (Original Agreement Seal) |
| (of the Collateral Guarantee) | |
| Legal Representative: | |
| Number: | |
| Verifier: | |
| Debtor : [YMA Corporation Seal] | (Original Agreement Seal) |
| (of the Collateral Guarantee) | |
| Legal Representative: | |
| Number: | |
| Verifier: Lin Yi Qi [signature] | |
| Debtor : | (Original Agreement Seal) |
| (of the Collateral Guarantee) | |
| Legal Representative: | |
| Number: | |
| Verifier: | |
| Republic Era Calendar: Year 110, March 29th |
| 5 |
Collateral Guarantee [Money Laundering Prevention and Anti-Terrorism Clause] Agreement
This Agreement is entered into by the Contractor (hereinafter referred to as the Contractor) Chiang Jing Bin, YMA Corporation
| 1. | For the purpose of preventing money laundering and combating capital terrorism, the Contractor entered agrees to provide relevant information required for the identity review process and follow-up review process of the Bank and to cooperate with the current related matters, if one of the following situations occurs in the person who has been reasonably identified by the Bank, and the Bank may temporarily suspend transactions with the main and standby personnel, and temporarily suspend or terminate various business relationships, and the legal representative of the Contractor, the authorized person, agrees to the following: | |
| (1) | The Contractor has been warned by the court, prosecutor’s office, judicial police agency or other competent authority to be a suspicious account; or otherwise recognised as suspicious account by the competent authorities or the Bank as suspected illegal or abnormal traders. | |
| (2) | When the Contractor is a legal person, the person in charge/representative is involved in sanctions identified or pursued by the Chinese government, foreign government or international money laundering prevention organization, terrorists or groups or high-risk pairs identified by the Bank. Easterners (including but not limited to suspected involvement in illegal activities, suspected money laundering, terrorist financing, or cases involving illegal activities reported by the body, etc.). | |
| (3) | When the Contractor does not cooperate with the Bank’s regular/irregular review procedures or refuses to explain, provide relevant information (including but not limited to information on the actual cover person), or the documents or documents provided by the Contractor identified by the Bank in the foregoing procedures, they become suspects in the line of review (including but not limited to suspected illegal activities, suspected money laundering, terrorist financing activities, or media reports involving illegal cases, etc.). | |
| (4) | When the Contractor is unwilling to cooperate in the adjustment or cannot fully explain the nature, purpose or source of funds of the various transactions, or is responsible for those who are found to be abnormal or suspected of money laundering after the Contractor’s explanation (including but not limited to suspected involvement in illegal activities, suspected of money laundering, terrorist financing or media reports involving illegal cases, etc.). | |
| (5) | When the Bank informs the Contractor to go through the review process, the contact information (including but not limited to telephone, email or address) stated by the Contractor will be used for notification. If the Contractor cannot be contacted, this will cause the Bank to fail to complete the regular/irregular review procedures. | |
| 2. | If one of the foregoing circumstances occurs, the Contractor agrees that the Bank may comply with the “Money Laundering Prevention Law” including but not limited to “Investment Terrorism Prevention Law”, “Financial Institutions Measures for the Prevention of Money Laundering”, “Banking and Electronic Payment Machines and Electronic Tickets Issuers’ Prevention of Money Laundering and Anti-Terrorism Internal Control Points” and “The Bank of China Association of Banks Prevention of Money Laundering and template of precautions against capital terrorism” and other relevant regulations, the content contained in this contract or the responsibility is handled in a standard manner. Therefore, the damage to the Principal Debtor or the unfavorable supervision shall be borne by the Contractor, and the Bank shall not be liable for damages. | |
| 3. | The Contractor agrees that the Bank may adjust this article in accordance with China, international money laundering prevention organizations, foreign governments or areas with jurisdiction to prevent money laundering. Money or anti-forbearance and other relevant laws and regulations, and changes in anti-money laundering or anti-capital anger practices. It is agreed that there is no need to notify the Contractor separately. | |
| 4. | The Contractor agrees that the Bank may collect, process, use or internationally transmit information of the Contractor within the scope of the specific purpose of the money laundering prevention or combating terrorism, criminal and anti-terrorism laws and regulations. Basic information and various business transaction information (including but not limited to the Contractor or the transaction or payment handled by domestic/foreign banks in accordance with the country’s money laundering prevention or combating capital terrorism, crime prevention and anti-terrorism related laws. When investigating or seizing transaction funds/documents, etc. provided by the Contractor includes the personal data of a third party (including but not limited to the person in charge/representative, the actual beneficiary or the payee), the Contractor shall ensure such third parties are aware of and agree to the foregoing matters. | |
| 5. | If the Contractor fails to comply with the provisions of this article, fails to immediately explain or provide relevant information or obtain the consent of a third party, resulting in the Debtor’s transactions to be delayed, failed, terminated, cancelled, funds frozen or incurred additional costs, the Contractor shall be responsible for loss of damages. If the Bank suffers such damages as a result, the Contractor agrees to be responsible for filing and compensation. | |
| 6 |
This Agreement is part of the Collateral Guarantee signed with the Bank.
| Sincerely, | |
| Taishin International Commercial Bank | |
| Contracting Party: [stamp of Chiang Jingbin] | (Original Agreement Seal) |
| Legal Representative: | |
| Number: | |
| Contracting Party: [YMA Corporation seal] [stamp of Chiang Jingbin] | (Original Agreement Seal) |
| Legal Representative: | |
| Number: | |
| Contracting Party: | (Original Agreement Seal) |
| Legal Representative: | |
| Number: | |
| Contracting Party: | (Original Agreement Seal) |
| Legal Representative: | |
| Number: | |
| Contracting Party: | (Original Agreement Seal) |
| Legal Representative: | |
| Number: | |
| Republic Era Calendar: Year 110, March 29th |
| 7 |
Exhibit 10.11








Exhibit 10.12
King’s Town Bank
| Type of Contract | Deed of Guarantee | |
| Guarantor (Contractor) | Chiang Jing Bin (D120602620) | |
| Name of Credit Grantor (Principal Debtor) | YMA Corporation | |
| Guarantee Sum (Line of credit of principal debtor) | NTD Ten million | |
| Type of loan by the principal debtor | Short-term loan | |
| Loan account (and subsidiary accounts) of the principal debtor | ||
| First day of loan by the principal debtor |
| Director | Manager | |||
| Internal Decision Column | ||||
1. Only the original contract left by KTB is in need of a cover. The cover is not a part of the contract, and does not need a seal on the perforation (but it is also acceptable to have a seal on the perforation). If the cover is left out or misused as the old one, just stick on the new cover once again (To avoid disrupting the continuity of the seal on the perforation, do not tear off the old cover if misused).
2. “First day of loan” is not equivalent to the date of contract. Fill in at own discretion following the requirements of the operation director or loan director.
3. To avoid controversy, do not alter or write the guarantee sum in simplified characters.
4. To avoid controversy, pay attention and guide the guarantor to sign in the correct section. The identity in the signature section cannot be altered or corrected. If there is a lack of space, please add more independently.
5. If there are two (or more) credit contracts, two (or more) surety bonds and two (or more) promissory notes should be signed. Guarantee sum= quota of each credit contract= promissory note sum= filing quota. It is not appropriate to simplify it to a multi-case co-signing of a credit contract and (or) a promissory note.
6. The “given period” in Article 1, provision 3, of this Contract must be filled in. The first day of the “given period” is the signing date of this contract; The end date shall be the “transfer period” and “the credit period for the approval of each transfer” calculated from the first day of the approval of the credit case, and additionally the equivalent date of “two years” or its previous day.
Contract of Guarantee
This Contract of Guarantee has been delivered to the guarantor for review on 5 February, Year 109 of the Republic of China <hand write the date of return >; the review period is at least five calendar days.
Note 1: Date of signature – Date of return ≥5 calendar days
Note 2: Regarding the signature of the “review period”, if it is an enterprise, the representative can sign their own name, so as not to write the name of the enterprise.
<All guarantors sign here>
|
Date of contract: 5 February, Year 109 of the Republic of China.
The guarantor agrees to ensure to creditor King’s Town Commercial Bank Co. Ltd. (Uniform code 68921101, including its main branch, domestic and foreign branches, referred as KTB), that, within the maximum guarantee amount of the principal amount agreed upon in this contract, the guarantor shall perform its responsibilities on behalf of the principal debtor of Article 1, paragraph 4, in the event of non-performance of the obligations of the principal debtor, and will pay any debt owed to KTB by the principal debtor and its interest, delayed interest, penal sum, fees, damage compensations, and other payables. The contract between the guarantor and KTB is as follows:
Article 1 (Guarantee of maximum principal amount)
(1) The maximum guarantee sum is this Contract of Guarantee (guarantee sum is as agreed in (2) The guarantor agrees to guarantee and bear responsibility for all debts incurred in KTB for the principal debtor in 4 within the “given time”.
(2) Guarantee sum of the “Maximum principal amount” mentioned above is:
[TWD ten million dollars or other currencies of equal value]
(3) “Given time” mentioned above is:
[Starting from the date of signature of this Contract of Guarantee, to 11 February, Year 112 of the Republic]
(4) The “principal debtor” in 1 is:
Name: [YMA Corporation]
Uniform code: [54902977]
| 2 |
Article 2 (Scope of secured debt)
The scope of “debt” secured by this guarantee refers to the principal debtor’s loans, bills, guarantees, overdrafts, discounts, advances, acceptances, appointment guarantees, buy-out notes, letters of credit, domestic and foreign import and export foreign exchange business (includes but not limited to inward collection, outward documentary bill, foreign currency export loans), debts incurred by finance contracts, various financial transactions (including financial derivatives transaction deeds, credit card deeds, and special store deeds and all other debts based on the underlying legal relationship of KTB for business transactions, including interest, deferred interest, penal sums, damage compensations and other related costs.
Article 3 (Joint Guarantee)
The guarantor agrees to be jointly liable for the principal debtor’s debts to KTB in accordance with the terms of this deed and waives the right of first action defence under article 745 of the Civil Code.
Article 4 (Independence of Deed)
The guarantor’s signing of this contract of guarantee is an independent legal act and is not affected by the guarantor’s previous or future signing of other identical or similar contracts of guarantee or continuing contracts of guarantee with KTB.
Article 5 (Liquidation Liability)
The guarantor agrees:
1. KTB shall not claim compensation from the guaranty in first place, and shall request for compensation from the guarantor. When KTB requests settlement, the guarantor shall settle the debt in accordance with the location and account designated by KMB.
2. When the guarantor, after paying off the debts in place of the principal debtor, requests KTB to transfer the guaranty in accordance with the law, the guarantor shall not object if the guaranty is with flaws.
Article 6 (Representations and warranties)
1. The guarantor has the right to conduct its affairs in accordance with the law, hold property, sign and deliver this deed of guarantee and fulfill the obligations under this deed of guarantee.
| 3 |
2. The guarantor signs, delivers and performs this contract of guarantee without violating or contravening any ordinance, adjudication or executive order, and does not violate or resist any contract involving the guarantor as a contracting party or the guarantor’s assets.
3. If the guarantor is a legal person, then it is necessary for the guarantor to issue the deed of guarantee in accordance with its articles of association and the measures of the company guarantee methods and regulations. The resolution required to sign and deliver this deed of guarantee and the authorization procedures within the company should be completed.
Article 7 (Other Documents)
Where necessary for the purpose of fulfilling the deed of guarantee, the guarantor shall, at any time, sign other documents, instruments (including receipts) and other conditions in accordance with KTB’s reasonable requirements.
Article 8 (Waive of Notification Obligations)
Except for issues relating to KTB’s request for settlement mentioned in Article 5 (1), the guarantor agrees to waive KTB notification obligations for protests, interpellation, and other obligations to notify.
Article 9 The guarantor agrees:
1. KTB may allow the principal debtor to defer liquidation or perform other obligations.
2. KTB may update any debt and change or amendment of the conditions relating to the debt obligations.
3. KTB may waive, alter or replace any collateral or guaranty provided by any person in the interests of the debt.
4. to waive the requirement that the assignee of KTB or KTB be recovered in advance by the endorser against the principal debtor, his property or other securities
5. To the extent permitted by law, waive all other powers and interests conferred to the guarantor under the Civil Law of the Republic of China.
6. The guarantor’s liability of liquidation under this deed of guarantee is absolute and unconditional, unaffected by any defense that the principal debtor may claim (including but not limited to bankruptcy of the principal debtor, settlement with creditors or reformation).
Article 10 (Limitations on subrogation claims)
Until all debts have been fully liquidated, the guarantor shall not disrupt or prevent the principal debtor from performing its obligations to KTB. Before the guarantor has paid off part of the debt on behalf of the principal debtor and the full liquidation of all debts, the guarantor should not claim a subrogation claim or any right or security acquired as a result of the contract of guarantee against the principal debtor.
| 4 |
Article 11 (Offset)
(1) If the principal debtor’s obligation to KTB is not fully paid within the agreed deadlines (including deemed deadline), the principal debtor and guarantor shall agree to consign all deposits (Except where the deposit has not been terminated for the appointment of payment) in KTB and all bonds against KTB. Even if the maturity date has not approached, KTB will still receive pre-period settlement and will offset all obligations incurred by the principal debtor and guarantor.
(2) The principal debtor and the guarantor understand and agree to the agreement between the principal debtor or guarantor and KTB on cheque deposit transactions, subject to the termination condition of “if any breach of contract arises from the contract signed between the principal debtor and KTB, all debt will be deemed as due in accordance with the agreement”. Once the release conditions are reached, the aforementioned cheque deposit transaction agreement becomes ineffective and KTB shall immediately return the remaining amount of deposited sum and offset all debts incurred by the credit grantor to KTB.
(3) The meaning of the first two predetermined offsets means that the effect of the offset occurs when the notice of offset with KTB arrives or is deemed to have reached the principal debtor or guarantor. At the same time, the deposit vouchers, ledgers, checks or other documents given to the principal debtor or guarantor by KTB, within the scope of offset will lose their effectiveness.
Article 12 (Order of Compensation)
If the principal debtor is burdened with several debts to KTB, and the payment made by the liquidator or the amount paid to KTB by automatic transfer as agreed is insufficient, the principal debtor’s expenses, default payments, interest, and principal sum, shall be offset in sequence.
Article 13 (Procedure Cost and Execution Cost)
The costs (including but not limited to attorney fees) incurred by KTB in exercising, preserving and enforcing the rights (including but not limited to participation in bankruptcy, reorganization or similar proceedings) and interests under this deed of guarantee shall be borne by the guarantor and shall be paid immediately upon KTB’s request.
Article 14 (Assignment)
This deed of guarantee is binding on the guarantor and its successor and assignee, and has an effect on KTB, KTB’s successor and assignee. KTB may notify the guarantor (no need for consent) of the transfer of all or part of its rights under this deed of guarantee to the assignee of any such claim for debt. The guarantor may not transfer its rights and obligations under this deed of guarantee to another party without KTB’s prior written consent.
| 5 |
Article 15 (Authorization)
If the guarantor is a company, and its authorized signatory changes, it will not be valid to KTB except with a written notice.
Article 16 (Non-waiver)
If KTB neglects to exercise the terms of this deed of guarantee, the guarantor shall not deem KTB to waive the performance of the terms. KTB’s waiver of the terms agreed upon in this deed of guarantee shall only take effect in writing and shall be limited to the waiver of its expressed parts, and the waiver of one provision shall not affect the validity of the other terms.
Article 17 (Responsibility of Multiple Guarantors)
If this deed of guarantee is jointly signed by several persons, all signatories shall be jointly and severally liable in accordance with the provisions of article 272, paragraph 1, of the Civil Law of the Republic of China.
Article 18 (Provision of supervision, audit, consultation, information and credit inquiry)
1. The guarantor is willing to accept KTB’s supervision of the purpose of credit, audit of business finance, inspection of collateral, supervision and access to relevant account books, statements (including consolidated financial statements of related enterprises), and documents at any time. When KTB deems it necessary, the guarantor may be required to complete the credit information on schedule, or to provide the accounting financial statements from the KTB accredited accountant and to request the accountant to provide working papers. However, KTB is not obligated to provide supervision, audit, consultation, information and credit inquiry. When KTB believes that the guarantor’s financial structure should be improved and therefore requires further changes, the guarantor should follow suit.
2. The guarantor agrees that KTB shall provide the capital information, credit information, and other personal information (including name, title, date of birth, ID/business registration number, passport number, phone number, website and address etc.) related to guarantor for specific purposes such as understanding the guarantor’s credit information, credit judgment (including records of overdue bills, urgent collection and bad debt) and other information relevant to the contract of guarantee as determined by the KTB business registration project to KTB, interbank financial institutions, consortium financial joint credit investigation center, small and medium-sized enterprise credit guarantee fund, agricultural credit guarantee fund, consortium information co., Ltd., Taiwan clearing house and other designated economic and financial departments to participate in KTB creditor’s rights entrusted to deal with the matter on behalf of KTB or organizations that need a contract for business needs, in the scope of a specific purpose, such as business registration project or charter, to gather, process by computer, international transmission and use of personal data, and formerly revealed agencies to provide personal information to KTB.
| 6 |
Article 19 (Establishment and Authorization of Promissory Note)
In respect of the promissory notes issued or renewed and delivered in conjunction with or separately to KTB by the principal debtor and guarantor and the guaranty of the fulfillment and settlement of all KTB obligations shall be borne by the principal debtor. Authorization of KTB may be given to the principal debtor if it fails to perform the contract or if there is sufficient proof to believe it indeed is unable to perform the contract, it shall fill in the maturity date invoice, interest rates and other matters as defined in the bill regulations of the Republic of China, and the guarantor shall have no objection with consolidated or separate claims made for repayment by the principal debtor.
Article 20 (Quasi-law)
If various debt relations with KTB are generated, the establishment of elements, manner and effect of its legal act shall be governed by the laws of the Republic of China regardless of the guarantor’s nationality.
Article 21 (Jurisdiction)
Each debt of the guarantor to KTB is consoled to the Tainan District Court of Taiwan or __________ District Court as the primary jurisdictional court. However, if the law requires special provisions from exclusive jurisdiction, such provisions will be followed.
Article 22 (Notice)
Any letter, request or notice sent by KTB to the guarantor, sent by telex, telegram, written document or letter by hand to the address recorded by the guarantor in the deed of guarantee or to the address known to KTB during the usual postal period shall be deemed as having been served lawfully. Any notice from the guarantor to KTB shall be mailed in writing to the address of the KTB branch, where the guarantor has business dealings with, and shall be effective only at the time when KTB receives the same.
| 7 |
Article 23 (Revision)
Any modification or alteration this contract of guarantee shall not be made without the written consent of the contractor (means creditor KTB and guarantor).
Article 24 (Delivery of Contract)
1. The original contract of guarantee shall be accepted by the guarantor and KTB each given one copy. However, if the guarantor gives consent orally or in written form, a copy of the original contract may be jointly received or be provided with a photocopy. The copy should indicate on its cover page that it is “exactly in accordance with the original” and include a business unit seal.
2. If the guarantor does not collect the original or copy of this contract of guarantee from KTB within 5 days of signing the contract, KTB may send the original or copy by mail to its mailing address. If there is no correspondence address, mail to the guarantor’s household registration address on the ID card in record of KTB.
3. KTB may provide the contract copy to relevant persons to the credit case, its successors and other stakeholders.
Contractor (Creditor KTB and guarantor)
Creditor: King’s Town Commercial Bank Co. Ltd |
Creditor Seal | |
| Uniform Code: 68921101 | ||
| Address: 506 West Gate Road, Central and West District, Tainan City | ||
| Representative: Dai Chengzhi | ||
| Agent: Tainan Credit Regional Center | ||
| Associate Su Fanzhen | ||
| Guarantor: Chiang Jing Bin | Uniform Code: D120602620 | Guarantee verifier: Huang Zese | ||
| (signature and seal) | ||||
| Phone: 04-23229900 | Verification Date: 109.2.11 | |||
| Request for photocopy | ||||
| Address: 1, 9 Lane, 114 | Verification Location: | |||
| (representative: ) | Alley, Weiguo Street, East | borrower’s office | ||
| District, Tainan | ||||
| I request ☐ jointly take one copy of deed ☒ photocopy ☐ original |
| 8 |
| Guarantor: | Uniform Code: | Guarantee verifier: | ||
| (signature and seal) | Phone: | Verification Date: | ||
| Request for photocopy | Address: | Verification Location: | ||
| (representative: ) | ||||
| I request ☐ jointly take one copy of deed ☐ photocopy ☐ original |
| Guarantor: | Uniform Code: | Guarantee verifier: | ||
| (signature and seal) | Phone: | Verification Date: | ||
| Request for photocopy | Address: | Verification Location: | ||
| (representative: ) | ||||
| I request ☐ jointly take one copy of deed ☐ photocopy ☐ original |
| Guarantor: | Uniform Code: | Guarantee verifier: | ||
| (signature and seal) | Phone: | Verification Date: | ||
| Request for photocopy | Address: | Verification Location: | ||
| (representative: ) | ||||
| I request ☐ jointly take one copy of deed ☐ photocopy ☐ original |
| Guarantor: | Uniform Code: | Guarantee verifier: | ||
| (signature and seal) | Phone: | Verification Date: | ||
| Request for photocopy | Address: | Verification Location: | ||
| (representative: ) | ||||
| I request ☐ jointly take one copy of deed ☐ photocopy ☐ original |
| Guarantor: | Uniform Code: | Guarantee verifier: | ||
| (signature and seal) | Phone: | Verification Date: | ||
| Request for photocopy | Address: | Verification Location: | ||
| (representative: ) | ||||
| I request ☐ jointly take one copy of deed ☐ photocopy ☐ original |
| 9 |
Exhibit 21.1
List of Subsidiaries of the Registrant
| Subsidiary | Place of Incorporation | |
| Goal Beyond Limited | Samoa | |
| Star Leader Trading Limited | Hong Kong | |
| Bohong Technology Jiangsu Co., Ltd. | PRC | |
| YMA Corporation | Taiwan | |
| Time Yield Limited | Samoa | |
| YMA Composite Materials (DG) Co., Ltd. | PRC | |
| Forwell Sports Equipment Co., Ltd. | PRC |