FALSE000089707700008970772025-08-142025-08-14

UNITED STATES
SECURITIES AND EXCHANGE COMMISSION
Washington, D.C. 20549
 
FORM 8-K
 
 
CURRENT REPORT
Pursuant to Section 13 or 15(d) of the Securities Exchange Act of 1934
 
 
Date of Report (Date of earliest event reported): August 14, 2025
 
Alamo Group Inc.
(Exact name of registrant as specified in its charter)
 
State of Delaware
0-21220
74-1621248
(State or other jurisdiction of incorporation)(Commission File No.)(IRS Employer Identification No.)
  
1627 E. Walnut, Seguin, Texas
78155
(Address of Registrant’s principal executive offices)(Zip Code)
(830) 379-1480
Registrant's telephone number, including area code:
Securities registered pursuant to Section 12(b) of the Act:
Title of each classTrading symbol(s)Name of each exchange on which registered
Common Stock, par value
$.10 per share
ALGNew York Stock Exchange
 
Check the appropriate box below if the Form 8-K filing is intended to simultaneously satisfy the filing obligation of the registrant under any of the following provisions:
 
 Written communications pursuant to Rule 425 under the Securities Act (17 CFR 230.425) 
 Soliciting material pursuant to Rule 14a-12 under the Exchange Act (17 CFR 240.14a-12) 
 Pre-commencement communications pursuant to Rule 14d-2(b) under the Exchange Act (17 CFR 240.14d-2(b)) 
Pre-commencement communications pursuant to Rule 13e-4(c) under the Exchange Act (17 CFR 240.13e-4(c))

Indicate by check mark whether the registrant is an emerging growth company as defined in Rule 405 of
the Securities Act of 1933 (§230.405 of this chapter) or Rule 12b-2 of the Securities Exchange Act of
1934 (§240.12b-2 of this chapter).Emerging growth company  

If an emerging growth company, indicate by check mark if the registrant has elected not to use the
extended transition period for complying with any new or revised financial accounting standards provided
pursuant to Section 13(a) of the Exchange Act.  



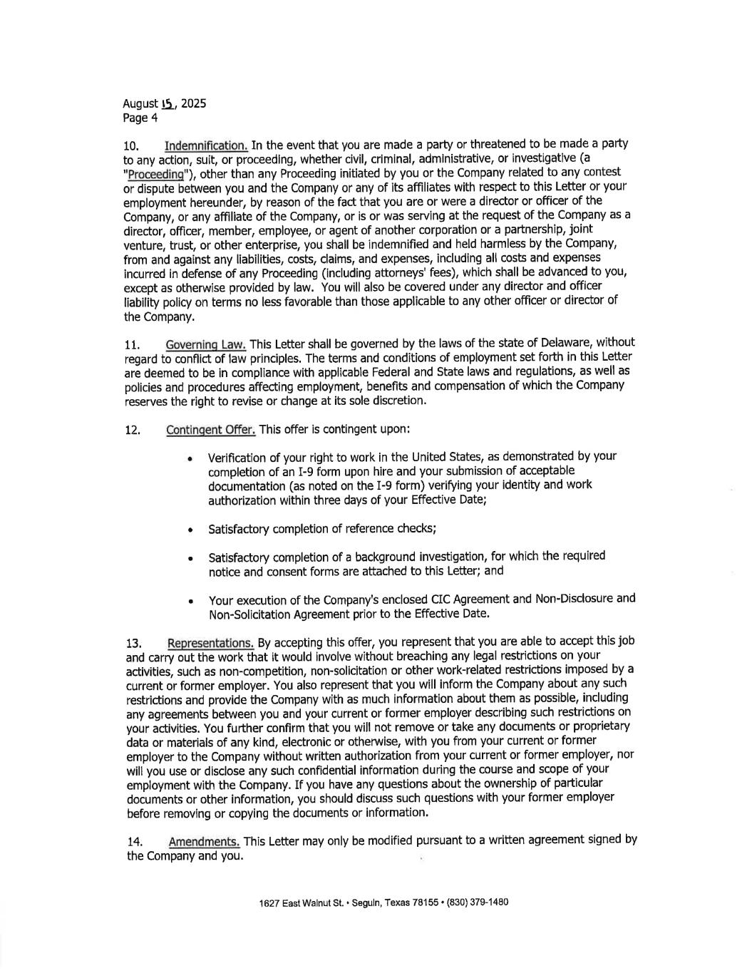
Item 5.02 Departure of Directors or Certain Officers; Election of Directors; Appointment of Certain Officers; Compensatory Arrangements of Certain Officers
On August 14, 2025, the Board of Directors of Alamo Group Inc. (the “Company”) approved the appointment of Mr. Robert P. Hureau to the position of President and Chief Executive Officer, effective September 2, 2025. Mr. Hureau, age 58, joins the Company from American Trailer World (“ATW”), a privately-held industrial manufacturer and retailer of trailers, truck equipment and aftermarket parts, where he served as Chief Executive Officer since April 2019 after having served as its Executive Vice President and Chief Financial Officer from January 2018 to April 2019. Prior to his role with ATW, Mr. Hureau held several executive positions in both private and public companies, including Executive Vice President and Chief Financial Officer of Pharmaceutical Product Development, a global clinical research organization, and Senior Vice President and Chief Financial Officer of Sensata Technologies, a global industrial manufacturer of highly engineered sensors and controls. Mr. Hureau holds a Bachelor of Science degree from Babson College and a Master of Business Administration from the F.W. Olin Graduate School of Business at Babson College.

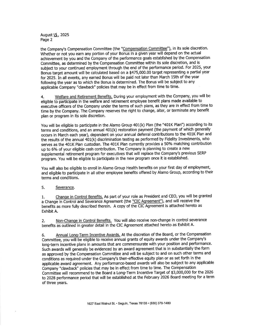
In connection with his appointment, Mr. Hureau and the Company entered into an offer letter memorializing the terms of his compensation as Chief Executive Officer. Effective September 2, 2025, Mr. Hureau’s annual base salary will be $975,000 and he will receive a sign-on bonus of $200,000, subject to repayment in the event of certain separations prior to the one-year anniversary of his employment. Mr. Hureau will be eligible to participate in the Company’s Executive Incentive Plan (“EIP”), with a target bonus level of 110% of base salary, pro-rated for 2025. Mr. Hureau will receive a long-term equity incentive award with a target grant value of $2,500,000, half of which will be in the form of restricted stock vesting ratably over a period of three years and the other half of which will be in the form of performance share units (“PSU”) that vest (if at all) on the basis of meeting certain long-term performance goals over the January 1, 2025 through December 31, 2027 performance cycle. Under the terms of the offer letter, the Compensation Committee will recommend to the Board a long-term equity incentive award for 2026 with a target grant value equal to $3,000,000. The offer letter also provides for the reimbursement of reasonable costs associated with Mr. Hureau’s relocation, as well as up to $25,000 in reimbursements for legal expenses incurred in connection with Mr. Hureau negotiating his appointment as President and Chief Executive Officer of the Company.
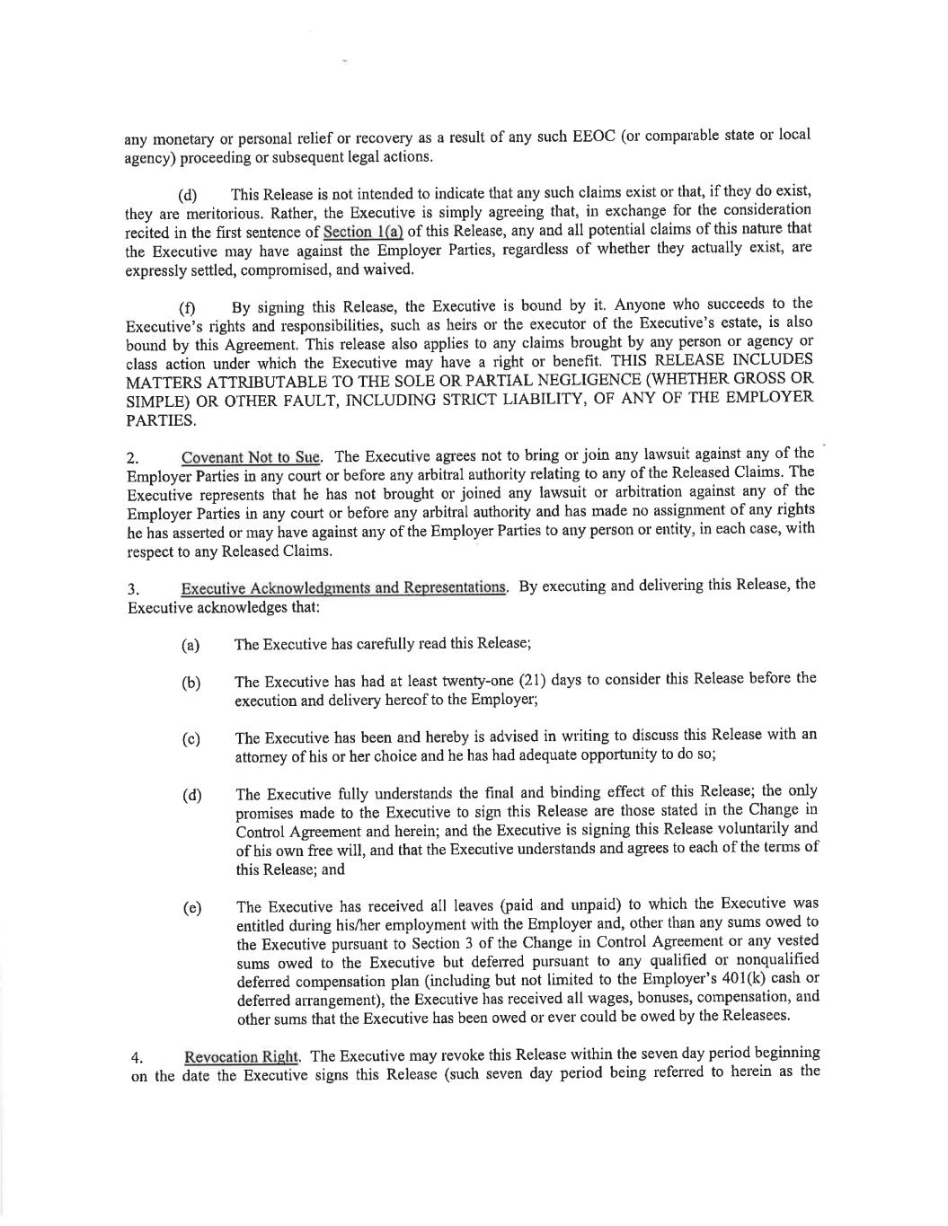
In connection with his appointment, Mr. Hureau will enter into a Change in Control and Severance Agreement which provides for the following severance benefits in the event Mr. Hureau is terminated by the Company without cause or due to his resignation for good reason during the period that begins six months prior to and ends 24 months following a change in control of the Company (the “CIC Period”): (i) a cash severance payment equal to three times the sum of Mr. Hureau’s base salary and target bonus opportunity; (ii) accelerated vesting of Mr. Hureau’s outstanding time-based equity awards; and (iii) up to 18 months of healthcare reimbursements. In the event Mr. Hureau’s employment is terminated by the Company without cause or due to his resignation for good reason outside of the CIC Period, then Mr. Hureau will receive a cash severance payment equal to the sum of Mr. Hureau’s base salary and target bonus opportunity and up to 12 months of healthcare reimbursements. The benefits payable under the



Change in Control and Severance Agreement are subject to Mr. Hureau’s execution of a release of claims in favor of the Company.
The foregoing summary description of the offer letter and Change in Control and Severance Agreement does not purport to be complete and is subject to, and qualified in its entirety by, the full text of the offer letter and Change in Control and Severance Agreement, which are filed as Exhibits 10.1 and 10.2 hereto and incorporated by reference herein.

On August 14, 2025, the Board also approved an increase in the size of the Board from eight members to nine members to appoint Mr. Hureau as a new member of the Company’s Board, effective upon Mr. Hureau’s appointment as President and Chief Executive Officer of the Company on September 2, 2025, with a term expiring at the Company’s next annual meeting of stockholders.

There are no arrangements or understandings between Mr. Hureau and any other persons pursuant to which Mr. Hureau was appointed as Chief Executive Officer of the Company or as a director of the Company. There are also no family relationships between Mr. Hureau and any director or executive officer of the Company, and he has no direct or indirect interest in any transaction or proposed transaction required to be disclosed pursuant to Item 404(a) of Regulation S-K.

In connection with the previously announced retirement of Mr. Jeffery A. Leonard as the President and Chief Executive Officer of the Company, and in recognition of Mr. Leonard's significant positive contributions to the Company over his many years of service, on August 14, 2025, the Board approved the acceleration of 13,806 shares of Alamo Group restricted stock previously issued by the Company to Mr. Leonard under various restricted stock award agreements. The acceleration of vesting of the stock will occur on the date of Mr. Leonard's retirement as President and Chief Executive Officer, which is scheduled to be September 1, 2025. The Board also approved, upon the recommendation of the Compensation Committee, Mr. Leonard’s continued participation in the Company’s EIP on a prorated basis for 2025, as well as Mr. Leonard’s continued participation in the ongoing eligibility to vest, on a pro-rata basis, in the PSU awards previously granted to Mr. Leonard for the 2023-2025 and 2024-2026 performance cycles, subject to the attainment of the underlying performance goals with respect to each performance cycle, resulting in Mr. Leonard’s eligibility to vest in approximately 89% of the 6,117 PSUs granted for the 2023-2025 performance cycle and approximately 56% of the 6,387 PSUs granted for the 2024-2026 performance cycle. Mr. Leonard will remain with the Company in a non-executive capacity as President Emeritus until September 19, 2025, and his compensation will remain at its current levels until his employment with the Company comes to an end on such date.

The Company’s press release announcing Mr. Hureau’s appointment is attached as Exhibit 99.1 to this Current Report on Form 8-K.





Item 9.01    Financial Statements and Exhibits
Exhibit 10.1 – Offer Letter
Exhibit 10.2 – Change in Control and Severance Agreement
Exhibit 99.1 – Press Release dated August 18, 2025
Exhibit 104 – Cover Page Interactive Data File - Inline XBRL for the cover page of this Current Report on Form 8-K




SIGNATURES
 
 
Pursuant to the requirements of the Securities Exchange Act of 1934, the registrant has duly caused this report to be signed on its behalf by the undersigned hereunto duly authorized.
 
August 18, 2025
By:  /s/ Edward T. Rizzuti         
  Edward T. Rizzuti,
 EVP Corporate Development, Investor Relations & Secretary



 


 


 


 


 


 


 


 


 


 


 


 


 


 


 


 


 


 


 


image.jpg
For:Alamo Group Inc.
Contact:Edward Rizzuti
EVP Corporate Development & Investor Relations
830-372-9600
Financial Relations Board
Joe Calabrese
212-827-3772


ALAMO GROUP INC. ANNOUNCES CEO SUCCESSION PLAN

SEGUIN, Texas, August 18, 2025 -- Alamo Group Inc. (NYSE: ALG) announced today that Robert P. Hureau will succeed Jeffery A. Leonard as President and Chief Executive Officer of the Company, effective September 2, 2025. Mr. Hureau is an accomplished executive with several decades of leadership experience in the industrial and life science sectors. He has a proven track record in scaling businesses and delivering significant returns.

Most recently, Mr. Hureau served as Chief Executive Officer of American Trailer World (“ATW”), a leading industrial manufacturer and retailer of trailers, truck equipment and aftermarket parts. During his tenure at ATW he merged and integrated two businesses to form ATW, executed on numerous acquisitions, led the highly successful sale of its aftermarket parts distribution business, delivered strong returns to its shareholders and built a culture centered around innovation and quality.
Prior to joining American Trailer World, Mr. Hureau held several executive positions in both private and public companies including EVP and Chief Financial Officer at Pharmaceutical Product Development (“PPD”), a global clinical research organization and SVP and Chief Financial Officer at Sensata Technologies, a global industrial manufacturer of highly engineered sensors and controls.

On behalf of the Board of Directors, Rick Parod, Alamo Group’s Board Chair said “After thorough succession planning and a comprehensive executive search process, we are excited to welcome Robert as Jeff Leonard’s successor. We believe he has a strong background with highly relevant experience for Alamo Group, and are confident that he is the right person to lead the Company in its next phase of its growth and development. Jeff has served the Company very well as President and CEO since he assumed the role in 2021, and we wish him all the best in his retirement.”

Robert Hureau added, “I am very excited to be joining the Alamo Group team. I believe the Company has a great business model and a talented management team that can deliver additional growth and profitability for our stockholders. I look forward to what we can accomplish together.”




About Alamo Group
Alamo Group is a leader in the design, manufacture, distribution, and service of high-quality equipment for vegetation management, infrastructure maintenance and other applications. Our products include truck and tractor mounted mowing and other vegetation maintenance equipment, street sweepers, snow removal equipment, excavators, vacuum trucks, other industrial equipment, agricultural implements, forestry equipment and related after-market parts and services. The Company, founded in 1969, has approximately 3,800 employees and operates 27 plants in North America, Europe, Australia, and Brazil as of June 30, 2025. The corporate offices of Alamo Group Inc. are located in Seguin, Texas.

Forward Looking Statements
This release contains forward-looking statements that are made pursuant to the safe harbor provisions of the Private Securities Litigation Reform Act of 1995. Forward-looking statements involve known and unknown risks and uncertainties, which may cause the Company’s actual results in future periods to differ materially from forecasted results. Among those factors which could cause actual results to differ materially are the following: adverse economic conditions which could lead to a reduction in overall market demand, supply chain disruptions, labor constraints, increasing costs due to inflation, disease outbreaks, geopolitical risks, including effects of the war in the Ukraine and the Middle East, competition, weather, seasonality, currency-related issues, and other risk factors listed from time to time in the Company’s SEC reports. The Company does not undertake any obligation to update the information contained herein, which speaks only as of this date.




v3.25.2
Cover
Aug. 14, 2025
Cover [Abstract]  
Document Type 8-K
Document Period End Date Aug. 14, 2025
Entity Registrant Name Alamo Group Inc.
Entity Incorporation, State or Country Code DE
Entity File Number 0-21220
Entity Tax Identification Number 74-1621248
Entity Address, Address Line One 1627 E. Walnut
Entity Address, City or Town Seguin
Entity Address, State or Province TX
Entity Address, Postal Zip Code 78155
City Area Code 830
Local Phone Number 379-1480
Title of 12(b) Security Common Stock, par value$.10 per share
Trading Symbol ALG
Security Exchange Name NYSE
Written Communications false
Soliciting Material false
Pre-commencement Tender Offer false
Pre-commencement Issuer Tender Offer false
Entity Emerging Growth Company false
Amendment Flag false
Entity Central Index Key 0000897077

{
 "version": "2.2",
 "instance": {
  "alg-20250814.htm": {
   "nsprefix": "alg",
   "nsuri": "http://www.alamo-group.com/20250814",
   "dts": {
    "inline": {
     "local": [
      "alg-20250814.htm"
     ]
    },
    "schema": {
     "local": [
      "alg-20250814.xsd"
     ],
     "remote": [
      "http://www.xbrl.org/2003/xbrl-instance-2003-12-31.xsd",
      "http://www.xbrl.org/2003/xbrl-linkbase-2003-12-31.xsd",
      "http://www.xbrl.org/2003/xl-2003-12-31.xsd",
      "http://www.xbrl.org/2003/xlink-2003-12-31.xsd",
      "http://www.xbrl.org/2005/xbrldt-2005.xsd",
      "http://www.xbrl.org/lrr/role/negated-2009-12-16.xsd",
      "http://www.xbrl.org/lrr/role/net-2009-12-16.xsd",
      "https://www.xbrl.org/dtr/type/2024-01-31/types.xsd",
      "https://xbrl.sec.gov/dei/2025/dei-2025.xsd"
     ]
    },
    "labelLink": {
     "local": [
      "alg-20250814_lab.xml"
     ]
    },
    "presentationLink": {
     "local": [
      "alg-20250814_pre.xml"
     ]
    }
   },
   "keyStandard": 22,
   "keyCustom": 0,
   "axisStandard": 0,
   "axisCustom": 0,
   "memberStandard": 0,
   "memberCustom": 0,
   "hidden": {
    "total": 2,
    "http://xbrl.sec.gov/dei/2025": 2
   },
   "contextCount": 1,
   "entityCount": 1,
   "segmentCount": 0,
   "elementCount": 23,
   "unitCount": 0,
   "baseTaxonomies": {
    "http://xbrl.sec.gov/dei/2025": 22
   },
   "report": {
    "R1": {
     "role": "http://www.alamo-group.com/role/Cover",
     "longName": "0000001 - Document - Cover",
     "shortName": "Cover",
     "isDefault": "true",
     "groupType": "document",
     "subGroupType": "",
     "menuCat": "Cover",
     "order": "1",
     "firstAnchor": {
      "contextRef": "c-1",
      "name": "dei:DocumentType",
      "unitRef": null,
      "xsiNil": "false",
      "lang": "en-US",
      "decimals": null,
      "ancestors": [
       "span",
       "div",
       "body",
       "html"
      ],
      "reportCount": 1,
      "baseRef": "alg-20250814.htm",
      "first": true,
      "unique": true
     },
     "uniqueAnchor": {
      "contextRef": "c-1",
      "name": "dei:DocumentType",
      "unitRef": null,
      "xsiNil": "false",
      "lang": "en-US",
      "decimals": null,
      "ancestors": [
       "span",
       "div",
       "body",
       "html"
      ],
      "reportCount": 1,
      "baseRef": "alg-20250814.htm",
      "first": true,
      "unique": true
     }
    }
   },
   "tag": {
    "dei_AmendmentFlag": {
     "xbrltype": "booleanItemType",
     "nsuri": "http://xbrl.sec.gov/dei/2025",
     "localname": "AmendmentFlag",
     "presentation": [
      "http://www.alamo-group.com/role/Cover"
     ],
     "lang": {
      "en-us": {
       "role": {
        "terseLabel": "Amendment Flag",
        "label": "Amendment Flag",
        "documentation": "Boolean flag that is true when the XBRL content amends previously-filed or accepted submission."
       }
      }
     },
     "auth_ref": []
    },
    "dei_CityAreaCode": {
     "xbrltype": "normalizedStringItemType",
     "nsuri": "http://xbrl.sec.gov/dei/2025",
     "localname": "CityAreaCode",
     "presentation": [
      "http://www.alamo-group.com/role/Cover"
     ],
     "lang": {
      "en-us": {
       "role": {
        "terseLabel": "City Area Code",
        "label": "City Area Code",
        "documentation": "Area code of city"
       }
      }
     },
     "auth_ref": []
    },
    "dei_CoverAbstract": {
     "xbrltype": "stringItemType",
     "nsuri": "http://xbrl.sec.gov/dei/2025",
     "localname": "CoverAbstract",
     "lang": {
      "en-us": {
       "role": {
        "terseLabel": "Cover page.",
        "label": "Cover [Abstract]",
        "documentation": "Cover page."
       }
      }
     },
     "auth_ref": []
    },
    "dei_DocumentPeriodEndDate": {
     "xbrltype": "dateItemType",
     "nsuri": "http://xbrl.sec.gov/dei/2025",
     "localname": "DocumentPeriodEndDate",
     "presentation": [
      "http://www.alamo-group.com/role/Cover"
     ],
     "lang": {
      "en-us": {
       "role": {
        "terseLabel": "Document Period End Date",
        "label": "Document Period End Date",
        "documentation": "For the EDGAR submission types of Form 8-K: the date of the report, the date of the earliest event reported; for the EDGAR submission types of Form N-1A: the filing date; for all other submission types: the end of the reporting or transition period. The format of the date is YYYY-MM-DD."
       }
      }
     },
     "auth_ref": []
    },
    "dei_DocumentType": {
     "xbrltype": "submissionTypeItemType",
     "nsuri": "http://xbrl.sec.gov/dei/2025",
     "localname": "DocumentType",
     "presentation": [
      "http://www.alamo-group.com/role/Cover"
     ],
     "lang": {
      "en-us": {
       "role": {
        "terseLabel": "Document Type",
        "label": "Document Type",
        "documentation": "The type of document being provided (such as 10-K, 10-Q, 485BPOS, etc). The document type is limited to the same value as the supporting SEC submission type, or the word 'Other'."
       }
      }
     },
     "auth_ref": []
    },
    "dei_EntityAddressAddressLine1": {
     "xbrltype": "normalizedStringItemType",
     "nsuri": "http://xbrl.sec.gov/dei/2025",
     "localname": "EntityAddressAddressLine1",
     "presentation": [
      "http://www.alamo-group.com/role/Cover"
     ],
     "lang": {
      "en-us": {
       "role": {
        "terseLabel": "Entity Address, Address Line One",
        "label": "Entity Address, Address Line One",
        "documentation": "Address Line 1 such as Attn, Building Name, Street Name"
       }
      }
     },
     "auth_ref": []
    },
    "dei_EntityAddressCityOrTown": {
     "xbrltype": "normalizedStringItemType",
     "nsuri": "http://xbrl.sec.gov/dei/2025",
     "localname": "EntityAddressCityOrTown",
     "presentation": [
      "http://www.alamo-group.com/role/Cover"
     ],
     "lang": {
      "en-us": {
       "role": {
        "terseLabel": "Entity Address, City or Town",
        "label": "Entity Address, City or Town",
        "documentation": "Name of the City or Town"
       }
      }
     },
     "auth_ref": []
    },
    "dei_EntityAddressPostalZipCode": {
     "xbrltype": "normalizedStringItemType",
     "nsuri": "http://xbrl.sec.gov/dei/2025",
     "localname": "EntityAddressPostalZipCode",
     "presentation": [
      "http://www.alamo-group.com/role/Cover"
     ],
     "lang": {
      "en-us": {
       "role": {
        "terseLabel": "Entity Address, Postal Zip Code",
        "label": "Entity Address, Postal Zip Code",
        "documentation": "Code for the postal or zip code"
       }
      }
     },
     "auth_ref": []
    },
    "dei_EntityAddressStateOrProvince": {
     "xbrltype": "stateOrProvinceItemType",
     "nsuri": "http://xbrl.sec.gov/dei/2025",
     "localname": "EntityAddressStateOrProvince",
     "presentation": [
      "http://www.alamo-group.com/role/Cover"
     ],
     "lang": {
      "en-us": {
       "role": {
        "terseLabel": "Entity Address, State or Province",
        "label": "Entity Address, State or Province",
        "documentation": "Name of the state or province."
       }
      }
     },
     "auth_ref": []
    },
    "dei_EntityCentralIndexKey": {
     "xbrltype": "centralIndexKeyItemType",
     "nsuri": "http://xbrl.sec.gov/dei/2025",
     "localname": "EntityCentralIndexKey",
     "presentation": [
      "http://www.alamo-group.com/role/Cover"
     ],
     "lang": {
      "en-us": {
       "role": {
        "terseLabel": "Entity Central Index Key",
        "label": "Entity Central Index Key",
        "documentation": "A unique 10-digit SEC-issued value to identify entities that have filed disclosures with the SEC. It is commonly abbreviated as CIK."
       }
      }
     },
     "auth_ref": [
      "r1"
     ]
    },
    "dei_EntityEmergingGrowthCompany": {
     "xbrltype": "booleanItemType",
     "nsuri": "http://xbrl.sec.gov/dei/2025",
     "localname": "EntityEmergingGrowthCompany",
     "presentation": [
      "http://www.alamo-group.com/role/Cover"
     ],
     "lang": {
      "en-us": {
       "role": {
        "terseLabel": "Entity Emerging Growth Company",
        "label": "Entity Emerging Growth Company",
        "documentation": "Indicate if registrant meets the emerging growth company criteria."
       }
      }
     },
     "auth_ref": [
      "r1"
     ]
    },
    "dei_EntityFileNumber": {
     "xbrltype": "fileNumberItemType",
     "nsuri": "http://xbrl.sec.gov/dei/2025",
     "localname": "EntityFileNumber",
     "presentation": [
      "http://www.alamo-group.com/role/Cover"
     ],
     "lang": {
      "en-us": {
       "role": {
        "terseLabel": "Entity File Number",
        "label": "Entity File Number",
        "documentation": "Commission file number. The field allows up to 17 characters. The prefix may contain 1-3 digits, the sequence number may contain 1-8 digits, the optional suffix may contain 1-4 characters, and the fields are separated with a hyphen."
       }
      }
     },
     "auth_ref": []
    },
    "dei_EntityIncorporationStateCountryCode": {
     "xbrltype": "edgarStateCountryItemType",
     "nsuri": "http://xbrl.sec.gov/dei/2025",
     "localname": "EntityIncorporationStateCountryCode",
     "presentation": [
      "http://www.alamo-group.com/role/Cover"
     ],
     "lang": {
      "en-us": {
       "role": {
        "terseLabel": "Entity Incorporation, State or Country Code",
        "label": "Entity Incorporation, State or Country Code",
        "documentation": "Two-character EDGAR code representing the state or country of incorporation."
       }
      }
     },
     "auth_ref": []
    },
    "dei_EntityRegistrantName": {
     "xbrltype": "normalizedStringItemType",
     "nsuri": "http://xbrl.sec.gov/dei/2025",
     "localname": "EntityRegistrantName",
     "presentation": [
      "http://www.alamo-group.com/role/Cover"
     ],
     "lang": {
      "en-us": {
       "role": {
        "terseLabel": "Entity Registrant Name",
        "label": "Entity Registrant Name",
        "documentation": "The exact name of the entity filing the report as specified in its charter, which is required by forms filed with the SEC."
       }
      }
     },
     "auth_ref": [
      "r1"
     ]
    },
    "dei_EntityTaxIdentificationNumber": {
     "xbrltype": "employerIdItemType",
     "nsuri": "http://xbrl.sec.gov/dei/2025",
     "localname": "EntityTaxIdentificationNumber",
     "presentation": [
      "http://www.alamo-group.com/role/Cover"
     ],
     "lang": {
      "en-us": {
       "role": {
        "terseLabel": "Entity Tax Identification Number",
        "label": "Entity Tax Identification Number",
        "documentation": "The Tax Identification Number (TIN), also known as an Employer Identification Number (EIN), is a unique 9-digit value assigned by the IRS."
       }
      }
     },
     "auth_ref": [
      "r1"
     ]
    },
    "dei_LocalPhoneNumber": {
     "xbrltype": "normalizedStringItemType",
     "nsuri": "http://xbrl.sec.gov/dei/2025",
     "localname": "LocalPhoneNumber",
     "presentation": [
      "http://www.alamo-group.com/role/Cover"
     ],
     "lang": {
      "en-us": {
       "role": {
        "terseLabel": "Local Phone Number",
        "label": "Local Phone Number",
        "documentation": "Local phone number for entity."
       }
      }
     },
     "auth_ref": []
    },
    "dei_PreCommencementIssuerTenderOffer": {
     "xbrltype": "booleanItemType",
     "nsuri": "http://xbrl.sec.gov/dei/2025",
     "localname": "PreCommencementIssuerTenderOffer",
     "presentation": [
      "http://www.alamo-group.com/role/Cover"
     ],
     "lang": {
      "en-us": {
       "role": {
        "terseLabel": "Pre-commencement Issuer Tender Offer",
        "label": "Pre-commencement Issuer Tender Offer",
        "documentation": "Boolean flag that is true when the Form 8-K filing is intended to satisfy the filing obligation of the registrant as pre-commencement communications pursuant to Rule 13e-4(c) under the Exchange Act."
       }
      }
     },
     "auth_ref": [
      "r3"
     ]
    },
    "dei_PreCommencementTenderOffer": {
     "xbrltype": "booleanItemType",
     "nsuri": "http://xbrl.sec.gov/dei/2025",
     "localname": "PreCommencementTenderOffer",
     "presentation": [
      "http://www.alamo-group.com/role/Cover"
     ],
     "lang": {
      "en-us": {
       "role": {
        "terseLabel": "Pre-commencement Tender Offer",
        "label": "Pre-commencement Tender Offer",
        "documentation": "Boolean flag that is true when the Form 8-K filing is intended to satisfy the filing obligation of the registrant as pre-commencement communications pursuant to Rule 14d-2(b) under the Exchange Act."
       }
      }
     },
     "auth_ref": [
      "r5"
     ]
    },
    "dei_Security12bTitle": {
     "xbrltype": "securityTitleItemType",
     "nsuri": "http://xbrl.sec.gov/dei/2025",
     "localname": "Security12bTitle",
     "presentation": [
      "http://www.alamo-group.com/role/Cover"
     ],
     "lang": {
      "en-us": {
       "role": {
        "terseLabel": "Title of 12(b) Security",
        "label": "Title of 12(b) Security",
        "documentation": "Title of a 12(b) registered security."
       }
      }
     },
     "auth_ref": [
      "r0"
     ]
    },
    "dei_SecurityExchangeName": {
     "xbrltype": "edgarExchangeCodeItemType",
     "nsuri": "http://xbrl.sec.gov/dei/2025",
     "localname": "SecurityExchangeName",
     "presentation": [
      "http://www.alamo-group.com/role/Cover"
     ],
     "lang": {
      "en-us": {
       "role": {
        "terseLabel": "Security Exchange Name",
        "label": "Security Exchange Name",
        "documentation": "Name of the Exchange on which a security is registered."
       }
      }
     },
     "auth_ref": [
      "r2"
     ]
    },
    "dei_SolicitingMaterial": {
     "xbrltype": "booleanItemType",
     "nsuri": "http://xbrl.sec.gov/dei/2025",
     "localname": "SolicitingMaterial",
     "presentation": [
      "http://www.alamo-group.com/role/Cover"
     ],
     "lang": {
      "en-us": {
       "role": {
        "terseLabel": "Soliciting Material",
        "label": "Soliciting Material",
        "documentation": "Boolean flag that is true when the Form 8-K filing is intended to satisfy the filing obligation of the registrant as soliciting material pursuant to Rule 14a-12 under the Exchange Act."
       }
      }
     },
     "auth_ref": [
      "r4"
     ]
    },
    "dei_TradingSymbol": {
     "xbrltype": "tradingSymbolItemType",
     "nsuri": "http://xbrl.sec.gov/dei/2025",
     "localname": "TradingSymbol",
     "presentation": [
      "http://www.alamo-group.com/role/Cover"
     ],
     "lang": {
      "en-us": {
       "role": {
        "terseLabel": "Trading Symbol",
        "label": "Trading Symbol",
        "documentation": "Trading symbol of an instrument as listed on an exchange."
       }
      }
     },
     "auth_ref": []
    },
    "dei_WrittenCommunications": {
     "xbrltype": "booleanItemType",
     "nsuri": "http://xbrl.sec.gov/dei/2025",
     "localname": "WrittenCommunications",
     "presentation": [
      "http://www.alamo-group.com/role/Cover"
     ],
     "lang": {
      "en-us": {
       "role": {
        "terseLabel": "Written Communications",
        "label": "Written Communications",
        "documentation": "Boolean flag that is true when the Form 8-K filing is intended to satisfy the filing obligation of the registrant as written communications pursuant to Rule 425 under the Securities Act."
       }
      }
     },
     "auth_ref": [
      "r6"
     ]
    }
   }
  }
 },
 "std_ref": {
  "r0": {
   "role": "http://www.xbrl.org/2003/role/presentationRef",
   "Publisher": "SEC",
   "Name": "Exchange Act",
   "Number": "240",
   "Section": "12",
   "Subsection": "b"
  },
  "r1": {
   "role": "http://www.xbrl.org/2003/role/presentationRef",
   "Publisher": "SEC",
   "Name": "Exchange Act",
   "Number": "240",
   "Section": "12",
   "Subsection": "b-2"
  },
  "r2": {
   "role": "http://www.xbrl.org/2003/role/presentationRef",
   "Publisher": "SEC",
   "Name": "Exchange Act",
   "Number": "240",
   "Section": "12",
   "Subsection": "d1-1"
  },
  "r3": {
   "role": "http://www.xbrl.org/2003/role/presentationRef",
   "Publisher": "SEC",
   "Name": "Exchange Act",
   "Number": "240",
   "Section": "13e",
   "Subsection": "4c"
  },
  "r4": {
   "role": "http://www.xbrl.org/2003/role/presentationRef",
   "Publisher": "SEC",
   "Name": "Exchange Act",
   "Number": "240",
   "Section": "14a",
   "Subsection": "12"
  },
  "r5": {
   "role": "http://www.xbrl.org/2003/role/presentationRef",
   "Publisher": "SEC",
   "Name": "Exchange Act",
   "Number": "240",
   "Section": "14d",
   "Subsection": "2b"
  },
  "r6": {
   "role": "http://www.xbrl.org/2003/role/presentationRef",
   "Publisher": "SEC",
   "Name": "Securities Act",
   "Number": "230",
   "Section": "425"
  }
 }
}