As filed with the Securities and Exchange Commission on June 14, 2021
Registration No. 333-257022
UNITED STATES
SECURITIES AND EXCHANGE COMMISSION
Washington, D.C. 20549
|
AMENDMENT NO. 3 TO FORM S-1 REGISTRATION STATEMENT UNDER THE SECURITIES ACT OF 1933
| ||
|
Valaris Limited* (Exact name of registrant as specified in its charter) | ||
| ||
| Bermuda (State or other jurisdiction of incorporation or organization) |
1381 (Primary Standard Industrial Classification Code Number)
Clarendon House, 2 Church Street Hamilton, Bermuda, HM 11 44 (0) 20 7659 4660 |
98-1589854 (I.R.S. Employer Identification Number) |
(Address, including zip code, and telephone number, including area code, of registrant’s principal executive offices)
| ||
|
Jonathan
H. Baksht Hamilton, Bermuda, HM 11 (713) 789-1400 (Name, address, including zip code, and telephone number, including area code, of agent for service)
| ||
|
Copies to: Julian J. Seiguer Michael W. Rigdon Kirkland & Ellis LLP 609 Main Street, Suite 4700 Houston, Texas 77002 (713) 836-3600
|
||
Approximate date of commencement of proposed sale to the public: From time to time after this registration statement becomes effective.
If any of the securities being registered on this Form are to be offered on a delayed or continuous basis pursuant to Rule 415 under the Securities Act of 1933 check the following box: x
If this Form is filed to register additional securities for an offering pursuant to Rule 462(b) under the Securities Act, please check the following box and list the Securities Act registration statement number of the earlier effective registration statement for the same offering. ¨
If this Form is a post-effective amendment filed pursuant to Rule 462(c) under the Securities Act, check the following box and list the Securities Act registration statement number of the earlier effective registration statement for the same offering. ¨
If this Form is a post-effective amendment filed pursuant to Rule 462(d) under the Securities Act, check the following box and list the Securities Act registration statement number of the earlier effective registration statement for the same offering. ¨
Indicate by check mark whether the registrant is a large accelerated filer, an accelerated filer, a non-accelerated filer, smaller reporting company, or an emerging growth company. See the definitions of “large accelerated filer,” “accelerated filer,” “smaller reporting company,” and “emerging growth company” in Rule 12b-2 of the Exchange Act.
| Large accelerated filer | ¨ | Accelerated filer x | |
| Non-accelerated filer | ¨ | Smaller reporting company x | |
| Emerging growth company ¨ |
If an emerging growth company, indicate by check mark if the registrant has elected not to use the extended transition period for complying with any new or revised financial accounting standards provided pursuant to Section 7(a)(2)(B) of the Securities Act. ¨
CALCULATION OF REGISTRATION FEE
| Title of Each Class of Securities to be Registered | Amount to be Registered | Proposed Maximum Aggregate Offering Price per Share | Proposed Maximum Aggregate Offering Price | Amount of Registration Fee | ||||||||||||
| Common Shares, par value $0.01 per share (1) | 16,991,293 | (2) | $ | 27.08 | (3) | $ | 460,124,214.44 | (3) | $ | 50,199.55 | ||||||
| Senior Secured First Lien Notes due 2028 | $ | 560,758,443.00 | (4) | 100 | % | $ | 560,758,443.00 | $ | 61,178.75 | |||||||
| Guarantees of Senior Secured First Lien Notes due 2028 | — | — | — | — | (5) | |||||||||||
| Total | $ | 111,378.30 | (6) | |||||||||||||
(1) Pursuant to Rule 416 under the Securities Act of 1933, as amended, the common shares being registered hereunder include an indeterminate number of common shares that may be issued in connection with the anti-dilution provisions or shares splits, share dividends, recapitalizations or similar events. (6) Previously paid. | ||||||||||||||||
| TABLE OF ADDITIONAL REGISTRANTS | ||||
|
Exact Name of Additional Registrants |
State or Other Jurisdiction of Incorporation or Organization |
I.R.S. Employer
Identification | ||
| Alpha Achiever Company | Cayman Islands | 98-0697800 | ||
| Alpha Admiral Company | Cayman Islands | 98-1078685 | ||
| Alpha Archer Company | Cayman Islands | 98-1116938 | ||
| Alpha Aurora Company | Cayman Islands | 98-0609312 | ||
| Alpha Offshore Drilling Services Company | Cayman Islands | 98-0206235 | ||
| Alpha Orca Company | Cayman Islands | 98-0697605 | ||
| Atlantic Maritime Services LLC | Delaware (USA) | 74-1660668 | ||
| Atwood Australian Waters Drilling Pty Limited | Australia | 98-0667953 | ||
| Atwood Deep Seas, Ltd. | Texas (USA) | 76-0492879 | ||
| Atwood Oceanics Australia Pty Limited | Australia | 98-0406992 | ||
| Atwood Oceanics LLC | Texas (USA) | 74-1611874 | ||
| Atwood Oceanics Management, LLC | Delaware (USA) | 42-1551864 | ||
| Atwood Oceanics Pacific Limited | Cayman Islands | 98-0662881 | ||
| Atwood Offshore Drilling Limited | Hong Kong | 98-0505288 | ||
| Atwood Offshore Worldwide Limited | Cayman Islands | 98-0697618 | ||
| ENSCO (Barbados) Limited | Cayman Islands | 83-0445907 | ||
| Ensco (Myanmar) Limited | Myanmar | 98-1187784 | ||
| ENSCO Arabia Co. Ltd. | Saudi Arabia | — | ||
| ENSCO Asia Company LLC | Texas (USA) | 75-1460971 | ||
| ENSCO Asia Pacific Pte. Limited | Singapore | 26-0068995 | ||
| Ensco Associates Company | Cayman Islands | — | ||
| ENSCO Australia Pty. Limited | Australia | 98-0377537 | ||
| ENSCO Capital Limited | Cayman Islands / United Kingdom | 98-0665084 | ||
| ENSCO Corporate Resources LLC | Delaware (USA) | 27-1504174 | ||
| Ensco Deepwater Drilling Limited | England and Wales (UK) | 98-1111430 | ||
| ENSCO Deepwater USA II LLC | Delaware (USA) | 27-0680769 | ||
| ENSCO Development Limited | Cayman Islands | 98-0681992 | ||
| Ensco do Brasil Petróleo e Gás Ltda. | Brazil | 52-2345836 | ||
| Ensco Drilling I Ltd. | Cayman Islands | 98-1409751 | ||
| ENSCO Drilling Mexico LLC | Delaware (USA) | 26-0546938 | ||
| Ensco Endeavors Limited | Cayman Islands / United Kingdom | 98-0702631 | ||
| ENSCO Global GmbH | Switzerland | 98-0644486 | ||
| Ensco Global II Ltd. | Cayman Islands | 98-1320722 | ||
| ENSCO Global Investments LP | England and Wales (UK) | 98-0659772 | ||
| Ensco Global IV Ltd | British Virgin Islands | 52-2345837 | ||
| ENSCO Global Limited | Cayman Islands / United Kingdom | 98-0637827 | ||
| ENSCO Global Resources Limited | England and Wales (UK) | 98-0644763 | ||
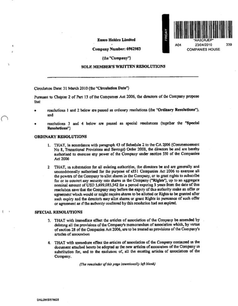
| Ensco Holdco Limited | England and Wales (UK) | 98-0633043 | ||
| ENSCO Holding Company | Delaware (USA) | 75-2246991 | ||
| Ensco Holdings I Ltd. | Cayman Islands | 98-1389722 | ||
| Ensco Incorporated | Texas (USA) | 76-0285260 | ||
| Ensco Intercontinental GmbH | Switzerland | 98-0704367 | ||
| ENSCO International Incorporated | Delaware (USA) | 76-0232579 | ||
| Ensco International Ltd. | British Virgin Islands / United Kingdom | 76-0356128 | ||
| ENSCO Investments LLC | Nevada (USA) / United Kingdom | 98-0644509 | ||
| Ensco Jersey Finance Limited | Jersey / United Kingdom | 98-1338299 | ||
| ENSCO Limited | Cayman Islands | 98-0369086 | ||
| Ensco Management Corp | British Virgin Islands | 52-2346020 | ||
| ENSCO Maritime Limited | Bermuda | 98-0393929 | ||
| Ensco Mexico Services S.de R.L. | Mexico | 98-1464039 | ||
| Ensco Ocean 2 Company | Cayman Islands | — | ||
| ENSCO Oceanics Company LLC | Delaware (USA) | 74-2080353 | ||
| ENSCO Oceanics International Company | Cayman Islands | 98-0369079 | ||
| ENSCO Offshore LLC | Delaware (USA) | 75-2349491 | ||
| ENSCO Offshore International Company | Cayman Islands | 98-0507424 | ||
| ENSCO Offshore International Holdings Limited | Cayman Islands / United Kingdom | 98-0655357 | ||
| ENSCO Offshore International Inc. | Marshall Islands | 98-0383744 | ||
| Ensco Offshore International LLC | Delaware (USA) | — | ||
| Ensco Offshore Petróleo e Gás Ltda. | Brazil | 98-0634349 | ||
| ENSCO Offshore U.K. Limited | England and Wales (UK) | 98-0369084 | ||
| ENSCO Overseas Limited | Cayman Islands | 98-0659769 | ||
| ENSCO Services Limited | England and Wales (UK) | 98-0394243 | ||
| Ensco Transcontinental II LP | England and Wales (UK) | 98-1062854 | ||
| Ensco Transnational I Limited | Cayman Islands | 98-1012691 | ||
| Ensco Transnational III Limited | Cayman Islands | — | ||
| ENSCO U.K. Limited | England and Wales (UK) | 98-0393928 | ||
| Ensco UK Drilling Limited | England and Wales (UK) | 4417421838 | ||
| ENSCO United Incorporated | Delaware (USA) | 45-0819564 | ||
| Ensco Universal Holdings I Ltd. | Cayman Islands / United Kingdom | 98-1305972 | ||
| Ensco Universal Holdings II Ltd. | Cayman Islands / United Kingdom | 98-1306192 | ||
| ENSCO Universal Limited | England and Wales (UK) | 98-0646354 | ||
| Ensco Vistas Limited | Cayman Islands | 98-1012692 | ||
| Ensco Worldwide GmbH | Switzerland | 98-0644481 | ||
| EnscoRowan Ghana Drilling Limited | Ghana | C0028653696 | ||
| Great White Shark Limited | Gibraltar | 98-1146294 | ||
| Green Turtle Limited | Gibraltar | 98-1146297 | ||
| International Technical Services LLC | Delaware (USA) | 26-0811622 | ||
| Manatee Limited | Malta | 98-1247999 | ||
| Manta Ray Limited | Malta | 98-1292056 | ||
| Marine Blue Limited | Gibraltar | 98-1345823 | ||
| Offshore Drilling Services LLC | Delaware (USA) | 83-1345584. | ||
| Pacific Offshore Labor Company | Cayman Islands | 98-0636666 | ||
| Petroleum International Pte. Ltd. | Singapore | 72-1552787 | ||
| Pride Global II Ltd | British Virgin Islands | 30-0349437 | ||
| Pride International LLC | Delaware (USA) | 76-0069030 | ||
| Pride International Management Co. LP | Texas (USA) | 76-0555708 | ||
| Ralph Coffman Limited | Gibraltar | 98-1146288 | ||
| Ralph Coffman Luxembourg S.à r.l. | Luxembourg | 98-1142600 | ||
| RCI International, Inc. | Cayman Islands | 98-1022856 | ||
| RD International Services Pte. Ltd. | Singapore | 98-1093939 | ||
| RDC Arabia Drilling, Inc. | Cayman Islands | 76-0152727 | ||
| RDC Holdings Luxembourg S.à r.l. | Luxembourg | 98-1039699 | ||
| RDC Malta Limited | Malta | 98-1042279 |
| RDC Offshore Luxembourg S.à r.l. | Luxembourg | 98-1014303 | ||
| RDC Offshore Malta Limited | Malta | 98-1042283 | ||
| RoCal Cayman Limited | Cayman Islands | 98-1022865 | ||
| Rowan Companies Limited | England and Wales (UK) | 98-1023315 | ||
| Rowan Companies, LLC | Delaware (USA) | 75-0759420 | ||
| Rowan Drilling (Gibraltar) Limited | Gibraltar | 98-0664560 | ||
| Rowan Drilling (Trinidad) Limited | Cayman Islands | 98-0579545 | ||
| Rowan Drilling (U.K.) Limited | Scotland (UK) | 74-1916586 | ||
| Rowan Drilling S. de R.L. de C.V. | Mexico | RDR180928UB5 | ||
| Rowan Drilling Services Limited | Gibraltar | 98-0686267 | ||
| Rowan International Rig Holdings S.à r.l. | Luxembourg | 98-1339962 | ||
| Rowan Marine Services LLC | Texas (USA) | 76-0373171 | ||
| Rowan N-Class (Gibraltar) Limited | Gibraltar | 98-1042236 | ||
| Rowan No. 1 Limited | England and Wales (UK) | 98-1054191 | ||
| Rowan No. 2 Limited | England and Wales (UK) | 98-1054196 | ||
| Rowan Norway Limited | Gibraltar | 80-0647857 | ||
| Rowan Offshore (Gibraltar) Limited | Gibraltar | 98-1042256 | ||
| Rowan Offshore Luxembourg S.à r.l. | Luxembourg | 98-1014307 | ||
| Rowan Rigs S.à r.l. | Luxembourg | 98-1391082 | ||
| Rowan S. de R.L. de C.V. | Mexico | ROW0904157T4 | ||
| Rowan Services LLC | Delaware (USA) | 27-1054617 | ||
| Rowan US Holdings (Gibraltar) Limited | Gibraltar | 98-1042281 | ||
| Rowandrill, LLC | Texas (USA) | 74-1724642 | ||
| Valaris Holdco 1 Limited | Bermuda | 98-1589863 | ||
| Valaris Holdco 2 Limited | Bermuda | 98-1589869 |
________________________________
| * | Each additional registrant is a wholly-owned direct or indirect subsidiary of Valaris Limited. The address, including zip code, and telephone number, including area code, of each additional registrant’s principal executive offices is Clarendon House, 2 Church Street, Hamilton, Bermuda, HM 11, telephone (713) 789-1400. The primary standard industrial classification code number of each of the additional registrants is 1381. The name, address, including zip code, and telephone number, including area code, of the agent for service for each of the additional registrants is Jonathan H. Baksht, Valaris Limited, Clarendon House, 2 Church Street, Hamilton, Bermuda, HM 11, telephone (713) 789-1400. |
Each Registrant hereby amends this registration statement on such date or dates as may be necessary to delay its effective date until such Registrant shall file a further amendment which specifically states that this registration statement shall thereafter become effective in accordance with Section 8(a) of the Securities Act of 1933 or until this registration statement shall become effective on such date as the Securities and Exchange Commission, acting pursuant to said Section 8(a), may determine.
EXPLANATORY NOTE
This Amendment No. 3 (“Amendment No. 3”) to the Registration Statement on Form S-1 (File No. 333-257022) of Valaris Limited is being filed solely for the purpose of updating the exhibit list and filing certain exhibits as indicated in Part II of this Amendment No. 3. This Amendment No. 3 does not modify any provision of the prospectus that forms a part of the Registration Statement. Accordingly, a preliminary prospectus has been omitted.
6
Part II
Information Not Required in Prospectus
| Item 13. | Other Expenses of Issuance and Distribution. |
Set forth below are the expenses expected to be incurred in connection with the issuance and distribution of the securities registered hereby and payable by us. With the exception of the Commission registration fee, the amounts set forth below are estimates.
| Amount | ||||
| Securities Exchange Commission registration fee | $ | 111,378.30 | ||
| Printing and engraving expenses | * | |||
| Fees and expenses of legal counsel | * | |||
| Accounting fees and expenses | * | |||
| Transfer agent and registrar fees | * | |||
| Miscellaneous | * | |||
| Total | $ | * | ||
* Estimated expenses are not presently known.
| Item 14. | Indemnification of Directors and Officers. |
Companies Act 1981 of Bermuda
Section 98 of the Companies Act 1981 of Bermuda (the “Companies Act”) provides generally that a Bermuda company may indemnify its directors, officers and auditors against any liability which by virtue of any rule of law would otherwise be imposed on them in respect of any negligence, default, breach of duty or breach of trust, except in cases where such liability arises from fraud or dishonesty of which such director, officer or auditor may be guilty in relation to the company. Section 98 further provides that a Bermuda company may indemnify its directors, officers and auditors against any liability incurred by them in defending any proceedings, whether civil or criminal, in which judgment is awarded in their favor or in which they are acquitted or granted relief by the Supreme Court of Bermuda pursuant to section 281 of the Companies Act.
The Bye-laws provide that Valaris shall indemnify its officers and directors in respect of their actions and omissions, except in respect of their fraud or dishonesty. The Bye-laws provide that the shareholders waive all claims or rights of action that they might have, individually or in right of the company, against any of the company’s directors or officers for any act or failure to act in the performance of such director’s or officer’s duties, except in respect of any fraud or dishonesty of such director or officer. Section 98A of the Companies Act permits us to purchase and maintain insurance for the benefit of any officer or director in respect of any loss or liability attaching to him in respect of any negligence, default, breach of duty or breach of trust, whether or not we may otherwise indemnify such officer or director. Valaris has purchased and maintains a directors’ and officers’ liability policy for such a purpose.
D&O Insurance and Indemnification Agreements
The Company maintains directors’ and officers’ insurance which includes coverage for liability under the federal securities laws. The Company also maintains a general liability insurance policy which covers certain liabilities of directors and officers of the Company arising out of claims based on acts or omissions in their capacities as directors or officers.
The Company has also entered into indemnification agreements with each of its directors and executive officers. The indemnification agreements require the Company to (i) indemnify these individuals to the fullest extent permitted under Bermuda law against liabilities that may arise by reason of their service to the Company and (ii) advance expenses reasonably incurred as a result of any proceeding against them as to which they could be indemnified. Each indemnity agreement is in substantially the form included herein as Exhibit 10.4 to this Registration Statement. The description of the indemnity agreements is qualified in its entirety by reference to the full text of the form of indemnity agreement, which is incorporated herein by reference.
II-1
| Item 15. | Recent Sales of Unregistered Securities. |
On the Effective Date, and subject to applicable rounding by DTC, pursuant to the Plan (capitalized terms used, but not defined, in this section have the meanings ascribed to them in the Plan):
| • | 2,541,980 Common Shares were transferred to holders of the Pride Bond Claims in cancellation of the Pride Bond Claims; |
| • | 447,040 Common Shares were transferred to holders of the Ensco International Bond Claims in cancellation of the Ensco International Bond Claims; |
| • | 5,830,854 Common Shares were transferred to holders of the Jersey Bond Claims in cancellation of the Jersey Bond Claims; |
| • | 10,630,256 Common Shares were transferred to holders of the Valaris Bond Claims in cancellation of the Valaris Bond Claims; |
| • | 9,409,770 Common Shares were transferred to holders of the Legacy Rowan Bond Claims in cancellation of the Legacy Rowan Bond Claims; |
| • | 21,240,100 Common Shares were transferred to holders of the Credit Facility Claims in cancellation of the Credit Facility; |
| • | 5,645,161 Warrants to purchase Common Shares were issued to holders of the Existing Equity Interests; |
| • | 14,062,500 Common Shares were issued to holders of Senior Notes Claims and New Money Participating Credit Facility Creditors who participated in the Rights Offering; |
| • | 8,437,500 Common Shares were issued to the Backstop Parties as a part of the Holdback in accordance with the Backstop Agreement; |
| • | 2,025,000 Common Shares were issued to the Backstop Parties as a part of the Additional Backstop Equity in connection with the Plan; and |
| • | 375,000 Common Shares were issued to Daewoo Shipbuilding Marine Engineering Co. Ltd. in connection with the Plan. |
As of June 11, 2021, there were 75,000,001 Common Shares issued and outstanding.
The Common Shares and Warrants were issued pursuant to the Plan and were issued pursuant to the exemption from the registration requirements of the Securities Act under Section 1145 of the Bankruptcy Code and, to the extent such exemption was unavailable, in reliance on the exemption provided by section 4(a)(2) under the Securities Act.
| Item 16. | Exhibits and Financial Statement Schedules. |
(a) Exhibits.
II-2
Exhibit Index
II-3
II-4
II-5
| 3.113† | Memorandum and Articles of Association of ENSCO Oceanics International Company. | |
| 3.114† | Certificate of Incorporation of ENSCO Oceanics International Company. | |
| 3.115† | Limited Liability Company Agreement of ENSCO Offshore LLC (f/k/a ENSCO Offshore Company). | |
| 3.116† | Certificate of Conversion of ENSCO Offshore LLC. | |
| 3.117† | Memorandum and Articles of Association of ENSCO Offshore International Company (f/k/a Pride International Management Company). | |
| 3.118† | Certificate of Incorporation of ENSCO Offshore International Company. | |
| 3.119† | Bylaws of ENSCO Offshore International Company. | |
| 3.120† | Amended and Restated Memorandum and Articles of Association of ENSCO Offshore International Holdings Limited. | |
| 3.121† | Certificate of Incorporation of ENSCO Offshore International Holdings Limited. | |
| 3.122† | Certificate of Registration of UK Establishment of ENSCO Offshore International Holdings Limited. | |
| 3.123† | Articles of Association of ENSCO Offshore International Inc. as Amended by Amendment No. 2. | |
| 3.124† | Bylaws of ENSCO Offshore International Inc. | |
| 3.125† | Endorsement Certificate of ENSCO Offshore International Inc. | |
| 3.126† | First Amended and Restated Company Agreement of Ensco Offshore International LLC (f/k/a Pride Offshore International LLC). | |
| 3.127† | Certificate of Formation of Ensco Offshore International LLC. | |
| 3.128† | 21a Alteraçõe da Contrato Social of Ensco Offshore Petróleo e Gás Ltda. | |
| 3.129† | Certificate of Registry of Ensco Offshore Petróleo e Gás Ltda. | |
| 3.130† | Memorandum of Association of ENSCO Offshore U.K. Limited. | |
| 3.131† | Articles of Association of ENSCO Offshore U.K. Limited. | |
| 3.132† | Certificate of Incorporation of ENSCO Offshore U.K. Limited. | |
| 3.133† | Memorandum and Articles of Association of ENSCO Overseas Limited. | |
| 3.134† | Certificate of Incorporation of ENSCO Overseas Limited. | |
| 3.135† | Articles of Association of ENSCO Services Limited (f/k/a Attachminster Limited). | |
| 3.136† | Certificate of Incorporation of ENSCO Services Limited. | |
| 3.137† | Amended and Restated Limited Partnership Agreement of Ensco Transcontinental II LP. | |
| 3.138† | Certificate of Registration of Ensco Transcontinental II LP | |
| 3.139† | Memorandum of Association of Ensco Transnational I Limited. | |
| 3.140† | Articles of Association of Ensco Transnational I Limited. | |
| 3.141† | Certificate of Incorporation of Ensco Transnational I Limited. | |
| 3.142† | Memorandum of Association of Ensco Transnational III Limited. | |
| 3.143† | Articles of Association of Ensco Transnational III Limited. | |
| 3.144† | Certificate of Incorporation of Ensco Transnational III Limited. | |
| 3.145† | Articles of Association of ENSCO U.K. Limited (f/k/a Instantcorp Limited). | |
| 3.146† | Certificate of Incorporation of ENSCO U.K. Limited. | |
| 3.147† | Memorandum of Association of Ensco UK Drilling Limited. | |
| 3.148† | Articles of Association of Ensco UK Drilling Limited. | |
| 3.149† | Certificate of Incorporation of Ensco UK Drilling Limited. | |
| 3.150† | By-Laws of ENSCO United Incorporated. | |
| 3.151† | Certificate of Incorporation of ENSCO United Incorporated. |
II-6
| 3.152† | Amended and Restated Memorandum and Articles of Association of Ensco Universal Holdings I Ltd. | |
| 3.153† | Certificate of Incorporation of Ensco Universal Holdings I Ltd. | |
| 3.154† | Certificate of Registration of an Overseas Company for Ensco Universal Holdings I Ltd. | |
| 3.155† | Amended and Restated Memorandum and Articles of Association of Ensco Universal Holdings II Ltd. | |
| 3.156† | Certificate of Incorporation of Ensco Universal Holdings II Ltd. | |
| 3.157† | Certificate of Registration of an Overseas Company for Ensco Universal Holdings II Ltd. | |
| 3.158† | Memorandum of Association of ENSCO Universal Limited. | |
| 3.159† | Articles of Association of ENSCO Universal Limited. | |
| 3.160† | Certificate of Incorporation of ENSCO Universal Limited. | |
| 3.161† | Memorandum and Articles of Association of Ensco Vistas Limited. | |
| 3.162† | Certificate of Incorporation of Ensco Vistas Limited. | |
| 3.163† | Articles of Incorporation of Ensco Worldwide GmbH. | |
| 3.164† | Certificate of Incorporation of Ensco Worldwide GmbH. | |
| 3.165† | Regulations of EnscoRowan Ghana Drilling Limited. | |
| 3.166† | Certificate of Incorporation of EnscoRowan Ghana Drilling Limited. | |
| 3.167† | Memorandum and Articles of Association of Great White Shark Limited. | |
| 3.168† | Certificate of Incorporation of Great White Shark Limited. | |
| 3.169† | Memorandum and Articles of Association of Green Turtle Limited. | |
| 3.170† | Certificate of Incorporation of Green Turtle Limited. | |
| 3.171† | Memorandum and Articles of Association of Manatee Limited. | |
| 3.172† | Certificate of Incorporation of Manatee Limited. | |
| 3.173† | Memorandum and Articles of Association of Manta Ray Limited. | |
| 3.174† | Certificate of Registration of Manta Ray Limited. | |
| 3.175† | Memorandum and Articles of Association of Marine Blue Limited. | |
| 3.176† | Certificate of Incorporation of Marine Blue Limited. | |
| 3.177† | Limited Liability Company Agreement of Offshore Drilling Services LLC. | |
| 3.178† | Certificate of Formation of Offshore Drilling Services LLC. | |
| 3.179† | Amended and Restated Memorandum and Articles of Association of Pacific Offshore Labor Company. | |
| 3.180† | Certificate of Incorporation of Pacific Offshore Labor Company. | |
| 3.181† | Memorandum and Articles of Association of Petroleum International Pte. Ltd. | |
| 3.182† | Certificate Confirming Incorporation of Petroleum International Pte. Ltd. | |
| 3.183† | Memorandum and Articles of Association of Pride Global II Ltd. | |
| 3.184† | Certificate of Incorporation of Pride Global II Ltd. | |
| 3.185† | Operating Agreement of Pride International LLC (f/k/a Pride International, Inc.). | |
| 3.186† | Amended and Restated By-Laws of Pride International LLC. | |
| 3.187† | Certificate of Formation of Pride International LLC. | |
| 3.188† | Certificate of Limited Partnership of Pride International Management Co. LP. | |
| 3.189† | Memorandum and Articles of Association of Ralph Coffman Limited. | |
| 3.190† | Certificate of Incorporation of Ralph Coffman Limited. | |
| 3.191† | Restated Articles of Association of Ralph Coffman Luxembourg S.à r.l. (f/k/a Rowan Financement S.à r.l.). |
II-7
| 3.192† | Memorandum and Articles of Association of RCI International, Inc. | |
| 3.193† | Certificate of Incorporation of RCI International, Inc. | |
| 3.194† | Memorandum and Articles of Association of RD International Services Pte. Ltd. as amended December 31, 2018. | |
| 3.195† | Certificate of Incorporation of RD International Services Pte. Ltd. | |
| 3.196† | Memorandum and Articles of Association of RDC Arabia Drilling, Inc. (f/k/a Rowan North Sea Investments, Inc.). | |
| 3.197† | Certificate of Registration By Way of Continuation of RDC Arabia Drilling, Inc. | |
| 3.198† | Bylaws of RDC Arabia Drilling, Inc. | |
| 3.199† | Restated Articles of Association of RDC Holdings Luxembourg S.à r.l. | |
| 3.200† | Memorandum and Articles of Association of RDC Malta Limited. | |
| 3.201† | Certificate of Continuation of RDC Malta Limited. | |
| 3.202† | Articles of Association of RDC Offshore Luxembourg S.à r.l. | |
| 3.203† | Amended Memorandum and Articles of Association of RDC Offshore Malta Limited. | |
| 3.204† | Certificate of Continuation of RDC Offshore Malta Limited. | |
| 3.205† | Amended and Restated Memorandum and Articles of Association of RoCal Cayman Limited (f/k/a RCI Drilling International, Inc.). | |
| 3.206† | Certificate of Incorporation of RoCal Cayman Limited. | |
| 3.207† | Articles of Association of Rowan Companies Limited. | |
| 3.208† | Certificate of Incorporation of Rowan Companies Limited. | |
| 3.209† | Limited Liability Company Agreement of Rowan Companies, LLC. | |
| 3.210† | Amended and Restated Certificate of Incorporation of Rowan Companies, LLC. | |
| 3.211† | Memorandum and Articles of Association of Rowan Drilling (Gibraltar) Limited (f/k/a Black Forrest Limited). | |
| 3.212† | Certificate of Incorporation of Rowan Drilling (Gibraltar) Limited. | |
| 3.213† | Amended and Restated Memorandum and Articles of Association of Rowan Drilling (Trinidad) Limited (f/k/a ROWAN S116E#2, INC.). | |
| 3.214† | Certificate of Incorporation of Rowan Drilling (Trinidad) Limited. | |
| 3.215† | Certificate of Incorporation, Memorandum and Articles of Association of Rowan Drilling (U.K.) Limited. | |
| 3.216† | Deed of Incorporation of Rowan Drilling S. de R.L. de C.V | |
| 3.217† | By-Laws Rowan Drilling S. de R.L. de C.V. | |
| 3.218† | Certificate of Incorporation of Rowan Drilling S. de R.L. de C.V. | |
| 3.219† | Memorandum and Articles of Association of Rowan Drilling Services Limited. | |
| 3.220† | Certificate of Incorporation of Rowan Drilling Services Limited. | |
| 3.221† | Restated Articles of Association of Rowan International Rig Holdings S.à r.l. | |
| 3.222† | Limited Liability Company Agreement of Rowan Marine Services LLC (f/k/a Rowan Marine Services, Inc.) as amended by Amendment No. 1. | |
| 3.223† | Certificate of Formation of Rowan Marine Services LLC | |
| 3.224† | Memorandum and Articles of Association of Rowan N-Class (Gibraltar) Limited. | |
| 3.225† | Certificate of Incorporation of Rowan N-Class (Gibraltar) Limited. | |
| 3.226† | Memorandum of Association of Rowan No. 1 Limited. | |
| 3.227† | Articles of Association of Rowan No. 1 Limited. | |
| 3.228† | Certificate of Incorporation of Rowan No. 1 Limited. | |
| 3.229† | Memorandum of Association of Rowan No. 2 Limited. |
II-8
| 3.230† | Certificate of Incorporation of Rowan No. 2 Limited. | |
| 3.231† | Memorandum of Association of Rowan Norway Limited (f/k/a Grey Pearl Limited and subsequently known as Rowan (Gibraltar) Limited). | |
| 3.232† | Articles of Association of Rowan Norway Limited. | |
| 3.233† | Certificate of Incorporation of Rowan Norway Limited. | |
| 3.234† | Memorandum and Articles of Association of Rowan Offshore (Gibraltar) Limited. | |
| 3.235† | Certificate of Incorporation of Rowan Offshore (Gibraltar) Limited. | |
| 3.236† | Restated Articles of Association of Rowan Offshore Luxembourg S.à r.l. | |
| 3.237† | Amended Articles of Association of Rowan Rigs S.à r.l.(f/k/a Lionfish Luxembourg S.à r.l). | |
| 3.238† | Deed of Incorporation and bylaws of Rowan S. de R.L. de C.V. | |
| 3.239† | Limited Liability Company Agreement of Rowan Services LLC. | |
| 3.240† | Certificate of Formation of Rowan Services LLC. | |
| 3.241† | Memorandum and Articles of Association of Rowan US Holdings (Gibraltar) Limited. | |
| 3.242† | Certificate of Incorporation of Rowan US Holdings (Gibraltar) Limited. | |
| 3.243† | Amendment No. 1 to Limited Liability Company Agreement of Rowandrill, LLC (f/k/a Rowandrill, Inc.). | |
| 3.244† | Certificate of Formation of Rowandrill, LLC. | |
| 3.245† | Limited Liability Company Agreement of International Technical Services LLC. | |
| 3.246† | Certificate of Formation of International Technical Services LLC. | |
| 3.247† | Memorandum of Association of Valaris Holdco 1 Limited. | |
| 3.248† | Byelaws of Valaris Holdco 1 Limited. | |
| 3.249† | Certificate of Incorporation of Valaris Holdco 1 Limited. | |
| 3.250† | Memorandum of Association of Valaris Holdco 2 Limited. | |
| 3.251† | Byelaws of Valaris Holdco 2 Limited. | |
| 3.252† | Certificate of Incorporation of Valaris Holdco 2 Limited. | |
| 4.1** | Indenture, dated as of April 30, 2021, among Valaris Limited, the guarantors listed therein, and Wilmington Savings Fund, FSB as collateral agent and trustee (including the form of the First Lien Note attached thereto) (incorporated by reference to Exhibit 4.1 to Valaris Limited’s Current Report on Form 8-K filed on April 30, 2021). | |
| 4.2** | Warrant Agreement, dated as of April 30, 2021, by and between Valaris Limited and Computershare Inc. and Computershare Trust Company, N.A. (incorporated by reference to Exhibit 10.1 to Valaris’s Current Report on Form 8-K filed on April 30, 2021, File No. 001-08097). | |
| 4.3** | Equity Registration Rights Agreement, dated as of April 30, 2021, by and among Valaris Limited and the holders party thereto (incorporated by reference to Exhibit 10.2 to Valaris’s Current Report on Form 8-K filed on April 30, 2021, File No. 001-08097). | |
| 4.4** | Notes Registration Rights Agreement, dated as of April 30, 2021, by and among Valaris Limited and the holders party thereto (incorporated by reference to Exhibit 10.3 to Valaris’s Current Report on Form 8-K filed on April 30, 2021, File No. 001-08097). | |
| 5.1** | Legal opinion of Conyers Dill & Pearman Limited as to the legality of the securities being registered. | |
| 5.2** | Legal opinion of Kirkland & Ellis LLP. | |
| 5.3** | Legal opinion of Allen & Gledhill LLP. | |
| 5.4** | Legal opinion of Allen & Gledhill (Myanmar) Co., Ltd. | |
| 5.5** | Legal opinion of Anderson Strathern LLP. | |
| 5.6** | Legal opinion of Bentsi-Enchill, Letsa & Ankomah. | |
| 5.7** | Legal opinion of Brownstein Hyatt Farber Schreck, LLP. |
II-9
II-10
II-11
| * | Filed herewith. |
| ** | Previously filed. |
II-12
| † | To be filed by amendment. |
| + | Management contracts or compensatory plans and arrangements required to be filed as exhibits pursuant to Item 15(b) of this report. |
| Item 17. | Undertakings. |
The undersigned registrant hereby undertakes:
(a) to file, during any period in which offers or sales are being made, a post-effective amendment to this registration statement:
(i) to include any prospectus required by section 10(a)(3) of the Securities Act;
(ii) to reflect in the prospectus any facts or events arising after the effective date of this registration statement (or the most recent post-effective amendment thereof) which, individually or in the aggregate, represent a fundamental change in the information set forth in this registration statement. Notwithstanding the foregoing, any increase or decrease in volume of securities offered (if the total dollar value of securities offered would not exceed that which was registered) and any deviation from the low or high end of the estimated maximum offering range may be reflected in the Form of prospectus filed with the Commission pursuant to Rule 424(b) if, in the aggregate, the changes in volume and price represent no more than a 20% change in the maximum aggregate offering price set forth in the “Calculation of Registration Fee” table in the effective registration statement; and
(iii) to include any material information with respect to the plan of distribution not previously disclosed in this registration statement or any material change to such information in this registration statement;
Provided, however, that, paragraphs (a)(i), (ii), and (iii) of this section do not apply if the registration statement is on Form S-1, Form S-3, Form SF-3 or Form F-3 and the information required to be included in a post-effective amendment by those paragraphs is contained in reports filed with or furnished to the Commission by the registrant pursuant to section 13 or section 15(d) of the Exchange Act that are incorporated by reference in the registration statement, or, as to a registration statement on Form S-3, Form SF-3 or Form F-3, is contained in a form of prospectus filed pursuant to Rule 424(b) of the Securities Act that is part of the registration statement.
(b) that, for the purpose of determining any liability under the Securities Act, each such post-effective amendment shall be deemed to be a new registration statement relating to the securities offered therein, and the offering of such securities at that time shall be deemed to be the initial bona fide offering thereof;
(c) to remove from registration by means of a post-effective amendment any of the securities being registered which remain unsold at the termination of the offering;
(d) that, for purposes of determining liability under the Securities Act to any purchaser, if the registrant is subject to Rule 430C, each prospectus filed pursuant to Rule 424(b) as part of a registration statement relating to an offering, other than registration statements relying on Rule 430B or other than prospectuses filed in reliance on Rule 430A, shall be deemed to be part of and included in the registration statement as of the date it is first used after effectiveness; provided, however, that no statement made in a registration statement or prospectus that is part of the registration statement or made in a document incorporated or deemed incorporated by reference into the registration statement or prospectus that is part of the registration statement will, as to a purchaser with a time of contract of sale prior to such first use, supersede or modify any statement that was made in the registration statement or prospectus that was part of the registration statement or made in any such document immediately prior to such date of first use;
(e) that, for purposes of determining any liability under the Securities Act, the information omitted from the Form of prospectus filed as part of this registration statement in reliance upon Rule 430A and contained in a Form of prospectus filed by the registrant pursuant to Rule 424(b) (1) or (4) or 497(h) under the Securities Act shall be deemed to be part of this registration statement as of the time it was declared effective; and
(f) that, for the purpose of determining any liability under the Securities Act, each post-effective amendment that contains a form of prospectus shall be deemed to be a new registration statement relating to the securities offered therein, and the offering of such securities at that time shall be deemed to be the initial bona fide offering thereof.
II-13
The undersigned registrant hereby undertakes that, for purposes of determining any liability under the Securities Act of 1933, each filing of the registrant’s annual report pursuant to section 13(a) or section 15(d) of the Securities Exchange Act of 1934 (and, where applicable, each filing of an employee benefit plan’s annual report pursuant to section 15(d) of the Securities Exchange Act of 1934) that is incorporated by reference in the registration statement shall be deemed to be a new registration statement relating to the securities offered therein, and the offering of such securities at that time shall be deemed to be the initial bona fide offering thereof.
Insofar as indemnification for liabilities arising under the Securities Act may be permitted to directors, officers and controlling persons of the registrant pursuant to the foregoing provisions, or otherwise, the registrant has been advised that in the opinion of the Commission such indemnification is against public policy as expressed in the Securities Act and is, therefore, unenforceable. In the event that a claim for indemnification against such liabilities (other than the payment by the registrant of expenses incurred or paid by a director, officer or controlling person of the registrant in the successful defense of any action, suit or proceeding) is asserted by such director, officer or controlling person in connection with the securities being registered, the registrant will, unless in the opinion of its counsel the matter has been settled by controlling precedent, submit to a court of appropriate jurisdiction the question whether such indemnification by it is against public policy as expressed in the Securities Act and will be governed by the final adjudication of such issue.
II-14
SIGNATURES
Pursuant to the requirements of the Securities Act of 1933, the registrant has duly caused this registration statement to be signed on its behalf by the undersigned, thereunto duly authorized in Hamilton, Bermuda, on June 11, 2021.
| Valaris Limited | ||
| By: | /s/ Jonathan H. Baksht | |
| Name: | Jonathan H. Baksht | |
| Title: | Executive Vice President and Chief Financial Officer | |
Pursuant to the requirements of the Securities Act, this registration statement has been signed by the following persons in the capacities indicated below as of June 11, 2021.
| Signature | Title | |
| /s/ Thomas P. Burke | Chief Executive Officer and Director (Principal Executive Officer) | |
| Thomas P. Burke | ||
| /s/ Jonathan H. Baksht | Executive Vice President and Chief Financial Officer (Principal Financial Officer) | |
| Jonathan H. Baksht | ||
| /s/ Colleen W. Grable | Controller (Principal Accounting Officer) | |
| Colleen W. Grable | ||
| /s/ Elizabeth Leykum | Chair of the Board and Director | |
| Elizabeth Leykum | ||
| /s/ Dick Fagerstal | Director | |
| Dick Fagerstal | ||
| /s/ Joseph Goldschmid | Director | |
| Joseph Goldschmid | ||
| /s/ Deepak Munganahalli | Director | |
| Deepak Munganahalli | ||
| /s/ James W. Swent | Director | |
| James W. Swent |
SIGNATURES
Pursuant to the requirements of the Securities Act of 1933, the registrant has duly caused this registration statement to be signed on its behalf by the undersigned, thereunto duly authorized in the Cayman Islands, on June 11, 2021.
| Alpha Achiever Company | ||
| By: | /s/ Nicolas Jaciuk | |
| Name: | Nicolas Jaciuk | |
| Title: | Director | |
Pursuant to the requirements of the Securities Act, this registration statement has been signed by the following persons in the capacities indicated below as of June 11, 2021.
| Signature | Title | |
| /s/ Stephen L. Mooney | President and Director (Principal Executive, Financial and Accounting Officer) | |
| Stephen L. Mooney | ||
| /s/ Kevin Klein | Vice President, Secretary and Director | |
| Kevin Klein | ||
| /s/ Jamie Nelson | Director | |
|
Jamie Nelson |
||
| /s/ Nicolas Jaciuk | Vice President, Treasurer and Director | |
| Nicolas Jaciuk | ||
| /s/ Davor Vukadin | Authorized Representative in the United States | |
| Davor Vukadin |
SIGNATURES
Pursuant to the requirements of the Securities Act of 1933, the registrant has duly caused this registration statement to be signed on its behalf by the undersigned, thereunto duly authorized in the Cayman Islands, on June 11, 2021.
| Alpha Admiral Company | ||
| By: | /s/ Nicolas Jaciuk | |
| Name: | Nicolas Jaciuk | |
| Title: | Director | |
Pursuant to the requirements of the Securities Act, this registration statement has been signed by the following persons in the capacities indicated below as of June 11, 2021.
| Signature | Title | |
| /s/ Stephen L. Mooney | President and Director (Principal Executive, Financial and Accounting Officer) | |
| Stephen L. Mooney | ||
| /s/ Kevin Klein | Vice President, Secretary and Director | |
| Kevin Klein | ||
| /s/ Jamie Nelson | Director | |
|
Jamie Nelson |
||
| /s/ Nicolas Jaciuk | Vice President, Treasurer and Director | |
| Nicolas Jaciuk | ||
| /s/ Davor Vukadin | Authorized Representative in the United States | |
| Davor Vukadin |
SIGNATURES
Pursuant to the requirements of the Securities Act of 1933, the registrant has duly caused this registration statement to be signed on its behalf by the undersigned, thereunto duly authorized in the Cayman Islands, on June 11, 2021.
| Alpha Archer Company | ||
| By: | /s/ Nicolas Jaciuk | |
| Name: | Nicolas Jaciuk | |
| Title: | Director | |
Pursuant to the requirements of the Securities Act, this registration statement has been signed by the following persons in the capacities indicated below as of June 11, 2021.
| Signature | Title | |
| /s/ Stephen L. Mooney | President and Director (Principal Executive Officer) | |
| Stephen L. Mooney | ||
| /s/ Nicolas Jaciuk | Vice President, Treasurer and Director (Principal Financial and Accounting Officer) | |
| Nicolas Jaciuk | ||
| /s/ Kevin Klein | Vice President, Secretary and Director | |
| Kevin Klein | ||
| /s/ Jamie Nelson | Director | |
| Jamie Nelson | ||
| /s/ Davor Vukadin | Authorized Representative in the United States | |
| Davor Vukadin | ||
SIGNATURES
Pursuant to the requirements of the Securities Act of 1933, the registrant has duly caused this registration statement to be signed on its behalf by the undersigned, thereunto duly authorized in the Cayman Islands, on June 11, 2021.
| Alpha Aurora Company | ||
| By: | /s/ Nicolas Jaciuk | |
| Name: | Nicolas Jaciuk | |
| Title: | Director | |
Pursuant to the requirements of the Securities Act, this registration statement has been signed by the following persons in the capacities indicated below as of June 11, 2021.
| Signature | Title | |
| /s/ Stephen L. Mooney | President and Director (Principal Executive Officer) | |
| Stephen L. Mooney | ||
| /s/ Nicolas Jaciuk | Vice President, Treasurer and Director (Principal Financial and Accounting Officer) | |
| Nicolas Jaciuk | ||
| /s/ Kevin Klein | Vice President, Secretary and Director | |
| Kevin Klein | ||
| /s/ Davor Vukadin | Authorized Representative in the United States | |
| Davor Vukadin | ||
SIGNATURES
Pursuant to the requirements of the Securities Act of 1933, the registrant has duly caused this registration statement to be signed on its behalf by the undersigned, thereunto duly authorized in the Cayman Islands, on June 11, 2021.
| Alpha Offshore Drilling Services Company | ||
| By: | /s/ Abhay M. Shetty | |
| Name: | Abhay M. Shetty | |
| Title: | Director | |
Pursuant to the requirements of the Securities Act, this registration statement has been signed by the following persons in the capacities indicated below as of June 11, 2021.
| Signature | Title | |
| /s/ Jacques Eychenne | President and Director (Principal Executive Officer) | |
| Jacques Eychenne | ||
| /s/ Nicolas Jaciuk | Vice President, Treasurer and Director (Principal Financial and Accounting Officer) | |
| Nicolas Jaciuk | ||
| /s/ Abhay M. Shetty | Vice President, Secretary and Director | |
| Abhay M. Shetty | ||
| /s/ Davor Vukadin | Authorized Representative in the United States | |
| Davor Vukadin |
SIGNATURES
Pursuant to the requirements of the Securities Act of 1933, the registrant has duly caused this registration statement to be signed on its behalf by the undersigned, thereunto duly authorized in the Cayman Islands, on June 11, 2021.
| Alpha Orca Company | ||
| By: | /s/ Nicolas Jaciuk | |
| Name: | Nicolas Jaciuk | |
| Title: | Director | |
Pursuant to the requirements of the Securities Act, this registration statement has been signed by the following persons in the capacities indicated below as of June 11, 2021.
| Signature | Title | |
| /s/ Stephen L. Mooney | President and Director (Principal Executive Officer) | |
| Stephen L. Mooney | ||
| /s/ Nicolas Jaciuk |
Vice President, Treasurer and Director (Principal Financial and Accounting Officer) | |
| Nicolas Jaciuk | ||
| /s/ Kevin Klein | Vice President, Secretary and Director | |
| Kevin Klein | ||
| /s/ Jamie Nelson | Director | |
| Jamie Nelson | ||
| Authorized Representative in the United States | ||
| /s/ Davor Vukadin | ||
| Davor Vukadin | ||
SIGNATURES
Pursuant to the requirements of the Securities Act of 1933, the registrant has duly caused this registration statement to be signed on its behalf by the undersigned, thereunto duly authorized in Wilmington, Delaware, on June 11, 2021.
| Atlantic Maritime Services LLC | ||
| By: | /s/ Christian Ochoa | |
| Name: | Christian Ochoa | |
| Title: | Vice President and Secretary | |
Pursuant to the requirements of the Securities Act, this registration statement has been signed by the following persons in the capacities indicated below as of June 11, 2021.
| Signature | Title | |
| /s/ Jason Morganelli | President (Principal Executive Officer) | |
| Jason Morganelli | ||
| /s/ Ben Rose |
Vice President and Treasurer (Principal Financial and Accounting Officer) | |
| Ben Rose | ||
| /s/ Christian Ochoa | Vice President and Secretary | |
| Christian Ochoa |
SIGNATURES
Pursuant to the requirements of the Securities Act of 1933, the registrant has duly caused this registration statement to be signed on its behalf by the undersigned, thereunto duly authorized in Subiaco, Australia, on June 11, 2021.
| Atwood Australian Waters Drilling Pty Limited | ||
| By: | /s/ Nicolas Jaciuk | |
| Name: | Nicolas Jaciuk | |
| Title: | Director | |
Pursuant to the requirements of the Securities Act, this registration statement has been signed by the following persons in the capacities indicated below as of June 11, 2021.
| Signature | Title | |
| /s/ Nicolas Jaciuk | Director (Principal Executive, Financial and Accounting Officer) | |
| Nicolas Jaciuk | ||
| /s/ Abhay M. Shetty | Director | |
| Abhay M. Shetty | ||
| /s/ Kodjo Dogbe | Director, Company Secretary and Public Officer | |
| Kodjo Dogbe | ||
| /s/ Davor Vukadin | Authorized Representative in the United States | |
| Davor Vukadin | ||
SIGNATURES
Pursuant to the requirements of the Securities Act of 1933, the registrant has duly caused this registration statement to be signed on its behalf by the undersigned, thereunto duly authorized in Dallas, Texas, on June 11, 2021.
|
Atwood Deep Seas, Ltd. | ||
| By: | Atwood Hunter LLC, its general partner | |
| By: | /s/ Colleen W. Grable | |
| Name: | Colleen W. Grable | |
| Title: | Manager | |
Pursuant to the requirements of the Securities Act, this registration statement has been signed by the following persons in the capacities indicated below as of June 11, 2021.
| Signature | Title | |
| /s/ Colleen W. Grable | Member | |
| Colleen W. Grable |
SIGNATURES
Pursuant to the requirements of the Securities Act of 1933, the registrant has duly caused this registration statement to be signed on its behalf by the undersigned, thereunto duly authorized in Subiaco, Australia, on June 11, 2021.
| Atwood Oceanics Australia Pty Limited | ||
| By: | /s/ Nicolas Jaciuk | |
| Name: | Nicolas Jaciuk | |
| Title: | Director | |
Pursuant to the requirements of the Securities Act, this registration statement has been signed by the following persons in the capacities indicated below as of June 11, 2021.
| Signature | Title | |
| /s/ Nicolas Jaciuk | Director | |
| Nicolas Jaciuk | (Principal Executive, Financial and Accounting Officer) | |
| /s/ Abhay M. Shetty | ||
| Abhay M. Shetty | Director | |
| /s/ Kodjo Dogbe | ||
| Kodjo Dogbe | Director, Company Secretary and Public Officer | |
| /s/ Davor Vukadin | Authorized Representative in the United States | |
| Davor Vukadin |
SIGNATURES
Pursuant to the requirements of the Securities Act of 1933, the registrant has duly caused this registration statement to be signed on its behalf by the undersigned, thereunto duly authorized in Dallas, Texas, on June 11, 2021.
| Atwood Oceanics LLC | ||
| By: | /s/ Christian Ochoa | |
| Name: | Christian Ochoa | |
| Title: | Manager | |
Pursuant to the requirements of the Securities Act, this registration statement has been signed by the following persons in the capacities indicated below as of June 11, 2021.
| Signature | Title | |
| /s/ Christian Ochoa | Manager | |
| Christian Ochoa | (Principal Executive and Financial Officer) | |
| /s/ Colleen W. Grable | Manager (Principal Accounting Officer) | |
| Colleen W. Grable | ||
| /s/ Jason Morganelli | Manager | |
| Jason Morganelli |
SIGNATURES
Pursuant to the requirements of the Securities Act of 1933, the registrant has duly caused this registration statement to be signed on its behalf by the undersigned, thereunto duly authorized in Wilmington, Delaware, on June 11, 2021.
| Atwood Oceanics Management, LLC | ||
| By: | /s/ Christian Ochoa | |
| Name: | Christian Ochoa | |
| Title: | Manager | |
Pursuant to the requirements of the Securities Act, this registration statement has been signed by the following persons in the capacities indicated below as of June 11, 2021.
| Signature | Title | |
| /s/ Christian Ochoa | Manager (Principal Executive, Financial and Accounting Officer) | |
| Christian Ochoa | ||
| /s/ Colleen W. Grable | Manager | |
| Colleen W. Grable | ||
| /s/ Jason Morganelli | Manager | |
| Jason Morganelli |
SIGNATURES
Pursuant to the requirements of the Securities Act of 1933, the registrant has duly caused this registration statement to be signed on its behalf by the undersigned, thereunto duly authorized in the Cayman Islands, on June 11, 2021.
| Atwood Oceanics Pacific Limited | ||
| By: | /s/ Abhay M. Shetty | |
| Name: | Abhay M. Shetty | |
| Title: | Vice President, Secretary and Director | |
Pursuant to the requirements of the Securities Act, this registration statement has been signed by the following persons in the capacities indicated below as of June 11, 2021.
| Signature | Title | |
| /s/ Stephen L. Mooney | President and Director (Principal Executive Officer) | |
| Stephen L. Mooney | ||
| /s/ Nicolas Jaciuk | Vice President, Treasurer and Director (Principal Financial and Accounting Officer) | |
| Nicolas Jaciuk | ||
| /s/ Abhay M. Shetty | Vice President, Secretary and Director | |
| Abhay M. Shetty | ||
| /s/ Davor Vukadin | Authorized Representative in the United States | |
| Davor Vukadin |
SIGNATURES
Pursuant to the requirements of the Securities Act of 1933, the registrant has duly caused this registration statement to be signed on its behalf by the undersigned, thereunto duly authorized in Hong Kong, on June 11, 2021.
| Atwood Offshore Drilling Limited | ||
| By: | /s/ Christian Ochoa | |
| Name: | Christian Ochoa | |
| Title: | Director | |
Pursuant to the requirements of the Securities Act, this registration statement has been signed by the following persons in the capacities indicated below as of June 11, 2021.
| Signature | Title | |
| /s/ Christian Ochoa | Director (Principal Executive Officer) | |
| Christian Ochoa | ||
| /s/ Colleen W. Grable | Director (Principal Financial and Accounting Officer) | |
| Collen Grable | ||
| /s/ Himanshu Desai | Director | |
| Himanshu Desai | ||
| /s/ Davor Vukadin | Authorized Representative in the United States | |
| Davor Vukadin |
SIGNATURES
Pursuant to the requirements of the Securities Act of 1933, the registrant has duly caused this registration statement to be signed on its behalf by the undersigned, thereunto duly authorized in the Cayman Islands, on June 11, 2021.
| Atwood Offshore Worldwide Limited | ||
| By: | /s/ Abhay M. Shetty | |
| Name: | Abhay M. Shetty | |
| Title: | Vice President, Treasurer and Director | |
Pursuant to the requirements of the Securities Act, this registration statement has been signed by the following persons in the capacities indicated below as of June 11, 2021.
| Signature | Title | |
| /s/ Nicolas Jaciuk | President and Director (Principal Executive Officer) | |
| Nicolas Jaciuk | ||
| /s/ Abhay M. Shetty | Vice President, Treasurer and Director (Principal Financial and Accounting Officer) | |
| Abhay M. Shetty | ||
| /s/ Jacques Eychenne | Vice President, Secretary and Director | |
| Jacques Eychenne | ||
| /s/ Davor Vukadin | Authorized Representative in the United States | |
| Davor Vukadin |
SIGNATURES
Pursuant to the requirements of the Securities Act of 1933, the registrant has duly caused this registration statement to be signed on its behalf by the undersigned, thereunto duly authorized in the Cayman Islands, on June 11, 2021.
| ENSCO (Barbados) Limited | ||
| By: | /s/ Nicolas Jaciuk | |
| Name: | Nicolas Jaciuk | |
| Title: | Vice President, Treasurer and Director | |
Pursuant to the requirements of the Securities Act, this registration statement has been signed by the following persons in the capacities indicated below as of June 11, 2021.
| Signature | Title | |
| /s/ Stephen L. Mooney | President and Director (Principal Executive Officer) | |
| Stephen L. Mooney | ||
| /s/ Nicolas Jaciuk | Vice President, Treasurer and Director (Principal Financial and Accounting Officer) | |
| Nicolas Jaciuk | ||
| /s/ Kevin Klein | Vice President and Secretary | |
| Kevin Klein | ||
| /s/ Abhay M. Shetty | Director | |
| Abhay M. Shetty | ||
| /s/ Davor Vukadin | Authorized Representative in the United States | |
| Davor Vukadin |
SIGNATURES
Pursuant to the requirements of the Securities Act of 1933, the registrant has duly caused this registration statement to be signed on its behalf by the undersigned, thereunto duly authorized in Kyauktada Township, Yangon, Republic of Myanmar, on June 11, 2021.
| Ensco (Myanmar) Limited | ||
| By: | /s/ Christian Ochoa | |
| Name: | Christian Ochoa | |
| Title: | General Manager and Treasurer | |
Pursuant to the requirements of the Securities Act, this registration statement has been signed by the following persons in the capacities indicated below as of June 11, 2021.
| Signature | Title | |
| /s/ Christian Ochoa | General Manager and Treasurer (Principal Executive, Financial and Accounting Officer) | |
| Christian Ochoa | ||
| /s/ Abhay M. Shetty | General Manager and Director | |
| Abhay M. Shetty | ||
| /s/ Loi Jin Choo | Director | |
| Loi Jin Choo | ||
| /s/ Davor Vukadin | Authorized Representative in the United States | |
| Davor Vukadin |
SIGNATURES
Pursuant to the requirements of the Securities Act of 1933, the registrant has duly caused this registration statement to be signed on its behalf by the undersigned, thereunto duly authorized in Riyadh, Saudi Arabia, on June 11, 2021.
| ENSCO Arabia Co. Ltd. | ||
| By: | /s/ Edward B. Cozier II | |
| Name: | Edward B. Cozier II | |
| Title: | General Manager | |
Pursuant to the requirements of the Securities Act, this registration statement has been signed by the following persons in the capacities indicated below as of June 11, 2021.
| Signature | Title | |
| /s/ Edward B. Cozier II | General Manager (Principal Executive, Financial and Accounting Officer) | |
| Edward B. Cozier II | ||
| /s/ Davor Vukadin | Authorized Representative in the United States | |
| Davor Vukadin |
SIGNATURES
Pursuant to the requirements of the Securities Act of 1933, the registrant has duly caused this registration statement to be signed on its behalf by the undersigned, thereunto duly authorized in Dallas, Texas, on June 11, 2021.
| ENSCO Asia Company LLC | ||
| By: | /s/ Nicolas Jaciuk | |
| Name: | Nicolas Jaciuk | |
| Title: | President and Manager | |
Pursuant to the requirements of the Securities Act, this registration statement has been signed by the following persons in the capacities indicated below as of June 11, 2021.
| Signature | Title | |
| /s/ Nicolas Jaciuk | President and Manager (Principal Executive Officer) | |
| Nicolas Jaciuk | ||
| /s/ Abhay M. Shetty | Treasurer and Secretary (Principal Financial and Accounting Officer) | |
| Abhay M. Shetty | ||
| /s/ Jacques Eychenne | Manager | |
| Jacques Eychenne | ||
| /s/ Davor Vukadin | Authorized Representative in the United States | |
| Davor Vukadin |
SIGNATURES
Pursuant to the requirements of the Securities Act of 1933, the registrant has duly caused this registration statement to be signed on its behalf by the undersigned, thereunto duly authorized in Singapore, on June 11, 2021.
| ENSCO Asia Pacific Pte. Limited | ||
| By: | /s/ Christian Ochoa | |
| Name: | Christian Ochoa | |
| Title: | Director | |
Pursuant to the requirements of the Securities Act, this registration statement has been signed by the following persons in the capacities indicated below as of June 11, 2021.
| Signature | Title | |
| /s/ Christian Ochoa | Director (Principal Executive, Financial and Accounting Officer) | |
| Christian Ochoa | ||
| /s/ Abhay M. Shetty | Director | |
| Abhay M. Shetty | ||
| /s/ Patrick Jaswan | Director | |
| Patrick Jaswan | ||
| /s/ Davor Vukadin | Authorized Representative in the United States | |
| Davor Vukadin | ||
SIGNATURES
Pursuant to the requirements of the Securities Act of 1933, the registrant has duly caused this registration statement to be signed on its behalf by the undersigned, thereunto duly authorized in the Cayman Islands, on June 11, 2021.
| Ensco Associates Company | ||
| By: | /s/ David A. Armour | |
| Name: | David A. Armour | |
| Title: | President and Director | |
Pursuant to the requirements of the Securities Act, this registration statement has been signed by the following persons in the capacities indicated below as of June 11, 2021.
| Signature | Title | |
| /s/ David A. Armour | President and Director (Principal Executive Officer) | |
| David A. Armour | ||
| /s/ Kristin Larsen |
Vice President, Treasurer and Director (Principal Financial and Accounting Officer) | |
| Kristin Larsen | ||
| /s/ Colleen W. Grable | Vice President, Secretary and Director | |
| Colleen W. Grable | ||
| /s/ Jamie Nelson | Director | |
| Jamie Nelson | ||
| /s/ Davor Vukadin | Authorized Representative in the United States | |
| Davor Vukadin | ||
SIGNATURES
Pursuant to the requirements of the Securities Act of 1933, the registrant has duly caused this registration statement to be signed on its behalf by the undersigned, thereunto duly authorized in Subiaco, Australia, on June 11, 2021.
| ENSCO Australia Pty. Limited | ||
| By: | /s/ Kodjo Dogbe | |
| Name: | Kodjo Dogbe | |
| Title: | Director, Company Secretary and Public Officer | |
Pursuant to the requirements of the Securities Act, this registration statement has been signed by the following persons in the capacities indicated below as of June 11, 2021.
| Signature | Title | |
| /s/ Kodjo Dogbe | Public Officer, Company Secretary and Director (Principal Executive, Financial and Accounting Officer) | |
| Kodjo Dogbe | ||
| /s/ Nicolas Jaciuk | Secretary and Director | |
| Nicolas Jaciuk | ||
| /s/ Abhay M. Shetty | Secretary and Director | |
| Abhay M. Shetty | ||
| /s/ Davor Vukadin | Authorized Representative in the United States | |
| Davor Vukadin | ||
SIGNATURES
Pursuant to the requirements of the Securities Act of 1933, the registrant has duly caused this registration statement to be signed on its behalf by the undersigned, thereunto duly authorized in the Cayman Islands, on June 11, 2021.
| ENSCO Capital Limited | ||
| By: | /s/ Peter Wilson | |
| Name: | Peter Wilson | |
| Title: | President and Director | |
Pursuant to the requirements of the Securities Act, this registration statement has been signed by the following persons in the capacities indicated below as of June 11, 2021.
| Signature | Title | |
| /s/ Peter Wilson | President and Director (Principal Executive Officer) | |
| Peter Wilson | ||
| /s/ Stephen L. Mooney |
Secretary, Treasurer and Director (Principal Financial and Accounting Officer) | |
| Stephen L. Mooney | ||
| /s/ John Winton | Vice President and Director | |
| John Winton | ||
| /s/ Davor Vukadin | Authorized Representative in the United States | |
| Davor Vukadin | ||
SIGNATURES
Pursuant to the requirements of the Securities Act of 1933, the registrant has duly caused this registration statement to be signed on its behalf by the undersigned, thereunto duly authorized in Wilmington, Delaware, on June 11, 2021.
| ENSCO Corporate Resources LLC | ||
| By: | /s/ David A. Armour | |
| Name: | David A. Armour | |
| Title: | Vice President | |
Pursuant to the requirements of the Securities Act, this registration statement has been signed by the following persons in the capacities indicated below as of June 11, 2021.
| Signature | Title | |
| /s/ Derek Sample | President (Principal Executive Officer) | |
| Derek Sample | ||
| /s/ Darin Gibbins |
Vice President - Treasurer (Principal Financial and Accounting Officer) | |
| Darin Gibbins | ||
| /s/ David A. Armour | Vice President | |
| David A. Armour | ||
| /s/ Colleen W. Grable | Vice President and Secretary | |
| Colleen W. Grable |
SIGNATURES
Pursuant to the requirements of the Securities Act of 1933, the registrant has duly caused this registration statement to be signed on its behalf by the undersigned, thereunto duly authorized in London, England, on June 11, 2021.
| ENSCO Deepwater Drilling Limited | ||
| By: | /s/ Jonathan Cross | |
| Name: | Jonathan Cross | |
| Title: | Secretary and Director | |
Pursuant to the requirements of the Securities Act, this registration statement has been signed by the following persons in the capacities indicated below as of June 11, 2021.
| Signature | Title | |
| /s/ Jonathan Cross | Secretary and Director (Principal Executive, Financial and Accounting Officer) | |
| Jonathan Cross | ||
| /s/ Stephen L. Mooney | Director | |
| Stephen L. Mooney | ||
| /s/ Peter Wilson | Director | |
| Peter Wilson | ||
| /s/ Davor Vukadin | Authorized Representative in the United States | |
| Davor Vukadin | ||
SIGNATURES
Pursuant to the requirements of the Securities Act of 1933, the registrant has duly caused this registration statement to be signed on its behalf by the undersigned, thereunto duly authorized in Wilmington, Delaware, on June 11, 2021.
| ENSCO Deepwater USA II LLC | ||
| By: | /s/ Ben Rose | |
| Name: | Ben Rose | |
| Title: | Vice President and Secretary | |
Pursuant to the requirements of the Securities Act, this registration statement has been signed by the following persons in the capacities indicated below as of June 11, 2021.
| Signature | Title | |
| /s/ Nicolas Jaciuk | President (Principal Executive Officer) | |
| Nicolas Jaciuk | ||
| /s/ Derek Sample |
Vice President and Treasurer (Principal Financial and Accounting Officer) | |
| Derek Sample | ||
| /s/ Ben Rose | Vice President and Secretary | |
| Ben Rose | ||
SIGNATURES
Pursuant to the requirements of the Securities Act of 1933, the registrant has duly caused this registration statement to be signed on its behalf by the undersigned, thereunto duly authorized in the Cayman Islands, on June 11, 2021.
| ENSCO Development Limited | ||
| By: | /s/ Nicolas Jaciuk | |
| Name: | Nicolas Jaciuk | |
| Title: | President and Director | |
Pursuant to the requirements of the Securities Act, this registration statement has been signed by the following persons in the capacities indicated below as of June 11, 2021.
| Signature | Title | |
| /s/ Nicolas Jaciuk | President and Director (Principal Executive Officer) | |
| Nicolas Jaciuk | ||
| /s/ Abhay M. Shetty |
Vice President, Treasurer and Director (Principal Financial and Accounting Officer) | |
| Abhay M. Shetty | ||
| /s/ Aravind Nair | Vice President and Secretary | |
| Aravind Nair | ||
| /s/ Stephen L. Mooney | Director | |
| Stephen L. Mooney | ||
| /s/ Davor Vukadin | Authorized Representative in the United States | |
| Davor Vukadin | ||
SIGNATURES
Pursuant to the requirements of the Securities Act of 1933, the registrant has duly caused this registration statement to be signed on its behalf by the undersigned, thereunto duly authorized in Rio de Janeiro, Brazil, on June 11, 2021.
| Ensco do Brasil Petróleo e Gás Ltda. | ||
| By: | /s/ Vinicius Lemes | |
| Name: | Vinicius Lemes | |
| Title: | Managing Financial Officer | |
Pursuant to the requirements of the Securities Act, this registration statement has been signed by the following persons in the capacities indicated below as of June 11, 2021.
| Signature | Title | |
| /s/ Vinicius Lemes | Managing Financial Officer (Principal Executive, Financial and Accounting Officer) | |
| Vinicius Lemes | ||
| /s/ Carmen Gomes Romero Gullo | Marketing Officer | |
| Carmen Gomes Romero Gullo | ||
| /s/ Davor Vukadin | Authorized Representative in the United States | |
| Davor Vukadin | ||
SIGNATURES
Pursuant to the requirements of the Securities Act of 1933, the registrant has duly caused this registration statement to be signed on its behalf by the undersigned, thereunto duly authorized in the Cayman Islands, on June 11, 2021.
| Ensco Drilling I Ltd | ||
| By: | /s/ Jonathan Cross | |
| Name: | Jonathan Cross | |
| Title: | Director | |
Pursuant to the requirements of the Securities Act, this registration statement has been signed by the following persons in the capacities indicated below as of June 11, 2021.
| Signature | Title | |
| /s/ Jonathan Cross | Director (Principal Executive, Financial and Accounting Officer) | |
| Jonathan Cross | ||
| /s/ Nicolas Jaciuk | Director | |
| Nicolas Jaciuk | ||
| /s/ Kevin Klein | Director | |
| Kevin Klein | ||
| /s/ Stephen L. Mooney | Director | |
| Stephen L. Mooney | ||
| /s/ Davor Vukadin | Authorized Representative in the United States | |
| Davor Vukadin | ||
SIGNATURES
Pursuant to the requirements of the Securities Act of 1933, the registrant has duly caused this registration statement to be signed on its behalf by the undersigned, thereunto duly authorized in Wilmington, Delaware, on June 11, 2021.
| ENSCO Drilling Mexico LLC | ||
| By: | /s/ Christian Ochoa | |
| Name: | Christian Ochoa | |
| Title: | Vice President and Treasurer | |
Pursuant to the requirements of the Securities Act, this registration statement has been signed by the following persons in the capacities indicated below as of June 11, 2021.
| Signature | Title | |
| /s/ Jason Morganelli | President (Principal Executive Officer) | |
| Jason Morganelli | ||
| /s/ Christian Ochoa |
Vice President and Treasurer (Principal Financial and Accounting Officer) | |
| Christian Ochoa | ||
| /s/ Colleen W. Grable | Vice President and Secretary | |
| Colleen W. Grable |
SIGNATURES
Pursuant to the requirements of the Securities Act of 1933, the registrant has duly caused this registration statement to be signed on its behalf by the undersigned, thereunto duly authorized in the Cayman Islands, on June 11, 2021.
| Ensco Endeavors Limited | ||
| By: | /s/ Peter Wilson | |
| Name: | Peter Wilson | |
| Title: | President and Director | |
Pursuant to the requirements of the Securities Act, this registration statement has been signed by the following persons in the capacities indicated below as of June 11, 2021.
| Signature | Title | |
| /s/ Peter Wilson | President and Director (Principal Executive Officer) | |
| Peter Wilson | ||
| /s/ Jonathan Cross |
Vice President and Treasurer (Principal Financial and Accounting Officer) | |
| Jonathan Cross | ||
| /s/ Stephen L. Mooney | Vice President, Secretary and Director | |
| Stephen L. Mooney | ||
| /s/ John Winton | Director | |
| John Winton | ||
| /s/ Davor Vukadin | Authorized Representative in the United States | |
| Davor Vukadin |
SIGNATURES
Pursuant to the requirements of the Securities Act of 1933, the registrant has duly caused this registration statement to be signed on its behalf by the undersigned, thereunto duly authorized in the City of Baar, Switzerland, on June 11, 2021.
| ENSCO Global GmbH | ||
| By: | /s/ Nicolas Jaciuk | |
| Name: | Nicolas Jaciuk | |
| Title: | Director | |
Pursuant to the requirements of the Securities Act, this registration statement has been signed by the following persons in the capacities indicated below as of June 11, 2021.
| Signature | Title | |
| /s/ Stephen L. Mooney | Chairman and Managing Officer (Principal Executive, Financial and Accounting Officer) | |
| Stephen L. Mooney | ||
| /s/ Nicolas Jaciuk | Managing Officer | |
| Nicolas Jaciuk | ||
| /s/ Kevin Klein | Managing Officer | |
| Kevin Klein | ||
| /s/ Davor Vukadin | Authorized Representative in the United States | |
| Davor Vukadin |
SIGNATURES
Pursuant to the requirements of the Securities Act of 1933, the registrant has duly caused this registration statement to be signed on its behalf by the undersigned, thereunto duly authorized in the Cayman Islands, on June 11, 2021.
| Ensco Global II Ltd. | ||
| By: | /s/ Kevin Klein | |
| Name: | Kevin Klein | |
| Title: | President and Director | |
Pursuant to the requirements of the Securities Act, this registration statement has been signed by the following persons in the capacities indicated below as of June 11, 2021.
| Signature | Title | |
| /s/ Kevin Klein | President and Director (Principal Executive Officer) | |
| Kevin Klein | ||
| /s/ Colleen W. Grable |
Vice President, Treasurer and Director (Principal Financial and Accounting Officer) | |
| Colleen W. Grable | ||
| /s/ Nicolas Jaciuk | Vice President, Secretary and Director | |
| Nicolas Jaciuk | ||
| /s/ Davor Vukadin | Authorized Representative in the United States | |
| Davor Vukadin |
SIGNATURES
Pursuant to the requirements of the Securities Act of 1933, the registrant has duly caused this registration statement to be signed on its behalf by the undersigned, thereunto duly authorized in London, England, on June 11, 2021.
| ENSCO Global Investments LP | ||
| By: | ENSCO Universal Limited, its general partner | |
| By: | /s/ Peter Wilson | |
| Name: | Peter Wilson | |
| Title: | Director | |
Pursuant to the requirements of the Securities Act, this registration statement has been signed by the following persons in the capacities indicated below as of June 11, 2021.
| Signature | Title | |
| /s/ Peter Wilson | Director (Principal Executive, Financial and Accounting Officer) | |
| Peter Wilson | ||
| /s/ Davor Vukadin | Authorized Representative in the United States | |
| Davor Vukadin |
SIGNATURES
Pursuant to the requirements of the Securities Act of 1933, the registrant has duly caused this registration statement to be signed on its behalf by the undersigned, thereunto duly authorized in the British Virgin Islands, on June 11, 2021.
| Ensco Global IV Ltd. | ||
| By: | /s/ Nicolas Jaciuk | |
| Name: | Nicolas Jaciuk | |
| Title: | Director | |
Pursuant to the requirements of the Securities Act, this registration statement has been signed by the following persons in the capacities indicated below as of June 11, 2021.
| Signature | Title | |
| /s/ Stephen L. Mooney | President and Director (Principal Executive Officer) | |
| Stephen L. Mooney | ||
| /s/ Abhay M. Shetty |
Vice President and Treasurer (Principal Financial and Accounting Officer) | |
| Abhay M. Shetty | ||
| /s/ Kevin Klein | Vice President and Secretary | |
| Kevin Klein | ||
| /s/ Nicolas Jaciuk | Director | |
| Nicolas Jaciuk | ||
| /s/ Jacques Eychenne | Director | |
| Jacques Eychenne | ||
| /s/ Davor Vukadin | Authorized Representative in the United States | |
| Davor Vukadin |
SIGNATURES
Pursuant to the requirements of the Securities Act of 1933, the registrant has duly caused this registration statement to be signed on its behalf by the undersigned, thereunto duly authorized in the Cayman Islands, on June 11, 2021.
| ENSCO Global Limited | ||
| By: | /s/ Peter Wilson | |
| Name: | Peter Wilson | |
| Title: | President and Director | |
Pursuant to the requirements of the Securities Act, this registration statement has been signed by the following persons in the capacities indicated below as of June 11, 2021.
| Signature | Title | |
| /s/ Peter Wilson | President and Director (Principal Executive Officer) | |
| Peter Wilson | ||
| /s/ John Winton |
Vice President, Treasurer, Secretary and Director (Principal Financial and Accounting Officer) | |
| John Winton | ||
| /s/ Gilles Luca | Senior Vice President and Director | |
| Gilles Luca | ||
| /s/ Davor Vukadin | Authorized Representative in the United States | |
| Davor Vukadin |
SIGNATURES
Pursuant to the requirements of the Securities Act of 1933, the registrant has duly caused this registration statement to be signed on its behalf by the undersigned, thereunto duly authorized in London, England, on June 11, 2021.
| ENSCO Global Resources Limited | ||
| By: | /s/ Peter Wilson | |
| Name: | Peter Wilson | |
| Title: | Director | |
Pursuant to the requirements of the Securities Act, this registration statement has been signed by the following persons in the capacities indicated below as of June 11, 2021.
| Signature | Title | |
| /s/ Peter Wilson | Director (Principal Executive, Financial and Accounting Officer) | |
| Peter Wilson | ||
| /s/ John Winton | Director | |
| John Winton | ||
| /s/ Stephen L. Mooney | Director | |
| Stephen L. Mooney | ||
| /s/ Davor Vukadin | Authorized Representative in the United States | |
| Davor Vukadin |
SIGNATURES
Pursuant to the requirements of the Securities Act of 1933, the registrant has duly caused this registration statement to be signed on its behalf by the undersigned, thereunto duly authorized in London, England, on June 11, 2021.
| Ensco Holdco Limited | ||
| By: | /s/ Peter Wilson | |
| Name: | Peter Wilson | |
| Title: | Director | |
Pursuant to the requirements of the Securities Act, this registration statement has been signed by the following persons in the capacities indicated below as of June 11, 2021.
| Signature | Title | |
| /s/ Peter Wilson | Director (Principal Executive, Financial and Accounting Officer) | |
| Peter Wilson | ||
| /s/ Gilles Luca | Director | |
| Gilles Luca | ||
| /s/ John Winton | Director | |
| John Winton | ||
| /s/ Davor Vukadin | Authorized Representative in the United States | |
| Davor Vukadin |
SIGNATURES
Pursuant to the requirements of the Securities Act of 1933, the registrant has duly caused this registration statement to be signed on its behalf by the undersigned, thereunto duly authorized in Wilmington, Delaware, on June 11, 2021.
| ENSCO Holding Company | ||
| By: | /s/ Christian Ochoa | |
| Name: | Christian Ochoa | |
| Title: | Vice President, Treasurer and Director | |
Pursuant to the requirements of the Securities Act, this registration statement has been signed by the following persons in the capacities indicated below as of June 11, 2021.
| Signature | Title | |
| /s/ Jason Morganelli | President (Principal Executive Officer) | |
| Jason Morganelli | ||
| /s/ Christian Ochoa |
Vice President, Treasurer and Director (Principal Financial Officer and Accounting Officer) | |
| Christian Ochoa | ||
| /s/ Colleen W. Grable | Vice President, Secretary and Director | |
| Colleen W. Grable | ||
| /s/ David A. Armour | Director | |
| David A. Armour |
SIGNATURES
Pursuant to the requirements of the Securities Act of 1933, the registrant has duly caused this registration statement to be signed on its behalf by the undersigned, thereunto duly authorized in the Cayman Islands, on June 11, 2021.
| Ensco Holdings I Ltd | ||
| By: | /s/ Christian Ochoa | |
| Name: | Christian Ochoa | |
| Title: | Vice President, Secretary and Director | |
Pursuant to the requirements of the Securities Act, this registration statement has been signed by the following persons in the capacities indicated below as of June 11, 2021.
| Signature | Title | |
| /s/ Nicolas Jaciuk | President and Director (Principal Executive Officer) | |
| Nicolas Jaciuk | ||
| /s/ Stephen L. Mooney |
Vice President, Treasurer and Director (Principal Financial and Accounting Officer) | |
| Stephen L. Mooney | ||
| /s/ Christian Ochoa | Vice President, Secretary and Director | |
| Christian Ochoa | ||
| /s/ Davor Vukadin | Authorized Representative in the United States | |
| Davor Vukadin | ||
SIGNATURES
Pursuant to the requirements of the Securities Act of 1933, the registrant has duly caused this registration statement to be signed on its behalf by the undersigned, thereunto duly authorized in Dallas, Texas, on June 11, 2021.
| Ensco Incorporated | ||
| By: | /s/ Christian Ochoa | |
| Name: | Christian Ochoa | |
| Title: | Vice President, Treasurer and Director | |
Pursuant to the requirements of the Securities Act, this registration statement has been signed by the following persons in the capacities indicated below as of June 11, 2021.
| Signature | Title | |
| /s/ Colleen W. Grable | President and Director (Principal Executive Officer) | |
| Colleen W. Grable | ||
| /s/ Christian Ochoa |
Vice President, Treasurer and Director (Principal Financial and Accounting Officer) | |
| Christian Ochoa | ||
| /s/ Kristin Larsen | Vice President and Secretary | |
| Kristin Larsen | ||
SIGNATURES
Pursuant to the requirements of the Securities Act of 1933, the registrant has duly caused this registration statement to be signed on its behalf by the undersigned, thereunto duly authorized in the City of Baar, Switzerland, on June 11, 2021.
| Ensco Intercontinental GmbH | ||
| By: | /s/ Nicolas Jaciuk | |
| Name: | Nicolas Jaciuk | |
| Title: | Managing Officer | |
Pursuant to the requirements of the Securities Act, this registration statement has been signed by the following persons in the capacities indicated below as of June 11, 2021.
| Signature | Title | |
| /s/ Stephen L. Mooney | Chairman and Managing Officer (Principal Executive, Financial and Accounting Officer) | |
| Stephen L. Mooney | ||
| /s/ Nicolas Jaciuk | Managing Officer | |
| Nicolas Jaciuk | ||
| /s/ Kevin Klein | Managing Officer | |
| Kevin Klein | ||
| /s/ Davor Vukadin | Authorized Representative in the United States | |
| Davor Vukadin | ||
SIGNATURES
Pursuant to the requirements of the Securities Act of 1933, the registrant has duly caused this registration statement to be signed on its behalf by the undersigned, thereunto duly authorized in Wilmington, Delaware, on June 11, 2021.
| ENSCO International Incorporated | ||
| By: | /s/ Christian Ochoa | |
| Name: | Christian Ochoa | |
| Title: | Vice President, Treasurer and Director | |
Pursuant to the requirements of the Securities Act, this registration statement has been signed by the following persons in the capacities indicated below as of June 11, 2021.
| Signature | Title | |
| /s/ Jason Morganelli | President and Director (Principal Executive Officer) | |
| Jason Morganelli | ||
| /s/ Christian Ochoa |
Vice President, Treasurer and Director (Principal Financial Officer and Accounting Officer) | |
| Christian Ochoa | ||
| /s/ Colleen W. Grable | Vice President, Secretary and Director | |
| Colleen W. Grable | ||
SIGNATURES
Pursuant to the requirements of the Securities Act of 1933, the registrant has duly caused this registration statement to be signed on its behalf by the undersigned, thereunto duly authorized in the British Virgin Islands, on June 11, 2021.
| Ensco International Ltd. | ||
| By: | /s/ Jonathan P. Cross | |
| Name: | Jonathan P. Cross | |
| Title: | Vice President, Secretary and Director | |
Pursuant to the requirements of the Securities Act, this registration statement has been signed by the following persons in the capacities indicated below as of June 11, 2021.
| Signature | Title | |
| /s/ Peter Wilson | President and Director (Principal Executive Officer) | |
| Peter Wilson | ||
| /s/ Stephen L. Mooney |
Vice President, Treasurer and Director (Principal Financial and Accounting Officer) | |
| Stephen L. Mooney | ||
| /s/ Jonathan Cross | Vice President, Secretary and Director | |
| Jonathan Cross | ||
| /s/ Davor Vukadin | Authorized Representative in the United States | |
| Davor Vukadin | ||
SIGNATURES
Pursuant to the requirements of the Securities Act of 1933, the registrant has duly caused this registration statement to be signed on its behalf by the undersigned, thereunto duly authorized in Carson City, Nevada, on June 11, 2021.
| ENSCO Investments LLC | ||
| By: | /s/ Peter Wilson | |
| Name: | Peter Wilson | |
| Title: | Manager | |
Pursuant to the requirements of the Securities Act, this registration statement has been signed by the following persons in the capacities indicated below as of June 11, 2021.
| Signature | Title | |
| /s/ John Winton | President and Manager (Principal Executive Officer) | |
| John Winton | ||
| /s/ Stephen L. Mooney |
Secretary, Treasurer and Manager (Principal Financial and Accounting Officer) | |
| Stephen L. Mooney | ||
| /s/ Peter Wilson | Vice President and Manager | |
| Peter Wilson | ||
SIGNATURES
Pursuant to the requirements of the Securities Act of 1933, the registrant has duly caused this registration statement to be signed on its behalf by the undersigned, thereunto duly authorized in St. Helier, Jersey, on June 11, 2021.
| Ensco Jersey Finance Limited | ||
| By: | /s/ Jonathan Cross | |
| Name: | Jonathan Cross | |
| Title: | Director | |
Pursuant to the requirements of the Securities Act, this registration statement has been signed by the following persons in the capacities indicated below as of June 11, 2021.
| Signature | Title | |
| /s/ Jonathan Cross | Director (Principal Executive, Financial and Accounting Officer) | |
| Jonathan Cross | ||
| /s/ John Winton | Director | |
| John Winton | ||
| /s/ Davor Vukadin | Authorized Representative in the United States | |
| Davor Vukadin | ||
SIGNATURES
Pursuant to the requirements of the Securities Act of 1933, the registrant has duly caused this registration statement to be signed on its behalf by the undersigned, thereunto duly authorized in the Cayman Islands, on June 11, 2021.
| ENSCO Limited | ||
| By: | /s/ Jacques Eychenne | |
| Name: | Jacques Eychenne | |
| Title: | President and Director | |
Pursuant to the requirements of the Securities Act, this registration statement has been signed by the following persons in the capacities indicated below as of June 11, 2021.
| Signature | Title | |
| /s/ Jacques Eychenne | President and Director (Principal Executive Officer) | |
| Jacques Eychenne | ||
| /s/ Abhay M. Shetty |
Vice President, Treasurer and Director (Principal Financial and Accounting Officer) | |
| Abhay M. Shetty | ||
| /s/ Jamie Nelson |
Director
| |
| Jamie Nelson | ||
| /s/ Nicolas Jaciuk | Vice President, Secretary and Director | |
| Nicolas Jaciuk | ||
| /s/ Davor Vukadin | Authorized Representative in the United States | |
| Davor Vukadin | ||
SIGNATURES
Pursuant to the requirements of the Securities Act of 1933, the registrant has duly caused this registration statement to be signed on its behalf by the undersigned, thereunto duly authorized in the British Virgin Islands, on June 11, 2021.
| Ensco Management Corp | ||
| By: | /s/ Abhay M. Shetty | |
| Name: | Abhay M. Shetty | |
| Title: | Vice President, Treasurer and Director | |
Pursuant to the requirements of the Securities Act, this registration statement has been signed by the following persons in the capacities indicated below as of June 11, 2021.
| Signature | Title | |
| /s/ Stephen L. Mooney | President and Director (Principal Executive Officer) | |
| Stephen L. Mooney | ||
| /s/ Abhay M. Shetty | Vice President, Treasurer and Director (Principal Financial and Accounting Officer) | |
| Abhay M. Shetty | ||
| /s/ Nicolas Jaciuk | Vice President, Secretary and Director | |
| Nicolas Jaciuk | ||
| /s/ Davor Vukadin | Authorized Representative in the United States | |
| Davor Vukadin | ||
SIGNATURES
Pursuant to the requirements of the Securities Act of 1933, the registrant has duly caused this registration statement to be signed on its behalf by the undersigned, thereunto duly authorized in Hamilton, Bermuda, on June 11, 2021.
| ENSCO Maritime Limited | ||
| By: | /s/ Stephen L. Mooney | |
| Name: | Stephen L. Mooney | |
| Title: | President and Director | |
Pursuant to the requirements of the Securities Act, this registration statement has been signed by the following persons in the capacities indicated below as of June 11, 2021.
| Signature | Title | |
| /s/ Stephen L. Mooney | President and Director (Principal Executive Officer) | |
| Stephen L. Mooney | ||
| /s/ Kevin Klein |
Vice President, Treasurer and Director (Principal Financial and Accounting Officer) | |
| Kevin Klein | ||
| /s/ Jacques Eychenne | Director | |
| Jacques Eychenne | ||
| /s/ Davor Vukadin | Authorized Representative in the United States | |
| Davor Vukadin | ||
SIGNATURES
Pursuant to the requirements of the Securities Act of 1933, the registrant has duly caused this registration statement to be signed on its behalf by the undersigned, thereunto duly authorized in Ciudad del Carmen, Mexico, on June 11, 2021.
| Ensco Mexico Services S. de R.L. | ||
| By: | /s/ Christian Ochoa | |
| Name: | Christian Ochoa | |
| Title: | President | |
Pursuant to the requirements of the Securities Act, this registration statement has been signed by the following persons in the capacities indicated below as of June 11, 2021.
| Signature | Title | |
| /s/ Christian Ochoa | President (Principal Executive, Financial and Accounting Officer) | |
| Christian Ochoa | ||
| /s/ Ezequiel Martinez | Vice President | |
| Ezequiel Martinez | ||
| /s/ Ben Rose | Vice President | |
| Ben Rose | ||
| /s/ Davor Vukadin | Authorized Representative in the United States | |
| Davor Vukadin |
SIGNATURES
Pursuant to the requirements of the Securities Act of 1933, the registrant has duly caused this registration statement to be signed on its behalf by the undersigned, thereunto duly authorized in the Cayman Islands, on June 11, 2021.
| Ensco Ocean 2 Company | ||
| By: | /s/ Nicolas Jaciuk | |
| Name: | Nicolas Jaciuk | |
| Title: | Director | |
Pursuant to the requirements of the Securities Act, this registration statement has been signed by the following persons in the capacities indicated below as of June 11, 2021.
| Signature | Title | |
| /s/ Nicolas Jaciuk | Director (Principal Executive, Financial and Accounting Officer) | |
| Nicolas Jaciuk | ||
| /s/ Kevin Klein | Director | |
| Kevin Klein | ||
| /s/ Stephen L. Mooney | Director | |
| Stephen L. Mooney | ||
| /s/ Davor Vukadin | Authorized Representative in the United States | |
| Davor Vukadin |
SIGNATURES
Pursuant to the requirements of the Securities Act of 1933, the registrant has duly caused this registration statement to be signed on its behalf by the undersigned, thereunto duly authorized in Wilmington, Delaware, on June 11, 2021.
| ENSCO Oceanics Company LLC | ||
| By: | /s/ Nicolas Jaciuk | |
| Name: | Nicolas Jaciuk | |
| Title: | President and Manager | |
Pursuant to the requirements of the Securities Act, this registration statement has been signed by the following persons in the capacities indicated below as of June 11, 2021.
| Signature | Title | |
| /s/ Nicolas Jaciuk | President and Manager (Principal Executive Officer) | |
| Nicolas Jaciuk | ||
| /s/ Abhay M. Shetty |
Secretary and Treasurer (Principal Financial and Accounting Officer) | |
| Abhay M. Shetty | ||
| /s/ Jacques Eychenne | Manager | |
| Jacques Eychenne |
SIGNATURES
Pursuant to the requirements of the Securities Act of 1933, the registrant has duly caused this registration statement to be signed on its behalf by the undersigned, thereunto duly authorized in the Cayman Islands, on June 11, 2021.
| ENSCO Oceanics International Company | ||
| By: | /s/ Abhay M. Shetty | |
| Name: | Abhay M. Shetty | |
| Title: | Vice President, Secretary and Director | |
Pursuant to the requirements of the Securities Act, this registration statement has been signed by the following persons in the capacities indicated below as of June 11, 2021.
| Signature | Title | |
| /s/ Stephen L. Mooney | President and Director (Principal Executive Officer) | |
| Stephen L. Mooney | ||
| /s/ Nicolas Jaciuk |
Vice President, Treasurer and Director (Principal Finance and Accounting Officer) | |
| Nicolas Jaciuk | ||
| /s/ Abhay M. Shetty |
Vice President, Secretary and Director | |
| Abhay M. Shetty | (Principal Finance and Accounting Officer) | |
| /s/ Jacques Eychenne | Vice President and Director | |
| Jacques Eychenne | ||
| /s/ Davor Vukadin | Authorized Representative in the United States | |
| Davor Vukadin |
SIGNATURES
Pursuant to the requirements of the Securities Act of 1933, the registrant has duly caused this registration statement to be signed on its behalf by the undersigned, thereunto duly authorized in Wilmington, Delaware, on June 11, 2021.
| ENSCO Offshore LLC | ||
| By: | /s/ Jason Morganelli | |
| Name: | Jason Morganelli | |
| Title: | President | |
Pursuant to the requirements of the Securities Act, this registration statement has been signed by the following persons in the capacities indicated below as of June 11, 2021.
| Signature | Title | |
| /s/ Jason Morganelli | President (Principal Executive Officer) | |
| Jason Morganelli | ||
| /s/ Christian Ochoa |
Vice President and Treasurer (Principal Financial and Accounting Officer) | |
| Christian Ochoa | ||
|
/s/ Colleen W. Grable |
Vice President and Secretary | |
| Colleen W. Grable |
SIGNATURES
Pursuant to the requirements of the Securities Act of 1933, the registrant has duly caused this registration statement to be signed on its behalf by the undersigned, thereunto duly authorized in the Cayman Islands, on June 11, 2021.
| ENSCO Offshore International Company | ||
| By: | /s/ Nicolas Jaciuk | |
| Name: | Nicolas Jaciuk | |
| Title: | Vice President, Treasurer and Director | |
Pursuant to the requirements of the Securities Act, this registration statement has been signed by the following persons in the capacities indicated below as of June 11, 2021.
| Signature | Title | |
| /s/ Stephen L. Mooney | President and Director (Principal Executive Officer) | |
| Stephen L. Mooney | ||
| /s/ Nicolas Jaciuk |
Vice President, Treasurer and Director (Principal Financial and Accounting Officer) | |
| Nicolas Jaciuk | ||
| /s/ Kevin Klein | Vice President, Secretary and Director | |
| Kevin Klein | ||
| /s/ Jamie Nelson | Director | |
| Jamie Nelson | ||
| /s/ Davor Vukadin | Authorized Representative in the United States | |
| Davor Vukadin | ||
SIGNATURES
Pursuant to the requirements of the Securities Act of 1933, the registrant has duly caused this registration statement to be signed on its behalf by the undersigned, thereunto duly authorized in the Cayman Islands, on June 11, 2021.
| ENSCO Offshore International Holdings Limited | ||
| By: | /s/ Jonathan Cross | |
| Name: | Jonathan Cross | |
| Title: | Vice President, Secretary and Director | |
Pursuant to the requirements of the Securities Act, this registration statement has been signed by the following persons in the capacities indicated below as of June 11, 2021.
| Signature | Title | |
| /s/ Stephen L. Mooney | President and Director (Principal Executive Officer) | |
| Stephen L. Mooney | ||
| /s/ Peter Wilson |
Vice President, Treasurer and Director (Principal Financial and Accounting Officer) | |
| Peter Wilson | ||
| /s/ Jonathan Cross | Vice President, Secretary and Director | |
| Jonathan Cross | ||
| /s/ Davor Vukadin | Authorized Representative in the United States | |
| Davor Vukadin |
SIGNATURES
Pursuant to the requirements of the Securities Act of 1933, the registrant has duly caused this registration statement to be signed on its behalf by the undersigned, thereunto duly authorized in the Marshall Islands, on June 11, 2021.
| ENSCO Offshore International Inc. | ||
| By: | /s/ Nicolas Jaciuk | |
| Name: | Nicolas Jaciuk | |
| Title: | Director | |
Pursuant to the requirements of the Securities Act, this registration statement has been signed by the following persons in the capacities indicated below as of June 11, 2021.
| Signature | Title | |
| /s/ Stephen L. Mooney | President and Director (Principal Executive, Financial and Accounting Officer) | |
| Stephen L. Mooney | ||
| /s/ Kevin Klein | Vice President and Secretary | |
| Kevin Klein | ||
| /s/ Nicolas Jaciuk |
Director
| |
| Nicolas Jaciuk | ||
| /s/ Abhay M. Shetty | Director | |
| Abhay M. Shetty | ||
| /s/ Davor Vukadin | Authorized Representative in the United States | |
| Davor Vukadin |
SIGNATURES
Pursuant to the requirements of the Securities Act of 1933, the registrant has duly caused this registration statement to be signed on its behalf by the undersigned, thereunto duly authorized in Wilmington, Delaware, on June 11, 2021.
| ENSCO Offshore International LLC | ||
| By: | /s/ Jason Morganelli | |
| Name: | Jason Morganelli | |
| Title: | President | |
Pursuant to the requirements of the Securities Act, this registration statement has been signed by the following persons in the capacities indicated below as of June 11, 2021.
| Signature | Title | |
| /s/ Jason Morganelli | President (Principal Executive Officer) | |
| Jason Morganelli | ||
| /s/ Christian Ochoa |
Vice President and Treasurer (Principal Financial and Accounting Officer) | |
| Christian Ochoa | ||
| /s/ Colleen W. Grable | Vice President and Secretary | |
| Colleen W. Grable |
SIGNATURES
Pursuant to the requirements of the Securities Act of 1933, the registrant has duly caused this registration statement to be signed on its behalf by the undersigned, thereunto duly authorized in Rio de Janeiro, Brazil, on June 11, 2021.
| Ensco Offshore Petróleo e Gás Ltda. | ||
| By: | /s/ Vinicius Lemes | |
| Name: | Vinicius Lemes | |
| Title: | Managing Financial Officer | |
Pursuant to the requirements of the Securities Act, this registration statement has been signed by the following persons in the capacities indicated below as of June 11, 2021.
| Signature | Title | |
| /s/ Vinicius Lemes | Managing Financial Officer (Principal Executive, Financial and Accounting Officer) | |
| Vinicius Lemes | ||
| /s/ Carmen Gullo | Marketing Director | |
| Carmen Gullo | ||
| /s/ Davor Vukadin | Authorized Representative in the United States | |
| Davor Vukadin |
SIGNATURES
Pursuant to the requirements of the Securities Act of 1933, the registrant has duly caused this registration statement to be signed on its behalf by the undersigned, thereunto duly authorized in London, England, on June 11, 2021.
| ENSCO Offshore U.K. Limited | ||
| By: | /s/ Peter Wilson | |
| Name: | Peter Wilson | |
| Title: | Director | |
Pursuant to the requirements of the Securities Act, this registration statement has been signed by the following persons in the capacities indicated below as of June 11, 2021.
| Signature | Title | |
| /s/ Peter Wilson | Director (Principal Executive, Financial and Accounting Officer) | |
| Peter Wilson | ||
| /s/ Jools Coghill |
Director
| |
| Jools Coghill | ||
| /s/ Kevin Klein |
Secretary and Director
| |
| Kevin Klein | ||
| /s/ Stephen L. Mooney | Secretary and Director | |
| Stephen L. Mooney | ||
| /s/ Davor Vukadin |
Authorized Representative in the United States
| |
| Davor Vukadin |
SIGNATURES
Pursuant to the requirements of the Securities Act of 1933, the registrant has duly caused this registration statement to be signed on its behalf by the undersigned, thereunto duly authorized in the Cayman Islands, on June 11, 2021.
| ENSCO Overseas Limited | ||
| By: | /s/ Kevin Klein | |
| Name: | Kevin Klein | |
| Title: | Vice President, Secretary and Director | |
Pursuant to the requirements of the Securities Act, this registration statement has been signed by the following persons in the capacities indicated below as of June 11, 2021.
| Signature | Title | |
| /s/ Stephen L. Mooney | President and Director (Principal Executive Officer) | |
| Stephen L. Mooney | ||
| /s/ Nicolas Jaciuk |
Vice President, Treasurer and Director (Principal Financial and Accounting Officer) | |
| Nicolas Jaciuk | ||
| /s/ Kevin Klein |
Vice President, Secretary and Director
| |
| Kevin Klein | ||
| /s/ Jamie Nelson | Director | |
| Jamie Nelson | ||
| /s/ Davor Vukadin |
Authorized Representative in the United States
| |
| Davor Vukadin | ||
SIGNATURES
Pursuant to the requirements of the Securities Act of 1933, the registrant has duly caused this registration statement to be signed on its behalf by the undersigned, thereunto duly authorized in London, England, on June 11, 2021.
| ENSCO Services Limited | ||
| By: | /s/ Peter Wilson | |
| Name: | Peter Wilson | |
| Title: | Secretary and Director | |
Pursuant to the requirements of the Securities Act, this registration statement has been signed by the following persons in the capacities indicated below as of June 11, 2021.
| Signature | Title | |
| /s/ Peter Wilson | Secretary and Director (Principal Executive, Financial and Accounting Officer) | |
| Peter Wilson | ||
| /s/ Stephen L. Mooney |
Director
| |
| Stephen Moony | ||
| /s/ John Winton |
Director
| |
| John Winton | ||
| /s/ Davor Vukadin |
Authorized Representative in the United States
| |
| Davor Vukadin | ||
SIGNATURES
Pursuant to the requirements of the Securities Act of 1933, the registrant has duly caused this registration statement to be signed on its behalf by the undersigned, thereunto duly authorized in London, England, on June 11, 2021.
| Ensco Transcontinental II LP | ||
| By: | Ensco Transcontinental II LLC, its general partner | |
| By: | /s/ Christian Ochoa | |
| Name: | Christian Ochoa | |
| Title: | Manager | |
Pursuant to the requirements of the Securities Act, this registration statement has been signed by the following persons in the capacities indicated below as of June 11, 2021.
| Signature | Title | |
| /s/ Christian Ochoa |
Manager (Principal Executive, Financial and Accounting Officer) | |
| Christian Ochoa | ||
| /s/ Davor Vukadin |
Authorized Representative in the United States
| |
| Davor Vukadin |
SIGNATURES
Pursuant to the requirements of the Securities Act of 1933, the registrant has duly caused this registration statement to be signed on its behalf by the undersigned, thereunto duly authorized in the Cayman Islands, on June 11, 2021.
| Ensco Transnational I Limited | ||
| By: | /s/ Kevin Klein | |
| Name: | Kevin Klein | |
| Title: | Director | |
Pursuant to the requirements of the Securities Act, this registration statement has been signed by the following persons in the capacities indicated below as of June 11, 2021.
| Signature | Title | |
| /s/ Kevin Klein | Director (Principal Executive, Financial and Accounting Officer) | |
| Kevin Klein | ||
| /s/ Nicolas Jaciuk |
Director
| |
| Nicolas Jaciuk | ||
| /s/ Stephen L. Mooney |
Director
| |
| Stephen L. Mooney | ||
| /s/ Davor Vukadin |
Authorized Representative in the United States
| |
| Davor Vukadin |
SIGNATURES
Pursuant to the requirements of the Securities Act of 1933, the registrant has duly caused this registration statement to be signed on its behalf by the undersigned, thereunto duly authorized in the Cayman Islands, on June 11, 2021.
| Ensco Transnational III Limited | ||
| By: | /s/ Kevin Klein | |
| Name: | Kevin Klein | |
| Title: | Director | |
Pursuant to the requirements of the Securities Act, this registration statement has been signed by the following persons in the capacities indicated below as of June 11, 2021.
| Signature | Title | |
| /s/ Kevin Klein | Director (Principal Executive, Financial and Accounting Officer) | |
| Kevin Klein | ||
| /s/ Nicolas Jaciuk | Director
| |
| Nicolas Jaciuk | ||
| /s/ Stephen L. Mooney |
Director
| |
| Stephen L. Mooney | ||
| /s/ Davor Vukadin |
Authorized Representative in the United States
| |
| Davor Vukadin |
SIGNATURES
Pursuant to the requirements of the Securities Act of 1933, the registrant has duly caused this registration statement to be signed on its behalf by the undersigned, thereunto duly authorized in London, England, on June 11, 2021.
| ENSCO U.K. Limited | ||
| By: | /s/ Peter Wilson | |
| Name: | Peter Wilson | |
| Title: | Director | |
Pursuant to the requirements of the Securities Act, this registration statement has been signed by the following persons in the capacities indicated below as of June 11, 2021.
| Signature | Title | |
| /s/ Peter Wilson | Director (Principal Executive, Financial and Accounting Officer) | |
| Peter Wilson | ||
| /s/ Kevin Klein |
Secretary and Director
| |
| Kevin Klein | ||
| /s/ Stephen L. Mooney |
Director
| |
| Stephen L. Mooney | ||
| /s/ Kodjo Dogbe | Public Officer | |
| Kodjo Dogbe | ||
| /s/ Davor Vukadin |
Authorized Representative in the United States
| |
| Davor Vukadin |
SIGNATURES
Pursuant to the requirements of the Securities Act of 1933, the registrant has duly caused this registration statement to be signed on its behalf by the undersigned, thereunto duly authorized in London, England, on June 11, 2021.
| Ensco UK Drilling Limited | ||
| By: | /s/ Peter Wilson | |
| Name: | Peter Wilson | |
| Title: | Director | |
Pursuant to the requirements of the Securities Act, this registration statement has been signed by the following persons in the capacities indicated below as of June 11, 2021.
| Signature | Title | |
| /s/ Peter Wilson | Director (Principal Executive, Financial and Accounting Officer) | |
| Peter Wilson | ||
| /s/ Stephen L. Mooney | Director | |
| Stephen L. Mooney | ||
| /s/ John Winton | Director | |
| John Winton | ||
| /s/ Davor Vukadin | Authorized Representative in the United States | |
| Davor Vukadin | ||
SIGNATURES
Pursuant to the requirements of the Securities Act of 1933, the registrant has duly caused this registration statement to be signed on its behalf by the undersigned, thereunto duly authorized in Wilmington, Delaware, on June 11, 2021.
| ENSCO United Incorporated | ||
| By: | /s/ Christian Ochoa | |
| Name: | Christian Ochoa | |
| Title: | Vice President, Treasurer and Director | |
Pursuant to the requirements of the Securities Act, this registration statement has been signed by the following persons in the capacities indicated below as of June 11, 2021.
| Signature | Title | |
| /s/ David A. Armour | President and Director (Principal Executive Officer) | |
| David A. Armour | ||
| /s/ Christian Ochoa |
Vice President, Treasurer and Director (Principal Financial and Accounting Officer) | |
| Christian Ochoa | ||
| /s/ Colleen W. Grable | Vice President, Secretary and Director
| |
| Colleen W. Grable |
SIGNATURES
Pursuant to the requirements of the Securities Act of 1933, the registrant has duly caused this registration statement to be signed on its behalf by the undersigned, thereunto duly authorized in the Cayman Islands, on June 11, 2021.
| Ensco Universal Holdings I Ltd. | ||
| By: | /s/ Jonathan Cross | |
| Name: | Jonathan Cross | |
| Title: | Vice President, Treasurer and Director | |
Pursuant to the requirements of the Securities Act, this registration statement has been signed by the following persons in the capacities indicated below as of June 11, 2021.
| Signature | Title | |
| /s/ Peter Wilson | President and Director (Principal Executive Officer) | |
| Peter Wilson | ||
| /s/ Jonathan Cross |
Vice President, Treasurer and Director (Principal Financial and Accounting Officer) | |
| Jonathan Cross | ||
| /s/ Stephen L. Mooney | Vice President, Secretary and Director | |
| Stephen L. Mooney | ||
| /s/ Davor Vukadin | Authorized Representative in the United States | |
| Davor Vukadin |
SIGNATURES
Pursuant to the requirements of the Securities Act of 1933, the registrant has duly caused this registration statement to be signed on its behalf by the undersigned, thereunto duly authorized in the Cayman Islands, on June 11, 2021.
| Ensco Universal Holdings II Ltd. | ||
| By: | /s/ Colleen W. Grable | |
| Name: | Colleen W. Grable | |
| Title: | Vice President Treasurer and Director | |
Pursuant to the requirements of the Securities Act, this registration statement has been signed by the following persons in the capacities indicated below as of June 11, 2021.
| Signature | Title | |
| /s/ John Winton | President and Director (Principal Executive Officer) | |
| John Winton | ||
| /s/ Colleen W. Grable |
Vice President, Treasurer and Director (Principal Financial and Accounting Officer) | |
| Colleen W. Grable | ||
| /s/ Gilles Luca | Vice President, Secretary and Director | |
| Gilles Luca | ||
| /s/ Davor Vukadin | Authorized Representative in the United States | |
| Davor Vukadin | ||
SIGNATURES
Pursuant to the requirements of the Securities Act of 1933, the registrant has duly caused this registration statement to be signed on its behalf by the undersigned, thereunto duly authorized in London, England, on June 11, 2021.
| ENSCO Universal Limited | ||
| By: | /s/ Peter Wilson | |
| Name: | Peter Wilson | |
| Title: | Director | |
Pursuant to the requirements of the Securities Act, this registration statement has been signed by the following persons in the capacities indicated below as of June 11, 2021.
| Signature | Title | |
| /s/ Peter Wilson | Director (Principal Executive, Financial and Accounting Officer) | |
| Peter Wilson | ||
| /s/ Gilles Luca |
Director
| |
| Gilles Luca | ||
| /s/ Stephen L. Mooney |
Director
| |
| Stephen L. Mooney | ||
| /s/ John Winton | Director | |
| John Winton | ||
| /s/ Davor Vukadin |
Authorized Representative in the United States
| |
| Davor Vukadin | ||
SIGNATURES
Pursuant to the requirements of the Securities Act of 1933, the registrant has duly caused this registration statement to be signed on its behalf by the undersigned, thereunto duly authorized in the Cayman Islands, on June 11, 2021.
| Ensco Vistas Limited | ||
| By: | /s/ David A. Armour | |
| Name: | David A. Armour | |
| Title: | Director | |
Pursuant to the requirements of the Securities Act, this registration statement has been signed by the following persons in the capacities indicated below as of June 11, 2021.
| Signature | Title | |
| /s/ Jacques Eychenne | President and Director (Principal Executive Officer) | |
| Jacques Eychenne | ||
| /s/ Abhay M. Shetty |
Vice President, Treasurer and Alternate Director (Principal Financial and Accounting Officer) | |
| Abhay M. Shetty | ||
| /s/ Nicolas Jaciuk | Vice President, Secretary and Director | |
| Nicolas Jaciuk | ||
| /s/ David A. Armour | Director | |
| David A. Armour | ||
| /s/ Jamie Nelson | Director | |
| Jamie Nelson | ||
| /s/ Davor Vukadin | Authorized Representative in the United States | |
| Davor Vukadin | ||
SIGNATURES
Pursuant to the requirements of the Securities Act of 1933, the registrant has duly caused this registration statement to be signed on its behalf by the undersigned, thereunto duly authorized in the City of Baar, Switzerland, on June 11, 2021.
| Ensco Worldwide GmbH | ||
| By: | /s/ Nicolas Jaciuk | |
| Name: | Nicolas Jaciuk | |
| Title: | Managing Officer | |
Pursuant to the requirements of the Securities Act, this registration statement has been signed by the following persons in the capacities indicated below as of June 11, 2021.
| Signature | Title | |
| /s/ Stephen L. Mooney | Chairman and Managing Officer (Principal Executive, Financial and Accounting Officer) | |
| Stephen L. Mooney | ||
| /s/ Nicolas Jaciuk | Managing Officer | |
| Nicolas Jaciuk | ||
| /s/ Kevin Klein | Managing Officer | |
| Kevin Klein | ||
| /s/ Davor Vukadin | Authorized Representative in the United States | |
| Davor Vukadin | ||
SIGNATURES
Pursuant to the requirements of the Securities Act of 1933, the registrant has duly caused this registration statement to be signed on its behalf by the undersigned, thereunto duly authorized in Accra, Ghana, on June 11, 2021.
| EnscoRowan Ghana Drilling Limited | ||
| By: | /s/ Christian Ochoa | |
| Name: | Christian Ochoa | |
| Title: | Secretary and Director | |
Pursuant to the requirements of the Securities Act, this registration statement has been signed by the following persons in the capacities indicated below as of June 11, 2021.
| Signature | Title | |
| /s/ Christian Ochoa | Secretary and Director (Principal Executive, Financial and Accounting Officer) | |
| Christian Ochoa | ||
| /s/ Abhay M. Shetty | Director | |
| Abhay M. Shetty | ||
| /s/ Davor Vukadin | Authorized Representative in the United States | |
| Davor Vukadin | ||
SIGNATURES
Pursuant to the requirements of the Securities Act of 1933, the registrant has duly caused this registration statement to be signed on its behalf by the undersigned, thereunto duly authorized in Gibraltar, on June 11, 2021.
| Great White Shark Limited | ||
| By: | /s/ Kevin Klein | |
| Name: | Kevin Klein | |
| Title: | Director | |
Pursuant to the requirements of the Securities Act, this registration statement has been signed by the following persons in the capacities indicated below as of June 11, 2021.
| Signature | Title | |
| /s/ Kevin Klein | Director (Principal Executive, Financial and Accounting Officer) | |
| Kevin Klein | ||
| /s/ Stephen L. Mooney | Director | |
| Stephen L. Mooney | ||
| /s/ Abhay M. Shetty | Director | |
| Abhay M. Shetty | ||
| /s/ Nicolas Pitaluga | Director | |
| Nicolas Pitaluga | ||
| /s/ Louis Triay | Director | |
| Louis Triay | ||
| /s/ Davor Vukadin | Authorized Representative in the United States | |
| Davor Vukadin | ||
SIGNATURES
Pursuant to the requirements of the Securities Act of 1933, the registrant has duly caused this registration statement to be signed on its behalf by the undersigned, thereunto duly authorized in Gibraltar, on June 11, 2021.
| Green Turtle Limited | ||
| By: | /s/ Kevin Klein | |
| Name: | Kevin Klein | |
| Title: | Director | |
Pursuant to the requirements of the Securities Act, this registration statement has been signed by the following persons in the capacities indicated below as of June 11, 2021.
| Signature | Title | |
| /s/ Kevin Klein | Director (Principal Executive, Financial and Accounting Officer) | |
| Kevin Klein | ||
| /s/ Stephen L. Mooney | Director | |
| Stephen L. Mooney | ||
| /s/ Abhay M. Shetty | Director | |
| Abhay M. Shetty | ||
| /s/ Nicolas Pitaluga | Director | |
| Nicolas Pitaluga | ||
| /s/ Louis Triay | Director | |
| Louis Triay | ||
| /s/ Davor Vukadin | Authorized Representative in the United States | |
| Davor Vukadin | ||
SIGNATURES
Pursuant to the requirements of the Securities Act of 1933, the registrant has duly caused this registration statement to be signed on its behalf by the undersigned, thereunto duly authorized in Wilmington, Delaware, on June 11, 2021.
| International Technical Services LLC | ||
| By: | /s/ Christian Ochoa | |
| Name: | Christian Ochoa | |
| Title: | Vice President and Treasurer | |
Pursuant to the requirements of the Securities Act, this registration statement has been signed by the following persons in the capacities indicated below as of June 11, 2021.
| Signature | Title | |
| /s/ Christian Ochoa | Vice President and Treasurer (Principal Executive, Financial and Accounting Officer) | |
| Christian Ochoa | ||
| /s/ Colleen W. Grable | Vice President and Secretary | |
| Colleen W. Grable | ||
SIGNATURES
Pursuant to the requirements of the Securities Act of 1933, the registrant has duly caused this registration statement to be signed on its behalf by the undersigned, thereunto duly authorized in St. Julian’s, Malta, on June 11, 2021.
| Manatee Limited | ||
| By: | /s/ Colleen W. Grable | |
| Name: | Colleen W. Grable | |
| Title: | Director | |
Pursuant to the requirements of the Securities Act, this registration statement has been signed by the following persons in the capacities indicated below as of June 11, 2021.
| Signature | Title | |
| /s/ Colleen W. Grable | Director (Principal Executive, Financial and Accounting Officer) | |
| Colleen W. Grable | ||
| /s/ Nicholas Trapani Galea Feriol | Secretary and Director | |
| Nicholas Trapani Galea Feriol | ||
| /s/ Kevin Klein |
Director
| |
| Kevin Klein | ||
| /s/ John Borg Oliver |
Director
| |
| John Borg Oliver | ||
| /s/ Davor Vukadin |
Authorized Representative in the United States
| |
| Davor Vukadin |
SIGNATURES
Pursuant to the requirements of the Securities Act of 1933, the registrant has duly caused this registration statement to be signed on its behalf by the undersigned, thereunto duly authorized in St. Julian’s, Malta, on June 11, 2021.
| Manta Ray Limited | ||
| By: | /s/ Colleen W. Grable | |
| Name: | Colleen W. Grable | |
| Title: | Director | |
Pursuant to the requirements of the Securities Act, this registration statement has been signed by the following persons in the capacities indicated below as of June 11, 2021.
| Signature | Title | |
| /s/ Colleen W. Grable | Director (Principal Executive, Financial and Accounting Officer) | |
| Colleen W. Grable | ||
| /s/ Nicholas Trapani Galea Feriol | Secretary and Director | |
| Nicholas Trapani Galea Feriol | ||
| /s/ Kevin Klein | Director | |
| Kevin Klein | ||
| /s/ John Borg Oliver | Director | |
| John Borg Oliver | ||
| /s/ Davor Vukadin | Authorized Representative in the United States | |
| Davor Vukadin | ||
SIGNATURES
Pursuant to the requirements of the Securities Act of 1933, the registrant has duly caused this registration statement to be signed on its behalf by the undersigned, thereunto duly authorized in Gibraltar, on June 11, 2021.
| Marine Blue Limited | ||
| By: | /s/ Christian Ochoa | |
| Name: | Christian Ochoa | |
| Title: | Director | |
Pursuant to the requirements of the Securities Act, this registration statement has been signed by the following persons in the capacities indicated below as of June 11, 2021.
| Signature | Title | |
| /s/ Christian Ochoa | Director (Principal Executive, Financial and Accounting Officer) | |
| Christian Ochoa | ||
| /s/ Kevin Klein |
Director
| |
| Kevin Klein | ||
| /s/ Derek Sample |
Director
| |
| Derek Sample | ||
| /s/ Nicolas Pitaluga | Director | |
| Nicolas Pitaluga | ||
| /s/ Louis Triay | Director | |
| Louis Triay | ||
| /s/ Davor Vukadin | Authorized Representative in the United States | |
| Davor Vukadin | ||
SIGNATURES
Pursuant to the requirements of the Securities Act of 1933, the registrant has duly caused this registration statement to be signed on its behalf by the undersigned, thereunto duly authorized in Wilmington, Delaware, on June 11, 2021.
| Offshore Drilling Services LLC | ||
| By: | /s/ Kristin Larsen | |
| Name: | Kristin Larsen | |
| Title: | Manager | |
Pursuant to the requirements of the Securities Act, this registration statement has been signed by the following persons in the capacities indicated below as of June 11, 2021.
| Signature | Title | |
| /s/ Kristin Larsen | Manager (Principal Executive, Financial and Accounting Officer) | |
| Kristin Larsen | ||
| /s/ Nicolas Jaciuk | Manager | |
| Nicolas Jaciuk | ||
| /s/ Derek Sample | Manager | |
| Derek Sample | ||
SIGNATURES
Pursuant to the requirements of the Securities Act of 1933, the registrant has duly caused this registration statement to be signed on its behalf by the undersigned, thereunto duly authorized in the Cayman Islands, on June 11, 2021.
| Pacific Offshore Labor Company | ||
| By: | /s/ Paula Hall | |
| Name: | Paula Hall | |
| Title: | President and Director | |
Pursuant to the requirements of the Securities Act, this registration statement has been signed by the following persons in the capacities indicated below as of June 11, 2021.
| Signature | Title | |
| /s/ Paula Hall | President and Director (Principal Executive Officer) | |
| Paula Hall | ||
| /s/ Jacques Eychenne |
Vice President, Treasurer and Director (Principal Financial and Accounting Officer) | |
| Jacques Eychenne | ||
| /s/ Nicolas Jaciuk | Vice President, Secretary and Director | |
| Nicolas Jaciuk | ||
| /s/ Davor Vukadin | Authorized Representative in the United States | |
| Davor Vukadin | ||
SIGNATURES
Pursuant to the requirements of the Securities Act of 1933, the registrant has duly caused this registration statement to be signed on its behalf by the undersigned, thereunto duly authorized in, Singapore, on June 11, 2021.
| Petroleum International Pte. Ltd. | ||
| By: | /s/ Abhay M. Shetty | |
| Name: | Abhay M. Shetty | |
| Title: | Director | |
Pursuant to the requirements of the Securities Act, this registration statement has been signed by the following persons in the capacities indicated below as of June 11, 2021.
| Signature | Title | |
| /s/ Abhay M. Shetty | Director (Principal Executive, Financial and Accounting Officer) | |
| Abhay M. Shetty | ||
| /s/ Patrick Jaswan | Director | |
| Patrick Jaswan | ||
| /s/ Davor Vukadin | Authorized Representative in the United States | |
| Davor Vukadin |
SIGNATURES
Pursuant to the requirements of the Securities Act of 1933, the registrant has duly caused this registration statement to be signed on its behalf by the undersigned, thereunto duly authorized in the British Virgin Islands, on June 11, 2021.
| Pride Global II Ltd | ||
| By: | /s/ Kevin Klein | |
| Name: | Kevin Klein | |
| Title: | President and Director | |
Pursuant to the requirements of the Securities Act, this registration statement has been signed by the following persons in the capacities indicated below as of June 11, 2021.
| Signature | Title | |
| /s/ Kevin Klein | President and Director (Principal Executive Officer) | |
| Kevin Klein | ||
| /s/ Stephen L. Mooney |
Vice President, Treasurer and Director (Financial and Accounting Officer) | |
| Stephen L. Mooney | ||
| /s/ Nicolas Jaciuk | Vice President, Secretary and Director | |
| Nicolas Jaciuk | ||
| /s/ Davor Vukadin | Authorized Representative in the United States | |
| Davor Vukadin | ||
SIGNATURES
Pursuant to the requirements of the Securities Act of 1933, the registrant has duly caused this registration statement to be signed on its behalf by the undersigned, thereunto duly authorized in Wilmington, Delaware, on June 11, 2021.
| Pride International LLC | ||
| By: | /s/ Derek Sample | |
| Name: | Derek Sample | |
| Title: | President | |
Pursuant to the requirements of the Securities Act, this registration statement has been signed by the following persons in the capacities indicated below as of June 11, 2021.
| Signature | Title | |
| /s/ Derek Sample | President (Principal Executive Officer) | |
| Derek Sample | ||
| /s/ Colleen W. Grable |
Vice President and Treasurer (Financial and Accounting Officer) | |
| Colleen W. Grable | ||
| /s/ David A. Armour | Vice President | |
| David A. Armour | ||
SIGNATURES
Pursuant to the requirements of the Securities Act of 1933, the registrant has duly caused this registration statement to be signed on its behalf by the undersigned, thereunto duly authorized in Dallas, Texas, on June 11, 2021.
| Pride International Management Co. LP | ||
| By: | Ensco International Management GP LLC, its general partner | |
| By: | /s/ Nicolas Jaciuk | |
| Name: | Nicolas Jaciuk | |
| Title: | President | |
Pursuant to the requirements of the Securities Act, this registration statement has been signed by the following persons in the capacities indicated below as of June 11, 2021.
| Signature | Title | |
| /s/ Nicolas Jaciuk | President (Principal Executive, Financial and Accounting Officer) | |
| Nicolas Jaciuk | ||
SIGNATURES
Pursuant to the requirements of the Securities Act of 1933, the registrant has duly caused this registration statement to be signed on its behalf by the undersigned, thereunto duly authorized in Gibraltar, on June 11, 2021.
| Ralph Coffman Limited | ||
| By: | /s/ Christian Ochoa | |
| Name: | Christian Ochoa | |
| Title: | Director | |
Pursuant to the requirements of the Securities Act, this registration statement has been signed by the following persons in the capacities indicated below as of June 11, 2021.
| Signature | Title | |
| /s/ Christian Ochoa | Director (Principal Executive, Financial and Accounting Officer) | |
| Christian Ochoa | ||
| /s/ Kevin Klein |
Director
| |
| Kevin Klein | ||
| /s/ Derek Sample |
Director
| |
| Derek Sample | ||
| /s/ Nicolas Pitaluga | Director | |
| Nicolas Pitaluga | ||
| /s/ Louis Triay | Director | |
| Louis Triay | ||
| /s/ Davor Vukadin | Authorized Representative in the United States | |
| Davor Vukadin | ||
SIGNATURES
Pursuant to the requirements of the Securities Act of 1933, the registrant has duly caused this registration statement to be signed on its behalf by the undersigned, thereunto duly authorized in Grand-Duchy, Luxembourg, on June 11, 2021.
| Ralph Coffman Luxembourg S.à r.l. | ||
| By: | /s/ Kevin Klein | |
| Name: | Kevin Klein | |
| Title: | Manager A | |
| By: | /s/ Marco Weijermans | |
| Name: | Marco Weijermans | |
| Title: | Manager B | |
Pursuant to the requirements of the Securities Act, this registration statement has been signed by the following persons in the capacities indicated below as of June 11, 2021.
| Signature | Title | |
| /s/ Kevin Klein | Manager A (Principal Executive, Financial and Accounting Officer) | |
| Kevin Klein | ||
| /s/ Stephen L. Mooney | Manager A | |
| Stephen L. Mooney | ||
| /s/ Marco Weijermans | Manager B | |
| Marco Weijermans | ||
| /s/ Johannes Laurens de Zwart | Manager B | |
| Johannes Laurens de Zwart | ||
| /s/ Davor Vukadin | Authorized Representative in the United States | |
| Davor Vukadin |
SIGNATURES
Pursuant to the requirements of the Securities Act of 1933, the registrant has duly caused this registration statement to be signed on its behalf by the undersigned, thereunto duly authorized in the Cayman Islands, on June 11, 2021.
| RCI International, Inc. | ||
| By: |
/s/ Colleen W. Grable | |
| Name: | Collen Grable | |
| Title: | Vice President, Treasurer and Director | |
Pursuant to the requirements of the Securities Act, this registration statement has been signed by the following persons in the capacities indicated below as of June 11, 2021.
| Signature | Title | |
| /s/ Nicolas Jaciuk | President and Director (Principal Executive Officer) | |
| Nicolas Jaciuk | ||
| /s/ Collen Grable |
Vice President, Treasurer and Director (Principal Financial and Accounting Officer) | |
| Collen Grable | ||
| /s/ Derek Sample | Vice President, Secretary and Director | |
| Derek Sample | ||
| /s/ Davor Vukadin | Authorized Representative in the United States | |
| Davor Vukadin | ||
SIGNATURES
Pursuant to the requirements of the Securities Act of 1933, the registrant has duly caused this registration statement to be signed on its behalf by the undersigned, thereunto duly authorized in Singapore, on June 11, 2021.
| RD International Services Pte. Ltd. | ||
| By: | /s/ Stephen Fordham | |
| Name: | Stephen Fordham | |
| Title: | Director | |
Pursuant to the requirements of the Securities Act, this registration statement has been signed by the following persons in the capacities indicated below as of June 11, 2021.
| Signature | Title | |
| /s/ Stephen Fordham | Director (Principal Executive, Financial and Accounting Officer) | |
| Stephen Fordham | ||
| /s/ Davor Vukadin | Authorized Representative in the United States | |
| Davor Vukadin | ||
SIGNATURES
Pursuant to the requirements of the Securities Act of 1933, the registrant has duly caused this registration statement to be signed on its behalf by the undersigned, thereunto duly authorized in the Cayman Islands, on June 11, 2021.
| RDC Arabia Drilling, Inc. | |
| By: | /s/ Colleen W. Grable |
| Name: | Colleen W. Grable |
| Title: | Vice President, Treasurer and Director |
Pursuant to the requirements of the Securities Act, this registration statement has been signed by the following persons in the capacities indicated below as of June 11, 2021.
| Signature | Title | |
| /s/ Nicolas Jaciuk | President and Director (Principal Executive Officer) | |
| Nicolas Jaciuk | ||
| /s/ Colleen W. Grable |
Vice President, Treasurer and Director (Principal Financial and Accounting Officer) | |
| Colleen W. Grable | ||
| /s/ Derek Sample | Vice President, Secretary and Director | |
| Derek Sample | ||
| /s/ Davor Vukadin | Authorized Representative in the United States | |
| Davor Vukadin | ||
SIGNATURES
Pursuant to the requirements of the Securities Act of 1933, the registrant has duly caused this registration statement to be signed on its behalf by the undersigned, thereunto duly authorized in Grand-Dutchy, Luxembourg, on June 11, 2021.
| RDC Holdings Luxembourg S.à r.l. | |
| By: | /s/ Kevin Klein |
| Name: | Kevin Klein |
| Title: | Manager A |
| By: | /s/ Marco Weijermans |
| Name: | Marco Weijermans |
| Title: | Manager B |
Pursuant to the requirements of the Securities Act, this registration statement has been signed by the following persons in the capacities indicated below as of June 11, 2021.
| Signature | Title | |
| /s/ Kevin Klein | Manager A (Principal Executive, Financial and Accounting Officer) | |
| Kevin Klein | ||
| /s/ Stephen L. Mooney | Manager A | |
| Stephen L. Mooney | ||
| /s/ Marco Weijermans | Manager B | |
| Marco Weijermans | ||
| /s/ Johannes Laurens de Zwart | Manager B | |
| Johannes Laurens de Zwart | ||
| /s/ Davor Vukadin | Authorized Representative in the United States | |
| Davor Vukadin |
SIGNATURES
Pursuant to the requirements of the Securities Act of 1933, the registrant has duly caused this registration statement to be signed on its behalf by the undersigned, thereunto duly authorized in St. Julian’s, Malta, on June 11, 2021.
| RDC Malta Limited | |
| By: | /s/ Colleen W. Grable |
| Name: | Colleen W. Grable |
| Title: | Director |
Pursuant to the requirements of the Securities Act, this registration statement has been signed by the following persons in the capacities indicated below as of June 11, 2021.
| Signature | Title | |
| /s/ Colleen W. Grable | Director (Principal Executive, Financial and Accounting Officer) | |
| Colleen W. Grable | ||
| /s/ Nicholas Trapani Galea Feriol | Director | |
| Nicholas Trapani Galea Feriol | ||
| /s/ Kevin Klein | Director | |
| Kevin Klein | ||
| /s/ John Borg Oliver | Director | |
| John Borg Oliver | ||
| /s/ Davor Vukadin | Authorized Representative in the United States | |
| Davor Vukadin | ||
SIGNATURES
Pursuant to the requirements of the Securities Act of 1933, the registrant has duly caused this registration statement to be signed on its behalf by the undersigned, thereunto duly authorized in Grand-Dutchy, Luxembourg, on June 11, 2021.
| RDC Offshore Luxembourg S.à r.l. | |
| By: | /s/ Kevin Klein |
| Name: | Kevin Klein |
| Title: | Manager A |
| By: | /s/ Marco Weijermans |
| Name: | Marco Weijermans |
| Title: | Manager B |
Pursuant to the requirements of the Securities Act, this registration statement has been signed by the following persons in the capacities indicated below as of June 11, 2021.
| Signature | Title | |
| /s/ Kevin Klein | Manager A (Principal Executive, Financial and Accounting Officer) | |
| Kevin Klein | ||
| /s/ Nicolas Jaciuk | Manager A | |
| Nicolas Jaciuk | ||
| /s/ Marco Weijermans | Manager B | |
| Marco Weijermans | ||
| /s/ Johannes Laurens de Zwart | Manager B | |
| Johannes Laurens de Zwart | ||
| /s/ Davor Vukadin | Authorized Representative in the United States | |
| Davor Vukadin |
SIGNATURES
Pursuant to the requirements of the Securities Act of 1933, the registrant has duly caused this registration statement to be signed on its behalf by the undersigned, thereunto duly authorized in St. Julian’s, Malta, on June 11, 2021.
| RDC Offshore Malta Limited | |
| By: | /s/ Colleen W. Grable |
| Name: | Colleen W. Grable |
| Title: | Director |
Pursuant to the requirements of the Securities Act, this registration statement has been signed by the following persons in the capacities indicated below as of June 11, 2021.
| Signature | Title | |
| /s/ Colleen W. Grable | Director (Principal Executive, Financial and Accounting Officer) | |
| Colleen W. Grable | ||
| /s/ Nicholas Trapani Galea Feriol |
Director
| |
| Nicholas Trapani Galea Feriol | ||
| /s/ Kevin Klein |
Director
| |
| Kevin Klein | ||
| /s/ John Borg Oliver | Director | |
| John Borg Oliver | ||
| Authorized Representative in the United States | ||
| /s/ Davor Vukadin | ||
| Davor Vukadin | ||
SIGNATURES
Pursuant to the requirements of the Securities Act of 1933, the registrant has duly caused this registration statement to be signed on its behalf by the undersigned, thereunto duly authorized in the Cayman Islands, on June 11, 2021.
| RoCal Cayman Limited | |
| By: | /s/ Colleen W. Grable |
| Name: | Colleen W. Grable |
| Title: | Vice President, Treasurer and Director |
Pursuant to the requirements of the Securities Act, this registration statement has been signed by the following persons in the capacities indicated below as of June 11, 2021.
| Signature | Title | |
| /s/ Nicolas Jaciuk | President and Director (Principal Executive Officer) | |
| Nicolas Jaciuk | ||
| /s/ Colleen W. Grable | Vice President, Treasurer and Director (Principal Financial and Accounting Officer) | |
| Colleen W. Grable | ||
| /s/ Derek Sample | Vice President, Secretary and Director | |
| Derek Sample | ||
| /s/ Davor Vukadin | Authorized Representative in the United States | |
| Davor Vukadin | ||
SIGNATURES
Pursuant to the requirements of the Securities Act of 1933, the registrant has duly caused this registration statement to be signed on its behalf by the undersigned, thereunto duly authorized in London, England, on June 11, 2021.
| Rowan Companies Limited | |
| By: | /s/ Jonathan Cross |
| Name: | Jonathan Cross |
| Title: | Director |
Pursuant to the requirements of the Securities Act, this registration statement has been signed by the following persons in the capacities indicated below as of June 11, 2021.
| Signature | Title | |
| /s/ Jonathan Cross | Director (Principal Executive, Financial and Accounting Officer) | |
| Jonathan Cross | ||
| /s/ Thomas Burke | Director | |
| Thomas Burke | ||
| /s/ Gilles Luca | Director | |
| Gilles Luca | ||
| /s/ Davor Vukadin | Authorized Representative in the United States | |
| Davor Vukadin | ||
SIGNATURES
Pursuant to the requirements of the Securities Act of 1933, the registrant has duly caused this registration statement to be signed on its behalf by the undersigned, thereunto duly authorized in Wilmington, Delaware, on June 11, 2021.
| Rowan Companies, LLC | |
| By: | /s/ Jonathan Cross |
| Name: | Jonathan Cross |
| Title: | President |
Pursuant to the requirements of the Securities Act, this registration statement has been signed by the following persons in the capacities indicated below as of June 11, 2021.
| Signature | Title | |
| /s/ Jonathan Cross | President (Principal Executive, Financial and Accounting Officer) | |
| Jonathan Cross | ||
| /s/ Peter Wilson | Manager | |
| Peter Wilson | ||
| /s/ Stephen L. Mooney | Vice President and Secretary | |
| Stephen L. Mooney | ||
SIGNATURES
Pursuant to the requirements of the Securities Act of 1933, the registrant has duly caused this registration statement to be signed on its behalf by the undersigned, thereunto duly authorized in Gibraltar, on June 11, 2021.
| Rowan Drilling (Gibraltar) Limited | |
| By: | /s/ Kevin Klein |
| Name: | Kevin Klein |
| Title: | Director |
Pursuant to the requirements of the Securities Act, this registration statement has been signed by the following persons in the capacities indicated below as of June 11, 2021.
| Signature | Title | |||
| /s/ Kevin Klein | Director (Principal Executive, Financial and Accounting Officer) | |||
| Kevin Klein | ||||
| /s/ Stephen L. Mooney |
Director
| |||
| Stephen L. Mooney | ||||
| /s/ Abhay M. Shetty |
Director
| |||
| Abhay M. Shetty | ||||
| /s/ Nicolas Pitaluga | Director | |||
| Nicolas Pitaluga | ||||
| /s/ Louis Triay | Director | |||
| Louis Triay | ||||
| /s/ Davor Vukadin |
Authorized Representative in the United States
| |||
| Davor Vukadin | ||||
SIGNATURES
Pursuant to the requirements of the Securities Act of 1933, the registrant has duly caused this registration statement to be signed on its behalf by the undersigned, thereunto duly authorized in the Cayman Islands, on June 11, 2021.
| Rowan Drilling (Trinidad) Limited | ||
| By: | /s/ Kevin Klein | |
| Name: | Kevin Klein | |
| Title: | Vice President, Secretary and Director | |
Pursuant to the requirements of the Securities Act, this registration statement has been signed by the following persons in the capacities indicated below as of June 11, 2021.
| Signature | Title | |
| /s/ Stephen L. Mooney | President and Director (Principal Executive Officer) | |
| Stephen L. Mooney | ||
| /s/ Ben Rose |
Vice President, Treasurer and Director | |
| Ben Rose | (Principal Financial and Accounting Officer) | |
| /s/ Kevin Klein | Vice President, Secretary and Director | |
| Kevin Klein | ||
| /s/ Keith Crane | Vice President | |
| Keith Crane | ||
| /s/ Jamie Nelson |
Director
| |
| Jamie Nelson | ||
| /s/ Davor Vukadin |
Authorized Representative in the United States
| |
| Davor Vukadin |
SIGNATURES
Pursuant to the requirements of the Securities Act of 1933, the registrant has duly caused this registration statement to be signed on its behalf by the undersigned, thereunto duly authorized in Aberdeen, Scotland, on June 11, 2021.
| Rowan Drilling (U.K.) Limited | ||
| By: | /s/ Peter Wilson | |
| Name: | Peter Wilson | |
| Title: | President and Chairman of the Board | |
Pursuant to the requirements of the Securities Act, this registration statement has been signed by the following persons in the capacities indicated below as of June 11, 2021.
| Signature | Title | |
| /s/ Peter Wilson | President, Director and Chairman of the Board (Principal Executive, Financial and Accounting Officer) | |
| Peter Wilson | ||
| /s/ Jonathan Cross | Secretary and Director | |
| Jonathan Cross | ||
| /s/ Stephen L. Mooney | Vice President and Director | |
| Stephen L. Mooney | ||
| /s/ Davor Vukadin | Authorized Representative in the United States | |
| Davor Vukadin |
SIGNATURES
Pursuant to the requirements of the Securities Act of 1933, the registrant has duly caused this registration statement to be signed on its behalf by the undersigned, thereunto duly authorized in Ciudad de Mexico, Mexico, on June 11, 2021.
| Rowan Drilling S. de R.L. de C.V. | ||
| By: | /s/ Joseph Pope | |
| Name: | Joseph Pope | |
| Title: | Secretary | |
Pursuant to the requirements of the Securities Act, this registration statement has been signed by the following persons in the capacities indicated below as of June 11, 2021.
| Signature | Title | |
| /s/ Joseph Pope | Secretary (Principal Executive, Financial and Accounting Officer) | |
| Joseph Pope | ||
|
/s/ Jose Alejandro Reyna Castorena |
Member | |
| Jose Alejandro Reyna Castorena | ||
| /s/ Davor Vukadin | Authorized Representative in the United States | |
| Davor Vukadin |
SIGNATURES
Pursuant to the requirements of the Securities Act of 1933, the registrant has duly caused this registration statement to be signed on its behalf by the undersigned, thereunto duly authorized in Gibraltar, on June 11, 2021.
| Rowan Drilling Services Limited | ||
| By: | /s/ Christian Ochoa | |
| Name: | Christian Ochoa | |
| Title: | Director | |
Pursuant to the requirements of the Securities Act, this registration statement has been signed by the following persons in the capacities indicated below as of June 11, 2021.
| Signature | Title | |
| /s/ Christian Ochoa | Director (Principal Executive, Financial and Accounting Officer) | |
| Christian Ochoa | ||
| /s/ Kevin Klein |
Director
| |
| Kevin Klein | ||
| /s/ Derek Sample |
Director
| |
| Derek Sample | ||
| /s/ Nicolas Pitaluga | Director | |
| Nicolas Pitaluga | ||
| /s/ Louis Triay | Director | |
| Louis Triay | ||
| /s/ Davor Vukadin | Authorized Representative in the United States | |
| Davor Vukadin | ||
SIGNATURES
Pursuant to the requirements of the Securities Act of 1933, the registrant has duly caused this registration statement to be signed on its behalf by the undersigned, thereunto duly authorized in Grand-Dutchy, Luxembourg, on June 11, 2021.
| Rowan International Rig Holdings S.à r.l. | ||
| By: | /s/ Kevin Klein | |
| Name: | Kevin Klein | |
| Title: | Manager A | |
| By: | /s/ Marco Weijermans | |
| Name: | Marco Weijermans | |
| Title: | Manager B | |
Pursuant to the requirements of the Securities Act, this registration statement has been signed by the following persons in the capacities indicated below as of June 11, 2021.
| Signature | Title | |
| /s/ Kevin Klein | Manager A (Principal Executive, Financial and Accounting Officer) | |
| Kevin Klein | ||
| /s/ Nicolas Jaciuk | Manager A | |
| Nicolas Jaciuk | ||
| /s/ Marco Weijermans | Manager B | |
| Marco Weijermans | ||
| /s/ Johannes Laurens de Zwart | Manager B | |
| Johannes Laurens de Zwart | ||
| /s/ Davor Vukadin | Authorized Representative in the United States | |
| Davor Vukadin |
SIGNATURES
Pursuant to the requirements of the Securities Act of 1933, the registrant has duly caused this registration statement to be signed on its behalf by the undersigned, thereunto duly authorized in Dallas, Texas, on June 11, 2021.
| Rowan Marine Services LLC | ||
| By: | /s/ Christian Ochoa | |
| Name: | Christian Ochoa | |
| Title: | Vice President and Secretary | |
Pursuant to the requirements of the Securities Act, this registration statement has been signed by the following persons in the capacities indicated below as of June 11, 2021.
| Signature | Title | |
| /s/ Nicolas Jaciuk | President (Principal Executive Officer) | |
| Nicolas Jaciuk | ||
| /s/ Darin Gibbins |
Vice President and Treasurer and Director (Principal Financial and Accounting Officer) | |
| Darin Gibbins | ||
| /s/ Christian Ochoa | Vice President and Secretary | |
| Christian Ochoa |
SIGNATURES
Pursuant to the requirements of the Securities Act of 1933, the registrant has duly caused this registration statement to be signed on its behalf by the undersigned, thereunto duly authorized in Gibraltar, on June 11, 2021.
| Rowan N-Class (Gibraltar) Limited | ||
| By: | /s/ Kevin Klein | |
| Name: | Kevin Klein | |
| Title: | Director | |
Pursuant to the requirements of the Securities Act, this registration statement has been signed by the following persons in the capacities indicated below as of June 11, 2021.
| Signature | Title | |
| /s/ Kevin Klein | Director (Principal Executive, Financial and Accounting Officer) | |
| Kevin Klein | ||
| /s/ Stephen L. Mooney |
Director
| |
| Stephen L. Mooney | ||
| /s/ Abhay M. Shetty |
Director
| |
| Abhay M. Shetty | ||
| /s/ Nicolas Pitaluga | Director | |
| Nicolas Pitaluga | ||
| /s/ Louis Triay | Director | |
| Louis Triay | ||
| /s/ Davor Vukadin | Authorized Representative in the United States | |
| Davor Vukadin |
SIGNATURES
Pursuant to the requirements of the Securities Act of 1933, the registrant has duly caused this registration statement to be signed on its behalf by the undersigned, thereunto duly authorized in London, England, on June 11, 2021.
| Rowan No. 1 Limited | ||
| By: | /s/ Peter Wilson | |
| Name: | Peter Wilson | |
| Title: | Director | |
Pursuant to the requirements of the Securities Act, this registration statement has been signed by the following persons in the capacities indicated below as of June 11, 2021.
| Signature | Title | |
| /s/ Peter Wilson | Director (Principal Executive, Financial and Accounting Officer) | |
| Peter Wilson | ||
| /s/ Stephen L. Mooney | Director | |
| Stephen L. Mooney | ||
| /s/ John Winton | Director | |
| John Winton | ||
| /s/ Davor Vukadin | Authorized Representative in the United States | |
| Davor Vukadin |
SIGNATURES
Pursuant to the requirements of the Securities Act of 1933, the registrant has duly caused this registration statement to be signed on its behalf by the undersigned, thereunto duly authorized in London, England, on June 11, 2021.
| Rowan No. 2 Limited | ||
| By: | /s/ Peter Wilson | |
| Name: | Peter Wilson | |
| Title: | Director | |
Pursuant to the requirements of the Securities Act, this registration statement has been signed by the following persons in the capacities indicated below as of June 11, 2021.
| Signature | Title | |
| /s/ Peter Wilson | Director (Principal Executive, Financial and Accounting Officer) | |
| Peter Wilson | ||
| /s/ Stephen L. Mooney | Director | |
| Stephen L. Mooney | ||
| /s/ John Winton | Director | |
| John Winton | ||
| /s/ Davor Vukadin | Authorized Representative in the United States | |
| Davor Vukadin |
SIGNATURES
Pursuant to the requirements of the Securities Act of 1933, the registrant has duly caused this registration statement to be signed on its behalf by the undersigned, thereunto duly authorized in Gibraltar, on June 11, 2021.
| Rowan Norway Limited | ||
| By: | /s/ Kevin Klein | |
| Name: | Kevin Klein | |
| Title: | Director | |
Pursuant to the requirements of the Securities Act, this registration statement has been signed by the following persons in the capacities indicated below as of June 11, 2021.
| Signature | Title | |
| /s/ Kevin Klein | Director (Principal Executive, Financial and Accounting Officer) | |
| Kevin Klein | ||
| /s/ Nicolas Jaciuk | Director | |
| Nicolas Jaciuk | ||
| /s/ Abhay M. Shetty | Director | |
| Abhay M. Shetty | ||
| /s/ Nicolas Pitaluga | Director | |
| Nicolas Pitaluga | ||
| /s/ Louis Triay | Director | |
| Louis Triay | ||
| /s/ Davor Vukadin | Authorized Representative in the United States | |
| Davor Vukadin |
SIGNATURES
Pursuant to the requirements of the Securities Act of 1933, the registrant has duly caused this registration statement to be signed on its behalf by the undersigned, thereunto duly authorized in Gibraltar, on June 11, 2021.
| Rowan Offshore (Gibraltar) Limited | ||
| By: | /s/ Kevin Klein | |
| Name: | Kevin Klein | |
| Title: | Director | |
Pursuant to the requirements of the Securities Act, this registration statement has been signed by the following persons in the capacities indicated below as of June 11, 2021.
| Signature | Title | |
| /s/ Kevin Klein | Director (Principal Executive, Financial and Accounting Officer) | |
| Kevin Klein | ||
| /s/ Stephen L. Mooney |
Director
| |
| Stephen L. Mooney | ||
| /s/ Abhay M. Shetty |
Director
| |
| Abhay M. Shetty | ||
| /s/ Nicolas Pitaluga | Director | |
| Nicolas Pitaluga | ||
| /s/ Louis Triay | Director | |
| Louis Triay | ||
| /s/ Davor Vukadin | Authorized Representative in the United States | |
| Davor Vukadin |
SIGNATURES
Pursuant to the requirements of the Securities Act of 1933, the registrant has duly caused this registration statement to be signed on its behalf by the undersigned, thereunto duly authorized in Grand-Dutchy, Luxembourg, on June 11, 2021.
| Rowan Offshore Luxembourg S.à r.l. | ||
| By: | /s/ Kevin Klein | |
| Name: | Kevin Klein | |
| Title: | Manager A | |
| By: | /s/ Marco Weijermans | |
| Name: | Marco Weijermans | |
| Title: | Manager B | |
Pursuant to the requirements of the Securities Act, this registration statement has been signed by the following persons in the capacities indicated below as of June 11, 2021.
| Signature | Title | |
| /s/ Kevin Klein | Manager A (Principal Executive, Financial and Accounting Officer) | |
| Kevin Klein | ||
| /s/ Stephen L. Mooney | Manager A | |
| Stephen L. Mooney | ||
| /s/ Marco Weijermans | Manager B | |
| Marco Weijermans | ||
| /s/ Johannes Laurens de Zwart | Manager B | |
| Johannes Laurens de Zwart | ||
| /s/ Davor Vukadin | Authorized Representative in the United States | |
| Davor Vukadin |
SIGNATURES
Pursuant to the requirements of the Securities Act of 1933, the registrant has duly caused this registration statement to be signed on its behalf by the undersigned, thereunto duly authorized in Grand-Dutchy, Luxembourg, on June 11, 2021.
| Rowan Rigs S.à r.l. | ||
| By: | /s/ Kevin Klein | |
| Name: | Kevin Klein | |
| Title: |
Manager A | |
| By: | /s/ Johannes Laurens de Zwart | |
| Name: | Johannes Laurens de Zwart | |
| Title: | Manager B | |
Pursuant to the requirements of the Securities Act, this registration statement has been signed by the following persons in the capacities indicated below as of June 11, 2021.
| Signature | Title | |
| /s/ Kevin Klein | Manager A (Principal Executive, Financial and Accounting Officer) | |
| Kevin Klein | ||
| /s/ Stephen L. Mooney | Manager A | |
| Stephen L. Mooney | ||
| /s/ Marco Weijermans | Manager B | |
| Marco Weijermans | ||
| /s/ Johannes Laurens de Zwart | Manager B | |
| Johannes Laurens de Zwart | ||
| /s/ Davor Vukadin | Authorized Representative in the United States | |
| Davor Vukadin |
SIGNATURES
Pursuant to the requirements of the Securities Act of 1933, the registrant has duly caused this registration statement to be signed on its behalf by the undersigned, thereunto duly authorized in Ciudad de Mexico, Mexico, on June 11, 2021.
| Rowan S. de R.L. de C.V. | ||
| By: | /s/ Christian Ochoa | |
| Name: | Christian Ochoa | |
| Title: | Secretary | |
Pursuant to the requirements of the Securities Act, this registration statement has been signed by the following persons in the capacities indicated below as of June 11, 2021.
| Signature | Title | |
| /s/ Ben Rose |
Chief Executive Officer, Chairman and Member | |
| Ben Rose | Principal Executive, Financial and Accounting Officer | |
| /s/ Christian Ochoa |
Secretary
| |
| Christian Ochoa | ||
| /s/ Darin Gibbins | President and Member | |
| Darin Gibbins | ||
| /s/ Rogelio Lopez Velarde Estrada | Member and Alternate Secretary | |
| Rogelio Lopez Velarde Estrada | ||
| /s/ Davor Vukadin |
Authorized Representative in the United States
| |
| Davor Vukadin |
SIGNATURES
Pursuant to the requirements of the Securities Act of 1933, the registrant has duly caused this registration statement to be signed on its behalf by the undersigned, thereunto duly authorized in Wilmington, Delaware, on June 11, 2021.
| Rowan Services LLC | ||
| By: | /s/ Christian Ochoa | |
| Name: | Christian Ochoa | |
| Title: | Vice President and Secretary | |
Pursuant to the requirements of the Securities Act, this registration statement has been signed by the following persons in the capacities indicated below as of June 11, 2021.
| Signature | Title | |
| /s/ John Winton | President (Principal Executive Officer) | |
| John Winton | ||
| /s/ Paula Hall |
Vice President and Treasurer (Principal Financial and Accounting Officer) | |
| Paula Hall | ||
| /s/ Christian Ochoa | Vice President and Secretary | |
| Christian Ochoa |
SIGNATURES
Pursuant to the requirements of the Securities Act of 1933, the registrant has duly caused this registration statement to be signed on its behalf by the undersigned, thereunto duly authorized in Gibraltar, on June 11, 2021.
| Rowan US Holdings (Gibraltar) Limited | ||
| By: | /s/ Christian Ochoa | |
| Name: | Christian Ochoa | |
| Title: | Director | |
Pursuant to the requirements of the Securities Act, this registration statement has been signed by the following persons in the capacities indicated below as of June 11, 2021.
| Signature | Title | |
| /s/ Christian Ochoa | Director (Principal Executive, Financial and Accounting Officer) | |
| Christian Ochoa | ||
| /s/ Kevin Klein |
Director
| |
| Kevin Klein | ||
| /s/ Derek Sample |
Director
| |
| Derek Sample | ||
| /s/ Nicolas Pitaluga | Director | |
| Nicolas Pitaluga | ||
| /s/ Louis Triay | Director | |
| Louis Triay | ||
| /s/ Davor Vukadin | Authorized Representative in the United States | |
| Davor Vukadin |
SIGNATURES
Pursuant to the requirements of the Securities Act of 1933, the registrant has duly caused this registration statement to be signed on its behalf by the undersigned, thereunto duly authorized in Dallas, Texas, on June 11, 2021.
| Rowandrill, LLC | ||
| By: | /s/ Christian Ochoa | |
| Name: | Christian Ochoa | |
| Title: | Director | |
Pursuant to the requirements of the Securities Act, this registration statement has been signed by the following persons in the capacities indicated below as of June 11, 2021.
| Signature | Title | |
|
/s/ Jason Morganelli |
President (Principal Executive Officer) | |
| Jason Morganelli | ||
| /s/ Derek Sample |
Vice President and Treasurer (Principal Financial and Accounting Officer) | |
| Derek Sample | ||
| /s/ Christian Ochoa | Vice President and Secretary | |
| Christian Ochoa |
SIGNATURES
Pursuant to the requirements of the Securities Act of 1933, the registrant has duly caused this registration statement to be signed on its behalf by the undersigned, thereunto duly authorized in Hamilton, Bermuda, on June 11, 2021.
| Valaris Holdco 1 Limited | ||
| By: | /s/ Jonathan H. Baksht | |
| Name: | Jonathan H. Baksht | |
| Title: | Director | |
Pursuant to the requirements of the Securities Act, this registration statement has been signed by the following persons in the capacities indicated below as of June 11, 2021.
| Signature | Title | |
| /s/ Jonathan H. Baksht | Director (Principal Executive, Financial and Accounting Officer) | |
| Jonathan H. Baksht | ||
| /s/ Garth Lorimer-Turner | Director | |
| Garth Lorimer-Turner | ||
| /s/ Davor Vukadin | Authorized Representative in the United States | |
| Davor Vukadin |
SIGNATURES
Pursuant to the requirements of the Securities Act of 1933, the registrant has duly caused this registration statement to be signed on its behalf by the undersigned, thereunto duly authorized in Hamilton, Bermuda, on June 11, 2021.
| Valaris Holdco 2 Limited | ||
| By: | /s/ Jonathan H. Baksht | |
| Name: | Jonathan H. Baksht | |
| Title: | Director | |
Pursuant to the requirements of the Securities Act, this registration statement has been signed by the following persons in the capacities indicated below as of June 11, 2021.
| Signature | Title | |
| /s/ Jonathan H. Baksht | Director (Principal Executive, Financial and Accounting Officer) | |
| Jonathan H. Baksht | ||
| /s/ Garth Lorimer-Turner | Director | |
| Garth Lorimer-Turner | ||
| /s/ Davor Vukadin | Authorized Representative in the United States | |
| Davor Vukadin |
Exhibit 3.79
| En5"o Holdco Limited Compsny Number: 6962983 (the "Company") SOLE MEMBER'S WRlT'l'EN RESOLUTIONS Clrculallon Date: 31 Man:h 2010 (lbc "Clmllatlon Date''} 111111111111111 II •AASCRJEP• A04 23/0412010 339 COMPANIES HOUSE Pursuant to Chapter 2 of Part 13 of'the Compam,:s Aot 2006, the dlnx:tots of the Company propose that • resolutions I and 2 below Ea'O passed as ordmary resolutions (the "Ordlllary Resolutions"), and • resolutions 3 and 4 below are passed as special resolunons (together the "Special Resohrtlons"J ORDINARY RESOLVTIONS I. THAT, in accordance with paral!fllPh 43 of Schecluh, 2 to the CA 2/)06 (Commencement No 8, Tran,;1tional Provisions and Savmgs) Order 2008, the dm,ct011i be and are hereby authorised to exercise My power of the Company under secti1>n SS0 of the Companies Act 2006 2 THAT, m substitution for !Iii e,lsting authori~os, the directors be and arc _generally and uncond,nonally authorised for the pu,pose of sSSI Companies Act 2006 to eJ1erc1se all the pqwers of the Company to allot shllJ'CS in the Company, or to grant nghts to subscribe for or to oon~crt ""Y secunty mto shares m the Company ("Rights"), up to llll aggregate nominal amount of USD 5,699,085,542 for a pcmod cxprring 5 yew:, fr0n1 the date of thts reoolutmn save that the Company may before the elq>1ry of llU5 authority make an offer or -agreemenl'wluch would or might require !ihiires lo be allotted or Rights to be granted after such expiry and tho directors may allot shares or punt ltights in punullll® of such offer or agreement as 1fthe authonty conferred by this rc:solutlon had not 111<pired, SPECIAL RESOLUJ'I0NS 3, THAT with itnmcdiare effect the articles of association of the Company be. amended by delctmg all the provisioos of the Cl!mpmy's memoranchim of association which, by vtrtue of ocotion 28 of the ComplllllOII Act 2006, an, to be treated as provisions of the Comp11ny's articles of 886<lel•llon 4. THAT with unmedlate effect tho articles of association of the Company contained m the do¢un1ent attached beret(> be adopted M the new articles of 11Ssoc11!bon of tho Company m substitution for, end to the 111<cl11$1on of, 1111 the cx1stillg artioks of association of the Company, (Th~ rematodtr efthl.r Pf11l• /nklntlonally l•ft blank) D/\LOMS/6766:il |
| Certified that this and the following 32 page(s) are true copies of a document kept and registered on 30th April 2010 at the office for the registration of companies ~ - n ' Al Signature ........ ~ ... : .. . Authorised by the Registrar of Companies Date 15th September 2014 |
| (· Please read the Notes at the end of this docwnent before signifying your agreement to the Ordinary Resolutions and Spectal Resolutions (togethertllc "Re&0lutions") below. BY ORDER OF THE BOARD ~£/(&° ~w".;~fu Director AGREEMENT WE THE UNDERSIGNED, being the sole member of the Company on tho Cmrulatlon Date, HEREBY IRREVOCABLY AGREE to eath of the"Resolulions @& Dean Alan Kewish duly authorised signatory for and on bebalf of ENSCO Interoatrnnal Jncm:porated Dated· 31 ,.,-\ "'" J... 2010 N0TES To 111grufy )IOW' agreement to the Resolutions you should sign ai,d da~ tht8 documonl when: lmhcatod abov,: and return 11 to tho Company by rotunung the signed copy by band or post tu any duc~tor of tho COlllJlDllY or the Company Seorctary at I 00 Now Bridge Strec~ L!mdon, EC4V 6JA or by at1aclung a ,canned copy of the signed document to an Ol114ll and •cruhng 11 to DllY director of tho CompDlly or tho Comp811y $cctolary 2. Once you have S1grufi.ed yonr agn,emcnt to the Resolutions, you may not revoke y= asreemont 3 lJnloss by the 28" day f'Qllowing th,, Circulation Dato sufficient agroemcmt ho., bcai nx:civm for the ResolUtiOIIA to pMS, they will lapso. , 4. If you an: S1gmng Iha doCW11ent on behalf of a pemon under a power of attorney -0r other alllhoniy plc:aso serul a copy oftborelovont powor of attorney or 1111thonl)' when retunung llus documonL |
| Certified a true copy of a page of a document kept and registered on 30th April 2010 at the office for the registration of companies Signature ~~ ... :. .. Authorised by the Registrar of Companies Date 15th September 2014 |
| THE COMPANIES ACTS 1985 AND 2006 PRJV A TE COMP ANY LIMITED BY SHARES ARTICLES OF ASSOCIATION OF Ensco Holdco Limited - (Adopted by special resolution passed on 31 March 2010) PART! PRELIMINARY Articles of association These articles constitute the articles of assoc1at1on of the company No regulations con tamed m any statute or subordmate leg1slat10n, mcludmg the regulat10ns contained m the Schedule to the Companies (Tables A to F) Regulat10ns 1985 (as amended), apply to the company INTERPRETATION AND LIMITATION OF LIABILITY 2 Defined terms In the articles, unless the context requires otherwISe 11 alternate11 or "alternate director11 has the meamng given Jn article 25, 11 appointor" has the rneanmg given m article 25, "articles" means the company's arttcles of association, "bankruptcyn tncludes md1v1dual msolvency proceedmgs m a JUnsd1ct1on other than England and Wales or Northern Ireland which have an effect s1m1lar to that of bankruptcy, 0 cal1 11 has the meanmg given tn art1cle 39, 11 call nohce 11 has the meamng given m art1cle 39, 11 chairman11 has the meanmg given m article 14, ncha1rman of the meeting" has the meaning given m article 64, "Companies Acts11 means the Companies Acts (as defined m sect10n 2 of the Companies Act 2006), m so far as they apply to the company, "company's lien" has the meanmg given m article 37 1 DALDMS/676626 |
| Certified a true copy of a page of a document kept and registered on 30th April 2010 at the office for the registration of companies Signature Date ~~ ·~ ··· ···· Authorised by the Registrar of Companies 15th September 2014 |
| "director11 means a director of the company, and mcludes any person occupymg the position of director, by whatever name called and "directors11 means the directors or any of them actmg as the board of directors of the company, "distribution recipient11 has the meamng given m article 55, 11 document11 ·mcludes, un]ess otherwise specified, any document sent or supphed m electromc form, "electronic form" has the meanmg given m scctmn 1168 of the Companies Act 2006, "fully pa1dr1 m relatton to a share1 means that the nommal value and any premium to be paid to the company m respect of that share have been paid to the company, "hard copy form" has the meanmg given m section 1168 of the Comparnes Act 2006, "holder" m relation to shares means the person whose name ts entered m the register of members as the holder of the shares, "mstrument11 means a document m hard copy form, "lien enforcement notice" has the rneanmg given m article 38, 11 member11 has the meanmg given m sect10n 112 of the Compames Act 2006, 11 office11 means the registered office of the company, 11 ordinary resolut1on11 has the meanmg given m section 282 of the Companies Act 2006, 11 paid" means patd or credtted as paid, "participate", m relat10n to a dtrectors' meeting, has the meamng gtven m article 12, "partly paiid 11 m relat10n to a share means that part of that share's nommal value or any premium at which 11 was issued has not been paid to the company, "proxy notice" has the meamng given m article 701 11 secretary" means the secretary of the company or any other person appointed to perfonn the duties of the secretary of the company, mcludmg a Jomt, assistant or deputy secretary, "shares" means shares m the company, "special resolution 11 has the rneanmg given m section 283 of the Companies Act 2006, "subsidiary" has the meanmg given m section 1159 of the Companies Act 2006, "transmittee" means a person entllled to a share by reason of the death or bankruptcy of a shareholder, or m consequence of the merger or consohdatlon of any ·shareholder berng a corporatton 1 or otherwise by operation of law, and "writing" means the representation or reproduct10n of words, symbols or other mfonnat1on m a vmble fonn by any method or combmauon of methods, whether sent or supphed m electronic form or otherwise Unless the context otherwise requires, other words or expressions contamed tn these articles bear the same mearnng as m the Companies Act 2006 as m force on the date when these articles become bmdmg on the company DI\LDMS/676626 2 |
| Unless expressly provided otherwISe, a reference to a statute, statutory proVJswn or subordmate leg1slatton 1s a reference to it as Jt 1s m force from ttme to time, takmg account of (a) any subordinate legislatton from hme to l!me made under 1t, and (b) any amendment or re-enactment and mcludcs any statute, statutory prov1s10n or subordinate legislation which lt amends or re-enacts Clause and paragraph headings are inserted for ease of reference only and shall not affect construction 3 Liability of members The hab1hty of the members 1s lnmted to the amount, 1f any, unpaid on the shares held by them PART2 DIRECTORS, SECRETARY AND OTHER OFFICERS DIRECTORS' POWERS AND RESPONSIBILITIES 4 Directors' general authority Subject to the arttcles, the directors are responsible for tlte management of the company's business, for which purpose they may exercise all the powers of the company 5 Members' reserve power (1) The members may, by special resolution, direct the directors to take, or refrain from takmg, specified action (2) No such direction mvahdates anythmg which the directors have done before the passmg of the resolution 6 Directors may delegnte (1) SubJect to the articles, the directors may delegate any of the powers which are conferred on them under the articles (a) to such person or committee, (b) by such means (mcludmg by power of attorney), (c) to such an extent, (d) m relation to such matters or temtones, and (e) on such tenns and cond1t10ns, as they thmk fit (2) Any such delegat10n shall, m the absence of express prov1S1on to the contrary m the terms of delegation, be deemed to mclude authonty to sub-delegate all or any of the powers delegated (3) The directors may revoke any delegation m whole or part, or alter its terms and cond1ttons DALDMS/676626 3 |
| 7 Committees (I) Committees to which the directors delegate any of their powers must follow procedures which are based as far as they are applicable on those prov1s10ns of the articles which govern the takmg of decis10ns by directors (2) The directors may co-opt persons other than directors onto any such committee Any such co-opted persons may enJoy votmg nghts m the committee The co-opted members shall be less than one half of the total membership of the committee and a resolution of any committee shall be effective only 1f a maJonty of the members present are directors (3) The directors may make rules of procedure for all or any committees, which prevail over rules denved from the articles 1fthey are not conststent with them 8 Assocrnte directors The directors may appomt any person to any office or employment havmg a des1gnat1on or title mcludmg the word "directoru and/or may attach such a des1gnat1on or title to any ex1stmg office or employment wtth the company and may tenmnate any such appointment or the use of any such des1gnat10n or title The mclus10n of the word "director" m the designation or title of any such office or employment shall m no way imply that the holder ts a director of the company, and the holder shall not thereby be empowered m any respect to act as, or be deemed to be, a director of the company for any of the purposes of the articles DECISION-MAKING BY DIRECTORS 9 Directors to take decisions collectively (I) The general rule about dec1Ston-makmg by directors IS that any dects1on of the directors must be either a maJonty dec1s1on at a meetmg or a dec1s1on taken m accordance with arhcle I 0 (2) If (a) the company only has one director, and (b) no prov1s1on of the articles reqmres It to have more than one director, the general rule does not apply, and the director may take dec,s10ns without regard to any of the prov1s1ons of the articles relatmg to directors' dec1s10n~makmg, save that he shall comply with the reqmrements of article 19 10 Unanimous dcc1s10ns (I) A deciston of the directors 1s taken m accordance with thts article when all ehg1ble dtrectors md1cate to each other by any means that they share a common view on a matter (2) Such a dects1on may take the form of a resolution m wntmg where each ehg1ble director has signed one or more copies of 1t, or to which each ehgible. director has othenv1se md1cated agreement m wntmg (3) References m this article to ehg1ble directors are to directors who would have been entitled to vote on the matter had it been proposed as a resolut10n at a directors' meetmg (but excluding any dtrector whose vote 1s not to be counted m respect of the particular matter) DAI.DMS/676626 4 |
| (4) A dec1s1on may not be taken m accordance with this article 1f the ehg1ble d1rectors would not have formed a quorum at such a meetmg 11 Calling a directors' meeting (I) Any director may call a directors' meetmg by g1vmg nohcc of the mcctmg to the directors or by authonsmg the secretary (1f any) 10 give such notice (2) Notice of any directors' meetmg must indicate (a) its proposed date and time, (b) where II 1s to take place, and (c) if it 1s anttcipated that d1rectors part1cipatmg m the meetmg will not be m the same place, how It 1s proposed that they should commumcate with each other dunng the meetmg (3) Notice of a d1rectors' meetmg must be given to each d1rector, but need not be m wntrng (4) Nottce of a d1rectors' meetmg need not be given to directors who waive their entitlement to notice of that meetmg, by givmg nottce to that effect to the company not more than 7 days after the date on which the meetmg IS held Where such notice IS given after the meetmg has been held, that does not affect the vahd1ty of the meetmg, or of any business conducted at II 12 Parhc1pation in directors' mcctmgs (I) Subject to the articles, directors part1cIpate m a directors' meeting, or part of a dtrectors 1 meeting, when (a) the meetmg has been called and takes place m accordance with the articles, and (b) they can each commumcate to the others any mfonnallon or opm1ons they have on any particular item of the busmess of the meeting (2) In determ1mng whether directors are part1cipatmg m a directors' meetmg, 11 1s irrelevant where any director 1s or how they commumcate with each other (3) If all the directors part1c1patmg m a meetmg arc not m tho same place, they may decide that the meellng 1s to be treated as takrng place wherever any of them is In default of such" a dcc1s10n, the meeting shall be deemed to take place where the largest group of those part1c1patmg 1s assembled, or, if there IS no such group, where the chairman of the meetmg IS 13 Quorum for directors' meetings (I) At a dtrectors' mcetmg, unless a quorum ts parttc1patmg, no proposal ts to be voted on, except a proposal to call another mcctmg (2) The quorum for d1Tectors' meetmgs may be fixed from lime to lime by a decision of the directors, but 11 must never be less than two, and unless otherwise fixed It IS two (3) If the total number of dlfectors for the lime bemg IS less than the quorum required, the directors must not take any dec1s1on other than a dec1S1on DALDMS/676626 5 |
| ---------------- --- (a) to appomt further dtrectors, or (b} to call a general meeting so as to enable the shareholders to appomt further d1rectors 14 Chamng of directors' meetings (I) The dtrectors may appoint a dtrector to chair their mcctmgs (2) The person so appomted for the time bemg 1s known as the chairman (3) The directors may terminate the chairman's appomtment at any ttme (4) If the chamnan 1s not part1c1pating m a dtrectors' meetmg w1thm ten mmutes of the time at which tt was to start, the part1c1patmg duectors must appomt one of themselves to chair 1t 15 Voting at directors' meetings: general rules (I) Subject to the articles, each dtrector part1c1patmg in a directors' meeting has one vote (2) Subject to such disclosure as ts required by law and the articles, a director who 1s interested m an actual or proposed transaction or arrangemenl w1th the company 1s to be counted as part1c1patmg m the dec1s1on makmg process (mcludmg for this purpose any d1rectors 1 meetmg or part of a d1rectors 1 meetmg) for quorum and votmg purposes 16 Chairman's casting vote at directors' meetings If the numbers of votes for and against a proposal are equal, the chairman or other director chamng the meetmg shall not have a casting vote 17 Alternates voting al directors' meetings A dtrector who 1s also an alternate director has an add1ttonal vote on behalf of each appomtor who 1s (a) not part1c1pating ma directors' meeting, and (b) would have been entttled to vote tfthey were part1c1patmg m 1t 18 Conflicts of interest (I) Subject to the articles, and provided that he has declared the nature and extent of his mterest m accordance wtth the requirements of the Compames Acts, a director notwtthstanding his office (a) (b) (c) DALDMS/676626 may be a party to, or othenv1se interested rn, any transaction or arrangement with the company or 10 which the company 1s otherwise interested, may be a dtrector or other officer of, or employed by, or a party to any transaction or arrangement with, or otherwise interested m, any body corporate promoted by the company or m Which the company 1s otherwise interested, and · may be a dtrector or other officer of, or employed by, or a party to any transaction or arrangement. wtth, or otherwise interested m, any parent 6 |
| and undertakmg or subsidiary undertakmg of the company, or any subsidiary undertaking of any parent undertaking of the company, or any body corporate m which any such parent undertakmg or subsidiary undertak10g 1s interested (1) unless the directors decide otherw,se shall not, by reason of h,s office, be accountable to the company for any remuneration or other benefit which he denves from any such office or employment or from any such transactton or arrangement or from any mterest m any such body corporate and no such transaction or arrangement shall be liable to be avmded on the ground of any such mterest or benefit, (11) shall not infringe hts duty to avotd a situation m wluch he has, or can have, a direct or indirect interest that conthcts, or posstbly may conntcl, wtth the interests of the company as a result of holding any such office or employment with or bemg a party to any such transaction or arrangement or otherwise bemg mterested m any such body corporate, (t11} shall not be required to disclose to the company, or use 10 performing hts duttes as a director of the company, any mforrnauon relating to any such office or employment If to make such a disclosure or use would result m a breach of a duty or obligation of confidence owed by him m relation to or m connection with that office 1 employment, transact1on 1 arrangement or mterest, and (1v) may absent himself from discussions, whether 10 meetmgs of the d1rectors or otherwise, and exclude himself from th~ receipt or use of mformat1on, which will or may relate to that office, employment, transact1on, arrangement or interest (2) The directors may authonse (subject to such terms and cond11tons, 1fany, as they may thmk fit to impose from time to time, and subject always to the1r nght to vary or terrnmate such authonsat10n), to the fullest extent permttted by law (a) any matter which would otherwise result m a director mfhngmg hts duty to avoid a s1tuat10n m which he has, or can have, a direct or md1rect interest that conn1cts, or possibly may conn1ct, with the interests of the company and which may reasonably be regarded as likely to give nse to a conn1ct of mterest (mcludmg a conn1ct ofmterest and duty or conn1ct of duties), and (b} a director to accept or contmue m any office, employment or posll,on m add11ton to hts office as a dtrector of the company (not bemg an office, .. employment or pos1hon wh1ch the director 1s authonsed to hold pursuant to article 18(1)(b) and/or article 18(1 )(c)) and may authonse the manner m which a conflict of mtcrcst ansmg out of such matter,·office1 employment or pos1t1on may be dealt with, either before or at the time that such a confhct of mterest anses (3) Any authonsation pursuant to article 18(2) 1s effecttve only 1f (a) DALDMS/676626 the matter m quesllon was proposed m wntmg for constderat1on at a d1rectors 1 meetmg, m accordance with nonnal procedures or m such other manner as the directors may approve, 7 |
| (b) any reqmrement as to the quorum at the meetmg at which the matter 1s considered 1s met without countmg the duector m question or any other mterested director, and (c) the matter was agreed to without their votmg or would have been agreed to 1f their votes had not been counted (4) In relat10n to any matter, office, employment or pos1t1on that has been authonsed pursuant to article 18(2) (subJect to such tenns and cond11tons, 1f any, as the directors may thmk fit to impose from time to time, and subJect always to their right to vary or tenmnate such authonsat1on or the penmss1ons set out below) (a) the director shall not be reqmred to disclose to the company, or use m performmg his duties as a director of the company, any mfonnatwn relatmg to such matter, or such office, employment or pos1t10n, 1f to make such a disclosure or use would result m a breach of a duty or obhgatton of confidence owed by him m relatton to or m connection with that matter, or that office, employment or pos11ton, (b) the dtrector may absent himself from d1scuss1ons, whether m directors' meetmgs or otherwise, and exclude himself from the receipt or use of mfonnatlon, which will or may relate to that matter, or that office, employment or postlton, and (c) the dtrector shall not, by reason ofh1s office as a dtrector of the company, be accountable to the company for any remuneration or other benefit which he denves from any such matter, or from any such office, employment or post hon 19 Records of decisions to be kept The dtrectors must ensure that the company keeps a record, m wntmg, for at least IO years from the date of the dec1s1on recorded, of every unammous or maJonty dec1s10n taken by the directors 20 Directors' discretion to make further rules Subject to the articles, the dtrectors may make any rule which they thmk fit about how they take dec1s10ns 1 and about how such rules are to be recorded or commumcated to directors APPOINTMENT OF DIRECTORS 21 Methods of appointing and removing directors (I) The holder or holders forthe ttme being of more than one half m nominal value of the shares g1vmg the nght to attend and vote at a general meeting of the company may at any time and from time to time appomt any person who 1s w1\hng to act as a director; and 1s penmtted by law to do so, to be a ducctor, either to fill a vacancy or as an addtttonal dtrector, and may remove any dtrector from office (2) Any appomtment or removal of a dtrector m accordance with article 21(1) must be effected by notice m wntmg to the company signed by the person makmg the appointment or removal or m any other manner approved by the dtrectors DALDMS/676626 8 |
| (3) The d,rectors shall also have the power to appomt any person who ,s w1lhng to act as a d,rector, and 1s penmtted by law to do so, to be a director, e1ther to fill a vacancy or as an add111onal d,rector 22 Termination of director's appointment A person ceases to be a director as soon as (a) that person ceases to be a d1rector by virtue of any prov1s1on of the Compames Act 2006 or ,s proh1b1ted from bemg a d,rector by law, (b) a bankruptcy order 1s made agamst that person, (c) a compos1twn 1s made with that person's creditors generally m sat1sfact1on of that person's debts, (d) a registered medical praclllloner who 1s treatmg that person gtves a wntten opm1on to the company statmg that that person has become physically or mentally mcapable of actmg as a duector and may remam so for more than three months, (e) by reason of that person's mental health, a court makes an order which wholly or part1y prevents that person from personally exerc1smg any powers or nghts which that person would otherwise have, (f) not1ficat10n 1s received by the company from the director that the d,rector ts res1gnmg from office as director, and such res1gnat10n has taken effect m accordance with its tenns, (g) that person ,s convicted of a cnmmal offence mvolvmg fraud or dishonesty and the directors resolve that he shall for that reason cease to be a director, (h) that person 1s removed as a d,rector m accordance with article 21 (1), or (1) that person 1s requested to resign m wntmg by all the other d,rectors In ca!culatmg the number of d,rectors who are requ,red to make such a request to the d1rector (A) an alternate d,rector appointed by him actmg m his capac1ty as such shall be excluded, and (B) a d1rector and any alternate dJTeclor appointed by him and actmg m his capactty as such shall constitute a single d,rector for this purpose, so that the signature of etther shall be sufficient 23 Directors' remuneration (I) DJTectors may undertake any services for the company that the dtrectors decide (2) Directors are entitled to such remuneration as the directors dctcnmne (a) for thetr services to the company as directors, and (b) for any other service which they undertake for the company (3) SubJect to the articles, a dJTector's remuneration may DALDMS/676626 9 |
| (a) take any fonn, and (b) mclude any arrangements m conncct10n with the payment of a penston, allowance or gratuity, or any death, sickness or d1sab1hty benefits, to or m respect of that d1Tector ( 4) Unless the directors decide otherwise, duectors' remuneratmn accrues from day to day 24 Directors' expenses The company may pay any reasonable documented expenses which the d!Tectors properly mcur m connect1on with their attendance at (a) meettngs of dlfectors or commtttees of directors, (b) general meetmgs, or (c) separate meetmgs of the holders of any class of shares or of debentures of the company, or otherwise m connection with the exercise of their powers and the discharge of their respons1b1httes m relation to the company AL TERNA TE DIRECTORS 25 Appointment and removal of alternates (!) Any director (the "appolntor") may appomt as an alternate any other dlfcctor, or any other person who 1s w1llmg to act as a director, and 1s penmtted by law to do so, and who has been approved by decision of the d1Tectors, to (a) exercJSe that d1Tector's powers, and (b) carry out that d1Tector's responsib1httes, m rclat10n to the takmg of dec1s1ons by the directors m the absence of the alternate1s appomtor (2) Any appomtment or removal of an alternate must be effected by notice m wntmg to the company signed by the appomtor or ,n any other manner approved by the directors 26 Rights and responsibilities of alternate directors (I) An alternate dlfector may act as alternate d!Tector for more than one director and has the same nghts m relation to any dec1s1on of the directors as lhe altemate's appomtor (2) Except as the ar11cles specify otherwise, alternate directors DALDM':>/676626 (a) (b) (c) (d) are deemed for all purposes to be directors, are liable for their own acts and om1ss1ons, are subject to the same restncuons as their appomtors, and are not deemed to be agents of or for their appomtors 10 |
| (3) A person who 1s an alternate d1rector and also a d1rector 1s entitled, m the absence of his appomtor, to a separate vote on behalf of his appomtor, m addition lo his own vote, on any dec1s1on of the directors, but shall not be counted as more than one director for the purposes of deterrmmng whether a quorum is present (4) A person who 1s an alternate director but not a director (a) may be counted as panic1patmg for the purposes of delennmmg whether a quorum 1s present (but only 1f1hal person's appomtor IS not part1c1patmg), (b) may part1c1pale m takmg a dec1s1on m accordance with article IO (but only 1f that person's appomtor has not so part1c1pated), and (c) shall not be counted as more than one d1rector for lhe purposes of articles 26(4)(a) and 26(4)(b) (5) An alternate dtrector 1s not entttled to receive any remuneratmn from the company for serving as an alternate director except such part of the a1ternate's apporntor's remuneration as the appomtor may direct by nohce m wntrng made to the company 27 Termmation of alternate directorship An alternate director's appomtment as an alternate tenmnates SECRETARY (a) when the altemate's appomtor revokes the appomhnent by notice to the company m writmg spectfymg when 1t ts to tennmate, (b) on the occurrence m relation to the alternate of any event which, 1f It occurred m relatlon to the altemate's appomtor, would result m the tennmatton of the appomtor's appointment as a director, (c) on the death of the altemate's appomtor, (d) when the altemate's appomtors appointment as a dlfector terrmnates, or (e) when the alternate d1rector resigns his office by notice to the company 28 Appointment and removal of secretary (I) SubJect to the articles, the secretary shall be appomted by the holder or holders for the time bemg of more than one half m nommal value of the shares g1vmg the nght to attend and vote at a general meetmg of the company or the d1Tectors for such tenn, at such remuneration and upon such cond1t1ons as they may thmk fit and any secretary so appomted may be removed by such appomtor(s) (2) Two or more Jomt secretanes, each of whom shall have full authonty to act alone and mdependently of each other, may be appomted pursuant to the prov1s1ons of this amcle 28 OFFICERS 29 Appointment and removal of officers (I) The officers of the Company shall be chosen m such a manner, shall hold their offices for such tenns and shal1 carry out such duties as are prescnbed herern or detennmed DALDMS/676626 11 |
| solely by the directors, subJect to the nght of the directors to remove any officer or officers at any time with or without cause The directors may determme that all of the officers of the Company sha,11 be appomted or reappomted by the directors on an annual basis (2) The officers of the Company shall mclude a secretary and may mclude a chairman of the board of directors, a chtef execullve officer, a president, one or more executive vice presidents, senior vtce presidents, vice presidents, and a treasurer, each of whom shall be elected by the directors Any number of offices may be held by the same person unless the Acts or the Articles otherwise provide (3) Such other officers and assistant officers and agents as may be deemed necessary may be elected or appointed by the directors (4) Any officer of the Company may be removed at any time, with or without cause, by the directors (5) The salanes of all officers and agents of the Company shall be fixed by the directors or a duly constituted committee thereof (6) Each officer of the Company shall hold office until his or her successor 1s appmnted or unttl hts or her earher res1gnat1on or removal Any vacancy occumng m any office of the Company by death, res1gnat10n, removal or otherwise shall be filled by the directors or other govemmg body PART3 SHARES AND DISTRIBUTIONS ISSUE OF SHARES 30 Powers to issue different classes of share (I) SubJect to the articles, but without prejudice to the nghts attached to any existing share, the company may issue shares with such nghts or restnctlons as may be determined by ordinary resolution (2) The company may issue shares which are to be redeemed, or are hable to be redeemed at the opt10n of the company or the holder, and the directors may determme the tenns, cond1ttons and manner of redemptton of any such shares 31 Power to allot shares (]) None of the requirements of sections 561 and 562 of the Companies Act 2006 shall apply to the company 32 Payment of commissions on subscription for shares (1) The company may pay any person a cornm1ss1on rn cons1derahon for that person (a) subscnbmg1 or agreeing to subscnbe, for shares, or (b) procunng, or agreemg to procure, subscnpt1ons for shares (2) Any such cornm1ss10n may be paid DALDMS/676626 12 |
| (a) m cash, or m fully paid or partly paid shares or other secunlles, or partly m one way and partly m the other, and (b) m respect ofa conditional or an absolute subscnpt10n INTERESTS IN SHARES 33 Company not bound by less than absolute Interests Except as reqmred by law, no person ,s to be recogmscd by the company as holdmg any share upon any trust, and except as otherw,se required by law or the articles, the company 1s not m any way to be bound by or recogmse any mterest m a share other than the holder's absolute ownership of 11 and all the nghts attachmg to it SHARE CERTIFICATES 34 Certificates to be issued (1) The company must rnsue each member with one or more certificates m respect of the shares which that member holds (2) Except as otherwtse specified m the arhcles, all certificates must be issued free of charge (3) No certificate maybe tSsued m respect of shares of more than one class (4) If more than one person holds a share, only one certificate may be ,ssued m respect of II 35 Contents and execution of share certificates (I) Every certificate must specify (a) m respect of how many shares, of what class, 11 1s issued, (b) the nominal value of those shares, (c) the amount paid up on them, and (d) any dtslmgmshmg numbers assigned to them (2) Certificates must (a) have affixed to them the company's common seal, or (b) be otherwtse executed m accordance with the Compames Acts 36 Replacement share ccrhficatcs (1) !fa certificate issued m respect ofa member's shares is DALDMS/676626 (a) damaged or defaced, or (b) said to be lost, stolen or destroyed, that member 1s entlt)ed to be issued with a replacement certificate tn respect of the same shares 13 |
| (2) A member exerc1smg the nght to be ISsued with such a replacement certificate (a) may at the same time exercise the nght to be ISsued with a smgle certificate or separate certificates, (b) must return the certificate which IS to be replaced lo the company 1f II ts damaged or defaced, and (c) must comply with such cond1t1ons as to evidence, mdemmty and the payment of a reasonable fee as the directors decide PARTLY PAID SHARES 37 Company's lien over partly paid shares (I) The company has a hen (the "company's lien") over every share which 1s partly patd for any part of (a) that share's nominal value, and (b) any premium at which ti was issued, which has not been patd to the company, and which ,s payable tmmedtately or at some ttme m the future, whether or not a call notice has been sent m respect of 11 (2) The company's hen over a share (a) takes pnonty over any thtrd party's mterest m that share, and (b) extends to any d1v1dend or other money payable by the company m respect of that share and (tf the hen IS enforced and the share ,s sold by the company) the proceeds of sale of that share (3) The dtrectors may at any time decide that a share which ts or would otherwise be subject to the company's hen shall not be subject to 11, either wholly or tn part 38 Enforcement of the company's lien (I) Subject to the prov1s1ons of this article, 1f (a) a hen enforcement notice has been given m respect ofa share, and (b) the person to whom the nottce was given has faded to comply with 11, the company may sell that share m such manner as the directors decide (2) A hen enforcement nollce DALDMS/676626 (a) (b) (c) (d) may only be given m respect of a share which ts subject to the company's hen, m respect of which a sum 1s payable and the due date for payment of that sum has passed, must specify the share concerned, must requtre payment of the sum payable w1thtn 14 days of the nottce, must be addressed either to the holder of the share or to a transm1ttee of that holder, and 14 |
| (e) must state the company's intention to sell the share 1f the notice 1s not comphed with (3) Where shares are sold under th!S article (a) the directors may authonse any person to execute an instrument of transfer of the shares to the purchaser or to a person nommated by the purchaser, and (b) the transferee 1s not bound to see to the apphcallon of the cons1derat1on, and the transferee's title ts not affected by any 1rregulanty m or mvahd1ty of the process leading to the sale (4) The net proceeds of any such sale (after payment of the costs of sale and any other costs of enforcing the hen) must be apphed (a) first, m payment of so much of the sum for which the hen exists as was payable at the date of the hen enforcement notice, (b) second, to the person entitled to the shares at the date of the sale, but only after the certificate for the shares sold has been surrendered to the company for cancellat1on or a suttable mdemmty has been given for any lost certificates, and subject to a hen equivalent to the company's hen over the shares before the sale for any money payable m respect of the shares after the date of the hen enforcement notice (5) A statutory declaration by a director or the secretary (1f any) that the declarant IS a director or the secretary and that a share has been sold to satisfy the company's hen on a specified date (a) 1s conc1us1ve evidence of the facts stated m tt as agamst all persons claunmg to be entitled to the share, and (b) subJect to comphance with any other forrnahttes of transfer reqmred by the articles or by law, constitutes a good mle to the share 39 Call notices (I) Subject to the articles and the terrns on which shares are allotted, the d,rectors may send a notice (a "call notice") to a member requmng the member to pay the company a specified sum of money (a "call") which 1s payable m respect of shares which that member holds al the date when the directors decide to send the call notice (2) A call notice (a) may not requ,re a member to pay a call which exceeds the total sum unpaid on that member's shares (whether as to the share's nominal value or any amount payable to the company by way of premrnm), (b) must state when and how any call to which 1t relates 1t 1s to be paid, and (c) may penmt or requ,re the call to be paid by mstalments (3) A member must comply with the reqmrements of a call notice, but no member 1s obhged to pay any call before 14 days have passed smce the notice was sent (4) Before the company has received any call due under a call notice the directors may DAI DMS/676616 15 |
| (a) revoke 1t wholly or m part, or (b) specify a later time for payment than ts specified m the notice, by a further notice m wntmg to the member m respect of whose shares the call 1s made 40 Lrnbility lo pay calls (1) L1ab1hty to pay a call is not extmgu1shed or transferred by transfemng the shares m respect of which 1t 1s required to be paid (2) Jomt holders of a share are Jotntly and severally hable to pay all calls m respect of that share (3) Subject to the tenns on which shares are allotted, the directors may, when 1ssumg shares, provide that call notices sent to the holders of those shares may require them (a) to pay calls which are not the same, or (b) to pay calls at different times 41 When call notice need not be Issued (]) A call notice need not be issued m respect of sums which are specified, m the tenns on which a share is issued, as bemg payable to the company m respect of that share (whether 1n respect ofnommal value or premium) (a) on allotment, (b) on the occurrence of a particular event, or (c) on a date fixed by or m accordance with the tenns of1ssue (2) But 1 f the due date for payment of such a sum has passed and 1t has not been paid, the holder of the share concerned 1s treated m all respects as havmg failed to comply with a cal1 notice m respect of that sum, and ts hable to the same consequences as regards the payment of interest and forfeiture 42 Fadure to comply with call notice: automatic consequences (1) If a person 1s liable to pay a call and fails to do so by the call payment date (a) the directors may issue a notice ofmtended forfeiture to that person, and (b) until the call 1s paid, that person must pay the company mterest on the call from the call payment date at the relevant rate (2) For the purposes of this article DALDMS/676626 (a) (b) (1) the 11 call payment date 11 1s the time when the call notice states that a call 1s payable, unless the directors give a notice spec1fymg a later date, m which case the "call payment date" 1s that later date, the 11 relevant rate 11 1s the rate fixed by the tenns on which the share m respect of which the call 1s due was a11otted, 16 |
| (11) such other rate as was fixed m the call notice which required payment of the call, or has otherwISe been detennmed by the directors, or (n1) 1f no rate 1s fixed m either of these ways, 5 per cent per annum (3) The relevant rate must not exceed by more than 5 percentage points the base lendmg rate most recently set by the Monetary Pohcy Committee of the Bank of England m connection with its respons1b1ht1es under Part 2 of the Bank of England Act 1998 (4) The directors may waive any obhgat1on to pay interest on a call wholly or m part 43 Notice of mtcndcd forfeiture A notice ofmtended forfeiture (a) may be sent m respect of any share m respect of which a call has not been paid as required by a call notice, (b} must be sent to the holder of that share or to a transmlltee of that holder, (c) must require payment of the call and any accrued mterest and all expenses that may have been mcurred by the company by reason of such non-payment by a date which ,s not less than 14 days after the date of the notice, {d) must state how the payment 1s to be made, and (e) must state that 1f the notice 1s not comphed with, the shares m respect of which the call is payable will be liable to be forfeited 44 Directors' power to forfeit shares lf a notice of intended forfeiture 1s not comphed with before the date by which payment of the ca11 1s requ1red m the notice of mt ended forfeiture, the directors may decide that any share m respect of which ll was given 1s forfeited, and the forfeiture 1s to mclude all d1v1dends or other moneys payable m respect of the forfeited shares and not paid before the forfeiture 45 Effect of forfeiture (I) SubJect to the articles, the forfeiture ofa share extmgu,shes (a) all interests m that share, and all claims and demands agamst the company m respect oftt, and (b) all other nghts and hab1ht1es mc1dental to the share as between the person whose share 1t was pnor to the forfeiture and the company (2) Any share which 1s forfeited m accordance with the articles (a) 1s deemed to have been forfeited when the directors decide that 1t 1s forfeited, (b) 1s deemed to be the property of the company, and (c) may be sold, re-allotted or otherwise disposed of as the d,rectors thmk fit (3) If a person's shares have been forfeited (a) DALDMSf676626 the company must send that person notice that forfeiture has occurred and record 1t m the register of members, 17 |
| (b) that person ceases to be a member m respect of those shares, (c) that person must surrender the certificate for the shares forfeited to the company for cancellat1on 1 (d) that person remains liable to the company for all sums payable by that person under the articles at the date of forfeiture in respect of those shares, mcluding any interest (whether accrued before or after the date of forfeiture), and (e) the directors may waive payment of such sums wholly or m part or enforce payment without any allowance for the value of the shares at the tLme of forfeiture or for any cons1deratLOn rece1Ved on their disposal (4) At any time before the company disposes of a forfeited share, the directors may decide to cancel the forfeiture on payment of all calls, mterest and expenses due m respect of 1t and on such other terms as they thmk fit 46 Procedure followmg forfeiture (I) If a forfeited share 1s to be disposed of by bemg transferred, the company may receive the cons1deratton for the transfer and the dlrcctors may authorise any person to execute the instrument of transfer (2) A statutory declaration by a d1rector or the secretary (1f any) that the declarant IS a director or the secretary and that a share has been forfeited on a specified date (a) IS conclusive evidence of the facts stated m 11 as agamst all persons cla1mmg to be entitled to the share, and (b) subject to compliance with any other forrnaht1es of transfer reqmred by the articles or by law, constitutes a good title to the share (3) A person to whom a forfeited share 1s transferred 1s not bound to see to the apphcallon of the cons1derat1on (1f any) nor is that person's title to the share affected by any irregulanty m or invahd1ty of the process leading to the forfeiture or transfer of the share (4) lf the company sells a forfeited share, the person who held 11 pnor to Its forfeiture ts entitled to receive from the company the proceeds of such sale, net of any comm1ss1on, and excluding any amount which (a) was, or would have become, payable, and (b) had not, when that share was forfeited, been paid by that person m respect of that share but no interest 1s payable to such a person in respect of such proceeds and the company 1s not required to account for any money earned on them 47 Surrender of shares (I) A member may surrender any share DAI.DMS/676626 (a) (b) in respect ofwh1ch the dtrectors may issue a notice ofmtended forfeiture, which the directors may forfeit, or 18 |
| (c) which has been forfeited (2) The directors may accept the surrender of any such share (3) The effect of surrender on a share ,s the same as the effect of forfeiture on that share (4) A share which has been surrendered may be dealt with m the same way as a share which has been forfeited TRANSFER AND TRANSMISSION OF SHARES 48 Transfers of shares ( l) Shares may be transferred by means of an mstrumenl of transfer m any usual forrn or any other forrn approved by the directors, which 1s executed by or on behalf of (a) the transferor, and (b) (1fany of the shares 1s partly paid) the transferee (2) No fee may be charged for reg1stcrmg any mstrument of transfer or other document relating to or affectmg the title to any share (3) The company may retam any instrument of transfer which 1s registered (4) The transferor remains the holder of a share until the transferee's name 1s entered m the register of members as holder of 11 (5) The directors shall register a transfer of shares which 1s (a) lodged at the office or such other place as the directors have appointed, (b) accompanied by the certificate for the shares to which 11 relates, or such other evidence as the directors may reasonably require to show the transferor's nght to make the transfer 1 or evidence of the nght of someone other than the transferor to make the transfer on the transferor's behalf, and (c) presented for reg1strat1on duly stamped or 1s an exempt transfer wllhm the Stock Transfer Act 1982, and may, m their absolute d1scretton 1 refuse to register any other transfer of shares (6) If the directors refuse to register the transfer of a share, the instrument of transfer must be returned to the transferee with the notice of refusal unless they suspect that the proposed transfer may be fraudulent 49 Transmission of shares (I) If title to a share passes to a transm11tee, the company may only recognise the transm111ee as havmg any utle to that share (2) Nothmg m these articles releases the estate of a deceased member from any hab1ltty m respect of a share solely or Jomtly held by that member 50 Transmittces' rights (I) A transnnttee who produces such evidence of enlltlement to shares as the directors may properly require DALDMS/676626 19 |
| (a) may, subject to the articles, choose either to become the holder of those shares or to have them transferred to another person, and (b) subject to the articles, and pendmg any transfer of lhe shares to another person, has the same nghts as the holder had (2) But transm1ttees do not have the nght to attend or vote at a general meetmg, or agree to a proposed wntten resolut10n, m respect of shares to which they are entitled, by reason of the holder's death or bankruptcy or otherwise, unless they become the holders of those shares 51 Exercise of transmiUees' rights (I) Transm1ttees who wish to become the holders of shares to which they have become entitled must notify the company m wntmg of that wish (2) If the transm1ttce wishes to have a share transferred to another person, the transmlltee must execute an mstrument of transfer m respect of 1t (3) Any transfer made or executed under this article 1s to be treated as tf 1t were made or executed by the person from whom the transm1ttee has denved nghts m respect of the share, and as 1fthe event wh1ch gave nse to the transm1ss1on had not occurred 52 Transm1ttees bound by prior notices If a notice Is given to a member m respect of shares and a transnnttee 1s entitled to those shares, the transm1ttee 1s bound by the notice 1f 11 was given to the member before the transm1Hee's name has been entered 1n the register of members DISTRIBUTIONS 53 Procedure for declanng dividends (I) The company may by ordmary resoluuon declare dividends, and the directors may decide to pay mtenm dividends (2) A d1v1dcnd must not be declared unless the d1rectors have made a recommendatton as to its amount Such a dividend must not exceed the amount recommended by the d1rectors (3) No dlV!dend may be declared or paid unless 11 1s m accordance with members' respective nghts (4) Unless the members' resolution to declare or d1rectors' dec1S1on to pay a d1v1dend, or the tenns on which shares are issued, specify otherwise, it must be pa1d by reference to each member's holdmg of shares on the date of the resoluhon or dec1s10n to declare or pay 11 (5) If the company's share capital is d1V1ded mto different classes, no mtenm dlVldend may be paid on shares carrymg deferred or non-preferred nghts 1f, at the time of payment, any preferential d1vtdend 1s m arrear (6) The directors may pay at mtervals any d1v1dend payable at a fixed rate ,f II appears to them that the profits ava1lablc for d1stnbut1onjust1fy the payment DALDMi:./676626 20 |
| (7) If the directors act m good faith, they do not mcur any hab1hty to the holders of shares confemng preferred nghts for any loss they may suffer by the lawful payment of an mtcnm d1v1dend on shares with deferred or non-preferred nghts 54 Calculation of dividends (1) Except as otherwise provided by the articles or the nghts attached to shares, all d1v1dends must be (a) declared and paid accordmg to the amounts patd up on the shares on which the d1V1dend 1s paid, and (b) apportioned and paid proport10nately to the amounts paid up on the shares dunng any portion or portions of the penod m respect of which the dividend Ls paid (2) If any share IS 1Ssued on terms providmg that 11 ranks for dividend as from a particular date, that share ranks for d1v1dend accordmgly 55 Payment of dividends and other distributions (I) Where a d1v1dend or other sum which IS a d1Stnbullon 1s payable m respect of a share, 1t must be patd by one or more of the followmg means (a) transfer to a bank or bmldmg society account specified by the d1Stnbut10n rec1p1ent either m wntmg or as the directors may otherwise decide, (b) sendmg a cheque made payable to the d1Stnbu\lon recipient by post to the d1stnbut10n rcc1p1ent at the d1stnbut1on rcc1p1ent's registered address (1f the d1stnbut1on rcc1p1ent 1s a holder of the share), or (m any other case) to an address specified by the d1stnbut1on rec1p1ent either m wntmg or as the directors may otherw1Se decide, (c) scndmg a cheque made payable to such person by post to such person at such address as the d1stnbullon rec1p1ent has specified either m wnttng or as the directors may otherwise decide, or (d) any other means of payment as the directors agree with the distnbuuon rec1p1ent either m wntmg or by such other means as the directors decade (2) In the articles, the 11 d1stribuhon recipient" means, m respect of a share m respect of which a dividend or other sum 1s payable (a) the holder of the share, or (b) if the share has two or moreJomt holders, whichever of them IS named first m the reg1ster of members, or (c) if the holder is no longer entitled to the share by reason of death or bankruptcy, or m consequence of the merger or consoltdation of any holder bemg a corporat1on, or othctW1se by operalton oflaw, the transm1ttee 56 Deduchons from distribuhons in respect of sums owed to the company (l) If (a) a share 1s subject to the company's hen, and DALDMS/676626 21 |
| (b) the dlfectors are entitled to issue a hen enforcement notice tn respect of1t1 they may, mstead of 1ssumg a hen enforcement notice, deduct from any d1v1dend or other sum payable m respect of the share any sum of money which is payable to the company m respect of that share to the extent that they are entitled to reqmre payment ·under a hen enforcement notice (2) Money so deducted must be used to pay any of the sums payable m respect of that share (3) The company must notify the d1Stnbutton recipient m wntmg of (a) the fact and amount of any such deduction, (b) any non-payment of a dmdend or other sum payable m respect of a share resultmg from any such deduction, and (c) how the money deducted has been apphed 57 No interest on distributions The company shall not be obhged to pay mterest on any d1v1dend or other sum payable m respect of a share unless otherwise provided by (a) the terms on which the share was issued, or (b) the provis10ns of another agreement between the holder of that share and the company 58 Unclaimed dl5tributions {I) All dividends or other sums which are (a) payable m respect of shares, and (b) unclaimed after havmg been declared or become payable, may be mvested or otherwise made use of by the dnectors for the benefit of the company unlll claimed (2) The payment of any such d!Vldend or other sum mto a separate account does not make the company a trustee m respect of 1t (3) If (a) twelve years have passed from the date on which a d1v1dend or other sum became due for payment, and (b) the distnbullon rec1p1ent has not claimed II, the d1stnbullon rec1p1ent 1s no longer entitled to that d1v1dend or other sum and 11 ceases to remam owmg by the company 59 Non-cash distributions (I) SubJect to the tenns of issue oflhe share m questrnn DALDMS/616626 22 |
| (a) the company may, by ordmary resolutton on the recornmendatton of the directors, and (b) (m the case of an mlenm d1v1dend) the directors may decide to pay all or part of a d1v1dend or other d1stnbut1on payable m respect of a share by lransfernng non-cash assets of equivalent value (mcludmg, without hm1tat10n, shares or other secunt1es m any company) (2) For the purposes of paymg a non-cash d1stnbu11on, the directors may make whatever arrangements they thmk fit, mcludmg, where any d1fficully anses regardmg the d1stnbut1on (a) fixmg the value of any assets, (b) payrng cash to any d1stnbutton rec1p1ent on the basis of that value m order to adjust the rights of rec1p1ents, and (c) vesting any assets m trustees 60 Waiver of distributions D1stnbu110n rec1p1ents may waive their entitlement lo a d1v1dend or other dtstnbutton payable m respect of a share by g1vmg the company notice m wntmg to that effect pnor to the declaration of that dtvtdend or d1stnbut1on, but 1f (a) the share has more than one holder, or (b) more than one person 1s entitled to the share, whether by reason of the death or bankruptcy of one or more Jomt holders, or otherwise, the notice 1s not effective unless 11 1s expressed to be given, and signed, by all the holders or persons otherwise entitled to the share CAPITALISATION OF PROFITS 61 Authority to capitalise and appropriation of capitalised sums (I) Subject to the articles, the directors may, 1f they are so authonsed by an ordmary resolution (a) decide to cap1lahse any profits of the company (whether or not they are available for d1stnbull0n) whtch are not reqmred for paymg a. preferential d1v1dend, or any sum standmg to the credit of the company's share prem1Um account or capital redemplion reserve, and (b) appropnate any sum which they so decide to cap1tahse (a "cap1talised sum") to the persons who would have been entitled to 111f11 were d1stnbuted by way of d1v1dend (the "persons entitled") and m the same proporttons (2) Cap1tahsed sums must be apphed DALDMS/676626 (a) (b) on behalf of the persons entitled, and m the same proportions as a d1v1dend would have been d1stnbuted lo them 23 |
| (3) Any cap1tahsed sum may be applied m paying up new shares of a nommal amount equal to the capltahsed sum which are then allotted credited as fully paid to the persons entitled or as they may direct (4) A cap1tahsed sum which was appropnated from profits available for d1stnbut10n may be apphed (a) m or towards paying up any amounts unpaid on ex1Stmg shares held by the persons entttled, or (b) m paying up new debentures of the company which are then allotted credited as fully paid to the persons enutled or as they may direct (5) SubJect to the articles, the directors may PART4 (a} apply cap1tahsed sums in accordance with paragraphs (3) and (4) partly in one way and partly m another, (b) make such arrangements as they thmk fit to deal with shares or debentures becommg d1stnbutable m fractions under thIS article (mcludmg the ISSumg of fracllonal cenificates or the makmg of cash payments), and authonse any person to enter mto an agreement with the company on behalf of all the persons entitled which 1s bmdmg on them m respect of the allotment of shares and debentures to them under this article DECISION-MAKING BY MEMBERS ORGANISATION OF GENERAL MEETINGS 62 Attendance and speaking at general meetings (1) A person 1s able to exercise the nght to speak at a general meetmg when that person 1s m a pos1t10n to communicate to all those attendmg the meetmg 1 dunng the meeting, any mforrnat10n or opm1ons which that person has on the busmess of the meetmg (2) A person 1s able to exercise the nght to vote at a general mcctmg when (a) that person 1s able to vote, dunng the meeting, on resoluuons put to the vote at the meetmg, and (b) that person's vote can be taken mto account m detenmnmg whether or not such resolutions are passed at the same lime as the votes of all the other persons attending the meetmg (3) The dlfectors may make whatever arrangements they conSider appropnate to enable those attendmg a general meeting to exercise their nghts to speak or vote at 1t (4) In deterrnmmg attendance at a general meeting, It 1s 1mmatenal whether any two or more members attendmg tt are m the same place as each other (5) Two or more persons who are not m the same place as each other attend a general meeting 1f their c1rcumstances are such that 1f they have (or were to have) nghts to speak and vote at that meetmg, they are (or would be) able to exercise them DALOMS/676626 24 |
| 63 Quorum for general meetings (I) No busmess other than the appointment of the chairman of the meetmg 1s to be transacted at a general meetmg 1fthe persons attending tt do not constitute a quorum (2) Save m the case of a company having only one member, two quahfymg persons present at a meeting shall be a quorum, unless each 1s a quahfying person only because (a) he ,s duly authonsed to act as the representative of a corporallon m relatwn to the mcctmg and they are representattves of the same corporation, or (b) he 1s appointed as proxy of a member m relallon to the meetmg and they are proxies of the same member (3) In the case ofa company havmg only one member, one quahfymg person present at a meetmg shall be a quorum (4) In this anicle, a "qualifying person" means (a) an mdlYldual who 1s a member of the company, (b) a person duly authonsed lo acl as the represen1a11ve of a corporation m relatton to the meetmg, or (c) a person appomted as a proxy ofa member m reiat1011 lo the meellng 64 Chalrmg general meetings (I) If the d1tectors have appomted a chairman, the chairman shall cha Ir general meelmgs 1fpresen1 and w1lhng to do so (2) If the directors have not appomled a chairman, or 1f the chamnan IS unw11lmg to cha1t the mcetmg or 1s not present w1thm ten minutes of the time at which a meeting was due to start (a) the directors present, or (b) (1fno d1tectors are present), the meehng, must appomt a director or member to chalf the meetmg, and the appomtment of the chairman of the meetmg must be the first business of the meelmg (3) The person chamng a meetmg m accordance with thIS article 1s referred to as the "chairman of the meeting" 65 Attendance and speaking by directors and non-members (I) Directors may attend and speak at general meetmgs, whether or not they are members (2) The chamnan of the meetmg may permit other persons who are not DALDMS/67662.6 (a) members of the company, or (b) otherwise enlltled to exercise the nghts of members m relallon to general meetmgs, 25 |
| to attend and speak at a general meetmg 66 Adjournment (I) If the persons attending a general meet mg within half an hour of the time at which the meeting was due to start do not constttute a quorum, or 1f dunng a meetmg a quorum ceases to be present, the chamnan of the meetmg must adjourn It (2) The chairman of the meeting may adjourn a general meeting at which a quorum ts present 1f (a) the meetmg consents to an adjournment, or (b) tt appears to the chairman of the meeting that an adjournment ts necessary to protect the safety of any person attending the meeting or ensure that the busmess of the meeting 1s conducted man orderly manner (3) The chairman of the meeting must adjourn a general meetmg tf dtrected to do so by the meeting (4) When adjouming a general meeting, the chairman of the meeting must (a) either specify the time and place to which tt 1s adjourned or state that It 1s to continue at a ttme and place to be fixed by the directors, and (b) have regard to any directions as to the hme and place of any adjournment which have been given by the meeting (5) If the contmuat1on ofan adjourned meeting 1s to take place more than 14 days after 1t was adjourned, the company must give at least 7 clear days' nottce of lt (that 1s, excluding the day of the adjourned meeting and the day on which the nohce IS given) (a) to the same persons to whom nohce of the company's general meetings 1s reqmred to be given, and (b) contammg the same mformatlon which such notice 1s reqmred to con tam (6) No business may be transacted at an adjourned general meetmg which could not properly have been transacted at the meetmg 1f the adjournment had not taken place VOTING AT GENERAL MEETINGS 67 Voting: general (I) A resolution put to the vote ofa general meetmg must be decided on a show of hands unless a poll ,s duly demanded m accordance with the articles (2) Subject to any nghts or restnct1ons attached to any shares, on a show of hands (a) every member present in person has one vote, and (b) every proxy present who has been duly appomted by one or more members entitled to vote on the resolution has one vote (3) Subject to any nghts or restncuons attached to any shares, on a poll (a) every member has one vote for every share ofwh1ch he 1s the holder, and DALDMS/676626 26 |
| (b) all or any of the voting nghts of a member may be exercised by one or more duly appointed proxies (but so that, where a member appoints more than one proxy, the proxies (taken together) shall not exercise more extens,ve voting nghts than could be exercised by the member in person) 68 Errors and disputes (I) No ObJecuon may be ra1Sed to the quahficatton of any person votmg at a general meetmg except at the meeting or adJoumed meeting at which the vote obJected to 1s tendered, and every vote not d1sa1lowed at the meetmg 1s valid (2) Any such obJect10n must be referred to the chamnan of the meeting, whose dec1S1on 1s final 69 Poll votes (I) A poll on a resolution may be demanded (a) m advance of the general meetmg where 1t 1s to be put to the vote, or (b) at a general meeting, either before a show of hands on that resolution or 1mmed1ately after the result of a show of hands on that resolutton 1s declared (2) A poll may be demanded by (a) the cha,rrnan of the meeting, (b) the directors, or (c) any member (being an indtV!dual) present in person or by proxy or (being a corporalton) present by a duly authonsed representative or by proxy and having the nght to vote on the resolution (3) A demand for a poll may be withdrawn 1f (a) the poll has not yet been taken, and (b) the chamnan of the meeting consents to the withdrawal (4) Polls must be taken at such time and m such manner as the chamnan of the meeting d1rects 70 Content of proxy notices (I) Proxies may only validly be appointed by a notice m wntmg (a "proxy noltce") which DAI.DMS/676626 (a) (b) (c) states the name and address of the member appomt1ng the proxy, 1dent1fies the person appointed to be that member's proxy and the general meeting in relation to which that person JS appointed, JS signed by or on behalf of the member appointmg the proxy, or ts authenticated m such manner as the directors may detenmne, and 27 |
| (d) 1s dehvered to the company in accordance with the articles and any mstruct10ns contained in the notice of the general meeting to which they relate (2) The company may require proxy notices to be delivered ma particular form, and may specify different forms for different purposes (3) Proxy nottces may specify how the proxy appointed under them 1s to vote (or that the proxy 1s to abstam from votmg) on one or more resolutions (4) Unless a proxy notice md1cates otherwise, 11 must be treated as (a) allowmg the person appomted under 1t as a proxy discretion as to how to vote on any ancillary or procedural resolut10ns put to the meeting, and (b) appointmg that person as a proxy in relallon to any adJournment of the general meetmg to which 1t relates as well as the meetmg itself 71 Delivery of proxy notices (I) A person who 1s entitled to attend, speak or vote (either on a show of hands or on a poll) at a general meeting remains so entitled in respect of that meetmg or any adJoumment of 1t, even though a valid proxy notice has been dehvered to the company by or on behalf of that person (2) Subject to articles 70(3) and 70(4), a proxy notice must be dehvered to the company or to such other place as 1s specified m the notice convening the meeting or m any instrument of proxy sent out by the company m relation to the meetmg not less than 48 hours before the start of the meetmg or adJoumed meeting to which 1t relates (3) ln the case of a poll taken more than 48 hours after 1t 1s demanded, the notice must be dehvered to the company or to such other place as ts spectfied m the nottce convening the meeting or m any mstrument of proxy sent out by the company in relation to the meeting not less than 24 hours before the time appointed for the taking of the poll (4) In the case of a poll not taken dunng the meetmg but taken not more than 48 hours after 1t was demanded, the proxy notice must be dehvered m accordance with article 70(2) or at the meetmg at which the poll was demanded to the chairman, the secretary (1f any) or any d1rector (5) An appointment under a proxy notice may be revoked by dehvenng lo the company a nouce m wnting given by or on behalf of the person by whom or on whose behalf the proxy noocc was given (6) A notice revoking a proxy appointment only takes effect 1f 11 1s dehvered before the start of the meetmg or adJoumed meelmg to which 11 relates (7) If a proxy notice 1s not signed by the person appomtmg the proxy, II must be accompamed by wntten evidence of the authonty of the person who signed II to sign 11 on the appomtors behalf 72 Amendments to resolutions (I) An ordmary resolution lo be proposed at a general meeting may be amended by ordmary resolution 1f DALDMS/676626 28 |
| (a) notice of the proposed amendment 1s given to the company m wntmg by a person entllled to vote at the general meeting at whtch 1t 1s to be proposed not less than 48 hours before the meeting 1s lo take place (or such later time as the chairman of the meeting may determine), and (b) the proposed amendment does not, m the reasonable op1mon of the chamnan of the meettng1 matenally alter the scope of the resoluuon (2) A special resolution to be proposed at a general meetmg may be amended by ordinary resolut10n, 1f (a) the chairman of the rnectmg proposes the amendment at the general meeting at which the resolution 1s to be proposed, and (b) the amendment does not go beyond what 1s necessary to correct a gramrnattcal or other non-substantive error m the resolut1on (3) If the chairman of the meetJOg, actJOg JO good faith, wrongly decides that an amendment to a resolution 1s out of order, the chamnan's error does not mvahdate the vote on that resolution RESTRICTIONS ON MEMBERS' RIGHTS 73 No votmg of shares on which money owed to company No votJOg nghts attached to a share may be exercised at any general meetmg, at any adjournment of1t, or on any poll called at or JO relat10n to 11, unless all amounts payable to the company JO respect of that share have been paid PARTS ADMINISTRATIVE ARRANGEMENTS 74 Means of communication to be used (1) Subject to the articles, anythmg sent or supplied by or to the company under the articles may be sent or supplied m any way m which the Compames Act 2006 provides for documents or mfonnat10n which are authonsed or required by any prov1s1on of that Act to be sent or supplied by or to the company (2) Subject to the articles, any notice or document to be sent or supplied to a director m connect1on with the takmg of dec1s10ns by directors may also be sent or supplied by the means by which that d1rector has asked to be sent or supphed with such notices or documents for the lime bemg (3) A director may agree with the company that notices or documents sent to that d1rector in a parttcular way are to be deemed to have been received wtthm a specified tJme of their bemg sent, and for the specified lime to be less than 48 hours 75 Compnny seals (I) Any common seal may only be used by the authonty of the directors (2) The d1rectors may decide by what means and m what form any common seal 1s to be used DALDM~/676626 29 |
| (3) Unless otherw!Se decided by the directors, 1f the company has a common seal and It 1s affixed to a document, the document must also be signed by at least one authonsed person (4) For the purposes of this article, an authonsed person IS (a) any director of the company, (b) the secretary (1f any), or (c) any person aulhonsed by the directors for the purpose of S1gnmg documents to which the common seal 1s applied (5) If the company has an official seal for use abroad, 11 may only be affixed to a document 1f 1ts use on that document, or documents of a class to which 1t belongs, has been authonsed by a dec1s1on of the directors 76 No right lo inspect accounts and other records Except as provided by law or authonsed by the directors or an ordinary resolution of the company, no person 1s entttled to inspect any of the companys accountmg or other records or documents merely by v1rtue of bemg a member 77 Provision for employees on cessation of business The directors may decide to make prov1S1on for the benefit of persons employed or fonnerly employed by the company or any of its subs,dianes (other than a director or fonner director or shadow director) in connecnon with the cessation or transfer to any person of the whole or part of the undertakmg of the company or that subs1d1ary DIRECTORS' INDEMNITY AND INSURANCE 78 Indemnity (I) Subject to article 78(2), a relevant director of the company or an associated company may be mdemmfied out of the company's assets agamst (a) any hab1hty 10curred by that director 10 connection with any neghgence, default, breach of duty or breach of trust 10 relation to the company or an associated company, (b) any hab1hty incurred by that director m connection with the ac11v111es of the company or an associated company in tts capacity as a trustee of an occupational pens10n scheme (as defined m sect10n 235(6) of the Compames Act 2006), and ( c) any other hab1hty mcurred by that director as an officer of the company or an associated company (2) This a111cle does not authonse any tndemmty whtch would be proh1b1ted or rendered void by any prov1s1on of the Compames Acts or by any other prov1s10n of law (3) In this article (a) DALDMSl676626 companies are associated 1f one ts a subs1d1ary of the other or both are substdianes of the same body corporate, and 30 |
| (b) a "relcvimt director" means any director or fonner director of the company or an associated company 79 Insurance {I) The directors may decide to purchase and mamtam insurance, at the expense of the company, for the benefit of any relevant director m respect of any relevant loss (2) In this article (a) (b) (c) Di\LDM S16 76626 a "relevant director" means any director or fonner director of the company or an associated company, a "relevant loss" means any loss or hab1hty which has been or may be mcurred by a relevant director m connect10n with that director's duties or powers in relation to the company, any associated company or any pension fund or employees' share scheme of the company or associated company, and companies are associated 1f one 1s a subs1d1ary of the other or both arc subs1d1anes of the same body corporate 31 |
Exhibit 3.80
| CERTIFICATE OF INCORPORATION OFA PRIVATE LIMITED COMPANY Company No. 6962983 The Registrar of Companies for England and Wales hereby certifies that ENSCO HOLDCO LIMITED is this day mcorporated under the Companies Act 1985 as a private company and that the company is limited. Given at Companies House on 15th July 2009 CERTIF I ED 10 BE A TRUE COPY ~ T~ ~~AL BAKER & M~KENZIE L L P SOLICITOAS 1 00 N E W BRIDGE STr.EET LONDON EC4V 6JA (Cf c) ~ Cf, # Ol Co.h. I ~ , ~ • ~ ; .,._:./ <>'~AND ~~ THE OFFICIAL lu.l o, THI! REOl&TRAJI OF COMPANl!S |
Exhibit 3.81
| CERTIFICATE OF AMENDMENT OF CERTIFICATE OF INCOR.PORA TION ENSCO Delaware, Inc., a corporation organize4 and existing under and by virtue of the General Corporation Law of the State of Delaware (the "Company"), DOES HEREBY CERTIFY: FIRST: That the Board of Directors of ENSCO Delaware, Inc., by the unanimous written consent of its members, duly adopted resolutions setting forth the proposed amendment to the Certificate of Incorporation of the Company, declaring the said amendment to be advisable and directing that said amendment be considered at a special meeting of the sole shareholder of the Company. The resolutions setting forth the proposed amendment are as follows: BE IT RESOLVED, that the Company amend its Certificate of Incorporation by changing the First Article thereof to read: "The name of the Corporation is ENSCO Holding Company." SECOND: That in lieu of a meeting and vote of the sole shareholder, the sole share holder of the Company has, by Unanimous Written Consent, approved said amendment in accordance with Section 228 of the General Corporation Law of the State of Delaware. THIRD: That said amendment was duly adopted in accordance with the provisions of Sections 228 and 242 of the General Corporation Law of the State of Delaware. IN WITNESS WHEREOF, said Company has caused this Certificate to be signed by C. Christopher Gaut, its President, and attested by Robert 0. Isaac, its Assistant Secretary, lhis 21 • day of December, 1998. ATTEST: By: Its: obert 0 . Isaac Assistant Secretary L,C9 804-4<t-JU By: C. Chrl Its: President STATE OF DELANARE SECRETARY OF STATE DIVISION OF CORPORATIONS FILED 09: 00 AM 12/29/1998 981510608 - 2171389 |
| AMENDED AND RESTATED BY-LAWS OF ENSCO DELAWARE, INC. f/k/a PENROD, INC. INCORPORATED SEPTEMBER 1, 1988 UNDER THE LAWS OF THE STATE OF DELAWARE Amended and Restated with Effect from December 4, 1997 |
| Section 1. 1 Section 1. Section 2. Section 1. Section 2 . Section 3. Section 4. Section 5. Section 6. Section 7. Section 8. Section 9. Section 10. Section 11. Section 12. Section 1. Section 2. Section 3 • Section 4. Section 5. Section 6. Section 7. Section 8. Section 9. Section 10 . Section 11. section 12. Section 13. Section 14. Section 15. Section 16. Section 1 7 . TABLE OF CONTENTS Definitions ARTICLE I DEFINITIONS ARTICLE II OFFICES Registered Office Other Offices ARTICLE III MEETINGS OF STOCKHOLDERS Annual Meetings . . . . . . . . Special Meetings . . . . . Notice of Meetings . . . . . Waiver of Notice . . . . . . Organization . . . . . . . . . Order of Business . . . . . . stockholders Entitled to Vote Quorum . . Adjournments Vote of Stockholders . Action Without a Meeting Inspectors of Election . . . ARTICLE IV BOARD OF DIRECTORS Number . . . . . . Power and Authority to Manage . Selection . . . . Vacancies; Filling of Vacancies Stockholder Election of Directors Regular Meetings . . . . Special Meetings . . . . . Notice of Meetings . . . . . . . Waiver of Notice . . . . . Organization . . . . Order of Business . . . Quorum . . . . . . . Adjournments . . . . . . . Vote of the Board of Dire ctors . Action Without a Meeting . . . Participation at M eetings . . Removal of Directors . . .. . . . . . . . . . . . . .. . . . . .. . . . . . . . . . . . . . . . . . . . . . . . . . . . . . . . . . . . . . . . . . . . . . .. . . . . . . . . . .. . . . .. . . . . . . . . . . . .. . . . . . . . . . . . . . . . .. . 2 2 2 3 3 3 4 4 4 5 5 5 5 6 6 6 6 7 7 7 7 7 7 8 8 8 8 8 8 8 9 |
| Section 1. Section 2. Section 1. Section 2 • Section 3 • Section 4 • Section 5. Section 6. Section 7 • Section 1. Section 2. Section 3 . Section 4. Section 5 . Section 6. Section 1. Section 2. Section 3 • Section 4. Section 5. Section 6. Section 7. Section 8. Section 9. Section 1. L3RI714s ARTICLE V NOTICES AND REQUESTS Notices and Requests Written Waiver. ARTICLE VI OFFICERS Initial Officers . . . . Term in Office ..... . Compensation ......... . President . . . . . .. Vice Presidents .. .. . . . Secretary and Assistant Secretaries Treasurer and Assistant Treasurers . . ARTICLE VII CERTIFICATES REPRESENTING SHARES OF COMMON STOCK stock Certificates. Facsimile Signatures Lost Stock Certificates Transfers of Stock ...... . Determination of Stockholders of Record; Fixing Record Date Corporate Records and Reports ... ARTICLE VIII GENERAL PROVISIONS Dividends . . . . . Reserves . . . . . . . . . Registered stockholders . Indemnification . Checks . . . . . . . . . Fiscal Year . . . Seal . . . Affixing and Attesting . Insurance .. . . . . .. ARTICLE IX AMENDMENT OF BY-LAWS Amendment of By-Laws .. .. . . . . . . . . .. . . . . . .. .. . . .. .. . . . . .. . . . . . .. . Page 9 10 10 10 10 10 11 11 11 12 12 12 13 13 14 14 14 15 15 15 15 15 15 16 16 |
| AMENDED AND RESTATED BYLAWS OF ENSCO DELAWARE, INC. (A Delaware Corporation) ARTICLE I DEFINITIONS Section 1. Definitions. the following meanings: (a) The following terms shall have "Board of Directors" shall mean the collective reference to all of the members of he Board of Directors of the Company. "By-Laws" shall mean the By-Laws of the Company in effect from time to time. "Certificate of Incorporation" shall mean the Certificate of Incorporation of the Company, as amended from time to time. "Common Stock" shall mean the common stock, par value $ . 01 per share of the Company; and all references to "Common Stock" shall include any other equity security for which Common Stock shall be exchanged or into which Common Stock shall be converted. "Company" shall mean ENSCO Delaware, Inc., a Delaware corporation and any successors thereto. "Governmental Authority" shall mean any nation or government, any state or other political subdivision thereof and any entity exercising executive, legislative, judicial, regulatory or administrative functions of or pertaining to government. "Person" shall mean an individual, corporation, general partnership, limited partnership, association, joint stock company, joint venture, estate, trust, unincorporated |
| -2- association, Governmental Authority or other entity of whatever nature. "Subsidiary" shall mean, as to any Person, a corporation of which shares of stock having ordinary voting power (other than stock having such power only by reason of the happening of a contingency) to elect at least a majority of the board of directors or other managers of such corporation are at the time owned, or the management of which is otherwise controlled, directly or indirectly through one or more intermediaries, or both, by such Person. Unless otherwise qualified, all references to a "Subsidiary" or to "Subsidiaries" in these By-Laws shall refer to a Subsidiary or Subsidiaries of the Company. (b) Use of Defined Terms in Notices. Unless otherwise defined therein, each term defined in these By-Laws shall have the meaning assigned to such term when such term is used in any notice, certificate, receipt, instrument or other document created or delivered pursuant to these By-Laws. ARTICLE II OFFICES Section 1. Registered Office. The registered office of the Company in the State of Delaware is located at Corporation Trust Center, 1209 Orange Street in the city of Wilmington, County of New Castle. Section 2. Other Offices. The company may also have offices at such other places, either within or without the State of Delaware, as the Board of Directors may from time to time determine or as the business of the Company may require. ARTICLE III MEETINGS OF STOCKHOLDERS Section 1. Annual Meetings. The annual meeting of stockholders shall be held in each year at such time, on such day and at such place, within or without the State of Delaware, as may be designated by the Board of Directors and stated in the notice of the meeting or in a duly executed waiver of notice thereof. At the annual meeting, the stockholders shall elect directors and transact such other business as may properly be brought before such meeting. |
| -3- Section 2. Special Meetings. A special meeting of stockholders may be called by any member of the Board of Directors. In addition, a special meeting of stockholders shall be called by any member of the Board of Directors upon the written request of stockholders of record owning not less than twenty percent (20%) of the outstanding shares of the Common Stock entitled to notice of and to vote at such special meeting. Special meetings of stockholders may be held at such time, on such day and at such place, within or without the state of Delaware, as may be designated by the Board of Directors or the President, on behalf of the stockholders requesting such meeting and stated in the notice of the meeting or in a duly executed waiver thereof. Section 3. Notice of Meetings. Except as otherwise provided by law, the written or printed notice of any meeting of stockholders shall state the place, date and hour of any meeting called pursuant to Section 1 or Section 2 of this Article III. In the case of a special meeting, such notice shall also include a brief description of the purpose or purposes for which the meeting is called. Any notice of any meeting shall be given in accordance with Section 1 of Article V of these By-Laws to each stockholder of record entitled to notice thereof and to vote thereat determined pursuant to Section 7 of this Article III not less than ten (10) nor more than sixty (60) days before the date of such meeting. When a meeting of stockholders is adjourned for thirty (30) days or more, or if after the adjournment a new record date is fixed for the adjourned meeting, notice of the adjourned meeting shall be given as if a new meeting has been called. If mailed, the notice shall be directed to the stockholder in a postage-prepaid envelope at his address as it appears on the stock transfer books of the Company unless, prior to the time of mailing, he shall have filed with the Secretary a written request that notices intended for him be mailed to some other address designated in such request. Notice of each meeting of stockholders shall be in such form as is approved by the Board of Directors or the Secretary, as the case may be. Except as otherwise provided by law, the business which may be transacted at any special meeting of stockholders shall consist of and be limited to the purpose so stated in such notice. No publication of any notice of a meeting of stockholders shall be required. Section 4. Waiver of Notice. Anything herein contained to the contrary notwithstanding, notice of any meeting of stockholders shall be waived by any stockholder (a) who s hall attend and participate in the bus iness transacted at such meeting in person or by proxy, except when the person attends such meeting for the purpose of objecting, at the beginning of the meeting, to the transaction of any business because the meeting is not lawfully called or convened, or (b) who shall, or whose proxy or attorney duly authorized s hall, sign a written waiver thereof, whether before or after the time stated therein . |
| -4- Section 5. Organization. One member of the Board of Directors shall act as chairman at all meetings of stockholders and as such chairman shall call meetings of stockholders to order and preside thereat. The Secretary shall act as secretary at all meetings of the stockholders, but in his absence the chairman of the meeting may appoint any person present to act as secretary of the meeting. Section 6. Order of Business. The order of business at all meetings of stockholders shall be as determined by the chairman of the meeting or as is otherwise determined by the vote of the holders of a majority of the shares of Common Stock present in person or by proxy and entitled to vote at the meeting. Section 7. Stockholders Entitled to Vote. In order to determine the stockholders entitled to notice of or to vote at any meeting of stockholders or any adjournment thereof, the Board of Directors shall fix a record date which record date shall not precede the date upon which the resolution fixing the record date is adopted by the Board of Directors, and which record date shall not be more than sixty (60) days nor less than ten (10) days prior to the date of such meeting. In order to determine the stockholders entitled to consent to corporate action in writing without a meeting, the Board of Directors may fix a record date, which record date shall not precede the date upon which the resolution fixing the record date is adopted by the Board of Directors, and which record date shall not be more than ten (10) days after the date upon which the resolution fixing the record date is adopted by the Board of Directors. Only such stockholders who shall be stockholders of record on the date so fixed shall be entitled to notice of, and to vote at, such meeting and any adjournment thereof, or to give such consent or express such dissent, as the case may be, notwithstanding any transfer of any stock on the books of the Company after any such record date fixed as aforesaid. The Secretary shall prepare and make, or cause to be prepared and made, at least ten (10) days before every meeting of stockholders, a complete list of stockholders entitled to vote at such meeting, arranged in alphabetical order and showing the address of each such stockholder and the number of shares registered in the name of each such stockholder. Such list shall be open to the examination of any stockholder, for any purpose germane to the meeting, during ordinary business hours, for a period of at least ten (10) days prior to the meeting, either at a place, specified in the notice of the meeting, within the city where the mee ting is to be held, or, if not so specified, at the place where the meeting is to be held. Such list shall be produced and kept at the time and place of the meeting during the whole time thereof, and subject to the inspection of any stockholder who may be present. |
| -5- Section 8. Quorum. At any meeting of stockholders at which any action is to be taken or any question decided (including the election of members of the Board of Directors), the presence in person or by proxy of the holders of two-thirds (2/3rds) of the shares of Common stock entitled to vote at such meeting with respect to such action or question shall constitute a quorum. Section 9. Adjournments. In the absence of a quorum, the holders of a majority of the shares of Common Stock present in person or by proxy may adjourn any meeting, from time to time, until a quorum shall be present. At any such adjourned meeting at which a quorum shall be present, any business may be transacted which might have been transacted at the meeting as originally called. No notice of any adjourned meeting need be given other than an announcement at the meeting that it is being adjourned, provided that if the adjournment is for more than thirty (30) days, or if after the adjournment a new record date is fixed for the adjourned meeting, then a notice of the adjourned meeting shall be given to each stockholder of record entitled to vote at the meeting. Section 10. Vote of Stockholders. All actions by stockholders shall be taken at a stockholders' meeting except as otherwise permitted by these By-Laws or by law. Every stockholder of record, as determined pursuant to Section 7 of this Article III, who is entitled to vote, shall be entitled at every meeting of stockholders to one vote for every share of stock standing in his name on the books of the Company. At every such meeting at which a quorum is present for the taking of any action or the deciding of any question, the percentage of the shares of Common Stock specified by law or in the Certificate of Incorporation or these By-Laws, present in person or by proxy, at the meeting shall be necessary to take such action or decide such question. The absence of a quorum as provided for herein for the taking of any one action or the deciding of any one question shall not prevent the taking of any other action or the deciding of any other question for which a quorum is present. Every stockholder entitled to vote shall have the right to vote i n person or by proxy duly appointed by an instrument in writing. The attendance at any meeting of stockholders of a stockholder who may theretofore have given a proxy shall not have the effect of revoking such proxy unless such stockholder shall in writing so notify the secretary of the meeting prior to the voting of the proxy. Section 11 . Action Without a Meeting. Except as otherwise provided by law or by the Certifi cate of Incorporation, any action required or permitted to be taken at a meeting of stockholders may be taken without a meeting, without prior notice and without a vote, if a consent in writing setting forth the action so taken shall be signed by the stockholders of record of the number of issued and outstanding shares of Common Stock having not less than |
| -6- the minimum number of votes that would be necessary to authorize or take such action at a meeting at which all shares entitled to vote thereon were present and voted. The original written consent shall be filed with the Secretary of the Company and shall have the same force and effect as a vote of stockholders at a meeting. Copies of such written consent shall be filed at the registered office of the Company in the State of Delaware and at the principal office of the Company in the State of Texas. Section 12. Inspectors of Election. At any meeting of stockholders, the votes with respect to any question to be decided or action to be taken shall be conducted by two inspectors of election appointed for that purpose by the Board of Directors or by the vote, in person or by proxy, of the holders of a majority of the votes entitled to be cast at such meeting with respect to the deciding of such question or the taking of such action. All questions respecting the qualification of voters, the validity of the proxies and the acceptance or rejection of votes shall be decided by such inspectors. The inspectors shall be sworn faithfully to execute their duties with strict impartiality and according to the best of their ability. If any inspector of election appointed to act at any meeting shall fail to be present or shall decline to act, a successor to such inspector shall be appointed by the Board of Directors. ARTICLE IV BOARD OF DIRECTORS Section 1. Number. will be three (3). The number of Directors of the Company Section 2. Power and Authority to Manage. The business and affairs of the Company shall be managed by or under the direction of the Board of Directors. Section 3 . Selection. Except as otherwise provided by law or by the Certificate of Incorporation, and subject to the provisions of this Article IV, members of the Board of Directors shall be elected at the annual meeting of stockholders. Members of the Board of Directors shall be elected by the affirmative vote of fifty-one percent ( 51%) of the Common Stock then outstanding. Members of the Board of Directors shall serve until the next annual meeting of stockholders or until their earlier resignation or removal, except as provided in Section 4 of this Article IV. Each member of the Board of Directors elected shall hold office until his successor is elected and qualified. Members of the Board of Directors need not be residents of the State of Delaware but shall be United States' citizens. |
| -7- Section 4. Vacancies; Filling of Vacancies. Vacancies or newly created directorships resulting from any increase in the authorized number of Directors shall be filled by the vote of the stockholders. A member of the Board of Directors elected to fill a vacancy shall be elected to the unexpired term of his predecessor in office or until his death, removal, resignation or his successor is chosen. Section 5. Stockholder Election of Directors. At any such stockholder election for members of the Board of Directors, every stockholder entitled to vote at any such election shall have the right to vote, in person or by proxy, the number of shares owned by him for as many persons as there are directors to be elected and for whose election he has a right to vote and stockholders of the Company are expressly prohibited from cumulating their votes in any election for members of the Board of Directors of the Company. Section 6. Regular Meetings. Regular meetings of the Board of Directors may be held on such day and at such place, within or without the State of Delaware, from time to time as determined by the Board of Directors. Any regular meeting is valid, wherever held, if held on the written consent of all the members of the Board of Directors given either before or after the meeting and filed with the Secretary of the Company. Section 7. Special Meetings. Special meetings of the Board of Directors may be called by any member of the Board of Directors. Special meetings of the Board of Directors may be held at such time, on such day and at such place, within or without the State of Delaware as specified in the notice of such meeting. Section 8. Notice of Meetings. Written or printed notice stating the place, date and hour of the regular or special meetings of the Board of Directors shall be given personally, or sent by mail or by other form of written communication, to each member of the Board of Directors at least three days before the date of the meeting. Neither the business to be transacted at, nor the purpose of, any regular or special meeting of the Board of Directors need be specified in the notice or waiver of notice of such meeting. Section 9. Waiver of Notice. Anything herein contained to the contrary notwithstanding, notice of any meeting of the Board of Directors shall be waived by any member of the Board of Directors (a) who shall attend and participate in the business transacted at such meeting in person, except when the person attends such meeting for the purpose of objecting, at the beginning of the meeting, to the transaction of any business because the meeting is not lawfully called or convened, or (b) who shall sign a written waiver thereof, whether before or after the time stated therein. |
| -8- Section 10. Organization. One member of the Board of Directors shall act as chairman at all meetings of the Board of Directors. Such chairman shall call such meetings to order and shall preside thereat. The Secretary shall act as secretary at all meetings of the Board of Directors but in his absence the chairman of the meeting may appoint any person present to act as secretary of the meeting. Section 11. Order of Business. meetings of the Board of Directors chairman of the meeting . The order of business at all shall be determined by the Section 12 . Directors shall business. Quorum. constitute Two ( 2) members of the Board a quorum for the transaction of of Section 13. Adjournments. In the absence of a quorum, the members of the Board of Directors present thereat may adjourn the meeting from time to time, without notice other than announcement at the meeting that it is being adjourned, until a quorum shall be present. At such adjourned meeting at which a quorum shall be present, any business may be transacted which might have been transacted at the meeting as originally notified and called. Section 14. Vote of the Board of Directors. The affirmative vote of at least two members of the Board of Directors present at a meeting duly held at which a quorum is present shall be the act of the Board of Directors. Each member of the Board of Directors present at a meeting will be deemed to have assented to any action taken at the meeting unless his dissent to the action is entered in the minutes of the meeting, or unless he shall file his written dissent thereto with the secretary of the meeting or shall forward such dissent by registered mail to the Secretary of the Company immediately after such meeting. Section 15 . Action Without a Meeting. Except as otherwise provided by law or by the Certificate of Incorporation, any action required or permitted to be taken at a meeting of the Board of Directors may be taken without a meeting, without prior notice and without a vote, if a consent in writing setting forth the action so taken, shall be signed by all three (3) of the members of the Board of Directors. Such unanimous written consent shall have the same force and effect as a unanimous vote at a meeting and shall be filed with the minutes of the proceedings of the Board of Directors. Section 16 . Participation at Meetings. Subjec t to the provisions required herein for notice of meetings, members of the Board o f Dire ctors may participate in and hold a meeting by means of confer e nce by telephone, and participation in a meeting pursuant to this Section 16 shall constitute presence i n pe rson at such |
| -9- meeting, except where a person participates in a meeting for the express purpose of objecting, at the beginning of the meeting, to the transaction of any business on the ground that the meeting is not lawfully called or convened. Section 17. Removal of Directors. (a) Governed by Certificate of Incorporation. Except as set forth in this Section 17, removal of members of the Board of Directors shall be governed by the Certificate of Incorporation. (b) Evidence of Required Vote; Filing; Effectiveness. If the action required to remove a member of the Board of Directors shall not take place at a meeting of stockholders, then such action shall be evidenced by an instrument or concurrent instruments, in writing, signed by the stockholders of record ( or their duly authoriz ed representatives) taking such action pursuant to Section 11 of Article III to remove such member of the Board of Directors. The original instrument or instruments shall be filed with the Secretary of the Company and copies of such instrument or instruments shall be filed at the registered office of the Company in the State of Delaware and at the principal office of the Company in the State of Texas. Removal of a member of the Board of Directors shall be effective upon the date of such filing of such instrument or instruments evidencing the taking of such action. (c) Notice of Removal. Concurrently with the filing of the instrument or instruments evidencing the vote to remove a member of the Board of Directors, the Person filing the same shall notify, in accordance with Article V, the Company, the other members of the Board of Directors and each registered owner of Common Stock in writing of the removal of such member of the Board of Directors. ARTICLE V NOTICES AND REQUESTS Section 1. Notices and Requests. Notices and requests to members of the Board of Directors or officers or stockholders shall be in writing and delivered personally or mailed to the members of the Board of Directors or officers or stockholders at their addresses appearing on the books of the Company. Notices or requests by mail shall be de emed to be given and received at the time when deposited in the Unite d state s mail, addresse d to the addre ssee at his addre ss as it appears on the records of the Company, with adequate postage thereon prepai d; notice or request by personal delivery shall be deemed to be given and r e cei ved at the time whe n s ame s ha ll be actually recei v ed by the person to whom address ed. Notices and requests to members of the Board of |
| -10- Directors and officers may also be given by telegram, telex or facsimile transmission. Section 2 . Written Waiver. Whenever a notice is required to be given to any stockholder or member of the Board of Directors under any applicable statute, the Certificate of Incorporation or these By-Laws, a waiver thereof in writing signed by the Person or Persons entitled to such notice, whether before or after the time stated therein, shall be equivalent to the giving of such notice. ARTICLE VI OFFICERS Section 1 . Initial Officers. The Board of Directors, at their first meeting, shall choose the following officers: a President, one or more Vice Presidents, a Secretary, a Treasurer, and such other officers (including, without limitation, one or more Assistant Vice Presidents, Assistant Treasurers and Assistant Secretaries) as they deem appropriate. Any two or more offices may be held by the same person. Section 2. Term in Office. The term of all officers shall be for one year, or until their respective successors are chosen and qualify. Any officer or agent shall be subject to removal for or without cause at any time by the affirmative vote of a majority of the whole Board of Directors. Vacancies in any office may be filled by the Board of Directors at any regular or special meeting thereof . Section 3 . Compensation. The salaries of all officers and agents of the Company shall be fixed from time to t i me by the Board of Directors. Section 4. President. (a) Generally. The President shall be the chief executive officer of the Company, shall be responsible for general or active management of the business of the Company and shall be a citizen of the United States. In addition, the President shall see that the orders and resolutions of the Board of Directors are carried out. (b) Dutie s. The President s hall execute bonds, mortgages and other contrac ts requiring a s e al, under the seal of the Company, e xcept where required or permi tted by law to be otherwise signed and executed and except where the signing and execution there of shall be expr essly delegated by the Board of Directors to some other office r or a gent of the Compa ny. |
| -11- Section 5. Vice Presidents. The Vice Presidents in the order of their seniority, or otherwise as determined by the Board of Directors, shall, provided they are citizens of the United States, in the absence or disability of the President, perform the duties and exercise the powers of the President. They shall perform such other duties and have such other powers as the Board of Directors shall prescribe. Section 6. Secretary and Assistant Secretaries. (a) secretary The Secretary shall attend all proceedings of the stockholders of record and all proceedings of the Board of Directors. The Secretary shall record all the proceedings of such meetings in a book to be kept for that purpose. The Secretary shall give, or cause to be given, notice of all meetings of the stockholders and meetings of the Board of Directors, as the case may be, and shall perform such other duties as may be prescribed by the Board of Directors or President, under whose supervision such Secretary shall be. (b) Assistant Secretaries. The Assistant Secretaries in the order of their seniority, or if there be none, the Treasurer or an Assistant Treasurer, as determined by the Board of Directors, shall, in the absence or disability of the Secretary, perform the duties and exercise the powers of the Secretary. Such Assistant Secretaries shall perform such other duties and have such other powers as the Board of Directors may from time to time prescribe. Section 7. Treasurer and Assistant Treasurers. (a) Treasurer. The Treasurer shall have the custody of the Company's funds and securities and shall keep full and accurate accounts of receipts and disbursements in books belonging to the Company and shall deposit all monies and other valuable effects in the name and to the credit of the Company in such depositories as may be designated by the Board of Directors. (b) Disbursements. The Treasurer shall disburse the funds of the Company as may be ordered by the Board of Directors taking proper vouchers for such disbursements, and shall render to the President and the Board of Directors at its regular meetings or when the Board of Directors so requires, an account of all his transactions as Treasurer and of the financial condition of the Company. ( c) Bonding of Treasurer. If required by the Board of Directors, the Treasurer s hall give the Company a bond in such sum and with such surety or sureties as shall be satisfactory to the Board of Directors for the faithful performance of the duties of his office and for the restoration to the Company, in case of his death, resignation, retirement or removal from office, of all books, papers, vouchers, money and other property of whatever kind in his possessi on or under his control belonging to the Company. |
| -12- (d} Assistant Treasurers. The Assistant Treasurers in the order of their seniority, or if there be none, the Secretary or an Assistant Secretary, as determined by the Board of Directors, shall, in the absence or disability of the Treasurer, perform the duties and exercise the powers of the Treasurer. Such Assistant Treasurers shall perform such other duties and have such other powers as the Board of Directors may from time to time prescribe. ARTICLE VII CERTIFICATES REPRESENTING SHARES OF COMMON STOCK Section 1. Stock Certificates. The Company shall deliver stock certificates representing all shares of Common Stock to which stockholders are entitled. such stock certificates representing such shares of Common Stock shall be signed by the President or a Vice President, and the Secretary or an Assistant Secretary, and shall be sealed with the seal of the Company or a facsimile thereof. In case any such officer who has signed or whose facsimile signature has been placed upon any such stock certificate in accordance with Section 2 of this Article shall have ceased to be such officer before such stock certificate is delivered by the Company, it may nevertheless be issued and delivered by the Company with the same effect as if such officer had not ceased to be such at the date of its delivery. No stock certificate shall be issued for any share until the consideration therefor has been fully paid. Each stock certificate representing shares of Common Stock shall state upon the face thereof that the Company is organized under the laws of the State of Delaware, the name of the person to whom issued, the number of the shares of Common Stock which such stock certificate represents, and the par value of each share of Common Stock represented by such stock certificate. Section 2. Facsimile Signatures. The signatures of the President or Vice President and the Secretary or Assistant Secretary upon a stock certificate may be facsimiles, if the stock certificate is countersigned by a transfer agent, or registered by a registrar, other than the Company itself or an employee of the Company. Section 3. Lost Stock Certificates. When a stock certificate representing shares of Common Stock has been lost, stolen or destroyed, the owner of record shall notify the Company of such loss, theft or destruction within a reasonable time after he has notice of such loss, theft or destruction. The Board of Directors may direct that a new stock certificate be issued in place of any stock certificate theretofore issued by the Company alleged to have been lost, stolen or destroyed, upon the making of an affidavit of |
| -13- that fact by the person claiming the stock certificate to be lost, stolen or destroyed. When authorizing such issuance of a new stock certificate, the Board of Directors may, in its discretion and as a condition precedent to the issuance thereof, require the owner of such lost, stolen or destroyed stock certificate, or his legal representative, to advertise the same in such manner as it shall require and/or to give the Company a bond in such sum as it may direct as indemnity against any claim that may be made against the Company with respect to the stock certificate alleged to have been lost or destroyed and/or to satisfy any other reasonable requirements imposed by the Board of Directors. Section 4. Transfers of Stock. Upon surrender to the Company or the transfer agent of the Company of a stock certificate duly endorsed or accompanied by proper evidence of succession, assignment or authority to transfer, it shall be the duty of the Secretary or Assistant Secretary to issue a new stock certificate to the person entitled thereto, cancel the old stock certificate and record the transaction upon its books. When a transfer of shares is requested and there is reasonable doubt as to the right of the person seeking the transfer, the Company or its transfer agent, before recording the transfer of the shares on its books or issuing any stock certificate therefor, may require from the person seeking the transfer reasonable proof of his right to the transfer. If there remains a reasonable doubt of the right to the transfer, the Company may refuse a transfer unless the person gives adequate security or a bond of indemnity executed by a corporate surety or by two individual sureties satisfactory to the Company as to form, amount and responsibility of sureties. The bond shall be conditioned to protect the Company, its officers, members of the Board of Directors, transfer agents and registrars, or any of them, against any loss, damage, expense or other liability to the owner of the shares by reason of the recordation of the transfer or the issuance of a new stock certificate. Section 5. Determination of stockholders of Record; Fixing Record Date. For the purpose of determining stockholders of record for the purpose of voting upon a particular action, the provisions of Section 7 of Article III shall apply. For the purpose of determining stockholders of record for any other proper purpose, the Board of Directors may fix in advance a date as the record date for any such determination of stockholders. Such date shall be not more than sixty (60) days and, in case of a meeting of stockholders, not less than ten (10) days prior to the date on which the particular action requiring such determination of stockholders is to be taken. If the record date is not fixed for the determination of stockholders entitled to notice of or to vote at a meeting of stockholders, the day next preceding the date on which the notice of the meeting is mailed shall be the record date for such determination of stockholders. |
| -14- Section 6. Corporate Records and Reports . The Company shall keep correct and complete books and records of account and shall keep minutes of the proceedings of the stockholders and proceedings of the Board of Directors. In addition, the Company shall keep at its registered office in the State of Delaware or principal office in the State of Texas, or at the office of its transfer agent or registrar, a record of its stockholders giving the names and addresses of all stockholders and the number of shares held by each. Any books, records and minutes may be in written form or in any other form capable of being converted into written form within a reasonable time. Any member of the Board of Directors or any stockholder of record upon written demand stating the purpose thereof, shall have the right to examine, in person or by agent, accountant or attorney, at any reasonable time or times, for any proper purpose, its relevant books and records of account, minutes and record of stockholders, and to make extracts therefrom. ARTICLE VIII GENERAL PROVISIONS Section 1. Dividends. Dividends upon the outstanding shares of the Corporation, subject to the provisions of the Certificate of Incorporation, if any, may be declared by the Board of Directors at any regular or special meeting. Dividends may be declared and paid in cash, in property, or in shares of the Corporation, subject to the provisions of the General Corporation Law of the State of Delaware and the Certificate of Incorporation. The Board of Directors may fix in advance a record date for the purpose of determining stockholders entitled to receive payment of any dividend, such record date will not precede the date upon which the resolution fixing the record date is adopted, and such record date will not be more than sixty (60) days prior to the payment date of such dividend. In the absence of any action by the Board of Directors, the close of business on the date upon which the Board of Directors adopts the resolution declaring such dividend will be the record date. Section 2. Reserves. There may be created by resolution of the Board of Directors out of the surplus of the Corporation such reserve or reserves as the Directors from time to time, in their direction, deem proper to provide for contingencies, or to equalize dividends, or to repair or maintain any property of the Corporation, or for such other purposes the Directors may deem beneficial to the Corporation, or for such other purpose as the Directors may deem beneficial to the Corporation, and the Directors may modify or abolish any such reserve in the manner in which it was cre ated. surpl us of the Corporation to the extent so reserved |
| -15- will not be available for the payment of dividends or other distributors by the Corporation. Section 3 . Registered stockholders. The Company shall be entitled to recognize the exclusive rights of a person registered on its books as the owner of shares to vote as such owner, and shall not be bound to recognize any equitable or other claim to or interest in such share or shares on the part of any other person, whether or not it shall have express or other notice thereof, except as otherwise provided by the laws of the State of Delaware Section 4 . Indemnification. The Corporation will indemnify its directors and the directors of any directly or indirectly held subsidiary corporation to the fullest extent permitted by the General Corporation Law of the State of Delaware from time to time in effect and may, if and to the extent authorized by the Board of Directors, so indemnify its officers and the officers of any directly or indirectly held subsidiary corporation and any other person whom it has the power to indemnify against any liability, reasonable expense or other matter whatsoever. The right of any director to indemnification pursuant to this Section 4 shall, to the fullest extent permitted by such Law, include a contractual right to advancement of reasonable expenses incurred or to be incurred by or on behalf of such director in connection with litigation, investigation or similar proceedings, subject to the right of the Corporation to recover from such director any amount so advanced in respect of a proceeding in which it is finally determined that such director's conduct constituted willful misconduct or breach of the duty of loyalty to the Corporation, or the directly or indirectly held subsidiary corporation, as applicable. Section 5. Checks. All bills, checks, drafts or other instruments for the payment of money, notes or other evidences of indebtedness, issued in the name of or payable to the Company shall be signed, counter-signed or endorsed by such officer or officers or such other person or persons as the Board of Directors may from time to time prescribe or may be prescribed by any officer or off icers thereunto duly authorized by the Board of Directors. Section 6. Fiscal Year . The fiscal year of the Company shall be fixed or changed by the resolution of the Board of Directors. Sec tion 7 . Seal. The Corporation may have a seal, and the seal may be used by caus ing it or a facsimile thereof to be impressed or affixed or reproduced or otherwise. Any officer of the Corporation will h ave authority to affix the sea l to any document requiring it. Sect ion 8 . Affixing a nd Attesting. The s e a l o f the Company s hall be in the c us tody of the Se cre tary, who shall have power to |
| -16- affix it to the proper corporate instruments and documents, and who shall attest it. In his absence or disability, it may be affixed and attested by an Assistant Secretary, or by the Treasurer or an Assistant Treasurer or by any other person or persons as may be designated by the Board of Directors. Section 9. Insurance. The Corporation may at the discretion of the Board of Directors purchase and maintain insurance on behalf of the Corporation and any person whom it has the power to indemnify pursuant to law, the Certificate of Incorporation, these Bylaws of otherwise. ARTICLE IX AMENDMENT OF BY-LAWS Section 1. Amendment of By-Laws. These By-Laws shall not be altered, amended or repealed, or new By-Laws adopted, except in accordance with the Certificate of Incorporation. L3RI729s |
Exhibit 3.82
| CERTIFICATE OF AMENDMENT OF CERTIFICATE OF INCOR.PORA TION ENSCO Delaware, Inc., a corporation organize4 and existing under and by virtue of the General Corporation Law of the State of Delaware (the "Company"), DOES HEREBY CERTIFY: FIRST: That the Board of Directors of ENSCO Delaware, Inc., by the unanimous written consent of its members, duly adopted resolutions setting forth the proposed amendment to the Certificate of Incorporation of the Company, declaring the said amendment to be advisable and directing that said amendment be considered at a special meeting of the sole shareholder of the Company. The resolutions setting forth the proposed amendment are as follows: BE IT RESOLVED, that the Company amend its Certificate of Incorporation by changing the First Article thereof to read: "The name of the Corporation is ENSCO Holding Company." SECOND: That in lieu of a meeting and vote of the sole shareholder, the sole share holder of the Company has, by Unanimous Written Consent, approved said amendment in accordance with Section 228 of the General Corporation Law of the State of Delaware. THIRD: That said amendment was duly adopted in accordance with the provisions of Sections 228 and 242 of the General Corporation Law of the State of Delaware. IN WITNESS WHEREOF, said Company has caused this Certificate to be signed by C. Christopher Gaut, its President, and attested by Robert 0. Isaac, its Assistant Secretary, lhis 21 • day of December, 1998. ATTEST: By: Its: obert 0 . Isaac Assistant Secretary L,C9 804-4<t-JU By: C. Chrl Its: President STATE OF DELANARE SECRETARY OF STATE DIVISION OF CORPORATIONS FILED 09: 00 AM 12/29/1998 981510608 - 2171389 |
| AMENDED AND RESTATED BY-LAWS OF ENSCO DELAWARE, INC. f/k/a PENROD, INC. INCORPORATED SEPTEMBER 1, 1988 UNDER THE LAWS OF THE STATE OF DELAWARE Amended and Restated with Effect from December 4, 1997 |
| Section 1. 1 Section 1. Section 2. Section 1. Section 2 . Section 3. Section 4. Section 5. Section 6. Section 7. Section 8. Section 9. Section 10. Section 11. Section 12. Section 1. Section 2. Section 3 • Section 4. Section 5. Section 6. Section 7. Section 8. Section 9. Section 10 . Section 11. section 12. Section 13. Section 14. Section 15. Section 16. Section 1 7 . TABLE OF CONTENTS Definitions ARTICLE I DEFINITIONS ARTICLE II OFFICES Registered Office Other Offices ARTICLE III MEETINGS OF STOCKHOLDERS Annual Meetings . . . . . . . . Special Meetings . . . . . Notice of Meetings . . . . . Waiver of Notice . . . . . . Organization . . . . . . . . . Order of Business . . . . . . stockholders Entitled to Vote Quorum . . Adjournments Vote of Stockholders . Action Without a Meeting Inspectors of Election . . . ARTICLE IV BOARD OF DIRECTORS Number . . . . . . Power and Authority to Manage . Selection . . . . Vacancies; Filling of Vacancies Stockholder Election of Directors Regular Meetings . . . . Special Meetings . . . . . Notice of Meetings . . . . . . . Waiver of Notice . . . . . Organization . . . . Order of Business . . . Quorum . . . . . . . Adjournments . . . . . . . Vote of the Board of Dire ctors . Action Without a Meeting . . . Participation at M eetings . . Removal of Directors . . .. . . . . . . . . . . . . .. . . . . .. . . . . . . . . . . . . . . . . . . . . . . . . . . . . . . . . . . . . . . . . . . . . . .. . . . . . . . . . .. . . . .. . . . . . . . . . . . .. . . . . . . . . . . . . . . . .. . 2 2 2 3 3 3 4 4 4 5 5 5 5 6 6 6 6 7 7 7 7 7 7 8 8 8 8 8 8 8 9 |
| Section 1. Section 2. Section 1. Section 2 • Section 3 • Section 4 • Section 5. Section 6. Section 7 • Section 1. Section 2. Section 3 . Section 4. Section 5 . Section 6. Section 1. Section 2. Section 3 • Section 4. Section 5. Section 6. Section 7. Section 8. Section 9. Section 1. L3RI714s ARTICLE V NOTICES AND REQUESTS Notices and Requests Written Waiver. ARTICLE VI OFFICERS Initial Officers . . . . Term in Office ..... . Compensation ......... . President . . . . . .. Vice Presidents .. .. . . . Secretary and Assistant Secretaries Treasurer and Assistant Treasurers . . ARTICLE VII CERTIFICATES REPRESENTING SHARES OF COMMON STOCK stock Certificates. Facsimile Signatures Lost Stock Certificates Transfers of Stock ...... . Determination of Stockholders of Record; Fixing Record Date Corporate Records and Reports ... ARTICLE VIII GENERAL PROVISIONS Dividends . . . . . Reserves . . . . . . . . . Registered stockholders . Indemnification . Checks . . . . . . . . . Fiscal Year . . . Seal . . . Affixing and Attesting . Insurance .. . . . . .. ARTICLE IX AMENDMENT OF BY-LAWS Amendment of By-Laws .. .. . . . . . . . . .. . . . . . .. .. . . .. .. . . . . .. . . . . . .. . Page 9 10 10 10 10 10 11 11 11 12 12 12 13 13 14 14 14 15 15 15 15 15 15 16 16 |
| AMENDED AND RESTATED BYLAWS OF ENSCO DELAWARE, INC. (A Delaware Corporation) ARTICLE I DEFINITIONS Section 1. Definitions. the following meanings: (a) The following terms shall have "Board of Directors" shall mean the collective reference to all of the members of he Board of Directors of the Company. "By-Laws" shall mean the By-Laws of the Company in effect from time to time. "Certificate of Incorporation" shall mean the Certificate of Incorporation of the Company, as amended from time to time. "Common Stock" shall mean the common stock, par value $ . 01 per share of the Company; and all references to "Common Stock" shall include any other equity security for which Common Stock shall be exchanged or into which Common Stock shall be converted. "Company" shall mean ENSCO Delaware, Inc., a Delaware corporation and any successors thereto. "Governmental Authority" shall mean any nation or government, any state or other political subdivision thereof and any entity exercising executive, legislative, judicial, regulatory or administrative functions of or pertaining to government. "Person" shall mean an individual, corporation, general partnership, limited partnership, association, joint stock company, joint venture, estate, trust, unincorporated |
| -2- association, Governmental Authority or other entity of whatever nature. "Subsidiary" shall mean, as to any Person, a corporation of which shares of stock having ordinary voting power (other than stock having such power only by reason of the happening of a contingency) to elect at least a majority of the board of directors or other managers of such corporation are at the time owned, or the management of which is otherwise controlled, directly or indirectly through one or more intermediaries, or both, by such Person. Unless otherwise qualified, all references to a "Subsidiary" or to "Subsidiaries" in these By-Laws shall refer to a Subsidiary or Subsidiaries of the Company. (b) Use of Defined Terms in Notices. Unless otherwise defined therein, each term defined in these By-Laws shall have the meaning assigned to such term when such term is used in any notice, certificate, receipt, instrument or other document created or delivered pursuant to these By-Laws. ARTICLE II OFFICES Section 1. Registered Office. The registered office of the Company in the State of Delaware is located at Corporation Trust Center, 1209 Orange Street in the city of Wilmington, County of New Castle. Section 2. Other Offices. The company may also have offices at such other places, either within or without the State of Delaware, as the Board of Directors may from time to time determine or as the business of the Company may require. ARTICLE III MEETINGS OF STOCKHOLDERS Section 1. Annual Meetings. The annual meeting of stockholders shall be held in each year at such time, on such day and at such place, within or without the State of Delaware, as may be designated by the Board of Directors and stated in the notice of the meeting or in a duly executed waiver of notice thereof. At the annual meeting, the stockholders shall elect directors and transact such other business as may properly be brought before such meeting. |
| -3- Section 2. Special Meetings. A special meeting of stockholders may be called by any member of the Board of Directors. In addition, a special meeting of stockholders shall be called by any member of the Board of Directors upon the written request of stockholders of record owning not less than twenty percent (20%) of the outstanding shares of the Common Stock entitled to notice of and to vote at such special meeting. Special meetings of stockholders may be held at such time, on such day and at such place, within or without the state of Delaware, as may be designated by the Board of Directors or the President, on behalf of the stockholders requesting such meeting and stated in the notice of the meeting or in a duly executed waiver thereof. Section 3. Notice of Meetings. Except as otherwise provided by law, the written or printed notice of any meeting of stockholders shall state the place, date and hour of any meeting called pursuant to Section 1 or Section 2 of this Article III. In the case of a special meeting, such notice shall also include a brief description of the purpose or purposes for which the meeting is called. Any notice of any meeting shall be given in accordance with Section 1 of Article V of these By-Laws to each stockholder of record entitled to notice thereof and to vote thereat determined pursuant to Section 7 of this Article III not less than ten (10) nor more than sixty (60) days before the date of such meeting. When a meeting of stockholders is adjourned for thirty (30) days or more, or if after the adjournment a new record date is fixed for the adjourned meeting, notice of the adjourned meeting shall be given as if a new meeting has been called. If mailed, the notice shall be directed to the stockholder in a postage-prepaid envelope at his address as it appears on the stock transfer books of the Company unless, prior to the time of mailing, he shall have filed with the Secretary a written request that notices intended for him be mailed to some other address designated in such request. Notice of each meeting of stockholders shall be in such form as is approved by the Board of Directors or the Secretary, as the case may be. Except as otherwise provided by law, the business which may be transacted at any special meeting of stockholders shall consist of and be limited to the purpose so stated in such notice. No publication of any notice of a meeting of stockholders shall be required. Section 4. Waiver of Notice. Anything herein contained to the contrary notwithstanding, notice of any meeting of stockholders shall be waived by any stockholder (a) who s hall attend and participate in the bus iness transacted at such meeting in person or by proxy, except when the person attends such meeting for the purpose of objecting, at the beginning of the meeting, to the transaction of any business because the meeting is not lawfully called or convened, or (b) who shall, or whose proxy or attorney duly authorized s hall, sign a written waiver thereof, whether before or after the time stated therein . |
| -4- Section 5. Organization. One member of the Board of Directors shall act as chairman at all meetings of stockholders and as such chairman shall call meetings of stockholders to order and preside thereat. The Secretary shall act as secretary at all meetings of the stockholders, but in his absence the chairman of the meeting may appoint any person present to act as secretary of the meeting. Section 6. Order of Business. The order of business at all meetings of stockholders shall be as determined by the chairman of the meeting or as is otherwise determined by the vote of the holders of a majority of the shares of Common Stock present in person or by proxy and entitled to vote at the meeting. Section 7. Stockholders Entitled to Vote. In order to determine the stockholders entitled to notice of or to vote at any meeting of stockholders or any adjournment thereof, the Board of Directors shall fix a record date which record date shall not precede the date upon which the resolution fixing the record date is adopted by the Board of Directors, and which record date shall not be more than sixty (60) days nor less than ten (10) days prior to the date of such meeting. In order to determine the stockholders entitled to consent to corporate action in writing without a meeting, the Board of Directors may fix a record date, which record date shall not precede the date upon which the resolution fixing the record date is adopted by the Board of Directors, and which record date shall not be more than ten (10) days after the date upon which the resolution fixing the record date is adopted by the Board of Directors. Only such stockholders who shall be stockholders of record on the date so fixed shall be entitled to notice of, and to vote at, such meeting and any adjournment thereof, or to give such consent or express such dissent, as the case may be, notwithstanding any transfer of any stock on the books of the Company after any such record date fixed as aforesaid. The Secretary shall prepare and make, or cause to be prepared and made, at least ten (10) days before every meeting of stockholders, a complete list of stockholders entitled to vote at such meeting, arranged in alphabetical order and showing the address of each such stockholder and the number of shares registered in the name of each such stockholder. Such list shall be open to the examination of any stockholder, for any purpose germane to the meeting, during ordinary business hours, for a period of at least ten (10) days prior to the meeting, either at a place, specified in the notice of the meeting, within the city where the mee ting is to be held, or, if not so specified, at the place where the meeting is to be held. Such list shall be produced and kept at the time and place of the meeting during the whole time thereof, and subject to the inspection of any stockholder who may be present. |
| -5- Section 8. Quorum. At any meeting of stockholders at which any action is to be taken or any question decided (including the election of members of the Board of Directors), the presence in person or by proxy of the holders of two-thirds (2/3rds) of the shares of Common stock entitled to vote at such meeting with respect to such action or question shall constitute a quorum. Section 9. Adjournments. In the absence of a quorum, the holders of a majority of the shares of Common Stock present in person or by proxy may adjourn any meeting, from time to time, until a quorum shall be present. At any such adjourned meeting at which a quorum shall be present, any business may be transacted which might have been transacted at the meeting as originally called. No notice of any adjourned meeting need be given other than an announcement at the meeting that it is being adjourned, provided that if the adjournment is for more than thirty (30) days, or if after the adjournment a new record date is fixed for the adjourned meeting, then a notice of the adjourned meeting shall be given to each stockholder of record entitled to vote at the meeting. Section 10. Vote of Stockholders. All actions by stockholders shall be taken at a stockholders' meeting except as otherwise permitted by these By-Laws or by law. Every stockholder of record, as determined pursuant to Section 7 of this Article III, who is entitled to vote, shall be entitled at every meeting of stockholders to one vote for every share of stock standing in his name on the books of the Company. At every such meeting at which a quorum is present for the taking of any action or the deciding of any question, the percentage of the shares of Common Stock specified by law or in the Certificate of Incorporation or these By-Laws, present in person or by proxy, at the meeting shall be necessary to take such action or decide such question. The absence of a quorum as provided for herein for the taking of any one action or the deciding of any one question shall not prevent the taking of any other action or the deciding of any other question for which a quorum is present. Every stockholder entitled to vote shall have the right to vote i n person or by proxy duly appointed by an instrument in writing. The attendance at any meeting of stockholders of a stockholder who may theretofore have given a proxy shall not have the effect of revoking such proxy unless such stockholder shall in writing so notify the secretary of the meeting prior to the voting of the proxy. Section 11 . Action Without a Meeting. Except as otherwise provided by law or by the Certifi cate of Incorporation, any action required or permitted to be taken at a meeting of stockholders may be taken without a meeting, without prior notice and without a vote, if a consent in writing setting forth the action so taken shall be signed by the stockholders of record of the number of issued and outstanding shares of Common Stock having not less than |
| -6- the minimum number of votes that would be necessary to authorize or take such action at a meeting at which all shares entitled to vote thereon were present and voted. The original written consent shall be filed with the Secretary of the Company and shall have the same force and effect as a vote of stockholders at a meeting. Copies of such written consent shall be filed at the registered office of the Company in the State of Delaware and at the principal office of the Company in the State of Texas. Section 12. Inspectors of Election. At any meeting of stockholders, the votes with respect to any question to be decided or action to be taken shall be conducted by two inspectors of election appointed for that purpose by the Board of Directors or by the vote, in person or by proxy, of the holders of a majority of the votes entitled to be cast at such meeting with respect to the deciding of such question or the taking of such action. All questions respecting the qualification of voters, the validity of the proxies and the acceptance or rejection of votes shall be decided by such inspectors. The inspectors shall be sworn faithfully to execute their duties with strict impartiality and according to the best of their ability. If any inspector of election appointed to act at any meeting shall fail to be present or shall decline to act, a successor to such inspector shall be appointed by the Board of Directors. ARTICLE IV BOARD OF DIRECTORS Section 1. Number. will be three (3). The number of Directors of the Company Section 2. Power and Authority to Manage. The business and affairs of the Company shall be managed by or under the direction of the Board of Directors. Section 3 . Selection. Except as otherwise provided by law or by the Certificate of Incorporation, and subject to the provisions of this Article IV, members of the Board of Directors shall be elected at the annual meeting of stockholders. Members of the Board of Directors shall be elected by the affirmative vote of fifty-one percent ( 51%) of the Common Stock then outstanding. Members of the Board of Directors shall serve until the next annual meeting of stockholders or until their earlier resignation or removal, except as provided in Section 4 of this Article IV. Each member of the Board of Directors elected shall hold office until his successor is elected and qualified. Members of the Board of Directors need not be residents of the State of Delaware but shall be United States' citizens. |
| -7- Section 4. Vacancies; Filling of Vacancies. Vacancies or newly created directorships resulting from any increase in the authorized number of Directors shall be filled by the vote of the stockholders. A member of the Board of Directors elected to fill a vacancy shall be elected to the unexpired term of his predecessor in office or until his death, removal, resignation or his successor is chosen. Section 5. Stockholder Election of Directors. At any such stockholder election for members of the Board of Directors, every stockholder entitled to vote at any such election shall have the right to vote, in person or by proxy, the number of shares owned by him for as many persons as there are directors to be elected and for whose election he has a right to vote and stockholders of the Company are expressly prohibited from cumulating their votes in any election for members of the Board of Directors of the Company. Section 6. Regular Meetings. Regular meetings of the Board of Directors may be held on such day and at such place, within or without the State of Delaware, from time to time as determined by the Board of Directors. Any regular meeting is valid, wherever held, if held on the written consent of all the members of the Board of Directors given either before or after the meeting and filed with the Secretary of the Company. Section 7. Special Meetings. Special meetings of the Board of Directors may be called by any member of the Board of Directors. Special meetings of the Board of Directors may be held at such time, on such day and at such place, within or without the State of Delaware as specified in the notice of such meeting. Section 8. Notice of Meetings. Written or printed notice stating the place, date and hour of the regular or special meetings of the Board of Directors shall be given personally, or sent by mail or by other form of written communication, to each member of the Board of Directors at least three days before the date of the meeting. Neither the business to be transacted at, nor the purpose of, any regular or special meeting of the Board of Directors need be specified in the notice or waiver of notice of such meeting. Section 9. Waiver of Notice. Anything herein contained to the contrary notwithstanding, notice of any meeting of the Board of Directors shall be waived by any member of the Board of Directors (a) who shall attend and participate in the business transacted at such meeting in person, except when the person attends such meeting for the purpose of objecting, at the beginning of the meeting, to the transaction of any business because the meeting is not lawfully called or convened, or (b) who shall sign a written waiver thereof, whether before or after the time stated therein. |
| -8- Section 10. Organization. One member of the Board of Directors shall act as chairman at all meetings of the Board of Directors. Such chairman shall call such meetings to order and shall preside thereat. The Secretary shall act as secretary at all meetings of the Board of Directors but in his absence the chairman of the meeting may appoint any person present to act as secretary of the meeting. Section 11. Order of Business. meetings of the Board of Directors chairman of the meeting . The order of business at all shall be determined by the Section 12 . Directors shall business. Quorum. constitute Two ( 2) members of the Board a quorum for the transaction of of Section 13. Adjournments. In the absence of a quorum, the members of the Board of Directors present thereat may adjourn the meeting from time to time, without notice other than announcement at the meeting that it is being adjourned, until a quorum shall be present. At such adjourned meeting at which a quorum shall be present, any business may be transacted which might have been transacted at the meeting as originally notified and called. Section 14. Vote of the Board of Directors. The affirmative vote of at least two members of the Board of Directors present at a meeting duly held at which a quorum is present shall be the act of the Board of Directors. Each member of the Board of Directors present at a meeting will be deemed to have assented to any action taken at the meeting unless his dissent to the action is entered in the minutes of the meeting, or unless he shall file his written dissent thereto with the secretary of the meeting or shall forward such dissent by registered mail to the Secretary of the Company immediately after such meeting. Section 15 . Action Without a Meeting. Except as otherwise provided by law or by the Certificate of Incorporation, any action required or permitted to be taken at a meeting of the Board of Directors may be taken without a meeting, without prior notice and without a vote, if a consent in writing setting forth the action so taken, shall be signed by all three (3) of the members of the Board of Directors. Such unanimous written consent shall have the same force and effect as a unanimous vote at a meeting and shall be filed with the minutes of the proceedings of the Board of Directors. Section 16 . Participation at Meetings. Subjec t to the provisions required herein for notice of meetings, members of the Board o f Dire ctors may participate in and hold a meeting by means of confer e nce by telephone, and participation in a meeting pursuant to this Section 16 shall constitute presence i n pe rson at such |
| -9- meeting, except where a person participates in a meeting for the express purpose of objecting, at the beginning of the meeting, to the transaction of any business on the ground that the meeting is not lawfully called or convened. Section 17. Removal of Directors. (a) Governed by Certificate of Incorporation. Except as set forth in this Section 17, removal of members of the Board of Directors shall be governed by the Certificate of Incorporation. (b) Evidence of Required Vote; Filing; Effectiveness. If the action required to remove a member of the Board of Directors shall not take place at a meeting of stockholders, then such action shall be evidenced by an instrument or concurrent instruments, in writing, signed by the stockholders of record ( or their duly authoriz ed representatives) taking such action pursuant to Section 11 of Article III to remove such member of the Board of Directors. The original instrument or instruments shall be filed with the Secretary of the Company and copies of such instrument or instruments shall be filed at the registered office of the Company in the State of Delaware and at the principal office of the Company in the State of Texas. Removal of a member of the Board of Directors shall be effective upon the date of such filing of such instrument or instruments evidencing the taking of such action. (c) Notice of Removal. Concurrently with the filing of the instrument or instruments evidencing the vote to remove a member of the Board of Directors, the Person filing the same shall notify, in accordance with Article V, the Company, the other members of the Board of Directors and each registered owner of Common Stock in writing of the removal of such member of the Board of Directors. ARTICLE V NOTICES AND REQUESTS Section 1. Notices and Requests. Notices and requests to members of the Board of Directors or officers or stockholders shall be in writing and delivered personally or mailed to the members of the Board of Directors or officers or stockholders at their addresses appearing on the books of the Company. Notices or requests by mail shall be de emed to be given and received at the time when deposited in the Unite d state s mail, addresse d to the addre ssee at his addre ss as it appears on the records of the Company, with adequate postage thereon prepai d; notice or request by personal delivery shall be deemed to be given and r e cei ved at the time whe n s ame s ha ll be actually recei v ed by the person to whom address ed. Notices and requests to members of the Board of |
| -10- Directors and officers may also be given by telegram, telex or facsimile transmission. Section 2 . Written Waiver. Whenever a notice is required to be given to any stockholder or member of the Board of Directors under any applicable statute, the Certificate of Incorporation or these By-Laws, a waiver thereof in writing signed by the Person or Persons entitled to such notice, whether before or after the time stated therein, shall be equivalent to the giving of such notice. ARTICLE VI OFFICERS Section 1 . Initial Officers. The Board of Directors, at their first meeting, shall choose the following officers: a President, one or more Vice Presidents, a Secretary, a Treasurer, and such other officers (including, without limitation, one or more Assistant Vice Presidents, Assistant Treasurers and Assistant Secretaries) as they deem appropriate. Any two or more offices may be held by the same person. Section 2. Term in Office. The term of all officers shall be for one year, or until their respective successors are chosen and qualify. Any officer or agent shall be subject to removal for or without cause at any time by the affirmative vote of a majority of the whole Board of Directors. Vacancies in any office may be filled by the Board of Directors at any regular or special meeting thereof . Section 3 . Compensation. The salaries of all officers and agents of the Company shall be fixed from time to t i me by the Board of Directors. Section 4. President. (a) Generally. The President shall be the chief executive officer of the Company, shall be responsible for general or active management of the business of the Company and shall be a citizen of the United States. In addition, the President shall see that the orders and resolutions of the Board of Directors are carried out. (b) Dutie s. The President s hall execute bonds, mortgages and other contrac ts requiring a s e al, under the seal of the Company, e xcept where required or permi tted by law to be otherwise signed and executed and except where the signing and execution there of shall be expr essly delegated by the Board of Directors to some other office r or a gent of the Compa ny. |
| -11- Section 5. Vice Presidents. The Vice Presidents in the order of their seniority, or otherwise as determined by the Board of Directors, shall, provided they are citizens of the United States, in the absence or disability of the President, perform the duties and exercise the powers of the President. They shall perform such other duties and have such other powers as the Board of Directors shall prescribe. Section 6. Secretary and Assistant Secretaries. (a) secretary The Secretary shall attend all proceedings of the stockholders of record and all proceedings of the Board of Directors. The Secretary shall record all the proceedings of such meetings in a book to be kept for that purpose. The Secretary shall give, or cause to be given, notice of all meetings of the stockholders and meetings of the Board of Directors, as the case may be, and shall perform such other duties as may be prescribed by the Board of Directors or President, under whose supervision such Secretary shall be. (b) Assistant Secretaries. The Assistant Secretaries in the order of their seniority, or if there be none, the Treasurer or an Assistant Treasurer, as determined by the Board of Directors, shall, in the absence or disability of the Secretary, perform the duties and exercise the powers of the Secretary. Such Assistant Secretaries shall perform such other duties and have such other powers as the Board of Directors may from time to time prescribe. Section 7. Treasurer and Assistant Treasurers. (a) Treasurer. The Treasurer shall have the custody of the Company's funds and securities and shall keep full and accurate accounts of receipts and disbursements in books belonging to the Company and shall deposit all monies and other valuable effects in the name and to the credit of the Company in such depositories as may be designated by the Board of Directors. (b) Disbursements. The Treasurer shall disburse the funds of the Company as may be ordered by the Board of Directors taking proper vouchers for such disbursements, and shall render to the President and the Board of Directors at its regular meetings or when the Board of Directors so requires, an account of all his transactions as Treasurer and of the financial condition of the Company. ( c) Bonding of Treasurer. If required by the Board of Directors, the Treasurer s hall give the Company a bond in such sum and with such surety or sureties as shall be satisfactory to the Board of Directors for the faithful performance of the duties of his office and for the restoration to the Company, in case of his death, resignation, retirement or removal from office, of all books, papers, vouchers, money and other property of whatever kind in his possessi on or under his control belonging to the Company. |
| -12- (d} Assistant Treasurers. The Assistant Treasurers in the order of their seniority, or if there be none, the Secretary or an Assistant Secretary, as determined by the Board of Directors, shall, in the absence or disability of the Treasurer, perform the duties and exercise the powers of the Treasurer. Such Assistant Treasurers shall perform such other duties and have such other powers as the Board of Directors may from time to time prescribe. ARTICLE VII CERTIFICATES REPRESENTING SHARES OF COMMON STOCK Section 1. Stock Certificates. The Company shall deliver stock certificates representing all shares of Common Stock to which stockholders are entitled. such stock certificates representing such shares of Common Stock shall be signed by the President or a Vice President, and the Secretary or an Assistant Secretary, and shall be sealed with the seal of the Company or a facsimile thereof. In case any such officer who has signed or whose facsimile signature has been placed upon any such stock certificate in accordance with Section 2 of this Article shall have ceased to be such officer before such stock certificate is delivered by the Company, it may nevertheless be issued and delivered by the Company with the same effect as if such officer had not ceased to be such at the date of its delivery. No stock certificate shall be issued for any share until the consideration therefor has been fully paid. Each stock certificate representing shares of Common Stock shall state upon the face thereof that the Company is organized under the laws of the State of Delaware, the name of the person to whom issued, the number of the shares of Common Stock which such stock certificate represents, and the par value of each share of Common Stock represented by such stock certificate. Section 2. Facsimile Signatures. The signatures of the President or Vice President and the Secretary or Assistant Secretary upon a stock certificate may be facsimiles, if the stock certificate is countersigned by a transfer agent, or registered by a registrar, other than the Company itself or an employee of the Company. Section 3. Lost Stock Certificates. When a stock certificate representing shares of Common Stock has been lost, stolen or destroyed, the owner of record shall notify the Company of such loss, theft or destruction within a reasonable time after he has notice of such loss, theft or destruction. The Board of Directors may direct that a new stock certificate be issued in place of any stock certificate theretofore issued by the Company alleged to have been lost, stolen or destroyed, upon the making of an affidavit of |
| -13- that fact by the person claiming the stock certificate to be lost, stolen or destroyed. When authorizing such issuance of a new stock certificate, the Board of Directors may, in its discretion and as a condition precedent to the issuance thereof, require the owner of such lost, stolen or destroyed stock certificate, or his legal representative, to advertise the same in such manner as it shall require and/or to give the Company a bond in such sum as it may direct as indemnity against any claim that may be made against the Company with respect to the stock certificate alleged to have been lost or destroyed and/or to satisfy any other reasonable requirements imposed by the Board of Directors. Section 4. Transfers of Stock. Upon surrender to the Company or the transfer agent of the Company of a stock certificate duly endorsed or accompanied by proper evidence of succession, assignment or authority to transfer, it shall be the duty of the Secretary or Assistant Secretary to issue a new stock certificate to the person entitled thereto, cancel the old stock certificate and record the transaction upon its books. When a transfer of shares is requested and there is reasonable doubt as to the right of the person seeking the transfer, the Company or its transfer agent, before recording the transfer of the shares on its books or issuing any stock certificate therefor, may require from the person seeking the transfer reasonable proof of his right to the transfer. If there remains a reasonable doubt of the right to the transfer, the Company may refuse a transfer unless the person gives adequate security or a bond of indemnity executed by a corporate surety or by two individual sureties satisfactory to the Company as to form, amount and responsibility of sureties. The bond shall be conditioned to protect the Company, its officers, members of the Board of Directors, transfer agents and registrars, or any of them, against any loss, damage, expense or other liability to the owner of the shares by reason of the recordation of the transfer or the issuance of a new stock certificate. Section 5. Determination of stockholders of Record; Fixing Record Date. For the purpose of determining stockholders of record for the purpose of voting upon a particular action, the provisions of Section 7 of Article III shall apply. For the purpose of determining stockholders of record for any other proper purpose, the Board of Directors may fix in advance a date as the record date for any such determination of stockholders. Such date shall be not more than sixty (60) days and, in case of a meeting of stockholders, not less than ten (10) days prior to the date on which the particular action requiring such determination of stockholders is to be taken. If the record date is not fixed for the determination of stockholders entitled to notice of or to vote at a meeting of stockholders, the day next preceding the date on which the notice of the meeting is mailed shall be the record date for such determination of stockholders. |
| -14- Section 6. Corporate Records and Reports . The Company shall keep correct and complete books and records of account and shall keep minutes of the proceedings of the stockholders and proceedings of the Board of Directors. In addition, the Company shall keep at its registered office in the State of Delaware or principal office in the State of Texas, or at the office of its transfer agent or registrar, a record of its stockholders giving the names and addresses of all stockholders and the number of shares held by each. Any books, records and minutes may be in written form or in any other form capable of being converted into written form within a reasonable time. Any member of the Board of Directors or any stockholder of record upon written demand stating the purpose thereof, shall have the right to examine, in person or by agent, accountant or attorney, at any reasonable time or times, for any proper purpose, its relevant books and records of account, minutes and record of stockholders, and to make extracts therefrom. ARTICLE VIII GENERAL PROVISIONS Section 1. Dividends. Dividends upon the outstanding shares of the Corporation, subject to the provisions of the Certificate of Incorporation, if any, may be declared by the Board of Directors at any regular or special meeting. Dividends may be declared and paid in cash, in property, or in shares of the Corporation, subject to the provisions of the General Corporation Law of the State of Delaware and the Certificate of Incorporation. The Board of Directors may fix in advance a record date for the purpose of determining stockholders entitled to receive payment of any dividend, such record date will not precede the date upon which the resolution fixing the record date is adopted, and such record date will not be more than sixty (60) days prior to the payment date of such dividend. In the absence of any action by the Board of Directors, the close of business on the date upon which the Board of Directors adopts the resolution declaring such dividend will be the record date. Section 2. Reserves. There may be created by resolution of the Board of Directors out of the surplus of the Corporation such reserve or reserves as the Directors from time to time, in their direction, deem proper to provide for contingencies, or to equalize dividends, or to repair or maintain any property of the Corporation, or for such other purposes the Directors may deem beneficial to the Corporation, or for such other purpose as the Directors may deem beneficial to the Corporation, and the Directors may modify or abolish any such reserve in the manner in which it was cre ated. surpl us of the Corporation to the extent so reserved |
| -15- will not be available for the payment of dividends or other distributors by the Corporation. Section 3 . Registered stockholders. The Company shall be entitled to recognize the exclusive rights of a person registered on its books as the owner of shares to vote as such owner, and shall not be bound to recognize any equitable or other claim to or interest in such share or shares on the part of any other person, whether or not it shall have express or other notice thereof, except as otherwise provided by the laws of the State of Delaware Section 4 . Indemnification. The Corporation will indemnify its directors and the directors of any directly or indirectly held subsidiary corporation to the fullest extent permitted by the General Corporation Law of the State of Delaware from time to time in effect and may, if and to the extent authorized by the Board of Directors, so indemnify its officers and the officers of any directly or indirectly held subsidiary corporation and any other person whom it has the power to indemnify against any liability, reasonable expense or other matter whatsoever. The right of any director to indemnification pursuant to this Section 4 shall, to the fullest extent permitted by such Law, include a contractual right to advancement of reasonable expenses incurred or to be incurred by or on behalf of such director in connection with litigation, investigation or similar proceedings, subject to the right of the Corporation to recover from such director any amount so advanced in respect of a proceeding in which it is finally determined that such director's conduct constituted willful misconduct or breach of the duty of loyalty to the Corporation, or the directly or indirectly held subsidiary corporation, as applicable. Section 5. Checks. All bills, checks, drafts or other instruments for the payment of money, notes or other evidences of indebtedness, issued in the name of or payable to the Company shall be signed, counter-signed or endorsed by such officer or officers or such other person or persons as the Board of Directors may from time to time prescribe or may be prescribed by any officer or off icers thereunto duly authorized by the Board of Directors. Section 6. Fiscal Year . The fiscal year of the Company shall be fixed or changed by the resolution of the Board of Directors. Sec tion 7 . Seal. The Corporation may have a seal, and the seal may be used by caus ing it or a facsimile thereof to be impressed or affixed or reproduced or otherwise. Any officer of the Corporation will h ave authority to affix the sea l to any document requiring it. Sect ion 8 . Affixing a nd Attesting. The s e a l o f the Company s hall be in the c us tody of the Se cre tary, who shall have power to |
| -16- affix it to the proper corporate instruments and documents, and who shall attest it. In his absence or disability, it may be affixed and attested by an Assistant Secretary, or by the Treasurer or an Assistant Treasurer or by any other person or persons as may be designated by the Board of Directors. Section 9. Insurance. The Corporation may at the discretion of the Board of Directors purchase and maintain insurance on behalf of the Corporation and any person whom it has the power to indemnify pursuant to law, the Certificate of Incorporation, these Bylaws of otherwise. ARTICLE IX AMENDMENT OF BY-LAWS Section 1. Amendment of By-Laws. These By-Laws shall not be altered, amended or repealed, or new By-Laws adopted, except in accordance with the Certificate of Incorporation. L3RI729s |
Exhibit 3.83
![]() |
EXEMPTED Company Registered and filed as No. 327434 On 25-Sep-2017 Assistant Registrar Auth Code: C84184015253 www.verify.gov.ky |
![]() |
EXEMPTED Company Registered and filed as No. 327434 On 25-Sep-2017 Assistant Registrar Auth Code: C84184015253 www.verify.gov.ky |
Exhibit 3.84
| EXEMPTED Company Registered and filed as No. 327434 On 25-Sep-2017 Assistant Registrar Auth Code: B47703704972 www.verify.gov.ky CI$50.00 25-Sep-2017 |
| EXEMPTED Company Registered and filed as No. 327434 On 25-Sep-2017 Assistant Registrar Auth Code: B47703704972 www.verify.gov.ky |
| EXEMPTED Company Registered and filed as No. 327434 On 25-Sep-2017 Assistant Registrar Auth Code: B47703704972 www.verify.gov.ky |
| EXEMPTED Company Registered and filed as No. 327434 On 25-Sep-2017 Assistant Registrar Auth Code: B47703704972 www.verify.gov.ky |
| EXEMPTED Company Registered and filed as No. 327434 On 25-Sep-2017 Assistant Registrar Auth Code: B47703704972 www.verify.gov.ky |
| EXEMPTED Company Registered and filed as No. 327434 On 25-Sep-2017 Assistant Registrar Auth Code: B47703704972 www.verify.gov.ky |
| EXEMPTED Company Registered and filed as No. 327434 On 25-Sep-2017 Assistant Registrar Auth Code: B47703704972 www.verify.gov.ky |
| EXEMPTED Company Registered and filed as No. 327434 On 25-Sep-2017 Assistant Registrar Auth Code: B47703704972 www.verify.gov.ky |
| EXEMPTED Company Registered and filed as No. 327434 On 25-Sep-2017 Assistant Registrar Auth Code: B47703704972 www.verify.gov.ky |
| EXEMPTED Company Registered and filed as No. 327434 On 25-Sep-2017 Assistant Registrar Auth Code: B47703704972 www.verify.gov.ky |
| EXEMPTED Company Registered and filed as No. 327434 On 25-Sep-2017 Assistant Registrar Auth Code: B47703704972 www.verify.gov.ky |
| EXEMPTED Company Registered and filed as No. 327434 On 25-Sep-2017 Assistant Registrar Auth Code: B47703704972 www.verify.gov.ky |
| EXEMPTED Company Registered and filed as No. 327434 On 25-Sep-2017 Assistant Registrar Auth Code: B47703704972 www.verify.gov.ky |
| EXEMPTED Company Registered and filed as No. 327434 On 25-Sep-2017 Assistant Registrar Auth Code: B47703704972 www.verify.gov.ky |
| EXEMPTED Company Registered and filed as No. 327434 On 25-Sep-2017 Assistant Registrar Auth Code: B47703704972 www.verify.gov.ky |
| EXEMPTED Company Registered and filed as No. 327434 On 25-Sep-2017 Assistant Registrar Auth Code: B47703704972 www.verify.gov.ky |
| EXEMPTED Company Registered and filed as No. 327434 On 25-Sep-2017 Assistant Registrar Auth Code: B47703704972 www.verify.gov.ky |
| EXEMPTED Company Registered and filed as No. 327434 On 25-Sep-2017 Assistant Registrar Auth Code: B47703704972 www.verify.gov.ky |
| EXEMPTED Company Registered and filed as No. 327434 On 25-Sep-2017 Assistant Registrar Auth Code: B47703704972 www.verify.gov.ky |
| EXEMPTED Company Registered and filed as No. 327434 On 25-Sep-2017 Assistant Registrar Auth Code: B47703704972 www.verify.gov.ky |
| EXEMPTED Company Registered and filed as No. 327434 On 25-Sep-2017 Assistant Registrar Auth Code: B47703704972 www.verify.gov.ky |
| EXEMPTED Company Registered and filed as No. 327434 On 25-Sep-2017 Assistant Registrar Auth Code: B47703704972 www.verify.gov.ky |
| EXEMPTED Company Registered and filed as No. 327434 On 25-Sep-2017 Assistant Registrar Auth Code: B47703704972 www.verify.gov.ky |
| EXEMPTED Company Registered and filed as No. 327434 On 25-Sep-2017 Assistant Registrar Auth Code: B47703704972 www.verify.gov.ky |
| EXEMPTED Company Registered and filed as No. 327434 On 25-Sep-2017 Assistant Registrar Auth Code: B47703704972 www.verify.gov.ky |
| EXEMPTED Company Registered and filed as No. 327434 On 25-Sep-2017 Assistant Registrar Auth Code: B47703704972 www.verify.gov.ky |
| EXEMPTED Company Registered and filed as No. 327434 On 25-Sep-2017 Assistant Registrar Auth Code: B47703704972 www.verify.gov.ky |
| EXEMPTED Company Registered and filed as No. 327434 On 25-Sep-2017 Assistant Registrar Auth Code: B47703704972 www.verify.gov.ky |
Exhibit 3.85
![]() |
[LOGO] |
Exhibit 3.86
| Y . lJ _ .- ,~ M { ''i C ) .. ,. . .. ' AUG 2 4. 1989 :- -~ ,, . i..NSCiJ , me • . , V.cfli T ei,CiO¼S 'ID~e ~tate of 'ID exas ~ecrehtru of ~htb AUG,. 7,,1., 1989 17 0 1. iJADhU AS:-11=r;Rn , )TL .200 Hr0S TD~ ~r x 770 7\ k ::: :: ~~~CC lNC0~PuP nTfO CH/lT{ T fk 1-:UN.l{f~ J:: 0 1C6 16 l 0- 0U .. ' KB RAS CWA FILE: CC: I T HA '-; BEf: !J UUR Plf . .n '.) URr- TD APPRO VE ,".!JD PLACE ON R.ECORD YOUR ARTICLE S LF ,\ f'\ Ei'lf}M::-t,T .. TtW il PP kGPR LH :: l.:: YrD f:-N CE IS ATTACHED FOR YOUR FILES , A~D TH[ O~ IGI NA L HAS B~EN FILEJ I N THIS OFFICE~ PAY ~~~T n~ THE FILI ~G FE~ lS A C~NOW LED G EO BY THIS LETTER. V~R Y TRULY YOU RS, Secretary o |
| '<ilqe ~fate of '<ilexa5 ~tcrclnfll of ~tnte CER TI F1CAT E OF AMEN DM ENT EN SCO l N CORPO RAT~O f !JKMf R.L Y FN SCO , INC . CHA1 TER NUMBER 01061620 •. TH~ U~Ji~ SIG~[D , AS SECRE TAR Y nF ST ATE a~ TH E STAT E O F TEXAS, b£k~9Y C[~ TI FIE~ T HA T AR TI CLES nF ~ME~DM ENT HA VE BEEN RE CEIV ED IN THIS DFFICF ANO A~F- fQUNG 1 0 CON FORM TO LAW . ACCURIJ T NG L'Y THt· U!-iDfP.S I GNE: fi ,, AS SUCH SECRETA RY OF STATE, ANO PY V I RTUE Of T HF. /\U1dCi<. ITY VESTFO I N TH E StCRi:TARY BY LAW , ISSUES TY!~ CL~ TJ FICAT~ ANG ft TTACHFS HERF TO A COP Y OF TH E AR TICLES OF ; ' |
| ARTICLES OF AMENDMENT TO THE ARTICLES OF INCORPORATION OF ENSCO, INC. FILED In the Office of the Secretary of State of Texas AUG 21 1989 Corporations ~tin Pursuant to the provisions of Article 4. 04 of tl'll!:!'n Texas Business Corporation Act, as amended, the undersigned corporation hereby adopts the following Articles of Amendment to its Articles of Incorporation: ARTICLE ONE The name of the corporation is ENSCO, Inc. ARTICLE TWO The following amendment to the Articles of Incorporation was adopted by the shareholders and directors of the corporation on August 15, 1989. "RESOLVED, that Article I of the Articles of Incorporation be amended to change the name of the corporation to ENSCO INCORPORATED." The amendment alters or changes Article I of the amended Articles of Incorporation to read as follows: "ARTICLE I The name of the corporation is ENSCO INCORPORATED." ARTICLE THREE , The number of shares of the corporation outstanding at the time of such adoption was One Thousand (1,000} shares of common capital stock having a par value of One Dollar ($1.00) per share, all of which were entitled to vote thereon. ARTICLE FOUR The holders of all the shares outstanding and entitled to vote on the amendment have signed a consent in writing adopting the amendment. DATED: August 16, 1989. L89KB347 ENSCO, Inc. By! ......l:!U~, ~~~Q::;)....---- Kent Brooks, Secretary |
| ,. THE STATE OF TEXAS § § COUNTY OF HARRIS § I, S uSt'!:IY \a, \,)12-,\ ' l\,)O , Notary Public, do hereby certify that on this the \lp-th day of Auc,-us1 , 1983_, personally appeared before me Kent Brooks, who declared that he is the Secretary of the corporation executing the foregoing document, and being first duly sworn, acknowledged that he signed the said document in the capacity therein set forth and declared that the statements therein contained are true. this IN WITNESS Wlj_EREOF I have hereunto set my hand and seal I lt;'-¼-1 day of J:t:V6:1,6I , 198_:L.. L89KB347 Notary Public in and for the State of Texas S1 .s1,1\J 02 - 12J1Lu1vo Printed Name of Notary My Commission Expires |
| m~e ~tate of mrxat; ~rcreta~ of ~tale {',. - I , ,.. r. •<. !1 U V .) / L ,. 1 J ~ • i V ,.., 1 p ,., ~ 1 Y l. -, l. 1 ,, "' T I'\ Y A .> l..i t-- ,-, , '"' " f r· ~) J " • T r's - : ~ , I Jr· .J ~ 1 J'( ,.. :1 L ~ l, -; r r (', ... ! t I i ,, - ;' ,.. l - "\ b l (,.1 ? 4..) - V , .. , 1T h , ,;; )t.- .. ,»,., r-1t ... ••) 1 ',,' T,, ,., '-' ti::>._,v ... i-,'!O i>L AC L 0'-J 0 c:r.uPu ynu'< CriANGi: - cic:r,i<;f·,.-v '-1--;.::'1 .J:, 0 ,:r. i<:; ~r<.' J ucl··T v,..1 uQ lOT r1. THc Al'P~iPR 1ATE L V I. '") r: 1, l. r· T .) ,, r T ~ .... L ! .... i, F J • • " L 11 r: r r ... ,- ::. ' \I' r, T H F 11 k li I t~ ,\ L (1 A s f, E E \ I != l l E 0 i.. 1 T ,~ T :i u - J- 1 v r· • c.u..L..""" t..t..<:; Secrelcuy of State |
| STATEMENT OF CHANGE OF REGISTERED OFFICE AND REGISTERED AGENT OR BOTH BY A TEXAS DOMESTIC CORPORATION FILED In the Office of the Ser.retarv of StatP. of T P.~:is FEB 1 7 1989 Corporations Section 1. The name of the Corporation is ENSCO, Inc. 2 . The address, including street and number, registered off ice , as shown in the Secretary of State of the State of Texas this sta tement, is 2500 First City Bank Street, Fort Worth, Texas 76102. of its present records of the prior to filing Tower, 2 01 Main 3 . The address, including street and number, to which its registered office is to be changed, is 1201 Dairy Ashford, Suite 200, Houston, Texas 77079 . 4. The name of its present registered agent, as shown in the records of the Secretary of State of the State of Texas prior to filing this statement is Randy s . Brooks. 5 . The name of its new registered agent is Kent Brooks . 6 . The address of its registered office and the address of the business office of its registered agent, as changed, will be identical. 7. Such change was authorized by its Board of Directors. STATE OF TEXAS § COUNTY O~ ,f'/"{j._.lA, .,\---' i ENSCO, INC. By: Gerald W. Haddock, Director BEFORE ME, THE UNDERSIGNED AUTHORITY, on this day personally appeared Gerald w. Haddock, Director of ENSCO, Inc., a Texa s corporation, known to me to be the person whose name is subscribed to the foregoing instrument and being by me the f irst duly sworn, declared that the statements therein contained are true and correct. |
| GIVEN UNDER MY HAND AND SEAL OF OFFICE this 31st day of -~ J=a=n=ua=r~y.__ ____ , 1989. inted Name of Notary My Commission Expires:~7 ..· , .. L88KB574 |
| {114r ,f afr of {Urxas SECRETARY OF STATE CERTIFICATE OF INCORPORATION OF ENSCO, INC. CHARTER NO. 1061620 ,. The undersigned, as Secretary of State of the State of Texas, hereby certifies that Artic1es of Incorporation for the above corporation duly signed and verified pursuant to the provisions of the Texas Business Corpo,ation Act, have been received in this Office and are found to conform to law. ACCORDINGLY the undersigned, as such Secretary of State, and by virtue of the authority vested in the Secretary by law, hereby issues .this Certificate of Incorporation and attaches hereto a copy of the Articles of Incorporation. Dated Sept. 14 1 ti 8 7 ------------ ·· ;, ------· Secretary of._ ams |
| ARTICLES OF INCORPORATION OF ENSCO, INC. I. The name of the corporation is ENSCO, Inc. II. The period of its duration is perpetual. III. SEP 14-1987 C , Clerk 1 -C Orporations s,, ... ,:;CfJCll The purposes for which the corporation is organized are: To enter into associations, partnerships, joint ventures, and other lawful arrangements for sharing profits, union of interests, reciprocal concessions, or cooperation, with any other corporation, partnership, association, firm, syndicate, entity, person, or government, municipal or public authority, domestic or foreign, in the carrying on of any business that the corporation is authorized to carry on or any business or transaction deemed necessary, convenient, or incidental for carrying out any of the purposes of the corporation; and to transact any and all lawful business for which corporations may be incorporated under the Texas Business Corporation Act. IV. The aggregate number of shares that the corporation shall have authority to issue is One Thousand (1,000) of the par value of One Dollar ($1.00) per share. No shareholder or other person shall have any preemptive right whatsoever. |
| I , ,_ • v. The corporation will not commence business until it has received for the issuance of its shares consideration of the value of One Thousand Dollars ($1,000.00) consisting of money, labor done, or property actually received. VI. The street address of its initial registered office is 2500 First City Bank Tower, 201 Main Street, Fort Worth, Texas 76102, and the name of its initial registered agent at such address is Randy S. Brooks. VII. The number of initial directors is one (1), and the name and address of the director are: Gerald W. Haddock 2500 First City Bank Tower 201 Main Street Fort Worth, Texas 76102 VIII. Directors shall be elected by majority vote. Cumulative voting shall not be permitted. IX. The name and address of the Incorporator are: Calvin M. Jackson 2500 First City Bank Tower 201 Main Street Fort Worth, T~a:. - 76102 3) c:L~-w.~ Calvin M. Ja9~s·on, Incorporator .. / 1 ..--' |
| THE STATE OF TEXAS § § COUNTY OF TARRANT § BEFORE ME, a notary public, on this Calvin M. Jackson, known to me to be the subscribed to the foregoing document duly sworn, declared that the statements true and correct. day personally appeared person whose name is and, being by me first therein contained are of G:rr-~ -::: UND,f:R MY HAND AND SEAL OF ...._.;~ ~ ~,......""""'~-.. 4 ~ r ~ 4 ~& ~ ,<-L,<, ~-'---"'<--/ ____ _ , 1987. OFFICE this )/ft' day (Notarial Seal) ~(l.~~ Notary Public,stateof Texas -------- - ----' 19 - 3 - 0691W |
Exhibit 3.87
| • • • AMENDED AND RESTATED BY-LAWS OF ENSCO INCORPORATED a TEXAS CORPORATION Amended and Restated with Effect from December 4, 1997 |
| • • • BY-LAWS OF ENSCO INCORPORATED ARTICLE I - OFFICES 1.1 REGISTERED OFFICE OF AGENT The registered office of the corporation shall be maintained at CT Corporation System, 350 N. Saint Paul Street, Dallas, Texas 75201, and the registered agent shall be the Corporate Secretary, in the State of Texas. The registered office or the registered agent, or both, may be changed by resolution of the Board of Directors, upon filing the statement required by law. 1.2 PRINCIPAL OFFICE The principal office of the corporation shall be located at 1445 Ross Avenue, Suite 2700, Dallas, Texas 75202. 1.3 OTHER OFFICES The Corporation may also have offices at such other places both within and without the State of Texas as the Board of Directors may from time to time determine or the business of the Corporation may require. ARTICLE II - MEETINGS OF SHAREHOLDERS 2.1 ANNUAL MEETING The annual meeting of shareholders for the election of Directors and such other business as may properly be brought before the meeting shall be held at such place within or without the State of Texas and at such date and time as shall be designated by the Board of Directors and stated in the notice of the meeting or in a duly-executed waiver of notice thereof. 2.2 FAILURE TO HOLD ANNUAL MEETING Failure to hold annual meeting shall not work a dissolution of the Corporation. If the annual meeting is not held within any thirteen (13) month period, any court of competent jurisdiction in the county in which the principal office of the Corporation is located may, on the application of any shareholder, summarily order a meeting to be held . |
| 2.3 SPECIAL MEETINGS Special meetings of the shareholders for any purpose or purposes may be called by the President and shall be called by the President or Secretary at the request in writing of a majority of the Board of Directors, or at the request in writing of shareholders owning not less than ten (10%) percent of all the shares entitled to vote at the meetings. A request for a special meeting shall state the purpose or purposes of the proposed meeting, and business transacted at any special meeting of shareholders shall be limited to the purposes stated in the notice. 2.4 NOTICE AND WAIVERS OF NOTICE (a) Written notice stating the place, day and hour of the meeting and, in the case of a special meeting, the purpose or purposes for which the meeting is called, shall be delivered not less than ten (10) nor more than fifty (50) days before the date of the meeting, either personally or by mail, by or at the direction of the President, the Secretary, or the officer or persons calling the meeting, to each shareholder of record entitled to vote at such meeting. (b) Notice may be waived in writing signed by the person or persons entitled to such notice. Such waiver may be executed at any time before or after the holding of such meeting. Attendance at a meeting shall constitute a waiver of notice, except where the person attends for the express purpose of objecting to the transaction of any business on the ground that the meeting is not lawfully called. 2.5 RECORD DATE For the purposes of determining shareholders entitled to notice of or to vote at any meeting of shareholders or any adjournment thereof, or entitled to receive payment of any dividend, the Board of Directors may in advance establish a record date which must be at least ten (10) but not more than fifty (50) days prior to such meeting. If the Board of Directors fail to establish a record date, the record date shall be the date on which notice of the meeting is mailed. 2.6 VOTING LIST ( a) The officer or agent having charge of the stock transfer books for shares of the Corporation shall make, at least ten (10) days before each meeting of shareholders, a complete list of the shareholders entitled to vote at such meeting or any adjournment thereof, arranged in alphabetical order, with the |
| address of and the number of shares held by each, which list, for a period of ten ( 10) days prior to such meeting, shall be kept on file at the principal office of the Corporation and shall be subject to inspection by any shareholder at any time during usual business hours. Such list shall also be produced and kept open at the time and place of the meeting and shall be subject to the inspection of any shareholder during the whole time of the meeting. The original stock transfer book shall be prima-facie evidence as to who are the shareholders entitled to examine such list or transfer books or to vote at any meeting of shareholders. (b) Failure to comply with the requirements of this section shall not affect the validity of any action taken at such meeting. ( c) An officer or agent having charge of the stock transfer books who shall fail to prepare the list of shareholders or keep the same on file for a period of ten (10) days, or produce and keep it open for inspection as provided in this section, shall be liable to any shareholder suffering damage on account of such failure, to the extent of such damage. In the event that such officer or agent does not receive notice of a meeting of shareholders sufficiently in advance of the date of such meeting reasonably to enable him to comply with the duties prescribed by these By-Laws, the Corporation, but not such officer or agent shall be liable to any shareholder suffering damage on account of such failure, to the extent of such damage. 2.7 QUORUM OF SHAREHOLDERS The holders of a majority of the shares issued and outstanding and entitled to vote thereat, present in person or represented by proxy, shall constitute a quorum at all meetings of the shareholders for the transaction of business except as otherwise provided by statute or by the Articles of Incorporation. If, however, a quorum shall not be present or represented at any meeting of the shareholders, the shareholders entitled to vote thereat, present in person or represented by proxy, shall have power to adjourn the meeting from time to time, without notice other than announcement at the meeting, until a quorum shall be present or represented. At such adjourned meeting, provided a quorum shall be present or represented thereat, any business may be transacted which might have been transacted if the meeting had been held in accordance with the original notice thereof. 2.8 WITHDRAWAL OF QUORUM If a quorum is present at any meeting, the vote of the holders of a majority of the shares entitled to vote, present in person or represented by proxy, shall decide any question brought before such meeting, unless the question is one upon which a different vote is required by express provision of the statutes |
| or by the Articles of Incorporation or these By-Laws. The shareholders present at a meeting at which a quorum is present may continue to transact business until adjournment, despite the withdrawal of shareholders after the commencement of the meeting which withdrawal leaves less than a quorum remaining at the meeting. 2.9 PROXIES No proxy shall be valid after eleven (11) months from the date of its execution, unless otherwise provided in the proxy. Each proxy shall be revocable unless expressly provided therein to be irrevocable and unless otherwise made irrevocable by law. 2.10 VOTING OF SHARES Each outstanding share, regardless of class, shall be entitled to one vote on each matter submitted to a vote at a meeting of shareholders, except to the extent that the voting rights of the shares of any class or classes are limited or denied by the Articles of Incorporation. A shareholder may vote either in person or by proxy executed in writing by the shareholder or by his duly authorized attorney-in-fact. - 2.11 ACTION WITHOUT MEETING OR BY USE OF CONFERENCE TELEPHONE Any action permitted or required by law, these By-Laws or by the Articles of Incorporation of the Corporation, to be taken at a meeting or the shareholders, the Board of Directors or any committee designated by the Board of Directors may be taken without a meeting if a consent in writing, setting forth the action so taken, is signed by all the shareholders or members of the Board of Directors or committee, as the case may be. Such consent shall have the same force and effect as a unanimous vote at a meeting, and may be stated as such in any document or instrument filed with the Secretary of State. Subject to the requirement for notice of meetings, shareholders, members of the Board of Directors, or members of any committee designated by the Board of Directors, may participate in and hold a meeting of such shareholders, Board of Directors or committee, as the case may be, by means of conference telephone or similar communica tions equipment by means of which all persons participating in the meeting can hear each other, and participation in such a meeting shall constitute presence in person at such meeting, except where a person participates in the meeting for the express purpose of objecting to the transaction of any business on the ground that the meeting is not lawfully called or convened. |
| ARTICLE III - DIRECTORS 3.1 POWERS The business and affairs of the Corporation and all corporate powers shall be managed by the Board of Directors, subject to any limitation imposed by statute, the Articles of Incorporation or these By-Laws as to action which requires authorization or approval by the shareholders. 3.2 NUMBER; QUALIFICATIONS The number of the directors of the Corporation shall be not less than three (3) nor more than seven (7), unless and until other wise determined by vote of a majority of the entire Board of Directors. The number of Directors shall not be less than three (3), unless all of the outstanding shares are owned beneficially and of record by less than three (3) shareholders, in which event the number of Directors shall not be less than the number of shareholders. None of the Directors need be residents of the State of Texas or shareholders of the Corporation. 3.3 ELECTION The Directors shall be elected at the annual meeting of the shareholders, and each Director elected shall serve until his successor shall have been elected and qualified. 3.4 VOTING Every shareholder entitled to vote shall have the right to: vote the number of voting shares owned by him for as many persons as there are directors to be elected and for whose election he has the right to vote; or unless cumulative voting is prohibited by the Articles of Incorporation to cumulate his votes by giving one candidate as many votes as the number of such Directors multiplied by the number of his shares shall equal, or by distributing such votes on the same principal among any number of such candidates. Any shareholder who intends to cumulate his votes if herein authorized shall give written notice of his intention to the Secretary of the Corporation on or before the date preceding the election at which such shareholder intends to cumulate his votes. All shareholders may cumulate their votes if any shareholder gives the written notice provided for herein. 3.5 REMOVAL OF DIRECTORS (a) At any meeting of shareholders called expressly for the purpose of removing a Director, any Director or the entire Board of Directors may be removed, with or without cause, by a vote of |
| the holders of a majority of the shares then entitled to vote at an election of Directors. (b) Unless cumulative voting is prohibited by the Articles of Incorporation, if less than the entire Board is removed, no one of the Directors may be removed if the votes cast against his removal would be sufficient to elect him if then cumulatively voted at an election of the entire Board of Directors. 3.6 VACANCIES Any vacancy in the Board of Directors caused by death, resignation, removal or otherwise shall be filled by a majority of the remaining Directors though less than a quorum of the Board of Directors. A Director elected to fill a vacancy shall be elected for the unexpired term of his predecessor in office. 3.7 INCREASE OR DECREASE IN NUMBER The number of Directors may be increased or decreased from time to time by amendment to these By-Laws but no decrease shall have the effect of shortening the term of any incumbent Director. Any directorship to be filled by reason of an increase in the number of Directors shall be filled by election at an annual or special meeting of shareholders. ARTICLE IV - MEETINGS OF THE BOARD OF DIRECTORS 4.1 PLACE Meetings of the Board of Directors, regular or special, may be held either within or without the State of Texas. 4.2 ANNUAL MEETING Within thirty ( 3 O) days after each annual meeting of share holders the Board of Directors elected at such meeting shall hold an annual meeting at which they shall elect officers and transact such other business as shall come before the meeting. 4.3 REGULAR MEETINGS Regular meetings of the Board of Directors may be held upon notice, or without notice unless notice is required under these By-Laws and at such time and at such place as shall from time to time be determined by the Board. |
| 4.4 SPECIAL MEETINGS Special meetings of the Board of Directors may be called by the Chairman of the Board of Directors, the President, or by a majority of the Directors for the time being in office and shall be called by the Secretary on the written request of two (2) Directors. Notice of each special meeting of the Board of Directors shall be given to each Director at least ten (10) days before the date of the meeting. 4.5 NOTICE AND WAIVER OF NOTICE Attendance of a Director at any meeting shall constitute a waiver of notice of such meeting, except where a Director attends for the express purpose of objection to the transaction of any business on the ground that the meeting is not lawfully called or convened. Except as may be otherwise provided by law or by the Articles of Incorporation or by these By-Laws, neither the business to be transacted at, nor the purpose of any regular or special meeting of the Board of Directors, need be specified in the notice or waiver of notice of such meeting. 4.6 QUORUM OF DIRECTORS At all meetings of the Board of Directors a majority of the Directors shall constitute a quorum for the transaction of business and the act of a majority of the Directors present at any meeting at which there is a quorum shall be the act of the Board of Directors. If a quorum shall not be present at any meeting of Directors, the Directors present thereat may adjourn the meeting from time to time, without notice other than announcement at the meeting, until a quorum shall be present. 4.7 ACTION WITHOUT MEETINGS Any action required or permitted to be taken at a meeting of the Board of Directors or any committee may be taken without a meeting or by means of conference telephone if a consent in writing, setting forth the action so taken, is signed by all the members of the Board of Directors or committee, as the case may be. 4.8 COMMITTEES The Board of Directors may from time to time designate members of the Board to constitute committees, including an Executive Committee, which shall in each case consist of such number of Directors, not less than two, and shall have and may exercise such power, as the Board may determine and specify in the respective resolutions appointing them. A majority of all the members of any such committee may determine its action and fix |
| the time and place of its meeting, unless the Board of Directors shall otherwise provide. The Board of Directors shall have power at any time to change the number, subject as aforesaid, and members of any such committee, to fill vacancies and to discharge any such committee. 4.9 ORDER OF BUSINESS At meetings of the Board of Directors, business shall be transacted in such order as from time to time the Board may determine. At meetings of the Board of Directors, the Chairman of the Board, if any, shall preside. In the absence of the Chairman of the Board, the President shall preside and in the absence of the President, a chairman shall be chosen by the Board from among the Directors present. The Secretary of the Corporation shall act as secretary of the meetings of the Board of Directors, but in the absence of the Secretary, the presiding officer may appoint any person to act as secretary of the meeting. 4.10 COMPENSATION Directors, as such, shall not receive any stated salary for their service, but by resolution of the Board, a fixed sum and expenses of attendance, if any, may be allowed for attendance at each annual, regular or special meeting of the Board; provided, that nothing contained herein shall be construed to preclude any director from serving the corporation in any other capacity and receiving compensation therefor. ARTICLE V - OFFICERS 5.1 ELECTION, NUMBER, QUALIFICATION, TERM, COMPENSATION The officers of the Corporation shall be elected by the Board of Directors at the annual meeting of the Board of Directors provided for in Article IV, 4.2. The officers shall consist of a President, a Vice-President, a Secretary and a Treasurer. The Board of Directors may also elect a Chairman of the Board, additional Vice-Presidents, one or more Assistant Secretaries and Assistant Treasurers and such other officers and assistant officers and agents as it shall deem necessary, who shall hold their offices for such terms and shall have such authority and exercise such powers and perform such duties as shall be determined from time to time by the Board by resolution not inconsistent with these By-Laws. Two or more offices may be held by the same person, except that of the offices of President and Secretary may not be held by the same person. None of the officers need be Directors. The Board of Directors shall have the power to enter into contracts for the employment and |
| compensation of off ice rs for such terms as the Board deems advisable. The salaries of all officers and agents of the Corporation shall be fixed by the Board of Directors. 5.2 REMOVAL The officers of the Corporation shall hold office until their successors are elected or appointed and qualify, or until their death or until their resignation or removal from office. Any officer elected or appointed by the Board of Directors may be removed at any time by the Board whenever in its judgment the best interests of the Corporation will be served thereby. Such removal shall be without prejudice to the contract rights, if any, of the person so removed. Election or appointment of an officer shall not of itself create contract rights. 5.3 VACANCIES Any vacancy occurring in any office of the Corporation by death, resignation, removal or otherwise shall be filled by the Board of Directors. 5.4 AUTHORITY Officers and agents shall have such authority and perform such duties in the management of the Corporation as may be provided in these By-Laws or as may be determined by the Board of Directors, not inconsistent with these By-Laws. 5.5 CHAIRMAN OF THE BOARD The Chairman of the Board, if one is elected, shall preside at all meetings of the Board of Directors and shall have such other powers and duties as may from time to time be prescribed by the Board of Directors upon written directions given to him pursuant to resolution duly adopted by the Board of Directors. 5.6 PRESIDENT The President shall be the chief executive officer of the Corporation, shall have general and active management of the business and affairs of the Corporation and shall see that all orders and resolutions of the Board of Directors are carried into effect. He shall preside at all meetings of the shareholders and at all meetings of the Board of Directors, unless a Chairman of the Board has been elected, in which event the President shall preside at meetings of the Board of Directors in the absence or disability of the Chairman of the Board. He or any vice-president shall execute bonds, mortgages and other instruments requiring a seal, in the name of the |
| Corporation, and, when authorized by the Board, he or any vice president may affix the seal to any instrument requiring same, and the seal when so affixed shall be attested by the signature of either the Secretary or an Assistant Secretary. He or any vice-president shall sign certificates of stock. He shall submit a report of the operations of the corporation for the year to the Directors at their meeting next preceding the annual meeting of the shareholders and to the shareholders at their annual meeting. 5.7 VICE-PRESIDENT The Vice-Presidents, in the order of their seniority, unless otherwise determined by the Board of Directors, shall, in the absence or disability of the President, perform the duties and have the authority and exercise the powers of the President. They shal 1 perform such other duties and have such other authority and powers as the Board of Directors may from time to time prescribe or as the President may from time to time delegate. 5.8 SECRETARY The Secretary shall attend all meetings of the Board of Directors and all meetings of shareholders and record all of the proceedings of the meetings of the Board of Directors and of the shareholders in a minute book to be kept for that purpose and shall perform like duties for the standing committees when required. He shall give, or cause to be given, notice of all meetings of the shareholders and special meetings of the Board of Directors, and shall perform such other duties as may be prescribed by the Board of Directors or President, under whose supervision he shall be. He shall keep in safe custody the seal of the Corporation and, when authorized by the Board of Directors, shall affix the same to any instrument requiring it and, when so affixed, it shall be attested by his signature or by the signature of Assistant Secretary. In the absence of the Secretary or an Assistant Secretary, the minutes of all meetings of the Board and shareholders shall be recorded by such person as shall be designated by the President or by the Board of Directors. 5.9 TREASURER (a) The Treasurer shall have custody of the corporate funds and securities and shall keep full and accurate accounts and records of receipts, disbursements and other transactions in books belonging to the Corporation, and shall deposit all moneys and other valuable effects in the name and to the credit of the Corporation in such depositories as may be designated by the Board of Directors. |
| (b) The Treasurer shall disburse the funds of the Corporation as may be ordered by the Board of Directors, taking proper vouchers for such disbursements, and shall render the President and the Board of Directors, at its regular meetings, or when the President or Board of Directors so requires, an account of all his transactions as Treasurer and of the financial condition of the Corporation. (c) If required by the Board of Directors, the Treasurer shall give the Corporation a bond of such type, character and amount as the Board of Directors may require. 5.10 ASSISTANT SECRETARY AND ASSISTANT TREASURER In the absence of the Secretary or Treasurer, an Assistant Secretary or Assistant Treasurer, respectively shall perform the duties of the Secretary or Treasurer. Assistant Treasurers may be required to give bond as in 5. 9 (c). The Assistant Secretaries and Assistant Treasurers, in general shall have such powers and perform such duties as the Treasurer or Secretary, respectively, or the Board of Directors or President may prescribe. ARTICLE VI - CERTIFICATES REPRESENTING SHARES 6.1 CERTIFICATES The shares of the Corporation shall be represented by certificates signed by the President or a Vice-President and the Secretary or an Assistant Secretary of the Corporation, and shall be sealed with the seal of the Corporation or a facsimile thereof. The signatures of the President or Vice-President and the Secretary or Assistant Secretary upon a certificate may be facsimiles if the certificate is countersigned by a transfer agent, or registered by a registrar, other than the Corporation itself or an employee of the Corporation. The certificates shall be consecutively numbered and shall be entered in the books of the Corporation as they are issued. Each certificate shall state on the face thereof the holder's name and the number of shares. Certificates shall be in such form as shall, in conformity to law, be prescribed from time to time by the Board of Directors. The Corporation may appoint from time to time transfer agents and registrars, who shall perform their duties under the supervision of the Secretary. 6.2 PAYMENT, ISSUANCE Shares may be issued for such consideration, not less than the par value thereof, as may be fixed from time to time by the Board of Directors. The consideration for the payment of shares shall consist of money paid, labor done or property actually |
| received. Shares may not be issued until the full amount of the consideration fixed therefor has been paid. 6.3 LOST, STOLEN OR DESTROYED CERTIFICATES. The Board of Directors may direct a new certificate to be issued in place of any certificate theretofore issued by the Corporation alleged to have been lost, stolen or destroyed upon the making of an affidavit of that fact by the person claiming the certificate to be lost, stolen or destroyed. When authorizing such issue of a new certificate, the Board of Directors may, in its discretion and as a condition precedent to the issuance thereof, prescribe such terms and conditions as it deems expedient and may require such indemnities as it deems adequate to protect the Corporation from any claim that may be made against it with respect to any such certificate alleged to have been lost or destroyed. 6.4 REGISTRATION OF TRANSFER Shares of stock shall be transferable only on the books of the Corporation by the holder thereof in person or by his duly authorized attorney. Upon surrender to the Corporation or the Transfer Agent of the Corporation of a certificate for shares duly endorsed or accompanied by proper evidence of succession, assignment or authority to transfer, a new certificate shall be issued to the person entitled thereto and the old certificate cancelled and the transaction recorded upon the books of the Corporation. 6.5 REGISTERED SHAREHOLDERS The Corporation shall be entitled to recognize the exclusive right of a person registered on its books as the owner of shares to receive dividends, and to vote as such owner, and shall not be bound to recognize any equitable or other claim to or interest in such share or shares on the part of any other person, whether or not it shall have express or other notice thereof, except as otherwise provided by the laws of the State of Texas. ARTICLE VII - DIVIDENDS 7.1 DECLARATION AND PAYMENT Subject to the Laws of the State of Texas and the Certificate of Incorporation, dividends may be declared by the Board of Directors, in its discretion, at any regular or special meeting, pursuant to law and may be paid in cash, in property or in the Corporation's own shares. |
| 7.2 RESERVES Before payment of any dividend, there may be set aside out of any funds of the Corporation available for dividends such sum or sums as the Directors from time to time, in their absolute discretion, think proper as a reserve fund for meeting contingencies, or for equalizing dividends, or for repairing or maintaining any property of the Corporation, or for such other purpose as the Directors shall think conducive to the interest of the Corporation, and the Directors may modify or abolish any such reserve in the manner in which it was created. ARTICLE VIII - INDEMNIFICATION OF OFFICERS, DIRECTORS AND EMPLOYEES 8.1 INDEMNIFICATION The Corporation shall indemnify any Director or officer or former Director or officer of the Corporation, or any person who may have served at its request as a director or officer or former Director or officer of another corporation in which it owns shares of capital stock or of which it is a creditor, against expenses actually and necessarily incurred by him in connection with the defense of any action, suit, or proceeding, whether civil or criminal, in which he is made a party by reason of being or having been such Director or officer, except in relation to matters as to which he shall be adjudged in such action, suit or proceeding to be liable for negligence or misconduct in performance of duty. The Corporation shall also reimburse any such Director or officer or former Director or officer or any such person serving or formerly serving in the capacities set forth in the first sentence above at the request of the Corporation for the reasonable cost of settlement of any such action, suit or preceding, if it shall be found by a majority of the Directors not involved in the matter in controversy, whether or not a quorum, that it was in the best interest of the Corporation that such settlement be made, and that such Director or officer or former Director or officer or such person was not guilty of negligence or misconduct in performance of duty. 8.2 INSURANCE The Corporation may purchase and maintain insurance on behalf of any person who is or was a Director, officer, employee or agent of the Corporation or is or was serving at the request of the Corporation as a director, officer, employee or agent of another corporation, partnership, joint venture, trust or other enterprise against any liability asserted against him and incurred by him in any such capacity or arising out of his status as such, whether or not the Corporation would have the |
| power to indemnify him against such liability under these By-Laws or the laws of the State of Texas. 8.3 ADVANCED EXPENSES The Corporation may pay in advance any expenses which may become subject to indemnification if the Board of Directors authorizes the specific payment, and the person receiving the payment undertakes in writing to repay unless it is ultimately determined that he is entitled to indemnification by the Corporation. 8.4 OTHER PROTECTION AND INDEMNIFICATION The protection and indemnification provided hereunder shall not be deemed exclusive of any other rights to which such Director or officer or former Director or officer or such person may be entitled, under any agreement, insurance policy or vote of shareholders, or otherwise. ARTICLE IX - MISCELLANEOUS PROVISIONS 9.1 FISCAL YEAR The fiscal year of the Corporation shall be fixed by resolution of the Board of Directors. 9.2 SEAL The corporate seal shall be circular in form and shall contain the name of the Corporation, and the word "TEXAS" encircling an image of the Lone Star. The seal may be used by causing it or a facsimile to be impressed or affixed or in any other manner reproduced. The corporate seal may be altered by order of the Board of Directors at any time. 9.3 MINUTES The Corporation shall keep correct and complete books and records of account and shall keep minutes of the proceedings of its shareholders and Board of Directors, and shall keep at its registered office or principal place of business, or at the office of its transfer agent or registrar, a record of its shareholders, giving the names and addresses of all shareholders and the number and class of the shares held by each. |
| 9.4 RESIGNATIONS Any director or officer may resign at any time. Such resignations shall be made in writing and shall take effect at the time specified therein, or if no time is specified at the time of its receipt by the Chairman of the Board, if any, the President or Secretary. The acceptance of a resignation shall not be necessary to make it effective, unless expressly so provided in the resignation. 9.5 AMENDMENT These By-Laws may be altered, amended or repealed and new By-Laws may be adopted by the Board of Directors, subject to repeal or change by action of the shareholders, at any meeting of the Board of Directors at which a quorum is present, provided notice of the proposed alteration, amendment, or repeal is contained in the notice of the meeting. 9.6 NOTICE Any notice to Directors or shareholders shall be in writing and shal 1 be delivered personally or mailed to the Directors or shareholders at their respective addresses appearing on the books of the Corporation. Notice by mail shall be deemed to be given at the time when the same shall be deposited in the United States mail, postage prepaid. Notice to Directors may also be given by telegram. Whenever any notice is required to be given under the provisions of applicable statutes or of the Articles of Incorporation or of these By-Laws, a waiver thereof in writing signed by the person or persons entitled to such notice, whether before or after the time stated therein, shall be deemed equivalent to the giving of such notice. L89KB395 |
| '•'\,'\, BY-LAWS OF ENSCO INCORPORATED ARTICLE I - OFFICES 1.1 REGISTER~~ OFFICE OF AGENT The registered o~f ice of the corporation shall be maintained at 1201 Dairy Ashford'~ Suite 200, Houston, Texas, and the registered agent shall be the ~orporate Secretary, in the State of Texas. The registered offic~,., or the registered agent, or both, may be changed by resolution a+ the Board of Directors, upon filing the statement required by la~ 1. 2 PRINCIPAL OFFICE ',,'\.,__ ¾"\.' ,, The principal Dairy Ashford, office of the Co~Roration suite 200, Houston\ Texas. ·,\, ' 1.3 OTHER OFFICES 1 be located at 1201 The Corporation may also have off ices \~t such other places both within and without the State of Texas ~ the Board of Directors may from time to time determine or\·, the business of the . . \ Corporation may require. \ \\'·,, ARTICLE II - MEETINGS OF SHAREHO\DERS ~ 2.1 ANNUAL MEETING The annual meeting of shareholders for the f Directors and such other business as may properly be brought before the meeting shall be held at such place within or without the State of Texas and at such date and time as shall be designat d by the Board of Directors and stated in the notice of the meeti or in a duly executed waiver of notice thereof. 2.2 FAILURE TO HOLD ANNUAL MEETINGS Failure to hold annual meeting shall not work a dissolution the Corporation. If the annual meeting is not held within an thirteen (13) month period, any court of competent jurisdiction in the county in which the principal office of the Corporation is located may, on the application of any shareholder, summarily order a meeting to be held. |
Exhibit 3.88
| {114r ,f afr of {Urxas SECRETARY OF STATE CERTIFICATE OF INCORPORATION OF ENSCO, INC. CHARTER NO. 1061620 ,. The undersigned, as Secretary of State of the State of Texas, hereby certifies that Artic1es of Incorporation for the above corporation duly signed and verified pursuant to the provisions of the Texas Business Corpo,ation Act, have been received in this Office and are found to conform to law. ACCORDINGLY the undersigned, as such Secretary of State, and by virtue of the authority vested in the Secretary by law, hereby issues .this Certificate of Incorporation and attaches hereto a copy of the Articles of Incorporation. Dated Sept. 14 1 ti 8 7 ------------ ·· ;, ------· Secretary of._ ams |
Exhibit 3.89
| I. Statuten der Ensco Intercontinental GmbH (Ensco Intercontinental LLC Grundlage Art, 1: Firma, Sitz Unter der Finna Ensco Intercontinental GmbH (Ensco Intercontinental LLC) besteht eine Gesellschaft mil beschrankter Haftung gemass A1t. 772 ff. OR mil Sitz in Steinhausen. Die Dauer der Gesellschaft ist unbeschrtinkt. Art. 2: Zwcck Zweck der Gesellschaft isl der Erwerb und/oder der Betrieb von mobilcn Offshore Bohrtiirmen und dazugehOrigem Equipment, Material und Nachschub filr die Erbringung von 01- und Gasbohrarbeiten. Die Gcsellschaft kann als Mitglied der Ensco Gruppe in deren [nteresse hancleln und insbesondere anderen Gruppengesellschaften Garantien und andere Finanzierungen gewiih reu oder Sicherheiten bestellen. Die Gesell schaft kann Zweigniederlassungen und Toch tergesellschaften im In- und Ausland errichten und sich an anderen Untemehmen im In- und Ausland beteiligen. Die Gesellschaft kann Grundstucke erwerben, halten und vertiussern. Die Gesellschaft kann alle kommerziellen, finanziellen und anderen Tiitigkeiten ausUben, welche mit dem Zweck der Gesellschaft im Zusammenhang stehen. II. Kapital Art. 3: Stammkapital Das Stammkapital der Gesellschaft betriigt CHF 20'000.-- und isl eingcteilt in 200 Stammantcilc mit einem Nennwert van je CHF JOO.--. Die Stammanteile sind vollstiin dig liberie,t. I. Articles of Incorporation of Ensco Intercontinental GmbH (Ensco Intercontinental LLC) General Provisions Art. 1: Comuany name, Legal seat Under the company name Ensco Intercontinental GmbH (Ensco Intercontinental LLC) a limited liability company ("Company") exists pursuant to Atiicles 772 et seq. of the Swiss Code of Obligations ("CO") having its registered office in Steinhausen. The duration of the Company is perpetual. Art, 2: Purpose The purpose of the Company is to own and/or operate mobile offshore drilling rigs and associated equipment, materials and supplies for the performance of oil and gas well drilling services. The Company may act as part and in the interest of the Ensco Group and in patticular grant guarantees or provide all kind of securities and finance activities to other group companies. The Company may open branch offices and subsidiaries in Switzerland and abroad. It may also acquire pmticipations in other companies in Switzerland and abroad. The Company may acquire, hold, and dispose of real estate. The Company may also engage in any commercial, financial or other activities which are related to the purpose of the Company. II. Capital Art. 3: Stated capital The stated capital of the Company amounts to CHF 20,000.-- and is divided into 200 company shares with a par value of CHF I 00.-- each. The stated capital is folly paid-in. |
| Art, 4: Stammantcilc Ober die Stammanteile konnen den Gesell schaftern durch die Geschaftsflihrer Beweis urkunden ausgestellt werden. Art. 5: Anteilbucl1, Vinkulierung Die Geschiiftsfilhrer filhren im Auftrag der Gesellschaft ein Anteilbuch, in welches die Gesellschafter, Nutzniesser und Pfandgliiubi ger mit Namen und Adresse und Anzahl, Nennwert und Kategorie der Anteile eingetra gen werden. Die Abtretung van Stamrnantcilcn sowic die Verpflichtung zur Abtretung bedUrfen der schriftlichen Form und sind gegenilber der Gesellschaft nur gilltig, sofern eine solche Abtretung der Gesellschaft gemeldet und im Anteilsbuch eingetragen wurde. Die Abh·etung van Stammanteilen bedarf der Zustimmung der Gesellschafterversammlung. Die Zustim mung kann ohne Angabe von Griinden ver~ weigert werden. Werden Stammanteile <lurch Erbgang, Erbtei lung) eheliches GUterrecht oder Zwangsvoll streckung erworben, so gehen alle Rechte und Pf1ichten, die damit verbunden sind, ohne Zustimmung der Gesellschafterversammlung auf die erwerbende Person Uber. Fiir die Aus ilbung des Stimmrechts und der damit zusam menhiingenden Rechte bedarf die erwerbende Person jedoch der Anerkennung der Gesell schafterversammlung als stimrnberechtigter Gesellschafter. Die Gesellschafterversamm lung kann ihr die Anerkennung nur verwei gern, wenn ihr die Gesellschaft die Obemah me der Stammanteile zum wirklichen Weit im Zeitpunkt des Gcsuchcs anbietet. Das Angebot kann auf eigene Rechmmg oder auf Rechnung anderer Gesellschafter oder Driller e1folgen. Lehnt die crwerbende Person das Angebot nicht innerhalb eines Monats nach Kenntnis des wirklichen Werts ab, so gilt es als ange nommen. Lehnt die Gcsellschafterversmnm lung das Gesuch um Anerkennung nicht in nerhalb von sechs Monaten ab Eingang ab, so gilt die Anerkennung als erteilt. Art. 4: Companv shares The Members may obtain evidentimy documents of their company shares, issued by the Managing Officers. Art. 5: Company share register, As~ signment The Managing Officers shall maintain on behalf of the Company a company share register in which the names and addresses and the number, par value and category of shares of the Members, as well as the names and addresses of the usufructuaries and pledgees shall be entered. The assignment of company shares as well as the obligation to assign shall be in written form, and shall only be valid vis-a-vis the Company if such assignment has been communicated to the Company and has been registered in the company share register. The assignment of company shares requires the approval of the Members' Meeting. The approval may be denied without the indication of reasons. lf the company shares are acquired by succession, division of the estate, marital prope1ty law, or debt enforcement, all rights and duties attached thereto pass to the acquirer without approval of the Members' Meeting, To exercise the voting right and rights at1ached thereto, the acquiring person needs to be recognized by the Members' Meeting with voting rights. The Members' Meeting may only deny recognition to the acquiring person, if the Company offers to acquire the company shares at their fair value at the time of the request. The offer may be made for the Company's own account or for the account of other Members or third patties. If the acquiring person does not decline the offer within one month after having knowledge of the real value, the offer is deemed to be accepted. If the Members' Meeting does not decline the application for recognition within six months, recognition is deemed to be accepted. |
| III. Organisation A. Gese/lschafterversam111lung Al'!. 6: Befugnisse Oberstes Organ der Gesellschaft ist die Ge sellschafterversammlung. ihr stehen folgende uniibertragbare Befognisse zu: 1. die Andenmg de,· Statuten; 2. die Bestellung und Abberufung von Ge schaftsfiihrern; 3. die Bestellung und Abberufung der Mit glieder der Revisionsstelle; 4. die Genehmigung des Jahresberiehtes und dcr Jahresrcchnung sowie die Beschlussw fassung Uber die Verwendung des Bilanz gewinnes, insbesondere die Festsetzung der Dividende; 5. die Festsetzung der Entschiidigung der Geschiiftsfiihrer; 6. die Entlastung der Geschiiftsfuhrer; 7. die Zustimmung zur Abtretung von Stammanteilen beziehungsweise die An erkennung als stimmberechtigter Gesell schafter; 8. die Ermachtigung der Geschaftsfilhrer zum Erwerb eigener Stammanteile <lurch die Gesellschaft oder die Genehmigung eines solchen Erwerbs; 9. die Beschlussfassung iibcr den Antrag an das Gericht, einen Gesellschafter aus wichtigem Grund auszuschliessen; I 0. die Auflosung der Gesellschaft; 11. die Genehmigung der unten in A1tikel 14 Abs. 2 genannten Entscheide der Ge schiiftsfuhrer. 12. die Beschlussfassung Uber die Gegenstiin de, die der Gesellschafterversammlung durch das Gesetz oder die Stahiten vorbe halten sind oder ihr durch die Geschafts fiihrer vorlegt wird. Art. 7: Versammlung Die ordentliche Gesellschafterversammlung findet jedes Jahr innerhalb von sechs Monaten nach Abschluss des Geschaftsjahres statt. III. A. Organization Members' 1vfeeting Art. 6: Powel's The Members' Meeting is the supreme body of the Company. It has the following inalienable powers: I. to amend the A1ticles of Incorporation 2. to appoint and remove the Managing Officers; 3. to appoint and remove the Auditor; 4. to approve the annual repo1t and the annual accounts as well as to pass resolutions regarding the allocation of profits as shown on the balance sheet, in particular to determine the dividends; 5. to determine the remuneration of the Managing Officers; 6. to release the Managing Officers; 7. to approve the assignment of company shares or to recognize a Member as one with voting rights; 8. to authorize the Managing Officers to acquire treasury company shares on behalf of the Company or to approve such an acquisition; 9, to pass resolutions regarding whether the comt should be requested to expel a Member for valid reasons; 10. to dissolve the Company; I 1. to approve the decisions of the Managing Officers as contemplated under Article 14 para. 2 below. 12. to pass resolutions regarding issues which are reserved to the Members' Meeting by law, or by the A11icles of Incorporation, or which are presented by the Managing Officers. Art. 7: Meetings The ordinaiy Members' Meeting shall be held annually within six months after the close of the business year. |
| Ausserordentliche Gesellschafterversarnmlun gen werden einberufen) sooft es notwendig ist, insbesondere in den vom Gesetz vorgesehenen Fallen. Zu ausserordentlichen Gesellschafterver sammlungen hat die Geschaftsftihrung inner halb von 20 Tagen einzuladen, wenn Gesell schafter, die mindestens zehn Prozent des Stammkapitals ve1treten, schriftlich und unter Angabe der Verhandlungsgegenstande und der Antriige eine Einberufung verlangen. Art. 8: Einberufung, Universalversamm lung Die Gesellschafterversammlung wird durch die Geschiiftsfiihrer, notigenfalls durch die Revisi onsstclle einberufen. Das Einberufungsrecht steht auch den Liquidatoren zu. Die Gesell schafterversamrnlung wird schriftlich oder per E-Mail an die Gesellschafter und Nutzniesser einberufen, und zwar mindestens 20 Tage var dem Vcrsammlungstag. In der Einbernfung sind neben Tag1 Zeit und Ort der Versamm lung die Verhandlungsgegensliinde sowie die Antriige der Geschiiftsfiihrer und der Gesell schafter bekanntzugeben, welche die Durch t1ihrung einer Gesellschafterversmnmlung oder die Traktandierung eines Verhandlungs gegenstandes verlangt haben. Ober Gegenstande, die nicht in dieser Weise angektindigt warden sind, kOnnen unter dem Vorbehalt der Bestimmungen iiber die Univcr salversammlung keine BeschHisse gefasst wer den, ausser iiber einen Antrag auf Einberufimg einer ausserordentlichen Gesellschafterver sammlung. Dagegen bedarf es zur Stellung von Antriigen im Rahmen der Verhandlungsge genstande und zu Verhandlungen ohne Be schlussfassung keiner vorherigen AnkGndi gung. Beschllisse konnen auch schriftlich gefasst werden, sofern nicht ein Gesellschafter mtind liche Beratung verlangt. Die Gesellschafter, Nutzniesser oder Ve11reter siimtlicher Stammanteile kOnnen, falls kein Widerspruch erhoben wird, eine Gesellschaf tcrversammlung ohne Einhaltung der fiir die Einberufung vorgeschriebenen F01mvorschrif ten abhalten (Universalversammlung). Solange die Gesellschafter oder Ve11reter sllmtlicher Stammanteile anwesend sind, kann in dieser Extrnordinmy Members' Meetings shall be called as often as necessary, in particular, in all cases required by law. Extraordinmy Members' Meetings shall be convened by the Managing Officers within 20 days if Members representing at least ten percent of the stated capital request such meeting in writing, setting fo11h the items to be discussed and the proposals to be decided upon. Art. 8: Convening, Universal Meeting Members' Meetings shall be convened by the Managing Officers and, if need be, by the Auditor. The liquidators are also entitled to convene a Members' Meeting. The convening of the Members' Meeting shall take place in writing or by email to the Members and usufructuaries at least 20 days prior to the day of the meeting. The convening letter shall state the day, time and place of the meeting, the agenda, the proposals of the Managing Officers and the proposals of the Members who have requested the Members' Meeting or that an item be included on the agenda. Subject to the prov1s1ons set forth below concerning the Universal Members' Meeting, no resolutions can be passed regarding matters which have not been announced in this manner, except regarding the proposals of Members to convene an extraordinary Members, Meeting. Proposals regarding items on the agenda and discussions not followed by resolutions do not need to be announced in advance. Resolutions may also be passed in writing unless a Member requests an oral discussion. The Members, usufructuaries or representatives of all the company shares may, if no objection is raised, hold a Members' Meeting without obse1ving the formal requirements for the convening of the Membersi Meeting ("Universal Members, Meeting"). As long as the Members or representatives of all the company shares are |
| I. Versammlung Uber alle in den Geschaftskreis der Gesellschafterversammlung lallenden Ge genstande verhandelt und gtiltig Beschluss gefasst werden. Spatestens 20 Tage vor der ordentlichen Ge sellschaftervcrsammlung sind der Geschaftsbe richt und der Revisionsbericht am Sitz der Gesellschaft zur Einsicht der Gesellschafter aufzulegen. In der Einbemfung zur Gesell schafterversammlung ist auf diese Auflegung und auf <las Recht der Gesellschafter hinzu weisen, die Zustellung dieser Unterlagen ver langen zu kOnnen. Art. 9: Vorsitz, Protokolle Den Vorsitz der Gesellschafterversammlung filhrt der V orsitzcndc dcr Gcschaftsfiihrung, bei <lessen Verhindenmg ein anderes Mitglied der Geschaftsfi\hrung oder ein anderer von der Gesellschafterversammlung gewtihlter Tages prasident. Der Vorsitzende bezeichnet den Protokollfilh rer und die Stimmenzahler, die nicht Gesell schafter sein miissen, Die Geschaftsftlhnmg sorgt fiir die Ftihrung der Protokolle, die vom Vorsitzenden und vom Protokollfuhrer zu unterzeichnen sind. Art. 10: Bcschlussfassung Jeder Stammanteil berechtigt zu einer Stirn.me. Jeder Gesellschafter kann sich in der Gesell schafterversamrnlung <lurch einen Dritten, der sich <lurch cine schriftliche Vollmacht aus weist und nicht Gesellschafter zu sein braucht, ve11reten !assen. Die Gesellschaften•ersammlung fasst ihre Beschliisse und vollzieht ihre \Vahlen mit der absoluten Mehrheit der vertretenen Stamman teilstimmen, soweit nicht das Gesetz oder die Statuten abweichende Bestimmungen ent halten. Komm! bei Wahlen im ersten Wahlgang die Wahl nicht zustande, findet ein zweiter Wahl gang statt, in dem das relative Mehr entschei det. Der Vorsitzende hat keinen Stichentscheid. Die Wahlen und Abstimmungen finden offen present, all subjects falling within the scope of business of the Members' Meeting may be validly discussed and decided upon at such meeting. The annual business report and the Auditor 1 s repmt must be submitted for examination by the Members at the registered office of the Company at least 20 days prior to the date of the ordinary Members' Meeting. Reference to such submission and to the Members' right to request the delivery of these documents to them shall be included in the invitation to the Members' Meeting. Art. 9: Chair, Minutes The Members' Meeting shall be chaired by the Chairman of the Managing Officers, or, in his absence, by another Managing Officer, or by another Chairman elected for that day by the Members' Meeting. The Chairman designates a Secretaiy for the minutes as well as the scrutineers who need not be Members. The Managing Officers are responsible for the keeping of the minutes, which are to be signed by the Chairman and by the Secretary. Art. 10: Resolutions Each company share entitles to one vote. Each Member may be represented at the Members' Meeting by a third party who need not be a Member and who is authorized by a written power of attorney. The Members' Meeting shall pass its resolutions and carry out its elections with an absolute majority of the company share votes represented, to the extent that neither the law nor the A1ticles of Incorporation provide otherwise. If an election cannot be completed upon the first ballot, there shall be a second ballot at which the relative majority shall decide. The Chairman shall have no casting vote. Elections and votes shall take place openly |
| statt1 sofern nicht der Vorsitzende oder einer der Gesel lschafter verlang1, dass sie geheim erfolgen. Art. 11: Quoren Ein Beschluss der Gesellschafterversamm lung, der mindestens zwei Drittel der ve11rete nen Stimmen und die absolute Mehrheit des gesamten Stammkapitals auf sich vereinig1, mit dem ein ausiibbares Stimmrecht verbun den ist, ist erforderlich fiir: I. die Andenmg des Gesellschaftszweckes; 2. die Einfiihrung van stimmrechtsprivile gierten Stammanteilen; 3. die Erschwenmg, den Ausschluss oder die Erleichtenmg der Obertragbarkeit der Stammanteile; 4. die Zustimmung zur Abtretung von Stammanteilen beziehungsweise die An erkennung als stimmberechtigter Gesell schafter; 5. die Erhohung des Stammkapitals; 6. die Einschriinkung oder Aufhebung des Bezugsrechts; 7. den Antrag an das Gericht, einen Gesell schafter aus wichtigem Grund auszu schliessen; 8. die Verlegung des Sitzes der Gesellschaft; 9. die Auflosung der Gesellschaft; I 0. die Genehmigung der unten in Art. 14 Abs. 2 genannten Entscheide der Ge schliftsfiihrer. B. Geschiiftsfiihnmg Art. 12: Wahl, Konstituierung Die GeschHftsftihrung besteht aus einem oder mehreren Mitglicdern (Geschiiftsftihrer). Sie werden in der Regel in der ordentlichen Ge sellschafterversammlung und jeweils fiir die Dauer von einem Jahr gewahlt. Die Amtsdauer der Geschiiftsftihrer endet mit dem Tag der nlichsten ordentlichen Gesellschafterversamm lung. Vorbehalten bleiben vorheriger RUcktritt und Abberufung. Neue Geschiiftsftihrer treten in die Amtsdauer de1jenigen ein 1 die sie erset zen. Die Geschiiftsfiihrer sind jederzeit wieder wiihlbar. Die Geschaftsftihnmg konstituiert sich selbst. Sie bezeichnet iluen Vorsitzenden, der ein provided that neither the Chairman nor one of the Members requests a secret ballot. Art, 11: Quorums A resolution of the Members' Meeting passed by at least two thirds of the represented company share votes and the absolute majority of the entire stated capital to which the right to vote is attached is required: I. to modify the company purpose; 2. to create company shares with privileged voting rights; 3. to restrict, exclude or facilitate the transferability of company shares~ 4. to approve an assignment of company shares or to recognize the acquirer as a Member with voting rights; 5. to increase the stated capital; 6. to restrict or withdraw preemptive rights; 7. to motion the court to expel a Member for valid reasons; 8. to transfer the Company domicile; 9. to dissolve the Company; I 0. to approve the decisions of the Managing Officers as contemplated under Article 14 para. 2 below. B. lvlanagement Art. 12: Election, Organization The Comprmy is managed by one or more managing officers ("Managing Officersa), The Managing Officers shall, as a rule, be elected by the ordinary Members' Meeting in each case for a term of office of one year. The term of office of a Managing Officer shall, subject to prior resignation and removal, expire upon the day of the next ordinary Members' Meeting. Newly-appointed Managing Officers shall complete the term of office of their predecessors. The Managing Officers may be re-elected without limitation. The Managing Officers shall constitute themselves. They appoint their Chairman /·1v '1· - |
| Arbeitnehmer der Gesellschafterin oder einer nahe stehenden Person sein muss, und den Sekretlir, der nicht Geschliftsftlhrer sein muss. Art, 13: Oberleitung, Delegation Der Geschliftsftihrung obliegt die oberste Lei• tung der Gesellschaft und die Uberwachung der Geschiiftsftlhrung. Sie ve,tritt die Gesell schaft nach aussen und besorgt alle Angele genheiten, die nicht nach Gesetz, Statl1ten oder Reglement einem anderen Organ der Gesell schaft tibertragen sind. Die Geschaftsftilmmg kann die Geschaftsfiih· rung oder einzelne Teile derselben sowie die Vertretung der Gese\lschaft an eine oder meh rere Personen, Geschfiftsftihrer oder Dritte, die nicht Gesellschafter sein mllssen, Ube1iragen. Sie erlasst <las Organisationsreglement und ordnet die entsprechenden Ve11ragsverhliltnis~ se. Art, 14: Aufgaben Die Geschliftsfiihnmg hat folgende unilber tragbare und unentziehbare Aufgaben: I. die Oberleitung der Gesellschaft und die Erteilung der notigen \Veisungen; 2. die Festlegung der Organisation im Rah men van Gesetz und Statuten; 3. die Ausgestalhlng des Rechnungswesens, der Finanzkontrolle sowie der Finanzpla nung, sofem diese ftlr die Filhrung der Ge sellschaft notwendig ist; 4. die Emennung und die Abberufung der mit der Geschiiftsftlhrung und der Ve,tre tung betrauten Personen und die Regelung der Zeichnungsberechtigung; 5. die Aufsicht Uber die Personen, denen Teile der Geschiiftsftihnmg iibe11ragen sind, namentlich im Hinblick auf die Be folgung der Gesetze, Statuten, Reglemente und Weisungen; 6. die Erstellung des Geschliftsberichtes (Jahresrcchnung und Jahresbericht gege benenfalls Konzernrechnung); 7. die Vorbereitung der Gesellschafterver sammlung und die Ausftihrung ihrer Be schlUsse; 8. die Benachrichtigung des Gerichts im Falle der Oberschuldung. who shall be an employee of the Member or an affiliate thereof and a Secretary who need not be a Managing Officer. Art. 13: Ultimate management, Delegation The Managing Officers are entrusted with the ultimate management of the Company as well as the supervision of the persons entrnsted with the management. They represent the Company towards third paities and attend to nil matters which are not delegated to or reserved for another corporate body of the Company by law, the Atticles of Incorporation or the regulations. The Managing Officers may entrust the management and the representation of the Company folly or in pai1 to one or several persons, Managing Officers or third parties who need not be Members of the Company. The Managing Officers shall enact the organizational regulation and arrange for the appropriate contracnial relationships. Art. 14: Duties The Managing Officers have the following non-transferable and inalienable duties: I. to manage the Company and issue the necessary directives; 2, to determine the organization within the framework of the law and the A,ticles of Incorporation; 3. to organize the accounting, the financial control, as well as the financial planning insofar as this is necessary to manage the Company; 4. to appoint and recall the persons entrnsted with the management and representation of the Company and to grant signatory power; 5. to ultimately supervise the persons entrusted with pmts of the management, in particular with respect to compliance with the law, Atticles of Incorporation, regulations and directives; 6. to prepare the business report (annual accounts, annual repott and consolidated annual accounts, if applicable); 7. to prepare the Members' Meeting as well as to implement the Members, resolutions; 8. to notify the cornt in case of overindebtedness. |
| Die Geschtiftsfiihrung muss nachfolgende Entscheide der Gesellschafterversammlung zur Genehmigung vorlegen: I. der Kauf und die Obe11ragung von Eigen tum an Bohrtilrmen; 2. das Chartem von Bohrtilrmen an oder von einer aussen stehenden Drittpartei; 3. die vertragliche Verpflichtung der Gesell schaft fiir die Erbringung von 01- oder Gasbohrarbeiten; 4. die vertragliche Verpflichtung dcr Gesell schaft bei der die Leistung der Gesell schaft an eine aussen stehende Drittpaitei den Weit von USD I Mio. Ubersteigt; 5. die Delegation der Geschtiftsfiihrung der Gescllschaft gemtiss A1t, 13 oben. Art, 15: Organisation, Protokollc Die Geschiiftsfiihnmg versammelt sich auf Einladung des Vorsitzenden. Sie ist auch un verziiglich einzuberufen auf Begehren eines einzelnen Geschiift,iflihrers unter Angabe des Grundes. Zur gtiltigen Beschlussfassung ist die Anwesenheit der Mehrheit der Geschafts filhrer notwendig, Flir Beschlilsse, die der offentlichen Beurkundung bedllrfen, ist keine Mindestpriisenz erforderlich, Beschllisse der Geschaftsfilhrung bedtirfen zu ihrer Gilltigkeit der Zustimmung der Mehrheit der Geschtiftsfilhrer. Bei Stimmengleichheit hat der Vorsitzende den Stichentscheid, Der Vorsitzende kann die Abhaltung ciner Sitzung der Geschaftsfiihrung Uber Telefon-, Videokonferenz oder andere ilhnliche audiovi suelle oder elektronischc Kommunikations mittel anordnen, sofem kein Mitglied die Ab haltung einer physischen Sitzung beantragt und vorausgesetzt, class die Mitglieder Uber Telefon, Video, Audiogcrate oder andere elektronische Mittel eindeutig identifiziert werden konnen. Im Obrigen gelten fiir Uber Telefon-, Videokonferenz oder andere tihnli che audiovisuelle oder elektronische Kommu nikationsmittel gefasste Beschlilsse dieselben Bestimmungen wie fiir an physischen Sitzun gen gefasste Besch!Usse. Beschl!lsse der Geschaftsfilhrung konnen auch auf dem Zirkularweg (z.B. mittels Brief, Fax The Managing Officers shall submit to the Members' Meeting for approval its decisions: 1. to acquire or transfer ownership interests in drilling rigs; 2. to chmter drilling rigs to or from any unaffiliated third party; 3. to commit the Company to any contracts for the performance of oil or gas well drilling services; 4. to commit the Company to any contracts valued in excess of USD I million with any unaffiliated third party; 5. to delegate the Company as A1ticle 13 above. management of the contemplated under Art. 15: Organization, Minutes The Chairman calls the meetings of the Managing Officers. Any Managing Officer may, stating the reasons, request the Chairman to immediately call a meeting. The majority of the Managing Officers must be present in order to pass resolutions. No minimal presence is necessary for resolutions requiring the fonn of a public deed. The resolutions of the Managing Officers are adopted by the majority of votes cast. In the event of equality of votes, the Chairman shall have the casting vote. The Chairman may order a meeting of the Managing Officers to be held by telephone or video conference or by any similar means of audio or audio-visual communication or via electronic devices. unless any Managing Officer requests deliberation in a meeting, and provided that the Managing Officers attending by telephone, video, audio or via electronic means may be clearly identified. Resolutions taken in a telephone or video conference or audio conference or via electronic devices follow the rules applicable to resolutions taken in a physical meeting. Resolutions may also be adopted by way of unanimous written consent (i.e. by letter, fax |
| oder elektronischer Obe,mittlung) gefasst wer den, sofern nicht ein Geschl.iftsfiihrer die mUndliche Beratung verlangt. Ober die Verhandlungen und Beschlilsse der GeschMtsftihrung ist ein Protokoll zu fuhren. Das Protokoll ist vom Vorsitzenden und vom Sekretar zu unterzeichnen. Art. 16: Vergiitung Die Geschaftsfuhrer haben Anspruch auf Er satz ihrer im Interesse der Gesellschaft aufge wendeten Auslagen sowie auf eine ihrer Ta tigkeit entsprechende Verglitung, die die Ge schtiftsftihrung selbst festlcgt. C. Revisionsstelle Art. 17: Revision Die Gesellschafterversammlung wiihlt eine Revisionsstelle. Sie kann auf die \Vahl einer Revisionsstelle verzichten, wenn: I. 2. 3. die Gesellschaft nicht zur ordentlichen Revision verpflichtet ist; siimtliche Gesellschafter zustimmen; und die Gesellschaft nicht mehr als zehn Vollzeitstellen im Jahresdurchschnitt hat. Der Verzicht gilt auch fiir die nachfolgenden Jahre. Jeder Gesellschafter hat jedoch das Recht, spiitestens 10 Tage var der Gesellschaf terversammlung die Durchftihrung einer einge schrlinkten Revision und die \Vahl einer ent sprechenden Revisionsstelle zu verlangen. Die Gesellschafterversammlung dmf diesfolls die Beschltisse nach Art. 6 Ziff. 4 oben erst fas sen, wenn der Revisionsbericht vorliegt. Art. 18: Anfordcrungcn an die Revisionsstelle Als Revisionsstelle kOnnen eine oder mehrere natiirliche oder juristische Personen oder Per sonengesellschaften gewahlt wcrden. Die Revisionsstelle muss iluen Wohnsitz, ihren Sitz oder eine eingetragene Zweignie derlassung in der Schweiz haben. Hat die Ge- or electronic transmission) in lieu of a meeting of the Managing Officers, unless a Managing Officer requests a discussion. Minutes shall be kept of the deliberations and resolutions of the Managing Officers. The minutes shall be signed by the Chairman and the Secretary. Art. 16: Compensation The Managing Officers are entitled to reimbursement of their expenses incurred in the interest of the Company and to compensation corresponding to their activities, as determined by the Managing Officers. C. Auditor Art. 17: Audit The Members' Meeting elects an Auditor. The Members' Meeting may waive the election of an auditor if: 1. the Company is not subject to an ordinary audit; 2. the Members unanimously approve; 3. the workforce of the Company does not exceed more than ten full-time positions on an annual average. The waiver also applies to the following years. Each Member is however entitled to request the carrying out of a limited audit and the election of an auditor at the latest ten days before the Members' Meeting. In this case, the Members' Meeting may only pass the resolutions pursuant to A11icle 6 cipher 4 above once the audit report is available. Art. 18: Conditions to be fulfilled by the Auditor One or more natural persons or legal entities or partnerships may be elected as the Auditor. The Auditor shall either have its domicile, legal seat or a registered branch in Switzerland. If the Company has several |
| sellschnft mehrere Revisionsstellen, so muss zumindest eine diese Voraussetzungen erftll len. !st die Gesellschaft Ztll' ordentlichen Revision verpflichtet, so muss die Gesellschafterver sammlung als Revisionsstelle einen zugelas senen Revisionsexperten bzw, ein staatlich beaufsichtigtes Revisionsunternehmen nach den Vorschriften des Revisionsaufsichtsgeset zes vom 16. Dezember 2005 wiihlen, 1st die Gesellschaft zur eingeschrlinkten Revi sion verpflichtet, so muss die Gesellschafter versammlung als Revisionsstelle einen zuge lassenen Reviser nach den Vorschriften des Revisionsaufsichtsgesetzes vom 16. Dezember 2005 wiihlen. Vorbehalten bleibt der Verzicht auf die Wahl einer Revisionsstelle nach A1ti kel 17 oben. Die Revisionsstelle muss nach A1t 818 i.V.m. A1t 728 bzw. 729 OR unabhiingig sein. Die Revisionsstelle wird fiir ein Geschaftsjahr gewahlt. !hr Amt endet mit der Abnahme der letzten Jahresrechnung. Eine Wiedenvahl isl moglich. Eine Abberuftmg ist jederzeit und fristlos moglich. IV. Rechnungslegung Art. 19: Jahresrechnung Das Geschiiftsjahr beginnt am I. Januar und endet am 31. Dezember, erstmals am 31. De zember 201 I. Die Jahresreclmung, bestehend aus der Erfolgs rechmmg, der Bilanz und dem An.hang, wird gemliss den Vorschriften des Schweizerischen Obligationenrechts, insbesondere der Art. 662a ff. und 958 ff., sowie nach den allgemein anerkannten kaufmtinnischen und brancheniib lichen Grundsiitzen aufgestellt. Art. 20: Gewinnverteilung Unter Vorbehalt der gesetzlichen Vorschriften Uber die Gewinnverteilung, insbesondere Art. 798 OR, steht dcr Bilanzgewinn zur VerfU gung der Gesellschatierversammlung. Die Dividende darf erst festgesetzt ,verden, Auditors, at least one of them shall fulfill this condition. If the Company is subject to an ordinary audit, the Members' Meeting shall elect as its auditor a licensed audit expe1t respectively an audit firm under state oversight according to the provisions of the Act on the Licensing and Oversight of Auditors dated December 16, 2005. If the Company is subject to a limited audit, the Members' Meeting shall elect as its auditor a licensed auditor according to the provisions of the Act on the Licensing and Oversight of Auditors dated December 16, 2005. The right to waive the election of the Auditor pursuant to A1ticle 17 above is reserved. The Auditor shall be independent according to Article 818 in conjunction with Articles 728 or 729 CO. The Auditor is elected for one business year. Their term in office ends with the approval of the last annual accounts. They may be re elected and may be removed at any time and without notice. IV, Accounting Principles Art. 19: Annual Accounts The business year begins on January I and ends on December 3 I, for the first time on December 31, 2011. The annual accounts, consisting of the profit and loss statement, the balance sheet and the annex, shal1 be drawn up in accordance with the provisions of the Swiss Code of Obligations, in paiticular Articles 662a et seq. and 958 et seq. CO, and in accordance with generally accepted commercial principles and customary rules in that business area. Art. 20: J)istribution of Profits Subject to the legal provisions regarding the distribution of profits, in particular Article 798 CO, the profits as shown on the balance sheet may be allocated by the Members' IVleeting at its discretion. The dividend may only be determined after |
| nachdem die dem Gesetz entsprechenden Zu weisungen an die gesetzlichen Reserven abge zogen worden sind. Aile Dividenden, welche innerhalb von flinf Jalu-en nach ihrer Fiilligkeit nicht bezogen warden sind, verfallen zuguns ten der Gesellschaft. v. Beencligung Art. 21: Auflosung und Liquidation Die Gesellschafterversammlung kann jederzeit die Auflosung und Liquidation der Gesellschaft nach Massgabe der gesetzlichen und statutari schen Vorschriften beschliessen. Die Liquidation wird durch die Geschiiftsfiih nmg durchgefiihrt, sofern sie nicht <lurch die Gesellschafterversarnmlung anderen Personen ilbertragen wird. Die Liquidation der Gesellschaft erfolgt nach Massgabe von Ar1. 826 i.V.m, Art. 739 ff. OR. Die Liquidatoren sind ennachtigt, Aktiven (GnmdstUcke eingeschlossen) auch freihandig zu verkaufen. Nach erfolgter Tilgung der Sclrnlden wird das Verm6gen unter die Gcsellschafter nach Massgabe der eingezahlten Betriige verteilt. VI. Benachrichtigung Art. 22: Mittcilungen und Bekanntma chungen Mitteilungen an die Gesellschafter erfolgen schriftlich oder <lurch E-Mail an die im An teilbuch verzeichneten Adressen. Publikationsorgan der Gesellschaft isl das Schweizerische Handelsamtsblatt. *** Die englische Fassung ist eine des deutschen Originaltextes rechtliche Verbindlichkeit Dbersetzung und ohne the allocations to the legal reserves have been made as required by law. All dividends unclaimed within a period of five years after their due date shall be forfeited to the Company. v. Liquidation Art. 21: Dissolution and Liquidation The Members' Meeting may at any time resolve to dissolve and liquidate the Company in accordance with the provisions of the law and of the Articles of Incorporation. The liquidation shall be carried out by the Managing Officers to the extent that the Members' Meeting has not entrnsted the same to other persons. The liquidation of the Company shall take place in accordance with Article 826 in conjunction with Articles 739 et seq. CO. The liquidators are authorized to dispose of the assets (including real estate) by way of private contract. Upon satisfaction of all liabilities, the net assets shall be distributed to the Members in proportion to the amounts paid in. VI. Information Art. 22: Notices and Publications Notices to the Member shall be communicated in writing or by email to the address indicated in the company share register. The publication instrument of the Company is the Swiss Official Gazette of Commerce. *** The English version is a translation of the German original and shall not have binding effect. |
Exhibit 3.90

Exhibit 3.91
| AMENDED AND RESTATED BYLAWS OF ENSCO INTERNATIONAL INCORPORATED a Delaware corporation ARTICLEl OFFICES 1.1 REGISTERED OFFICE The corporation shall maintain a registered office and registered agent in the state of Delaware. The registered office and/or registered agent of the corporation may be changed from time to time by action of the board of directors. 1.2 OTHER OFFICES · The corporation may also have offices at such other places both within or outside the state of Delaware as the board of directors may from time to time determine or the business of · the corporation may require. ARTICLE2 MEETINGS OF STOCKHOLDERS 2.1 ANNUAL MEETING; ELECTION OF DIRECTORS (a) An annual meeting of the stockholders shall be held for the election of directors on a date and at a time and place designated by the board of directors. Any other proper business may also be transacted at the annual meeting. (b) The stockholders may elect the board of directors by written consent in lieu .of the annual meeting. If the consent is less than unanimous, it will constitute a consent in lieu of the annual meeting only if all of the directorships to which directors coulq be elected at an annual meeting held at the effective time of the consent were (i) vacant at the effective time and (ii) filled by action of the consent. (c) If the annual meeting is not held on the date designated for it or if the board of -· - -- __ - -directors_has_not .. b.een_ele. cted_b.y__ written consent in_ Jjeu of an annual meeting, the standing directors shall cause the meeting to be held as soon as is convenient. - ---- - -- --- - - - - - |
| 2.2 · SPECIAL MEETINGS Except as otherwise required by law, special meetings of the stockholders for any purpose may be called and the location of the meeting designated by the board of directors, the chairman of the board, or the president. Holders of shares entitled to cast not less than one-third of the votes entitled to be cast at the meeting may also call a special meeting by written request. The written request must state the purposes of the meeting and must be delivered to the chairman of the board or the president. The chairman of the board or the president, as the case may be, shall fix a date, time and place for the meeting as promptly as practicable following receipt of the written request. ·2.3 REMOTE COMMUNICATION The board of directors may, in its sole discretion, determine that a stockholders meeting shall not be held at any place, but may instead be held solely by means of remote communication. Further, the board of directors may, in its sole discretion, authorize stockholders and proxyholders not physically present at a meeting of stockholders to, by means of remote communication and subject to such guidelines and procedures as the board of directors may adopt, ( a) participate in a meeting of stockholders and (b) be deemed present in person and vote at a meeting of stockholders, whether such meeting is to be held at a designated place or solely by means of remote communication. If the board of directors authorizes a meeting solely by remote communication or authorizes presence, participation and voting at a meeting by means · of remote communication, the corporation must (i) implement reasonable measures to verify that each person deemed present and permitted to vote at the meeting by means of remote communication is a stockholder or proxyholder, (ii) implement reasonable measures to provide such stockholders and proxyholders a reasonable opportunity to participate in the meeting and to vote on matters submitted to the stockholders, including an opportunity to read or hear the proceedings of the meeting substantially concurrently with such proceedings, and (iii) maintain a record. of any vote or other action taken at the meeting by means of remote communication by any stockholder or proxyholder. 2.4 NOTICE OF MEETINGS Except as provided in Section 230 of the Delaware General Corporation Law (the "DGCL"), written or printed notice of each annual or special meeting of the stockholders shall be given to each stockholder entitled to vote at the meeting. The notice (i) shall state the place, if any, date, time, means of remote communication, if any, by which stockholders and proxyholders may be deemed to be present in person and vote at such meeting and, in the case of a special meeting, the purpose or purposes for which the meeting is called, (ii) shall be given not less than 10 days nor more than 60 days before the date of the meeting, and (iii) shall be given in a manner provided by and subject to Article 9. 2.5 STOCKHOLDERS LIST At least 10 days before every meeting of stockholders, the officer having charge of the stock ledger shall prepare a complete list of the stockholders entitled to vote at the meeting. The list must be arranged in alphabetical order and show the address of each such stockholder and the -2 - |
| number of shares registered in the name of the stockholder. Electronic mail addresses or other electronic contact information need not be included on the list. The list shall be open to the examination of any stockholder for any purpose germane to the meeting for a period of at least 10 days prior to the meeting: (a) on a reasonably accessible electronic network, provided that the information required to gain access to the list is provided with the notice of the meeting; or (b) during ordinary business hours, at the principal place of business of the corporation. In the event the corporation determines to make the list available on an electronic network, the corporation may take reasonable steps to ensure that such information is available only to stockholders of the corporation. If the meeting is to be held at a place, then the list shall be produced and kept at the place of the meeting during the whole time' of the meeting, and may be inspected by any stockholder present. If the me~ting is to be held solely by means of remote communication, then the list shall also be open to the examination of any stockholder during the whole time of the meeting on a reasonably accessible electronic network, and the information required to access such list shall be provided with the notice of the meeting. 2.6 QUORUM The holders of a majority of the outstanding shares of capital stock entitled to vote, present in person or represented by proxy, shall be requisite for, and shall constitute, a quorum at all meetings of the stockholders of the corporation for the transaction of business, except as otherwise required by law, the certificate of incorporation or these bylaws. If, however, a separate vote by class or series is required with respect to any matter, the holders of a majority of the shares of such class or series, as the case may be, shall c.onstitute a quorum (as to such clas~ or series) with respect to the matter. If a quorum is not present or represented at any meeting of the stockholders, the stockholders entitled to vote at the meeting present in person or represented by proxy shall have power to adjourn the meeting from time to time until a quorum is present or represented. 2.7 ADJOURNED MEETINGS When a meeting is adjourned to another time and place, notice need not be given of the adjourned meeting if its time and place, if any, and the means of remote communication, if any, by which stockholders and proxyholders may be deemed to be present in person and vote at the adjourned meeting, are announced ·at the meeting at which the adjournment is taken. At the adjourned meeting the corporation may transact any business that might have been transacted at the original meeting. If the adjournment is for more than 30 days, or if after the adjournment a new record date is fixed for the adjourned meeting, a notice of the adjourned meeting shall be· given to each stockholder of record entitled to vote at the meeting. · 2.8 VOTE REQUIRED Except as otherwise required by law, the certificate of incorporation or these bylaws, when a quorum is present at a meeting: (a) the affirmative vote of a majority of shares present in person or represented by proxy and entitled to vote on the subject matter shall be the act of the stockholders; and (b) where a separate vote by class or series is required, the affirmative vote of the majority of shares of such class or series present in person or represented by proxy shall be the act of such class or series. - 3 - |
| 2.9 PROXIES Each stockholder entitled to vote at a meeting of stockholders or to express consent or dissent to corporate action in writing without a meeting may authorize another person or persons to act for such stockholder by proxy. No proxy may be voted or acted upon after three years from its date, unless the proxy provides for a longer period. At each meeting of the stockholders, and before any voting commences, all proxies filed at or before the meeting shall be submitted to and examined by the secretary or a person designated by the secretary. No shares may be represented or voted under a proxy that has been found to be invalid or irregular. Without limiting the manner in which a stockholder may authorize a proxy, the following shall constitute valid means of doing so: · · (a) a stockholder may execute a writing authorizing another person to ,act for the stockholder as proxy. Either the stockholder or the stockholder's authorized officer, director, employee or agent may sign the writing. Alternatively, such person may cause his or her signature to be affixed to the writing by any reasonable means, including facsimile signature; and (b) a stockholder may authorize another person to act for the stockholder as proxy by transmitting or authorizing the transmission of a telegram, cablegram, or other means of electronic transmission to the person who will be the holder of the proxy or to a proxy solicitation firm, proxy support service organization or like agent duly authorized by the person who will be the holder of the proxy to receive such transmission. Any such transmission must either set forth or be submitted with information from which it can be determined that the stockholder authorized the transmission. If it is determined that the transmission is valid, the inspectors or, if there are no inspectors, such other persons making that determination shall specify the information upon which they relied. · Any copy, facsimile telecommunication or other reliable reproduction of such writing or transmission may be substituted or used in lieu of the original writing or transmission for all purposes for which the original writing or transmission could be used, provided that the reproduction is a complete reproduction of the entire original writing or transmission. 2.10 VOTING OF CERTAIN SHARES . With respect to shares entitled to vote: (a) shares standing in the name of another corporation or other entity, domestic or foreign, may be voted by such officer, agent, or proxy as the (i) bylaws or other governing document of such corporation or entity may prescribe, or (ii) in the absence of such provision, as the board of directors or other governing body of such corporation or entity may determine; (b) shares held in a fiduciary capacity may be voted by the fiduciary; and ( c) shares standing in the name of a trustee, receiver or pledgee may be voted by such trustee, receiver or pledgee either in person or by proxy as provided by statute. -4- |
| If the shares stand of record in the names of two or more persons, whether fiduciaries, members of a partnership, joint tenants, tenants in common, tenants by the entirety or otherwise, or if two or more persons have the same fiduciary relationship respecting the same shares, unless the secretary of the corporation is given written notice to the contrary and is furnished with a copy of the instrument or order appointing such persons or creating the relationship, their acts with respect to voting shall have the following effect: (a) if only one votes, the voter's act binds all; (b) if more than one vote, the act of the majority so voting binds all; and (c) if more than one vote, but the vote is evenly split on any particular matter, each faction may vote the securities in question proportionately unless otherwise ordered by a court' having jurisdiction. · If the instrument so filed shows that any such tenancy is held in unequal interests, a majority or even split shall be a majority or even split in interest. 2.11 ACTION BY WRITTEN CONSENT OR ELECTRONIC TRANSMISSION (a) Unless otherwise restricted by the certificate of incorporation, any action required or permitted to be taken at an annual or special meeting of stockholders may be taken by written consent without a meeting, without prior notice and without a vote, as follows: (i) the holders of outstanding capital stock of the corporation having not less than the minimum number of votes . that would be necessary to take such action at a meeting at which all shares entitled to vote thereon were present and voted must sign and date the ~tten .. consent setting forth the action so taken. Consents may be executed in counterparts; and (ii) the consent(s) must be delivered to the corporation's registered office in Delaware, to its principal place of business, or to an officer or agent of the corporation having custody of the book(s) in which proceedings of meetings of the stockholders are recorded. Delivery made to the registered office must be by hand or by certified or registered mail, return receipt requested, and will be deemed delivered upon actual receipt by the registered office. (b) All consents properly delivered in accordance with this section shall be deemed to be recorded when so delivered. No written consent shall be effective to take the corporate action referred to therein unless, within 60 days of the earliest dated consent delivered to the corporation as required by this section, written consents signed by the holders of a sufficient number of shares to take such corporate action are so recorded. (c) A stockholder or proxyholder may consent to action by means of a telegram, cablegram or other electronic transmission. The stockholder, the proxyholder or a person or persons authorized to act for the stockholder or proxyholder must transmit the consent. The consent shall be deemed to be written, signed and dated if the transmission sets forth or is delivered with information from which the corporation can determine (i) that the transmission was transmitted by the stockholder, proxyholder or authorized person(s), and (ii) the date on which it was transmitted. The date on which the transmission is transmitted shall be deemed to - 5 - |
| be the date on which the consent was signed. No consent given by electronic transmission shall be deemed to have been delivered until it is reproduced in a paper form and delivered in. accordance with Section 2.11 (a), provided, however, that it may be otherwise delivered to the principal place of business of the corporation or to an officer or agent of the corporation having custody of the book in which proceedings of meetings of stockholders are recorded if, to the extent and in the manner provided by the board of directors. (d) Any copy, facsimile or other reliable reproduction of a consent in writing may be substituted or used in lieu of the original writing for all purposes for which the original writing could be used, provided that the reproduction is of the entire original writing. (e) Prompt notice of the taking of the corporate action without a meeting by less than unanimous written consent shall be given to those stockholders who have not consented in writing and who, if action had been taken at a meeting, would have been entitled to notice of the meeting if the record date for such meeting had been the date that written consents signed by a sufficient number of holders to take the action were delivered to the corporation as provided above. 2.12 TREASURY STOCK Shares of its own stock belonging to the corporation or to another corporation, if a majority of the shares entitled to vote in the election of directors of such other corporation is . held, directly or indirectly, by such corporation, shall not be entitled to vote nor counted for quorwn purposes. Notwithstanding the foregoing, the corporation may vote shares of its own stock that it holds in a fiduciary capacity. ARTICLE3 DIRECTORS 3.1 NUMBER, ELECTION AND TERM OF OFFICE The board of directors shall consist of at least one member, which number may be changed from tim'e to time by action of the board of directors or the stockholders. Except as provided in Sections 3.3 and 3.4, the directors shall be elected at the annual meeting of stockholders. Elections of directors must be by written ballot unless the certificate of incorporation requires otherwise. If the election is to be by written ballot, then, if the board of directors authorizes it, a ballot submitted by electronic transmission may satisfy the requirement of a written ballot. Any such electronic transmission must either set forth or be submitted with information from which the corporation can determine that it was authorized by the stockholder or proxyholder. Each director shall be elected by a majority vote of the shares present in person or represented by proxy at the meeting and entitled to vote in the election of directors. Each director shall hold office until such director's successor is duly elected and qualified or until such director's earlier death, resignation or removal as hereinafter provided. - 6 - |
| 3.2 MANAGEMENT OF AFFAIRS OF CORPORATION The property and business of the corporation shall be managed by or under the direction of its board of directors. The board of directors may exercise all such powers of the corporation and do all such lawful acts and things as are not reserved exclusively to the stockholders by law, the certificate of incorporation or these bylaws. 3.3 RESIGNATIONS AND VACANCIES Any director may resign at any. time by giving notice to the board of directors, the chairman of the board or the president in writing or by electronic transmission. Any such resignation shall take effect on the date of the receipt of the notice or at any later time specified in the notice. Acceptance of the resignation shall not be necessary to make it effective. If, at any time other than the annual meeting of the stockholders, any vacancy occurs in the board· of directors or any new directorship is created by an increase in the authorized number of directors, a majority of the directors then in office_ (even ifless than a quorum) may choose a successor or fill the newly created directorship. Unless removed sooner, the director so chosen shall hold office until the next annual election of directors. by the stockholders and until such director's successor is duly elected and qualified. Whenever the certificate of incorporation entitles holders of any class or series of stock to elect one or more directors, vacancies and newly created directorships of such class or series may be filled by a majority of the directors elected by such class or series then in office, or by a sole remaining director so elected. 3.4 REMOVAL AND VACANCIES Any director or the entire board of directors may be removed, with or without cause, by the holders of a majority of the shares then entitled to vote at an election of directors except as follows: (a) if the stockholders are entitled to exercise cumulative voting rights, then no director may be removed without cause if the votes cast against such director's removal would be sufficient to elect such director if then cumulatively voted at an election of the entire board of directors, or (b) if there are classes of directors, then the stockholders may effect such removal only for cause. The successor to any director so removed may be elected at the meeting at which the removal was effectuated. The remaining directors may fill any remaining vacancies created by the removal. Whenever the holders of any class or series are entitled to elect one or more directors by the provisions of the certificate of incorporation, the provisions of this section shall .. apply, in respect to the removal without cause of a director or directors so elected, to the vote of the holders of the outstanding shares of that class or series and not to the vote of the outstanding shares as a whole. 3.5 · ANNUAL AND REGULAR MEETINGS The annual meeting of the board of directors shall be held, without other notice than this bylaw, immediately after, and at the same place as, the annual meeting of the stockholders. Regular meetings of the board of directors, other than the annual meeting, may be held at such time and at such place as the board may from time to time fix by resolution and no notice ( other than the resolution) need be given as to any regular meeting. - 7 - |
| 3.6 SPECIAL MEETINGS Special meetings of the board of directors may be called by the chairman of the board or the president and shall be called by the secretary at the request of any director, to be held at such time and place, either within or outside Delaware, as shall be designated by the call and specified in the notice of such meeting. 3.7 NOTICE OF MEETINGS Notice of special meetings of the board of directors shall be provided to each director pursuant to Article 9. If such notice is mailed, it shall be deposited in the United States mail, postage prepaid, at least three days before such meeting. If such notice is given by overnight courier, it shall be given to the overnight courier service for delivery at least two days before such meeting. If such notice is given personally or by electronic transmission, it shall be delivered or transmitted at least 24 hours before the time of the meeting. Except as otherwise provided by law or these bylaws, meetings may be held at any time without notice if all of the directors are present or if, at any time before or after the meeting, those not present waive notice of the meeting in writing. 3.8 QUORUM REQUIRED, VOTE AND ADJOURNMENT Except as otherwise provided by law or these bylaws: (a) at each meeting of the board of directors, the presence of not less than a majority of the whole board shall be necessary and sufficient to constitute a quorum for the transaction of business; and (b) the act of a majority of .. the directors present at any meeting at which there is a quorum shall be the act of the board of directors. If a quorum is not present at any meeting of directors, the directors present may adjourn the meeting, without notice other than announcement at the meeting, until a quorum is present. 3.9 COMMUNICATIONS EQUIPMENT Unless otherwise restricted by the certificate of incorporation, any member of the board of directors or of any committee designated by the board may participate in a meeting of the directors or committee by means of conference telephone or other communications equipment by means of which all persons participating in the meeting can hear each other, and participation in a meeting by means of such equipment shall constitute presence in person at such meeting. 3.10 PRESUMPTION OF ASSENT Unless applicable law provides otherwise, a director of the corporation who is present at a meeting of the board of directors at which action is taken on any corporate matter shall be presumed to have assented to the action taken unless: (a) the director's dissent is entered in the minutes of the meeting; or (b) the director files a written dissent to the action with the person acting as secretary of the meeting before the adjournment thereof or forwards the dissent by registered mail to the secretary of the corporation immediately after the adjournment of the meeting. Such right to dissent shall not apply to a director who voted in favor of any action. - 8 - |
| 3.11 ACTION BY WRITTEN CONSENT Unless otherwise restricted by the certificate of incorporation or these bylaws, any action required or permitted to be taken at any meeting of the board of directors, or of any committee thereof, may be taken without a meeting, if all members of the board or of such committee, as the case may be, consent to the action in writing or by electronic transmission, and the writing or electronic transmission is filed with the minutes of proceedings of the board or committee. The filing shall be in paper form if the minutes are maintained in paper form and in electronic form if the minutes are maintained in electronic form. 3.12 EXECUTIVE COMMITTEE The board of directors may designate one or more directors of the corporation to constitute an executive committee, which, to the extent provided in the resolution and except as otherwise provided by law, shall have and may exercise ·au the powers and authority of the board of directors in the management of the business and affairs of the corporation. 3.13 OTHER COMMITTEES The board of directors may designate other committees· consisting of one or more directors. Each member of a committee shall serve for such term and the committee shall have and may exercise such duties, functions and powers as these bylaws and the board of directors may provide, except as otherwise restricted by law. 3.14 ALTERNATES The board of directors may designate one or more directors as alternate members of any committee to replace any absent or disqualified member at any meeting of the committee. In the absence or disqualification of a member of a committee, the members present at any meeting and not disqualified from voting, whether or not sucp. members constitute a quorum, may unanimously appoint another member of the board of directors to act at the meeting in place of the absent or disqualified member. 3.15 QUORUM AND MANNER OF ACTING - COMMITTEES The presence of a majority of members of any committee shall constitute a quorum for the transaction of business at any meeting of such committee, and the act of a majority of those present shall be necessary for the taking of any action at the meeting. 3.16 COMMITTEE CHAIRMAN, BOOKS AND RECORDS, ETC. The chairman of each committee shall be selected by the board of directors from among the members of the committee. Each committee shall fix its own rules of procedure not inconsistent with these bylaws or the resolution of the board of directors designating the committee. Each committee shall meet at such times and places and upon such call or notice as shall be provided by such rules. Each committee shall keep a record of its actions and proceedings and shall report on them to the board of directors at the board's next meeting. -9- |
| 3.17 FEES AND COMPENSATION OF DIRECTORS Directors shall not receive any stated salary for their services as such, but by resolution of the board of directors a fixed fee, with or without expenses of attendance, may be allowed for attendance at each regular or special meeting of the board. Directors shall be allowed their reasonable traveling expenses when actually engaged as a director and in the business of the corporation. Members of any committee may be allowed like fees and expenses for attending committee meetings. Nothing in these bylaws shall be construed to preclude any director from serving the corporation in any other capacity and receiving compensation therefor. 3.18 RELIANCE UPON RECORDS Every member of the board of directors of the corporation, or member of any committee designated by the board of directors, shall, in the performance of such member's duties, be fully protected in relying in good faith upon the records of the corporation and upon such information, opinions, reports or statements presented to the corporation by any of the corporation's officers_ or employees, or committees of the board of directors, or by any other person as to matters the member reasonably believes are within such other person's professional or expert competence and who has been selected with reasonable care by or on behalf of the corporation. 3.19 DIVIDENDS AND RESERVES Except as otherwise provided by law or the certificate of incorporation, the board of directors may declare dividends upon stock of the corporation at any regular or special meeting. Dividends may be paid in cash, in property, in shares of stock or otherwise in the form, and to the extent, permitted by law. The board of directors may set apart, out of any funds of the corporation available for dividends, a reserve or reserves for working capital or for any other lawful purpose, and also may abolish any such reserve in the manner in which it was created. ARTICLE4 OFFICERS 4.1 OFFICES AND OFFICIAL POSITIONS The officers of the corporation shall consist of a president and a secretary, and may consist of a chairman of the board; a treasurer, ,one or more vice presidents, and such assistant secretaries, assistant treasurers, and other officers as the board of directors shall determine from time to time. The same person may hold any two or more offices. The board of directors may choose not to fill any office for any period as it may deem advisable. None of the officers need be a director, a stockholder of the corporation or a resident of Delaware. The board of directors may from time to time establish, and abolish, official positions within the divisions into which the business and operations of the corporation are divided, pursuant to Article 5, and assign titles and duties to such positions. Those· appointed to official positions within divisions may, but need not, be officers of the corporation. The board of directors shall appoint persons to official positions within a division and may, with or without cause, remove from such a position any person appointed to it. In any event, the authority incident to an official position within a - 10 - |
| division shall be limited to acts and transactions within the scope of the business and operations of such division. 4;2 ELECTION AND TERM OF OFFICE The board of directors shall elect the officers of the corporation at its annual meeting. If the election of officers is not held at such meeting, the election shall be held at a regular or special meeting of the board of directors as soon thereafter as may be convenient. Each officer shall hold office until such officer's successor is elected and qualified or until such officer's death, resignation or removal. 4.3 REMOVAL The board of directors may remove an officer at any time, either with or without cause; but such removal shall be without prejudice to the contract rights~ if any, of the officer. 4.4 VACANCIES The board of directors may fill a vacancy in any office for the unexpired portion of the term. 4.5 CHAIRMAN OF THE BOARD The chairman of the board, if a chairman of the board has been elected and is serving, shall preside at all meetings of the stockholders and the board of directors. The chairman of the board shall perform such other duties and have such other powers as the board of directors may from time to time assign to him or her. The chairman may sign with the secretary or an assistant · secretary, or the treasurer or an assistant treasurer, certificates for shares of stock of the corporation the board of directors has authorized for issuance. 4.6 PRESIDENT The president shall be the chief executive officer of the corporation and, in the absence of the chairman of the board, shall preside at all meetings of the stockholders, the board of directors or any committee of the board of which the president is a member. The president shall h_ave the overall supervision of the business of the corporation and shall direct the affairs and policies of the corporation, subject to such policies and directions as the board of directors may provide. The president shall have authority to designate the duties and powers of other officers ;md delegate special powers and duties to specified officers, so long as . such designation is not inconsistent with applicable law, these bylaws or action of the board of directors. The president shall also have power to execute, and shall execute, deeds, mortgages, bonds, contracts and other instruments of the corporation except where required or permitted by law to be otherwise executed and except where the board of directors or president expressly delegates the execution to some other officer or agent of the corporation. The president may sign with the secretary or an assistant secretary, or the treasurer or an assistant treasurer, certificates for shares of stock of the corporation the board of directors has authorized for issuance. The president shall vote, or give a proxy, power of attorney or other delegation of authority to any other person to vote, all equity interests of any other entity standing in the name of the corporation. The president in - 11 - |
| general shall have all other powers and shall perform all other duties incident to the chief executive office of a corporation or as the board of directors may from time to time assign to the president. 4.7 VICE PRESIDENTS In the absence of the president, at the president's request or in the event of the president's inability or refusal to act, the vice presidents in order of their rank as fixed by the board of directors or, if not ranked, the vice president designated by the board of directors or the president shall perform all duties of the president, including the duties of the chairman of the board if and as assumed by the president, and, when so acting, shall have all the powers of, and be subject to all the restrictions upon, the president. The vice presidents shall have such other powers and perform such other duties, not inconsistent with applicable laws, these bylaws, or action: of the board of directors, as the board of directors or the president may from time to time assign to them. Any vice president may sign, with the secretary or an assistant secretary, or the treasurer or an assistant treasurer, certificates for shares of stock of the corporation the board of directors has authorized for issuance . . 4.8 SECRET ARY The secretary shall: (a) keep the minutes of the meetings of the stockholders, the board of directors and committees of directors in one or more books provided for that purpose; (b) see that all notices are duly given in accordance with the provisions of these bylaws or as required by law; (c) have charge of the corporate records and of the seal of the corporation; (d) keep a register of the post office address of each stockholder, director and committee member which shall from time to time be furnished to the secretary by such stockholder, director or member; (e) sign with the chairman of the board, the president or a vice president, certificates for shares of stock of the corporation the board of directors has authorized for issuance; (f) have general charge of the stock transfer books of the corporation; and (g) in general, perform all duties incident to the office of secretary and such other duties as the board of directors, the chairman of the board, or president may from time to time assign to the secretary. The secretary may delegate such details of the performance of duties of the secretary's office as may be appropriate in the exercise of reasonable care to one or more persons in his or her stead, but shall not thereby be relieved of responsibility for the performance of such duties. 4.9 TREASURER The treasurer shall: (a) be responsible. to the board of directors for the receipt, custody and disbursement of all funds and securities of the corporation; (b) receive and give receipts for monies due and payable to the corporation from any source and deposit all such monies in the name of the corporation in such banks, trust companies or other depositories as shall from time to time be selected in accordance with these bylaws; (c) disburse the funds of the corporation as ordered by the board of directors or the president or as otherwise required in the conduct of the business of the corporation; ( d) render to the president or the board of directors, upon request, an account of all his or her transactions as treasurer and on the financial condition of the corporation; and (e) in general, perform all duties incident to the office of treasurer and such other duties as the board of directors, the chairman of the board, or the president may from time - 12 - |
| to time assign to the treasurer. The treasurer may sign, with the chairman of the board, the president, or a vice president, certificates for shares of stock of the corporation the board of directors has authorized for issuance. The treasurer may delegate such details of the performance of duties of such office as may be appropriate in the exercise of reasonable care to one or more persons in his or her stead, but shall not thereby be relieved of responsibility for the performance of such duties. If required by the board of directors, the treasurer shall give a bond for the faithful discharge of his or her duties in such sum, and with such surety or sureties, as the board of directors shall determine. 4.10 ASSISTANT TREASURERS AND ASSISTANT SECRETARIES The assistant treasurers and assistant secretaries shall perform all functions and duties which the secretary or treasurer, as the case may be, may assign or delegate; but such assignment or delegation shall not relieve the principal officer from the responsibilities and liabilities of his or her office. In addition, an assistant secretary or an assistant treasurer may sign with the chairman of the board, the president, or a vice president, certificates for shares of stock the board of directors has authorized for issuance; and the assistant secretaries and assistant treasurers shall, in general, perform such duties as the secretary or the treasurer, respectively, or the president or board of directors may from time to time assign to _ them. The assistant treasurers shall, if required by the board of directors, give bonds for the faithful discharge of their duties in such sums, and with such surety or sureties, as the board of directors shall determine. 4.11 SALARIES The salaries of the officers shall be fixed from time to time by the board of directors, by such officer as it shall designate for such purpose or as it shall otherwise direct. No officer shall be prevented from receiving a salary or other compensation by reason of the fact that the officer is also a director of the corporation. ARTICLES DIVISIONS 5.1 DIVISION~ OF THE CORPORATION The board of directors shall have the power to create and establish such operating divisions of the corporation as it may from time to time deem advisable. 5.2 OFFICIAL POSITIONS WITHIN A DIVISION The chairman of the board or the president may appoint individuals to, and may, with or without cause, remove them from, official positions established within a division but not filled by the board of directors. The individuals appointed need not be officers of the corporation. - 13 - |
| ARTICLE6 CONTRACTS, LOANS, CHECKS AND DEPOSITS 6.1 CONTRACTS AND OTHER INSTRUMENTS The board of directors may authorize any officer(s), agent(s) or employee(s) to enter into any contract or execute and deliver any instrument in the name of and on behalf of the corporation, or of any division thereof, subject to applicable law. Such authority may be general or confined to specific instances. 6.2 LOANS No loans shall be contracted on behalf of the corporation, or any division thereof, and no evidence of indebtedness, other than in the ordinary course of business, shall be issued in the name of the corporation, or any division thereof, unless authorized by the board of directors. Such authorization may be general or confined to specific instances. 6.3 CHECKS, DRAFTS, ETC. All checks, demands, drafts or other orders for the payment of money, notes or other evidences of indebtedness issued in the name of the corpor<;1tion, or any division thereof, outside of the ordinary course of business shall be signed by such officers or agents of the corporation, and in such manner, as the board of directors may from time to time authorize. 6;4 DEPOSITS All funds of the corporation, or any division thereof, not otherwise employed shall be deposited from time to time to the credit of the corporation in such banks, trust companies or · other depositories as the board of directors may select. ARTICLE7 CERTIFICATES OF STOCK AND THEIR TRANSFER 7.1 CERTIFICATES OF STOCK The certificates of stock of the corporation shall be in a form approved by the board of directors, shall be numbered and shall be entered in the books of the c9rporation as they are issued. They shall exhibit the holder's name and number of shares and shall be signed by the chairman of the board, the president or a vice president and by the treasurer· or an assistant treasurer or the secretary or an assistant secretary. If any stock certificate is signed (a) by a transfer agent or an assistant transfer agent or (b) by a transfer clerk acting on behalf of the corporation and a registrar, the signature of any officer of the corporation may be facsimile. In case· any officer whose facsimile signature has thus been used on any such certificate shall cease to be such officer before the certificate has been issued, the certificate may nevertheless be issued with the same effect as if he or she were such officer at the date of issue. All certificates properly surrendered to the corporation for transfer shall be cancelled and, except as set forth in - 14- |
| Section 7 .2, no new certificate shall be issued to evidence transferred shares until the former certificate for at least a like number of· shares has been surrendered and cancelled and the corporation reimbursed for any applicable taxes on the transfer. 7.2 LOST, STOLEN OR DESTROYED CERTIFICATES The corporation may direct a new certificate or uncertificated shares to be issued in place of any certificate theretofore issued by the corporation alleged to have been lost, stolen or destroyed, · and may also require the owner of the lost, stolen or destroyed certificate, or the owner's legal representative, to give the corporation a bond sufficient to indemnify it against any claim that may be made against the corporation on account of the alleged loss, theft or destruction of such certificate or the issuance of a new certificate or uncertificated shares. 7.3 TRANSFERS OF STOCK Transfers of shares of stock shall be made only on the books of the corporation by the registered holder thereof or by its attorney or successor duly authorized as evidenced by documents filed with the secretary or transfer agent of the corporation. Upon surrender to the corporation or the transfer agent of the corporation of a certificate for shares duly endorsed or accompanied by proper evidence of succession, assignment or authority to transfer, and in compliance with any restrictions on transfer of which the corporation has notice applicable to the certificate or shares represented thereby, the corporation shall issue a new certificate to the person entitled thereto, cancel the old certificate and record the transaction upon its books. The board of directors may adopt such additional rules and regulations as it deems advisable concerning the transfer and registra~ion of certificates of stock of the corporation. 7.4 RESTRICTIONS ON TRANSFER Any stockholder may enter into an agreement with other stockholders or with the corporation providing for any reasonable restriction on the right of such stockholder to transfer shares of stock of the corporation held by such stockholder. If such restriction is set forth conspicuously on the certificates representing the shares or, in the case of uncertificated shares, is contained in a notice sent pursuant to Section 151(t) of the DGCL, the corporation or the transfer agent shall not be required to transfer such shares upon the books of the corporation without receipt of satisfactory evidence of compliance with the terms of such restriction. 7.5 FIXING RECORD DATE (a) In order that the corporation may determine the stockholders entitled to notice of or to vote at any meeting of stockholders or any adjournment thereof, the board of directors may fix a record date, which record date shall not precede the date upon which the resolution fixing the record date is adopted by the board of directors, and which record date shall not be more than 60 nor less than 10 days before the date of such meeting. If no record date is fixed by the board of directors, the record date for determining stockholders entitled to notice of or to vote at a meeting of stockholders shall be at the close of business on the day next preceding the day on which notice is given, or, if notice is waived, at the close of business on the day next preceding the day on which the meeting is held. A determination of stockholders of record entitled to notice of or to vote at a meeting of stockholders shall apply to any adjournment of the meeting; - 15 - |
| provided, however, that the board of directors may fix a new record date for the adjourned meeting. (b) In order that the corporation may determine the stockholders entitled to consent to corporate action in writing without a meeting, the board of directors may fix a record date, which record date shall not precede the date upon which the resolution fixing the record date is adopted by the board of directors, and which date shall not be more than 10 days after the date upon which the resolution fixing the record.date is adopted by the board of directors. If no record date has been fixed by the board of directors, the record date for determining stockholders entitled to consent to corporate action in writing without a meeting, when no prior action by the board of directors is required, shall be the first date on which a signed written consent setting forth the action taken or proposed to be taken is delivered to the corporation by delivery to its registered office, its principal place of business, or an officer or agent of the corporation having custody of the book in which proceedings of meetings of stockholders are recorded. If no record date has been fixed by the board of directors and prior action by the board of directors is required by law, the record date for determining stockholders entitled to consent to corporate action in writing without a meeting shall be at the close of business on the day the board of directors adopts the resolution taking such prior action. (c) In order that the corporation may determine the stockholders entitled to receive payment of any dividend or other distribution or allotment of any rights or the stockholders ..· entitled to exercise any rights in respect of any change, conversion or exchange of stock, or for the purpose of any other lawful action, the board of directors may fix a record date, which record date shall not precede the date upon which the resolution fixing the record date is adopted, and which record date shall be not more than 60 days prior to such action. If no record date is fixed, the record date for determining stockholders for any such purpose shall be at the 'close of business on the day on which the board of directors adopts the resolution relating thereto. 7.6 STOCKHOLDERS OF RECORD The corporation shall be entitled to treat the holder of record of any shares of stock as the holder in fact of such shares. Accordingly, the corporation shall not be bound to recognize any equitable or other claim to or interest in such shares on the part of any other person, whether or not it has express or other notice thereof, except as otherwise provided by Delaware law. 8.1 IN GENERAL ARTICLES INDEMNIFICATION The corporation shall indemnify to the fullest extent authorized or permitted by law (as now or hereafter in effect) any person who was or is made, or is threatened to be made, a party or is otherwise involved in any action, suit or proceeding (whether civil or otherwise) by reason of the fact that he or she, or a person for whom he or she is the legal representative, is or was a director or officer of the corporation or by reason of the fact that such director or officer, at the request of the corporation, is or was serving any other corporation, partnership, joint venture, - 16 - |
| trust, employee benefit plan or other enterprise, in any capacity. From and after such time as, but only as to matters which occur or fail to occur when, all of the outstanding shares of capital stock of the corporation shall be owned by ENSCO Global Limited, a Cayman Islands exempted company ("Ensco Cayman") and/or the corporation shall be an affiliate of Ensco International plc (including for purposes of this bylaw, its successors), the corporation shall also indemnify to the fullest extent authorized or permitted by law (as now or hereafter in effect) any person who is made, or is threatened to be made, a party or is otherwise involved in any action, suit or proceeding (whether civil or otherwise) by reason of the fact that he or she, or a person for whom he or she is the legal representative, is or was a director or officer of Ensco International plc or by reason of the fact that such director or officer of Ensco International plc, at the request of the corporation or Ensco International plc, is or was serving any other corporation, partnership, joint venture, trust, employee benefit plan or other enterprise, in any capacity ( each person described by the first or second sentence of this paragraph is hereinafter referred to as an "Indemnitee"). The corporation shall to the. fullest extent not prohibited by applicable law pay the expenses (including attorneys' fees) incurred by an Indemnitee in defending any proceeding in advance of its final disposition, provided, however, that, to the extent required by law, such payment of expenses in advance of the final disposition of the proceeding shall be made only upon receipt of an undertaking by the Indemnitee to repay all amounts advanced if it should be ultimately determined that the Indemnitee is not entitled to be indemnified under this Section 8.1 or otherwise. From and after such time as, and only for so long as, all of the outstanding shares of capital stock of the corporation shall be owned by Ensco Cayman and/or the corporation shall be an affiliate of Ensco International plc, the corporation shall to the fullest extent not prohibited by applicable law also pay the expenses (including attorneys' fees) incurred by an Indernnitee in defending any proceeding in advance of its final disposition, provided, however, that, to the extent required by law, such payment of expenses in advance of the final disposition of the proceeding shall be made only upon receipt of an undertaking by the Indemnitee to repay all amounts advanced if it should be ultimately determined that the Indemnitee is not entitled to be indemnified under this Section 8.1 or otherwise. Nothing contained herein shall affect any rights to indemnification to which employees other than directors and officers may be entitled by law. No amendment or repeal of this Section il shall apply to or have any effect on any right to indemnification provided hereunder with respect to any acts or omissions occurring prior to such amendment or repeal. 8.2 INSURANCE If authorized by the board ·of directors, the corporation may purchase and maintain insurance on behalf of any person who is or was a director, officer, employee or agent of the corporation, or who is or has served at the request of the corporation as a director, officer, employee or agent of another corporation, partnership, joint venture, trust or -other enterprise, to the full extent permitted by the DGCL as in effect at the time of the adoption of this bylaw or as amended from time to time. - 17 - |
| 9.1 MANNER OF NOTICE ARTICLE9 NOTICE Whenever under law, the certificate of incorporation or these bylaws notice is required to be given to any stockholder, director or member of any committee of the board of directors, it shall not be construed to require personal delivery. Such notice also may be given in writing by depositing it in the United States mail (postage prepaid), by express overnight courier, or by facsimile or other electronic transmission. For purposes of these bylaws, "electronic transmission" means any form of communication, not directly involving the physical transmission of paper, that creates a record that may be retained, retrieved and reviewed by a recipient thereof, and that may be directly reproduced in paper form by the recipient through an automated process (including, but not limited to, facsimile and electronic mail). 9.2 NOTICE TO STOCKHOLDERS BY ELECTRONIC TRANSMISSION Without limiting the manner by which notice otherwise may be given effectively to stockholders, any notice to stockholders given by the corporation shall be effective if given by a form of electronic transmission consented to by the stockholder to whom notice is given. Any such consent shall be revocable by the stockholder by written notice to the corporation. Any such consent shall be deemed revoked if (a) the corporation is unable to deliver by electronic transmission two consecutive notices given by the corporation in accordance with such consent and (b) such inability becomes known to the secretary or an assistant secretary of the corporation or the transfer agent, or other persori responsible for giving of notice; provided, however, the inadvertent failure to treat such inability as a revocation shall not invalidate any meeting or other action. 9.3 EFFECTIVENESS OF NOTICE Notice given by mail shall be deemed to be given at the time it is deposited in the United States mail. Notice given by overnight courier service shall be deemed to be given when delivered to the overnight courier service for delivery. Notice given by facsimile or other electronic transmission shall be deemed given: (a) ifby facsimile transmission, when directed to a number at recipient has consented to receive notice; (b) if by electronic mail, when directed to an electronic mail address at which the recipient has consented to receive notice; (c) if by a posting on an electronic network together with separate notice to the recipient of such specific posting, upon the later of (i) such posting and (ii) the giving of such separate notice; and (d) ifby any other form of electronic transmission, when directed to the recipient. An affidavit of the secretary or an assistant secretary or of the transfer agent or other agent of the corporation that the notice has been given by a form of electronic transmission shall, in the absence of fraud, be prima facie evidence of the facts stated therein. The requirement for notice shall be deemed satisfied, except in the case of a stockholder meeting with respect to which written notice is required by law, if actual notice is received orally or in writing by the person entitled thereto as far in advance of the event with respect to which notice is given as the minimum notice period required by law or these bylaws. - 18 - |
| 9.4 W AIYER OF NOTICE Whenever under law, the certificate of incorporation or these bylaws notice is required to be given, a waiver thereof in writing signed by the person or persons entitled to such notice, or a waiver by electronic transmission by the person entitled to notice, whether before, at or after the time stated therein, shall be deemed equivalent to notice. Attendance by a person at a meeting shall constitute a waiver of notice of such meeting, except when the person attends a meeting for the express purpose of objecting, at the beginning of the meeting, to the transaction of any business because the meeting is not lawfully called or convened. Neither the business to be transaGted at, nor the purpose of, any regular or special meeting of the stockholders, directors or committee of directors need be specified in any written waiver of notice or any waiver by electronic transmission, unless so required by law, the certificate of incorporation or these · bylaws. ARTICLE 10 GENERAL PROVISIONS 10.1 FISCAL YEAR The fiscal year of the corporation shall be fixed by resolution of the board of directors. In the absence of such a resolution, the fiscal year of the corporation shall be the calendar year. 10.2 CORPORATE SEAL The board of directors may adopt a corporate seal inscribed with the name of the corporation and the words "CORPORATE SEAL" and "DELAWARE" and otherwise in the form approved by the board. 10.3 AMENDMENTS These bylaws may be altered, amended or repealed (a) by the affirmative vote of a majority of the stock having voting power present in person or by proxy at any annual meeting of stockholders at which a quorum is present, or at any special meeting of stockholders at which a quorum is present, if notice of the proposed alteration, amendment or repeal is contained in the notice of such special meeting, or (b) by the affirmative vote of a majority of the directors then qualified and acting at any regular or special meeting of the board, if the certificate of incorporation confers such power upon the board; provided, however, that the stockholders may provide specifically for limitations on the power of directors to amend particular bylaws and, in such event, the directors' power of amendment shall be so limited; and further provided that no reduction in the number of directors shall have the effect of removing any director prior to the expiration of such director's term of office. * * * - 19- |
Exhibit 3.92
| 'lJe[aware PAGE 1 'Ilie !First State I, JEFFREY W. BULLOCK, SECRETARY OF STATE OF THE STATE OF DELAWARE, DO HEREBY CERTIFY THE ATTACHED IS A TRUE AND CORRECT COPY OF THE RESTATED CERTIFICATE OF "ENSCO INTERNATIONAL INCORPORATED", FILED IN THIS OFFICE ON THE TWENTY-THIRD DAY OF DECEMBER, A.D. 2009, AT 10:29 O'CLOCK A.M. A FILED COPY OF THIS CERTIFICATE HAS BEEN FORWARDED TO THE NEW CASTLE COUNTY RECORDER OF DEEDS. 2134970 8100 091130941 You may verify this certificate online at corp.delaware.gov/authver.shtml Jeffrey W. Bullock. Secretary of State C TION: 7719216 DATE: 12-23-09 |
| State of Delaware Secretary of State Division of Corporations Delivered 10:32 AM 12/23/2009 FILED 10:29 AM 12/23/2009 SRV 091130941 - 2134970 FILE AMENDED AND RESTATED CERTIFICATE OF INCORPORATION OF ENSCO INTERNATIONAL INCORPORATED The corporation's name is ENSCO International Incorporated. Its original certificate of incorporation was filed on August 14, 1987 under the name "Energy Scivice Company, Inc.". FIRST. The name of the cotporation is ENSCO International Incorporated. SECOND. The address of the corporation's registered office in the State of Delaware is Cozporation Trust Center, 1209 Orange Street in lhe City of Wilmington, County of New Castle, Delaware, 19801. The registered agent in charge thereof is The Corporation TJ1JSt Company, Corporation Trust Center, 1208 Orange Street, Wilmington, Delaware. THIRD. The purpose of the corporation is to engage in any lawful act or activity for which corporations may be organized under the General Corporation Law of the State of Delaware. FOURTH. The total number of shares of stock which the corporation shall have authority to issue is 1,000. All such shares are to be Common Stock, par value of $0.10 per share, and are to be of one class. FIFTH. Unless and except to the extent that the bylaws of the corporation shall so require, the election of directors of the corporation need not be by written ballot. SIXTH. In furtherance and not in limitation of the powers conferred by the laws of the State of Delaware, the Board of Directors of the corporation is expressly authorized to make, alter end repeal the bylaws of the corporation. SEVENTH. The corporation shall indemnify to the fullest extent authorized or permitted by law (as now or hereafter in effect) any person who was or is made, or is threatened to be made, a party or is otherwise involved in any action, suit or proceeding (whether civil or otheiwise) by ·reason of the fact that he or she, or a person for whom he or she is the legal representative, is or was a director or officer of the corporation or by reason of the fact that such person, at the request of the corporation, is or was serving any other corporation, partnership, joint venture, trust, employee benefit plan or other enterprise, in any capacity. From and after such time as, and only for such matters, events, circumstances or otherwise that take place, occur or fail to occur (including actions or inactions) when, all of the outstanding shares of capital stock of the corporation shall be owned by ENSCO Global Limited, a Cayman Islands exempted company ("Ensco Cayman") and/or the corporation shall be an affiliate of Ensco International plc (including for purposes of this provision of this Amended and Restated Certificate of Incorporation, its successors), the corporation shall also indemnify to the fullest extent authorized or permitted by law (as now or hereafter in effect) any person who is made, or is threatened to be made, a party or is otherwise involved in any action, suit or proceeding (whether civil or otherwise) by reason of the fact that he or she, or a person for whom he or she is the legal representative, is or was a director or officer of Ensco International pie or by reason of the fact that such director or officer of Ensco International pie, at the request of the corporation or Ensco International plc, is or was serving any other corporation, partnership, joint venture, trust, -1- |
| employee benefit plan or other enterprise, in any capacity ( each person described by the first or second sentence of this paragraph is hereinafter referred to as an "lndemnitee"). The corporation shall to the fullest extent not prohibited by appJicable law pay the expenses (including attorneys' fees) incurred by an Indemnitee in defending any proceeding in advance of its final disposition, provided, however, that, to the extent required by law, such payment of expenses in advance of the final disposition of the proceeding shall be made only upon receipt of an undertaking by the Indemnitee to repay all amounts advanced if it should be ultimately determined that the Indemnitee is not entitled to be indemnified under this Article Seven or otherwise. From and after such time as, and only for such matters, events, circumstances or otherwise that take place, occur or fail to occur (including actions or inactions) when, all of the outstanding shares of capital stock of the corporation shall be owned by Ensco Cayman and/or the corporation shall be an affiliate of Ensco International pie, the corporation shall to the fullest extent not prohibited by applicable law also pay the expenses (including attorneys' fees) incurred by an Indemnitee in defending any proceeding in advance of its final disposition, provided, however, that, to the extent required by law, such payment of expenses in advance of the final disposition of the proceeding shall be made only upon receipt of an undertaking by the Indemnitee to repay all amounts advanced if it should be ultimately detennined that the Indemnitee is not entitled to be indemnified under this Article Seven or otherwise. Nothing contained herein shall affect any rights to indemnification to which any person may be entitled by law. No amendment or repeal of this Article shall apply to or have any effect on any right to indemnification provided hereunder with respect to any acts or omissions occurring prior to such amendment or repeal. EIGHTH. The corporation reserves the right at any time, and from time to time, to amend, alter, change or repeal any provision contained in this Amended and Restated Certificate of Incorporation, and other provisions authorized by the laws of the State of Delaware at the time in force may be added or inserted, in the manner now or hereafter prescribed by law; and all rights, preferences and privileges of any nature conferred upon stockholders, directors or any other persons by and pursuant to this A.mended and Restated Certificate of Incorporation in its present form or as hereafter amended are granted subject to the rights reserved in this article. NINTII. This Amended and Restated Certificate of Incorporation has been duly adopted in accordance with Sections 242 and 245 of the General Corporation Law of the State of Delaware. [The remainder of this page is intentionally left blank.] -2- |
| IN WITNESS WHERE9F, the undersigned, has executed this Amended and Restated Certificate of Incorporation trus ~}· day of Deccmbe, @/~ David A. Armour, Vice President - Finance |
Exhibit 3.93
| British Virgin Islands The BVI Business Companies Act (No. 16 of 2004) Amended and Restated Memorandum and Articles of Association of Ensco International Ltd. Incorporated on 16th October 1991 Amended and Restated on 12th January 2015 Further Amended and Restated on 14th January 2015 Further Restated on 16th January 2015 Maples Corporate Services (BVI) Limited Kingston Chambers PO Box 173 Road Town, Tortola British Virgin Islands |
| DTP/630883-000003/15132735v1 TERRITORY OF THE BRITISH VIRGIN ISLANDS THE BVI BUSINESS COMPANIES ACT, 2004 AMENDED AND RESTATED MEMORANDUM OF ASSOCIATION OF ENSCO INTERNATIONAL LTD. 1 Company Name 1.1 The name of the Company is Ensco International Ltd. 1.2 The directors or members may from time to time change the Company's name by Resolution of Directors or Resolution of Members. The directors shall give notice of such resolution to the registered agent of the Company, for the registered agent to file an application for change of name with the Registrar, and any such change will take effect from the date of the certificate of change of name issued by the Registrar. 1.3 A change of name of the Company shall constitute an amendment of this Memorandum and the Articles and, in the event of a resolution being passed to change the name of the Company, the provisions below in respect of amendments to this Memorandum and the Articles must be complied with. 2 Re-registration The Company was first incorporated as a company on 16th October 1991 under the International Business Companies Act, 1984 (CAP 291), and was automatically re-registered under the BVI Business Companies Act, 2004 (the "Act") on 1 January 2007. Immediately prior to its automatic re-registration under the Act the Company was governed by the International Business Companies Act, 1984 (CAP 291). 3 Company Limited by Shares, Liability of Members 3.1 The Company is a company limited by shares. 3.2 The liability of each member is limited to: (a) the amount from time to time unpaid on that member's shares; (b) any liability expressly provided for in this Memorandum or the Articles; and (c) any liability to repay a distribution pursuant to section 58(1) of the Act. |
| DTP/630883-000003/15132735v1 2 4 Registered Office 4.1 At the date of filing of the notice of election to disapply Part IV of Schedule 2 of the Act, the registered office of the Company was situated at the office of the registered agent which is situated at c/o Maples Corporate Services (BVI) Limited, Kingston Chambers, PO Box 173, Road Town, Tortola, British Virgin Islands. 4.2 The directors or members may from time to time change the Company's registered office by Resolution of Directors or Resolution of Members, provided that the Company's registered office shall at all times be the office of the registered agent. The directors shall give notice of such resolution to the registered agent of the Company, for the registered agent to file with the Registrar a notice of change of registered office, and any such change of registered office will take effect from the date of the registration by the Registrar of such notice. 4.3 The Company's principal place of business shall be located at 6 Chesterfield Gardens, London W1J 5BQ, England or such other location in the United Kingdom as the directors may resolve from time to time. 5 Registered Agent 5.1 At the date of filing of the notice of election to disapply Part IV of Schedule 2 of the Act, the registered agent of the Company was Maples Corporate Services (BVI) Limited of Kingston Chambers, PO Box 173, Road Town, Tortola, British Virgin Islands. 5.2 The directors or members may from time to time change the Company's registered agent by Resolution of Directors or Resolution of Members. The directors shall give notice of such resolution to the registered agent of the Company (meaning the existing registered agent), for the registered agent to file with the Registrar a notice of change of registered agent, and any such change of registered agent will take effect from the date of the registration by the Registrar of such notice. 5.3 If the existing registered agent does not file such notice on instruction by the directors, the directors shall procure that a notice of change of registered agent is filed with the Registrar by a legal practitioner in the British Virgin Islands acting on behalf of the Company, and any such change of registered agent will take effect from the date of the registration by the Registrar of such notice. 5.4 If at any time the Company does not have a registered agent, a registered agent may be appointed by a Resolution of Directors or Resolution of Members. 6 General Objects and Powers 6.1 Subject to the following provisions of this Memorandum, the objects for which the Company is established are unrestricted and the Company shall have full power and authority to carry out any object not prohibited by the Act or any other law of the British Virgin Islands. 6.2 Without limiting the foregoing, the powers of the Company include the power to do the following: (a) grant options over unissued shares in the Company and treasury shares; (b) issue securities that are convertible into shares; |
| DTP/630883-000003/15132735v1 3 (c) give financial assistance to any person in connection with the acquisition of the Company's own shares; (d) issue debt obligations of every kind and grant options, warrants and rights to acquire debt obligations; (e) guarantee a liability or obligation of any person and secure any obligations by mortgage, pledge or other charge, of any of its assets for that purpose; and (f) protect the assets of the Company for the benefit of the Company, its creditors and its members and, at the discretion of the directors, for any person having a direct or indirect interest in the Company. 7 Maximum Number of Authorised Shares 7.1 The Company is authorised to issue a maximum of 50,000 shares of one class of US$1.00 par value. 7.2 The directors or members may from time to time by Resolution of Directors or Resolution of Members increase or decrease the maximum number of shares the Company is authorised to issue, by amendment to this Memorandum in accordance with the provisions below. 8 Rights Conferred by Shares Each share in the Company confers on the holder: (a) the right to one vote on any Resolution of Members; (b) the right to an equal share in any dividend paid by the Company in accordance with the Act; and (c) the right to an equal share in the distribution of the surplus assets of the Company. 9 Registered Shares Only Shares in the Company may only be issued as registered shares and the Company is not authorised to issue bearer shares. Registered shares may not be exchanged for bearer shares or converted to bearer shares. 10 Amendments to this Memorandum and the Articles 10.1 Subject to the provisions of the Act, the directors or members may from time to time amend this Memorandum or the Articles by Resolution of Directors or Resolution of Members. The directors shall give notice of such resolution to the registered agent of the Company, for the registered agent to file with the Registrar a notice of the amendment to this Memorandum or the Articles, or a restated memorandum and articles of association incorporating the amendment(s) made, and any such amendment(s) to this Memorandum or the Articles will take effect from the date of the registration by the Registrar of the notice of amendment or restated memorandum and articles of association incorporating the amendment(s) made. 10.2 Notwithstanding any provision to the contrary in this Memorandum or the Articles, the directors shall not have the power to amend this Memorandum or the Articles: |
| DTP/630883-000003/15132735v1 4 (a) to restrict the rights or powers of the members to amend this Memorandum or the Articles; (b) to change the percentage of members required to pass a resolution to amend this Memorandum or the Articles; or (c) in circumstances where this Memorandum or the Articles cannot be amended by the members. 10.3 A change of registered office or registered agent shall not constitute an amendment of this Memorandum or the Articles. 11 Definitions and Interpretation 11.1 In this memorandum of association and the articles of association of the Company: "Act" means the BVI Business Companies Act, 2004; "Articles" means the Company's articles of association, and "Article" shall be construed accordingly; "Board of Directors" means the directors of the Company from time to time and including, where applicable, alternate directors; "Memorandum" means this, the Company's memorandum of association; "Registrar" means the Registrar of Corporate Affairs appointed under the Act; "Resolution of Directors" means either: (a) a resolution approved at a duly constituted meeting of directors of the Company by a majority of the votes cast by directors who are present in person or by alternate at the meeting in accordance with the Articles; or (b) a resolution consented to in writing by or on behalf of a majority of the directors of the Company in accordance with the Articles; "Resolution of Members" means either: (a) a resolution passed at a meeting of members either on a show of hands or by a poll in accordance with the Articles; or (b) a resolution duly consented to in writing by members representing a majority of the votes of shares entitled to vote on the resolution in accordance with this Memorandum and the |
| DTP/630883-000003/15132735v1 5 Articles; and "UK" means the United Kingdom of Great Britain and Northern Ireland. 11.2 In this Memorandum and the Articles: (a) words and expressions defined in the Act shall have the same meaning and, unless otherwise required by the context, the singular shall include the plural and vice versa, the masculine shall include the feminine and the neuter and references to persons shall include corporations and all entities capable of having a legal existence; (b) reference to a provision of law is a reference to that provision as extended, applied, amended or re-enacted and includes any subordinate legislation; (c) the headings are for convenience only and shall not affect the construction of this Memorandum or the Articles; (d) reference to a thing being "written" or "in writing" includes all forms of writing, including all electronic records which, in the determination of the directors, satisfy the requirements of the Electronic Transactions Act, 2001; (e) reference to a thing being "signed" or to a person's "signature" shall include reference to an electronic signature which, in the determination of the directors, satisfies the requirements of the Electronic Transactions Act, 2001, and reference to the Company's "seal" shall include reference to an electronic seal which, in the determination of the directors, satisfies the requirements of the Electronic Transactions Act, 2001. |
| DTP/630883-000003/15132735v1 6 We, Maples Corporate Services (BVI) Limited of Kingston Chambers, PO Box 173, Road Town, Tortola, British Virgin Islands in our capacity as registered agent for the Company for the purpose of applying to disapply Part IV of Schedule 2 of the BVI Business Companies Act, 2004 in relation to the Company hereby sign this Memorandum of Association this 12th day of January 2015. Registered Agent Sgd. Ruairi Bourke Authorised Signatory Maples Corporate Services (BVI) Limited |
| DTP/630883-000003/15132735v1 TERRITORY OF THE BRITISH VIRGIN ISLANDS THE BVI BUSINESS COMPANIES ACT, 2004 ARTICLES OF ASSOCIATION OF ENSCO INTERNATIONAL LTD. 1 Share Certificates 1.1 Every person whose name is entered as a member in the Company's register of members, being the holder of shares, shall without payment (except where otherwise noted) be entitled to a share certificate in the following circumstances: (a) on the issuance of such shares to such member; (b) on the transfer of such shares to such member; (c) on a re-designation, conversion or other restructuring of such shares with the effect that the certificate in issue no longer properly describes such shares; and (d) at the discretion of the directors (who may levy a reasonable charge), on notice to the Company of a change of name of the member. 1.2 Such certificate shall be signed by a director or under the common seal of the Company (which the registered agent of the Company is authorised to affix to such certificate) with or without the signature of any director or officer of the Company specifying the share or shares held and the par value thereof (if any), provided that in respect of shares held jointly by several persons, the Company shall not be bound to issue more than one certificate and delivery of a certificate for a share to one of several joint holders shall be sufficient delivery to all. 1.3 If a certificate is worn out or lost it may, subject to the prior written consent of any mortgagee or chargee whose interest in the relevant certificated shares has been noted on the Company's register of members, be renewed on production of the worn out certificate, or on satisfactory proof of its loss together with such indemnity as the directors may reasonably require. Any member receiving a share certificate shall indemnify and hold the Company and its officers harmless from any loss or liability which it or they may incur by reason of wrongful or fraudulent use or representation made by any person by virtue of the possession of such a certificate. 2 Issue of Shares 2.1 Subject to the provisions of these Articles, the unissued shares of the Company shall be at the disposal of the directors who may offer, allot, grant options over or otherwise dispose of them to |
| DTP/630883-000003/15132735v1 2 such persons at such times and for such consideration, being not less than the par value (if any) of the shares being disposed of, and upon such terms and conditions as the directors may determine. Such consideration may take any form acceptable to the directors, including money, a promissory note, or other written obligation to contribute money or property, real property, personal property (including goodwill and know-how), services rendered or a contract for future services. Before issuing shares for a consideration other than money, the directors shall pass a Resolution of Directors stating: (a) the amount to be credited for the issue of the shares; (b) their determination of the reasonable present cash value of the non-money consideration for the issue; and (c) that, in their opinion, the present cash value of the non-money consideration for the issue is not less than the amount to be credited for the issue of the shares. 2.2 Subject to the provisions of the Act in this regard, shares may be issued on the terms that they are redeemable or, at the option of the Company, liable to be redeemed, on such terms and in such manner as the directors before or at the time of the issue of such shares may determine. 2.3 The Company may issue bonus shares, partly paid shares and nil paid shares. 2.4 The directors may redeem any share issued by the Company at a premium. 2.5 Except as required by the Act, and notwithstanding that a share certificate may, in the Company's discretion, refer to a member holding shares "as trustee" or similar expression, no person shall be recognised by the Company as holding any share upon any trust, and the Company shall not be bound by or be compelled in any way to recognise (even when having notice thereof) any equitable, contingent, future or partial interest in any share or any interest in any fractional part of a share or (except as provided by these Articles or by the Act) any other rights in respect of any share except any absolute right to the entirety thereof by the registered holder. 3 Forfeiture of Shares 3.1 The Company may, at any time after the due date for payment, serve on a member who has not paid in full for shares registered in the name of that member, a written notice of call ("Notice of Call") specifying a date for payment to be made. The Notice of Call shall name a further date not earlier than the expiration of 14 days from the date of service of the Notice of Call on or before which the payment required by the Notice of Call is to be made and shall contain a statement that in the event of non-payment at or before the time named in the Notice of Call the shares, or any of them, in respect of which payment is not made will be liable to be forfeited. 3.2 Where a written Notice of Call has been issued under the foregoing Article and the requirements of the Notice of Call have not been complied with, the directors may, at any time before tender of payment, forfeit and cancel the shares to which the Notice of Call relates. The Company is under no obligation to refund any moneys to the member whose shares have been cancelled pursuant to this Article and that member shall be discharged from any further obligation to the Company. |
| DTP/630883-000003/15132735v1 3 4 Transfer of Shares 4.1 Shares in the Company shall be transferred by a written instrument of transfer signed by the transferor and containing the name and address of the transferee. The instrument of transfer shall also be signed by the transferee if registration as a holder of the shares imposes a liability to the Company on the transferee. The instrument of transfer of a registered share shall be sent to the Company for registration. 4.2 Subject to the Memorandum, these Articles and to section 54(5) of the Act, the Company shall, on receipt of an instrument of transfer, enter the name of the transferee of the share in the Company's register of members unless the directors resolve to refuse or delay the registration of the transfer for reasons that shall be specified in the resolution. Where the directors pass such a resolution, the Company shall send to the transferor and the transferee a notice of the refusal or delay. Notwithstanding anything contained in the Memorandum or these Articles, the directors shall not decline to register any transfer of shares, nor may they suspend registration thereof, where such transfer is: (a) to any mortgagee or chargee whose interest has been noted on the Company's register of members; or (b) by any such mortgagee or chargee pursuant to the power of sale under its security or otherwise and in accordance with the terms of the relevant security document. 4.3 The transfer of a share is effective when the name of the transferee is entered in the Company's register of members. 5 Mortgages of Shares and Charges over Shares 5.1 Members may mortgage or create a charge or other form of security over their shares. 5.2 The directors shall, at the written request of a member who has mortgaged or created a charge over his shares, enter in the Company's register of members: (a) a statement that such shares are mortgaged or charged; (b) the name of the mortgagee or chargee (where such information has been stated by the member); and (c) the date on which the statement and name are entered in the Company's register of members. 6 Transmission of Shares 6.1 Subject to sections 52(2) and 53 of the Act, the executor or administrator of a deceased member, the guardian of an incompetent member or the trustee of a bankrupt member shall be the only person recognised by the Company as having any title to such member's share(s), save that and only in the event of death, incompetence or bankruptcy of any member or members as a consequence of which the Company no longer has any directors or members, then upon the production of any documentation which is reasonable evidence of the applicant being entitled to: |
| DTP/630883-000003/15132735v1 4 (a) a grant of probate of the deceased's will, or grant of letters of administration of the deceased's estate, or confirmation of the appointment as executor or administrator (as the case may be, or analogous position in the relevant jurisdiction), of a deceased member's estate; (b) the appointment of a guardian (or analogous position in the relevant jurisdiction) of an incompetent member; (c) the appointment as trustee (or analogous position in the relevant jurisdiction) of a bankrupt member; or (d) upon production of any other reasonable evidence of the applicant's beneficial ownership of, or entitlement to the shares, to the Company's registered agent in the British Virgin Islands together with (if so requested by the registered agent) a notarised copy of the share certificate(s) of the deceased, incompetent or bankrupt member, an indemnity in favour of the registered agent and/or appropriate legal advice in respect of any document issued by a foreign court, then the administrator, executor, guardian or trustee in bankruptcy (as the case may be) notwithstanding that their name has not been entered in the Company's register of members, may by written resolution of the applicant, endorsed with written approval by the registered agent, be appointed a director and/or entered in the Company's register of members as the legal and/or beneficial owner of the shares. 6.2 Without limiting the foregoing, the production to the Company of any document which is reasonable evidence of: (a) a grant of probate of the will, or grant of letters of administration of the estate, or confirmation of the appointment as executor (or analogous position in the relevant jurisdiction), of a deceased member; (b) the appointment of a guardian (or analogous position in the relevant jurisdiction) of an incompetent member; (c) the trustee (or analogous position in the relevant jurisdiction) of a bankrupt member; or (d) the applicant's legal and/or beneficial ownership of the shares, shall be accepted by the Company even if the deceased, incompetent member or bankrupt member is resident and/or domiciled outside the British Virgin Islands if the document is issued by a foreign court which had competent jurisdiction in the matter. For the purposes of establishing whether or not a foreign court had competent jurisdiction in such a matter the directors may obtain appropriate legal advice. The directors may also require an indemnity to be given by the executor, administrator, guardian, trustee in bankruptcy or the applicant. 6.3 Any person becoming entitled by operation of law or otherwise to a share or shares in consequence of the death, incompetence or bankruptcy of any member may be registered as a member upon such evidence being produced as may reasonably be required by the directors. An application by any such person to be registered as a member shall for all purposes be deemed to be a transfer of shares of the deceased, incompetent or bankrupt member and the directors shall treat it as such (but without requiring an instrument of transfer). |
| DTP/630883-000003/15132735v1 5 6.4 Any person who has become entitled to a share or shares in consequence of the death, incompetence or bankruptcy of any member may, instead of being registered himself, request in writing that some person to be named by him be registered as the transferee of such share or shares and such request shall likewise be treated as if it were a transfer. 6.5 What amounts to incompetence on the part of a person is a matter to be determined by the court having regard to all the relevant evidence and the circumstances of the case. 7 Acquisition of Own Shares 7.1 The Company may, in the manner determined by the directors by Resolution of Directors (and subject to the written consent of all the members whose shares are to be purchased, redeemed or otherwise acquired), purchase, redeem or otherwise acquire any of the Company's own shares for such consideration as the directors consider fit, and either cancel or hold such shares as treasury shares. Shares may be purchased or otherwise acquired in exchange for newly issued shares in the Company. 7.2 The directors shall not, unless permitted pursuant to the Act, purchase, redeem or otherwise acquire any of the Company's own shares unless immediately after such purchase, redemption or other acquisition: (a) the value of the Company's assets exceeds it liabilities; and (b) the Company is able to pay its debts as they fall due. 7.3 Sections 60 and 61 of the Act shall not apply to the Company. 8 Treasury Shares 8.1 Shares may only be held as treasury shares by the Company to the extent that the number of treasury shares does not exceed 50% of the shares of that class previously issued by the Company, excluding shares that have been cancelled. 8.2 The directors may dispose of any treasury shares on such terms and conditions as they may from time to time determine. 9 Notice of Meetings of Members 9.1 The directors may convene meetings of members at such times and in such manner and places (within or outside the British Virgin Islands) as the directors consider necessary or desirable, and they shall convene such a meeting upon the written request of members entitled to exercise at least thirty (30) percent of the voting rights in respect of the matter for which the meeting is requested. 9.2 Not less than seven (7) days' notice specifying at least the place, the day and the hour of the meeting and general nature of the business to be conducted shall be given in the manner hereinafter mentioned to such persons whose names on the date the notice is given appear as members in the Company's register of members and are entitled to vote at the meeting. The record date for determining those members that are entitled to vote at the meeting may be specified in the notice (and such record date need not be the date notice is given). |
| DTP/630883-000003/15132735v1 6 9.3 Notwithstanding the foregoing Article, a meeting of members held in contravention of the requirement to give notice is valid if members holding ninety (90) percent of: (a) the total voting rights on all the matters to be considered at the meeting; or (b) the votes of each class or series of shares where members are entitled to vote thereon as a class or series together with an absolute majority of the remaining votes, have waived notice of the meeting and, for this purpose, the presence of a member at the meeting shall be deemed to constitute waiver on his part (unless such member objects in writing before the meeting proceeds to business). 9.4 The inadvertent failure of the directors to give notice of a meeting to a member, or the fact that a member has not received a notice that has been properly given, shall not invalidate the meeting. 10 Proceedings at Meetings of Members 10.1 No business shall be transacted at any meeting of members unless a quorum of members is present at the time when the meeting proceeds to business. A quorum shall consist of the holder or holders present in person or by proxy entitled to exercise at least fifty (50) percent of the voting rights of the shares of each class or series of shares entitled to vote as a class or series thereon and the same proportion of the votes of the remaining shares entitled to vote thereon. 10.2 A member shall be deemed to be present at a meeting of members if: (a) he or his proxy participates by telephone or other electronic means; and (b) all members and proxies participating in the meeting are able to hear each other. 10.3 If, within half an hour from the time appointed for the meeting, a quorum is not present, the meeting shall be dissolved or, at the discretion of the Chairman, shall stand adjourned to the same day in the next week at the same time and/or place or to such other day, time and/or place as the Chairman may determine, and if at the adjourned meeting a quorum is not present within half an hour from the time appointed for the meeting to commence, the members present shall be a quorum. 10.4 A member may attend a meeting of members personally or be represented by a proxy who may speak and vote on behalf of the member. 10.5 The instrument appointing a proxy shall be produced at the place appointed for the meeting before the time for holding the meeting at which the person named in such instrument proposes to vote. An instrument appointing a proxy shall be in such form as the Chairman of the meeting shall accept as properly evidencing the wishes of the member appointing the proxy, but must be in writing under the hand of the appointer unless the appointer is a corporation or other form of legal entity (other than one or more individuals holding as joint owner) in which case the instrument appointing a proxy shall be in writing under the hand of an individual duly authorised by such corporation or legal entity to execute the same. 10.6 The directors may, at any time prior to the time appointed for the meeting of members to commence, appoint any person to act as chairman of the meeting of the members (the "Chairman") or, if the directors do not make any such appointment, the Chairman of the Board |
| DTP/630883-000003/15132735v1 7 shall preside as the Chairman. If there is no such chairman, or if he shall not be present within fifteen minutes after the time appointed for the meeting to commence, or is unwilling to act, the directors present shall elect one of their number to be the Chairman. 10.7 If no director is willing to act as Chairman or if no director is present within fifteen minutes after the time appointed for the meeting to commence, the members present shall choose one of their number to be Chairman. 10.8 The Chairman may adjourn any meeting from time to time, and from place to place, but no business shall be transacted at any adjourned meeting other than the business left unfinished at the meeting from which the adjournment took place. 10.9 At any meeting a resolution put to the vote of the meeting shall be decided on a show of hands by the holders of a majority of in excess of fifty (50) percent of the votes of those members (or their duly appointed proxies) entitled to vote and voting on the resolution, unless a poll is (before or on the declaration of the result of the show of hands) demanded: (a) by the Chairman; or (b) by any member present in person or by proxy and holding not less than one tenth of the total voting shares issued and having the right to vote on such resolution. 10.10 Unless a poll be so demanded, a declaration by the Chairman that a resolution has, on a show of hands been carried, and an entry to that effect in the book containing the minutes of the proceedings of the Company, shall be sufficient evidence of the fact, without proof of the number or proportion of the votes recorded in favour of or against such resolution. 10.11 If a poll is duly demanded it shall be taken in such manner as the Chairman directs, and the result of the poll shall be deemed to be the resolution of the meeting at which the poll was demanded. The demand for a poll may be withdrawn, at the discretion of the Chairman. 10.12 On a poll, every holder of a voting share present in person or by proxy shall have one vote for every voting share of which he is the holder which confers the right to a vote on the resolution. On a poll, a Resolution of Members is passed if it is approved by a majority of the votes validly cast by members holding shares entitled to vote on the poll. 10.13 In the case of an equality of votes, whether on a show of hands or on a poll, the Chairman of the meeting at which the show of hands takes place, or at which the poll is demanded, shall not be entitled to a second or casting vote. 10.14 Subject to the Memorandum or these Articles, an action that may be taken by members at a meeting of members may also be taken by a resolution consented to in writing, without the need for any notice. The consent may consist of several documents, including written communications, in like form each signed or assented to by one or more members. If the consent is in one or more counterparts, and the counterparts bear different dates, then the resolution shall take effect on the earliest date from which members holding a sufficient number of votes of shares to pass the resolution have given their written consent. 10.15 If a committee is appointed for any member who is of unsound mind, that member may vote by such committee. |
| DTP/630883-000003/15132735v1 8 11 Jointly Held Shares Where shares are registered in the names of joint owners: (a) each registered owner may be present in person or by proxy at a meeting of members and may speak as a member; (b) if only one of them is present in person or by proxy, he may vote on behalf of all of them; and (c) if two or more are present in person or by proxy, they must vote as one. If more than one joint owner votes in person or by proxy at any meeting of members or consents in writing pursuant to Article 10.14, the vote or consent of the joint owner whose name appears first among such joint holders in the Company's register of members shall alone be counted. 12 Corporations Acting by Representatives at Meetings Any corporation or other form of corporate legal entity which is a member may by resolution of its directors or other governing body authorise such person as it thinks fit to act as its representative at any meeting of the members or any class of members, and the person so authorised shall be entitled to exercise the same powers on behalf of the corporation which he represents as that corporation could exercise if it were an individual member. 13 Appointment and Removal of Directors 13.1 The first director or directors shall be appointed by the registered agent of the Company. Thereafter, the directors shall be appointed and removed by Resolution of Directors or Resolution of Members, provided always that the Board of Directors (including, where applicable, alternate directors) must at all times comprise a majority of persons who are resident in the UK. A director shall be appointed for such term as may be specified on his appointment or, failing any term specified, shall be deemed to be appointed indefinitely. Sections 114(2) and 114(3) of the Act shall not apply to the Company. 13.2 The directors may, by Resolution of Directors, appoint a director to fill a vacancy on the board of directors of the Company. The term of the appointment of such director shall not exceed the term that remained when the person who has ceased to be a director ceased to hold office. A vacancy on the board of directors of the Company occurs if a director dies, or in the case of a director that is not an individual, ceases to exist, or otherwise ceases to hold office or a director prior to the expiration of his term of office. 13.3 A person shall not be appointed as a director unless he has consented in writing to be a director. 13.4 Each director holds office until: (a) his disqualification to act as a director under section 111 of the Act (on which his office as director shall be automatically terminated if he has not resigned in accordance with section 115(2) of the Act); (b) his death or, in the case of a director that is not an individual, its ceasing to exist; (c) his resignation; |
| DTP/630883-000003/15132735v1 9 (d) the expiry of the term of office (if any) specified on his appointment or as the directors or members may have determined; or (e) the effective date of his removal by Resolution of Directors or Resolution of Members. 13.5 The following are disqualified for appointment as a director: (a) an individual who is under 18 years of age; (b) a person who is a disqualified person within the meaning of section 260(4) of the Insolvency Act, 2003; (c) a person who is a restricted person within the meaning of section 409 of the Insolvency Act, 2003; and (d) an undischarged bankrupt. 13.6 A director shall not require a share qualification, but nevertheless shall be entitled to attend and speak at any meeting of directors and meeting of members and at any separate meeting of the holders of any class of shares in the Company. 13.7 The remuneration of directors (whether by way of salary, commission, participation in profits or otherwise), if any, in respect of services rendered or to be rendered in any capacity to the Company (including to any company in which the Company may be interested) shall be fixed by Resolution of Directors or Resolution of Members. The directors may also be paid such travelling, hotel and other expenses properly incurred by them in attending and returning from meetings of the directors, or any committee of the directors or meetings of the members, or in connection with the business of the Company as shall be approved by Resolution of Directors or Resolution of Members. 14 Alternate Directors and Reserve Directors 14.1 A director, by written instrument deposited at the registered office, may from time to time appoint another director or another person who is not disqualified for appointment as a director under section 111 of the Act and who is resident in the UK to be his alternate to: (a) exercise the appointing director's powers; and (b) carry out the appointing director's responsibilities, in relation to the taking of decisions by the directors in the absence of the appointing director. 14.2 No person shall be appointed as an alternate director unless he has consented in writing to be an alternate director. The appointment of an alternate director does not take effect until written notice of the appointment has been deposited at the registered office. 14.3 The appointing director may, at any time, terminate or vary the alternate's appointment. The termination or variation of the appointment of an alternate director does not take effect until written notice of the termination or variation has been deposited at the registered office, save that if a director shall die or cease to hold the office of director, the appointment of his alternate shall thereupon cease and terminate immediately without the need for notice. |
| DTP/630883-000003/15132735v1 10 14.4 An alternate director has no power to appoint an alternate, whether of the appointing director or of the alternate director. 14.5 An alternate director has the same rights as the appointing director in relation to any meeting of directors and any Resolution of Directors passed by way of a consent in writing. Unless stated otherwise in the notice of the appointment of the alternate, or a notice of variation of the appointment, if undue delay or difficulty would be occasioned by giving notice to a director of a resolution of which his approval is sought in accordance with these Articles his alternate (if any) shall be entitled to waive notice on behalf of the appointing director and vote on or consent to the resolution on behalf of that director. Any exercise by the alternate director of the appointing director's powers in relation to the taking of decisions by the directors is as effective as if the powers were exercised by the appointing director. An alternate director does not act as an agent of or for the appointing director and is liable for his own acts and omissions as an alternate director. 14.6 The remuneration of an alternate (if any) shall be payable out of the remuneration payable to the director appointing him (if any), as agreed between such alternate and the director appointing him. 14.7 Where the Company has only one member with voting rights who is an individual and that member is also the sole director (the "sole member/director"), that sole member/director may, by instrument in writing, nominate a person who is not disqualified from being a director under section 111(1) of the Act as a reserve director of the Company to act as director in the place of the director in the event of his death. A person shall not be nominated as a reserve director unless he has consented in writing to be nominated as a reserve director. The nomination of a person as a reserve director of the Company ceases to have effect if: (a) before the death of the sole member/director who nominated him: (i) he resigns as reserve director; or (ii) the sole member/director revokes the nomination in writing; or (b) the sole member/director who nominated him ceases to be the sole member/director for any reason other than his death. 15 Duties of Directors and Conflicts of Interests 15.1 A director, in exercising his powers or performing his duties, shall act honestly and in good faith and in what the director believes to be in the best interests of the Company. 15.2 Notwithstanding the foregoing Article: (a) if the Company is a wholly-owned subsidiary, a director may, when exercising powers or performing duties as a director, act in a manner which he believes is in the best interests of the Company's parent even though it may not be in the best interests of the Company; (b) if the Company is a subsidiary, but not a wholly-owned subsidiary, a director may, when exercising powers or performing duties as a director, with the prior agreement of all the members, other than its parent, act in a manner which he believes is in the best interests |
| DTP/630883-000003/15132735v1 11 of the Company's parent even though it may not be in the best interests of the Company; and (c) if the Company is carrying out a joint venture between the members, a director may, when exercising powers or performing duties as a director in connection with the carrying out of the joint venture, act in a manner which he believes is in the best interests of a member or members, even though it may not be in the best interests of the Company. 15.3 A director shall exercise his powers as a director for a proper purpose and shall not act, or agree to the Company acting, in a manner that contravenes the Act or the Memorandum or these Articles. 15.4 A director, when exercising powers or performing duties as a director, shall exercise the care, diligence, and skill that a reasonable director would exercise in the same circumstances taking into account, but without limitation: (a) the nature of the Company; (b) the nature of the decision; and (c) the position of the director and the nature of the responsibilities undertaken by him. 15.5 A director, when exercising his powers or performing his duties as a director, is entitled to rely upon the register of members and upon books, records, financial statements and other information prepared or supplied, and on professional or expert advice given, by: (a) an employee of the Company whom the director believes on reasonable grounds to be reliable and competent in relation to the matters concerned; (b) a professional adviser or expert in relation to matters which the director believes on reasonable grounds to be within the person's professional or expert competence; and (c) any other director, or committee of directors upon which the director did not serve, in relation to matters within the director's or committee's designated authority, provided that the director: (i) acts in good faith; (ii) makes proper inquiry where the need for the inquiry is indicated by the circumstances; and (iii) has no knowledge that his reliance on the register of members or the books, records, financial statements and other information or expert advice is not warranted. 15.6 A director may hold any other office or position of profit under the Company (except that of auditor or liquidator) in conjunction with his office of director, and may act in a professional capacity to the Company on such terms as to remuneration and otherwise as the directors shall approve. 15.7 A director may be or become a director or officer of, or otherwise be interested in any company promoted by the Company, or in which the Company may be interested, as a member or otherwise and no such director shall be accountable for any remuneration or other benefits received by him as director or officer or from his interest in such other company. The directors may also exercise the voting powers conferred by the shares in any other company held or owned by the Company in such manner in all respects as they think fit, including the exercise |
| DTP/630883-000003/15132735v1 12 thereof in favour of any resolutions appointing them, or of their number, directors or officers of such other company, or voting or providing for the payment of remuneration to the directors or officers of such other company. A director may vote in favour of the exercise of such voting rights in the manner aforesaid notwithstanding that he may be, or be about to become, a director or officer of such other company, and as such in any other manner is, or may be, interested in the exercise of such voting rights in the manner aforesaid. 15.8 No director shall be disqualified by his office from contracting with the Company either as a buyer, seller or otherwise, nor shall any such contract or arrangement entered into by or on behalf of the Company in which any director shall be in any way interested be voided, nor shall any director so contracting or being so interested be liable to account to the Company for any profit realised by any such contract or arrangement, by reason of such director holding that office or by reason of the fiduciary relationship thereby established, provided such director shall, immediately after becoming aware of the fact that he is interested in a transaction entered into or to be entered into by the Company, disclose such interest to the board. For the purposes of this Article: (a) a director is not required to make such a disclosure if: (i) the transaction or proposed transaction is between the director and the Company; and (ii) the transaction or proposed transaction is or is to be entered into in the ordinary course of the Company's business and on usual terms and conditions; (b) a disclosure to the board to the effect that a director is a member, director, officer or trustee of another named company or other person and is to be regarded as interested in any transaction which may, after the date of the entry or disclosure, be entered into with that company or person, is a sufficient disclosure of interest in relation to that transaction. Such a disclosure is not made to the board unless it is made or brought to the attention of every director on the board; and (c) subject to section 125(1) of the Act, the failure by a director to comply with this Article does not affect the validity of a transaction entered into by the director or the Company. 15.9 A director who is interested in a transaction entered into or to be entered into by the Company may: (a) vote on a matter relating to the transaction; (b) attend a meeting of directors at which a matter relating to the transaction arises and be included among the directors present at the meeting for the purposes of a quorum; and (c) sign a document on behalf of the Company, or do any other thing in his capacity as a director, that relates to the transaction. 16 Powers of Directors 16.1 The business of the Company shall be managed by the directors who may pay all expenses incurred preliminary to and in connection with the formation and registration of the Company, and may exercise all such powers of the Company necessary for managing and for directing and supervising, the business and affairs of the Company as are not by the Act or by the |
| DTP/630883-000003/15132735v1 13 Memorandum or these Articles required to be exercised by the members, subject to any delegation of such powers as may be authorised by these Articles and permitted by the Act and to such requirements as may be prescribed by Resolution of the Members, but no requirement made by Resolution of the Members shall prevail if it be inconsistent with these Articles nor shall such requirement invalidate any prior act of the directors which would have been valid if such requirement had not been made. 16.2 Section 175 of the Act shall not apply to the Company. 16.3 If the number of directors shall have been fixed at two or more persons and by reason of vacancies having occurred in the board there shall be only one continuing director, he shall be authorised to act alone only for the purpose of appointing another director. 17 Delegation by the Board to Directors, Committees, Officers, Attorneys and Agents 17.1 The board may entrust to and confer upon any director or officer any of the powers exercisable by it upon such terms and conditions and with such restrictions as it thinks fit, and either collaterally with, or to the exclusion of, its own powers, and may from time to time revoke, withdraw, alter or vary all or any of such powers. Subject to the provisions of section 110 of the Act, the directors may delegate any of their powers to committees consisting of such member or members of their body as they think fit, provided always that a majority of the committee members are residents of the UK and that any such committee must conduct its affairs in the UK. Any committees so formed shall in the exercise of powers so delegated conform to any regulations that may be imposed on it by the directors or the provisions of the Act. 17.2 The directors have no power to delegate the following powers to a committee of directors: (a) to amend the Memorandum or these Articles; (b) to designate committees of directors; (c) to delegate powers to a committee of directors (provided that this and the preceding sub- Article do not prevent a committee of directors, where authorised by the directors, from appointing a sub-committee and delegating powers exercisable by the committee to the sub-committee); (d) to appoint or remove directors; (e) to appoint or remove an agent; (f) to approve a plan or merger, consolidation or arrangement; (g) to make a declaration of solvency for the purposes of section 198(1)(a) of the Act or approve a liquidation plan; or (h) to make a determination under section 57(1) of the Act that the Company will, immediately after a proposed distribution, satisfy the solvency test. 17.3 Where the directors delegate their powers to a committee of directors, they remain responsible for the exercise of that power by the committee, unless they believed on reasonable grounds that |
| DTP/630883-000003/15132735v1 14 at all times before the exercise of the power that the committee would exercise the power in conformity with the duties imposed on directors by the Act. 17.4 The directors may, by Resolution of Directors, appoint officers of the Company at such times as shall be considered necessary or expedient. The officers shall perform such duties as shall be prescribed at the time of their appointment subject to any modifications in such duties as may be prescribed by the directors thereafter. 17.5 Any person may hold more than one office and no officer need be a director or member. The officers shall remain in office until removed from office by the directors, whether or not a successor is appointed. 17.6 Any officer who is a body corporate may appoint any person as its duly authorised representative for the purpose of representing it and of transacting any of the business of the officers. 17.7 The directors may from time to time by power of attorney appoint any company, firm or person or body of persons to be the attorney or attorneys of the Company for such purposes and with such powers, authorities and discretions (not exceeding those vested in or exercisable by the directors under these Articles) and for such period and subject to such conditions as the directors think fit. 17.8 The directors may appoint any person, including a person who is a director, to be an agent of the Company. An agent of the Company has such powers and authority of the directors, including the power and authority to affix the common seal of the Company, as are set forth in the Resolution of Directors appointing the agent, except that no agent has any power or authority with respect to the following: (a) to amend the Memorandum or these Articles; (b) to change the registered office or registered agent; (c) to designate committees of directors; (d) to delegate powers to a committee of directors; (e) to appoint or remove directors; (f) to appoint or remove an agent; (g) to fix emoluments of directors; (h) to approve a plan of merger, consolidation or arrangement; (i) to make a declaration of solvency for the purposes of section 198(1)(a) of the Act or to approve a liquidation plan; (j) to make a determination under section 57(1) of the Act that the Company will, immediately after a proposed distribution, satisfy the solvency test as stipulated in section 56 of the Act; or (k) to authorise the Company to continue as a company incorporated under the laws of a jurisdiction outside the British Virgin Islands. |
| DTP/630883-000003/15132735v1 15 17.9 Where the directors appoint any person to be an agent of the Company, they may authorise the agent to appoint one or more substitutes or delegates to exercise some or all of the powers conferred on the agent by the Company. 17.10 The directors may at any time remove an agent and may revoke or vary a power conferred on him. 18 Proceedings of Directors 18.1 The directors may meet together for the dispatch of business, adjourn and otherwise regulate their meetings as they think fit. The meetings of the board and any committee thereof shall be held at such place or places in the UK as the directors shall decide. 18.2 A director may at any time summon a meeting of the directors. A director shall be given not less than three (3) business days' (as defined in the Act) notice of a meeting of the directors, save that a meeting of directors held on less notice is valid if a majority of the directors entitled to vote at the meeting have waived the notice of the meeting; and, for this purpose, the presence of a director at the meeting shall be deemed to constitute waiver on his part (unless he objects in writing before the meeting proceeds to business). 18.3 The inadvertent failure to give notice of a meeting to a director, or the fact that a director has not received the notice, shall not invalidate the meeting. 18.4 Any director who is a body corporate may appoint any person its duly authorised representative for the purpose of representing it at meetings of the directors and of transacting any of the business of the directors. 18.5 A meeting of the directors is duly constituted for all purposes if at the commencement of the meeting: (a) there are present in person or by alternate not less than one-half of the total number of directors with a minimum of two (2); and (b) a majority of the directors (including alternates, if applicable) in attendance (whether in person or by telephone or other electronic means) must be situated in the UK for the duration of the meeting. 18.6 If within half an hour from the time appointed for the meeting a quorum is not present, the meeting shall be dissolved. 18.7 A director shall be deemed to be present at a meeting of the board if: (a) he or his alternate participates by telephone or other electronic means; and (b) all directors and alternates participating in the meeting are able to hear each other. 18.8 The directors may elect a chairman (the "Chairman of the Board") of their meeting and determine the period for which he is to hold office. If no such Chairman of the Board is elected, or if at any meeting the Chairman of the Board is not present at the time appointed for holding the meeting, the directors present may choose one of their number to be Chairman of the Board for the meeting. Any Chairman of the Board of Directors, Vice Chairman of the Board of Directors or |
| DTP/630883-000003/15132735v1 16 the chairman of any meeting of the directors must be resident in the UK and must be situated in the UK when attending any board meeting (whether in person or by telephone or other electronic means). 18.9 Questions arising at any meeting of directors shall be decided by a majority of the votes cast by directors who are present in person or by alternate at the meeting and entitled to vote on the resolution. In the event of an equality in votes the Chairman of the Board shall have a second or casting vote. 18.10 A resolution approved by a majority of the directors or their alternates for the time being entitled to receive notice of a meeting of the directors taking the form of a consent in writing shall be as valid and effectual as if it had been passed at a meeting of the directors duly convened and held, without the need for any notice, provided always that such resolution shall not be effective unless the majority of the signatories were situated in the UK when signing such resolution. The consent in writing may consist of several documents, including written communications, in like form each signed or assented to by one or more directors. If the consent is in one or more counter parts, and the counterparts bear different dates, then the resolution shall take effect on the earliest date from which directors having a sufficient number of votes to pass the resolution have given their written consent. 18.11 If the Company shall have only one director, the foregoing provisions for meetings of the directors shall not apply but such sole director shall have full power to represent and act for the Company in all matters and in lieu of minutes of a meeting shall record in writing and sign a note of memorandum of all matters requiring a Resolution of Directors. Such note or memorandum shall constitute sufficient evidence of such resolution for all purposes. 19 Indemnification and Insurance 19.1 Subject to the provisions of the Act, every director and officer of the Company (which for the avoidance of doubt, shall not include auditors of the Company), together with every former director and former officer of the Company (each an "Indemnified Person") shall be indemnified out of the assets of the Company against any liability, action, proceeding, claim, demand, costs, damages or expenses, including legal expenses, whatsoever which they or any of them may incur as a result of any act or failure to act in carrying out their functions other than such liability (if any) that they may incur by reason of their own actual fraud or wilful default. No Indemnified Person shall be liable to the Company for any loss or damage incurred by the Company as a result (whether direct or indirect) of the carrying out of their functions unless that liability arises through the actual fraud or wilful default of such Indemnified Person. No person shall be found to have committed actual fraud or wilful default under this Article unless or until a court of competent jurisdiction shall have made a finding to that effect. 19.2 The Company shall advance to each Indemnified Person reasonable attorneys' fees and other costs and expenses incurred in connection with the defence of any action, suit, proceeding or investigation involving such Indemnified Person for which indemnity will or could be sought. In connection with any advance of any expenses hereunder, the Indemnified Person shall execute an undertaking to repay the advanced amount to the Company if it shall be determined by final judgment or other final adjudication that such Indemnified Person was not entitled to indemnification pursuant to this Article. If it shall be determined by a final judgment or other final adjudication that such Indemnified Person was not entitled to indemnification with respect to such judgment, costs or expenses, then such party shall not be indemnified with respect to such |
| DTP/630883-000003/15132735v1 17 judgment, costs or expenses and any advancement shall be returned to the Company (without interest) by the Indemnified Person. 19.3 The directors, on behalf of the Company, may purchase and maintain insurance for the benefit of any director or other officer of the Company against any liability which, by virtue of any rule of law, would otherwise attach to such person in respect of any negligence, default, breach of duty or breach of trust of which such person may be guilty in relation to the Company. 20 Company Seal and Entry into Contracts and Deeds 20.1 The directors shall provide for the safe custody of the common seal of the Company. The common seal when affixed to any instrument (save for a share certificate in accordance with these Articles) shall be witnessed by a director or officer of the Company or any other person so authorised from time to time by the directors. 20.2 A contract may be entered into by the Company as follows: (a) a contract that, if entered into by an individual, would be required by law to be in writing and under seal, may be entered into by or on behalf of the Company in writing under the common seal of the Company, or executed by or on behalf of the Company by a director or an authorised agent of the Company, and may be varied or discharged in the same manner; (b) a contract that, if entered into by an individual, would be required by law to be in writing and signed, may be entered into by or on behalf of the Company in writing and signed by a person acting under the express or implied authority of the company, and may be varied or discharged in the same manner; and (c) a contract that, if entered into by an individual, would be valid although entered into orally, and not reduced to writing, may be entered into orally by or on behalf of the Company by a person acting under the express or implied authority of the Company, and may be varied or discharged in the same manner. 20.3 Notwithstanding the foregoing Article, an instrument is validly executed by the Company as a deed, or an instrument under seal, if it is either: (a) sealed with the common seal of the Company and witnessed by a director and/or such other person who is authorised by the Memorandum or these Articles to witness the application of the common seal of the Company; or (b) expressed to be, or is expressed to be executed as, or otherwise makes clear on its face that it is intended to be, a deed and it is signed by a director and/or by a person acting under the express or implied authority of the Company. 21 Distributions 21.1 Subject to the provisions of the Act, the directors may, by Resolution of Directors, authorise a distribution by the Company at a time, and of an amount, and to any members they think fit if they are satisfied, on reasonable grounds that, immediately after the distribution, the value of the Company's assets will exceed the Company's liabilities and the Company will be able to pay its debts as they fall due. Distributions, including dividends, may be declared and paid in cash or in |
| DTP/630883-000003/15132735v1 18 specie, in shares or other assets and the directors may for such purpose set such value as they deem fair upon any such assets. 21.2 No distribution shall be paid on those shares which are held by the Company as treasury shares at the date of declaration of the distribution. 21.3 The directors may, before recommending any distribution, set aside out of the profits of the Company such sums as they think proper as a reserve or reserves which shall, at their discretion, either be employed in the business of the Company or be invested in such investments as the directors may from time to time think fit. 21.4 If several persons are registered as joint holders of any share, any of them may give effectual receipt for any distribution or other monies payable on or in respect of the share. 21.5 Notice of any distribution that may have been declared shall be given to each member in manner hereinafter mentioned and all distributions unclaimed for three years after having been declared may be forfeited by the directors for the benefit of the Company. 21.6 No distribution shall bear interest against the Company. 22 Company Records 22.1 The Company shall keep records that: (a) are sufficient to show and explain the Company's transactions; and (b) will, at any time, enable the financial position of the Company to be determined with reasonable accuracy. 22.2 The Company shall keep the following records at the Company's principal place of business or at such other place or places as the directors may determine: (a) minutes of all meetings and all resolutions of members and of classes of members; (b) minutes of all meetings and all resolutions of directors and committees of directors; and (c) the records and underlying documentation of the Company (including, without limitation, its accounts (if any)). 22.3 Where any such records are kept at a place other than at the office of the Company's registered agent, the Company shall provide the registered agent with a written record of the physical address of the place or places at which the records are kept. Where the place at which any such records is changed, the Company shall provide the registered agent with the physical address of the new location of the records within fourteen (14) days of the change of location. 22.4 The Company shall retain its records and underlying documentation for a period of at least five years from the date: (a) of completion of the transaction to which the records and underlying documentation relate; or |
| DTP/630883-000003/15132735v1 19 (b) the Company terminates the business relationship to which the records and underlying documentation relate, and for these purposes "business relationship" means a continuing arrangement between the Company and one or more persons with whom the Company engages in business, whether on a one-off, regular, habitual or regular basis. 22.5 The Company shall keep a register to be known as a register of directors containing the names and addresses of the persons who are directors, the date on which each person whose name is entered in the register was appointed as a director, the date on which each person named as a director ceased to be a director, and such other information as may be prescribed from time to time by law. 22.6 The Company shall maintain an accurate and complete register of members showing the full names and addresses of all persons holding registered shares in the Company, the number of each class and series of registered shares held by such person, the date on which the name of each member was entered in the register of members and where applicable, the date such person ceased to hold any registered shares in the Company. 22.7 The Company shall maintain an accurate and complete register of charges in accordance with section 162(1) showing; (a) if the charge is a charge created by the company, the date of its creation or, if the charge is a charge existing on property acquired by the company, the date on which the property was acquired; (b) a short description of the liability secured by the charge; (c) a short description of the property charged; (d) the name and address of the trustee for the security or, if there is no such trustee, the name and address of the chargee; (e) unless the charge is a security to bearer, the name and address of the holder of the charge; and (f) details of any prohibition or restriction, if any, contained in the instrument creating the charge on the power of the Company to create any future charge ranking in priority to or equally with the charge. 22.8 The Company shall keep the following at the office of its registered agent: (a) the Memorandum and these Articles; (b) the register of members maintained in accordance with these Articles or a copy of the register of members; (c) the register of directors maintained in accordance with these Articles or a copy of the register of directors; (d) copies of all notices and other documents filed by the Company in the previous ten years; |
| DTP/630883-000003/15132735v1 20 (e) a copy of the register of charges kept by the Company pursuant to section 162(1) of the Act; and (f) an imprint of the common seal. 22.9 Where the Company keeps a copy (but not the original) of the register of members or the register of directors at the office of its registered agent, it shall: (a) within fifteen (15) days of any change in the register, notify the registered agent, in writing, of the change; and (b) provide the registered agent with a written record of the physical address of the place or places at which the original register of members or the original register of directors is kept, and where the place at which the original register of members or the original register of directors is changed, the Company shall provide the registered agent with the physical address of the new location of the records within fourteen (14) days of the change of location. 22.10 The records, documents and registers required by these Articles shall be open to the inspection of the directors at all times. 22.11 The directors shall from time to time determine whether and to what extent and at what times and places and under what conditions the records, documents and registers of the Company or any of them shall be open to the inspection of members not being directors, and no member (not being a director) shall have any right to inspect any records, documents or registers of the Company except as conferred by the Act or authorised by a Resolution of Directors. 23 Audit 23.1 The directors may by a Resolution of Directors call for the accounts of the Company to be examined by an auditor or auditors to be appointed by them at such remuneration as may from time to time be agreed. 23.2 The auditor may be a member but no director or officer of the Company shall be eligible during his continuance in office. 23.3 Every auditor of the Company shall have a right of access at all times to the books of account of the Company, and shall be entitled to require from the officers of the Company such information and explanations as he thinks necessary for the performance of his duties. 23.4 The report of the auditor shall be annexed to the accounts upon which he reports, and the auditor shall be entitled to receive notice of, and to attend, any meeting at which the Company's audited profit and loss account and/or balance sheet is to be presented. 24 Notices 24.1 Any notice, information or written statement required to be given to members shall be served by mail, fax (or equivalent means of transmittance) or email addressed to each member at the address shown in the Company's register of members (or where the notice is given by email or fax (or equivalent means of transmittance) by sending it to the email address or fax number (or |
| DTP/630883-000003/15132735v1 21 equivalent) provided by such member). Any mailed notice, if posted from one country to another, is to be sent by airmail. 24.2 Where a notice is sent by courier, service of the notice shall be deemed to be effected by delivery of the notice to a courier company, and shall be deemed to have been received on the third day (not including Saturdays or Sundays or public holidays in the British Virgin Islands or the UK) following the day on which the notice was delivered to the courier. Where a notice is sent by post, service of the notice shall be deemed to be effected by properly addressing, pre paying and posting a letter containing the notice, and shall be deemed to have been received on the fifth day (not including Saturdays or Sundays or public holidays in the British Virgin Islands or the UK) following the day on which the notice was posted. Where a notice is sent by fax (or equivalent means of transmittance), service of the notice shall be deemed to be effected by properly addressing and sending such notice and shall be deemed to have been received on the same day that it was transmitted. Where a notice is given by email service shall be deemed to be effected by transmitting the email to the email address provided by the intended recipient and shall be deemed to have been received on the same day that it was sent, and it shall not be necessary for the receipt of the email to be acknowledged by the recipient. 24.3 A notice may be given by the Company to the person or persons which the Company has been advised are entitled to a share or shares in consequence of the death or bankruptcy of a member in the same manner as other notices which are required to be given under these Articles and shall be addressed to them by name, or by the title of representatives of the deceased, or trustee of the bankrupt, or by any like description at the address supplied for that purpose by the persons claiming to be so entitled, or at the option of the Company by giving the notice in any manner in which the same might have been given if the death or bankruptcy had not occurred. 24.4 All notices directed to be given to the members shall, with respect to any registered shares to which persons are jointly entitled, be given to whichever of such persons is named first in the Company's register of members, and notice so given shall be sufficient notice to all the holders of such shares. 25 Continuation The Company may, by a Resolution of Directors or by a Resolution of Members, continue as a company incorporated under the laws of a jurisdiction outside the British Virgin Islands in the manner provided under those laws. 26 Liquidation 26.1 The Company may be voluntarily liquidated under Part XII of the Act if; (a) it has no liabilities; or (b) it is able to pay its debts as they fall due and the value of its assets equals or exceeds its liabilities. 26.2 A voluntary liquidator may, subject to the terms of the Act, be appointed by a Resolution of Directors or by a Resolution of Members provided the members have approved, by Resolution of Members, a liquidation plan approved by the directors. |
| DTP/630883-000003/15132735v1 22 26.3 If the Company shall be liquidated, the voluntary liquidator may divide amongst the members in specie or in kind the whole or any part of the assets of the Company (whether they shall consist of property of the same kind or not) and may for such purpose set such value as he deems fair upon any such property to be divided as aforesaid and may determine how such division shall be carried out as between the members or different classes of members. The liquidator may vest the whole or any part of such assets in trustees upon such trust for the benefit of the contributors as the liquidator shall think fit, but so that no member shall be compelled to accept any shares or other securities whereon there is any liability. |
| DTP/630883-000003/15132735v1 23 We, Maples Corporate Services (BVI) Limited of Kingston Chambers, PO Box 173, Road Town, Tortola, British Virgin Islands in our capacity as registered agent for the Company for the purpose of applying to disapply Part IV of Schedule 2 of the BVI Business Companies Act, 2004 in relation to the Company hereby sign these Articles of Association this 12th day of January 2015. Registered Agent Sgd. Ruairi Bourke Authorised Signatory Maples Corporate Services (BVI) Limited |
Exhibit 3.94
![]() | No. 50928 I, TERRITORY OF THE BRITISH VIRGIN ISLANDS THE INTERNATIONAL BUSINESS COMPANIES ORDINANCE ( No. 8 of 1984 ) CERTIFICATE OF INCORPORATION ( Sections 14 and 15 ) JOSEPH BRICE , Registrar of Companies of the British Virgin Islands DO HEREBY CERTIFY pursuant to the International Business Companies Ordinance (No. 8 of 1984) that all the requirements of the said Ordinance in respect of incorporation having been satisfied, PRIDE INTERNATIONAL LTD. is incorporated in the British Virgin Islands as an International Business Company this 16th day of Oct. 19 91 Given under my hand and seal at Road Town in the Island of Tortola L"'- ............... . \l. . . .v .,_.,-.- ... |
Exhibit 3.95
| OPERA TING AGREEMENT OF ENSCOINVESTMENTSLLC A NEV ADA LIMITED LIABILITY COMP ANY This Operating Agreement (this "Agreement") of ENSCO Investments LLC, a Nevada limited liability company (the "Company"), is entered into as of the 10th day of December, 2009, by ENSCO International Incorporated, a Delaware corporation (the "Member"), as the initial member of the Company. The Member hereby forms the Company pursuant to and in accordance with Chapter 86 of the Nevada Revised Statutes, as amended from time to time (the "NRS"), and hereby agrees as follows: 1. Name. The name of the Company shall be "ENSCO Investments LLC," and the business of the Company shall be conducted under such name. The Member has filed or shall file Articles of Organization for the Company substantially in the form attached hereto as Exhibit A. 2. Purpose and Duration. The purposes of the Company are (a) to act or carry on business as a holding company and for that purpose to acquire and hold shares, stocks, debentures, bonds, loans, obligations or securities of whatsoever nature issued by any company or entity wheresoever incorporated or carrying on business and to exercise and enforce all rights and powers conferred by or incident to the ownership thereof; (b) to control and coordinate the administration and operation of any companies for the time being directly or indirectly controlled by the Company and to provide services of all kinds including managerial and other executive, supervisory and consultancy services for or in relation to any company or entity upon such terms as the Company may think fit; and (c) to engage in any and all other lawful activities for which an LLC may be organized under the NRS (such purposes being collectively referred to as the "Business"). The Company may, from time to time, apply for and qualify to do business in any state or territory of the United States or any foreign country, commonwealth, kingdom, sovereign state or territory. The Company will have a perpetual existence. 3. Principal Executive Office. The principal executive office of the Company shall be l 00 New Bridge Street, London, England EC4V 6JA, or such other places within the United Kingdom as the Managers may from time to time decide, and all books and records of the Company shall be maintained in the United Kingdom. 4. Registered Agent. The registered agent of the Company for service of person or the Company in the State of Nevada shall be The Corporation Trust Company of Nevada or any other person or entity named by the Managers (defined below). HOUDMS/261866. 7 |
| 5. Registered Office. The address of the registered office of the Company in the State of Nevada is c/o The Corporation Trust Company of Nevada, 6100 Neil Road, Suite 500, Reno, Nevada 89511. · 6. Powers of the Company. The Company shall have the power and authority to take any and all actions necessary, appropriate, advisable, convenient or incidental to or for the furtherance of the Business. 7. Equity Share Capital; Initial Capital Contribution; Repurchase/Cancellation. A "member's interest" (as defined in NRS 86.091) in the Company shall be represented by shares held by such Member as provided herein, which shall be evidenced by one or more physical share certificates (as provided by NRS 86.286(3)); provided, that multiple shares may be represented by a single certificate. Every share certificate must be signed by two Managers. Every share shall have a par value of $1.00 per share, which shall be the minimum consideration per share to be paid to the Company in connection with the issuance of the Company's shares. All such shares are identical in that they entitle the holder(s) thereof to the same rights and privileges hereunder as any other share. Each issued and outstanding share shall have one vote on all matters properly coming before the Member. The Company may repurchase or cancel shares against cash or noncash consideration as may be agreed with the Member holding such shares, and may increase or decrease authorized share capital at any time by the vote of the Member. Any repurchased shares shall be deemed cancelled immediately upon acquisition by the Company, and shall thereafter remain authorized and unissued until further issuance by the Company in the sole discretion of the Member. The Member shall make a capital contribution of US$100 in cash to the Company in exchange for the issuance of 100 shares as "member's interests" and shall thereby own one hundred percent (I 00%) of the equity interest in the Company. A Member is not entitled to the return of any part of its capital contributions or to be paid interest in respect of its capital contributions. An unrepaid capital contribution is not a liability of the Company or of the Member. 8. Additional Contributions. Any additional capital contributions to the Company, including any amounts deemed necessary for the Company to develop the Business, shall be made at the sole discretion of the Member. If a Member makes an additional capital contribution, the Company may issue additional shares representing additional "member's interests" to such Member. 9. Allocation of Profits and Losses. Unless and until additional members are admitted to the Company, the Company intends to be treated as a disregarded entity for U.S. federal and state income tax purposes, and shall file such forms (including Form 8832, "Entity Classification Election") as may be necessary or desirable to accomplish such purpose. Accordingly, all items of income, gain, loss, deduction and credit of the Company shall be considered items of income, gain, loss, deduction and credit of the Member of the Company, all in accordance with the relevant percentage holding of the Member. 10. Distributions. Distributions shall be made to the Member at the times and in the amounts determined by the Managers in accordance with the relevant percentage of the shares of members' interests held by each Member. To the extent the Company is required by law to withhold or to make tax payments on behalf of or with respect to any Member, the Company HOUDMS/261866.7 2 |
| may withhold such amounts and make such tax payments as so required. For purposes of this Agreement, any such payments or withholdings shall be treated as a distribution to the Member on behalf of whom the withholding or payment was made. 11. Powers of Member; Transfer of Shares. (a) The Member shall have the power to exercise any and all rights and powers granted to the members pursuant to the express terms of this Agreement. A Member (in its capacity as such) may not participate in the management or control of the Business or the Company or otherwise bind the Company unless otherwise provided in this Agreement. (b) The Member may sell, assign, transfer, pledge, hypothecate or otherwise encumber the shares representing such Member's "member's interest" in the Company upon terms and subject to conditions as the Member may determine. 12. Management. 12.1 Managers. (a) Managed by Managers. The Company shall be managed by the managers (the "Managers"), who shall be the "managers" within the meaning of NRS 86.071. Subject to the limitations set forth in this Agreement, the Managers shall have full, exclusive and complete discretion to manage and control the Business and affairs of the Company, to make all decisions affecting the Business and affairs of the Company and to take all such actions as they deem necessary or appropriate to accomplish the purpose of the Company as set forth herein. If at any time the Company has more than one Manager, at such times as the Managers act as a body in a Managers meeting, the Managers can act only by a majority vote of a quorum. Each Manager has one vote. The Managers shall be the sole persons with the power to bind the Company, except and to the extent that such power is expressly delegated to any other person or entity by the Managers or by this Agreement. Unless otherwise determined by the Managers or provided in this Agreement, each Manager, acting individually on behalf of the Company, has the authority to bind the Company. (b) Number of Managers. The number of Managers shall initially be three. The number of Managers may be increased or decreased by the Member from time to time. ( c) Appointment. The Managers shall be appointed by the Member annually prior to the expiration of the initial appointment of Managers or upon a vacancy; provided, however, that the absence of any appointment by the Member (either annually or upon a vacancy) shall not diminish the powers of any incumbent Managers, each of whom shall remain in office until earlier death, resignation, or removal/replacement (in the sole discretion of the Member). In no event shall any Manager have the power to appoint any other Managers or him or herself as a Manager. The Managers need not be Members of the Company, but a majority of the Managers shall be tax residents of the United Kingdom. Managers may only be appointed if they are of sufficient calibre to enable them to demonstrate that they have the necessary skills and experience to manage the strategic decisions of the Company, as determined HOUDMS/26 I 866. 7 3 |
| by the Member in its sole discretion. The initial Managers shall be James W. Swent III, Patrick C. Lowe and Zarksis D. Italia. ( d) Meetings. All meetings of the Managers shall take place in the United Kingdom. Managers may not attend meetings of Managers by telephone, videoconference or other electronic communications unless a majority of the Managers participating in the meeting are physically present in the United Kingdom. No act of any Manager, acting on behalf of the Company in his capacity as a Manager, taken outside of the United Kingdom shall be valid or binding upon the Company. During Manager meetings, the general business and strategy of the Company will be considered and reviewed in detail unless a Manager meeting is called to vote on, approve or otherwise consider a specific matter or matters, in which case the consideration of such matter or matters shall constitute the agenda for such Manager meeting and the general business and strategy of the Company need not be considered at such meeting. Manager meetings shall be fully minuted, documenting the decision making process, atten~ees and location of such meetings. Suitable information shall be made available to all Managers in advance of Manager board meetings to enable the Managers to make full and informed decisions at subsequent board meeting (including, but not limited to, briefing papers, forecasts, professional evaluations, and similar materials, as appropriate). (e) Quorum; Majority Vote. A majority of the Managers constitutes a quorum for the transaction of business by the Managers, except to adjourn as provided below. Every act or decision done or made by a majority of the Managers present at a meeting at which a quorum has been established is the act of the Managers, unless a greater number is required by law or the Articles of Organization of the Company. If the quorum consists of two Managers, then a majority vote shall be deemed to require the vote of both Managers. (f) Removal. Each Manager shall hold office until the Manager's death, resignation or removal in accordance with the provisions hereof. A Manager may resign by delivering a written resignation to the Member. A resignation is effective upon the appointment of a replacement Manager by the Member unless it is specified to be effective at some other time or upon the happening of some other event. A Manager may be removed at any time, with or without cause, by the Member by delivering written notice of such removal to the Manager. Such removal shall be effective upon delivery of such notice by the Member, unless such notice is specified to be effective at some other time or upon the happening of some other event. (g) Adjournment. A quorum of Managers may adjourn any meeting of Managers. In the absence of a quorum, a majority of the Managers present may adjourn any meeting of Managers. In adjourning a meeting, the Managers adjourning the meeting can designate a time and place of the next meeting of the Managers. (h) Written Consents. The Managers may take any action by written consent in lieu of a meeting; provided, that any written consent in lieu of a meeting shall state the city and country where each Manager executed the written consent and the Managers shall be provided with suitable time and information in advance of executing the written consent to enable the Managers to make full and informed decisions, including discussing any such information with other Managers. Any written consent of the Managers in lieu of a meeting HOUDMS/261866.7 4 |
| shall be ineffective unless a majority of the Managers are within the United Kingdom when such written consent is executed. (i) Notice. Written notice of meetings of Managers shall be delivered to each Manager personally or by email or fax to the Manager's address at least 24 hours before the meeting. Any Manager can waive notice of any meeting but must do so in writing, orally if noted in the minutes of the meeting or by attending and participating in the decisions of the meeting without protesting the lack of notice. G) Vacancies. Any vacancy in the position of a Manager resulting from the death, resignation or removal of a Manager shall be filled by the Member, as promptly as practicable, by designating, in writing, a replacement Manager. The designation of a replacement Manager is effective upon receipt of the written designation by the Manager designated, unless the notice is specified to be effective at some other time or upon the happening of some other event. (k) Time Devoted To Duties. Each Manager shall devote only such time to the affairs of the Company as such Manager may, in such Manager's sole discretion, deem necessary or advisable for the proper discharge of such Manager's duties as a Manager hereunder. 12.2 Officers. The Managers may appoint officers at any time to act on behalf of the Company with such power and authority as the Managers may delegate in writing to any such persons. The officers of the Company, if deemed necessary by the Managers, may include a president, vice president, secretary, and/or chief financial officer. The officers shall serve at the pleasure of the Managers and may be removed with or without cause by the Managers, subject to all rights, if any, of an officer under any contract of employment. Any individual may hold any number of offices. The officers shall exercise such powers and perform such duties as specified in this Agreement or as shall be determined from time to time by the Managers. 12.3 No Management by Other Persons or Entities. Except and only to the extent expressly delegated by the Managers or as set forth herein, no person or entity other than the Managers shall be an agent of the Company or have any right, power or authority to transact any business in the name of the Company or to act for or on behalf of or to bind the Company. 12.4 Restricted Actions of the Managers. Notwithstanding any provision in this Agreement to the contrary, the following decisions and actions by the Managers require the prior written consent of the Member: (a) Admit any additional person or entity as a member of the Company; (b) Amend any provision of this Agreement; ( c) Merge or consolidate into or with any other entity, or sell, transfer, convey, lease, license, encumber or mortgage substantially all of the Company's assets; (d) Convert into any other form of entity; and HOUDMS/261866. 7 5 |
| (e) Liquidate, wind-up or dissolve the Company or enter into or commence any new or additional line of business outside of the Business defined herein. 12.5 Reliance by Third Parties. Any person or entity dealing with the Company or the Managers may rely upon a certificate signed by any of the Managers, the secretary of the Company (if any) or any assistant secretary of the Company (if any) as to: (a) The identity and qualifications of the Manager(s); (b) The existence or non-existence of any fact or facts which constitute a condition precedent to acts by the Managers or are in any other manner germane to the affairs of the Company; (c) The persons who, or entities which, are authorized to execute and deliver any instrument or document of or on behalf of the Company; or ( d) Any act or failure to act by the Company or as to any other matter whatsoever involving the Company, the Member or the Managers. 13 . Assignments. The Member may assign in whole or in part its shares in the Company in writing under such terms and conditions as the Member shall determine in its sole discretion and, at the sole election of the Member, the assignee shall be admitted as a member of the Company. 14. Admission of Additional Members. Subject to the prior written consent of the Member, the Managers may admit one or more additional members of the Company. On or before the admission of any such additional member of the Company, the Member shall amend this Agreement to make such changes as the Member shall determine to reflect the fact that the Company shall have more than one member. 15. Liability of Member. Except to the extent provided in the NRS, the debts, obligations and liabilities of the Company, whether arising strictly at law, in contract, tort or otherwise, shall be the debts, obligations and liabilities solely of the Company, and neither the Managers nor the Member shall have any liability for the obligations or liabilities of the Company. 16. Indemnification. 16.1 Exculpation; Indemnification. (a) For purposes of this Agreement, the term "Indemnified Party" means the Member, the Managers and any officer of the Company and any Affiliate (as defined below) of the Member or the Company, any officer, director, shareholder, partner or employee of the Member, the Company and their respective Affiliates, and any person who is or was serving at the request of the Company as an officer, director or manager of any other limited liability company, corporation, partnership, joint venture, trust or other enterprise. HOUDMS/261866.7 6 |
| (b) To the fullest extent provided by the NRS and any other applicable law, the Company shall indemnify any Indemnified Party who is or was a party or is threatened to be made a party to any action, suit or proceeding by reason of the fact the Indemnified Party is or was serving as an Indemnified Party, against all expenses (including attorney's fees and costs) judgments, fines and amounts paid in settlement actually and reasonably incurred by the Indemnified Party in connection with the action, suit or proceeding if he acted in good faith and in a manner which he reasonably believed to be in or not opposed to the best interests of the Company. (c) No Indemnified Party shall be liable to the Company or any other Indemnified Party for any loss, damage or claim incurred by reason of any act or omission performed or omitted by such Indemnified Party if the Indemnified Party acted in good faith and in a manner which he reasonably believed to be in or not opposed to the best interests of the Company. The provisions of this Agreement, to the extent that they restrict the duties and liabilities of an Indemnified Party otherwise existing at law or in equity, are agreed by the Member to replace such other duties and liabilities of the Indemnified Party. ( d) Notwithstanding the foregoing, any indemnity provided herein shall be provided out of and to the extent of Company assets only, and no Indemnified Party shall have any personal liability on account thereof. ( e) An Indemnified Party shall be fully protected in relying in good faith upon the records of the Company and upon such information, opinions, reports or statements presented to the Company by any person or entity as to matters the Indemnified Party reasonably believes are within the professional or expert competence of such person or entity and who or which has been selected with reasonable care by or on behalf of the Company, including information, opinions, reports or statements as to the value and amount of the assets, liabilities, profits, losses, or any other facts pertinent to the existence and amount of assets from which distributions to the Member might properly be paid. (f) The term "Affiliate" for purposes of this Agreement shall mean with respect to any company, any other company directly or indirectly controlling (including, but not limited to, all directors and officers of such company), controlled by, or under direct or indirect common control with such company. A company shall be deemed to control another company if such company possesses, directly or indirectly, the power to (i) vote fifty percent (50%) or more of the stock having ordinary voting power for the election of directors of such company, or (ii) direct or cause the direction of the management and policies of such company, whether through the ownership of stock, common members of board of directors, by contract or otherwise. 16.2 Expenses. To the fullest extent permitted by the NRS and any other applicable law, expenses (including legal fees and costs) incurred by an Indemnified Party in defending any claim, demand, action, suit or proceeding shall, from time to time, be advanced by the Company prior to the final disposition of such claim, demand, action, suit or proceeding upon receipt by the Company of an undertaking by or on behalf of the Indemnified Party to repay such amount if it shall ultimately be determined by a court of competent jurisdiction that the Indemnified Party is not entitled to be indemnified as authorized in this Section 16. The HOUDMS/261866.7 7 |
| Company may make such advance payments of expenses by and through a Manager or an officer, acting alone, and no collective act of or approved by the Managers as a body is necessary. 16.3 Insurance. The Company may purchase and maintain insurance, to the extent and in such amounts as the Managers shall, in their sole discretion, deem reasonable, on behalf of any Indemnified Party and such other persons or entities as the Managers shall determine, against any liability that may be asserted against the Indemnified Party, for expenses that may be incurred by any such person or entity in connection with the activities of the Company or such indemnitees, regardless of whether the Company would have the power to indemnify the person or entity against the liability under the provisions of this Agreement. The Managers and the Company may enter into indemnity contracts with any Indemnified Party and adopt written procedures p~rsuant to which afrangements are made for the advancement of expenses and the funding of obligations under this Section 16 and containing such other procedures regarding indemnification as they may deem appropriate. 17. Outside Business. The Member or an Affiliate thereof may engage in or possess an interest in other business ventures of any nature or description, independently or with others, similar or dissimilar to the business of the Company, and the Company and the Member shall have no rights by virtue of this Agreement in and to such independent ventures or the income or profits derived therefrom, and the pursuit of any such venture, even if competitive with the business of the Company, shall not be deemed wrongful or improper. The Member or Affiliate thereof shall not be obligated to present any particular investment opportunity to the Company even if such opportunity is of a character that, if presented to the Company, could be taken by the Company, and the Member or Affiliate thereof shall have the right to take for its own account (individually or as a partner, shareholder, fiduciary or otherwise) or to recommend to others any such particular investment opportunity. 18. Dissolution. The Company shall dissolve, and its affairs· shall be wound up upon the first to occur of the following: (a) the written consent of the Member, (b) bankruptcy or dissolution of the Member or the occurrence of any other event which terminates the continued ownership of the Member in the Company if at such time there is only one Member, or (c) the entry of a decree of judicial dissolution of the Company under the NRS. 19. Liquidation. (a) Upon the occurrence of an event of dissolution as provided for in Section 18 of this Agreement, the Company shall cease to engage in any further business, except to the extent necessary to perform existing obligations, and shall wind up its affairs and liquidate its assets. The Managers have the sole authority and control over the winding up and liquidation of the Company's Business and affairs and must diligently pursue the winding up and liquidation of the Company. (b) During the course of liquidation, the Member shall continue to take into account the Company's profits and losses as provided in Section 9 of this Agreement. HOUDMS/261866.7 8 |
| (c) Liquidation shall continue until the Company's affairs are in such condition that there can be a final accounting, showing that all fixed or liquidated obligations and liabilities of the Company are satisfied or can be adequately provided for under this Agreement. The assumption or guarantee in good faith by one or more financially responsible persons shall be deemed to be an adequate means of providing for such obligations and liabilities. When the Managers have determined that there can be a final accounting, they shall establish a date for the distribution of the proceeds of liquidation of the Company. (d) Upon the dissolution and liquidation of the Company, the proceeds of liquidation shall be applied as follows: (i) first, to pay all expenses of liquidation and winding up; (ii) second, to pay all debts, obligations and liabilities of the Company, in the order of priority as provided by law, other than debts owing to the Member or on account of the Member's contributions; (iii) third, to pay all debts of the Company owing to the Member; and (iv) to establish reasonable reserves for any remaining contingent or unforeseen liabilities of the Company not otherwise provided for, which reserves shall be maintained by the Managers on behalf of the Company in a regular interest-bearing trust account for a reasonable period of time as determined by the Managers. If any excess funds remain in such reserves at the end of such reasonable time, then such remaining funds shall be distributed by the Company pursuant to Section 10 of this Agreement. ( e) Upon final liquidation of the Company the net proceeds of liquidation remaining following the settling of accounts shall be distributed to the Member in accordance with Section 10 of this Agreement. (f) Upon dissolution and liquidation of the Company, the Managers shall cause to be executed and filed with the Secretary of State of the State of Nevada, articles of dissolution in accordance with the NRS and any other forms, notices or certificates required to be filed by the Company in any jurisdiction. 20. Governing Law. This Agreement shall be governed by, and construed under, the laws of the State of Nevada, without regard to the rules of conflict of laws thereof. 21. Accounting. The Company's fiscal year will be the calendar year and shall end on December 31. 22. Amendments. This Agreement and the Articles of Organization for the Company may only be amended with the prior written consent of the Member. Any such amendment shall be in writing, and shall be executed and filed in accordance with the NRS. 23. Nature of Equity Share Capital; Agreement is Binding Upon Successors. The equity share capital of the Member in the Company constitutes its personal estate. This Agreement is binding upon all successors in interest of the Member. 24. Third Parties. Nothing in this Agreement, express or implied, is intended to confer upon any party, other than the party(ies) hereto, and its or their respective successors and permitted assigns, any rights, remedies, obligations or liabilities under or by reason of this Agreement, except as expressly provided herein. HOUDMS/261866. 7 9 |
| 25. Titles and Subtitles; Form of Pronouns; Construction and Definitions. The titles of the Sections and paragraphs of this Agreement are for convenience only and are not to be considered in construing this Agreement. All pronouns used in this Agreement shall be deemed to include masculine, feminine and neuter fonns, the singular number includes the plural and the plural number includes the singular. Unless otherwise specified, references to Sections are to the Sections in this Agreement. Unless the context otherwise requires, the term "including" shall mean "including, without limitation." 26. NRS Prevails. Unless the context otherwise requires, the general provisions, rules of construction and definitions contained in the NRS shall govern the construction of this Agreement; provided, however, that in the event of any inconsistency between such laws and this Agreement, the provisions of the NRS shall prevail. 27. Severability. If one or more provisions of this Agreement are held by a proper court to be unenforceable under applicable law, portions of such provisions, or such provisions in their entirety, to the extent necessary and permitted by law, shall be severed herefrom, and the balance of this Agreement shall be enforceable in accordance with its terms. 28. Entire Agreement. This Agreement contains the entire understanding of the Member with respect to the subject matter of the Agreement, and it supersedes all prior understandings and agreements, if any, whether written or oral, and all prior dealings of the party(ies) with respect to the subject matter hereof. [signatures on following page] HOUDMS/261866.7 |
| IN WITNESS WHEREOF, the undersigned have duly executed this Agreement, which may be executed in multiple counterparts, but when taken together make one and the same instrument, as of the day and year first above written. MEMBER: MANAGERS: HOUOMS/261866. 7 ENSCO International Incorporated, a Delaware corporation Name: Patrick C. Lowe 11 .. / / / -:;.f·.,,_;~-:--~,/·/. ,,-f' (<.:j'f/4'[~,/, '. /0 0 -#. u.:??Jlc.(,!,· ?x.~,'CJ' ..-'-L-,0 dr-,, ,fr'( ,--~((- i/ |
| IN WITNESS WHEREOF, the undersigned have duly executed this Agreement, which may be executed in multiple counterparts, but when taken together make one and the same instrument, as of the day and year first above written. MEMBER: MANAGERS: ENSCO International Incorporated, a Delaware corporation By: - - ------------ Name: - ------ - ----- Title: ---------- - --- Name: James W. Swent III Name: Patrick C. Lowe Name: Zarksis D. Italia 11 |
| EXHIBIT A Form of Articles of Organization (see attached) |
| • ROSS MILLER Secretary or State 204 North Carson Street, Suite 4 Carson City, Nevada 89701-4520 (775) 684 5708 Website: www.nvsos.gov Articles of Organization Limited-Liability Company (PURSUANT TO NRS CHAPTER 86) USE B LACK INK ONLY • DO NOT HIGHLIGHT ABOVE SPACE IS FOR OFFICE USE ONLY 1• Name of Limited- I ENSCO Investments LLC Liability Company: ! ----· -~- ............ ~--- .. - .... -·· _ __ ., ·-·--··"·-···· .. ·- ··--·-· . --· - •··--·-·· -· -··---- · Check box if a Seri11s Limited• Liability Company {mu, t contain approved i limlted-li,1bllity company : wordlng;see instructions) j··- ····· · - · -- -·············- ·-· - ·--···- ....... ... .. ... ....... . - ....... ... ... . . i i □ 2. Regl5tered 0 Commercial Registered Agent: [!he.C:orror~ti~ -; :Trnsl Co!Tlpan~ . ~FN~vada ... Agent for Service Name of Process: {check D Noncommercial Registered Agent OR D Office or Position with Entity only one box) (name and address below) (name and eddresi below) 3. Dlssolutlon Date: (optional) 4. Management: (required) 5. Name and Address of each Manager or Managing Member: {attach additional page if more than 3) 6. Name, Address and Signature of Organizer: (attach additional page if more than 1 organizer) 7. Certificate of Acceptance of Appointment of Registered Agent: r ···· -·-·· ·--· ... ..... ... · ·· · · - --~---__ .. · --· . ..... ·•· ·· · ·· .-... ~ · ··· · ·----··- · •--. ... •-•- -----·---·-··· ·---·-.. • · ---- -· ··-· .. -··-- ·-· · ···--..... · · · -··· · -······- ----.... . ····-----···-· · ........ ·----.. -·-· .. · · ····t 1 ...... ........ ...... _ ... .... ............ .. - ........... ... _.. . ··-··- ·· ·--- · ... ---- ···· ·· . ........ ----·· ----·-· -••--···•···-·•--«--•-·-···-·-· ··-·· • · •••"·• -··· --···" ... . _J Name of Noncommercial Registered Agent OR Name of TIiie of Office or Other Position wllh Entity ... _ ............ _ ........ -....... . .... ·• ·· . ·-............. .................. ·: r.......... ... . ..... . . ...... ..... ... . . .... .. . ...... . ....... r-.. · · .. . ..... .. .... .. , ...... . .......... .. ... ..... .. , , . . ... ____ ......... ... ... .......... -...... , Nevada L. .... . - .. .... ····-· .. .: Street Address 1 .. . . Malling Address (II different from street address) City i( . . City Zip Code • I • .. i Nevada! Zip Code Latest date upon which the company is to dissolve (if existence is not perpetual):,_. --· --· - ·- .... Company shall be managed by: 1) ;James W. Swent. 111 Name · [Z] Manager(s) OR D Member(s) I check onlv one box\ I t 00 New. Bridge Street .... . ·-·-···· ..... ·-·· .. --.-... _..] l London! England ... --······-.. --' L.. .. _ . . .. I !_EC4V 6JA ..... J Street Address City State Zip Code I • • • • • . . 2) jPatrick C. Lowe Name (JO{)~~~~ri.d~~.~tree. r .. ...... ... .. ..... .......... . ![t,on~. ~n,E11gla11d . . .. .... II . i!E<:4V6JA i Streat Address ___ City State Zip Code 3) [i~ ;i;- 6~"'i1~1i~ -···· -----···-.. ··-·- ··· .. · ···· .. -··--··· · ..... ... .... --. .. -.. - .. -...... _ .............. - ... .. ................ . N · am; ·· - · ·· · · · · -· ·· · · ......... _. ·· -·· ! . t. 00. :1'1~~.~ . i:i~~e~tree !. . . ....... ] l Loridon,. England _...... .. . .. . ... ! 1. _ _ .. . .J i§_ C:: . ~Y 6 JA Street Address City State Zip Codo : Dani· ~·, R · o. T~~ k ··-· · ··· ·· · ·, X I'\ C--v-.. W A-I'(',._; fl Name · 1 Organf~ignature ._, - ! 711 Loui~i~~~ Street, Suite 3400 : ;Houston ' Tx:° ·: '.77002 1Add;;;·;-- . ........ ...... . _..... ........... .... ''citv . . ............ .... ... .... . . ; 'si~i~· Zip Code I hereby accept appointment as Registered Agent for the above named Entity. X i ..... .. . ...... ........... ·-· .. ••· -- ·· .. - ·· Authorited Signature of Registered Agent or On Behalf of Registered Agent Entity Date This form must .ba accompaniad by approprlata faes. NYO<J • 0l/28/2009 CT Sy,,cm OolOI< Nevada Seerelary of Slate NRS 86 DLLC Articles Revised on 3-\B .QB |
Exhibit 3.96
| • RO&SMIUER a.cmary or State 2114 Noltlt caraon snet. su .. , carton City, Nevada lt7G1..tl20 (775t 884 f708 Wllllslle: -.nvsoi;.gov Articles of Organization Limited-Liability Company (PURSUANT TO NRS CHAPTER 86) UR 8LAC1C INK 01tL Y • D0110T INM.ICIHT Filed in the office of Document Number -~AA- 20090832482-58 Filing Date and Time Ross Miller 12/02/200912:30 PM Secretary of State Entity Nwnbtr State of Nevada E0620642009-9 AIOV9111'11CEl8PCIROfAC8 UN ONLY 1 • Name of Umitecl- · ENSCO lnv~;~II LLC - .. ·· I Check box • • Uabillty ~: ' a....Um11N- {111wt COlllain i , Llll:llfty Company :===.> •- .. - - .. ---·-··· ..... I D :s. Dlnohrtlon Date;(opllDnal) Lalntdate "'°" which tho CIJll1PIIOY lat> dililsolvo or mblnGII II not perpelual):L _______ ·--· l 4. MaBagement: (NqUhwcl) Company shall be ma1111ged by: 5. Name and 1) l 1Ja~ W. ·swcnt Dl Addreu of each Nam. .. . . . . . @ Managar(a) OR O Member(s> lelladl.,,,.,, one boa) ..... - .......... .. :::ri~orMembtr: l~~dJ~_streot ________ --, __ J[~ ~---.JL ll~v 6JA ! (attach d4ltloNI PIP r • . . .. .. . . . .. . . . .. . _C,, •. . • • - ...• lillala . . ~ Code more tt.i 3) 2) I Pldrick C. Lowe 8. Name, Address and Signature of Organizer: (alladl IIOdllanll page ffflDN 1111111organlzar) ,... ·----~-------·------- 7. Certfficate of Acceptance or Appointment of Reglst.,.d Agent: I heteb~ appointment as Regis · - named Ently. x ~ :::-::-,, Assistant Secretary fZiZi7.:iu"-- ; AutttorbedSlgNlllnotAllgldl!redAplllwOIIINtllltot........,_d,\gantlnlly 0... ~ ThlalomlmwtH_,,,,_lladby.~'"8. -•-CT--- ...-sea'lllaya1&1a1 MUI• DU.CMldlla R9vlNtlan).IMO |
| LIMITED LIABILITY COMP ANY CHARTER I, ROSS MILLER, the Nevada Secretary of State, do hereby certify that ENSCO INVESTMENTS LLC did on December 2, 2009, file in this office the Articles of Organization for a Limited Liability Company, that said Articles of Organization are now on file and of record in the office of the Nevada Secretary of State, and further, that said Articles contain all the provisions required by the laws governing Limited Liability Companies in the State of Nevada. Certified By: Kathleen Perusse Certificate Number: C20091202-1942 You may verify this certificate online at http://www.nvsos.gov/ IN WITNESS WHEREOF, I have hereunto set my hand and affixed the Great Seal of State, at my office on December 2, 2009. ,d ~ ROSSMILLER Secretary of State |
Exhibit 3.97
| COMPANIES (JERSEY) LAW 1991 MEMORANDUM AND ARTICLES OF ASSOCIATION OF ENSCO JERSEY FINANCE LIMITED a par value limited company adopted by special resolution of the Company on 06 December 2016 Company number: 122628 Incorporated 23 November 2016 |
| COMPANIES (JERSEY) LAW 1991 (the "Law") MEMORANDUM OF ASSOCIATION OF ENSCO JERSEY FINANCE LIMITED (the "Company") a par value public limited company 1. INTERPRETATION 8027970/69012768/ll Words and expressions contained in this Memorandum of Association have the same meanings as in the Law. 2. COMPANY NAME The name of the Company is Ensco Jersey Finance Limited. 3. TYPE OF COMPANY 3.1 The Company is a public company. 3.2 The Company is a par value company. 4. NUMBER OF SHARES The share capital of the Company is US$1,001,000 divided into the following classes of shares: 4.1 1,000 shares of US$1 each designated as "Founders' Shares" and having the rights and restrictions set out in the Company's Articles of Association; and 4.2 10,000,000,000,000 shares of US$0.0000001 each designated as "Preference Shares" and having the rights and restrictions set out in the Company's Articles of Association. 5. LIABILITY OF MEMBERS The liability of a member arising from the holding of a share in the Company is limited to the amount (if any) unpaid on it. |
| 1. 2. 3. 4. 5. 6. 7. 8. 9. 10. 11. 12. 13. 14. 15. 16. 17. COMPANIES (JERSEY) LAW 1991 ARTICLES OF ASSOCIATION OF ENSCO JERSEY FINANCE LIMITED a par value public limited company CONTENTS INTERPRETATION SHARE CAPITAL SHARE PREMIUM ACCOUNT ALTERATION OF SHARE CAPITAL VARIATION OF RIGHTS REGISTER OF MEMBERS SHARE CERTIFICATES LIEN CALLS ON SHARES FORFEITURE OF SHARES TRANSFER OF SHARES TRANSMISSION OF SHARES GENERAL MEETINGS CLASS MEETINGS NOTICE OF GENERAL MEETINGS PROCEEDINGS AT GENERAL MEETINGS VOTES OF MEMBERS ii 8027970/69012768/ll 1 5 8 9 9 10 10 11 12 13 14 15 16 16 17 17 19 |
| 8027970/69012768/11 18. CORPORATE MEMBERS 20 19. DIRECTORS 21 20. ALTERNATE DIRECTORS 21 21. POWERS OF DIRECTORS 22 22. DELEGATION OF DIRECTORS' POWERS 22 23. APPOINTMENT OF DIRECTORS 23 24. RESIGNATION, DISQUALIFICATION AND REMOVAL OF DIRECTORS 23 25. REMUNERATION AND EXPENSES OF DIRECTORS 24 26. EXECUTIVE DIRECTORS 24 27. DIRECTORS'INTERESTS 25 28. PROCEEDINGS OF DIRECTORS 26 29. MINUTE BOOK 27 30. SECRETARY 28 31. THE SEAL 29 32. AUTHENTICATION OF DOCUMENTS 29 33. DIVIDENDS AND OTHER DISTRIBUTIONS 29 34. CAPITALISATION OF PROFITS 32 35. ACCOUNTS AND AUDIT 33 36. NOTICES 33 37. WINDING UP 34 38. INDEMNITY 34 39. NON-APPLICATION OF STANDARD TABLE 35 iii |
| 1. INTERPRETATION COMPANIES (JERSEY) LAW 1991 ARTICLES OF ASSOCIATION OF ENSCO JERSEY FINANCE LIMITED a par value public limited company 8027970/69012768/11 I.I In these Articles, unless the context or law otherwise requires, the following words and expressions shall have the meanings respectively assigned to them below: 1.1.1 "these Articles" means these Articles of Association in their present form or as from time to time amended; 1.1.2 "Auditors" means the auditors of the Company appointed pursuant to these Articles; 1.1.3 "Bankrupt" has the meaning ascribed to it in the Interpretation (Jersey) Law, 1954; 1.1.4 "Board" means a meeting of a quorum of the Directors duly called and constituted or, as the case may be, a quorum of the Directors assembled at a meeting; 1. 1.5 "Clear Days" means in relation to the period of a Notice that period excluding the day when the Notice is served or deemed to be served and the day for which it is given or on which it is to take effect; 1.1.6 "Closing Date" means the date the Notes are issued; 1.1.7 "Company" means the company incorporated under the Law in respect of which these Articles have been registered; 1.1.8 "Conditions" means the terms and conditions of the Notes as set out in the Indenture, as amended or modified from time to time; 1.1.9 "Directors" means the directors of the Company for the time being or, as the case may be, the directors assembled as a Board (or as a committee); 1.1.10 "Dividend Payment Date" shall have the meaning given to it in Article 2.4.1; 1.1.11 "Dividend Period" shall have the meaning given to it in Article 2.4.1; |
| 8027970/69012768/11 1.1.12 "Due Date" shall have the meaning given to it in Article 9.9; 1. 1. 13 "Exchange Date" shall mean the date of exchange of the Notes specified pursuant to the Indenture; 1.1.14 "Extraordinary Resolution" means a resolution of the Company passed as a special resolution in accordance with the Law; 1.1.15 "Exchange Right" means the right of a Noteholder at specified times in accordance with the Conditions and the terms of the Indenture to exchange each US$1,000 principal amount of a Note for one fully paid Preference Share, with each such Preference Share being allotted at a price equal to the Paid-up Value; 1.1.16 "First Right" means the right carried by the Preference Shares pari passu with the Shares of any class having the like right, on a winding-up of the Company or other return of capital (other than a purchase or redemption of any Preference Share or any Share of any other class) to payment of the Paid-up Value thereof, together with a sum equal to any accrued but unpaid preferential dividend due in respect of such Preference Shares to be calculated to (but excluding) the date when payment of the return of capital is made and to be payable irrespective of whether or not such dividend has been declared or earned, in priority to any payment in respect of any other class of Shares in the Company (save for any Shares with a like right as aforesaid); 1.1.17 "Founders' Shares" means founders' shares having a nominal value of US$1 each in the capital of the Company having the rights attaching thereto prescribed in these Articles; 1.1.18 "Guarantor" means Ensco PLC; 1.1.19 "Holder" means in relation to Shares the Member whose name is entered in the Register as the holder of the Shares; 1.1.20 "Indenture" means the indenture constituting the Notes to be entered into among the Company, the Guarantor and the Trustee on the Closing Date, as from time to time modified or amended in accordance with the terms thereof; 1.1.21 "issue" includes allotment; 1.1.22 "the Law" means the Companies (Jersey) Law 1991 and any subordinate legislation from time to time made thereunder, including any statutory modifications or re enactments for the time being in force; 1.1.23 "Member" means the subscribers to the Memorandum of Association and any other Person whose name is entered in the Register as the holder of Shares in the Company; 2 |
| 8027970/69012768/11 1.1.24 "Memorandum of Association" means the Company's Memorandum of Association in force from time to time; 1.1.25 "Month" means calendar month; 1.1.26 "Noteholder" means the person in whose name a Note is registered in the accordance with the Indenture; 1.1.27 "Notes" means the Company's exchangeable senior notes due 2024, constituted by the Indenture and unconditionally and irrevocably guaranteed by the Guarantor; 1.1.28 "Notice" means a notice in Writing unless otherwise specifically stated; 1.1.29 "Office" means the registered office of the Company; 1.1.30 "Officer" includes a Secretary but otherwise has the meaning ascribed to it in the Law; 1.1.31 "Ordinary Resolution" means a resolution of the Company in general meeting adopted by a simple majority of the votes cast at that meeting; 1.1.32 "Ordinary Shares" means fully paid ordinary shares in the capital of the Guarantor currently with a par value of US$0.10 each; 1.1.33 "Paid Up" includes credited as paid up; 1.1.34 "Paid-up Value" means the agreed issue price of US$1,000 at which each Preference Share is to be issued credited as fully paid-up; 1.1.35 "Persons" includes associations and bodies of persons, whether corporate or unincorporate; 1.1.36 "Preference Shares" means exchangeable redeemable preference shares having a nominal value of US$0.0000001 each in the capital of the Company having the rights attaching thereto prescribed in these Articles; 1.1.37 "Present" in relation to general meetings of the Company and to meetings of the Holders of any class of Shares includes present by attorney or by proxy or in the case of a corporate shareholder by representative; 1.1.38 "Register" means the register of Members required to be kept pursuant to Article 41 of the Law and which shall be kept in Jersey in accordance with Article 6.1; 1.1.39 "reserves" includes unappropriated profits; 1. 1 .40 "rights" includes rights in whatsoever form constituted; 1.1.41 "Seal" means the common seal of the Company; 3 |
| 8027970/69012768/ll 1.1.42 "Secretary" means any Person appointed to perform any of the duties of secretary of the Company (including an assistant or deputy secretary) and in the event of two or more Persons being appointed as joint secretaries any one or more of the Persons so appointed; 1.1.43 "securities" includes, without limitation, shares in the share capital of the Guarantor and options, warrants or other rights to subscribe for or purchase or acquire shares in the capital of the Guarantor; 1.1.44 "Share" means a share in the capital of the Company; 1.1.45 "Share Exchange Right" means a right pursuant to the Articles of a Holder of a Preference Share arising from the exercise of an Exchange Right, to exchange such Preference Share for Ordinary Shares and/or cash; 1.1.46 "Signed" includes a signature or representation of a signature affixed by mechanical or other means and where a document is to be signed by a company, an association or a body of Persons the word "Signed" shall be construed as including the signature of a duly authorised representative on its behalf as well as any other means by which it would normally execute the document; 1.1.4 7 "Sole Member-Director Contract" shall have the meaning given to it in Article 29.3; 1. 1 .48 "Sole Member's Decision" shall have the meaning given to it in Article 29.4; 1.1.49 "Trustee" means Deutsche Bank Trust Company Americas or such other persons for the time being the trustee or trustees of the trusts constituted by the Indenture; 1.1.50 "United Kingdom" means the United Kingdom of Great Britain and Northern Ireland; 1.1.51 "in Writing" includes written, printed, telexed, electronically transmitted or represented or reproduced by any other mode of representing or reproducing words in a visible form; and 1.1.52 "US$" and "USO" mean the lawful currency of the United States of America. 1.2 Save as defined herein and unless the context otherwise requires, words or expressions contained in these Articles shall bear the same meaning as in the Law but excluding any statutory modification thereof not in force when these Articles become binding on the Company. 1.3 In these Articles, unless the context or law otherwise requires: 1.3.1 words and expressions which are cognate to those defined in Article 1.1 shall be construed accordingly; 4 |
| 8027970/69012768/11 1.3.2 the word "may" shall be construed as permissive and the word "shall" shall be construed as imperative; 1.3.3 words importing the singular number only shall be construed as including the plural number and vice versa; 1.3.4 words importing the masculine gender only shall be construed as including the feminine and neuter genders; 1.3.5 references to any act, statute or enactment or any provision of any act, statute or enactment shall be deemed also to refer to any statutory modification or re enactment thereof or any statutory instrument, order or regulation made thereunder or under such modification or re-enactment; and 1.3.6 references to a numbered Article are to the Article so numbered of these Articles. 1.4 The clause and paragraph headings in these Articles are for convenience only and shall not be taken into account in the construction or interpretation of these Articles. 2. SHARE CAPITAL 2.1 At the date of adoption of these Articles, the share capital of the Company comprises two Founders' Shares. 2.2 The Directors may, subject as provided in these Articles, issue any unissued Shares authorised for issue in accordance with the Memorandum of Association as Founders' Shares or Preference Shares, each conferring upon the Holder of such shares the rights hereinafter appearing. 2.3 The rights attaching to the Founders' Shares are as follows: 2.3.1 As regards Income - Each Founders' Share shall, subject to the relevant provisions of the Law, confer on the Holder thereof the right to receive any remaining profits of the Company after the payment to the Holders of the Preference Shares of their fixed cumulative dividend and after payment of any other preferential dividend on any other class of Shares, up to a maximum of US$10,000,000 in any year. 2.3.2 As regards Capital - On a winding up of the Company or other return of capital (other than a purchase or redemption of any Preference Share or any Shares of any other class), the Holder of each Founders' Share shall be entitled, following payment to the Holders of the Preference Shares of all amounts then due under Article 2.4.2(i), to payment of the amount Paid Up thereon and thereafter, any surplus assets then remaining shall be distributed pari passu among the Holders of the Founders' Shares, in proportion to the amounts Paid Up thereon, up to a maximum of US$250,000,000. 5 |
| 8027970/69012768/11 2.3.3 As regards Voting - The Holder of each Founders' Share shall be entitled to receive notice of general meetings of the Company and to attend and vote thereat. On a poll every Holder of Founders' Shares who (being an individual) is present in person or by proxy or (being a corporation) is present by representative or by proxy shall have one million votes in respect of each Founders' Share registered in the name of such Holder. 2.3.4 Founders' Shares shall only be issued to, or for the benefit of, the Guarantor or to or for the benefit of a person previously approved in writing by the Guarantor. 2.4 The rights attaching to the Preference Shares are as follows: 2.4.1 As regards Income - Each Preference Share shall, on allotment, and subject to the relevant provisions of the Law, confer on the Holder thereof a right to receive a fixed cumulative dividend at the rate of x per cent. per annum of the Paid-up Value of each such Preference Share (where "x" is equal to the coupon payable on the Notes) payable in equal instalments semi-annually in arrears on 31 January and 31 July in each year (each a "Dividend Payment Date") commencing with the Dividend Payment Date falling on 31 July 2017 except that no such dividend shall accrue on such Preference Share prior to its allotment. The dividend payable in respect of each Preference Share for any period which is shorter than a Dividend Period shall be calculated on the basis of the number of days actually elapsed in a 30-day month (assuming a 360-day year composed of twelve 30-day months), where "Dividend Period" means the period beginning on (and including) the Closing Date and ending on (but excluding) the first Dividend Payment Date and each successive period beginning on (and including) a Dividend Payment Date and ending on (but excluding) the next succeeding Dividend Payment Date. Such dividends shall accrue from day to day. Each Preference Share will cease to accrue dividends from and including its due date for redemption. No account will be taken of accrued dividends on an exchange pursuant to any Share Exchange Right. The fixed cumulative dividends payable in respect of the Preference Shares shall be paid in priority to any dividend in respect of any other class of Shares in the capital of the Company, other than any such class that ranks pari passu with the Preference Shares as respects rights to dividends. 2.4.2 As regards Capital - On a winding-up of the Company or other return of capital (other than a purchase or redemption of any Preference Share or any Share of any other class), the Preference Shares shall carry (i) the First Right in priority to any payment in respect of any other class of Shares in the Company save for any Share of any class carrying the like right (in the event that the assets of the Company available for distribution are insufficient to repay in full the Paid-up Value of each Preference Share or Shares carrying the like right together with the accruals referred to in Article 1.1.16, the available assets shall be apportioned pro rata amongst the Preference Shares and Shares carrying the like right then in issue according to the Paid-up Value and the amount at which any such other Share is credited as paid-up and accruals outstanding) and (ii) following payment of the full 6 |
| 8027970/69012768/11 amount due to the Holders of Founders' Shares under Article 2.3.2, the right to all the surplus assets of the Company. 2.4.3 As regards Voting - The Holders of the Preference Shares shall be entitled to receive notice of general meetings of the Company and to attend and vote thereat. On a poll, every Holder of Preference Shares who (being an individual) is present in person or by proxy, or (being a corporation) is present by representative or by proxy shall have one vote for each Preference Share registered in his name. 2.4.4 As regards Redemption - The Preference Shares shall be redeemed by the Company upon and subject to the provisions of the Law and any other applicable law in Jersey and the following terms and conditions: (a) where an Exchange Right has been or is deemed to have been exercised and the Preference Shares have been transferred to the Guarantor or its nominee, the relevant Preference Shares may be redeemed for cash at their Paid-up Value at any time after the first transfer thereof into the name of the Guarantor or its nominee or any subsequent Holder of the Preference Shares on any date specified by the Guarantor or its nominee or any subsequent Holder of the Preference Shares in any notice given by the Guarantor or its nominee or any subsequent Holder of the Preference Shares to the Company requiring such redemption either forthwith or on any subsequent date; provided that, unless the relevant Preference Shares are earlier redeemed or the Company has been wound up in accordance with Article 37 prior to such date, the relevant Preference Shares shall be redeemed by the Company on 31 January 2037 at their Paid-up Value. Any such notice may be a standing notice (which may be revoked or amended at any time) requiring all or any part of the Preference Shares transferred from time to time into the name of the giver of such notice to be redeemed forthwith upon such transfer or at any time thereafter as specified therein and different directions may be given concerning different portions of the Preference Shares so transferred and accordingly such notice will apply to all such transfers following such notice (without the need for a separate notice requiring redemption to be served in respect of each such transfer of Preference Shares) until amended or revoked; and (b) on redemption of a Preference Share, the Company will cancel the Preference Share and any certificate relating thereto and such Preference Share may not be re-issued or sold as a Preference Share. 2.4.5 As regards Transfer - By exercising an Exchange Right, a Noteholder will be deemed, subject to and in accordance with these Articles, to have exercised a Share Exchange Right applicable to any Preference Share arising on the exercise of such Exchange Right. Any Preference Share issued upon exercise of Exchange Rights shall immediately upon allotment and issue of the same (and registration of such Preference Share in the name of the relevant person) be transferred to the Guarantor or its nominee in exchange for cash and/or Ordinary Shares as provided 7 |
| 8027970/69012768/ll in the Conditions and the terms of the Indenture. Any such transfer shall be effected by the Company or the Guarantor (or a person appointed for this purpose by the Company or the Guarantor) as agent for the Holder thereof and the Company or the Guarantor (or a person appointed as aforesaid) shall be and is hereby authorised by such Holder to execute all such documents and do all such things as may be necessary properly to effect the same, without any cost or liability to, or any further action required by, the Holder (save as may be provided in the Conditions). Transfers of Preference Shares shall be effected by any instrument of transfer in common or usual form or such other form as may be approved by the Board. All instruments of transfer, when registered, may be retained by the Company. Preference Shares will be allotted as of the relevant Exchange Date and in accordance with the terms of the Indenture. 2.4.6 As regards Issue - The Preference Shares shall only be issued on the exchange of Notes in accordance with the Conditions and the terms of the Indenture and shall be issued at the Paid-up Value per Preference Share credited as fully paid with the excess over the nominal value of US$0.0000001 credited to the Share premium account and will rank pari passu with all (if any) fully paid Preference Shares then in issue except that the Preference Shares so allotted will not rank for any dividend or other distribution declared, paid or made by reference to a record date prior to the relevant Exchange Date. 2.5 Subject to the provisions of these Articles, the unissued Shares for the time being in the capital of the Company shall be at the disposal of the Directors who may allot, grant options over or otherwise dispose of them to such Persons at such times and generally on such terms and conditions as they think fit. 2.6 The Company may pay commissions as permitted by the Law. Subject to the provisions of the Law any such commission may be satisfied by the payment of cash or by the allotment of fully or partly paid Shares or partly in one way and partly in the other. 2.7 Except as otherwise provided by these Articles or by law, no Person shall be recognised by the Company as holding any Share upon any trust and the Company shall not be bound by or be compelled in any way to recognise any equitable, contingent, future or partial interest in any Share or any interest in any fraction of a Share or any other right in respect of any Share except an absolute right to the entirety thereof in the Holder. 3. SHARE PREMIUM ACCOUNT 3.1 Except as provided in Article 3.2, where the Company issues Shares at a premium, the amount or value (as determined by the Directors) of any premiums shall be transferred, as and when the premiums are Paid Up, to a Share premium account which shall be kept in the books of the Company in the manner required by the Law. The sums for the time being standing to the credit of the share premium account shall be applied only in accordance with the Law. 8 |
| 8027970/69012768/ll 3.2 Where the Law permits the Company to refrain from transferring any amount to a share premium account, that amount need not be so transferred; but the Directors may if they think fit nevertheless cause all or any part of such amount to be transferred to the relevant share premium account. 4. ALTERATION OF SHARE CAPITAL 4.1 The Company may by Extraordinary Resolution alter its share capital as stated in the Memorandum of Association in any manner permitted by the Law. 4.2 Any new Shares created on an increase or other alteration of share capital shall be issued upon such terms and conditions as the Company may by Ordinary Resolution determine. 4.3 Any capital raised by the creation of new Shares shall, unless otherwise provided by the conditions of issue of the new Shares, be considered as part of the original capital and the new Shares shall be subject to the provisions of these Articles with reference to the payment of calls, transfer and transmission of Shares, lien or otherwise applicable to the existing Shares in the Company. 4.4 Whenever, as a result of any consolidation of Shares, any Member would become entitled to fractions of a Share, the Directors may, for the purpose of eliminating such fractions, deal with such fractions in such manner as they consider fit or sell the Shares representing the fractions for the best price reasonably obtainable and distribute the proceeds of sale in due proportion among the Members who would have been entitled to the fractions of Shares. For the purpose of any such sale, the Directors may authorise some person to transfer the Shares representing the fractions to the purchaser thereof, whose name shall thereupon be entered in the Register as the Holder of the Shares and who shall not be bound to see to the application of the purchase money nor shall his title to the Shares be affected by any irregularity or invalidity in the proceedings in reference to the sale. 4.5 Subject to the provisions of the Law, the Company may by Extraordinary Resolution reduce its share capital and its share premium account in any way. 5. VARIATION OF RIGHTS 5.1 Whenever the capital of the Company is divided into different classes of Shares, the special rights attached to any class may (unless otherwise provided by the terms of issue of the Shares of that class) be varied or abrogated either whilst the Company is a going concern or during or in contemplation of a winding up: 5.1.1 with the consent in Writing of the Holders of not less than two-thirds in number of the issued Shares of that class; or 5.1.2 with the sanction of an Extraordinary Resolution passed at a separate meeting of the Holders of Shares of that class. 9 |
| 8027970/69012768/ll 5.2 To every such separate meeting all the provisions of these Articles and of the Law relating to general meetings of the Company or to the proceedings thereat shall apply mutatis mutandis except that the necessary quorum shall be persons holding or representing by proxy at least one -third in number of the issued Shares of that class but so that if at any adjourned meeting of such Holders a quorum as above defined is not Present those Holders who are Present shall be a quorum. 5.3 Subject as aforesaid, the special rights conferred upon the Holders of any Shares or class of Shares issued with preferred, deferred or other special rights shall (unless otherwise expressly provided by the conditions of issue of such Shares) be deemed not to be varied by the creation or issue of further Shares ranking after or pari passu therewith. 6. REGISTER OF MEMBERS 6.1 The Directors shall maintain or cause to be maintained a Register in the manner required by the Law. The Register shall be kept at the Office or at such other place in the Island of Jersey as the Directors from time to time determine. In each year the Directors shall prepare or cause to be prepared and filed an annual return containing the particulars required by the Law. 6.2 The Company shall not be required to enter the names of more than four joint Holders in the Register. 7. SHARE CERTIFICATES 7.1 Every Member shall be entitled: 7.1.1 without payment, upon becoming the Holder of any Shares, to one certificate for all the Shares of each class held by him and, upon transferring a part only of the Shares comprised in a certificate, to a new certificate for the remainder of the Shares so comprised; or 7.1.2 upon payment of such reasonable sum for each certificate as the Directors shall from time to time determine, to several certificates, each for one or more of his Shares of any class. 7.2 Every certificate shall be issued within two Months after allotment or lodgment of transfer (or within such other period as the conditions of issue shall provide) and shall be executed by the Company. A certificate may be executed: 7.2.1 if the Company has a Seal, by causing a seal of the Company to be affixed to the certificate in accordance with these Articles; or 7.2.2 whether or not the Company has a Seal, by the signature on behalf of the Company of either two Directors or one Director and the Secretary. |
| 8027970/69012768/11 Every certificate shall further specify the number and class of the Shares to which it relates, whether or not the shares are fully Paid Up and if so required by the Law the distinguishing numbers of such Shares. 7.3 The Company shall not be bound to issue more than one certificate in respect of a Share held jointly by several Persons and delivery of a certificate for a Share to one of several joint Holders shall be sufficient delivery to all such Holders. 7.4 If a share certificate shall be worn out, defaced, lost or destroyed a duplicate certificate may be issued on payment of such reasonable fee and on such terms (if any) as to evidence and indemnity and the payment of out-of-pocket expenses of the Company in relation thereto as the Directors think fit. 8. LIEN 8.1 The Company shall have a first and paramount lien on every Share (not being a fully paid Share) for all monies (whether presently payable or not) called or payable at a fixed time in respect of that Share and the Company shall also have a first and paramount lien on all Shares (other than fully paid Shares) registered in the name of a single Member for all the debts and liabilities of such Member or his estate to the Company whether the period for the payment or discharge of the same shall have actually commenced or not and notwithstanding that the same are joint debts or liabilities of such Member or his estate and any other Person whether a Member or not. The Company's lien (if any) on a Share shall extend to all distributions, bonus issues, returns of capital or other monies payable thereon or in respect thereof. The Directors may resolve that any Share shall for such period as they think fit be exempt from the provisions of this Article. 8.2 The Company may sell in such manner as the Directors think fit any Shares on which the Company has a lien, but no sale shall be made unless the monies in respect of which such lien exists or some part thereof are or is presently payable nor until fourteen Clear Days have expired after a Notice stating and demanding payment of the monies presently payable and giving Notice of intention to sell in default shall have been served on the Holder for the time being of the Shares or the Person entitled thereto by reason of the death, bankruptcy or incapacity of such Holder. 8.3 To give effect to any such sale the Directors may authorise some Person to execute an instrument of transfer of the Shares sold to the purchaser thereof. The purchaser shall be registered as the Holder of the Shares so transferred and he shall not be bound to see to the application of the purchase money nor shall his title to the Shares be affected by any irregularity or invalidity in the proceedings in reference to the sale. 8.4 The net proceeds of such sale after payment of the costs of such sale shall be applied in or towards payment or satisfaction of the debt or liability in respect of which the lien exists so far as the same is presently payable and any residue shall (subject to a like lien for debts or liabilities not presently payable as existed upon the Shares prior to the sale) be paid to the Person entitled to the Shares at the time of the sale. 11 |
| 8027970/69012768/11 9. CALLS ON SHARES 9.1 The Directors may, subject to the provisions of these Articles and to any conditions of allotment from time to time, make calls upon the Members in respect of any monies unpaid on their Shares (whether on account of the nominal value of the Shares or by way of premium) and each Member shall (subject to being given at least fourteen Clear Days' Notice specifying the time or times and place of payment) pay to the Company at the time or times and place so specified the amount called on his Shares. 9.2 A call may be required to be paid by instalments. 9.3 A call may, before receipt by the Company of any sum due thereunder, be revoked in whole or in part and payment of a call may be postponed in whole or in part. 9.4 A call shall be deemed to have been made at the time when the resolution of the Directors authorising the call was passed. 9.5 The joint Holders of a Share shall be jointly and severally liable to pay all calls to be made in respect of such Share. 9.6 If a sum called in respect of a Share is not paid before or on the day appointed for payment thereof, the Person from whom the sum is due may be required to pay interest on the sum from the day appointed for payment thereof to the time of actual payment at a rate determined by the Directors but the Directors shall be at liberty to waive payment of such interest wholly or in part. 9.7 Any sum which by or pursuant to the terms of issue of a Share becomes payable upon allotment or at any fixed date whether on account of the nominal value of the Shares or by way of premium shall for the purposes of these Articles be deemed to be a call duly made and payable on the date on which by or pursuant to the terms of issue the same becomes payable and in case of non-payment all the relevant provisions of these Articles as to payment of interest, forfeiture, surrender or otherwise shall apply as if such sum had become due and payable by virtue of a call duly made and notified. 9.8 The Directors may, on the issue of Shares, differentiate between the Holders as to the amount of calls to be paid and the times of payment. 9.9 The Directors may, if they think fit, receive from any Member an advance of monies which have not yet been called on his Shares or which have not yet fallen due for payment. Such advance payments shall, to their extent, extinguish the liability in respect of which they are paid. The Company may pay interest on any such advance, at such rate as the Directors think fit, for the period covering the date of payment to the date (the "Due Date") when the monies would have been due had they not been paid in advance. For the purposes of entitlement to any distribution or bonus issue, monies paid in advance of a call or instalment shall not be treated as paid until the Due Date. 12 |
| 8027970/69012768/ll 10. FORFEITURE OF SHARES 10.1 If a Member fails to pay any call or instalment of a call on or before the day appointed for payment thereof, the Directors may, at any time thereafter during such time as any part of such call or instalment remains unpaid, serve a Notice on him requiring payment of so much of the call or instalment as is unpaid together with any interest which may have accrued and any costs, charges and expenses which may have been incurred by the Company by reason of such non-payment. 10.2 The Notice shall name a further day (not earlier than the expiration of fourteen Clear Days from the date of service of such Notice) on or before which the payment required by the Notice is to be made and the place where payment is to be made and shall state that in the event of non-payment at or before the time appointed and at the place appointed the Shares in respect of which the call was made will be liable to be forfeited. 10.3 If the requirements of any such Notice as aforesaid are not complied with, any Share in respect of which such Notice has been given may at any time thereafter, before payment of all calls and interest due in respect thereof has been made, be forfeited by a resolution of the Directors to that effect and such forfeiture shall include all distributions, bonus issues, returns of capital or other monies which shall have been resolved to be paid or made on the forfeited Shares and not actually paid before the forfeiture. 10.4 When any Share has been forfeited in accordance with these Articles, Notice of the forfeiture shall forthwith be given to the Holder of the Share or the Person entitled to the Share by transmission, as the case may be, and an entry of such Notice having been given and of the forfeiture with the date thereof shall forthwith be made in the Register opposite to the entry of the Share but no forfeiture shall be invalidated in any manner by any omission or neglect to give such Notice or to make such entry as aforesaid. 10.5 The Directors may, at any time after serving a Notice in accordance with Article 10.1, accept from the Member concerned the surrender of such Shares as are the subject of the Notice, without the need otherwise to comply with the provisions of Articles 10.1 to 10.4. Any such Shares shall be surrendered immediately and irrevocably upon the Member delivering to the Company the Share certificate for the Shares and such surrender shall also constitute a surrender of all dividends declared on the surrendered Shares but not actually paid before the surrender. The Company shall, upon such surrender, forthwith make an entry in the Register of the surrender of the Share with the date thereof but no surrender shall be invalidated in any manner by any omission or neglect to make such entry as aforesaid. 10.6 A forfeited or surrendered Share shall become the property of the Company and may be sold, re-allotted or otherwise disposed of either to the Person who was before forfeiture or surrender the Holder thereof or entitled thereto or to any other Person upon such terms and in such manner as the Directors think fit and at any time before a sale, re-allotment or other disposition the forfeiture or surrender may be cancelled on such terms as the Directors think fit. Where for the purposes of its disposal a forfeited or surrendered Share 13 |
| 8027970/69012768/ll is to be transferred to any Person the Directors may authorise some Person to execute an instrument of transfer of the Share to that Person. 10.7 A Member whose Shares have been forfeited or surrendered shall cease to be a Member in respect of the forfeited or surrendered Shares and shall (if he has not done so already) surrender to the Company for cancellation the certificate for the Shares forfeited or surrendered. Notwithstanding the forfeiture or the surrender such Member shall remain liable to pay to the Company all monies which at the date of forfeiture or surrender were presently payable by him in respect of those Shares with interest thereon at the rate at which interest was payable before the forfeiture or surrender or at such rate as the Directors may determine from the date of forfeiture or surrender until payment, provided that the Directors may waive payment wholly or in part or enforce payment without any allowance for the value of the Shares at the time of forfeiture or surrender or for any consideration received on their disposal. 10.8 A declaration under oath by a Director or the Secretary (or by an Officer of a corporate Secretary) that a Share has been duly forfeited or surrendered on a specified date shall be conclusive evidence of the facts therein stated as against all Persons claiming to be entitled to the Share. The declaration and the receipt of the Company for the consideration (if any) given for the Share on the sale re-allotment or disposal thereof together with the certificate for the Share delivered to a purchaser or allottee thereof shall (subject to the execution of an instrument of transfer if the same be so required) constitute good title to the Share. The Person to whom the Share is sold, re-allotted or disposed of shall be registered as the Holder of the Share and shall not be bound to see to the application of the consideration (if any) nor shall his title to the Share be affected by any irregularity in or invalidity of the proceedings in respect of the forfeiture, surrender, sale, re-allotment or disposal of the Share. 11. TRANSFER OF SHARES 11.1 Save as provided in Article 2.4.5, any Member may transfer all or any of his Shares. 11.2 Save as otherwise permitted under the provisions of the Law, all transfers of Shares shall be effected using an instrument of transfer. 11.3 The instrument of transfer of any Share shall be in Writing in any usual common form or any form approved by the Directors. 11.4 Save as provided in Article 2.4.5, the instrument of transfer of any Share shall be Signed by or on behalf of the transferor and in the case of an unpaid or partly paid Share by the transferee. The transferor shall be deemed to remain the Holder of the Share until the name of the transferee is entered in the Register in respect thereof. 11.5 The Directors may refuse to register the transfer of a Share unless the instrument of transfer: 14 |
| 8027970/69012768/ll 11.5.1 is lodged at the Office or at such other place as the Directors may appoint accompanied by the certificate for the Shares to which it relates and such other evidence as the Directors may reasonably require to show the right of the transferor to make the transfer; 11.5.2 is in respect of only one class of Shares; and 11.5.3 is in favour of not more than four transferees. 11.6 If the Directors refuse to register a transfer of a Share they shall within two Months after the date on which the instrument of transfer was lodged with the Company send to the proposed transferor and transferee Notice of the refusal. 11.7 All instruments of transfer relating to transfers of Shares which are registered shall be retained by the Company but any instrument of transfer relating to transfers of Shares which the Directors decline to register shall (except in any case of fraud) be returned to the Person depositing the same. 11.8 The registration of transfers of Shares or of transfers of any class of Shares may be suspended at such times and for such periods as the Directors may determine. 11.9 No fee shall be charged in respect of the registration of any instrument of transfer or other document relating to or affecting the title to any Share. 11.10 In respect of any allotment of any Share the Directors shall have the same right to decline to approve the registration of any renouncee of any allottee as if the application to allot and the renunciation were a transfer of a Share under these Articles. 12. TRANSMISSION OF SHARES 12.1 In the case of the death of a Member, the survivor or survivors where the deceased was a joint Holder and the executors or administrators of the deceased where he was a sole or only surviving Holder shall be the only Persons recognised by the Company as having any title to his interest in the Shares but nothing in this Article shall release the estate of a deceased joint Holder from any liability in respect of any Share which had been jointly held by him. 12.2 Any Person becoming entitled to a Share in consequence of the death, bankruptcy or incapacity of a Member may, upon such evidence as to his title being produced as may from time to time be required by the Directors and subject as hereinafter provided, elect either to be registered himself as the Holder of the Share or to have some Person nominated by him registered as the Holder thereof. 12.3 If the Person so becoming entitled shall elect to be registered himself he shall deliver or send to the Company a Notice Signed by him stating that he so elects. If he shall elect to have another Person registered he shall testify his election by an instrument of transfer of the Share in favour of that Person. All the limitations restrictions and provisions of these 15 |
| 8027970/69012768/ll Articles relating to the right to transfer and the registration of transfers of Shares shall be applicable to any such Notice or instrument of transfer as aforesaid as if it were an instrument of transfer executed by the Member and the death, bankruptcy or incapacity of the Member had not occurred. 12.4 A Person becoming entitled to a Share by reason of the death, bankruptcy or incapacity of a Member shall be entitled to the same distributions and other advantages to which he would be entitled if he were the Holder of the Share except that he shall not before being registered as the Holder of the Share be entitled in respect of it to exercise any right conferred by membership in relation to meetings of the Company provided always that the Directors may at any time give Notice requiring any such Person to elect either to be registered himself or to transfer the Share and, if the Notice is not complied with within one Month, such Person shall be deemed to have so elected to be registered himself and all the restrictions on the transfer and transmission of Shares contained in these Articles shall apply to such election. 13. GENERAL MEETINGS 13.1 Each General Meeting shall be held at such time and place in the United Kingdom as may be determined by the Directors. 13.2 The Directors may whenever they think fit, or upon a requisition of Members pursuant to the provisions of the Law the Directors shall forthwith, proceed to convene a General Meeting for a date not later than two Months after the receipt of the requisition. If there are not sufficient Directors to convene the General Meeting any Director or any Member may convene such a meeting. 13.3 At any General Meeting called pursuant to a requisition, unless such meeting is called by the Directors, no business other than that stated in the requisition as the objects of the meeting shall be transacted. 13.4 Notwithstanding any other provision of these Articles, all meetings of the Company and any class meeting, and all adjourned meetings thereof, must take place in the United Kingdom. Attendance by conference telephone or similar means will not be sufficient for a member to be present at a meeting. 14. CLASS MEETINGS Save as otherwise provided in these Articles, all the provisions of these Articles and of the Law relating to general meetings of the Company and to the proceedings thereat shall apply mutatis mutandis to every class meeting. A Director who is entitled to receive Notice of general meetings of the Company in accordance with Article 15.4 shall also be entitled, unless he has notified the Secretary in Writing of his contrary desire, to receive Notice of all class meetings. At any class meeting the Holders of Shares of the relevant class shall, on a poll, have one vote in respect of each Share of that class held by them. 16 |
| 8027970/69012768/ll 15. NOTICE OF GENERAL MEETINGS 15.1 At least fourteen Clear Days' Notice shall be given of every General Meeting, including without limitation, every general meeting called for the passing of an Extraordinary Resolution. Every notice shall specify the place, the day and the time of the meeting and, in the case of special business, the general nature of such business. Notice of every meeting shall be given in the manner hereinafter mentioned to all the Members and to the Directors and to the auditors (if any). 15.2 A meeting of the Company shall, notwithstanding that it is called by shorter Notice than that specified in Article 15.1, be deemed to have been duly called if it is so agreed: 15.2.1 in the case of any meeting at which it is intended to propose a resolution as an Extraordinary Resolution, by a majority in number of Members having a right to attend and vote at the meeting, being a majority together holding not less than ninety-five per cent of total voting rights of the members who have that right; and 15.2.2 in the case of any other meeting, by a majority in number of Members having a right to attend and vote at the meeting, being a majority together holding not less than ninety-five per cent of the total voting rights of the Members who have that right. 15.3 Every Notice shall specify the place, the day and the time of the meeting and the general nature of the business to be transacted and, in the case of an Annual General Meeting, shall specify the meeting as such. 15.4 Subject to the provisions of these Articles and to any restrictions imposed on any Shares, Notice of every general meeting shall be given to all the Members, to all Persons entitled to a Share in consequence of the death, bankruptcy or incapacity of a Member, to the Auditors (if any) and to every Director who has notified the Secretary in Writing of his desire to receive Notice of general meetings. 15.5 In every Notice calling a meeting of the Company there shall appear with reasonable prominence a statement that a Member entitled to attend and vote is entitled to appoint one or more proxies to attend and vote instead of him and that a proxy need not also be a Member. 15.6 The accidental omission to give Notice of a meeting to, or the non-receipt of Notice of a meeting by, any Person entitled to receive Notice shall not invalidate the proceedings at that meeting. 16. PROCEEDINGS AT GENERAL MEETINGS 16.1 The business of an Annual General Meeting shall be to receive and consider the accounts of the Company and the reports of the Directors and Auditors (if any), to elect Directors (if necessary), to elect Auditors (if proposed) and fix their remuneration, to sanction a 17 |
| 8027970/69012768/11 dividend (if thought fit so to do) and to transact any other business of which Notice has been given. 16.2 No business shall be transacted at any general meeting, except the adjournment of the meeting, unless a quorum of Members is Present at the time when the meeting proceeds to business. Such quorum shall consist of not less than two Members Present who are the Holders of Founders' Shares but so that not less than two individuals will constitute the quorum, provided that if at any time all of the Founders' Shares are held by one Member such quorum shall consist of that Member Present. 16.3 Subject to Article 13.4, if a Member is by any means in communication with one or more other Members so that each Member participating in the communication can hear what is said by any other of them, each Member so participating in the communication is deemed to be Present at a meeting with the other Members so participating. A meeting at which any or all of the Members participate as aforesaid shall be deemed to be a general meeting of the Company for the purposes of these Articles and all of the provisions of these Articles and of the Law relating to general meetings of the Company and to the proceedings thereat shall apply mutatis mutandis to every such meeting. 16.4 If within half-an-hour from the time appointed for the meeting a quorum is not Present, or if during the meeting a quorum ceases to be Present, the meeting shall stand adjourned to the same day in the next week at the same time and place or to such other time and place as the Directors shall determine and, if at such adjourned meeting a quorum is not Present, within half-an-hour from the time appointed for the holding of the meeting those Members Present shall constitute a quorum. 16.5 The chairman (if any) of the Directors shall preside as chairman at every general meeting of the Company or if there is no such chairman or, if he shall not be Present within fifteen minutes after the time appointed for the holding of the meeting or is unwilling to act, the Directors shall select one of their number to be chairman of the meeting. 16.6 If at any meeting no Director is willing to act as chairman or if no Director is Present within fifteen minutes after the time appointed for holding the meeting, the Members Present shall choose one of their number to be chairman of the meeting. 16.7 The chairman may, and shall if so directed by the meeting, adjourn the meeting from time to time and from place to place but no business shall be transacted at any adjourned meeting other than the business left unfinished at the meeting from which the adjournment took place. When a meeting is adjourned for thirty days or more, Notice of the adjourned meeting shall be given as in the case of the original meeting. Save as aforesaid it shall not be necessary to give any Notice of any adjourned meeting or of the business to be transacted at an adjourned meeting. 16.8 At any general meeting a resolution put to the vote of the meeting shall be decided by a poll. For the avoidance of doubt, no resolution put to the vote of any general meeting shall be decided on a show of hands. 18 |
| 8027970/69012768/ll 16.9 A poll shall be taken in such manner as the chairman directs and the results of each poll shall be deemed to be the resolution of the meeting at which the poll was taken. 16.10 In the event of an equality of votes at any general meeting the chairman shall not be entitled to a second or casting vote. 16.11 A resolution in Writing (including an Extraordinary Resolution but excluding a resolution removing an Auditor) Signed by all Members who would be entitled to receive Notice of and to attend and vote at a general meeting at which such a resolution would be proposed or by their duly appointed attorneys shall be as valid and effectual as if it had been passed at a general meeting of the Company duly convened and held. Any such resolution may consist of several documents in the like form each Signed by one or more of the Members or their attorneys. 17. VOTES OF MEMBERS 17.1 Subject to any special rights, restrictions or prohibitions as regards voting for the time being attached to any Shares as may be specified in the terms of issue thereof or these Articles, every Member Present (including by proxy) shall have one vote for each Share of which he is the Holder. 17.2 In the case of joint Holders of any Share, such Persons shall not have the right of voting individually in respect of such Share but shall elect one of their number to represent them and to vote whether personally or by proxy in their name. In default of such election the Person whose name appears first in order in the Register in respect of such Share shall be the only Person entitled to vote in respect thereof. 17.3 A Member in respect of whom an order has been made by any court having jurisdiction (whether in the Island of Jersey or elsewhere) in matters concerning legal incapacity or interdiction may vote, by his attorney, curator, receiver or other Person authorised in that behalf appointed by that court and any such attorney, curator, receiver or other Person may vote by proxy. Evidence to the satisfaction of the Directors of the authority of such attorney, curator, receiver or other Person may be required by the Directors prior to any vote being exercised by such attorney, curator, receiver or other Person. 17.4 No Member shall be entitled to vote at any general meeting unless all calls or other sums presently payable by him in respect of Shares in the Company of which he is Holder or one of the joint Holders have been paid. 17.5 No objection shall be raised to the qualification of any voter except at the meeting or adjourned meeting at which the vote objected to is given or tendered and every vote not disallowed at such meeting shall be valid for all purposes. Any such objection made in due time shall be referred to the chairman of the meeting whose decision shall be final and conclusive. 17.6 Votes may be given either personally or by proxy. 19 |
| 8027970/69012768/11 17.7 The Directors may, at the expense of the Company, send by post or otherwise to the Members instruments of proxy (with or without provision for their return prepaid) for use at any general meeting or at any separate meeting of the Holders of any class of Shares of the Company either in blank or nominating in the alternative any one or more of the Directors or any other Persons. If for the purpose of any meeting invitations to appoint as proxy a Person or one or more of a number of Persons specified in the invitations are issued at the Company's expense they shall be issued to all (and not to some only) of the Members entitled to be sent a Notice of the meeting and to vote thereat by proxy. 17.8 The instrument appointing a proxy shall be in Writing in any common form or as approved by the Directors and shall be under the hand of the appointor or of his attorney duly authorised in Writing or if the appointor is a corporation either under seal or under the hand of a duly authorised officer, attorney or other representative. A proxy need not be a Member. 17.9 The instrument appointing a proxy and the power of attorney or other authority (if any) under which it is Signed or a notarially certified copy of that power or authority shall be deposited at the Office or at such other place as is specified for that purpose by the Notice convening the meeting not less than forty-eight hours (excluding non-business days) before the time for holding the meeting or adjourned meeting at which the Person named in the instrument proposes to vote. An instrument of proxy which is not deposited in the manner so required shall be valid only if it is approved by all the other Members who are Present at the meeting. 17.10 Unless the contrary is stated thereon the instrument appointing a proxy shall be as valid as well for any adjournment of the meeting as for the meeting to which it relates. 17.11 A vote given in accordance with the terms of an instrument of proxy shall be valid notwithstanding the previous death or insanity of the principal or revocation of the proxy or of the authority under which the proxy was executed, provided that no Notice in Writing of such death, insanity or revocation shall have been received by the Company at the Office before the commencement of the meeting or adjourned meeting at which such vote is cast. 18. CORPORATE MEMBERS 18.1 Any body corporate which is a Member may, by resolution of its directors or other governing body, authorise such Person or Persons as it thinks fit to act as its representative or representatives at any meeting of Members (or of any class of Members) and the Person or Persons so authorised shall be entitled to exercise on behalf of the body corporate which he represents the same powers as that body corporate could exercise if it were an individual, provided always that, where more than one person is authorised to represent a body corporate and more than one person purports to exercise a power on beha If of that body corporate: 18.1.1 if each such person purports to exercise their power in the same way, the power is treated as exercised in that way; and 20 |
| 8027970/69012768/ll 18.1.2 if each such person does not purport to exercise their power in the same way, the power is treated as not exercised. 18.2 Where a Person is authorised to represent a body corporate at a general meeting of the Company the Directors or the chairman of the meeting may require him to produce a certified copy of the resolution from which he derives his authority. 19. DIRECTORS 19.1 The Company may, by Ordinary Resolution, determine the maximum and minimum number of Directors and unless and until otherwise so determined and, subject to the provisions of the Law, the minimum number of Directors shall be two. All the Directors at all times must be resident in the United Kingdom for the purposes of United Kingdom taxation. 19.2 A Director need not be a Member but, provided he has notified the Secretary in Writing of his desire to receive Notice of general meetings in accordance with Article 15.4, he shall be entitled to receive Notice of any general meeting and, subject to Article 14, all separate meetings of the Holders of any class of Shares in the Company. Whether or not a Director is entitled to receive such Notice, he may nevertheless attend and speak at any such meeting. 19.3 Notwithstanding any other provision of these Articles, no person shall be appointed to be a Director if he or she is resident outside the United Kingdom for the purposes of United Kingdom taxation. 20. ALTERNATE DIRECTORS 20.1 Any Director (other than an alternate Director) may, at his sole discretion and at any time and from time to time, appoint any other Director or any other natural person (other than one disqualified or ineligible by law to act as a director of a company) as an alternate Director, provided that no person who is resident outside the United Kingdom may be appointed or continue to act as an alternate Director, to attend and vote in his place at any meetings of Directors at which he is not personally present. Each Director shall be at liberty to appoint under this Article more than one alternate Director provided that only one such alternate Director may at any one time act on behalf of the Director by whom he has been appointed. 20.2 An alternate Director, while he holds office as such, shall be entitled to receive Notice (which need not be in Writing) of all meetings of Directors and of all meetings of committees of Directors of which his appointor is a member and to attend and to exercise all the rights and privileges of his appointor at all such meetings at which his appointor is not personally present and generally to perform all the functions of his appointor as a Director in his absence. 20.3 An alternate Director shall ipso facto vacate office if and when he becomes resident outside the United Kingdom for the purposes of United Kingdom taxation, his appointment expires 21 |
| 8027970/69012768/11 or the Director who appointed him ceases to be a Director of the Company or removes the alternate Director from office by Notice under his hand served upon the Company. 20.4 An alternate Director shall be entitled to be paid all travelling and other expenses reasonably incurred by him in attending meetings. The remuneration (if any) of an alternate Director shall be payable out of the remuneration payable to the Director appointing him as may be agreed between them. 20.5 Where a Director acts as an alternate Director for another Director he shall be entitled to vote for such other Director as well as on his own account, but no Director shall at any meeting be entitled to act as alternate Director for more than one Director. 20.6 A Director who is also appointed an alternate Director shall be considered as two Directors for the purpose of making a quorum of Directors when such quorum shall exceed two. 21. POWERS OF DIRECTORS 21.1 The business of the Company shall be managed by the Directors, who may pay all expenses incurred in promoting and registering the Company and may exercise all such powers of the Company as are not by the Law or these Articles required to be exercised by the Company in general meeting. 21.2 The Directors' powers shall be subject to the provisions of these Articles, to the provisions of the Law and to such regulations (being not inconsistent with the aforesaid regulations or provisions) as may be prescribed by the Company in general meeting but no regulations made by the Company in general meeting shall invalidate any prior act of the Directors which would have been valid if such regulations had not been made. 21.3 The powers of the Directors shall be exercised only within the United Kingdom. 21.4 The Directors may, by power of attorney, mandate or otherwise, appoint any Person to be the agent of the Company for such purposes and on such conditions as they determine, including authority for the agent to delegate all or any of his powers, provided that the terms on which any such agent is appointed shall include terms that the appointee shall exercise any powers conferred upon him by these Articles within the United Kingdom and, in particular, meetings at which such powers are exercised shall be held within the United Kingdom and any decisions taken and directions given by him shall be taken and given within the United Kingdom. 22. DELEGATION OF DIRECTORS' POWERS 22.1 The Directors may delegate any of their powers to committees consisting of such Director or Directors or such other Persons (provided all such persons are resident in the United Kingdom for United Kingdom tax purposes) as they think fit. Any committee so formed shall in the exercise of the powers so delegated conform to any regulations that may be imposed on it by the Directors. 22 |
| 8027970/69012768/11 22.2 The meetings and proceedings of any such committee consisting of two or more Persons shall be governed by the provisions of these Articles regulating the meetings and proceedings of the Directors so far as the same are applicable and are not superseded by any regulations made by the Directors under this Article. 23. APPOINTMENT OF DIRECTORS 23.1 Where these Articles are adopted by the Company, either upon incorporation or for any other reason prior to the appointment of the first Directors, the first Directors of the Company shall be appointed in Writing by the subscribers to the Memorandum of Association or by a majority of them. Any Director so appointed, and any Director duly holding office prior to the adoption of these Articles, shall continue to hold office until he resigns or is disqualified or removed in accordance with the provisions hereof. 23.2 The Directors shall have power at any time and from time to time to appoint any natural person (other than one disqualified or ineligible by law to act as a director of a company) to be a Director, either to fill a casual vacancy or as an addition to the existing Directors, provided that the appointment does not .cause the number of Directors to exceed any number fixed by or in accordance with these Articles as the maximum number of Directors. Any Director so appointed shall hold office until he resigns or is disqualified or removed in accordance with the provisions of these Articles. 23.3 The Company may by Ordinary Resolution: 23.3.1 appoint any natural person (other than one disqualified or ineligible by law to act as a director of a company) as a Director; and 23.3.2 remove any Director from office. 23.4 No Person shall, unless recommended by the Directors, be appointed a Director at any general meeting unless, no less than seven and not more than twenty-eight Clear Days before the day appointed for the meeting, there has been given to the Secretary Notice by some Member (not being the person to be proposed) entitled to attend and vote at .the meeting for which such Notice is given of his intention to propose such person for appointment and also Notice signed by the person to be proposed of his willingness to be appointed. 23.5 The Company shall keep or cause to be kept a register of particulars with regard to its Directors in the manner required by the Law. 24. RESIGNATION, DISQUALIFICATION AND REMOVAL OF DIRECTORS 24.1 The office of a Director shall be vacated if the Director: 24.1.1 resigns his office by Notice to the Company; 23 |
| 8027970/69012768/11 24.1.2 ceases to be a Director by virtue of any provision of the Law or he becomes prohibited or disqualified by law from being a Director; 24.1.3 becomes Bankrupt or makes any arrangement or composition with his creditors generally; 24.1.4 becomes of unsound mind; 24.1.5 subsequent to his appointment he becomes resident outside the United Kingdom for the purposes of United Kingdom taxation; 24.1.6 is removed from office by notice signed by the Holders of three-quarters in number of the Founders' Shares; or 24.1.7 is removed from office by Ordinary Resolution passed pursuant to Article 23.3.2. 25. REMUNERATION AND EXPENSES OF DIRECTORS 25.1 The Directors shall be entitled to such remuneration as the Company may by Ordinary Resolution determine and, unless the resolution provides otherwise, the remuneration shall be deemed to accrue from day to day. 25.2 The Directors shall be paid out of the funds of the Company for their travelling, hotel and other expenses properly and necessarily incurred by them in connection with their attendance at meetings of the Directors or Members or otherwise in connection with the discharge of their duties. 26. EXECUTIVE DIRECTORS 26.1 The Directors may from time to time appoint one or more of their number to the office of managing director or to any other executive office under the Company on such terms and for such periods as they may determine. All powers of a Director holding executive office shall be exercised in the United Kingdom and in particular any decisions taken and directions given by him shall be taken and given in the United Kingdom. 26.2 The appointment of any Director to any executive office shall be subject to termination if he ceases to be a Director but without prejudice to any claim for damages for breach of any contract of service between him and the Company. 26.3 The Directors may entrust to and confer upon a Director holding any executive office any of the powers exercisable by the Directors upon such terms and conditions and with such restrictions as they think fit and either collaterally with or to the exclusion of their own powers and may from time to time revoke, withdraw, alter or vary all or any of such powers and all powers of a Director holding executive office shall be exercised within the United Kingdom and, in particular, any decisions taken and directions given by him shall be taken and given within the United Kingdom. 24 |
| 8027970/69012768/ll 27. DIRECTORS'INTERESTS 27.1 A Director who has, directly or indirectly, an interest in a transaction entered into or proposed to be entered into by the Company or by a subsidiary of the Company which to a material extent conflicts or may conflict with the interests of the Company and of which he is aware, shall disclose to the Company the nature and extent of his interest. 27.2 For the purposes of Article 27.1: 27.2.1 the disclosure shall be made at the first meeting of the Directors at which the transaction is considered after the Director concerned becomes aware of the circumstances giving rise to his duty to make it or, if for any reason he fails to do so at such meeting, as soon as practical after the meeting, by Notice in Writing delivered to the Secretary; 27.2.2 the Secretary, where the disclosure is made to him, shall inform the Directors that it has been made and shall in any event table the Notice of the disclosure at the next meeting after it is made; 27.2.3 a disclosure to the Company by a Director in accordance with Article 27 .1 that he is to be regarded as interested in a transaction with a specified Person is sufficient disclosure of his interest in any such transaction entered into after the disclosure is made; and 27.2.4 any disclosure made at a meeting of the Directors shall be recorded in the minutes of the meeting. 27.3 Subject to the provisions of the Law, a Director may hold any other office or place of profit under the Company (other than the office of Auditor) in conjunction with his office of Director for such period and on such terms as to tenure of office, remuneration and otherwise as the Directors may determine. 27.4 Subject to the provisions of the Law, and provided that he has disclosed to the Company the nature and extent of any of his material interests in accordance with Article 27.1, a Director notwithstanding his office: 27.4.1 may be a party to or otherwise interested in any transaction or arrangement with the Company or in which the Company is otherwise interested; 27.4.2 may be a director or other officer of or employed by or a party to any transaction or arrangement with or otherwise interested in any body corporate promoted by the Company or in which the Company is otherwise interested; 27.4.3 shall not by reason of his office be accountable to the Company for any benefit which he derives from any such office or employment or from any such transaction or arrangement or from any interest in any such body corporate and no such 25 |
| 8027970/69012768/11 transaction or arrangement shall be liable to be avoided on the ground of any such interest or benefit; and 27.4.4 may act by himself or his firm in a professional capacity for the Company and he or his firm shall be entitled to remuneration for professional services as if he were not a Director. 28. PROCEEDINGS OF DIRECTORS 28.1 Subject to the provisions of these Articles, the Directors may regulate their proceedings as they think fit, save that no meeting of the Directors, including a meeting held by telephone or other means of communication in accordance with Article 28.8, shall be held unless each of the Directors participating therein is present in the United Kingdom, and any decision reached or resolution passed by the Directors at any meeting which is held outside the United Kingdom shall be invalid and of no effect. 28.2 A Director may at any time and the Secretary shall, at the request of a Director, summon a meeting of the Directors by giving to each Director and alternate Director not less than twenty-four hours' Notice of the meeting provided that any meeting may be convened at shorter Notice and in such manner as each Director or his alternate Director shall approve and provided further that unless otherwise resolved by the Directors Notices of Directors' meetings need not be in Writing. 28.3 Questions arising at any meeting shall be determined by a majority of votes. 28.4 In the case of an equality of votes the chairman shall not have a second or casting vote. 28.5 A Director who is also an alternate Director shall be entitled to a separate vote for each Director for whom he acts as alternate in addition to his own vote. 28.6 A meeting of the Directors at which a quorum is present shall be competent to exercise all powers and discretions for the time being exercisable by the Directors. The quorum necessary for the transaction of the business of the Directors may be fixed by the Directors and unless so fixed at any other number shall be two. For the purposes of this Article and subject to the provisions of Article 28. 7 an alternate Director shall be counted in a quorum but so that not less than two individuals will constitute the quorum. 28.7 A Director, notwithstanding his interest, may be counted in the quorum present at any meeting at which any contract or arrangement in which he is interested is considered and, provided he has made the disclosure required by Article 27.1, may vote in respect of any such contract or arrangement except those concerning his own terms of appointment. 28.8 Subject to the chairman of the meeting certifying that all of the Directors attending are physically present in the United Kingdom for the duration of the meeting, if a Director is by any means in communication with one or more other Directors so that each Director participating in the communication can hear what is said by any other of them, each Director so participating in the communication who is situated within the United Kingdom 26 |
| 8027970/69012768/11 is deemed to be present at a meeting with the other Directors so participating who are situated within the United Kingdom notwithstanding that all the Directors so participating are not present together in the same place. For the avoidance of doubt, nothing in this Article shall restrict any person who is not a Director from attending any meeting of the Directors from outside the United Kingdom by any means of communication with the Directors present at that meeting. 28.9 The continuing Directors or Director may act notwithstanding any vacancies in their number but, if the number of Directors is less than the number fixed as the quorum or becomes less than the number required by the Law, the continuing Directors or Director may act only for the purpose of filling vacancies or of calling a general meeting of the Company. If there are no Directors or no Director is able or willing to act then any Member or the Secretary may summon a general meeting for the purpose of appointing Directors. 28.10 The Directors may from time to time elect from their number, and remove, a chairman and/or deputy chairman and/or vice-chairman of the board of Directors and determine the period for which they are to hold office. 28.11 The chairman, or in his absence the deputy chairman, or in his absence the vice-chairman, shall preside at all meetings of the Directors but if no such chairman, deputy chairman or vice-chairman be elected or if at any meeting the chairman, deputy chairman or vice chairman be not present within five minutes after the time appointed for holding the same, the Directors present may choose one of their number to be the chairman of the meeting. 28.12 Subject to each Director certifying that he is physically present in the United Kingdom at the time of signing, a resolution in Writing Signed by all the Directors entitled to receive Notice of a meeting of Directors or of a committee of Directors shall be valid and effectual as if it had been passed at a meeting of the Directors or of a committee of Directors duly convened and held in the United Kingdom and may consist of several documents in like form each Signed by one or more Directors, but a resolution Signed by an alternate Director need not also be Signed by his appointor and if it is Signed by a Director who has appointed an alternate Director it need not be Signed by the alternate Director in that capacity. No resolution in Writing shall be valid if any Director or alternate Director signing such resolution in Writing does so outside the United Kingdom. 28.13 All acts done bona fide by any meeting of Directors or of a committee appointed by the Directors or by any Person acting as a Director shall, notwithstanding that it is afterwards discovered that there was some defect in the appointment of any such Director or committee or Person acting as aforesaid or that they or any of them were disqualified or had vacated office or were not entitled to vote, be as valid as if every such Person had been duly appointed and was qualified and had continued to be a Director or a member of a committee appointed by the Directors and had been entitled to vote. 29. MINUTE BOOK 29.1 The Directors shall cause to be entered in books kept for the purpose: 27 |
| 8027970/69012768/11 29.1.1 the minutes of all proceedings at general meetings, class meetings, Directors' meetings and meetings of committees appointed by the Directors; 29.1.2 all resolutions in Writing passed in accordance with these Articles; 29.1.3 every memorandum in Writing of a Sole Member-Director Contract (as defined in Article 29.3) which is drawn up pursuant to Article 29.3; 29.1.4 every record in Writing of a Sole Member's Decision (as defined in Article 29.4); and 29.1.5 all such other records as are from time to time required by the Law or, in the opinion of the Directors, by good practice to be minuted or retained in the books of the Company. 29.2 Any minutes of a meeting if purporting to be Signed by the chairman of the meeting at which the proceedings were had or by the chairman of the next succeeding meeting shall be conclusive evidence of the proceedings. 29.3 This Article 29.3 applies where the Company has only one Member and that Member is also a Director. If the Company, acting otherwise than in the ordinary course of its business, enters into a contract with such Member (a "Sole Member-Director Contract") and that Sole Member-Director Contract is not in Writing, the terms thereof shall be: 29.3.1 set out in a memorandum in Writing; 29.3.2 recorded in the minutes of the first meeting of the Directors following the making of the contract; or 29.3.3 recorded in such other manner or on such other occasion as may for the time being be permitted or required by the Law. 29.4 This Article 29.4 applies where the Company has only one Member and that Member has taken a decision which may be taken by the Company in general meeting and which has effect in law as if agreed by the Company in general meeting (a "Sole Member's Decision"). A Sole Member's Decision may (without limitation) be taken by way of resolution in Writing but if not so taken, the sole Member shall provide the Company with a record in Writing of his decision as soon as practicable thereafter. 30. SECRETARY 30.1 Subject to the provisions of the Law, the Secretary shall be appointed by the Directors for such term at such remuneration and upon such conditions as they may think fit and any Secretary so appointed may be removed by the Directors. 30.2 Anything required or authorised to be done by or to the Secretary may, if the office is vacant or there is for any other reason no secretary capable of acting, be done by or to any assistant or deputy secretary or, if there is no assistant or deputy secretary capable of 28 |
| 8027970/69012768/11 acting, by or to any Person authorised generally or specifically in that behalf by the Directors. 30.3 The Company shall keep or cause to be kept at the Office a register of particulars with regard to its Secretary in the manner required by the Law. 31. THE SEAL 31.1 The Directors may determine that the Company shall have a Seal. Subject to the Law, if the Company has a Seal the Directors may determine that it shall also have an official seal for use outside of the Island of Jersey and an official seal for sealing securities issued by the Company or for sealing documents creating or evidencing securities so issued. 31.2 The Directors shall provide for the safe custody of all seals and no seal shall be used except by the authority of a resolution of the Directors or of a committee of the Directors authorised in that behalf by the Directors. 31.3 The Directors may from time to time make such regulations as they think fit determining the Persons and the number of such Persons who shall sign every instrument to which a seal is affixed and, until otherwise so determined, every such instrument shall be Signed by one Director and by the Secretary or by a second Director. 31.4 The Company may authorise an agent appointed for the purpose to affix any seal of the Company to a document to which the Company is a party. 32. AUTHENTICATION OF DOCUMENTS 32.1 Any Director or the Secretary or any Person appointed by the Directors for the purpose shall have power to authenticate any documents affecting the constitution of the Company (including the Memorandum of Association and these Articles), any resolutions passed by the Company or the Directors and any books, records, documents and accounts relating to the business of the Company and to certify copies thereof or extracts therefrom as true copies or extracts. 32.2 Where any books, records, documents or accounts of the Company are situated elsewhere than at the Office the local manager or other Officer or the company having the custody thereof shall be deemed to be a Person appointed by the Directors for the purposes set out in Article 32.1. 33. DIVIDENDS AND OTHER DISTRIBUTIONS 33.1 The provisions of this Article 33 are subject to the other provisions of these Articles (including, without limitation, Articles 2.3 and 2.4). 33.2 Subject to the provisions of the Law, the Company may by Ordinary Resolution declare dividends in accordance with the respective rights of the Members but no dividend shall exceed the amount recommended by the Directors. 29 |
| 8027970/69012768/11 33.3 Subject to the provisions of the Law, the Directors may if they think fit from time to time pay to the Members such interim dividends or any other distributions as they may determine. 33.4 If at any time the share capital of the Company is divided into different classes the Directors may pay such interim dividends or any other distributions in respect of those Shares which confer on the Holders thereof deferred or non-preferred rights as well as in respect of those Shares which confer on the Holders thereof preferential rights with regard to dividends or any other distributions. 33.5 Subject to the provisions of the Law, the Directors may also pay half-yearly or at other suitable intervals to be settled by them any dividend which may be payable at a fixed rate. 33.6 Provided the Directors act bona fide they shall not incur any personal liability to the Holders of Shares conferring a preference for any damage that they may suffer by reason of the payment of an interim dividend on any Shares having deferred or non-preferred rights. 33.7 Subject to any particular rights or limitations as to dividend for the time being attached to any Shares as may be specified in these Articles or upon which such Shares may be issued, all dividends or distributions shall be declared apportioned and paid pro rata according to the amounts Paid Up on the Shares on which the dividend or distribution is paid (otherwise than in advance of calls) provided that if any Share is issued on terms providing that it shall rank for dividend or distribution as if Paid Up (in whole or in part) or as from a particular date (either past or future) such Share shall rank for dividend or distribution accordingly. 33.8 The Directors may, before recommending any dividend or distribution, set aside such sums as they think proper as a reserve or reserves which shall at the discretion of the Directors be applicable for any purpose to which such sums may be properly applied and, pending such application may, at the like discretion, be employed in the business of the Company or be invested in such investments as the Directors may from time to time think fit. 33.9 The Directors may carry forward to the account of the succeeding year or years any balance which they do not think fit either to dividend, distribute or to place to reserve. 33.10 A general meeting declaring a dividend or distribution may, upon the recommendation of the Directors, direct that payment of such dividend or distribution shall be satisfied wholly or in part by the distribution of specific assets and in particular of Paid Up Shares or debentures of any other company and the Directors shall give effect to such resolution. Where any difficulty arises in regard to the distribution the Directors may settle the same as they think expedient and in particular may: 33.10.1 issue certificates representing part of a shareholding or fractions of Shares and may fix the value for distribution of such specific assets or any part thereof; 30 |
| 8027970/69012768/11 33.10.2 determine that cash payment shall be made to any Members on the basis of the value so fixed in order to adjust the rights of Members; 33.10.3 vest any specific assets in trustees upon trust for the Persons entitled to the dividend or distribution as may seem expedient to the Directors; and 33.10.4 generally make such arrangements for the allotment, acceptance and sale of such specific assets or certificates representing part of a shareholding or fractions of Shares or any part thereof or otherwise as they think fit. 33.11 Any resolution declaring a dividend or distribution on the Shares of any class, whether a resolution of the Company in general meeting or a resolution of the Directors or any resolution of the Directors for the payment of a fixed dividend or distribution on a date prescribed for the payment thereof, may specify that the same shall be payable to the Persons registered as the Holders of Shares of the class concerned at the close of business on a particular date notwithstanding that it may be a date prior to that on which the resolution is passed (or as the case may be that prescribed for payment of a fixed dividend or distribution) and thereupon the dividend or distribution shall be payable to them in accordance with their respective holdings so registered but without prejudice to the rights inter se in respect of such dividend or distribution of transferors and transferees of any Shares of the relevant class. 33.12 The Directors may deduct from any dividend, distribution or other monies payable to any Member on or in respect of a Share all sums of money (if any) presently payable by him to the Company on account of calls or otherwise in relation to the Shares of the Company. 33.13 Any dividend, distribution or other monies payable in respect of a Share may be paid by cheque or warrant sent through the post to the registered address of the Member or Person entitled thereto and, in the case of joint Holders, to any one of such joint Holders or to such Person and to such address as the Holder or joint Holders may in Writing direct. Every such cheque or warrant shall be made payable to the order of the Person to whom it is sent or to such other Person as the Holder or joint Holders may in Writing direct and payment of the cheque or warrant shall be a good discharge to the Company. Every such cheque or warrant shall be sent at the risk of the Person entitled to the money represented thereby. 33.14 All unclaimed dividends or distributions may be invested or otherwise made use of by the Directors for the benefit of the Company until claimed. No dividend or distribution shall bear interest as against the Company. 33.15 Any dividend or distribution which has remained unclaimed for a period of ten years from the date of declaration thereof shall, if the Directors so resolve, be forfeited and cease to remain owing by the Company and shall thenceforth belong to the Company absolutely. 33.16 All payments of dividend, distribution or other monies payable in respect of a Share shall be made subject to the deduction of, or withholding of, or on account of, any taxes, duties, assessments or governmental charges of whatever nature imposed or levied by or in the 31 |
| 8027970/69012768/11 Island of Jersey or the United Kingdom or any political sub-division or authority therein having power to tax, where such withholding or deduction is required or permitted by law. No additional payment will be required to be made in respect of such withholding or deduction. 33.17 In determining amounts payable to Members, a fraction of one penny will be rounded to the nearest penny with one half of one penny being rounded upwards. 34. CAPITALISATION OF PROFITS The Directors may with the authority of an Extraordinary Resolution of the Company: 34.1 subject as hereinafter provided, resolve that it is desirable to capitalise any undistributed profits of the Company (including profits carried and standing to any reserve or reserves) not required for paying any fixed dividends on any Shares entitled to fixed preferential dividends with or without further participation in profits or to capitalise any sum carried to reserve as a result of the sale or revaluation of the assets of the Company (other than goodwill) or any part thereof or to capitalise any sum standing to the credit of the Company's share premium account or capital redemption reserve fund; 34.2 appropriate the profits or sum resolved to be capitalised to the Members in the proportion in which such profits or sum would have been divisible amongst them had the same been applicable and had been applied in paying dividends and to apply such profits or sum on their behalf either in or towards paying up any amount for the time being unpaid on any Shares held by such Members respectively or in paying up in full either at par or at such premium as the said resolution may provide any unissued Shares or debentures of the Company such Shares or debentures to be allotted and distributed credited as fully Paid Up to and amongst such Members in the proportions aforesaid or partly in one way and partly in the other provided that the share premium account and the capital redemption reserve fund and any unrealised profits may for the purposes of this Article only be applied in the paying up of unissued Shares to be allotted to Members credited as fully Paid Up; 34.3 make all appropriations and applications of the profits or sum resolved to be capitalised thereby and all allotments and issues of fully paid Shares or debentures, if any, and generally shall do all acts and things required to give effect thereto with full power to the Directors to make such provision by the issue of certificates representing part of a shareholding or fractions of Shares or by payments in cash or otherwise as they think fit in the case of Shares or debentures becoming distributable in fractions; and 34.4 authorise any Person to enter on behalf of all the Members entitled to the benefit of such appropriations and applications into an agreement with the Company providing for the allotment to them respectively credited as fully Paid Up of any further Shares or debentures to which they may be entitled upon such capitalisation and any agreement made under such authority shall be effective and binding on all such Members. 32 |
| 8027970/69012768/11 35. ACCOUNTS AND AUDIT 35.1 The Company shall keep accounting records which are sufficient to show and explain the Company's transactions and are such as to: 35.1.1 disclose with reasonable accuracy at any time the financial position of the Company at that time; and 35.1.2 enable the Directors to ensure that any accounts prepared by the Company comply with requirements of the Law. 35.2 The Directors shall prepare accounts of the Company made up to such date in each year as the Directors shall from time to time determine in accordance with and subject to the provisions of the Law. 35.3 No Member shall (as such) have any right to inspect any accounting records or other book or document of the Company except as conferred by the Law or authorised by the Directors or by Ordinary Resolution of the Company. 35.4 The Directors shall deliver to the Registrar of Companies a copy of the accounts of the Company signed on behalf of the Directors by one of them together with a copy of the report thereon by the Auditors in accordance with the Law. 35.5 The Directors or the Company by Ordinary Resolution shall appoint Auditors for any period or periods to examine the accounts of the Company and to report thereon in accordance with the Law. 36. NOTICES 36.1 In the case of joint Holders of a Share, all Notices shall be given to that one of the joint Holders whose name stands first in the Register in respect of the joint holding and Notice so given shall be sufficient Notice to all the joint Holders. 36.2 A Notice may be given to any Person either personally or by sending it by post to him at his registered address. Where a Notice is sent by post, service of the Notice shall be deemed to be effected by properly addressing prepaying and posting a letter containing the Notice and the Notice shall be deemed to have been effected one Clear Day after the day it was posted. 36.3 Any Member Present at any meeting of the Company shall for all purposes be deemed to have received due Notice of such meeting and, where requisite, of the purposes for which such meeting was convened. 36.4 A Notice may be given by the Company to the Persons entitled to a Share in consequence of the death, bankruptcy or incapacity of a Member by sending or delivering it in any manner authorised by these Articles for the giving of Notice to a Member addressed to them by name or by the title of representatives of the deceased or trustee of the Bankrupt 33 |
| 8027970/69012768/ll or curator of the Member or by any like description at the address if any supplied for that purpose by the Persons claiming to be so entitled. Until such an address has been supplied, a Notice may be given in any manner in which it might have been given if the death, bankruptcy or incapacity had not occurred. If more than one Person would be entitled to receive a Notice in consequence of the death, bankruptcy or incapacity of a Member, Notice given to any one of such Persons shall be sufficient Notice to all such Persons. 36.5 Notwithstanding any of the provisions of these Articles, any Notice to be given by the Company to a Director or to a Member may be given in any manner agreed in advance by any such Director or Member. 36.6 Notwithstanding any of the provisions of these Articles, any Notice to be given to a Holder of a Preference Share shall be valid if given in the manner provided in the Conditions. 37. WINDING UP 37.1 Subject to any particular rights or limitations for the time being attached to any Shares as may be specified in these Articles or upon which such Shares may be issued if the Company is wound up, the assets available for distribution among the Members shall be applied first in repaying to the Members the amount Paid Up on their Shares respectively and, if such assets shall be more than sufficient to repay to the Members the whole amount Paid Up on their Shares, the balance shall be distributed among the Members in proportion to the amount which at the time of the commencement of the winding up had been actually Paid Up on their said Shares respectively. 37.2 If the Company is wound up, the Company may, with the sanction of an Extraordinary Resolution and any other sanction required by the Law, divide the whole or any part of the assets of the Company among the Members in specie and the liquidator or, where there is no liquidator, the Directors may for that purpose value any assets and determine how the division shall be carried out as between the Members or different classes of Members and with the like sanction vest the whole or any part of the assets in trustees upon such trusts for the benefit of the Members as the liquidator or the Directors (as the case may be) with the like sanction determine but no Member shall be compelled to accept any assets upon which there is a liability. 38. INDEMNITY 38.1 In so far as the Law allows, every present or former Officer of the Company shall be indemnified out of the assets of the Company against any loss or liability incurred by him by reason of being or having been such an Officer. 38.2 The Directors may without sanction of the Company in general meeting authorise the purchase or maintenance by the Company for any Officer or former Officer of the Company of any such insurance as is permitted by the Law in respect of any liability which would otherwise attach to such Officer or former Officer. 34 |
| 8027970/69012768/11 39. NON-APPLICATION OF STANDARD TABLE The regulations constituting the Standard Table prescribed pursuant to the Law shall not apply to the Company and are hereby expressly excluded in their entirety. 35 |
Exhibit 3.98
| Second set of special resolutions 8027970/69092233/1 Ensco Jersey Finance Limited (the Company) Resolutions in writing of the Company We, the undersigned, being all of persons who are registered in the Company's register of members as holders of shares in the capital of the Company and entitled to receive notice of and to attend and vote at a general meeting at which the following resolutions would be proposed, hereby resolve in writing, pursuant to Article 18 of the Company's articles of association and the Companies (Jersey) Law 1991 (the Law), that the following resolutions are passed as special resolutions of the Company: Special Resolutions 1. Re-designation of ordinary shares, Fixed Rate Redeemable A Preference Shares and Fixed Rate Redeemable B Preference Shares THAT: (a) each ordinary share with a par value of US$1 in the capital of the Company (both issued and unissued) be re-designated as a Founders' Share with a nominal value of US$1; (b) each Fixed Rate Redeemable A Preference Share of US$0.01 in the capital of the Company be sub-divided into 100,000 Fixed Rate Redeemable A Preference Shares with a nominal value of US$0.0000001; (c) each Fixed Rate Redeemable B Preference Share of US$0.01 in the capital of the Company be sub-divided into 100,000 Fixed Rate Redeemable B Preference Shares with a nominal value of US$0.0000001; (d) each Fixed Rate Redeemable A Preference Share of US$0.0000001 in the capital of the Company be re-designated as a Preference Share with a nominal value of US$0.0000001; (e) each Fixed Rate Redeemable B Preference Share of US$0.0000001 in the capital of the Company be re-designated as a Preference Share with a nominal value of US$0.0000001; and (f) accordingly, the memorandum of association of the Company be amended by the deletion of the fourth paragraph thereof and the insertion in its place of the following: “The share capital of the Company is US$1,001,000 divided into the following classes of shares: 4.1 1,000 shares of US$1 each designated as "Founders' Shares" and having the rights and restrictions set out in the Company's Articles of Association; and 4.2 10,000,000,000,000 shares of US$0.0000001 each designated as "Preference Shares" and having the rights and restrictions set out in the Company's Articles of Association.” 2. Alteration of memorandum and articles THAT pursuant to Article 11 of the Law, the memorandum and articles of association attached to these resolutions at Schedule 1 (incorporating the alterations to the memorandum of association made in consequence of resolution 1 above) be adopted as the new memorandum and articles of association of the Company in substitution for and to the exclusion of the existing memorandum and articles of association of the Company. |
| Second set of special resolutions 8027970/69092233/ 1 Signed for and on behalf of Ensco pie · Name: t,,\E,L.J:.SSA c.ouG-LE.J V'IC-f=. (>1'2.--c:.S:IOc..N< "TR&ArU/2..C:.(L Date: OC, December 2016 |
| Second set of special resolutions 8027970/69092233/1 Schedule 1 Memorandum and articles of association |
| COMPANIES (JERSEY) LAW 1991 MEMORANDUM AND ARTICLES OF ASSOCIATION OF ENSCO JERSEY FINANCE LIMITED a par value limited company adopted by special resolution of the Company on 06 December 2016 Company number: 122628 Incorporated 23 November 2016 |
| 8027970/69012768/11 i COMPANIES (JERSEY) LAW 1991 (the "Law") MEMORANDUM OF ASSOCIATION OF ENSCO JERSEY FINANCE LIMITED (the "Company") a par value public limited company 1. INTERPRETATION Words and expressions contained in this Memorandum of Association have the same meanings as in the Law. 2. COMPANY NAME The name of the Company is Ensco Jersey Finance Limited. 3. TYPE OF COMPANY 3.1 The Company is a public company. 3.2 The Company is a par value company. 4. NUMBER OF SHARES The share capital of the Company is US$1,001,000 divided into the following classes of shares: 4.1 1,000 shares of US$1 each designated as "Founders' Shares" and having the rights and restrictions set out in the Company's Articles of Association; and 4.2 10,000,000,000,000 shares of US$0.0000001 each designated as "Preference Shares" and having the rights and restrictions set out in the Company's Articles of Association. 5. LIABILITY OF MEMBERS The liability of a member arising from the holding of a share in the Company is limited to the amount (if any) unpaid on it. |
| 8027970/69012768/11 ii COMPANIES (JERSEY) LAW 1991 ARTICLES OF ASSOCIATION OF ENSCO JERSEY FINANCE LIMITED a par value public limited company CONTENTS 1. INTERPRETATION 1 2. SHARE CAPITAL 5 3. SHARE PREMIUM ACCOUNT 8 4. ALTERATION OF SHARE CAPITAL 9 5. VARIATION OF RIGHTS 9 6. REGISTER OF MEMBERS 10 7. SHARE CERTIFICATES 10 8. LIEN 11 9. CALLS ON SHARES 12 10. FORFEITURE OF SHARES 13 11. TRANSFER OF SHARES 14 12. TRANSMISSION OF SHARES 15 13. GENERAL MEETINGS 16 14. CLASS MEETINGS 16 15. NOTICE OF GENERAL MEETINGS 17 16. PROCEEDINGS AT GENERAL MEETINGS 17 17. VOTES OF MEMBERS 19 |
| 8027970/69012768/11 iii 18. CORPORATE MEMBERS 20 19. DIRECTORS 21 20. ALTERNATE DIRECTORS 21 21. POWERS OF DIRECTORS 22 22. DELEGATION OF DIRECTORS' POWERS 22 23. APPOINTMENT OF DIRECTORS 23 24. RESIGNATION, DISQUALIFICATION AND REMOVAL OF DIRECTORS 23 25. REMUNERATION AND EXPENSES OF DIRECTORS 24 26. EXECUTIVE DIRECTORS 24 27. DIRECTORS' INTERESTS 25 28. PROCEEDINGS OF DIRECTORS 26 29. MINUTE BOOK 27 30. SECRETARY 28 31. THE SEAL 29 32. AUTHENTICATION OF DOCUMENTS 29 33. DIVIDENDS AND OTHER DISTRIBUTIONS 29 34. CAPITALISATION OF PROFITS 32 35. ACCOUNTS AND AUDIT 33 36. NOTICES 33 37. WINDING UP 34 38. INDEMNITY 34 39. NON-APPLICATION OF STANDARD TABLE 35 |
| 8027970/69012768/11 1 COMPANIES (JERSEY) LAW 1991 ARTICLES OF ASSOCIATION OF ENSCO JERSEY FINANCE LIMITED a par value public limited company 1. INTERPRETATION 1.1 In these Articles, unless the context or law otherwise requires, the following words and expressions shall have the meanings respectively assigned to them below: 1.1.1 "these Articles" means these Articles of Association in their present form or as from time to time amended; 1.1.2 "Auditors" means the auditors of the Company appointed pursuant to these Articles; 1.1.3 "Bankrupt" has the meaning ascribed to it in the Interpretation (Jersey) Law, 1954; 1.1.4 "Board" means a meeting of a quorum of the Directors duly called and constituted or, as the case may be, a quorum of the Directors assembled at a meeting; 1.1.5 "Clear Days" means in relation to the period of a Notice that period excluding the day when the Notice is served or deemed to be served and the day for which it is given or on which it is to take effect; 1.1.6 "Closing Date" means the date the Notes are issued; 1.1.7 "Company" means the company incorporated under the Law in respect of which these Articles have been registered; 1.1.8 "Conditions" means the terms and conditions of the Notes as set out in the Indenture, as amended or modified from time to time; 1.1.9 "Directors" means the directors of the Company for the time being or, as the case may be, the directors assembled as a Board (or as a committee); 1.1.10 "Dividend Payment Date" shall have the meaning given to it in Article 2.4.1; 1.1.11 "Dividend Period" shall have the meaning given to it in Article 2.4.1; |
| 8027970/69012768/11 2 1.1.12 "Due Date" shall have the meaning given to it in Article 9.9; 1.1.13 "Exchange Date" shall mean the date of exchange of the Notes specified pursuant to the Indenture; 1.1.14 "Extraordinary Resolution" means a resolution of the Company passed as a special resolution in accordance with the Law; 1.1.15 "Exchange Right" means the right of a Noteholder at specified times in accordance with the Conditions and the terms of the Indenture to exchange each US$1,000 principal amount of a Note for one fully paid Preference Share, with each such Preference Share being allotted at a price equal to the Paid-up Value; 1.1.16 "First Right" means the right carried by the Preference Shares pari passu with the Shares of any class having the like right, on a winding-up of the Company or other return of capital (other than a purchase or redemption of any Preference Share or any Share of any other class) to payment of the Paid-up Value thereof, together with a sum equal to any accrued but unpaid preferential dividend due in respect of such Preference Shares to be calculated to (but excluding) the date when payment of the return of capital is made and to be payable irrespective of whether or not such dividend has been declared or earned, in priority to any payment in respect of any other class of Shares in the Company (save for any Shares with a like right as aforesaid); 1.1.17 "Founders' Shares" means founders' shares having a nominal value of US$1 each in the capital of the Company having the rights attaching thereto prescribed in these Articles; 1.1.18 "Guarantor" means Ensco PLC; 1.1.19 "Holder" means in relation to Shares the Member whose name is entered in the Register as the holder of the Shares; 1.1.20 "Indenture" means the indenture constituting the Notes to be entered into among the Company, the Guarantor and the Trustee on the Closing Date, as from time to time modified or amended in accordance with the terms thereof; 1.1.21 "issue" includes allotment; 1.1.22 "the Law" means the Companies (Jersey) Law 1991 and any subordinate legislation from time to time made thereunder, including any statutory modifications or re- enactments for the time being in force; 1.1.23 "Member" means the subscribers to the Memorandum of Association and any other Person whose name is entered in the Register as the holder of Shares in the Company; |
| 8027970/69012768/11 3 1.1.24 "Memorandum of Association" means the Company's Memorandum of Association in force from time to time; 1.1.25 "Month" means calendar month; 1.1.26 "Noteholder" means the person in whose name a Note is registered in the accordance with the Indenture; 1.1.27 "Notes" means the Company’s exchangeable senior notes due 2024, constituted by the Indenture and unconditionally and irrevocably guaranteed by the Guarantor; 1.1.28 "Notice" means a notice in Writing unless otherwise specifically stated; 1.1.29 "Office" means the registered office of the Company; 1.1.30 "Officer" includes a Secretary but otherwise has the meaning ascribed to it in the Law; 1.1.31 "Ordinary Resolution" means a resolution of the Company in general meeting adopted by a simple majority of the votes cast at that meeting; 1.1.32 "Ordinary Shares" means fully paid ordinary shares in the capital of the Guarantor currently with a par value of US$0.10 each; 1.1.33 "Paid Up" includes credited as paid up; 1.1.34 "Paid-up Value" means the agreed issue price of US$1,000 at which each Preference Share is to be issued credited as fully paid-up; 1.1.35 "Persons" includes associations and bodies of persons, whether corporate or unincorporate; 1.1.36 "Preference Shares" means exchangeable redeemable preference shares having a nominal value of US$0.0000001 each in the capital of the Company having the rights attaching thereto prescribed in these Articles; 1.1.37 "Present" in relation to general meetings of the Company and to meetings of the Holders of any class of Shares includes present by attorney or by proxy or in the case of a corporate shareholder by representative; 1.1.38 "Register" means the register of Members required to be kept pursuant to Article 41 of the Law and which shall be kept in Jersey in accordance with Article 6.1; 1.1.39 "reserves" includes unappropriated profits; 1.1.40 "rights" includes rights in whatsoever form constituted; 1.1.41 "Seal" means the common seal of the Company; |
| 8027970/69012768/11 4 1.1.42 "Secretary" means any Person appointed to perform any of the duties of secretary of the Company (including an assistant or deputy secretary) and in the event of two or more Persons being appointed as joint secretaries any one or more of the Persons so appointed; 1.1.43 "securities" includes, without limitation, shares in the share capital of the Guarantor and options, warrants or other rights to subscribe for or purchase or acquire shares in the capital of the Guarantor; 1.1.44 "Share" means a share in the capital of the Company; 1.1.45 “Share Exchange Right” means a right pursuant to the Articles of a Holder of a Preference Share arising from the exercise of an Exchange Right, to exchange such Preference Share for Ordinary Shares and/or cash; 1.1.46 "Signed" includes a signature or representation of a signature affixed by mechanical or other means and where a document is to be signed by a company, an association or a body of Persons the word "Signed" shall be construed as including the signature of a duly authorised representative on its behalf as well as any other means by which it would normally execute the document; 1.1.47 "Sole Member-Director Contract" shall have the meaning given to it in Article 29.3; 1.1.48 "Sole Member's Decision" shall have the meaning given to it in Article 29.4; 1.1.49 "Trustee" means Deutsche Bank Trust Company Americas or such other persons for the time being the trustee or trustees of the trusts constituted by the Indenture; 1.1.50 "United Kingdom" means the United Kingdom of Great Britain and Northern Ireland; 1.1.51 "in Writing" includes written, printed, telexed, electronically transmitted or represented or reproduced by any other mode of representing or reproducing words in a visible form; and 1.1.52 "US$" and "USD" mean the lawful currency of the United States of America. 1.2 Save as defined herein and unless the context otherwise requires, words or expressions contained in these Articles shall bear the same meaning as in the Law but excluding any statutory modification thereof not in force when these Articles become binding on the Company. 1.3 In these Articles, unless the context or law otherwise requires: 1.3.1 words and expressions which are cognate to those defined in Article 1.1 shall be construed accordingly; |
| 8027970/69012768/11 5 1.3.2 the word "may" shall be construed as permissive and the word "shall" shall be construed as imperative; 1.3.3 words importing the singular number only shall be construed as including the plural number and vice versa; 1.3.4 words importing the masculine gender only shall be construed as including the feminine and neuter genders; 1.3.5 references to any act, statute or enactment or any provision of any act, statute or enactment shall be deemed also to refer to any statutory modification or re- enactment thereof or any statutory instrument, order or regulation made thereunder or under such modification or re-enactment; and 1.3.6 references to a numbered Article are to the Article so numbered of these Articles. 1.4 The clause and paragraph headings in these Articles are for convenience only and shall not be taken into account in the construction or interpretation of these Articles. 2. SHARE CAPITAL 2.1 At the date of adoption of these Articles, the share capital of the Company comprises two Founders' Shares. 2.2 The Directors may, subject as provided in these Articles, issue any unissued Shares authorised for issue in accordance with the Memorandum of Association as Founders' Shares or Preference Shares, each conferring upon the Holder of such shares the rights hereinafter appearing. 2.3 The rights attaching to the Founders' Shares are as follows: 2.3.1 As regards Income – Each Founders' Share shall, subject to the relevant provisions of the Law, confer on the Holder thereof the right to receive any remaining profits of the Company after the payment to the Holders of the Preference Shares of their fixed cumulative dividend and after payment of any other preferential dividend on any other class of Shares, up to a maximum of US$10,000,000 in any year. 2.3.2 As regards Capital – On a winding up of the Company or other return of capital (other than a purchase or redemption of any Preference Share or any Shares of any other class), the Holder of each Founders’ Share shall be entitled, following payment to the Holders of the Preference Shares of all amounts then due under Article 2.4.2(i), to payment of the amount Paid Up thereon and thereafter, any surplus assets then remaining shall be distributed pari passu among the Holders of the Founders’ Shares, in proportion to the amounts Paid Up thereon, up to a maximum of US$250,000,000. |
| 8027970/69012768/11 6 2.3.3 As regards Voting – The Holder of each Founders' Share shall be entitled to receive notice of general meetings of the Company and to attend and vote thereat. On a poll every Holder of Founders' Shares who (being an individual) is present in person or by proxy or (being a corporation) is present by representative or by proxy shall have one million votes in respect of each Founders' Share registered in the name of such Holder. 2.3.4 Founders' Shares shall only be issued to, or for the benefit of, the Guarantor or to or for the benefit of a person previously approved in writing by the Guarantor. 2.4 The rights attaching to the Preference Shares are as follows: 2.4.1 As regards Income – Each Preference Share shall, on allotment, and subject to the relevant provisions of the Law, confer on the Holder thereof a right to receive a fixed cumulative dividend at the rate of x per cent. per annum of the Paid-up Value of each such Preference Share (where "x" is equal to the coupon payable on the Notes) payable in equal instalments semi-annually in arrears on 31 January and 31 July in each year (each a "Dividend Payment Date") commencing with the Dividend Payment Date falling on 31 July 2017 except that no such dividend shall accrue on such Preference Share prior to its allotment. The dividend payable in respect of each Preference Share for any period which is shorter than a Dividend Period shall be calculated on the basis of the number of days actually elapsed in a 30-day month (assuming a 360-day year composed of twelve 30-day months), where "Dividend Period" means the period beginning on (and including) the Closing Date and ending on (but excluding) the first Dividend Payment Date and each successive period beginning on (and including) a Dividend Payment Date and ending on (but excluding) the next succeeding Dividend Payment Date. Such dividends shall accrue from day to day. Each Preference Share will cease to accrue dividends from and including its due date for redemption. No account will be taken of accrued dividends on an exchange pursuant to any Share Exchange Right. The fixed cumulative dividends payable in respect of the Preference Shares shall be paid in priority to any dividend in respect of any other class of Shares in the capital of the Company, other than any such class that ranks pari passu with the Preference Shares as respects rights to dividends. 2.4.2 As regards Capital – On a winding-up of the Company or other return of capital (other than a purchase or redemption of any Preference Share or any Share of any other class), the Preference Shares shall carry (i) the First Right in priority to any payment in respect of any other class of Shares in the Company save for any Share of any class carrying the like right (in the event that the assets of the Company available for distribution are insufficient to repay in full the Paid-up Value of each Preference Share or Shares carrying the like right together with the accruals referred to in Article 1.1.16, the available assets shall be apportioned pro rata amongst the Preference Shares and Shares carrying the like right then in issue according to the Paid-up Value and the amount at which any such other Share is credited as paid-up and accruals outstanding) and (ii) following payment of the full |
| 8027970/69012768/11 7 amount due to the Holders of Founders’ Shares under Article 2.3.2, the right to all the surplus assets of the Company. 2.4.3 As regards Voting – The Holders of the Preference Shares shall be entitled to receive notice of general meetings of the Company and to attend and vote thereat. On a poll, every Holder of Preference Shares who (being an individual) is present in person or by proxy, or (being a corporation) is present by representative or by proxy shall have one vote for each Preference Share registered in his name. 2.4.4 As regards Redemption – The Preference Shares shall be redeemed by the Company upon and subject to the provisions of the Law and any other applicable law in Jersey and the following terms and conditions: (a) where an Exchange Right has been or is deemed to have been exercised and the Preference Shares have been transferred to the Guarantor or its nominee, the relevant Preference Shares may be redeemed for cash at their Paid-up Value at any time after the first transfer thereof into the name of the Guarantor or its nominee or any subsequent Holder of the Preference Shares on any date specified by the Guarantor or its nominee or any subsequent Holder of the Preference Shares in any notice given by the Guarantor or its nominee or any subsequent Holder of the Preference Shares to the Company requiring such redemption either forthwith or on any subsequent date; provided that, unless the relevant Preference Shares are earlier redeemed or the Company has been wound up in accordance with Article 37 prior to such date, the relevant Preference Shares shall be redeemed by the Company on 31 January 2037 at their Paid-up Value. Any such notice may be a standing notice (which may be revoked or amended at any time) requiring all or any part of the Preference Shares transferred from time to time into the name of the giver of such notice to be redeemed forthwith upon such transfer or at any time thereafter as specified therein and different directions may be given concerning different portions of the Preference Shares so transferred and accordingly such notice will apply to all such transfers following such notice (without the need for a separate notice requiring redemption to be served in respect of each such transfer of Preference Shares) until amended or revoked; and (b) on redemption of a Preference Share, the Company will cancel the Preference Share and any certificate relating thereto and such Preference Share may not be re-issued or sold as a Preference Share. 2.4.5 As regards Transfer – By exercising an Exchange Right, a Noteholder will be deemed, subject to and in accordance with these Articles, to have exercised a Share Exchange Right applicable to any Preference Share arising on the exercise of such Exchange Right. Any Preference Share issued upon exercise of Exchange Rights shall immediately upon allotment and issue of the same (and registration of such Preference Share in the name of the relevant person) be transferred to the Guarantor or its nominee in exchange for cash and/or Ordinary Shares as provided |
| 8027970/69012768/11 8 in the Conditions and the terms of the Indenture. Any such transfer shall be effected by the Company or the Guarantor (or a person appointed for this purpose by the Company or the Guarantor) as agent for the Holder thereof and the Company or the Guarantor (or a person appointed as aforesaid) shall be and is hereby authorised by such Holder to execute all such documents and do all such things as may be necessary properly to effect the same, without any cost or liability to, or any further action required by, the Holder (save as may be provided in the Conditions). Transfers of Preference Shares shall be effected by any instrument of transfer in common or usual form or such other form as may be approved by the Board. All instruments of transfer, when registered, may be retained by the Company. Preference Shares will be allotted as of the relevant Exchange Date and in accordance with the terms of the Indenture. 2.4.6 As regards Issue – The Preference Shares shall only be issued on the exchange of Notes in accordance with the Conditions and the terms of the Indenture and shall be issued at the Paid-up Value per Preference Share credited as fully paid with the excess over the nominal value of US$0.0000001 credited to the Share premium account and will rank pari passu with all (if any) fully paid Preference Shares then in issue except that the Preference Shares so allotted will not rank for any dividend or other distribution declared, paid or made by reference to a record date prior to the relevant Exchange Date. 2.5 Subject to the provisions of these Articles, the unissued Shares for the time being in the capital of the Company shall be at the disposal of the Directors who may allot, grant options over or otherwise dispose of them to such Persons at such times and generally on such terms and conditions as they think fit. 2.6 The Company may pay commissions as permitted by the Law. Subject to the provisions of the Law any such commission may be satisfied by the payment of cash or by the allotment of fully or partly paid Shares or partly in one way and partly in the other. 2.7 Except as otherwise provided by these Articles or by law, no Person shall be recognised by the Company as holding any Share upon any trust and the Company shall not be bound by or be compelled in any way to recognise any equitable, contingent, future or partial interest in any Share or any interest in any fraction of a Share or any other right in respect of any Share except an absolute right to the entirety thereof in the Holder. 3. SHARE PREMIUM ACCOUNT 3.1 Except as provided in Article 3.2, where the Company issues Shares at a premium, the amount or value (as determined by the Directors) of any premiums shall be transferred, as and when the premiums are Paid Up, to a Share premium account which shall be kept in the books of the Company in the manner required by the Law. The sums for the time being standing to the credit of the share premium account shall be applied only in accordance with the Law. |
| 8027970/69012768/11 9 3.2 Where the Law permits the Company to refrain from transferring any amount to a share premium account, that amount need not be so transferred; but the Directors may if they think fit nevertheless cause all or any part of such amount to be transferred to the relevant share premium account. 4. ALTERATION OF SHARE CAPITAL 4.1 The Company may by Extraordinary Resolution alter its share capital as stated in the Memorandum of Association in any manner permitted by the Law. 4.2 Any new Shares created on an increase or other alteration of share capital shall be issued upon such terms and conditions as the Company may by Ordinary Resolution determine. 4.3 Any capital raised by the creation of new Shares shall, unless otherwise provided by the conditions of issue of the new Shares, be considered as part of the original capital and the new Shares shall be subject to the provisions of these Articles with reference to the payment of calls, transfer and transmission of Shares, lien or otherwise applicable to the existing Shares in the Company. 4.4 Whenever, as a result of any consolidation of Shares, any Member would become entitled to fractions of a Share, the Directors may, for the purpose of eliminating such fractions, deal with such fractions in such manner as they consider fit or sell the Shares representing the fractions for the best price reasonably obtainable and distribute the proceeds of sale in due proportion among the Members who would have been entitled to the fractions of Shares. For the purpose of any such sale, the Directors may authorise some person to transfer the Shares representing the fractions to the purchaser thereof, whose name shall thereupon be entered in the Register as the Holder of the Shares and who shall not be bound to see to the application of the purchase money nor shall his title to the Shares be affected by any irregularity or invalidity in the proceedings in reference to the sale. 4.5 Subject to the provisions of the Law, the Company may by Extraordinary Resolution reduce its share capital and its share premium account in any way. 5. VARIATION OF RIGHTS 5.1 Whenever the capital of the Company is divided into different classes of Shares, the special rights attached to any class may (unless otherwise provided by the terms of issue of the Shares of that class) be varied or abrogated either whilst the Company is a going concern or during or in contemplation of a winding up: 5.1.1 with the consent in Writing of the Holders of not less than two-thirds in number of the issued Shares of that class; or 5.1.2 with the sanction of an Extraordinary Resolution passed at a separate meeting of the Holders of Shares of that class. |
| 8027970/69012768/11 10 5.2 To every such separate meeting all the provisions of these Articles and of the Law relating to general meetings of the Company or to the proceedings thereat shall apply mutatis mutandis except that the necessary quorum shall be persons holding or representing by proxy at least one -third in number of the issued Shares of that class but so that if at any adjourned meeting of such Holders a quorum as above defined is not Present those Holders who are Present shall be a quorum. 5.3 Subject as aforesaid, the special rights conferred upon the Holders of any Shares or class of Shares issued with preferred, deferred or other special rights shall (unless otherwise expressly provided by the conditions of issue of such Shares) be deemed not to be varied by the creation or issue of further Shares ranking after or pari passu therewith. 6. REGISTER OF MEMBERS 6.1 The Directors shall maintain or cause to be maintained a Register in the manner required by the Law. The Register shall be kept at the Office or at such other place in the Island of Jersey as the Directors from time to time determine. In each year the Directors shall prepare or cause to be prepared and filed an annual return containing the particulars required by the Law. 6.2 The Company shall not be required to enter the names of more than four joint Holders in the Register. 7. SHARE CERTIFICATES 7.1 Every Member shall be entitled: 7.1.1 without payment, upon becoming the Holder of any Shares, to one certificate for all the Shares of each class held by him and, upon transferring a part only of the Shares comprised in a certificate, to a new certificate for the remainder of the Shares so comprised; or 7.1.2 upon payment of such reasonable sum for each certificate as the Directors shall from time to time determine, to several certificates, each for one or more of his Shares of any class. 7.2 Every certificate shall be issued within two Months after allotment or lodgment of transfer (or within such other period as the conditions of issue shall provide) and shall be executed by the Company. A certificate may be executed: 7.2.1 if the Company has a Seal, by causing a seal of the Company to be affixed to the certificate in accordance with these Articles; or 7.2.2 whether or not the Company has a Seal, by the signature on behalf of the Company of either two Directors or one Director and the Secretary. |
| 8027970/69012768/11 11 Every certificate shall further specify the number and class of the Shares to which it relates, whether or not the shares are fully Paid Up and if so required by the Law the distinguishing numbers of such Shares. 7.3 The Company shall not be bound to issue more than one certificate in respect of a Share held jointly by several Persons and delivery of a certificate for a Share to one of several joint Holders shall be sufficient delivery to all such Holders. 7.4 If a share certificate shall be worn out, defaced, lost or destroyed a duplicate certificate may be issued on payment of such reasonable fee and on such terms (if any) as to evidence and indemnity and the payment of out-of-pocket expenses of the Company in relation thereto as the Directors think fit. 8. LIEN 8.1 The Company shall have a first and paramount lien on every Share (not being a fully paid Share) for all monies (whether presently payable or not) called or payable at a fixed time in respect of that Share and the Company shall also have a first and paramount lien on all Shares (other than fully paid Shares) registered in the name of a single Member for all the debts and liabilities of such Member or his estate to the Company whether the period for the payment or discharge of the same shall have actually commenced or not and notwithstanding that the same are joint debts or liabilities of such Member or his estate and any other Person whether a Member or not. The Company's lien (if any) on a Share shall extend to all distributions, bonus issues, returns of capital or other monies payable thereon or in respect thereof. The Directors may resolve that any Share shall for such period as they think fit be exempt from the provisions of this Article. 8.2 The Company may sell in such manner as the Directors think fit any Shares on which the Company has a lien, but no sale shall be made unless the monies in respect of which such lien exists or some part thereof are or is presently payable nor until fourteen Clear Days have expired after a Notice stating and demanding payment of the monies presently payable and giving Notice of intention to sell in default shall have been served on the Holder for the time being of the Shares or the Person entitled thereto by reason of the death, bankruptcy or incapacity of such Holder. 8.3 To give effect to any such sale the Directors may authorise some Person to execute an instrument of transfer of the Shares sold to the purchaser thereof. The purchaser shall be registered as the Holder of the Shares so transferred and he shall not be bound to see to the application of the purchase money nor shall his title to the Shares be affected by any irregularity or invalidity in the proceedings in reference to the sale. 8.4 The net proceeds of such sale after payment of the costs of such sale shall be applied in or towards payment or satisfaction of the debt or liability in respect of which the lien exists so far as the same is presently payable and any residue shall (subject to a like lien for debts or liabilities not presently payable as existed upon the Shares prior to the sale) be paid to the Person entitled to the Shares at the time of the sale. |
| 8027970/69012768/11 12 9. CALLS ON SHARES 9.1 The Directors may, subject to the provisions of these Articles and to any conditions of allotment from time to time, make calls upon the Members in respect of any monies unpaid on their Shares (whether on account of the nominal value of the Shares or by way of premium) and each Member shall (subject to being given at least fourteen Clear Days' Notice specifying the time or times and place of payment) pay to the Company at the time or times and place so specified the amount called on his Shares. 9.2 A call may be required to be paid by instalments. 9.3 A call may, before receipt by the Company of any sum due thereunder, be revoked in whole or in part and payment of a call may be postponed in whole or in part. 9.4 A call shall be deemed to have been made at the time when the resolution of the Directors authorising the call was passed. 9.5 The joint Holders of a Share shall be jointly and severally liable to pay all calls to be made in respect of such Share. 9.6 If a sum called in respect of a Share is not paid before or on the day appointed for payment thereof, the Person from whom the sum is due may be required to pay interest on the sum from the day appointed for payment thereof to the time of actual payment at a rate determined by the Directors but the Directors shall be at liberty to waive payment of such interest wholly or in part. 9.7 Any sum which by or pursuant to the terms of issue of a Share becomes payable upon allotment or at any fixed date whether on account of the nominal value of the Shares or by way of premium shall for the purposes of these Articles be deemed to be a call duly made and payable on the date on which by or pursuant to the terms of issue the same becomes payable and in case of non-payment all the relevant provisions of these Articles as to payment of interest, forfeiture, surrender or otherwise shall apply as if such sum had become due and payable by virtue of a call duly made and notified. 9.8 The Directors may, on the issue of Shares, differentiate between the Holders as to the amount of calls to be paid and the times of payment. 9.9 The Directors may, if they think fit, receive from any Member an advance of monies which have not yet been called on his Shares or which have not yet fallen due for payment. Such advance payments shall, to their extent, extinguish the liability in respect of which they are paid. The Company may pay interest on any such advance, at such rate as the Directors think fit, for the period covering the date of payment to the date (the "Due Date") when the monies would have been due had they not been paid in advance. For the purposes of entitlement to any distribution or bonus issue, monies paid in advance of a call or instalment shall not be treated as paid until the Due Date. |
| 8027970/69012768/11 13 10. FORFEITURE OF SHARES 10.1 If a Member fails to pay any call or instalment of a call on or before the day appointed for payment thereof, the Directors may, at any time thereafter during such time as any part of such call or instalment remains unpaid, serve a Notice on him requiring payment of so much of the call or instalment as is unpaid together with any interest which may have accrued and any costs, charges and expenses which may have been incurred by the Company by reason of such non-payment. 10.2 The Notice shall name a further day (not earlier than the expiration of fourteen Clear Days from the date of service of such Notice) on or before which the payment required by the Notice is to be made and the place where payment is to be made and shall state that in the event of non-payment at or before the time appointed and at the place appointed the Shares in respect of which the call was made will be liable to be forfeited. 10.3 If the requirements of any such Notice as aforesaid are not complied with, any Share in respect of which such Notice has been given may at any time thereafter, before payment of all calls and interest due in respect thereof has been made, be forfeited by a resolution of the Directors to that effect and such forfeiture shall include all distributions, bonus issues, returns of capital or other monies which shall have been resolved to be paid or made on the forfeited Shares and not actually paid before the forfeiture. 10.4 When any Share has been forfeited in accordance with these Articles, Notice of the forfeiture shall forthwith be given to the Holder of the Share or the Person entitled to the Share by transmission, as the case may be, and an entry of such Notice having been given and of the forfeiture with the date thereof shall forthwith be made in the Register opposite to the entry of the Share but no forfeiture shall be invalidated in any manner by any omission or neglect to give such Notice or to make such entry as aforesaid. 10.5 The Directors may, at any time after serving a Notice in accordance with Article 10.1, accept from the Member concerned the surrender of such Shares as are the subject of the Notice, without the need otherwise to comply with the provisions of Articles 10.1 to 10.4. Any such Shares shall be surrendered immediately and irrevocably upon the Member delivering to the Company the Share certificate for the Shares and such surrender shall also constitute a surrender of all dividends declared on the surrendered Shares but not actually paid before the surrender. The Company shall, upon such surrender, forthwith make an entry in the Register of the surrender of the Share with the date thereof but no surrender shall be invalidated in any manner by any omission or neglect to make such entry as aforesaid. 10.6 A forfeited or surrendered Share shall become the property of the Company and may be sold, re-allotted or otherwise disposed of either to the Person who was before forfeiture or surrender the Holder thereof or entitled thereto or to any other Person upon such terms and in such manner as the Directors think fit and at any time before a sale, re-allotment or other disposition the forfeiture or surrender may be cancelled on such terms as the Directors think fit. Where for the purposes of its disposal a forfeited or surrendered Share |
| 8027970/69012768/11 14 is to be transferred to any Person the Directors may authorise some Person to execute an instrument of transfer of the Share to that Person. 10.7 A Member whose Shares have been forfeited or surrendered shall cease to be a Member in respect of the forfeited or surrendered Shares and shall (if he has not done so already) surrender to the Company for cancellation the certificate for the Shares forfeited or surrendered. Notwithstanding the forfeiture or the surrender such Member shall remain liable to pay to the Company all monies which at the date of forfeiture or surrender were presently payable by him in respect of those Shares with interest thereon at the rate at which interest was payable before the forfeiture or surrender or at such rate as the Directors may determine from the date of forfeiture or surrender until payment, provided that the Directors may waive payment wholly or in part or enforce payment without any allowance for the value of the Shares at the time of forfeiture or surrender or for any consideration received on their disposal. 10.8 A declaration under oath by a Director or the Secretary (or by an Officer of a corporate Secretary) that a Share has been duly forfeited or surrendered on a specified date shall be conclusive evidence of the facts therein stated as against all Persons claiming to be entitled to the Share. The declaration and the receipt of the Company for the consideration (if any) given for the Share on the sale re-allotment or disposal thereof together with the certificate for the Share delivered to a purchaser or allottee thereof shall (subject to the execution of an instrument of transfer if the same be so required) constitute good title to the Share. The Person to whom the Share is sold, re-allotted or disposed of shall be registered as the Holder of the Share and shall not be bound to see to the application of the consideration (if any) nor shall his title to the Share be affected by any irregularity in or invalidity of the proceedings in respect of the forfeiture, surrender, sale, re-allotment or disposal of the Share. 11. TRANSFER OF SHARES 11.1 Save as provided in Article 2.4.5, any Member may transfer all or any of his Shares. 11.2 Save as otherwise permitted under the provisions of the Law, all transfers of Shares shall be effected using an instrument of transfer. 11.3 The instrument of transfer of any Share shall be in Writing in any usual common form or any form approved by the Directors. 11.4 Save as provided in Article 2.4.5, the instrument of transfer of any Share shall be Signed by or on behalf of the transferor and in the case of an unpaid or partly paid Share by the transferee. The transferor shall be deemed to remain the Holder of the Share until the name of the transferee is entered in the Register in respect thereof. 11.5 The Directors may refuse to register the transfer of a Share unless the instrument of transfer: |
| 8027970/69012768/11 15 11.5.1 is lodged at the Office or at such other place as the Directors may appoint accompanied by the certificate for the Shares to which it relates and such other evidence as the Directors may reasonably require to show the right of the transferor to make the transfer; 11.5.2 is in respect of only one class of Shares; and 11.5.3 is in favour of not more than four transferees. 11.6 If the Directors refuse to register a transfer of a Share they shall within two Months after the date on which the instrument of transfer was lodged with the Company send to the proposed transferor and transferee Notice of the refusal. 11.7 All instruments of transfer relating to transfers of Shares which are registered shall be retained by the Company but any instrument of transfer relating to transfers of Shares which the Directors decline to register shall (except in any case of fraud) be returned to the Person depositing the same. 11.8 The registration of transfers of Shares or of transfers of any class of Shares may be suspended at such times and for such periods as the Directors may determine. 11.9 No fee shall be charged in respect of the registration of any instrument of transfer or other document relating to or affecting the title to any Share. 11.10 In respect of any allotment of any Share the Directors shall have the same right to decline to approve the registration of any renouncee of any allottee as if the application to allot and the renunciation were a transfer of a Share under these Articles. 12. TRANSMISSION OF SHARES 12.1 In the case of the death of a Member, the survivor or survivors where the deceased was a joint Holder and the executors or administrators of the deceased where he was a sole or only surviving Holder shall be the only Persons recognised by the Company as having any title to his interest in the Shares but nothing in this Article shall release the estate of a deceased joint Holder from any liability in respect of any Share which had been jointly held by him. 12.2 Any Person becoming entitled to a Share in consequence of the death, bankruptcy or incapacity of a Member may, upon such evidence as to his title being produced as may from time to time be required by the Directors and subject as hereinafter provided, elect either to be registered himself as the Holder of the Share or to have some Person nominated by him registered as the Holder thereof. 12.3 If the Person so becoming entitled shall elect to be registered himself he shall deliver or send to the Company a Notice Signed by him stating that he so elects. If he shall elect to have another Person registered he shall testify his election by an instrument of transfer of the Share in favour of that Person. All the limitations restrictions and provisions of these |
| 8027970/69012768/11 16 Articles relating to the right to transfer and the registration of transfers of Shares shall be applicable to any such Notice or instrument of transfer as aforesaid as if it were an instrument of transfer executed by the Member and the death, bankruptcy or incapacity of the Member had not occurred. 12.4 A Person becoming entitled to a Share by reason of the death, bankruptcy or incapacity of a Member shall be entitled to the same distributions and other advantages to which he would be entitled if he were the Holder of the Share except that he shall not before being registered as the Holder of the Share be entitled in respect of it to exercise any right conferred by membership in relation to meetings of the Company provided always that the Directors may at any time give Notice requiring any such Person to elect either to be registered himself or to transfer the Share and, if the Notice is not complied with within one Month, such Person shall be deemed to have so elected to be registered himself and all the restrictions on the transfer and transmission of Shares contained in these Articles shall apply to such election. 13. GENERAL MEETINGS 13.1 Each General Meeting shall be held at such time and place in the United Kingdom as may be determined by the Directors. 13.2 The Directors may whenever they think fit, or upon a requisition of Members pursuant to the provisions of the Law the Directors shall forthwith, proceed to convene a General Meeting for a date not later than two Months after the receipt of the requisition. If there are not sufficient Directors to convene the General Meeting any Director or any Member may convene such a meeting. 13.3 At any General Meeting called pursuant to a requisition, unless such meeting is called by the Directors, no business other than that stated in the requisition as the objects of the meeting shall be transacted. 13.4 Notwithstanding any other provision of these Articles, all meetings of the Company and any class meeting, and all adjourned meetings thereof, must take place in the United Kingdom. Attendance by conference telephone or similar means will not be sufficient for a member to be present at a meeting. 14. CLASS MEETINGS Save as otherwise provided in these Articles, all the provisions of these Articles and of the Law relating to general meetings of the Company and to the proceedings thereat shall apply mutatis mutandis to every class meeting. A Director who is entitled to receive Notice of general meetings of the Company in accordance with Article 15.4 shall also be entitled, unless he has notified the Secretary in Writing of his contrary desire, to receive Notice of all class meetings. At any class meeting the Holders of Shares of the relevant class shall, on a poll, have one vote in respect of each Share of that class held by them. |
| 8027970/69012768/11 17 15. NOTICE OF GENERAL MEETINGS 15.1 At least fourteen Clear Days' Notice shall be given of every General Meeting, including without limitation, every general meeting called for the passing of an Extraordinary Resolution. Every notice shall specify the place, the day and the time of the meeting and, in the case of special business, the general nature of such business. Notice of every meeting shall be given in the manner hereinafter mentioned to all the Members and to the Directors and to the auditors (if any). 15.2 A meeting of the Company shall, notwithstanding that it is called by shorter Notice than that specified in Article 15.1, be deemed to have been duly called if it is so agreed: 15.2.1 in the case of any meeting at which it is intended to propose a resolution as an Extraordinary Resolution, by a majority in number of Members having a right to attend and vote at the meeting, being a majority together holding not less than ninety-five per cent of total voting rights of the members who have that right; and 15.2.2 in the case of any other meeting, by a majority in number of Members having a right to attend and vote at the meeting, being a majority together holding not less than ninety-five per cent of the total voting rights of the Members who have that right. 15.3 Every Notice shall specify the place, the day and the time of the meeting and the general nature of the business to be transacted and, in the case of an Annual General Meeting, shall specify the meeting as such. 15.4 Subject to the provisions of these Articles and to any restrictions imposed on any Shares, Notice of every general meeting shall be given to all the Members, to all Persons entitled to a Share in consequence of the death, bankruptcy or incapacity of a Member, to the Auditors (if any) and to every Director who has notified the Secretary in Writing of his desire to receive Notice of general meetings. 15.5 In every Notice calling a meeting of the Company there shall appear with reasonable prominence a statement that a Member entitled to attend and vote is entitled to appoint one or more proxies to attend and vote instead of him and that a proxy need not also be a Member. 15.6 The accidental omission to give Notice of a meeting to, or the non-receipt of Notice of a meeting by, any Person entitled to receive Notice shall not invalidate the proceedings at that meeting. 16. PROCEEDINGS AT GENERAL MEETINGS 16.1 The business of an Annual General Meeting shall be to receive and consider the accounts of the Company and the reports of the Directors and Auditors (if any), to elect Directors (if necessary), to elect Auditors (if proposed) and fix their remuneration, to sanction a |
| 8027970/69012768/11 18 dividend (if thought fit so to do) and to transact any other business of which Notice has been given. 16.2 No business shall be transacted at any general meeting, except the adjournment of the meeting, unless a quorum of Members is Present at the time when the meeting proceeds to business. Such quorum shall consist of not less than two Members Present who are the Holders of Founders' Shares but so that not less than two individuals will constitute the quorum, provided that if at any time all of the Founders' Shares are held by one Member such quorum shall consist of that Member Present. 16.3 Subject to Article 13.4, if a Member is by any means in communication with one or more other Members so that each Member participating in the communication can hear what is said by any other of them, each Member so participating in the communication is deemed to be Present at a meeting with the other Members so participating. A meeting at which any or all of the Members participate as aforesaid shall be deemed to be a general meeting of the Company for the purposes of these Articles and all of the provisions of these Articles and of the Law relating to general meetings of the Company and to the proceedings thereat shall apply mutatis mutandis to every such meeting. 16.4 If within half-an-hour from the time appointed for the meeting a quorum is not Present, or if during the meeting a quorum ceases to be Present, the meeting shall stand adjourned to the same day in the next week at the same time and place or to such other time and place as the Directors shall determine and, if at such adjourned meeting a quorum is not Present, within half-an-hour from the time appointed for the holding of the meeting those Members Present shall constitute a quorum. 16.5 The chairman (if any) of the Directors shall preside as chairman at every general meeting of the Company or if there is no such chairman or, if he shall not be Present within fifteen minutes after the time appointed for the holding of the meeting or is unwilling to act, the Directors shall select one of their number to be chairman of the meeting. 16.6 If at any meeting no Director is willing to act as chairman or if no Director is Present within fifteen minutes after the time appointed for holding the meeting, the Members Present shall choose one of their number to be chairman of the meeting. 16.7 The chairman may, and shall if so directed by the meeting, adjourn the meeting from time to time and from place to place but no business shall be transacted at any adjourned meeting other than the business left unfinished at the meeting from which the adjournment took place. When a meeting is adjourned for thirty days or more, Notice of the adjourned meeting shall be given as in the case of the original meeting. Save as aforesaid it shall not be necessary to give any Notice of any adjourned meeting or of the business to be transacted at an adjourned meeting. 16.8 At any general meeting a resolution put to the vote of the meeting shall be decided by a poll. For the avoidance of doubt, no resolution put to the vote of any general meeting shall be decided on a show of hands. |
| 8027970/69012768/11 19 16.9 A poll shall be taken in such manner as the chairman directs and the results of each poll shall be deemed to be the resolution of the meeting at which the poll was taken. 16.10 In the event of an equality of votes at any general meeting the chairman shall not be entitled to a second or casting vote. 16.11 A resolution in Writing (including an Extraordinary Resolution but excluding a resolution removing an Auditor) Signed by all Members who would be entitled to receive Notice of and to attend and vote at a general meeting at which such a resolution would be proposed or by their duly appointed attorneys shall be as valid and effectual as if it had been passed at a general meeting of the Company duly convened and held. Any such resolution may consist of several documents in the like form each Signed by one or more of the Members or their attorneys. 17. VOTES OF MEMBERS 17.1 Subject to any special rights, restrictions or prohibitions as regards voting for the time being attached to any Shares as may be specified in the terms of issue thereof or these Articles, every Member Present (including by proxy) shall have one vote for each Share of which he is the Holder. 17.2 In the case of joint Holders of any Share, such Persons shall not have the right of voting individually in respect of such Share but shall elect one of their number to represent them and to vote whether personally or by proxy in their name. In default of such election the Person whose name appears first in order in the Register in respect of such Share shall be the only Person entitled to vote in respect thereof. 17.3 A Member in respect of whom an order has been made by any court having jurisdiction (whether in the Island of Jersey or elsewhere) in matters concerning legal incapacity or interdiction may vote, by his attorney, curator, receiver or other Person authorised in that behalf appointed by that court and any such attorney, curator, receiver or other Person may vote by proxy. Evidence to the satisfaction of the Directors of the authority of such attorney, curator, receiver or other Person may be required by the Directors prior to any vote being exercised by such attorney, curator, receiver or other Person. 17.4 No Member shall be entitled to vote at any general meeting unless all calls or other sums presently payable by him in respect of Shares in the Company of which he is Holder or one of the joint Holders have been paid. 17.5 No objection shall be raised to the qualification of any voter except at the meeting or adjourned meeting at which the vote objected to is given or tendered and every vote not disallowed at such meeting shall be valid for all purposes. Any such objection made in due time shall be referred to the chairman of the meeting whose decision shall be final and conclusive. 17.6 Votes may be given either personally or by proxy. |
| 8027970/69012768/11 20 17.7 The Directors may, at the expense of the Company, send by post or otherwise to the Members instruments of proxy (with or without provision for their return prepaid) for use at any general meeting or at any separate meeting of the Holders of any class of Shares of the Company either in blank or nominating in the alternative any one or more of the Directors or any other Persons. If for the purpose of any meeting invitations to appoint as proxy a Person or one or more of a number of Persons specified in the invitations are issued at the Company's expense they shall be issued to all (and not to some only) of the Members entitled to be sent a Notice of the meeting and to vote thereat by proxy. 17.8 The instrument appointing a proxy shall be in Writing in any common form or as approved by the Directors and shall be under the hand of the appointor or of his attorney duly authorised in Writing or if the appointor is a corporation either under seal or under the hand of a duly authorised officer, attorney or other representative. A proxy need not be a Member. 17.9 The instrument appointing a proxy and the power of attorney or other authority (if any) under which it is Signed or a notarially certified copy of that power or authority shall be deposited at the Office or at such other place as is specified for that purpose by the Notice convening the meeting not less than forty-eight hours (excluding non-business days) before the time for holding the meeting or adjourned meeting at which the Person named in the instrument proposes to vote. An instrument of proxy which is not deposited in the manner so required shall be valid only if it is approved by all the other Members who are Present at the meeting. 17.10 Unless the contrary is stated thereon the instrument appointing a proxy shall be as valid as well for any adjournment of the meeting as for the meeting to which it relates. 17.11 A vote given in accordance with the terms of an instrument of proxy shall be valid notwithstanding the previous death or insanity of the principal or revocation of the proxy or of the authority under which the proxy was executed, provided that no Notice in Writing of such death, insanity or revocation shall have been received by the Company at the Office before the commencement of the meeting or adjourned meeting at which such vote is cast. 18. CORPORATE MEMBERS 18.1 Any body corporate which is a Member may, by resolution of its directors or other governing body, authorise such Person or Persons as it thinks fit to act as its representative or representatives at any meeting of Members (or of any class of Members) and the Person or Persons so authorised shall be entitled to exercise on behalf of the body corporate which he represents the same powers as that body corporate could exercise if it were an individual, provided always that, where more than one person is authorised to represent a body corporate and more than one person purports to exercise a power on behalf of that body corporate: 18.1.1 if each such person purports to exercise their power in the same way, the power is treated as exercised in that way; and |
| 8027970/69012768/11 21 18.1.2 if each such person does not purport to exercise their power in the same way, the power is treated as not exercised. 18.2 Where a Person is authorised to represent a body corporate at a general meeting of the Company the Directors or the chairman of the meeting may require him to produce a certified copy of the resolution from which he derives his authority. 19. DIRECTORS 19.1 The Company may, by Ordinary Resolution, determine the maximum and minimum number of Directors and unless and until otherwise so determined and, subject to the provisions of the Law, the minimum number of Directors shall be two. All the Directors at all times must be resident in the United Kingdom for the purposes of United Kingdom taxation. 19.2 A Director need not be a Member but, provided he has notified the Secretary in Writing of his desire to receive Notice of general meetings in accordance with Article 15.4, he shall be entitled to receive Notice of any general meeting and, subject to Article 14, all separate meetings of the Holders of any class of Shares in the Company. Whether or not a Director is entitled to receive such Notice, he may nevertheless attend and speak at any such meeting. 19.3 Notwithstanding any other provision of these Articles, no person shall be appointed to be a Director if he or she is resident outside the United Kingdom for the purposes of United Kingdom taxation. 20. ALTERNATE DIRECTORS 20.1 Any Director (other than an alternate Director) may, at his sole discretion and at any time and from time to time, appoint any other Director or any other natural person (other than one disqualified or ineligible by law to act as a director of a company) as an alternate Director, provided that no person who is resident outside the United Kingdom may be appointed or continue to act as an alternate Director, to attend and vote in his place at any meetings of Directors at which he is not personally present. Each Director shall be at liberty to appoint under this Article more than one alternate Director provided that only one such alternate Director may at any one time act on behalf of the Director by whom he has been appointed. 20.2 An alternate Director, while he holds office as such, shall be entitled to receive Notice (which need not be in Writing) of all meetings of Directors and of all meetings of committees of Directors of which his appointor is a member and to attend and to exercise all the rights and privileges of his appointor at all such meetings at which his appointor is not personally present and generally to perform all the functions of his appointor as a Director in his absence. 20.3 An alternate Director shall ipso facto vacate office if and when he becomes resident outside the United Kingdom for the purposes of United Kingdom taxation, his appointment expires |
| 8027970/69012768/11 22 or the Director who appointed him ceases to be a Director of the Company or removes the alternate Director from office by Notice under his hand served upon the Company. 20.4 An alternate Director shall be entitled to be paid all travelling and other expenses reasonably incurred by him in attending meetings. The remuneration (if any) of an alternate Director shall be payable out of the remuneration payable to the Director appointing him as may be agreed between them. 20.5 Where a Director acts as an alternate Director for another Director he shall be entitled to vote for such other Director as well as on his own account, but no Director shall at any meeting be entitled to act as alternate Director for more than one Director. 20.6 A Director who is also appointed an alternate Director shall be considered as two Directors for the purpose of making a quorum of Directors when such quorum shall exceed two. 21. POWERS OF DIRECTORS 21.1 The business of the Company shall be managed by the Directors, who may pay all expenses incurred in promoting and registering the Company and may exercise all such powers of the Company as are not by the Law or these Articles required to be exercised by the Company in general meeting. 21.2 The Directors' powers shall be subject to the provisions of these Articles, to the provisions of the Law and to such regulations (being not inconsistent with the aforesaid regulations or provisions) as may be prescribed by the Company in general meeting but no regulations made by the Company in general meeting shall invalidate any prior act of the Directors which would have been valid if such regulations had not been made. 21.3 The powers of the Directors shall be exercised only within the United Kingdom. 21.4 The Directors may, by power of attorney, mandate or otherwise, appoint any Person to be the agent of the Company for such purposes and on such conditions as they determine, including authority for the agent to delegate all or any of his powers, provided that the terms on which any such agent is appointed shall include terms that the appointee shall exercise any powers conferred upon him by these Articles within the United Kingdom and, in particular, meetings at which such powers are exercised shall be held within the United Kingdom and any decisions taken and directions given by him shall be taken and given within the United Kingdom. 22. DELEGATION OF DIRECTORS' POWERS 22.1 The Directors may delegate any of their powers to committees consisting of such Director or Directors or such other Persons (provided all such persons are resident in the United Kingdom for United Kingdom tax purposes) as they think fit. Any committee so formed shall in the exercise of the powers so delegated conform to any regulations that may be imposed on it by the Directors. |
| 8027970/69012768/11 23 22.2 The meetings and proceedings of any such committee consisting of two or more Persons shall be governed by the provisions of these Articles regulating the meetings and proceedings of the Directors so far as the same are applicable and are not superseded by any regulations made by the Directors under this Article. 23. APPOINTMENT OF DIRECTORS 23.1 Where these Articles are adopted by the Company, either upon incorporation or for any other reason prior to the appointment of the first Directors, the first Directors of the Company shall be appointed in Writing by the subscribers to the Memorandum of Association or by a majority of them. Any Director so appointed, and any Director duly holding office prior to the adoption of these Articles, shall continue to hold office until he resigns or is disqualified or removed in accordance with the provisions hereof. 23.2 The Directors shall have power at any time and from time to time to appoint any natural person (other than one disqualified or ineligible by law to act as a director of a company) to be a Director, either to fill a casual vacancy or as an addition to the existing Directors, provided that the appointment does not cause the number of Directors to exceed any number fixed by or in accordance with these Articles as the maximum number of Directors. Any Director so appointed shall hold office until he resigns or is disqualified or removed in accordance with the provisions of these Articles. 23.3 The Company may by Ordinary Resolution: 23.3.1 appoint any natural person (other than one disqualified or ineligible by law to act as a director of a company) as a Director; and 23.3.2 remove any Director from office. 23.4 No Person shall, unless recommended by the Directors, be appointed a Director at any general meeting unless, no less than seven and not more than twenty-eight Clear Days before the day appointed for the meeting, there has been given to the Secretary Notice by some Member (not being the person to be proposed) entitled to attend and vote at the meeting for which such Notice is given of his intention to propose such person for appointment and also Notice signed by the person to be proposed of his willingness to be appointed. 23.5 The Company shall keep or cause to be kept a register of particulars with regard to its Directors in the manner required by the Law. 24. RESIGNATION, DISQUALIFICATION AND REMOVAL OF DIRECTORS 24.1 The office of a Director shall be vacated if the Director: 24.1.1 resigns his office by Notice to the Company; |
| 8027970/69012768/11 24 24.1.2 ceases to be a Director by virtue of any provision of the Law or he becomes prohibited or disqualified by law from being a Director; 24.1.3 becomes Bankrupt or makes any arrangement or composition with his creditors generally; 24.1.4 becomes of unsound mind; 24.1.5 subsequent to his appointment he becomes resident outside the United Kingdom for the purposes of United Kingdom taxation; 24.1.6 is removed from office by notice signed by the Holders of three-quarters in number of the Founders' Shares; or 24.1.7 is removed from office by Ordinary Resolution passed pursuant to Article 23.3.2. 25. REMUNERATION AND EXPENSES OF DIRECTORS 25.1 The Directors shall be entitled to such remuneration as the Company may by Ordinary Resolution determine and, unless the resolution provides otherwise, the remuneration shall be deemed to accrue from day to day. 25.2 The Directors shall be paid out of the funds of the Company for their travelling, hotel and other expenses properly and necessarily incurred by them in connection with their attendance at meetings of the Directors or Members or otherwise in connection with the discharge of their duties. 26. EXECUTIVE DIRECTORS 26.1 The Directors may from time to time appoint one or more of their number to the office of managing director or to any other executive office under the Company on such terms and for such periods as they may determine. All powers of a Director holding executive office shall be exercised in the United Kingdom and in particular any decisions taken and directions given by him shall be taken and given in the United Kingdom. 26.2 The appointment of any Director to any executive office shall be subject to termination if he ceases to be a Director but without prejudice to any claim for damages for breach of any contract of service between him and the Company. 26.3 The Directors may entrust to and confer upon a Director holding any executive office any of the powers exercisable by the Directors upon such terms and conditions and with such restrictions as they think fit and either collaterally with or to the exclusion of their own powers and may from time to time revoke, withdraw, alter or vary all or any of such powers and all powers of a Director holding executive office shall be exercised within the United Kingdom and, in particular, any decisions taken and directions given by him shall be taken and given within the United Kingdom. |
| 8027970/69012768/11 25 27. DIRECTORS' INTERESTS 27.1 A Director who has, directly or indirectly, an interest in a transaction entered into or proposed to be entered into by the Company or by a subsidiary of the Company which to a material extent conflicts or may conflict with the interests of the Company and of which he is aware, shall disclose to the Company the nature and extent of his interest. 27.2 For the purposes of Article 27.1: 27.2.1 the disclosure shall be made at the first meeting of the Directors at which the transaction is considered after the Director concerned becomes aware of the circumstances giving rise to his duty to make it or, if for any reason he fails to do so at such meeting, as soon as practical after the meeting, by Notice in Writing delivered to the Secretary; 27.2.2 the Secretary, where the disclosure is made to him, shall inform the Directors that it has been made and shall in any event table the Notice of the disclosure at the next meeting after it is made; 27.2.3 a disclosure to the Company by a Director in accordance with Article 27.1 that he is to be regarded as interested in a transaction with a specified Person is sufficient disclosure of his interest in any such transaction entered into after the disclosure is made; and 27.2.4 any disclosure made at a meeting of the Directors shall be recorded in the minutes of the meeting. 27.3 Subject to the provisions of the Law, a Director may hold any other office or place of profit under the Company (other than the office of Auditor) in conjunction with his office of Director for such period and on such terms as to tenure of office, remuneration and otherwise as the Directors may determine. 27.4 Subject to the provisions of the Law, and provided that he has disclosed to the Company the nature and extent of any of his material interests in accordance with Article 27.1, a Director notwithstanding his office: 27.4.1 may be a party to or otherwise interested in any transaction or arrangement with the Company or in which the Company is otherwise interested; 27.4.2 may be a director or other officer of or employed by or a party to any transaction or arrangement with or otherwise interested in any body corporate promoted by the Company or in which the Company is otherwise interested; 27.4.3 shall not by reason of his office be accountable to the Company for any benefit which he derives from any such office or employment or from any such transaction or arrangement or from any interest in any such body corporate and no such |
| 8027970/69012768/11 26 transaction or arrangement shall be liable to be avoided on the ground of any such interest or benefit; and 27.4.4 may act by himself or his firm in a professional capacity for the Company and he or his firm shall be entitled to remuneration for professional services as if he were not a Director. 28. PROCEEDINGS OF DIRECTORS 28.1 Subject to the provisions of these Articles, the Directors may regulate their proceedings as they think fit, save that no meeting of the Directors, including a meeting held by telephone or other means of communication in accordance with Article 28.8, shall be held unless each of the Directors participating therein is present in the United Kingdom, and any decision reached or resolution passed by the Directors at any meeting which is held outside the United Kingdom shall be invalid and of no effect. 28.2 A Director may at any time and the Secretary shall, at the request of a Director, summon a meeting of the Directors by giving to each Director and alternate Director not less than twenty-four hours' Notice of the meeting provided that any meeting may be convened at shorter Notice and in such manner as each Director or his alternate Director shall approve and provided further that unless otherwise resolved by the Directors Notices of Directors' meetings need not be in Writing. 28.3 Questions arising at any meeting shall be determined by a majority of votes. 28.4 In the case of an equality of votes the chairman shall not have a second or casting vote. 28.5 A Director who is also an alternate Director shall be entitled to a separate vote for each Director for whom he acts as alternate in addition to his own vote. 28.6 A meeting of the Directors at which a quorum is present shall be competent to exercise all powers and discretions for the time being exercisable by the Directors. The quorum necessary for the transaction of the business of the Directors may be fixed by the Directors and unless so fixed at any other number shall be two. For the purposes of this Article and subject to the provisions of Article 28.7 an alternate Director shall be counted in a quorum but so that not less than two individuals will constitute the quorum. 28.7 A Director, notwithstanding his interest, may be counted in the quorum present at any meeting at which any contract or arrangement in which he is interested is considered and, provided he has made the disclosure required by Article 27.1, may vote in respect of any such contract or arrangement except those concerning his own terms of appointment. 28.8 Subject to the chairman of the meeting certifying that all of the Directors attending are physically present in the United Kingdom for the duration of the meeting, if a Director is by any means in communication with one or more other Directors so that each Director participating in the communication can hear what is said by any other of them, each Director so participating in the communication who is situated within the United Kingdom |
| 8027970/69012768/11 27 is deemed to be present at a meeting with the other Directors so participating who are situated within the United Kingdom notwithstanding that all the Directors so participating are not present together in the same place. For the avoidance of doubt, nothing in this Article shall restrict any person who is not a Director from attending any meeting of the Directors from outside the United Kingdom by any means of communication with the Directors present at that meeting. 28.9 The continuing Directors or Director may act notwithstanding any vacancies in their number but, if the number of Directors is less than the number fixed as the quorum or becomes less than the number required by the Law, the continuing Directors or Director may act only for the purpose of filling vacancies or of calling a general meeting of the Company. If there are no Directors or no Director is able or willing to act then any Member or the Secretary may summon a general meeting for the purpose of appointing Directors. 28.10 The Directors may from time to time elect from their number, and remove, a chairman and/or deputy chairman and/or vice-chairman of the board of Directors and determine the period for which they are to hold office. 28.11 The chairman, or in his absence the deputy chairman, or in his absence the vice-chairman, shall preside at all meetings of the Directors but if no such chairman, deputy chairman or vice-chairman be elected or if at any meeting the chairman, deputy chairman or vice- chairman be not present within five minutes after the time appointed for holding the same, the Directors present may choose one of their number to be the chairman of the meeting. 28.12 Subject to each Director certifying that he is physically present in the United Kingdom at the time of signing, a resolution in Writing Signed by all the Directors entitled to receive Notice of a meeting of Directors or of a committee of Directors shall be valid and effectual as if it had been passed at a meeting of the Directors or of a committee of Directors duly convened and held in the United Kingdom and may consist of several documents in like form each Signed by one or more Directors, but a resolution Signed by an alternate Director need not also be Signed by his appointor and if it is Signed by a Director who has appointed an alternate Director it need not be Signed by the alternate Director in that capacity. No resolution in Writing shall be valid if any Director or alternate Director signing such resolution in Writing does so outside the United Kingdom. 28.13 All acts done bona fide by any meeting of Directors or of a committee appointed by the Directors or by any Person acting as a Director shall, notwithstanding that it is afterwards discovered that there was some defect in the appointment of any such Director or committee or Person acting as aforesaid or that they or any of them were disqualified or had vacated office or were not entitled to vote, be as valid as if every such Person had been duly appointed and was qualified and had continued to be a Director or a member of a committee appointed by the Directors and had been entitled to vote. 29. MINUTE BOOK 29.1 The Directors shall cause to be entered in books kept for the purpose: |
| 8027970/69012768/11 28 29.1.1 the minutes of all proceedings at general meetings, class meetings, Directors' meetings and meetings of committees appointed by the Directors; 29.1.2 all resolutions in Writing passed in accordance with these Articles; 29.1.3 every memorandum in Writing of a Sole Member-Director Contract (as defined in Article 29.3) which is drawn up pursuant to Article 29.3; 29.1.4 every record in Writing of a Sole Member's Decision (as defined in Article 29.4); and 29.1.5 all such other records as are from time to time required by the Law or, in the opinion of the Directors, by good practice to be minuted or retained in the books of the Company. 29.2 Any minutes of a meeting if purporting to be Signed by the chairman of the meeting at which the proceedings were had or by the chairman of the next succeeding meeting shall be conclusive evidence of the proceedings. 29.3 This Article 29.3 applies where the Company has only one Member and that Member is also a Director. If the Company, acting otherwise than in the ordinary course of its business, enters into a contract with such Member (a "Sole Member-Director Contract") and that Sole Member-Director Contract is not in Writing, the terms thereof shall be: 29.3.1 set out in a memorandum in Writing; 29.3.2 recorded in the minutes of the first meeting of the Directors following the making of the contract; or 29.3.3 recorded in such other manner or on such other occasion as may for the time being be permitted or required by the Law. 29.4 This Article 29.4 applies where the Company has only one Member and that Member has taken a decision which may be taken by the Company in general meeting and which has effect in law as if agreed by the Company in general meeting (a "Sole Member's Decision"). A Sole Member's Decision may (without limitation) be taken by way of resolution in Writing but if not so taken, the sole Member shall provide the Company with a record in Writing of his decision as soon as practicable thereafter. 30. SECRETARY 30.1 Subject to the provisions of the Law, the Secretary shall be appointed by the Directors for such term at such remuneration and upon such conditions as they may think fit and any Secretary so appointed may be removed by the Directors. 30.2 Anything required or authorised to be done by or to the Secretary may, if the office is vacant or there is for any other reason no secretary capable of acting, be done by or to any assistant or deputy secretary or, if there is no assistant or deputy secretary capable of |
| 8027970/69012768/11 29 acting, by or to any Person authorised generally or specifically in that behalf by the Directors. 30.3 The Company shall keep or cause to be kept at the Office a register of particulars with regard to its Secretary in the manner required by the Law. 31. THE SEAL 31.1 The Directors may determine that the Company shall have a Seal. Subject to the Law, if the Company has a Seal the Directors may determine that it shall also have an official seal for use outside of the Island of Jersey and an official seal for sealing securities issued by the Company or for sealing documents creating or evidencing securities so issued. 31.2 The Directors shall provide for the safe custody of all seals and no seal shall be used except by the authority of a resolution of the Directors or of a committee of the Directors authorised in that behalf by the Directors. 31.3 The Directors may from time to time make such regulations as they think fit determining the Persons and the number of such Persons who shall sign every instrument to which a seal is affixed and, until otherwise so determined, every such instrument shall be Signed by one Director and by the Secretary or by a second Director. 31.4 The Company may authorise an agent appointed for the purpose to affix any seal of the Company to a document to which the Company is a party. 32. AUTHENTICATION OF DOCUMENTS 32.1 Any Director or the Secretary or any Person appointed by the Directors for the purpose shall have power to authenticate any documents affecting the constitution of the Company (including the Memorandum of Association and these Articles), any resolutions passed by the Company or the Directors and any books, records, documents and accounts relating to the business of the Company and to certify copies thereof or extracts therefrom as true copies or extracts. 32.2 Where any books, records, documents or accounts of the Company are situated elsewhere than at the Office the local manager or other Officer or the company having the custody thereof shall be deemed to be a Person appointed by the Directors for the purposes set out in Article 32.1. 33. DIVIDENDS AND OTHER DISTRIBUTIONS 33.1 The provisions of this Article 33 are subject to the other provisions of these Articles (including, without limitation, Articles 2.3 and 2.4). 33.2 Subject to the provisions of the Law, the Company may by Ordinary Resolution declare dividends in accordance with the respective rights of the Members but no dividend shall exceed the amount recommended by the Directors. |
| 8027970/69012768/11 30 33.3 Subject to the provisions of the Law, the Directors may if they think fit from time to time pay to the Members such interim dividends or any other distributions as they may determine. 33.4 If at any time the share capital of the Company is divided into different classes the Directors may pay such interim dividends or any other distributions in respect of those Shares which confer on the Holders thereof deferred or non-preferred rights as well as in respect of those Shares which confer on the Holders thereof preferential rights with regard to dividends or any other distributions. 33.5 Subject to the provisions of the Law, the Directors may also pay half-yearly or at other suitable intervals to be settled by them any dividend which may be payable at a fixed rate. 33.6 Provided the Directors act bona fide they shall not incur any personal liability to the Holders of Shares conferring a preference for any damage that they may suffer by reason of the payment of an interim dividend on any Shares having deferred or non-preferred rights. 33.7 Subject to any particular rights or limitations as to dividend for the time being attached to any Shares as may be specified in these Articles or upon which such Shares may be issued, all dividends or distributions shall be declared apportioned and paid pro rata according to the amounts Paid Up on the Shares on which the dividend or distribution is paid (otherwise than in advance of calls) provided that if any Share is issued on terms providing that it shall rank for dividend or distribution as if Paid Up (in whole or in part) or as from a particular date (either past or future) such Share shall rank for dividend or distribution accordingly. 33.8 The Directors may, before recommending any dividend or distribution, set aside such sums as they think proper as a reserve or reserves which shall at the discretion of the Directors be applicable for any purpose to which such sums may be properly applied and, pending such application may, at the like discretion, be employed in the business of the Company or be invested in such investments as the Directors may from time to time think fit. 33.9 The Directors may carry forward to the account of the succeeding year or years any balance which they do not think fit either to dividend, distribute or to place to reserve. 33.10 A general meeting declaring a dividend or distribution may, upon the recommendation of the Directors, direct that payment of such dividend or distribution shall be satisfied wholly or in part by the distribution of specific assets and in particular of Paid Up Shares or debentures of any other company and the Directors shall give effect to such resolution. Where any difficulty arises in regard to the distribution the Directors may settle the same as they think expedient and in particular may: 33.10.1 issue certificates representing part of a shareholding or fractions of Shares and may fix the value for distribution of such specific assets or any part thereof; |
| 8027970/69012768/11 31 33.10.2 determine that cash payment shall be made to any Members on the basis of the value so fixed in order to adjust the rights of Members; 33.10.3 vest any specific assets in trustees upon trust for the Persons entitled to the dividend or distribution as may seem expedient to the Directors; and 33.10.4 generally make such arrangements for the allotment, acceptance and sale of such specific assets or certificates representing part of a shareholding or fractions of Shares or any part thereof or otherwise as they think fit. 33.11 Any resolution declaring a dividend or distribution on the Shares of any class, whether a resolution of the Company in general meeting or a resolution of the Directors or any resolution of the Directors for the payment of a fixed dividend or distribution on a date prescribed for the payment thereof, may specify that the same shall be payable to the Persons registered as the Holders of Shares of the class concerned at the close of business on a particular date notwithstanding that it may be a date prior to that on which the resolution is passed (or as the case may be that prescribed for payment of a fixed dividend or distribution) and thereupon the dividend or distribution shall be payable to them in accordance with their respective holdings so registered but without prejudice to the rights inter se in respect of such dividend or distribution of transferors and transferees of any Shares of the relevant class. 33.12 The Directors may deduct from any dividend, distribution or other monies payable to any Member on or in respect of a Share all sums of money (if any) presently payable by him to the Company on account of calls or otherwise in relation to the Shares of the Company. 33.13 Any dividend, distribution or other monies payable in respect of a Share may be paid by cheque or warrant sent through the post to the registered address of the Member or Person entitled thereto and, in the case of joint Holders, to any one of such joint Holders or to such Person and to such address as the Holder or joint Holders may in Writing direct. Every such cheque or warrant shall be made payable to the order of the Person to whom it is sent or to such other Person as the Holder or joint Holders may in Writing direct and payment of the cheque or warrant shall be a good discharge to the Company. Every such cheque or warrant shall be sent at the risk of the Person entitled to the money represented thereby. 33.14 All unclaimed dividends or distributions may be invested or otherwise made use of by the Directors for the benefit of the Company until claimed. No dividend or distribution shall bear interest as against the Company. 33.15 Any dividend or distribution which has remained unclaimed for a period of ten years from the date of declaration thereof shall, if the Directors so resolve, be forfeited and cease to remain owing by the Company and shall thenceforth belong to the Company absolutely. 33.16 All payments of dividend, distribution or other monies payable in respect of a Share shall be made subject to the deduction of, or withholding of, or on account of, any taxes, duties, assessments or governmental charges of whatever nature imposed or levied by or in the |
| 8027970/69012768/11 32 Island of Jersey or the United Kingdom or any political sub-division or authority therein having power to tax, where such withholding or deduction is required or permitted by law. No additional payment will be required to be made in respect of such withholding or deduction. 33.17 In determining amounts payable to Members, a fraction of one penny will be rounded to the nearest penny with one half of one penny being rounded upwards. 34. CAPITALISATION OF PROFITS The Directors may with the authority of an Extraordinary Resolution of the Company: 34.1 subject as hereinafter provided, resolve that it is desirable to capitalise any undistributed profits of the Company (including profits carried and standing to any reserve or reserves) not required for paying any fixed dividends on any Shares entitled to fixed preferential dividends with or without further participation in profits or to capitalise any sum carried to reserve as a result of the sale or revaluation of the assets of the Company (other than goodwill) or any part thereof or to capitalise any sum standing to the credit of the Company's share premium account or capital redemption reserve fund; 34.2 appropriate the profits or sum resolved to be capitalised to the Members in the proportion in which such profits or sum would have been divisible amongst them had the same been applicable and had been applied in paying dividends and to apply such profits or sum on their behalf either in or towards paying up any amount for the time being unpaid on any Shares held by such Members respectively or in paying up in full either at par or at such premium as the said resolution may provide any unissued Shares or debentures of the Company such Shares or debentures to be allotted and distributed credited as fully Paid Up to and amongst such Members in the proportions aforesaid or partly in one way and partly in the other provided that the share premium account and the capital redemption reserve fund and any unrealised profits may for the purposes of this Article only be applied in the paying up of unissued Shares to be allotted to Members credited as fully Paid Up; 34.3 make all appropriations and applications of the profits or sum resolved to be capitalised thereby and all allotments and issues of fully paid Shares or debentures, if any, and generally shall do all acts and things required to give effect thereto with full power to the Directors to make such provision by the issue of certificates representing part of a shareholding or fractions of Shares or by payments in cash or otherwise as they think fit in the case of Shares or debentures becoming distributable in fractions; and 34.4 authorise any Person to enter on behalf of all the Members entitled to the benefit of such appropriations and applications into an agreement with the Company providing for the allotment to them respectively credited as fully Paid Up of any further Shares or debentures to which they may be entitled upon such capitalisation and any agreement made under such authority shall be effective and binding on all such Members. |
| 8027970/69012768/11 33 35. ACCOUNTS AND AUDIT 35.1 The Company shall keep accounting records which are sufficient to show and explain the Company's transactions and are such as to: 35.1.1 disclose with reasonable accuracy at any time the financial position of the Company at that time; and 35.1.2 enable the Directors to ensure that any accounts prepared by the Company comply with requirements of the Law. 35.2 The Directors shall prepare accounts of the Company made up to such date in each year as the Directors shall from time to time determine in accordance with and subject to the provisions of the Law. 35.3 No Member shall (as such) have any right to inspect any accounting records or other book or document of the Company except as conferred by the Law or authorised by the Directors or by Ordinary Resolution of the Company. 35.4 The Directors shall deliver to the Registrar of Companies a copy of the accounts of the Company signed on behalf of the Directors by one of them together with a copy of the report thereon by the Auditors in accordance with the Law. 35.5 The Directors or the Company by Ordinary Resolution shall appoint Auditors for any period or periods to examine the accounts of the Company and to report thereon in accordance with the Law. 36. NOTICES 36.1 In the case of joint Holders of a Share, all Notices shall be given to that one of the joint Holders whose name stands first in the Register in respect of the joint holding and Notice so given shall be sufficient Notice to all the joint Holders. 36.2 A Notice may be given to any Person either personally or by sending it by post to him at his registered address. Where a Notice is sent by post, service of the Notice shall be deemed to be effected by properly addressing prepaying and posting a letter containing the Notice and the Notice shall be deemed to have been effected one Clear Day after the day it was posted. 36.3 Any Member Present at any meeting of the Company shall for all purposes be deemed to have received due Notice of such meeting and, where requisite, of the purposes for which such meeting was convened. 36.4 A Notice may be given by the Company to the Persons entitled to a Share in consequence of the death, bankruptcy or incapacity of a Member by sending or delivering it in any manner authorised by these Articles for the giving of Notice to a Member addressed to them by name or by the title of representatives of the deceased or trustee of the Bankrupt |
| 8027970/69012768/11 34 or curator of the Member or by any like description at the address if any supplied for that purpose by the Persons claiming to be so entitled. Until such an address has been supplied, a Notice may be given in any manner in which it might have been given if the death, bankruptcy or incapacity had not occurred. If more than one Person would be entitled to receive a Notice in consequence of the death, bankruptcy or incapacity of a Member, Notice given to any one of such Persons shall be sufficient Notice to all such Persons. 36.5 Notwithstanding any of the provisions of these Articles, any Notice to be given by the Company to a Director or to a Member may be given in any manner agreed in advance by any such Director or Member. 36.6 Notwithstanding any of the provisions of these Articles, any Notice to be given to a Holder of a Preference Share shall be valid if given in the manner provided in the Conditions. 37. WINDING UP 37.1 Subject to any particular rights or limitations for the time being attached to any Shares as may be specified in these Articles or upon which such Shares may be issued if the Company is wound up, the assets available for distribution among the Members shall be applied first in repaying to the Members the amount Paid Up on their Shares respectively and, if such assets shall be more than sufficient to repay to the Members the whole amount Paid Up on their Shares, the balance shall be distributed among the Members in proportion to the amount which at the time of the commencement of the winding up had been actually Paid Up on their said Shares respectively. 37.2 If the Company is wound up, the Company may, with the sanction of an Extraordinary Resolution and any other sanction required by the Law, divide the whole or any part of the assets of the Company among the Members in specie and the liquidator or, where there is no liquidator, the Directors may for that purpose value any assets and determine how the division shall be carried out as between the Members or different classes of Members and with the like sanction vest the whole or any part of the assets in trustees upon such trusts for the benefit of the Members as the liquidator or the Directors (as the case may be) with the like sanction determine but no Member shall be compelled to accept any assets upon which there is a liability. 38. INDEMNITY 38.1 In so far as the Law allows, every present or former Officer of the Company shall be indemnified out of the assets of the Company against any loss or liability incurred by him by reason of being or having been such an Officer. 38.2 The Directors may without sanction of the Company in general meeting authorise the purchase or maintenance by the Company for any Officer or former Officer of the Company of any such insurance as is permitted by the Law in respect of any liability which would otherwise attach to such Officer or former Officer. |
| 8027970/69012768/11 35 39. NON-APPLICATION OF STANDARD TABLE The regulations constituting the Standard Table prescribed pursuant to the Law shall not apply to the Company and are hereby expressly excluded in their entirety. |
Exhibit 3.99
| Jersey Financial Services Commission Companies Registry COMPANIES (JERSEY) LAW 1991 CERTIFICATE OF INCORPORATION CHANGE OF NAME OF A LIMITED COMPANY Registered Number 122628 I HEREBY CERTIFY THAT ESV JERSEY SUBSIDIARY LIMITED a public company incorporated under the Companies (Jersey) Law 1991, as amended, having changed its name by special resolution, has today been entered on the Register of Companies incorporated in Jersey as a public company having the name of ENSCO JERSEY FINANCE LIMITED Dated this 01 December 2016 Authentication ID 8bcae2c6-al 3b-4f62-b4bf-9 l 09ea79a707 u ------ For and on behalf of the Registrar CERTIFIED A TRUE COPY Mourant Ozannes Corporate Services (Jersey) Limited Authorised Signatory 22 Grenville Street, St Helier, Jersey JE4 8PX Channel Islands Michae h~ Lynam Autnorised signatoN |
Exhibit 3.100
| • - BLOCK~R INTERNATIONAL CONSTR ~- 1. Tne name of the Company is Blocker International Construction Company. ~- The Re stered Office oft Company all be at the of Messrs. Maples and Calder, P.O. Box 309, Grand Cayman, C Islands, ~itish West Indies or at such other place as the Directer may from time to time decide. 3. ~he objects for which the Company is established are as follows: ( i) (a) To carry on the business of producers, refiners, storers, suppliers, and distributors of oil and petroleum and oil and petRoleum produc~s in all its branches. (bJ To purchase or otherwise acquire real or personal property of all kinds, and in particular la..'1d, oil -wells, drilling rigs, refineries. mines, mining rights, minerals, ores, buildings, machinery, plant, stores, patents, licences, concessions, rights of way, light or water, and any rights or privileges which it may seem convenient tq obtain f\;:lr the purposes of or in connection with the business of the company, and whether f'or the purposes of resale or realisation or otherwise, and to manage, develop, sell, exchange, lease, mort or otherwise deal with the whole or any part of such property or ri (c) To prospect, explore, develop, maintain, and carry on all or any lands, wells, drilling rigs, mines or mining rights, minerals, ore works or other properties f'rom time tc ~ime in the possession o~ the company> in any manner deemed desirable; to erect |
| • " - C. - convenient refineries, mills, mac~inery, laboratories, ¼OrKsnops, dwelling-houses for workmen and others, and other buildings, works and appliances, and to aid in or subscribe towards or subsidise any such objects. To clear, manage, farm, cultivate, plant, explore, work or improve any land, or any interest therein, which may belong to the company; to deal with any farm or other products of any such land, and to carry on the business of general traders for the pur- pose of supplying goods to any employees of the company, or to the occupiers of any such land, or to other persons. (e) To carry on the business of an investment company and to carry on business as financiers, capitalists, concessionaires and merchants and to undertake and carry on and execute all kinds of investment, financial, commercial, trading and other occupations. (f) To carry on in any part of the world whether as principals, agents or otherwise howsoever the business of realtors, developers, consultants, estate agents or managers, builders, con tractors, engineers, manufacturers, dealers in or vendors of all types of property including services, and to act as promotors and entrepreneurs. (ii) To exercise and enforce all ri6hts and powers conferred by or incidental to the ownership of any shares, stock, obligations, or other securities including without prejudice to the generality of the foregoing all such powers of veto or control as may be conferred by virtue of the holding by the company of some special proportion of the issued or nominal amount managerial and other executive supervisory and con for or in relation to any company in which the Com upon such terms as may be thought fit. |
| -3- (iii) To purchase or otherwise acquire, to sell, exchange, surrender, lease, mortgage, charge, convert, turn to account, dispose of and deal with real and personal property and rights of all kinds and, in particular, mortgages, debentures, produce, concessions, options, contracts, patents, annuities, licences, stocks, shares, bonds, policies, book debts, business concerns, undertakings, claims, privileges and choses in action of all kinds. ( iv) To subscribe for, conditionally or unconditionally, to underwrite, issue on commission or otherwise, take, hold, deal in and convert stocks, shares and securities of all kinds and to enter into partnership or into any arrangement for sharing profits, reciprocal concessions or co-operation with any person or company and to promote and aid in pro moting, to constitute, form or organise any company, syndicate or partnership of any kind, for the purpose of acquiring and undertaking any property and liabilities of the Company or of advancing, directly or indirectly, the objects of the Company or for any other purpose which the Company may think expedient. ( v) To stand surety for or to guarantee, support or secure the performance of all or any of the obligations of any person, firm or company whether or not related or affil iated to the Company in any manner and whether by personal covenant or by mortgage, charge or lien upon the any part of the undertaking, property and asse Company, both present and future, including i capital or by any such method and whether or shall receive valuable consideration therefor. |
| -4- ( vi) To engage in or carry on any other lawful trade, business or enterprise which may at any time appear to the Directors of the Company capable of being conveniently carried on in conjunction with any of the aforementioned businesses or activities or which may appear to the Directors or the Company likely to be profitable to the Company. In the interpretation of this Memorandum of Association in general and of this Clause 3 in particular no object, business or power specified or mentioned shall be limited or restricted by reference to or inference from any other object, business or power, or the name of the Company, or by the juxtaposition of two or more objects, businesses or powers and that, in the event of any ambiguity in this clause or elsewhere in this Memorandum of Association, the same shall be resolved by such interpretation and construction as will widen and enlarge and not restrict the objects, businesses and powers of and exercisable by the Company. 4 . Except as prohibited or limited by the Companies Law (Cap. 22), the Company shall have and be capable of from time to time and at all times exercising any and all of the powers at any time or from time to time exercisable by a natural person or body corporate in doing in any part of the world whether as principal, agent, contractor or otherwise whatever may be considered by it necessary for ment of its objects and whatever else it as incidental or conducive thereto or cons thereon, including, but without in any way re generality of the foregoing, the power to tions or amendments to this Memorandum of the Articles of Association of the Company considered neces- |
| • -5- Association o the Company, and the power to following acts or things, viz: of the to pay l expenses of and incidental to the promotion, ion and incorporation of the Company; to re ster the Company to do business in any other jurisdiction; to sell, leas or dispose of any property of the Company; to draw, , accept~ endorse, scount, execute and issue promissory warrants and other negotiable or transferable instruments; to lend money or other assets and to act as guarantors; to borrow or rai money on the security of the undertaking or 1 or of the assets of the Company including uncalled'capital or without security; to invest monies of the Company such manner as the Directors determine; to promot other companies; to sell the undertaking of the Company for cash or any other consideration; to distribute assets in specie to members of the Company; to make charitable or benevolent donations; to pay pensions or gratuities or provide other benefits in cash or kind to Directors, officers, employees, past or present and their families; to carry on any trade or bus ss and generally to do all acts and things which, in the opinion of the Company or the Directors, may be conveniently or profitably or usefully dealt with, carried on, executed or done by connection with the business aforesaid PROV Company shall only carry on the businesses licence is required under the laws of the Ca when so licensed under the terms of such laws. |
| -6- 5 . The liability of each member is limited to the amount from time to time unpaid on such member 1 s shares. 6. share capital of the Company is US$900,000.00 divided into 900,000 shares of a nominal or par value of US$1.00 each power for the Company insofar as is permitted by law, to redeem any of its shares and to increase or reduce the said capital subject to the pro visions of the Companies Law (Cap. 22) and the Articles of Association and to issue any part of its capital, whether original, redeemed or increased with or without any prefer ence, priority or special privilege or subject to any postponement of rights or to any conditions or restrictions and so that unless the conditions of issue shall otherwise expressly declare every issue of shares whether declared to be preference or otherwise shall be subject to the powers hereinbefore contained. 7. If the Company is registered as exempted, its operations will be carried on subject to the provisions of Section 190 of the Companies Law Cap. 22. WE the several persons whose names and addresses are sub scribed are desirous of being formed into a pursuance of this Memorandum of Association and w pectively agree to take the number of shares int of the Company set opposite our respective names. |
| DATED the 22nd day of SIGNATURE, ADDRESSES and DESCRIPTION OF SUBSCRIBERS ... John Goodwill, Barrister PO Box 3 9, Grand Cayman -7- Witness to the above signatures January, NUMBER OF SHARES TAKEN BY EACH One One One I, Registrar of Companies in and for the Cayman Islands DO HEREBY CERTIFY that this is a true and correct copy of the Memorandum of Association of this Company duly incorporated on the 198 day of IIBGISTRAR OF COMPANIES |
| REGISTERE~D- AND F~D OAYCOJ•'.P/d~Y LIMITED HY SHJ..Rt:S AS NO.~/~ r/ THI~/', CF Ku Sv _ 19Q,, I•:EMORANDUJ.: O? ASSOCIA'l'I ON OF REGISTRAR OF COMPA~CKCR INTERNATIONAL CONSTRUCTION C01'1PANY CAYMAN ISLANDS 1. Tne name of the Company is Blocker International Construction Company. Cay Jsland~, ~. The Registered Offi c;:e of the Company shall be at the offices I · of Messrs. Maples and Calder, P.O. Box 309, Grand Cayman, Cayman Islands, British West Indies or at such other place as the Directors may from time to time decide. 3. The objects for which the Company is established are as follows: (i) {a) To carry on the business of producers, refiners, st~rers, suppliers, and distributors of oil and petroleum and oil and.petroleum products in all its branches. (b) Tb purchase or otherwise acquire real or personal property of all kinds, and in particular land,_ oil ~11s, drilling rigs, refineries.,. • mines, mining rights, minerals; ores, buildings, m~chinery, plant, --, -~ stores, pat~nts, licences, concessions, rights of way, light or water, and any rights or privileges which it may seem convenient tq obtain fQr the purposes of or in connection with the business of the company., and whether for the purposes of resale or realisation or otherwise., and to manage, develop, sell, exchange, lease, mortgage, or otherwise deal with the whole or any pert of {c) To prospect, explore, develop., on all or any lands, weils, drilling rigs, mines works or other properties from time to or minin in th company, in any manner deemed desirable; to erect • S/\ j I |
| ,. - 2 - convenient refineries, mills, machinery, laboratories, workshops, dwelling-houses for workmen and others, and other buildings., works and appliances, and to aid in or subscribe towards or subsidise any such objects. (d) To clear, manage, farm, cultivate, plant, explore, work or improve any land, or any interest therein, which may belong to the company; to deal with any farm or other products of any such land, and to carry on the business of general traders for the pur pose of supplying goods to any employees of the company, or to the occupiers of any such land, or to other persons. (e) To carry on the business of an investment company and to carry on business as financiers, capitalists., concessionaires and merchants and to undertake and carry on and execute all kinds of investment, financial., commercial, trading and other occupations. ( f) To carry on in any part of the world whether as principals, agents or otherwise howsoever the business of realtors, developers., consultants., estate agents or managers., builders, con tractors, engineers, manufacturers., dealers in or vendors of all types of property including services., and to act as promotors and entrepreneurs. (ii) To exercise and enforce all rights and powers c by or incidental to the ownership of any shares, stock, · or other securities including with out prejudice to the ... ge e ··\· conferred by virtue of the holding by the company of so proportion of the issued or nominal amount thereof., top ..anagerial and other executive supervisory and for or in relation to any company in which the Company is upon such terms as may be thought fit. |
| (iii) To purchase or otherwise acquire, to sell, exchange, surrender, lease, mortgage, charge, convert, turn to account, • dispose of and deal with real and personal property and ":';;;i • rights of all kinds and, in particular, mortgages, debentures, produce, concessions, options, contracts, patents, annuities, licences, stocks, shares,·bonds, policies, book debts, business concerns, undertakings, claims, privileges and choses in action of all kinds. ( iv) To subscribe for, conditionally or unconditionally, to underwrite, issue on commission or otherwise, take, hold, deal in and convert stocks, shares and securities of all kinds and to enter into partnership or into any arrangement for sharing profits, reciprocal concessions or co-operation with any person or company and to promote and aid in pro moting, to constitute, form or organise any company, syndicate or partnership of any kind, for the purpose of acquiring and undertaking any property and liabilities of the Company or of advancing, directly or indirectly, the objects of the Company or for any other purpose which the Company may think expedient. ( v) To stand surety for or to guarantee, secure the performance of all or any of the obligat· any person, firm or company whether or not related iated to the Company in any manner and whether b~fp r ,,1 ,. ~ I covenant or by mortgage, charge or lien upon the~~~ol any part of the undertaking, property and assets. of\t \ Company, both present and future, including its un capital or by any such method and whether or not shall receive valuable consideration therefor. 'r> • ' |
| ( vi) To engage in or carry on any other lawful trade, business or enterprise which may at any time appear to the • Directors of the Company capable of.being conveniently carried on in conjunction with any of the aforementioned businesses or activities or which may appear to the Directors or the Company likely to be profitable to the Company. In the interpretation of this Memorandum of Association in general and of this Clause 3 in particular no object, business or power specified or mentioned shall be limited or restricted by reference to or inference from any other object, business or power, or the name of the Company, or by the juxtaposition of two or more objects, businesses or powers and that, in the event of any ambiguity in this clause or elsewhere in this Memorandum of Association, the same shall be resolved by such .interpretation and construction as will widen and enlarge and not restrict the objects, businesses and powers of and exercisable by the Company. 4. Except as prohibited or limited by the Companies Law (Cap. 22), the Company shall have and be capable of from time to time and at all times exercising any and all of the powers at any time or from time to time exercisable by a natural person or body corporate in doing in any part of the world whether as principal, agent, contractor or ~t~~\-. whatever may be considered by it necessary for ttle0::at' ment of its objects and whatever else may be co it as incidental or conducive thereto or conseq • thereon, including, but without in any way rest generality of the foregoing, the power to make any a..lJV:~-- tions or amendments to this Memorandum of Associa~ the Articles of Association of the Company considered neces- |
| -5- Association of the Company, and the power to do any of the following acts or things, viz: to pay all expenses of and incidental to the promotion, formation and incorporation of the Company; to register the Company to do business_in any other jurisdiction; to sell, lease or dispose of any property of the Company; to draw, make, accept, endorse, discount, execute and issue promissory notes, debentures, bills of exchange, bills of lading, warrants and other negotiable or transferable instruments; to lend money or other assets and to act as guarantors; to borrow or raise money on the security of the undertaking or on all or any of the assets of the Company including uncalled capital or without security; to invest monies of the Company in such manner as the Directors determine; to ,. promote other companies; to sell the undertaking of the ' Company for cash or any other consideration; to distribute assets in specie to members of the Company; to make charitable or ben~volent donations; to pay pensions or gratuities or provide other benefits in cash or kind to Directors, officers, employees, past or present and their families; to carry on any trade or business and generally to do all acts and things which, in the opinion of the Company or the Directors, may be conveniently or profitably or usefully acquired and ~:;:s:::;:~ ...... dealt with, carried on, executed or done by the connection with the business aforesaid PROVIDED ~ ,: Company shall only carry on the businesses for wh n • licence is required under the laws of the Cayma when so licensed under the terms of such laws. |
| -6- 5. The liability of each member is limited to the ,. amount from time to time unpaid on such member's shares. • 6. The share capital of the Company is US$900,000.00 divided into 900,000 shares of a nominal or par value of US$1.00 each with power for the Company insofar as is permitted by law, to redeem any of its shar.es and to increase or reduce the said capital subject to the pro visions of the Companies Law (Cap. 22) and the Articles of Association and to issue any part of its capital, whether original, redeemed or increased with or without any prefer ence, priority or-special privilege or subject to any postponement of•rights or to any conditions or restrictions and so that unless the conditions of issue shall otherwise expressly declare every issue of shares whether declared to be preference or otherwise shall be subject to the powers hereinbefore contained. 7- If the Company is registered as exempted, its operations will be carried on subject to the provisions of Section 190 of the Companies Law Cap. 22. WE the several persons whose names and addresses scribed are desirous of being formed into a pursuance of this Memorandum of Association and we pectively agree to take the number of shares in of the Company set opposite our respective name |
| DATED the 22nd day of SIGNATURE, ADDRESSES and DESCRIPTION OF SUBSCRIBERS John Goodwill, Barrister PO Box 309, Grand Cayman -7- ~~ Witness to the above signatures January, NUMBER OF SHARES TAKEN BY EACH PY .... . . . . . ... . . .. ........... .......,;..,... I, \J;,J,1.,J ,i"',m.,-.:, ~rl Registrar of Companies in and for the Cayman Islands DO HEREBY CERTIFY that this is a true and correct copy of the Memorandum of Association of this Company duly incorporated on the ,<?]+~ day of - .S~.':~:'~ fl ,.:,•i .I 198L-- t i ~ REGISTRAR 0 |
Exhibit 3.101
| THE COMPANIES LAW REGISTERED AND F~L~[? AS NO.~J{JJ.z/~/ THIS,<;' DAY COMPANY LIMITED BY SHARES CF ' 'l"-K 0 3 19~ 6<\). ARTICLES OF ASSOCIATION OF REGISTRAR OF COMPANIES CAYMAN ISLANDS ··, ,_-:'•:-~.-- as··; BLOCKER INTERNATIONAL CONSTRUCTION COMPANY Caytn:3?,.~- .. ' 1. , .. ,· · In these Articles Table A in the Schedule to the Statute does not apply and, unless there be something in the subject or context inconsistent therewith, 11 Articles 11 means these Articles as originally framed or as from time to time altered by Special Resolution . "The Auditors 11 means the persons for the time being performing the duties of auditors of the Company. 11 The Company 11 means the above named Company. 11 Debenture 11 means debenture stock, mortgages, bonds and any other such securities of the Company whether constituting a chafge on the assets of·the Company or not. 11 The Directors" means the directors for the time being of the Company . 11 Dividend 11 includes bonus. "Extraordinary Resolution" has the same meaning as in the Statute . "Month" me ans calendar month. 11 The Registered Office" me ans the registered office for the time being of the Company. "Paid-up" means paid-up and/or cred:.ted as up . "Seal" means the common seal of the includes every official seal. "Secretary" includes an Assistant Secret any person appointed to perform the duti Secretary of the Compa ny. "Member" shall bear the meaning Section 35 of the Statute. "Spe cial Resoluti on" has the same the Statute. |
| -2- "Statute" means the Companies Law of the Cayman I s l ands as amended and every statutory modifica tion or re-enactment thereof for the time being in force. "Written" and "In Writing" include a ll modes of r epre senting or r eproducing words in visible form. Words importing the s ingul ar number only i nclude the plural number and vice-versa. Words importing the masculine gender only include the feminine gender. Words importing persons only include corporations. 2. The business of the Company may be commenced as soon after incorporation as the Directors shall see f it, notwithstanding that part only of the ~hares may have been allotted. 3. The Directors may pay, out of the capital or any other monies of the Company, all expenses incurred in or about the formation and establishment of the Company includ ing the expenses of registration. CERTIFICATES FOR SHARES 4. Certi ficates representing shares of the Company shall be in such form as shall be determined by the Directors. Such certificates shall be under seal signed by a Director and countersigned by the Secretary or another Director or other authoris ed person. All certificates for shares shall be consecutively numbered or otherwise identified and shall specify the shares to which they relate. The name and address of the person to whom the shares represented thereby are issued, with the number of shares and date of issue, shall be entered in the register of members of the Company. All certificates surrendered to the Company for transfer shall be cancelled and no new certificate shall be issu _ '-':,q"\SI 1 ~~ until the former certificate for a like number of shar ~t~ ~ll; pJ _ shal l have been surrendered and cancelled. The Dire o - - - - - ~{;; may authorise certificates to be issued with the sea 1:1_ -, ; ·'. ._ , ,- - . authorised signatures affixed by some method or syst, ·< t---ffPJ1-i;-"'-.:: _ i mechanical proce ss. / ✓ - . ~ • ""--1\ \: { ; ~ 5, ~o~withstanding Article 4 of these Arti~.~s~ . ~ ___ 1 ~ share certificate be defaced, lost or destroyed, i t, m~: _ ., .... \~ _ · renewed on payment of a fee of one dollar (US$1.00) or\;s~~EQ~~ less sum and on such terms (if any) as to evidence indemnity and the payme nt of the expenses incurred fX£Mp7 .. |
| -3- Company in investigating evidence, as the Directors may prescribe. TSSUE OF SHARES 6. Subject to the provisions, if any, in that behalf in the Memorandum of AssociatiQn and to any direction that may be given by the Company in general meeting and without prejudice to any special rights previously conferred on the holders of existing shares, the Directors may allot, issue, grant options over or otherwise dispose of shares of the Company with or without preferred, deferred or other special rights or restrictions, whether in regard to dividend, voting, return of capital or otherwise and to such persons, at such times and on such other terms as they think proper. 7. The Company shall maintain a register of its members and every person whose name is entered as a member in the register of members shall be entitled without payment to receive within two months after allotment or lodgement of transfer (or within such other period as the conditions of issue shall provide) one certificate for all his shares or several certificates each for one or more of his shares upon payment of fifty cents (US$0.50) for every certificate after the first or such less sum as the Directors shall from time to time determine provided that in respect of a share or shares held jointly by several persons the Company shall not be bound to issue more than one certificate and delivery of a certificate for a share to one of the several joint holders shall be sufficient delivery to all such holders. TRANSFER OF SHARES 8. The instrument of transfer of any share shall be in writing and shall be execute d by or on behalf of the Transferor and the Transferor shall be deemed to remain the holder of a share until the name of the Transferee is entere.cl in the register in respect thereof. · ~,. 9. The Directors may in their absolute disc decline to register any transfer of shares withou ing any reason therefor. If the Directors refuse to j~~XJ tra nsfer they shall notify the Transferee within hs , _· , . of such refusal. · ·· 10. The registration of transfers may bes such time and for such periods as the Directors · ~m~r : time to time determine, provided always that sue ~~~~~ · tion shall not be suspended for more than forty - : ~ ~~~r - - ~ any year. • ~ |
| -4- REDEEMABLE SHARES 11. Subject to the provisions of the Statute and the Memorandum of Association, shares may be issued on the terms that they may, or at the option of the Company may, be redeemed on such terms and in such manner as the Company, before the issue of the shares, may by special resolution determine. VARIATION OF RIGHTS OF SHARES 12. If at any time the share capital of the Company is divided into different classes of shares, the rights attached to any class (unless otherwise provided by the terms of issue of the shares of that class) may, whether or not the Company is being wound-up, be varied with the consent in writing of the holders of three-fourths of the issued shares of that class, or with the sanction of an extraordinary resolution passed at a general meeting of the holders of the shares of that class. The provisions of these Articles relating to general meetings shall apply to every such general meeting of the holders of one class of shares except that the neces sary quorum shall be one (1) person holding or representing by proxy at least one-third of the issued shares of the class and that any holder of shares of the class pre~ent in person or by proxy may demand a poll. 13. The rights conferred upon the holders of the shares of any class issued with preferred or other rights shall not, unless otherwise expressly provided by the terms of issue of the shares of that class, be deemed to be varied by the creation or issue of further shares ranking pari passu therewith. COMMISSION ON SALE OF SHARES 14. The Company may in so far as the Statute .< e-~ :"::·>, to time permits pay a commission to any person in ·, ·. :-. tion of his subs cribing or agreeing to subscribe w •~ absolutely or conditicinally for any shares of the · , Such commissions may be satisfied by the payment ' : ',_ the lodgement of fully or partly paid-up shares o ; one way and partly in the other. The Company ma n-~~• f any issue of shares pay such brokerage as may b mo~,?~ ~~~-!- ~ ~~ .H .. I - I ' ' I "'--1:~~ F ::"- .. -: . l>.,. .... ;, -., i r X -- \ \ '\ \ .. ··~ '',. :,,:.-:,,;...,_~ 'l \.~ '~"Ir: .. • . ""' .. • ... ::--,-"'t... ... |
| -5- NON-RECOGNITION OF TRUSTS 15. No person shall be recognised by the Company as holding any share upon any trust and the Company shall not be bound by or be compelled in any way to recognise (even when having notice thereof) any equitable, contingent, future, or partial interest in any share, or any interest in any fractional part of a share, or (except only as is otherwise provided by these Articles or the Statute) any other rights in respect of any share except an absolute right to the entirety thereof in the registered holder. LIEN ON SHARES 16. The Company shall have a first and paramount lien and charge on all shares (whether fully paid-up or not) registered in the name of a member (whether solely or jointly with others) for all debts, liabilities or engagements to or with the Company (whether presently payable or not) by such member or his estate, either alone or jointly with any other person, whether a member or not, but the Directors may at any time declare any share to be wholly or in part exempt from the provisions of this Article. The registration of a transfer of any such share shall operate as a waiver of the Company's lien (if any) thereon. The Company's lien (if any) on a share shall extend to all dividends or other monies payable in respect thereof. 17. The Company may sell, in such manner as the Directors think fit, any shares on which the Company has a lien, but no sale shall be made unless a sum in respect of which the lien exists is presently payable, nor until the expiration of fourteen days after a notice in writing stating and demanding payment of such part of the amount in respect of which the lien exists as is presently payable, has been given to the registered holder or holders for the time being of the share, or the person, of which the Company hai notice, entitled thereto by reason of his death or bankruptcy . 18. To give effe.ct to any such sale the Director authorise some person to transfer the shares sold to purchaser thereof. The purchaser shall be register the holder of the shares comprised in any such trans he shall not be bound to see to the application oft purchase money, nor shall his title to the shares be ted by any irregularity or invalidity in the proceedi.~~~~~~ reference to the sale. |
| -6- 19. ~he proceeds of such sale shall be received by the Company and applied in payment of such part of the amount in respect of which the lien exists as is presently payable and the residue, if any, shall (subject to a like lien for sums not presently payable as existed upon the shares before the sale) be paid to the person entitled to the shares at the date of the sale. CALL ON SHARES 20. (a) The Directors may from time to time make calls upon the members in respect of any monies unpaid on their shares (whether on account of the nominal value of the shares or by way of premium or otherwise) and not by the conditions of allotment thereof made payable at fixed terms, provided that no call shall exceed one-fourth of the nominal value of the share or be payable at less than one month from the date fixed for the payment of the last preceding call, and each membe~ shall (subject to receiving at least four teen days notice specifying the time or times of payment) pay to the Company at the time or times so specified the amount called on the shares. A call may be revoked or postponed as t~e Directors may determine. A call may be made payable by instalments. (b) A call shall be deemed to have been made at the time when the resolution of the Directors authorising such call was passed. (c) The joint holders of a share shall be jointly and severally liable to pay all calls in respect thereof. 21. If a s um called in respect of a share i s not paid before or on a day a ppointed for payment ·thereof, the persons from whom the sum is due shall pay interest on the sum from the day appointed for payment thereof to the time of actual payment at such rate not exceeding ten per cent per annum as the Directors may determine, but the Directors shall be at liberty to waive payment of such interest either wholly or in part. '...-.<,.: ·c. ~ .: __ . :·~ : ····- ~ .. 22. Any sum which by the terms of is sue of a , -,;Q--'----'-',.t!_. ',.:/ ": becomes payable on allotment or a~ any fixed dat r \ -~ on account of the n ominal value of the share orb- .J y premium or otherwise, shall for the purposes of · Articles be deemed to be a call duly made, notif payable on the date on which by the terms of issu becomes payable, and in the case of non-payment a releva nt p r ovisions of these Arti cles as to paymen , _ interest forfeiture or otherwise sha Jl apply as 1r s · had become payable by virtue of a call duly made an .j,< ryo 1 - · fied. { • --r ~ · 0[fMPT , \ ,, 'I~\ 1:~V ~ 0:- .· 11<; ~, ... ~ i.~~ |
| - 7- 23. The Director s may, on the i ssue of s hares, dif fer- entiate between the hol ders as to the amount of calls or i nter e st to be paid and t he t i mes of payment . 2 4. ( a ) The Directors may, if they think fit, r ecei ve f r om any memb er willing to advance t h e same , all or any part of the monies uncal l ed an d unpaid upon any shares hel d by him, ..and upon all or any of the monies so advanced may (until t h e same woul d but for such advance s , be c ome payabl e) pay interest at such rqte n ot e xc eeding (unless the Company i n general meeting shall otherwise direct) seven per cent (7%) per annum, as may be agreed upon between t he Dir ector s and the member paying such sum in advance. (b) No such sum paid i n advance of cal ls shall en t itle the member payi ng such s um to any portion of a divi dend decl ared i n respect of any period prior to the date upon which such sum would, but for such payment, become presently payable. FORFEITURE OF SHARES 25. (a) I f a member fails to pay any call or instalment of a call or to make any payment required by the terms of i ssue on the day appointed for payment thereof, the Directors may, at an y time thereafter during such time as any part of the cal l, instalment or payment remains unpaid, give notice requiring payment of so much of the cal l, instalment or payment as is unpaid, together with a ny interest wh~ch may· have accrued and all expenses t hat have been incurred by the Company by reason of such n on- payment. Such notice shall name a day (not earlier than the expiration of fourteen days from the date of giving of the notice) on or before which the payment required by the notice is to be made, and shal l state that, in the event of non-payment at or before the time appointed the shares in respect of whi ch such notice was given will be l iable to be forfeited. (b) If the requirements of any such notic e as a~~~~~ said are not complied with , any s hare i n respect of the notice has been given may at any t i me thereaf t he payment required by the notic e has been made, feited by a resolution of the Directors to that Such forfeiture shall incl ude all dividends decl respect of the f orfeited share and not actu ally the forfeiture . |
| -8- 26. A person whose shares have been forfeited shall cease to be a member in respect of the forfeited shares, but shall, notwithstanding, remain liable to pay to the Company all monies which, at the date of forfeiture were payable by him to the Company in respect of the shares together with interest thereon, but his liability shall cease if and when the Company shall have received payment in full of all monies whenever payable in respect of the shares. 27 . A certificate in writing under the hand of one Director and the Secretary of the Company that a share in the Company has been duly forfeited on a date stated in the declaration shall be conclusive evidence of the fact therein stated as against all persons claiming to be entitled to the share. The Company may receive the consideration given for the share on any sale or disposition thereof and may execute a transfer of the share in favour of the person to whom the share is sold or disposed of and he shall thereupon be registered as the holder of the share and shall not be bound to see to the application of the purchase money, if any, nor shall his title to the share be affected by any irregularity or invalidity in the proceedings in reference to the for feiture, sale or disposal of the share. 28 . The provisions of these Articles as to forfeiture shall apply in the case of non-payment of any sum which, by the term of issue of a share, becomes payable at a fixed time, whether on account of the nominal value of the share or by way of premium as if the same had been payable by vir tue of a call duly ma de and notified. REGISTRATION OF EMPOWERING INSTRUMENTS 29 . The Company shall be entitled to charge a fee not exce eding one dollar (US$1.00) on the registration of every probate, l e tters of administrati on, certificate of death or marriage, power of attorney, notice in lieu of distringas, or other instrume nt. TRANSMISSION OF SHARES 30. In case of the death of a member, the sur survivors where the deceased was a joint holder, legal personal r e presentatives of the deceased wh a s ole holder, shall be the only persons recognis Company as h aving any title to his interest in th' s but nothi ng herein contained sha ll relea se the e s s uch de ceased holder from any liability in respect share s which had been held by him solely or jointly · . _ ._ ,, ... ,,_ .. , . -~ ot her persons . t.['-'~:· ~ - ~ fi fX fMPT .. ,;\ \ \\ \ \l\ "'~ \{' I, ,•''fi;:- ~¾ ~, ··,,;l,~7:--,,l f ~~ ' :~~·::~· :- t ~; t ~~ _t;_;51.: .. .., |
| -9- 31. (a) Any person becoming entitled to a share in conse quence of the death or bankruptcy of a member (or in any other way than by transfer) may, upon such evidence being produced as may from time to.time be required by the Directors and subject as hereinafter provided, elect either to be registered himself as holder of the share or to make such transfer of the share to such other person nominated by him as the deceased or bankrupt person could have made and to have such person registered as the transferee thereof, but the Directors shall, in either case, have the same right to decline or suspend registration as they would have had in the case of a transfer of the share by that member before his death or bankruptcy as the case may be . (b) If the person so becoming entitled shall elect to be registered himself as holder he shall deliver or send t-o the Company a notice in writing signed by him stating that he so elects. 3~. A person becoming entitled to a share by reason of the death or bankruptcy of the holder (or in any other case than by transfer) shall be entitled to the same dividends and other advantages to which he would be entitled if he were the registered holder of the share, except that he shall not, before being registered as a member in respect of the share, be entitled in respect of it to exercise any right conferred by membership in r elation to meetings of the Company PROVIDED HOWEVER that the Directors may at any time give notice requiring any such person to elect either to be registered himself or to transfer the share and if the notice is not complied with within ninety days the Directors may thereafter withhold payment of all dividends, bonuses or other monies payable in respect of the share until the requirements of the notice have been complied with. CONVERSION OF SHARES AND STOCK ~~~ 33. (a) The Company may by ordinary resolution co~vert ,•~y paid-up shares into stock and re-convert any stock into · paid-up shares of any denomination. (b) The holders of stock may transfer the same, or part thereof, in the same manner, and subject to the s ame regulations as an~ subject. to which, the sh~res f·rom wh · _ -\!1ira.~~--:--::i: .,~: , ·. ~ .. the stock arose might previously to ?onversion have b '&,~~ ,/;{f.j '. transferred, or as near thereto as circumstances adm· ~ Directors may from time to time fix the minimum amo t f .··· stock transferable, but so that such minimum shall t ceed the nominal amount of the shares from which th a rose . |
| -10- (c) The holders of stock shall, according to the amount of stock held by them, nave the same rights, privi leges and advantages as regards dividends, voting at meet ings of the Company and other matters as if they held the shares from which the stock arose, but no such privileges or advantage (except participation in the dividends and profits of the Company and in the assets on winding up) shall be conferred by an amount of stock which would not if existing in shares have conferred that privilege or advantage. 34. Such of these Articles as are applicable to paid- up shares shall apply to stock and the words "share" and "shareholder" herein shall include "stock" and "stock holder". AMENDMENT OF MEMORANDUM OF ASSOCIATION, CHANGE OF LOCATION OF REGISTERED OFFICE & ALTERATION OF CAPITAL 35. (a) Subject to and in so far as permitted by the pro visions of the Statute, the Company may from time to time by ordinary resolution alter or amend its Memorandum of Associ ation otherwise than with respect to its name and objects and may, without restricting the generality of the foregoing: ( i) increase the share capital by such sum to be divided into shares of such amount or without nom inal or par value as the resolution shall prescribe and with such rights, priorities and privileges annexed thereto, as the Company in general meeting may determine. ( ii) consolidate and divide all or any of its share capital into shares of larger amount than its existing shares; (iii) by subdivision of its existing shares or any of them divide the whole or any part of its sha1:s,,· capital into shares of smaller amount than is fi ed by the Memorandum of Association or into shares i out nominal or par value; ( iv) cancel any shares which at the date passing of the resolution have not been taken to be taken by any person. (b) All new shares created hereunder shall b to the same provisions with reference to the payme calls, liens, transfer, transmission, forfeiture a wise as the shares in the original share capital . ...-I t' l'.t1 \-\ \ \i~ . '{:, c->~~ \{~ .. ~= ,, -~ ·:;-; ~,:_ I: ~-- |
| -11- (c) Subject to the provisions of the Statute the Company may by special resolution change i t s name or a lter its objects. (d) Subject to the pr ovisions of the Statute the Company may by special r esolution reduce its share capita l , any capital redemption reserve fund, or any share premium account. (e) Subject to the provisions of the Statute the Company may by resolution of the Directors change the loca tion of its registered office. CLOSING REGISTER OF MEMBERS OR FIXING RECORD DATE 36 . For the purpose of determining members entitled to notice of or to vote at any meeting of members or any adjournment thereof, or members entitled to receive payment of any dividend, or in order to make a determination of members for any other proper purpose, the Directors of the Company may provide that the register of members shall be closed for transfers for a stated period but not , to exceed in any case forty (40) days. If the register of members shall be so closed for the purpose of determining members entitled to notice of or to vote at a meeting of members such register shall be so closed for at l east ten (10) days immediately preceding such meeting and the record date for such determination shall be the date of the c l osure of the register of members. 37. In lieu of or apart from closi ng the register of members, the Directors may fix in advance a date as the record date for any such determination of members entit led to notice of or to vote at a meeting of the members and for the purpose of determining the members entitled to receive payment of any dividend the Directors may, at or within 90 days prior to the date of declaration of such dividend fix a subsequent date no l ater than the date of declaration as the record date for such d~termination. 38. If the register of members i s not so clo no record date is f ixed for the determi nation of m entitled to notice of or to vote at a meeting of m or members entitled to receive payment of a divide the date on which notice of t he meeting is mailed "date on which the resolution of the Directors decl such dividend is adopted, as the case may be, shal record date for such d etermination of members. W a determination of members entitled to vote at any of members has been made as provided in this secti such determination shall apply to any adjournment .., t1 I fXE MP ~). \ ~- -,., \ r. ,/'-, ..• _ r, ....... ,:i/;·:•i ·, I' "-'"· ::- ' 'J !.l ~,~ .. ___ ~ ' |
| -12- GENERAL MEETING 39. (a) Subject to paragraph ( c) hereof, the Company shall within one year of its incorporation and in each year of its existence thereafter hold a general meeting as its Annual General Meeting and shall specify the meeting as such in the notices calling it. The Annual General Meetjng shall be held at such time and place as the Directors shall appoint and if no other time and place is prescribed by them, it shall be held at the registered office of the Company on the second Wednesday in December of each year at ten o'clock in the morning. (b) At these meetings the report of the Directors (if any) shall be presented. (c) If the Company is exempted as defined in the Statute it may but shall not be obliged to hold an Annual General Meeting. 40 . (a) The Directors may whenever they think fit, and they shall on the requisition of members of the Company holding at th~ date of the deposit of the requisition not less than one-tenth of such of the paid-up capital of the Company as at the date of the deposit carries the right of voting at general meetings of the Company, proceed to con vene a general meeting of the Company. (b) The requisition must state the objects of the meeting and must be signed by the requisitionists and de posited at the Registered Office of the Company and may con sist of several documents in like form each signed by one or more requisitionists. (c) If the Directors do not within twenty-one d~s from the date of the deposit of the requisition duly ~rocee~;SS=~~~ to convene a general meeting, the requisitionists, or, an :\Sl HJIJ!I~ them representing more than one-half of the total votin S~ ~,{?. rights of all of them, may themselves convene a genera meeting, but any meeting so convened shall not be held H~~::\li~~"l!'l~l''~ the expiration of three months after the expiration ofu said twenty-one days. (d) A general meeting convened as aforesaid by tionists shall be convened in the same manner as near possible as that i n which general meetings are to be. opn e n~~~~ by Directors . \{:".;.,, .. 'ik=-~~~ (e) If at any such g eneral meeting a resolution ing confirmation at another meeting is passed, the D, shall forthwith convene a further general meeting t _ ,:J., ~. J. |
| -13- not less than ten days nor later than one month after the passing of the first resolution for the purpose of consider ing the resolution and if the Directors do not give notice of so convening such further general meeting within seven days from the date of the passing of the first resolution the requisitionists or any of them representing more than one-half of the total voting rights of all the requisition ists may themselves give notice and convene the general meeting. NOTICE OF GENERAL MEETINGS 41. At least five days' notice sha·11 be given of an Annual General Meeting or any other general meeting and a general meeting at which consideration is to be given to confirmation of any special resolution passed at a previous general meeting shall be held only at an interval of not less ~han ten days nor more than one month from the date of the meeting at which the special resolution was first passed . Every notice shall be exclusive of the day on which it is given or deemed to be given and of the day for which it is · given and shall specify the place, the day and the hour of the meeting and the general nature of the business and shall be given in manner hereinafter mentioned or in such other manner if any as may be prescribed by the Company PROVIDED that a general meeting of the Company shall, whether or not the notice specified in this regulation has been given be deemed to have been duly called if it is so agreed: (a) in the case of a general meeting called as an Annual General Meeting by all the members en titled to attend and vote thereat or their proxies; and (b) in the case of any other general meeting by a majority in number of the members having a right to attend and vote at the meeting, being a majority together holding not less than seventy-five per cent (75%) in nominal value or in the case of shares without nominal or par value seventy-five (75%) of the shares in issue, or. their proxies. 42. The a ccidental omission meeting to, or the non-receipt of person entitled to receive notice proceedings of that meeting. to give notice of a g . notice of a meeting '. ))jw' •· JCUl.>.H shall not invalidate·_ ,tn· ,i,· ':,.:.- ; ; |
| -14- PROCEEDINGS AT GENERAL MEETINGS 43. No business shall be transacted at any general meeting unless a quorum of members is present at the time when the meeting proceeds to business; two (2) members present in person or by proxy shall be a quorum provided always that if the Company is exempted and has one shareholder of record the· quorum shall be that one (1) member present in person or by proxy. 44. Subject and without prejudice to any provisions of the Statute, a resolution in writing (in one or more counter parts) signed by all members for the time being entitled to receive notice of and to attend and vote at general meetings (or being corporations by their duly authorised representa tives) shall be as valid and effective as if the same had been passed at a general meeting of the Company duly convened and held. 45 . If within half an hour from the time appointed for the meeting a quorum is not present, the meeting, if con vened upon the requisition of members, shall be dissolved and in any other case it shall stand adjourned td the same day in the next week at the same time and place or to such other time or such other place as the directors may deter mine and if at the adjourned meeting a quorum is not present within half an hour from the time appointed for the meeting the members p~esent shall be a quorum. 46. The Chairman, if any, of the Board of Directors shall preside as Chairman at every general meeting of the Company, or if there is no such Chairman, or if he shall not be present within fifteen minutes after the time appointed for the holding of the meeting, or is unwilling to act, the Directors present shall elect one of their number to be Chairman of the meeting. 47 If at any gener al meeting no Director is willing \.l.•Sl ~~ to· act as Chairman or if no Director is present withi n fi s~'vi.'l. 1 r ,;'!f/,,. · teen minutes after the time appointed for holding the me , \~~ \ ing, the members present shall choose one of their numbe be Chairman of the meeting. 1 d tY 3 X 3 . c/.! 4 8 . The Chairman may, with the consent of any gene ~ ., meeting duly constituted hereunder, and shall if so di~ . ~ . •'.·. ~ 't. by the meeting, adjourn the meeting from time to time,;'~ '9c;l ,. ~OJ · '. o ·· . ,:~{~"' from place to place, but no business shall be transaft .' :· any adjourned meeting other than the business left ~ - R'f,t: nished .: · ' . at tl::ls= meeting from which the adjournment took pla . Whep'i.~ ) 1 a general meeting is adjourned for thirty days or br , \ ~ ~\ :i. )o. 1:W notice of the adjourned meeting shall be given as · e .■ -: :"l~~~ J ,fj - · case of an original meeting; save as aforesaid it o U f CO · ~ ~ be necessary to give any notice of an adjournment or ' '---"'-· · business to be transa cted at an adjourned general me ..,,,.. ... ,."- ~Ti~J ~ -· ~ '-4.:1~· · ~ ."I" 'cP |
| -15- 49 . At any general meeting a resolution put to the vote of the meeting shall b e decided on a show of hands unless a poll is, before or on the declaration of the result of the show of hands, demanded by the Chairman or any other member present in person or by proxy. 50. Unless a poll be so demanded a declaration by the Chairman that a resolution has on a show of hands been carried, or carried unanimously, or by a particular major ity, or lost, and an entry to that effect in the Company's Minute Book containing the Minutes of the proceedings of the meeting shall be conclusive evidence of that fact without proof of the number or proportion of the votes recorded in favour of or against such resolution. 51. The demand for a poll may be withdrawn. 52 . Except as provided in Article 54, if a poll is duly demanded ft shall be taken in such manner as the Cha irman directs and the result of the poll shall be deemed to be the resolution of the general meeting at which the poll was demanded. 53. In the case of an equality of votes, whether on a show of hands or on a poll, the Chairman of the general meeting at which the show of hands takes place or at which the poll is demanded, shall be entit led to a second or cast ing vote. 54 . A poll demanded on the election of a Chairman or on a question of adjournment shall be taken forthwith. A poll demanded on any other question shall be taken at such time as the Chairman of the general meeting dire cts and any business other than that upon which a poll has been deJanded or is contingent thereon may be proceeded with pending the ~-;:;s.~~~ taking of the poll. ~~i11SI J/fl/~j,_ VOTES OF MEMBERS 55. Subject to any rights or restrictions for th being attached to any class or classes of shares, on a of hands every member of record present in person or by'....-Jl~~'--- at a general meeting shal~ have one vote and on a pol. ~f11 ui. member of record present in person or by pr oxy sha . ,.J'l-a:v ·- m~~ one vote for each share registered in his name in ri~ "" _.,.0 . -:~ ~ \ . ::~iS t er. In the case of joint holders of record °> vb~i\ ~Jr\ ;J: the senior who tenders a vote, whether in person r y f~! proxy shall be accepted to the exclusi on of the h-t'e of . .::.'-, :/ the other ,joint holders~ and for thi. s purpose seni~f~ 't ., -~- ,. -/~~'!- shall be determined by the order in which the names st~~~-$,;-; the register of members . |
| -16- 57 . A member of unsound mind, or in respect of whom an order has been made by any court, having jurisdiction in lunacy, may vote, whether on a show of hands or on a poll, by his committee, receiver, curator bonis, or other person in the nature of a committee, receiver or curator bonis appointed by that court, and any such committee, receiver, curator bonis or other persons may vote by proxy. 58. No member shall be entitled to vote at any general meeting unless he is registered as a shareholder of the Company on the record date for such meeting nor unless all calls or other sums presently payable by him in respect of shares in the Company have been paid. 59. No objection shall be raised to the qualification of any voter except at the general meeting or adjourned gen eral meeting at which the vote objected to is given or ten dered and every vote not disallowed at such general meeting shall be valid for all purposes. Any such objection made in due time shall be referred to the Chairman of the general meeting whose decision shall be final and conclusive. 60. On a poll or on a show of hands votes may be given either personally or by proxy . PROXIES 61 . The instrument appointing a proxy shall be in writing and shall be executed under the hand of the appoin tor or of his attorney duly aut horised in writing, or, if the appointor is a corporation under the hand of an officer or attorney duly authorised in that behalf. A proxy need not be a member of the Company. 62 . The instrument appoi nting a proxy shall be at the Registered Office of the Company or at place as is specified for that purpose in the notice vening the meeting no later than the time for holdin meeting, or adjourned meeting provided that the Chai the M e eting may at his discretion direct that an inst of proxy shall be deemed to have been duly deposi~ed receipt of telex or cable confirmation from the app · that the instrument of.proxy duly signed is in the transmission to the Company. 63. The instrument appointing a proxy may be u s ual or common form and may be expressed to be for cular meeting or any adjournment thereof or generalI ~~ til ~ ;:s:;;~~ Q r e voked. An instrument appointing a proxy shall be\ ~- ~- ·,i 0 to include the powe r to demand or join or concur .in de .'·§. "' ! " . inP: a poll. · ~-,- ·, » ..:;;-- . ·- ~ '•. '\ 1 · |
| -17- 64 . A vote given in accordance with the terms of an instrument of proxy shall be valid notwithstanding the pre vious death or insanity of the principal or revocation of the proxy or of the authority under which the proxy was executed, or the transfer of the share in respect of which the proxy is given provided that no intimation in writing of such death, insanity, revocation or transfer as aforesaid shall have been received by the Company at the office before the c ommencement of the general meeting, or adjourned meeting at which it i s sought to use the proxy. 65 . Any corporation which is a member of record of the Company may in accordance with its Articles or in the absence of such provision by resolution of its Directors or other governing body authorise such person as it thinks fit to act as its representative at any meeting of the Company or of any class of members of the Company, and the person so authorised shall be entitled to exercise the same powers on behalf of the corporation which he represents as the corpora tion could exercise if i t were an individual member of record of the Company. 66. Shares of its own stock belonging to the Company or held by it in a fiduciary capacity shall not be voted, directly or indirectly, at any meeting and shall not be counted in determining the total number of outstanding shares at any given time. DIRECTORS 67. There shall be a Board of Directors consisting~~f f , l - ; . ' ~ . .,. .. ;. . \ not l ess than one or more than ten persons (exclusive of Alternate Directors) PROVIDED HOWEVER that the Company may from time to time by ordinary resolution increase or redu ~ the limits in the number of Directors. The first Direc r of the Company shall be determined in writing by the su of the Memorandum of Association or a majority of them. \ \ 68. The remuneration to be paid to the Directors s be such remuneration as the Directors shall determine. ~~ Such remuneration shall be deemed to accrue from day tp day .DJ The Directors shall also be entitled to be paid their travel-'"'-1::l;s;i:s;:s::P' ling, hotel and other expenses properly incurred by them~·::s:s:~~ going to, attending and r eturning from meetings of the ~\~ Directors, or any committee of the Directors, or gene ~~ -----= meeti ngs of the Company, or otherwise in connection , t business of the Company, or to r eceive a fixed allow nc respect thereof as may be determined by the Directo tim~ to time, or a combination partly of one such rnd partly the other. |
| - ] 8- 69. The Directors may by resolution award special remuneration t o any Director of the Company undertaking a ny speci al work or ser vices for, or undertaking any special mission on behal f of, t he Compan y other than hi s ordinary routine work as a Director. Any fees pai d to a Director who is also counsel or sol icitor to the Company, or other wise ser ves i t in a p r ofessional capacity shall b e i n addi tion to his remuner ation as a Director. 7 0, A Director or Alt ernat e Director may hol d any other office or p l ace of profit under the Company (other than the office of Auditor) in conjunction with his office of Director for such period and on such terms as to remun eration and otherwise as the Directors may determine. 71. A Director or Al ternate Director may act by him- self or his firm in a professional capaci ty for the Company and he or his firm shall be entitled to remuneration for professional services as i f he were not a Director or Alternate Director. 72. A shareholding qualification f or Directors may be fixed by the Company in general meeting, but unl ess and until so fixed no qualification shall be required. 73. A Director or Alternate Director of the Company may be or become a Director or other Offi cer of or otherwise interested in any company promoted by the Company or in which the Company may be interested as shareholder or otherwise and no such Director or Al ternate Director shall be account able to the Company for any r emuneration or other benefits received by him as a Director or Officer of, or from ,~is interest in, such other company. : ______ _ 7 4 . No pe rson shall be disqualified from the off· ~1\'i\· t · , \~I,'}~t Director or Alte rnate Director or prevented by such of ~~ ~ from contracting with the Company, either as vendor, r \ ~ chaser or otherwise, nor shall any such contract or a y \ i contract or transaction entered into by or on behal f ·_ i, I !;/ Company in which any Director or Alternate Directors ~ in any way interested be or be liable to be avoided, n _· ,r,: ,,;,,; _._ 1 · shall any Director or Alternate Director so contract · , . . .r;. 7 ~' ~ ~ being so intere sted be liable to acccount to the co-.... ·-== ' ·.· JO i any profit realised by any such contract or transac o by ~\ rea son of such Director hol ding office or of the fi a~n\~;~ relation ther eby established. A Director ( or his rnlate Director in his absence) shall be at liberty to vote respect of any contract or transaction in which he is interested a s aforesaid PROVIDED HOWEVER that t he natu-' j/t ~ ~~~1~~ ~ sJ..~& ~ ~ the interest of any Director or Alternate Director ~ i,:rv:\ ' such contract_ or transa cti on shall be disclosed by \tf.WP t he Alte rnate Dire ctor appointed by him at or prior /t_tp•'its consider ation and any vote t he r eon . |
| -19- 75. A general notice that a Director or Alternate Director is a shareholder of any specified firm or company and is to be regarded as interested in any transaction with such firm or company shall be sufficient disclosure under Article 74 and after such general notice it shall not be necessary to give special notice relating to any particular transaction. · ALTERNATE DIRECTORS 76. Subject to the exception contained in Article 84, a Director whd expe~ts to be una ble to attend Directors' Meetings because of absence, illness or otherwise may appoint any person to be an Alternate Director to act in his stead and such appointee whilst he holds office as an Alternate Director shall, in the event of absence therefrom of his appointor, be entitled to attend meetings of the Directors and to vote thereat and to do, in the place and stead of his appointor, any other act or thing which his appointor is permitted or required to do by virtue of his being a Director as if the Alternate Director were the appointor, other than appointment of an Alternate to himself, and he shall ipso facto vacate office if and when his appointor ceases to be a Director or removes the appointee from office. Any appoint ment or removal under this Article shall be effected by notice in writing under the hand of the Director making the same. POWERS AND 'DUTIES OF DIRECTORS 77 . The business of the Company shall be managed by the Directors (or a sole Director if only one is appoi~~ed) whQ may pay a ll expenses incurred in promoting, registe'ring ~ ;__- -,.,,~ and sett ing up the Company, and may e xercise all such '-\'i"\Si N /:i '-"-.... powers of the Company as are not, from time to time by t ~~" ~~:.-7> Statute, or by these Articles, or such r egulations, bei ~ 7 not inconsistent with the aforesaid, as may be prescrib \ by the Company in general meeting required to be exerci e by the Company in general meeting PROVIDED HOWEVER that~ regulations made by the Company in general meeting shal ~ invalidate any prior act of the Directors which would ha '1'/p been valid if that regulai;;ion had not been made. ,,~z:.~~~,1 /;7 . ., \ . J...;, _. < 78. The Directors may from time to time and )i-1;-: ;_--ahy t i me by powers of attorney appoint any company, fj/r'f!l/ person or body of persons, whether nominated di'rectly orl.J it/directl~ by the Directors, to be the attorney or attorney~, o~ th~i\~ Company f or such purpose and with such powers, a~~hq-ri\fes and discretions (not exceeding those vested in o~~x cis able by the Directors unde r these Articles) and. fo~.r, .. ~ ~ HQ~~~-, period and subject to such conditions as they may tff. and any such powers of a ttorney may contain such p ~ - ~ · .: .. , for the protection and convenience of perso11s deal);lri"g with any such attorneys as the Directors may think fit t n [X fMPJ C q~~'- · ~~/t~~ f_t _-,. |
| -20- may also authorise any such attorney to delegate all or any of the powers, authoriti es and discretions vested in him. 79. All cheques, promissory notes, drafts, bills of exchange and other negotiable instrument s and all receipts for monies paid to the Company shall be signed, drawn, accepted, endorsed or otherwise executed as the case may be in such manner as the Directors shall from time to time by resolution determine . 80. The Directors shall cause Minutes to be made in books provided for the purpose : (a) of all appointments of Officers made by the Directors; (b) of the names of the Directors (incl uding those represente4 thereat by an Alternate or by proxy) present at each meeting of the Directors and of any committee of the Directors; (c) of all resol utions and proceedings at all meetings of the Company, and of the Directors and of Committees of Directors. 81. The Directors on behalf of the Company may pay a gratuity or pension or allowance on retirement to any Director who has held any ot~er salaried office or place of profit with the Company or to his widow or dependents and may make contributions to any fund and pay premiums for the purchase or provision of any such gratuity, pension or allowance. 82. The Directors may exercise all the powers oft Company to borrow money and to mortgage or charge its u. taking, property and unca lled capital or any part ther and to issue debentures, debenture stock and other sec ties whether outright or as security for any debt, lia or obligation of the Company or of any third party. · MANAGEMENT 83. (a) The Directors may from time to time provide ,;:.r~-~ ,, t::2<~- the management of the affairs of the Company in sucth manner-' ··,. as they shall think fit and the provisions contairiedjin the three next following paragraphs shall be without .Pr$judice..i\ to the general powers conferred by this paragraphl \. ~ ~\ J:. _.4 1 (b) The Directors from time to t i me and at 1 ..il.nY., .. t · .. ~\ Of ... ~ may establish any committees, local boards or ager1q;i.e_ .,, -: · .i\ .. · ~ ma naging any of· the affairs of the Company and may 'a ;~ · t ,:,. > ~ any persons to be members of such committees or loca · (/) or any managers or agents and may fix their remunera i j |
| -21- (c) The Directors from time to time and at any time may delegate to any such committee, local board, manager or agent any of the powers, authorities and discretions for the time being vested in the Directors and may authorise the members for the time being of any such local board, or any of them to fill up any vacancies therein and to act not withstanding vacancies and any such appointment or dele gation may be. made on such terms and subject to such condi tions as the Directors may think fit. The Directors may at any time remove any person so appointed and may annul or vary any such delegation, but no person dealing in good faith and without notice of any such annulment or variation shall be affected thereby. (d) Any such delegates as aforesaid may be authorised by the Directors to subdelegate all or any of the powers, authorities, and discretions for the time being vested in them. MANAGING DIRECTORS 84. The Directors may, from time to time, appoint one or more of their body (but not an Alternate Director) to the office of Managing Director for such term and at such remun eration (whether by way of salary,- or commission, or partici pation in profits, or partly in one way and partly in another) as they may think fit but his appointment shall be subject to determination ipso facto if he ceases from any caus e to be a Director and no Alternate Director appointed by him can act in his stead as a Director or Managing Director. 85. The Directors may e ntrust to and confer upon a Managing Director any of the powers exercisable by them up_ 0;n- .s::=---;:__~-:,,, such t e rms and condi tior.s and with s uch restrictions as -- ·· :-\ ii·,,""' may think fit and e i ther colla terally with or of their own powers and may from time to time revoke, alter or vary all or any of such powers. PROCEEDINGS OF DIRECTORS 86. Except as otherwise provided by these Articl the Directors shall meet toge ther for the despatch of b ness, convening, adjourning and otherwise regulating thei~~~ meeting s as they think fit . Questions arising at any_ , ✓ . ::~ ·- { ~-- ~ , ::· , ~ _ -;--:;...;.. ' . ..,, •" • . 'f .. . .. ' . I"'! • meeting shall be decided by a majority of votes of t~- - · ·-..._ Directors and Alternate Directors present at a meet·· which there is a quorum, the vote of an Alternate ·· · not b e ing c ounted if his appointor be present at s In case of an equa lity of votes. the Chairman shal . ~. |
| -22- second or casting vote. 87. A Director or Alternate Director may, and the Secretary on the requisition of a Director or Alternate Director shall, at any time summon a meeting of the Directors by at least five days' notice in writing to every Director and Alternate Director which notice shall set forth the general nature of the business to be considered unless notice is waived by all the Directors (or their Alternates) either at, before or after the meeting is held and PROVIDED FURTHER if notice is given in person, by telegram, telex, cablegram or wireless the same shall be deemed to have been given on the day it is delivered to the Directors or trans mitting organisation as the case may be . The provisions of Article 42 shall apply mutatis mutandis with respect to notices of meetings of Directors . 88. The quorum necessary for t .he transaction of the business of the Directors may be fixed by the Directors and unless so fixed shall be two, a Director and his a ppo±-fl-ted Alternate Director b eing considered only one person for this purpose, provided always that if there shall at any time be only a sole Director the quorum shall be one. 89. The continuing Directors may act notwithstanding any vacancy in their body, but if and so long as their number is reduced below the number fixed by or pursuant to these Articles as the necessary quorum of Directors the continuing Directors or Director may act for the purpose of increasing the number of Directors to that number, or of summoning a general meeting of the Company, but for no other purpose. 90. The Directors may elect a Chairman of the~r Board and determine the period for which he is to hold office; b~ --~-~~~~ if no such Chairman is elected, or if at any meeting t ·- ;;:_~\ \~\ ltt'Jf!,( }~1' \ Chairman is not present within five minutes after the f v ' appointed for holding the same, the Directors presen · choose one of their number to be Chairman of the mee ' i 91. The Directors may delegate any of their p committees consisting of such member or members of of Directors (including Alternate Directors in the a of their appointors} as they think fit; any commit formed shall in the exercise of the powers so delexi· conform to any regulations that may be imposed on/?ict Directors . · 92 . ' A cornrni ttee may meet and adjourn as it :· · h1; proper. Questions arising at any meeting shall mined by a majority of votes of the members ( ' ..J |
| -23- the case of an equality of votes the Chairman shall have a second or casting vote. 93 , All acts done by any meeting of the Directors or of a committee of Directors (including any person acting as an Alternate Director) shall, notwithstanding that it be afterwards discovered that there was some defect in the appointment of any Director or Alternate Director, or that they or any of them were disqualified, be as valid as if every such person had been duly appointed and qualified to be a Director or Alternate Director as the case may be. 94. Members of the Board of Directors or of any committee thereof may participate in a meeting of the Board or of such committee by means of conference telephone or similar communications equipment by means of which all persons participating in the meeting can hear each other and participation in a meeting pursuant to this provision shall constitute presence in person at such meeting. A resolution in writing (in one or more counterparts), signed by all the Directors for the time being or all the members of a committee of Directors (an Alternate Director being entitled to sign such resolution on behalf of his appointor) shall be as valid and effectual as if it had been passed at a meeting of the Directors or committee as the case may be duly convened and held. 95, (a) A Director may be represented at any meetings of the Board of Directors by a proxy appointed by him in which event the presencre or vote of the proxy shall for all pur poses be deemed to be that of the Director. (b) The provisions of Articles 61 - 64 mutandis apply to the appointment of proxies 1'. shall rnutati . . by Directo · _ h'"J:- • . 96. (a) (b) VACATION OF OFFICE OF DIRECTOR d1~1X1 The office of a Director shall b e vacated: If he gives notice in writing to the Company that1 he resigns the office of Director; l If he absents himself. (without being represented iy proxy or an Alternate Director appointed by him) ....-cp.=l.;.;.'1_ •' from three consecutive meetings of the Bo~cl of 1::.' ·,, Directors without special leave of absence\ fro · \~ : \ .,_-.;._. · " Directors, and th~y pass a resolution that he by reason of such absence vacated office; (c) If he dies, becomes bankrupt or makes any ar or composition with h ts creditors generally; (d) If he is found a lunatic or becomes of unsoun ~, |
| -24- APPOINTMENT AND REMOVAL OF DIRECTORS 97 . The Company may by ordinary resolution appoint any person to be a Director and may in like manner remove any Director and may in like manner appoint another person in his stead. 98. The Directors shall have power at any time and from time to time to appoint any person to be a Director, either to fill a casual vacancy or as an addition to the existing Directors but so that the total amount of Directors (exclusive of Alternate Directors) shall not at any time exceed the number fixed in accordance with these Articles. PRESUMPTION OF ASSENT 99. A Director of the Company who is present at a meeting of the Board of Directors at which action on any Company matter is taken shall be presumed to have assented to the action taken unless his dissent shall be entered in the Minutes of the meeting or unless he shall file his written dissent from such action with the person acting as the Secretary of the meeting before the adjournment thereof or shall forward such dissent by registered mail to the Secretary of the Company immediately after the adjournment of the meeting. Such right to dissent shall not apply to a Director who voted in favour of such action. SEAL 100. Subject to the provisions of Article 4 hereof, the Seal shall only be used by the authority of the Directors or of a committee of the Directors authorised by the Dir~ctors in that behalf and every instrument to which the Seal haJ been'affixed shall be signed by one person who shall be either a Director or the Secretary or Secretary-Treasurer some person appointed by the Directors for the purpose. PROVIDED THAT the Company may have for use in any territo district or place not situate in the Cayman Islands, an ~ official seal which shall be a facsimile of the, Gommon,..&ism=~~~ of the Company with the addition on its face of ··~ the ... ,.,\o!r~ " · every territory district or place where i~ is tb b ' ~~~~v PROVIDED FURTHER THAT a Director, Secretary or ot or representative or attorney may without further , u of the Directors affix the Seal of the Company ov : signature alone to any document of the Company req be authenticated by him under Seal or to be filed· w· Registrar of Companies in the Cayman Islands or else~ -,.-r.re~ wheresoever. ;;J |
| ..I -25- OFFICERS 101. The Company may have a Preside nt and s ha ll have a Sec~et ar y or Secr e t ary-Treasurer appointed by t he Direct ors who may a l so f r om time to time appoin t such other Officers as they consider necessary, all for s u ch terms, at such remuneration and to perform such duties, and subject t o s uch provisions as to disqualificat ion. a nd removal as the Dire ctors f r om t i me t o t i me prescri be . 102. A provision of the Statute or these Arti cles requiring or authorising a thi ng t o b e done by a Direct or and an Officer shall not be satisfied by its being done by the one person acting in the dual capacity of Director and Officer. DIVIDENDS AND RESERVE 103. Subject to the Statut e, t he Directors may from time to time declare dividends on shar es of the Company out standing and authdrise payment of the same out of the funds of the Company and may from time to time pay to the membe rs such interim dividends as appear to the Di~ectors to be justi fie d by the profits of the Company. 104 . The Directors may, before declaring any divide nds, s e t aside such sums as they think proper as a r e serve or r eserves which shall a t the discretion of the Dire ctors, be applicable for any purpose of the Company and pe nding such application may, at the like discre tion, be employed in the business of th~ Company. 105. No dividend sha l l b e payable except out of the profits of the Company, r e alised or unre alised. 106. Subje ct to the rights of persons, if any, entit to shares with special rig hts as to dividends, i f divide are to be declare d on a class of shares they shall be d e clared and paid according to the amounts paid or cr e d e JdWJXI as paid on the shares of such class outstanding on the ~~r date f or such dividend as d e termined i n accorda nce with ~ e . Articl es but no amount paid or credit ed as paid_ on,,~,· s h~a~ ~~ ;: in advance of cal ls shall be treated for the pu1p~Be Ar ticl e a s paid on the share. i\ _ = · ~~ '\~ 'I' ~' 1 07 . The Director s may deduct from any d i vid d a ya ble to any member all sums of money (if any) pres entl. p yab by him to the Company on acc ount of calls or othe _l.d~~~~ |
| -26- 108. The Directors may declare that any dividend be paid wholly or partly by the distribution of specific assets and in particular of paid up shares, debentures, or debenture stock of any other company or in any one or more of such ways and where any difficulty arises in regard to such distribution, the Directors may settle the same as they think expedient and in particular may issue fractional certificates and fix the value for distribution of such specific assets or any part thereof and may determine that cash payments shall be made to any members upon the footing of the value so fixed in order to adjust the rights of all members and may vest any such specific assets in trustees as may seem expedient to the Directors. 109. Any dividend, interest or other monies payable in cash in respect of shares may be paid by cheque or warrant sent through the post directed to the registered address of the holder or, in the case of joint holders, to the holder who is first named on the register of members or to such person and to such address as such holder or joint holders may in writing direct . Every such cheque or warrant shall be made payable to the order of the person to whom it is sent . Any one of two or more joint holders may give effectual receipts for any dividends, bonuses, or other monies payable in respect of the share held by them as joint holders. 110. No dividend shall bear interest against the Company. CAPITALISATION 111. The Company may upon the recommendation of the Directors by ordinary resolution authorise the Directors to,-,c~.:::::.:-: ... capitalise any sum standing to the cre dit of any of the ,....--,;:.:J1Sl ""'1 "' Company's reserve accounts ( including share premium ace , n-S);·· and capital redemption reserve fund) or any sum standi to the credit of profit and loss account or otherwise ava ·lable for distribution and to appropriate such sum to member i~ ldn1x1 the proportions in which such sum wou~d have been di vi· ;°ij>}-u amongst them had the same been a distribution of profi -~ · way of dividend and to apply such sum on their behalf i ~ . paying up in full unissued shares (not being redeemable . ~i shares) for allotment and distribution credited as fu~ , paid up to and amongst them in the proportion afores $..~ - ' fr:; J such event the Directors shall do all acts and thin · S required to give effect to such capitalisation, wit f 11 power to the Directors to make such provisions as~ ti fit for the case of shares becoming distributable~ aj!~ •~~~ h (including provisions whereby the be nefit of fr act i . ~\\ enti tlements accrue to the Company rather than to th ers concerned) . The Dire ctors may a uthorise |
| -27- enter on b ehalf of a ll of the members interested into an agreement with the Company providing for such capitalisa tion and matters incidental thereto and a n y agreement made under such authority shal l be effective and binding on a ll concerned. BOOKS OF ACCOUNT 112 . The Directors shall cause proper books of account to be kept with respect to: ( a ) all sums of money received and expended by the Company and the matters in respect of which the receipt or expenditure takes place; (b) all sales and purchases of goods by the Company; (c) the assets and liabilities of the Company. Proper books shall not be deemed to be kept if there are not kept such books of account as are necessary to give a true and fair view of the state of the Company's affairs and to explain its transactions. 113. The Directors shall from time to time determine whether and to what extent and at what times and places and under what conditions or regulations the accounts and books of the Company or any of them shall be open to the inspec tion of members not being Directors and no member (not being a Director) shall have any right of inspecting any ·account or book or document of the Company except as conferred by Statute or a1;lthorised by the Directors or by the Company 2,:-~ ~~~,,. general meeting. ' s,~ \t1 \~l N/•1~j,'.: ':~ 114 . The Directors shall from time to time cau prepar ed and to be laid before the Company in gener ing profit and loss accounts, balance sheets, group (if any) and such other reports and accounts as may required b y l aw. AUDIT 115. The Company may at any Annual General M~e . appoint an Auditor or Auditors of the Company who office until the next Annual General Meeting and m or the ir r emuneration. |
| -28- 116. The Directors may before the first Annual General Meeting appoint an Auditor or Auditors of the Company who shall hold office until the first Annual General Meeting unless previously removed by an ordinary resolution of the members in general meeting in which case the members at that meeting may appoint Auditors. The Directors may fill any casual vacancy in the office of Auditor but while any such vacancy continues the surviving or continuing Auditor or Auditors, if any, may act. The remuneration of any Auditor appointed by the Directors under this Article may be fixed by the Directors. 117. Every Auditor of the Company shall have a right of access at all times to the books and accounts and vouchers of the Company and shall be entitled to require from the Directors and Officers of the Company such inforrnati_ on and explanation as may be necessary for the performance of the duties of the auditors. 118. Auditors shall at the next Annual General Meeting following their appointment and at any other time during , their term of office, upon request of the Directors or any general meeting of the members, make a report on the accounts of the Company in general meeting during their tenure of office. NOTICES 119. Notices shall be in writing and may be given by the Company to any member either personally or by sending it by post, cable or telex to him or to his address as shown in the register of members, such notice, if mailed, to be forwaroed airmail if the address be outside the Cayman Islands. 120. (a) Where a notice is sent by post, service notice shall be deemed to be effected by properly addres pre-paying and posting a letter containing the notice, d / to have been effected at the expiration of sixty hours taft.er the letter containing the same is posted as aforesaid. f,j l "~ c,,? 1'~·11[9 ( b) Where a notice is sent by cab le or telex, se : e of the notice shall be deemed to be effected by properl ~~ addres3ing pre-paying and sending through a transmitti~ ,rt~j- - ~--~ organisation the notice, and to have been effected at _ the,- . .: expiration of forty-eight hours after the same is s~n~-~js~~~~~P . .. C. ..... afore said. j/ ·' ' 1 21. A notice may be given holders of record of a share by joint holde r first named on the pect of the share. by the Company to th ~ iw1l\ giving the notice to tfie ~~ ' register or membe < ~:.s-, . . ,.:!JI ~~ - ' _j. |
| -29- 122. A notice may be given by the Company to the person or persons which the Company has been advised are entitled to a share or shares in consequence of the death or bank ruptcy of a member by sending it through the post as aforesaid in a pre-paid letter addressed to them by name, or by the title of representatives of the deceased, or trus tee of the bankruptcy, or by any like description at the address supplied for that purpose by the persons claiming to be so entitled, or at the option of the Company by giving th~ notice in any manner in which the same might have been given if the death or bankruptcy had not occurred. 123. Notice of every general meeting shall be given in any manner hereinbefore authorised to : (a) every person shown as a member in the register of members as of the record date for such meeting except that in the case of joint holders the notice shall be sufficient if given to the joint holder first named in the register of members. (b) every person upon whom the ownership of a share devolves by reason of his being a legal personal representative or a trustee in bankruptcy of a member of record where the member of record but for his death or bankruptcy would be entitled to receive notice of t he meeting; and No other person shall be entitled to receive notices of general meetings. WINDING UP 124 . If the Company shall be wound up the Liquidator may, with the sanction of a special resolution of the Com and any other sanction required by the Statute, divide amongst the members in specie or kind the whole or any of the assets of the Company (whether they shall consis property of the same k ind or not) and may for such purp set such value as he deems fair upon any property to be i;::!: divided as aforesaid and may determine how such division~ shall be carried out as b etween the members or di:fferent~,;J,,l,/._..~..;.."X"-,-,.;..1c...-.- classes of members·. The Li(i.Uidator may with the li r.':·:'\.->:...........,,~~iMiS~~f sanction, v e st the whole or any part of such assets ~' - . trustees upon such trusts for the benefit of the co tories as the Liquidator, with the like sanction, & al think fit, but so that no member shall be compel le , to accept any shares or other securities whe:t•eon there\ J, liability. \ ~~ ~ '. {-' l't{!,• "'- |
| -30- 125. If the Company shall be wound up, and the assets available for distribution amongst the members as such shall be insufficient to repay the whdle of the paid-up capital, such assets shall be distributed so that, as nearly as may be, the l osses shall be borne by the members in proportion to the capital paid up, or which ought to have been paid up, at the commencement of the winding up on the shares held by them respectively. And if in a winding up the assets available for distribution amongst the members shall be more than sufficient to repay the whole of the capital paid up at the commencement of the winding up, the excess shall be distributed amongst the members in proportion to the capital paid up at the commencement of the winding up, the excess shall be distributed amongst the members in proportion to the capital at the commencement of the winding up paid up on the shares held by them respectively. This Article is to be without prejudice to the rights of the holders of shares issued upon special terms and conditions. INDEMNITY 126. The Directors, Auditors and Officers for the time being of the Company and any trustee for the time being acting in relation to any of the affairs of the Company and their heirs, executors, administrators and personal representa tives respectively shall be indemnified out of the assets of the Company from and against all actions, proceedings, costs, charges, losses, damages and ex~enses which they or any of them shall or may incur or sustain by reason of any act done or omitted in or about the execution of their duty in their respective offices or trusts, except such (if any) as th2y shall incur or sustain by or through their own wilful neglect or default respectively and no such Director, Auditor, Officer or trustee shall be answerable for the acts, receipts, n e glects or defaults of any other Direct Auditor, Officer or trustee or for joining in any recei for the sake of conformity or for the solvency or hone any banker or other persons with whom any monies ore belonging to the Company may be lodged or deposited f custody or for any insufficiency of any security upon any monies of the Company may be invested or for any~~~~ loss or damage due to any such cause as aforesaid ~ w may happen in or about the execution of his office ~ . tti~~~~ unless the same shall happen through the wilful negle ~ default of such Director, Auditor, Officer or trust ~~• FISCAL YEAR 127 . The Fiscal Year of the Comp any sha l.l ,. (. - ;'). ·\ ,,(,.,. :\._ ,f ) } ,':,-_. '::-, '· . ,d ~ , '{ \ ~ -\~. i' 1 !,..\.• ..I- |
| - 31- date of incorporation of the Company and the anniversary date thereof in each year ending the day prior to the anniversary date in each year unless the Directors pres cribe some other period therefor. AMENDMENTS OF ARTICLES 128. Subject to the Statute, the Company may at any time and from time to time by special resolution alter or amend these Articles in whole or in part. |
| DATED the 22nd Timothy , o ic· PO Box ran Ca \._. John Goodwill, Barrister, PO Box 309, Grand Cayman -32- day of January, 19B2 • Certified to be a true and correct copy Witness to the above Signatures I, J.l.c rx:JJ-J ,:i.,J ~ ~ r,;:,-J 'tZ.,-,\ Registrar of Companies in and for the Ca yma n Islands DO HEREBY CERTIFY that this is a true and correct copy of the Art ssociation of this Company duly incorporated 19Q ~ ◄ 7 2 , Q . : ... DAT E ...... . · · · · · · · · · · · · .•• . • |
Exhibit 3.102
| Form C/T/L No. 6, <ntrtifirntt nf ar4au9t nf Nnmt nf a <nnmpnuy fflf -~--·' 8. . _<,..r,.,; (P9rsuant to Section 30 of the Companies Law Cap, 22) I DELANO OLIVER SOLOMON 2 ACTING Registrar of Companies of the Oiymon Islands ~o ~tnbu Cliertifu that the name of the Company duly registered OS ENSCO HOLDIN9_C-O=M-P-A=N~Y ____________ _ on the 22nd doyof FEBRUARY 19 88 hos been changed to ENSCO LIMITED and that the sold name ENSCO LIMITED registered on the Register of Companies thls.l!!!:_doy of. AUGUST 79 89 ;t,~·;, Given under my hand and Seal at George Town in the Island of Grand Cayman this. 18tday of- AUGUST Jg 89 (SGD. D.O. SOLOMON) REGISTRAR OF COMPANIES Cayman Islands, B. W.J. ..jli!,'(' ;'f;!{fj, '; ~'~. :: ,,i"·•· ;·,:,- . ·,... ~t~ ~1t~ -~ ... ;:iil~'',. . . f~:~~t~~: ~~~- ~;\~~tt ~~, .. t~: ~ ~' .-J .... 1,, f(t.~,\\"\l ... ,t .. , . .;;,,_1 !f/i;,\~ · •& --· . . ... -.. . . ' :,._-.,• . i;!?r-S$ .. ~- ~;!:::'!~$-~ . , ~1;";:1'.'_. ......... ~,:1.;-;~.•.•.•~~ ' ·~ .... ,i<{\~::::~$:::{: ~ -· |
| <!ttrttf icatt of <!tbange of J}amt of a <ttompanp (Pursuant to Section 30 of the Companies Law Cap. 22) I, DELANO OLIVER SOLOMON, ACTING Registrar of Companies of the Cayman Islands lJBO JlJtrtbp {f[ertffp that the Company duly registered as ENSCO HOLDING COMPANY on the 22nd day of FEBRUARY 19_Jlli was by Special Resolution dated ________ _ changed to ENSCO LIMITED and that the said name ENSCO LIMITED has been registered and filed on the Register of Companies this 1st day of AUGUST Given under my hand and Seal at George Town in the Island of Grand Cayman this · 1st day AUGUST ,One Thousand Nine ·Hundred and EIGHTY-NINE;, REGISTRAR OF COMPANIES Cayman IEJ.J~nds, B. W.I. |
| • - - ~;r~ , . ;•:~~!?.~!~Xt.',. ~;;~: •I if: ~~ ~·, :·~i wwi/ ,,;;, .... ;'t!iw '\l fk· •\ '.~v·' <;:t::f ··~: ·I-' Form C{T /L No, 6. ~:~ I @trtiftratt nf Qlqaugt .... ,:1, ~ ~f~~.. ~ ·, •·· \&-/ of Namt of a @nmpauy '.\~: ,J~; lfl; .. .... , .. ~, ~ :-' ·f~'r.'=- ~' ~, ... \~ .,~ :· ' , ... ,::. ·. Certified to be (i:r.rsuant to section 30 of the Companies Law cap. 22) J DEI.AID OLIVER SOICMON t DEPUTY Registrar of Companies of the Cayman Islands ~o ~mbu Cl!ertifu that the name of the Company duly registered as BLOCKER DRILLING INTERNATIONAL CO. on the 4th day of OCI'OBER 19 8 2 has been changed to ENSCO HOIDI:t:-JG CCMPANY 1 at the said name ENSCO HOIDI:t:-JG CXMPANY ·~ b/en registered on the Register of Companies this 22nd day of. FEB• 7988 '® ii! ®#% 411»@% $, Given under my hand and Seal at George Town in th~~~nd of Grand Cayman thif-__day of. FEB. 19_ 88 O.SOLCM.ON, DEP. (SGD.D.O.SOICMON) DEP. REGISTRAR OF COMPANIES FEB. 22nd 1988 ·®-1$~@~©.1!\i ® ¥Ji·$ 1$ :/ i/iJl,,,effe .. @Hffa·ifHl0 @ Cayman Islands, B. W.I. |
| • • • - ~:~;·?t~;.~;·- .:,.~~ ... :,~:❖: i ,~~$:::::~r--~ ~-..;:i "Ji . :.:f.;ii:it' ~~f.ij ·:%:lt~t· ,. ~- ~-.~,· 1, l ~., ' I•• l.t9• ,/,.,.:'!!!' '\\\ ~-,\ J'~~ /?~ti ~}.~ Form C/T /L No. 6, C!rtrtifiratt nf ari,augt ~;,, ;{ ~=~.-::, ~ .. · ~~l-j: ~ -•· .. ·;: if' '.~/' nf Namt nf a C!rnmpauy (~rsuant to Section 30 of the Companies Law cap. 22) 1 DEIANO OLIV'l:!::R SO~N, DEPUTY Registrar of Companies of the Cayman Islands ~o ~enbu aiertifu that the name of the Company duly registered as B.UX;KER DRILLING INI'ERNA,TIONAL on the 4th day of OCI'OBER 19 82 has been changed to ENSCO HOLDn:G CCMPANY and that the said name ENSCO HOIDIN3 C01PANY has been registered on the Register of Compan.les thil:.2nd day of. FEB• my hand and Seal own in the Island yman thi2:._2nd_da ·y ______ 19. 88 DEP. REGISTRAR OF COMPANIES Cayman Islands, B. W.I. r::::·. |
| .•. )~~- ;;·:;:::::~ • ' -· ·.-~ .. ~:::.;,.,Qi. "::· ~- ·.···:·;·:~ .,,, ~~~ ':;1 .. ..._ .:,..~ \~ft·C, •~.,:: •.•.• ••-'llf;t.<~-r ti! • • '".,.-.;.ilfi • ,, t .:..:,r,,' ''. ~t,J~~:!f 1 X-.tt• .. \ ._ ·,/ ~-... , ...... · • !,f ~~·•••"';~~ i.~,,- ' ~'"..,, ,,,,~~;;~"" l~{IJi, ·:'.wJ.i}:~~r· i~lfJl fit;:Mt' ;· ,,,. __ ,'ii'.,'..1/ji~\~S'H . ,:;'·,::~.bi._/1;•t:t,tfff_~ .... ;.-~-- ':///'if!;_'\'. ':~;, -'{;:•:·:·)).'<:·> 'cri ,;::,.;_.. ..... ._..;/•'.·\::.· ~, ~ncorporntintt GILBERT CLEVELAND CONNOLLY DEPUTY Registrar of Companies of the Cayman Islands /)() IIFl<L · CLR Ji FY. p11rs11a111 lo 1/Je Companies Law Cap. 22 that all the requisitions of the said Law wl.'re rnlllf)lied with hy BLOCKER INTERNATIONAL CONSTRUCTION COMPANY (unned in the 01yma11 lsla11ds 011 the 22nd day of .JAN. One Thousand Nine ty_TWQ. This Company was registered on the 27th day of JAN• 198 2 -X\;>\\)'-~u·. 0. SOLOMON, DEP •. 1<eg1strar ~~~~- _::.., ___ Jt))\\ .. I ( I I I JJ( 11/ '/JJ'/J}. .,;r, ' ./ •!·,,r.\ \ : r: r ,e man s a11c s J : \ : · :k_::?/ '·':'<,~\, ' • . ' . . .. fli_,f , . ,,(,\ r;ria ,_ j/S lX a I rt/(' ('Of)_)' I lie er{ 1f1ca /(,ff<:,::; / V '~:, orati 1oj1//e( . t. / £X£MPT t \ \ L, - \ ' 'I I!_ I // ' . ti..,-. ~-=- It ls ;,8th day\if DECEMBER / 9 h.; f!;{p,, \'\.'I.iv _,!~ ,~, GiPen under my hand and Seal at Ceorge Town in the Island of Grcmd Cayman this 27thday of JAN. , One Thousand Nine J/1111dred and Eighty TWO (SGD. G.C. CONNOLLY) DEP. Registrar of Companies Cayman Islands B. W./, |
| rrtifirntt nf nf (l¾!rsuant to 30 the Companies " ~~:;~ '.·~\'-1 .. ,.A TJi \~.,::,~ ,,.-,-,,, I ~.:}:-._;,: ··~, ~fotll me a Qlnmnau1r l~~; ... ~ .. :J r :, ~:~~ .. ; .. WOODWARD LEEMON TERRY Registrar of Companies of the O!trftft:? that the name Company duly registered as BLOCKER INTERNATIONAL CONSTRUJ:T~""'0""")\1..,.P_..A...,N...,.Y ____ _ 27th of JANUARY 19 82 has been changed to BLOCKER DRILLING INTERNATIONAL CO. BLOCKER DRILLING INTERNATIONAL CO. ~,been registered on the Register of Companies this 4th day of_ OCTOBER 19 82 ------ SIG· ·uep~ ·Regi~t;.a~. ;f. c;~P;~i~s DATE . 8~:1. ?.e.c.e.n:1!c:r:, •• ~~~~ ~ • • • • • • • · Given under my hand and Seal Town in the Island Grand Cayman thi's 4th day of. OCTOBER 19----2.2. (SGD. W.L. TERRY) OF COMPANIES ' Islands, B. W.1. ::S:ilt'i r~~#l,;i~ :Jf JBJJ'.) r ·~.;,:#:•:-:-::,,:_. .. ~.. :.•;-;;,.:.:-~~ .. ~ ~'· .. \ii:~i:!-~ ~~~:{~:~:;t?;:~~ |
| ,.,,,, .,-,,~ •• fJ,~ ,,:1:,:.f~'\r}.ijfi.~',::,;,,'.'~-,,. , :1~~·,, _:,11 ~--~; ·•t · . l'i' w,.,; ,,. '·,;i,\\\•\ ff/,;?"°8~;\\\ 1\ l •':;!II ll,6,'}. ,:~- ·.:., t • ,:: .:i , . , . ~,-,,,.. · J , ); ;f~\i.. ,.,,· .. ,\'·' , 11,/1.~:,\:,,..w\.: , ,;. '">-'/j,;,J1 -A'Nt ,i::• i, · •::.,,. ,h"' ~I'•.\\\\·,,'.: :., :...··::;;:11.t,. ",\• "Jlt\\·1\~::: ;- :.:::.,.-,1-.'1.. fl, -A\\\• t • ··-· ·,:~t'f"f!;,' .. /, ... ,,~"1.:;~, ~:-,~:,:,:~:-:. •''I//,,:~}'~~\', , •·111,.i1;(>'~~\\'.'',> . •' 1 ?!.,Wl,~~i~\'•,, . '·W,::1,i;::::.,~~:.-._,,F' :'!,'ffJ/lt~.~ ❖F . .., .. ,..,,,w, .. w. ''N/F"~'·· ,.,. ,·-:-.•:.' ·, ',/,,l::l.,,. ~- ·., .. ~-~-, ~-','.,,, ... , •. _. ~-,'.,\.,:_~_ ~-•.•,•:~•.<''·. ~· ❖ -,•·-...::& ~T.•N~' §?,·,:::,.,;;,;, ~~~'.lo" ' , • -c·, •. - .:-: ... ~ •', •• , -~·':: ::-:....,~ . • • ;, ~ ~~~- ,('f·'·! ... -,-~•-: :-- ' "' 1J~.I, . t'\.J:.1.: ,~". ·.:i ' .. e:.. '' .. !;. • _,-,q,". }\' , .. ! )]:: • ;;,;, :.;~~f(J1 ., . ' ll.\~1'!!· !ii~;~~\ ~j, ''.~$~:.'. ~} •-~~¾i~: ~~~~j, ·;,~~i\~~*:· ~.. {/Jj 'l".~:-i•~t -~~wt!}, 1'(~~:' '.~~.;,\l• ... ,,;-~·:~.r,;•~,:~t·' : .'_'//,i~ ,:. ·~~~;::_i~ !i'!>i,-~1 ~: :~:. ·1., .. ~.:; ,· --~ .... -,- --- ~ .. ~-·-···· -··--····-·--"--- ·-·--····· --'•--'-·-- ---·--·-- . .;.:...,;..._~ '. ~ : .;_,_~~ nx ·.:\,~- . .:,w ~-. ~\\f•"~ ;?,;;'fkl ·.,.,, ~- ~ "l ~:. \ ~·;.:·. ~~ 11 wjf -i~, ~;.Jn, r:· '~.f&~,-~ :%, t "-"W it-<, """~ ~, ~I ·>t-r ~:::~ et,~, ~"'~-. ~;:}: 1~ gt ii· f"' ~. ~. . ; .., J ... ....... , ..J' ,\'-· .. 1.,... ,_,, .~[;}~ ~~ ~ &If•' : ·, lt •~;l ~~ I s: Ti , ,c· ~\ ,.. ~:- ··-/1~•1 :._i ;•• I.:: -: ~,,,_, ~·~ :~-~" ~,., -- ~ .,~~~==••I ~: ~,>•" ~ lt t,l ~<: ~ ,~. .}/.ti. ;:~:··- DEP. i}h,;f r1f :.•~~ ~;\;{.{/:: ~j. -.:._..,,/\:'.'.1 arertif icatc of clncorporntiott GILBERT CLEVELAND CONNOLLY DEPUTY ___ /frgistrar of Companies of tfte Cayman Islamls /J() I/FR Un· CFIUIJ-T. 1m1s1111111 10 1/te Com11a11ies Law Cap. 22 tftat all the requisitions of the said Law /11 r1·,11cc1 of regis1rari1111 were c·ontp!ied ll'itlt !,y _ BL_Q~KER INTERNATIONAL CONSTRUCTION COMPANY u1y>:n"l{tJnetl Co1111,a11y fonnnl in the (t1y111a11 lsla11ds 011 the 22nd day of .IAN. One Thousand Nine 1111drc(ftt.nd /:'igltty _TWO. 1J1is Co/11/J(IIIY was registered 011 t/1e 27th day of JAN· 198 __ 2 __ _ I DELAN O 1/ \ 111///lt/l . • SOLOMON ' '/ II . , ,,,,, ' I 1,,, 0, "°""' ' DEP. /1,·ci, I rat ..?\"°\\''· I fl} /(I/ )i, I\ · . hla/1(/\ /)() 1/J:f': -~'~\i .f~~ ' t '" "" ' . . ,, t //w ,·01n. " ,U/l /2 '/ ·---:_<•,, 1,' 1 1a1,1tio/tl', /tft£'(t'l'lif·· '1,._,:./ ',,'f~r\\ " ( ,,,,, 1 ,,,,, 1 "at,?o;;' I ~9'./., , 1/ ~ 1 / l XE MP T \• i1,i,th \ ~ JJ ~ ilal' if DECEMBER c t','· v1 ft_) •ft,·- _/C ~¾ -A.. "14 N \~\.~,-- · Gii•en under my hand and Seal at George Town in the Island of Grand Cayman this 27thday of JAN •. One Jhousand Nine lftmdred and Eighty TWO (SGD. G,C. CONNOLLY) /I ,'{,•:J>l'·ur 11/ ( ·111111,a11ics. DEP. Registrar of Companies Cayman Islands B. Ji'.!. ..:··,: ,.~1-~ ~J\\1 '•-~·•\' :A,, 1 fl :~ 'JM l~. ,...-.,~_►-'_. 11·c:-, ,,. .. , J.i§ ·; ;;:.,;;~w~ ·~~-;•1,1..,:: -•~~~d 1'_',;. -. :U_·_ ,· ;.. I; ·-~,"':, ,J 't~ . f . -~ '\' { ..... ,, ...,,. ,i ..:1-; ~,- '%i{' j ti. ·,w i -'<"~ ;;tt)t ,,,~ .. ~ ' ,.c,~ ,'\1 !~~ l~J ·~ l] ~:: ,.._.~, ::: 1 1t1%_, 1!°'i~. "· }_'i_ I·.~--,~ "·~t r ... -.· ~: _::-:, ~ ~--:::::~ ~\~ .... );~ )! ❖ j:: >.:k~ ~~/~ .. ~{ ' :-; ... ,~/ .. ,,; :,·s:/..t ·.\~-~i:ll.111, ..\W ,sffe..,'<fp, :·:~ .. _r.:.-,:'"j;· -·-,~:•W,YJi. ··;:·:A:/i~ ~y . ,itr/1;1,ijj. 'f(IM /,:)~~:\•; ' "f' •. ·, ~ .··;::·.,,','fi;, v.r.:.;...p,'.,,/.~,. \\\,',' . -~\,N:i,;,. !f/ii'\f ,,11 I ~ -:_.,-· t- ~~~ ~<:;xi •~"~!..'.~••• Mlil ne • 1tllt!lll ' \\-',1'1 "~-<~·' ~· |
| I . -.:-:,•: (\\\!/.~: .... \~ ..... ~ , .. -,,,\ ,~.:L-,.- I,attgr nf .. -~· mt nf a Qlnmpauy 1:!J ·"'~~,';; {Persuant to Section 30 of the Companies Law Cap. 22) f WOODWARD LEEMON TERRY Registrar of Companies of the 1../4/Vff/Ufl Islands ~o ~trtbl! C!!eriifl! that the name of the Company duly registered as BLOCKER INTERNATIONAL CONSTRUCTION COMPANY the 27th day of. JANUARY /9 82 has been changed to BLOCKER DRILLING INTERNATIONAL CO. that the said name BLOCKER DRILLING INTERNATIONAL CO. has been registered on the Register of Companies this 4th day of. OCTOBER 79 82 copy -~~:•"~~••A Gi'ven under my hand and Seal at George Town in the Island of Grand Cayman this 4thday L. t.Ji ~ " ~ ~ of- OCTOBER 19. 82 (SGD. W.L. TERRY) REGISTRAR OF COMPANIES 4th Octob~£..i-~JJ82,. ,.w~ ), ~ ~.,._,,,., __ ,!$>,,.._,, ......... ,.~ :- ;.:.. ......... . Cayman Islands, B. W.I. r ' •. ' -~~¥-~~/#Ji~~ |
| •:-:-~ ... ·. .~;;;~.. ,. ~.;.~. - . . ~.-~~ ' &· --~~.-.;~ .. ~~ ·1;1 ~'¥.,!W,,";.; Jt.?"·..-~~&111.~-~.;'-;~--~- ~ i/: ~.-.. ~~~--~ '.~;J:tt i~'J. \t:~tµ>*;t J.\\ve,f '11¾,i,~\'I\ i\Vf/11.J. 'W1JitJfi' ,i~i ·. <:::i~·' :r·i i ;·'.:•1::;,:,;~.\v: :.:~ ,# .. ;,:,:'Ii·!•.':\'.•.\ ,..,..er~¼~·. ~q,111,,;./l.\\V.· -•-. ..b,~.,:;~. -~1'.'.'t~~•~~~-~~-.~~i~·:0'.·~-~.---~ ... ~ Cllert if irate of ~ncorporation /, GILBERT CLEVELAND CONNOLLY Deputy Registrar of Companies of the Cayman Islands DO HEREBY CERTIFY, pursuant to the Companies Law Cap. 22 that all the requisitions of the said Law in respect of registration were complied with by BLOCKER INTERNATIONAL CONSTRUCTION COMPANY __ an Exempted Company formed in the Cayman Islands on the 22nd day of JAN. One Thousand Nine Hundred and Eighty TWO~ This Company was registered on the 27th day of JAN • 198_2~--- /, GILBERT C. CONNOLLY Dep., Registrar of Companies of the Cayman Islands DO HEREBY CERTIFY that this is a true copy of the Certificat of Incorporation of the Company. Dated this 27th JANUARY Dep. Given under my ltand and Seal at George Town in the lsla11d of Grand Cayman this 27th day of JAN. , One 11w11sa11d Nine Hundred and Eighty TWO. (SGD) • G .C. CONNOLLY Registrar of Companies Cayman lsla11tls B. WI. |
| • • CAYMAN JSLAND,,_ THE TAX CONCESSIONS LAW (REVISED) UNDERTAKING AS TO TAX CONCESSIONS TO _____ B_l_o_c_k_e_r __ In-'-t~e=r~n=a=t=i=o=n=a~l=-C~o=n=s~t=r~u=c..__t=i~o-n.._,C~o~m._p~a~n~y,___ An undertaking is hereby given to you in accordance with Section 6 of the Tax Con cessions Law, (Revised) (1) That no law which is hereafter enacted in the Islands imposing any tax to • to be levied on profits or income or gains or appreciations shall apply to Blocker International Constn1ction Company {2) That the aforesaid tax or any tax in the nature of estate duty or inheritance tax shall not be payable on the shares, debentures or other obligations of ________________________ _ Blocker International Construction Company (3) That the foregoing undertaking shall be for a period of Twenty (20) years from that date of the Executive Council's decision in this matter namely 23rd February, 1982 This Undertaking is subject to there being no alteration to the Memorandum of Association of the above-named Company (other than an alteration changing the name, registered office or authorised capital of the said Company) without the prior approval of the Governor-in-Council and may be revoked in the event of there being any such unapprnved alteration. Dated this ------------- 25th day of --------- February 19 82 YtKtrL~ Governor in Council • |
| • 2 GILBERT C. CONNOLLY 27th JAN. TWO. JANUARY (SGD). G.C. CONNOLLY Dep. |
Exhibit 3.103
| •' ·· .. \ ; : . , ._-·· ~ ·' ..I ( .., ..-... ... · ... ·, . ',. '• .. ·: ...,. .... 1 •1 \. Inoorpo~~ the 3rd ,--. z ,. \ ... .. r. ,:.. • ►• • .. . Arias Fabnp & Fabrega .·. Wickham~s Cay _\\( ,. Road Town -.•.-,).,- Tortola British Virgin Islands '-}~~ , . ... |
( |
| ( TERRITORY OF THE BRITISH VIRGIN ISLANDS THE INTERNATIONAL BUSINESS COMPANIES ORDINANCE (No. 8 of 1984 AS AMENDED) MEMORANDUM OF ASSOCIATION OF WESTVILLE MANAGEMENT CORPORATION NAME 1. The name of the Company is Westville Management Corpor?tion REGISTERED OFFICE 2. The Registered Office of the Company will be Arias Fabrega & Fabrega Trust Co. BVI Limited, Wickhams Cay, Road Town, Tortola, British Virgin Islands. 3. 4. REGISTERED AGENT The Registered Agent of the Company will be Arias Fabrega & Fabrega Trust Co. BVI Limited, Wickhams Cay, Road Town, Tortola, British Virgin Islands. (1) GENERAL OBJECTS AND POWERS The object of the Company is to engage in any act or activity that is not prohibited under any law for the time being in force in the British Virgin Islands. (2) The Company shall have all such powers as are permitted by law for the time being in force in the British Virgin Islands, irrespective of corporate benefit, to perform all acts and engage in all activities necessary or conducive to the conduct, promotion or attainment of the object of the Company. (3) The Company may not (a) carry on business with persons resident in the British Virgin Islands; (b) own an interest in real property situated in the British Virgin Islands; other than a lease referred to in paragraph (e) of subclause (4); ( c) carry on banking or trust business unless it is licensed to do so under the Banks and Trust Companies Act, 1990; (d) carry on business as an insurance or reinsurance company, insuraik:;,;;:~ or insurance agent, unless it is licensed under an enactmen carry on that business; (e) carry on the business of company management unless t~ •ca••: . the Company Management Act, 1990; or |
| (t) carry on the business of providing the registered office or the registered agent for companies incorporated in the British Virgin Islands. (4) For purposes of paragraph (a) of subclause (3), the Company shall not be treated as carrying on business with persons resident in the British Virgin Islands by reason only that (a) it makes or maintains deposits with a person carrying on banking business within the British Virgin Islands; (b) it makes or maintains professional contact with solicitors,· barristers, accountants, bookkeepers, trust companies, administration companies, investment advisors or other similar persons carrying on business within the British Virgin Islands; (c) it prepares or maintains books and records within the British Virgin Islands; (d) it holds, within the British Virgin Islands, meetings of its directors or members; (e) it holds a lease of property for use as an office from which to communicate with members or where books and records of the Company are prepared or maintained; (t) it holds shares, debt obligations or other securities in a company incorporated under the International Business Companies Ordinance or under the Companies Act; or (g) shares, debt obligations or other securities in the Company are owned by any person resident in the British Virgin Islands or by any company incorporated under the International Business Companies Ordinance or under the Companies Act CURRENCY 5. Shares in the Company shall be issued in the currency of the United States of America. AUTHORISED CAPITAL 6. The authorised capital of the Company is $1 • o o o • o o CLASSES, NUMBER AND PAR VALUE OF SHARES 7. The authorised capital is made up of one class of shares divided into 1 • o o o of $1 • o o par value with one vote for each share. shares GNATIONS, POWERS, PREFERENCES, ETC. OF SHARES ·ons, powers, preferences, rights, qualifications, limitations and restrictions of _ ... Ml .. _ d series of shares that the Company is authorised to issue shall be fixed by 2 ( ( ; _ ; ilmlii[' directors, but the directors shall not allocate different rights as to voting, l t· ~ilflli edemption or distribution on liquidation unless the Memorandum of ; : , :\:~:::=~:~:~:~•; shall have been amended to create separate classes of shares and all the |
| ( aforesaid rights_ as to voting, dividends, redemption and distribution shall be identical in each separate class. VARIATION OF CLASS RIGHTS 9. If at any time the authorised capital is divided into different classes or series of shares, the rights attached to any class or series (unless otherwise provided by the terms of issue of the shares of the class or series) may, whether or not the Company is being wound up, be varied with the consent in writing of the holders of not less than three-fourths of the issued shares of that class or series and of the holders of not less than three-fourths of the issued shares of any other class or series of shares which may be affected by such variation. RIGHTS NOT VARIED BY THE ISSUE OF SHARES PARI PASSU 10. The rights conferred upon the holders of the shares of any class issued with preferred or other rights shall not, unless otherwise expressly provided by the terms of issue of the shares of that class, be deemed to be varied by the creation or issue of further shares ranking pari passu therewith. REGISTERED SHARES AND BEARER SHARES 11. Shares may be issued as registered shares or to bearer as may be determined by a resolution of directors. 12. EXCHANGE OF REGISTERED SHARES AND BEARER SHARES Registered shares may be exchanged for bearer shares and bearer shares may be exchanged for registered shares. TRANSFER OF REGISTERED SHARES 13. Registered shares in the Company may be transferred subject to the prior or subsequent approval of the Company as evidenced by a resolution of directors or by a resolution of members. SERVICE OF NOTICE ON HOLDERS OF BEARER SHARES 3 |
| I AMENDMENT OF MEMORANDUM AND ARTICLES OF ASSOCIATION 15. The Company may amend its Memorandum of Association and Articles of Association by a resolution of members or by a resolution of directors. DEFINITIONS 16. The meanings of words in this Memorandum of Association are defined in the Articles of Association annexed hereto. We, ARIAS FABREGA & FABREGA TRUST CO. BVI LTD., of Wickhams Cay, Road Town, Tortola, British Virgin Islands for the purpose of incorporating an International Business Company under the laws of the British Virgin Islands hereby subscribe our name to this Memorandum of Association the 3rd day of October. 1997 in the presence of: Subscriber BREGA & FABREGA TRUST CO. BVI LTD. \ .. .-· ... · .... ::: ,. f. . . '_ .. ., . .. r- . \ ' " . ~ - . _._._ ... 4 r \ |
| ( C TERRITORY OF THE BRITISH VIRGIN ISLANDS THE INTERNATIONAL BUSINESS COMPANIES ORDINANCE (No. 8 of 1984 AS AMENDED) ARTICLES OF ASSOCIATION OF WESTVILLE MANAGEMENT CORPORATION PRELIMINARY 1. In these Anicles, if not inconsistent with the subject or context, the words and expressions standing in the first column of the following table shall bear the meanings set opposite them respectively in the second column thereof. Words capital member person resolution of directors resolution of members Meanings The sum of the aggregate par value of all outstanding shares with par value of the Company and shares with par value held by the Company as treasury shares plus (a) the aggregate of the amounts designated as capital of all outstanding shares without par value of the Company and shares without par value held by the Company as treasury shares, and (b) the amounts as are from time to time transferred from surplus to capital by a resolution of directors. A person who holds shares in the Company. An individual, a corporation, a trust, the estate of a deceased individual, a partnership or an unincorporated association of persons. (a) (b) (a) A resolution approved at a duly constituted meeting of directors or of a committee of directors of the Company by the affirmative vote of a simple majority of the directors present who voted and did not abstain where the meeting was called on proper notice or, if on short notice, if those directors not present have waived notice; or a resolution consented to in writing by all directors or by all members of the committee, as the case may be. a resolution approved at a duly constitute members of the Company by the affirmativ_ •Uilii:A!j,j• ' t :, ,, ., :i, \ ··-.... ~,~-":1':..-;..· . . . , ·" . 1 |
| securities surplus the Memorandum the Ordinance the Seal these Articles regulation treasury shares · (i) a simple majority of the votes of the shares which were present at the meeting and were voted and not abstained, or (ii) a simple majority of the votes of each class or series of shares which were present at the meeting and entitled to vote thereon as a class or series and were voted and not abstained and of a simple majority of the votes of the remaining shares entitled to vote thereon which were present at the meeting and were voted and not abstained; or (b) a resolution consented to in writing by (i) an absolute majority of the votes of shares entitled to vote thereon, or (ii) an absolute majority of the votes of each class or series of shares entitled to vote Lhereon as a class or series and of an absolute majority of the votes of the remaining shares entitled to vote thereon. Shares and debt obligations of every kind, and options, warrants and rights to acquire shares, or debt obligations. The excess, if any, at the time of the determination of the total assets of the Company over the aggregate of its total liabilities, as shown in its books of account, plus the Company's capital. The Memorandum of Association of the Company as originally framed or as from time to time amended. The International Business Companies Ordinance (No. 8 of 1984 as amended). The Common Seal of the Company. These Articles of Association as originally framed or as from time to time amended The reference to any individual paragraph within these Articles or as from time to time amended. Shares in the Company that were previously issued but were repurchased, redeemed or otherwise acquired by the Company and not canceled. - ~-··' -· .: .. ·'t · " or any term of like import includes words typewritten, printed, painted, engraved, ed, photographed or represented or reproduced by any mode of representing or ;,--~:f'l!~p words in a visible form, including telex, telegram, cable or other form of writing electronic communication. ' w.A.:,WUJILlresaid any words or expressions defined in the Ordinance shall bear the same these Articles. ------ 2 ( ( |
| ( Whenever the singular or plural number, or the masculine, feminine or neuter gender is used in these Articles, it s~all equally, where the context admits, include the others. A reference in these Articles to v9ting in relation to shares .shall be construed as a reference to voting by members holding the shares except that it is the votes allocated to the shares that shall be counted and not the number of members who actually voted and a reference to shares being present at a meeting shall be given a corresponding construction. A reference to money in these Articles is a reference to the currency of the United States of America unless otherwise stated. REGISTERED SHARES 2. The Company shall issue. to every member holding registered shares in the Company a certificate signed by at least a director and an officer of the Company or if under Seal signed by either a director or an officer specifying the share or shares held. The signature of the director or officer and the Seal may be facsimiles. 3. Any member receiving a share certificate for registered shares shall indemnify and hold the Company and its directors and officers harmless from any loss or liability which it or they may incur by reason of wrongful or fraudulent use or representation made by any person by virtue of the possession thereof. If a share certificate for registered shares is worn out or lost it may be renewed on production of the worn out certificate or on satisfactory proof of its loss together with such indemnity as may be required by a resolution of directors. 4. If several persons are registered as joint holders of any shares, any one of such persons may give an effectual receipt for any dividend payable in respect of such shares. 5. 6. 7. BEARER SHARES Subject to a request for the issue of bearer shares and to the payment of the appropriate consideration for the shares to be issued, the Company may, to the extent authorised by the Memorandum, issue bearer shares to, and at the expense of, such person as shall be specified in the request. The Company may also upon receiving a request in writing accompanied by the share certificate for the shares in question, exchange registered shares for bearer shares or may exchange bearer ·shares for registered shares. Such request served on the Company by the holder of bearer shares shall specify the name and address of the person to be registered and unless the request is delivered in person by the bearer shall be authenticated as hereinafter provided. Such request served on the Company by the holder of bearer shares shall also be accompanied by any coupons or talons which at the date of such delivery have not become due for payment of dividends or any other distribution by the Company to the holders of such shares. Following such exchange the share certificate relating to the exchanged shares shall be delivered as directed by the member requesting the exchange. Bearer share certificates shall be signed by at least a director and an officer of the Company or if under Seal signed by either a director or an officer and shall state that the bearer is the owner of the shares therein specified and may provide by coupons, talons or otherwise for the payment of dividends or other moneys on the shares included therein. Subject to the provisions of the Ordinance and of these Articles the bearer of a . certificate shall be deemed to be a member of the Company and shall be entitl ~ s rights and privileges as he would have had if his name had been included in th ·if · · · of the Company as the holder of the shares. ·· .o, ~ ,- ~1'\IVl - 3 |
| 4 ' 8. Subject to any specific provisions in these Articles, in order to exercise his rights as a ( member of the Company, the bearer of a bearer share certificate shall produce the bearer share certificate as evidence of his membership in the Company. Without prejudice to the generality of the foregoing, the following rights may be exercised in the following manner: (a) for the purpose of exercising his voting rights at a meeting, the bearer of a bearer share certificate shall produce such certificate to the chairman of the meeting; (b) for the purpose of exercising his vote on a resolution in writing, the bearer of a bearer share certificate shall cause his signature to any such resolution to be authenticated as hereinafter set forth; (c) for the purpose of requisitioning a meeting of members, the bearer of a bearer share certificate shall address his requisition to the directors and his signature thereon shall be duly authenticated as hereinafter provided; and (d) for the purpose of receiving dividends, the bearer of the bearer share certificate shall present at such places as may be designated by the directors any coupons or talons issued for such purpose, or shall present the bearer share certificate to any paying agent authorised to pay dividends. 9. The signature of the bearer of a bearer share certificate shall be deemed to be duly authenticated if the bearer of the bearer share certificate shall produce such certificate to a notary public or a bank manager or a director or officer of the Company (herein referred to as an "authorised person") and if the authorised person shall endorse the document bearing such signature with a statement: (a) identifying the bearer share certificate produced to him by number and date and specifying the number of shares and the class of shares (if appropriate) comprised therein; (b) confirming that the signature of the bearer of the bearer share certificate was subscribed in his presence and that if the bearer is representing a body corporate he has so acknowledged and has produced satisfactory evidence of authority thereof as provided in Regulation 12; and (c) specifying the capacity in which he is qualified as an authorised person and, if a notary public, affixing his seal thereto or, if a bank manager, attaching an identifying stamp of the bank of which he is a manager. 10. Notwithstanding any other provisions of these Articles, at any time, the bearer of a bearer share certificate may deliver the certificate for such shares into the custody of the Company at its registered office, whereupon the Company shall issue a receipt therefor under the Seal signed by a director or officer identifying by name and address the person delivering such certificate and specifying the date and number of the bearer share certificate so deposited and the number of shares comprised therein. Any such receipt may be used by the person named therein for the purpose of exercising the rights vested in the shares represented by _..,_,,.., . ... :-• .... , ,~ · ""'. -~_Jhe bearer share certificate so deposited including the right to appoint a proxy. Any bearer certificate so deposited shall be returned to the person named in the receipt upon by the person mentioned in the receipt or to his personal representative if such _...,,.., be dead and thereupon the receipt issued therefor shall be of no further effect ~~l~' ver and shall be returned to the Company for cancellation or, if it has been lost or , such indemnity as may be required by resolution of directors shall be given to the y. |
| ( 11. The bearer of a bearer share certificate shall for all purposes be deemed to be the owner of the shares comprised in such certificate and in no circumstances shall the Company or the Chairman of any meeting of members or the Company's registrars or any director or officer of the Company or any authorised person be obliged to inquire into the circumstances whereby a bearer share certificate came into the hands of the bearer thereof, or to question the validity or authenticity of any action taken by the bearer of a bearer share certificate whose signature has been· authenticated as provided herein. 12. If the bearer of a bearer share certificate shall be a corporation, then all the rights exercisable by virtue of such shareholding may be exercised by an individual duly authorised to represent the corporation but unless such individual shall acknowledge that he is representing a corporation and shall produce upon request satisfactory evidence that he is duly authorised to represent the corporation, the individual shall for all purposes hereof be regarded as the holder of the shares in any bearer share certificate held by him. 13. The directors may provide for payment of dividends to the holders of bearer shares by coupons or talons and in such event the coupons or talons shall be in such form and payable at such time and in such place or places as the directors shall resolve. The Company shall be entitled to recognise the absolute right of the bearer of any coupon or talon issued as aforesaid to payment of the dividend to which it relates and delivery of the coupon or talon to the Company or its agents shall constitute in all respects a good discharge of the Company in respect of such dividend. 14. If any bearer share certificate, coupon or talon be worn out or defaced, the directors may, upon the surrender thereof for cancellation, issue a new one in its stead, and if any bearer share certificate, coupon or talon be lost or destroyed, the directors may upon the loss or destruction being established to their satisfaction, and upon such indemnity being given to the Company as it shall by resolution of directors determine, issue a new bearer share certificate in its stead, and in either case on payment of such sum as the Company may from time to time by resolution of directors require. In case of loss or destruction the person to whom such new bearer share certificate, coupon or talon is issued shall also bear and pay to the Company all expenses incidental to the investigation by the Company of the evidence of such loss or destruction and to such indemnity. SHARES, AUTHORISED CAPITAL AND CAPITAL 15. Subject to the provisions of these Articles and any resolution of members the unissued shares of the Company shall be at the disposal of the directors who may without prejudice and without limiting or affecting any rights previously conferred on the holders of any existing shares or class or series of shares, offer, allot, grant options over or otherwise dispose of shares to such persons, at such times and upon such terms and conditions as the Company may by resolution of directors determine. 16. Shares in the Company shall be issued for money, services rendered, personal property, an estate in real property, a promissory note or other binding obligation to contribute money or property or any combination of the foregoing as shall be determined by a~ directors. However, shares for which payment is not made pursuant to a pr or other written binding obligation for payment of a debt may upon resolu · be forfeited and canceled. Prior to such forfeiture, the Company must give wrJlfO~ the member who defaults in making payment pursuant to a promissory not binding obligation to pay a debt. Such notice shall name a further date no expiration of 14 days from the date of service of the notice on or before w il'ftl.'-tJ:wln required by the notice is to be made and shall contain a statement that in payment at or before the time named in the notice the shares, or any of th .. , .. ~-,,d:.:. , •.. 5 |
| • 6 which payment is not made will be liable to be forfeited. Where a notice has been issued (: and the- requirements of the notice have been complied with, the directors may, at any time , before tender of payment, by resolution of 1irectors forfeit and cancel the shares to which the notice relates. The Company is under no obligation to refund any moneys to the member whose shares have been canceled under this situation and that member shall be discharged from any further obligation to the Company. 17. Shares in the Company m?.y be issued for such amount of consideration as the directors may from time to time by resolution of directors determine, except that in the case of shares with par value, the amount shall not be less than the par value, and in the absence of fraud the decision of the directors as to the value of the consideration received by the Company in respect of the issue is conclusive unless a question of law is involved. The corisider~tion in respect of the shares constitutes capital to the extent of the par value and the excess constitutes surplus. 18. A share issued by the Company upon conversion of, or in exchange for. another share or debt obligation or other security in the Company, shall be treated for all purposes as having been issued for money equal to the consideration received or deemed to have been received by the Company in respect of the other share, debt obligation or security. 19. Treasury shares may be disposed of by the Company on such terms and conditions (not otherwise inconsistent with these Articles) as the Company may by resolution of directors determine. 20. The Company may issue fractions of a share and a fractional share shall have the same corresponding fractional liabilities, limitations, preferences, privileges, qualifications, restrictions, rights and other attributes of a whole share of the same class or series of shares. 21. Upon the issue by the Company of a share without par value, the consideration in respect of the share constitutes capital to the extent designated by the directors and the excess constitutes surplus, except that the directors must designate as capital an amount of the consideration that is at least equal to the amount that the share is entitled to as a preference, if any, in the assets of the Company upon liquidation of the Company. 22. The Company may purchase, redeem or otherwise acquire and hold its own shares but no purchase,- redemption or other acquisition which shall constitute a reduction in capital shall be made otherwise than in compliance with Regulations 36 and 37. 23. Shares that the Company purchases, redeems or otherwise acquires pursuant to Regulation 22 may be · canceled or held as treasury shares unless the shares are purchased, redeemed or otherwise acquired out of capital and would otherwise infringe upon the requirements of Regulations 36 and 37, or to the extent that such shares are in excess of 80 percent of the issued shares of the Company, in which case they shall be canceled but they shall be available for reissue. Upon the cancellation of a share, the amount included as capital of the Company with respect to that share shall be deducted from the capital of the Company . ..,;~ .' ·.,. ..... !---.. .--_ ... ...,.:,, · --'t ·--- re shares in the Company are held by the Company as treasury shares or are held by .. - r company of which the Company holds, directly or indirectly, shares having more .. · : a~· .i · "':~ ....... ,u~ .... ~ percent of the votes in the election of directors of the other company, such shares .. .- :t ·.ff· _ - -~ _- ~S~lC1 ompany ai:e not entitled to vote or to have dividends paid th~r~on and sh~ll not be t- {it: ~~~:, - ,IY- -. .... A. : ~~ ~utstanding for any purpose except for purposes of deternurung the capital of the .. . . ! ';:• - .... . , · ' .• . |
| 25. Notice of a trust, expressed, implied or constructive, may be entered in the share register. TRANSFER OF SHARES 26. Subject to any limitations in the Memorandum, registered shares in the Company may be transferred by a written instrument of transfer signed by the transferor and containing the name and address of the transferee, but in the absence of such written instrument of transfer the directors may accept such evidence of a transfer of shares as they consider appropriate. 27. The Company shall not be required to treat a transferee of a registered share in the Company as a member until the transferee's name has been entered in the share register. 28. Subject to any limitations in the Memorandum, the Company must on the application of the transferor or transferee of a registered share in the Company enter in the share register the name of the transferee of the share save that the registration of transfers may be suspended and the share register closed at such times and for such periods as the Company may from time to time by resolution of directors determine provided always that such registration shall not be suspended and the share register closed for more than 60 days in any period of 12 months. TRANSMISSION OF SHARES 29. The executor or administrator of a deceased member, the guardian of an incompetent member or the trustee of a bankrupt member shall be the only person recognized by the Company as having any title to his share but they shall not be entitled to exercise any rights as a member of the Company until they have proceeded as set forth in the next two regulations. 30. Any person becoming entitled by operation of law or otherwise to a share or shares in consequence of the death, incompetence or bankruptcy of any member may be registered as a member upon such evidence being produced as may reasonably be required by the directors. An application by any such person to be registered as a member shall for all purposes be deemed to be a transfer of shares of the deceased, incompetent or bankrupt member and the directors shall treat it as such. 31. Any person who has become entitled to a share or shares in the consequence of the death, incompetence or bankruptcy of any member may, instead of being registered himself, request in writing that some person to be named by him be registered as the transferee of such share or shares and such request shall likewise be treated as if it were a transfer . .. 32. What amounts to incompetence on the part of a person is a matter to be determined by the court having regard to all the relevant evidence and the circumstances of the case. REDUCTION OR INCREASE IN AUTHORISED CAPITAL OR CAPITAL 33. The Company may by a resolution of members or by resolution of directors amend the Memorandum to increase or reduce its authorised capital and in connection Company may in respect of any unissued shares increase or reduce the n shares, increase or reduce the par value of any such shares or effect any co foregoing. , • ·. . . . 34. The Company may amend the Memorandum to , .; ~. ---~ r 7 .. ,,. .. ... .•.• |
| (a) divide the shares, including issued shares, of a class or series into a larger number of shares of the same class or series; or (b) combine the shares, including issued shares, of a class or series into a smaller number of shares of the same class or series; provided, however, that where shares are divided or combined under (a) or (b) of this Regulation, the aggregate par value of the new shares must be equal to the aggregate par value of the original shares. 35. The capital of the Company may by a resolution of members or by resolution of directors be increased by transferring an amount of the surplus of the Company to capital, and, subject to the provisions of Regulations 36 and 37, the capital of the Company may be reduced by transferring an amount of the capital of the Company to surplus. 36. No reduction of capital shall be effected that reduces the capital of the Company to an amount that immediately after the reduction is less than the aggregate par value of all outstanding shares with par value and all shares with par value held by the Company as treasury shares and the aggregate of the amounts designated as capital of all outstanding shares without par value and all shares without par value held by the Company as treasury shares that are entitled to a preference, if any, in the assets of the Company upon liquidation of the Company. 37. No reduction of capital shall be effected unless the directors determine that immediately after the reduction the Company will be able to satisfy its liabilities as they become due in the ordinary course of its business and that the realizable assets of the Company will not be less than its total liabilities, other than deferred taxes, as shown in the books of the Company and its remaining capital, and, in the absence of fraud, the decision of the directors as to the realizable value of the assets of the Company is conclusive, unless a question of law is involved. 38. Where the Company reduces its capital the Company may (a) return to its members any amount received by the Company upon the issue of any of its shares; (b) purchase, redeem or otherwise acquire its shares out of capital; or (c) cancel any capital that is lost or not represented by assets having a realizable value. MEETINGS AND CONSENTS OF MEMBERS 39. The directors of the Company may convene meetings of the members of the Company at such times and in such manner and places within or outside the British Virgin Islands as the directors consider necessary or desirable. 40. Upon the written request of members holding 10 percent or more of the outstanding voting · the Company the directors shall convene a meeting of members. .. . -~-..._,.._..,_. s shall give not less than 7 days notice of meetings of members to those se names on the date the notice is given appear as members in the share ,:; . .• ~-"-~'"""',._e Company. \ . . , ,. f members held in contravention of the requirement in Regulation 41 is valid ~- _............ ~ 8 ( |
| (a) if members holding not less than 90 percent of the total number of shares entitled to vote on all matters to be considered at the meeting, or 90 percent of the votes of each class or series of shares where members are entitled to vote thereon as a class or series together with not less than a 90 percent majority of the remaining votes, have agreed to shorter notice of the meeting; or (b) if all members holding shares entitled to vote on all or any matters to be considered at the meeting have waived notice of the meeting and for this purpose presence at the meeting shall be deemed to constitute waiver. 43. The inadvertent failure of th~ directors to give notice of a meeting to a member, or the fact that a member has not received notice, does not invalidate the meeting. 44. A member may be represented at a meeting of members by a proxy who may speak and vote on behalf of the member. 45. The instrument appointing a proxy shall be produced at the place appointed for the meeting before the time for holding the meeting at which the person named in such instrument proposes to vote. 46. An instrument appointing a proxy shall be in substantially the following form or such other form as the Chairman of the meeting shall accept as properly evidencing the wishes of the member appointing the proxy. I/We above Company with of of members to be held on the and at any adjournment thereof. (Name of Company) shares HEREBY APPOINT or failing him being a member of the to be my/our proxy to vote for me/us at the meeting of day of (Any restrictions on voting to be inserted here). Signed this day of Member 4 7. The following shall apply in respect of joint ownership of shares: (a) if two or more persons hold shares jointly each of them may be present in person or by proxy at a meeting of members and may speak as a member; (b) if only one of the joint owners is present in person or by proxy he behalf of all joint owners; and (c) if two or more of the joint owners are present in person or by pro . I . as one. . 'f : ··•:-. . t t~ .. . t - ... _._~--: 9 |
| 48. A member shall be deemed to be present at a meeting of members if he participates by telephone or other electronic means and all members participating in the meeting are able to hear each other. 49. A meeting of members is duly constituted if, at the commencement of the meeting, there are present in person or by proxy not less than 50 percent of the votes of the shares of class or series of shares entitled to vote on resolutions of members considered at the meeting. If a quorum be present, notwithstanding the fact that such quorum may be represented by only one person, then such person may resolve any matter and a certificate signed by such person accompanied by a copy of the proxy form where such person be a proxy, shall constitute a valid resolution of members. 50. If within two hours from the time appointed for the meeting a quorum is not present, the meeting, if convened upon the requisition of members, shall be dissolved; in any other case it shall stand adjourned to the next business day at the same time and place or to such other time and place as the directors may determine, and if at the adjourned meeting there are present within one hour from the time appointed for the meeting in person or by proxy not less than one third of the votes of the shares of each class or series of shares entitled to vote on the resolutions to be considered by the meeting, those present shall constitute a quorum but otherwise the meeting shall be dissolved. 51. At every meeting of members, the Chairman of the Board of Directors shall preside as chairman of the meeting. If there is no Chairman of the Board of Directors or if the Chairman of the Board of Directors is not present at the meeting, the members present shall choose some one of their number to be the chairman. If the members are unable to choose a chairman for any reason, then the person representing the greatest number of voting shares present in person or by prescribed form of proxy at the meeting shall preside as chairman failing which the oldest individual member or representative of a member present shall take the chair. 52. The chairman may, with the consent of the meeting, adjourn any meeting from time to time, and from place to place, but no business shall be transacted at any adjourned meeting other than the business left unfinished at the meeting from which the adjournment took place. 53. At any meeting of the members the chairman shall be responsible for deciding in such manner as he shall consider appropriate whether any resolution has been carried or not and the result of his decision shall be announced to the meeting and recorded in the minutes thereof. If the chairman shall have any doubt as to the outcome of any resolution put to the vote, he shall cause a poll to be taken of all votes cast upon such resolution, but if the chairman shall fail to take a poll then any member present in person or by proxy who disputes the announcement by the chairman of the result of any vote may immediately following such announcement demand that a poll be taken and the chairman shall thereupon cause a poll to be taken. If a poll is taken at any meeting, the result thereof shall be duly recorded in the minutes of that meeting by the chairman. 54. Any person other than an individual shall be regarded as one member and subject to Regulation 55 the right of any individual to speak for or represent such member shall be ~ .. ._,::-~ -••' """' '.-. · ed by the law of the jurisdiction where, and by the documents by which, the nstituted or derives its existence. In case of doubt, the directors may in good gal advice from any qualified person and unless and until a court of competent shall otherwise rule, the directors may rely and act upon such advice without _ _a:,"'~--- liability to any member. 1.0 |
| 55. 56. 57. 58. 59. 60. 61. Any person other than an individual which is a member of the Company may by resolution of its directors or other governing body authorise such person as it thinks fit to act as its representative at any meeting of the Company or of any class of members of the Company, and the person so authorised shall be entitled to exercise the same powers on behalf of the person which he represents as that person could exercise if it were an individual member of the Company. The chairman of any meeting at which a vote is cast by proxy or on behalf of any person other than an individual may call for a notarially certified copy of such proxy or authority which shall be produced within 7 days of being so requested or the votes c~st by such proxy or on behalf of such person shall be disregarded. Directors of the Company may attend and speak at any meeting of members of the Company and at any separate meeting of the holders of any class or series of shares in the Company. DIRECTORS The first director or directors of the Company shall be elected by the subscriber(s) to the Memorandum and these Articles; and, save as provided in Regulation 63 hereof, thereafter, the directors shall be elected by the members for such term as the members determine. The minimum number of directors shall be one and the maximum number shall be 10. Each director shall hold office for the term, if any, fixed by resolution of members or until his earlier death, resignation or removal. A director may be removed from office, with or without cause, only by a resolution of members. 62. A director may resign his office by giving written notice of his resignation to the Company and the resignation shall have effect from the date the notice is received by the Company or from such later date as may be specified in the notice. 63. A vacancy in the Board of Directors may be filled by a resolution of members or by a resolution of a majority of the remaining directors. In addition, the directors, by resolution, may appoint new directors, resign and specify that their resignations will become effective following the appointment of their replacements. · 64. With prior or subsequent approval by a resolution of members, the directors may, by a resolution of directors, fix the emoluments of directors with respect to services to be rendered in any capacity to the Company. 65. A director shall not require a share qualification, and may be an individual or a company. POWERS OF DIRECTORS 66. The business and affairs of the Company shall be managed by the directors who may pay all expenses incurred preliminary to and in connection with the formation and re · · Q.. of the Company and may exercise all such powers of the Company a Ordinance or by the Memorandum or these Articles required to be members of the Company, subject to any delegation of such powers as by these Articles and to such requirements as may be prescribed members; but no requirement made by a resolution. of members sh , ' --- .. ~ ·,::· ·: ·' .. ~ ~'. 1 1 |
| 12 inconsistent with these Articles nor shall such requirement invalidate any prior act of the ( directors which would have been valid if such requirement had not been made. 67. The directors may, by a resolution of directors, appoint any person, including a person who is a director, to be an officer or agent of the Company. 68. Every officer or agent of the Company has such powers and authority of the directors, including the power and authority to affix the Seal, as are set forth in these Articles or in the resolution of directors appointing the officer or agent, except that no officer or agent has any power or authority with respect to fixing the emoluments of directors. 69. Any director which is a body corporate may appoint any person its duly authorised representative for the purpose of representing it at meetings of the Board of Directors or with respect to unanimous written consents or with respect to any other actions of directors in accordance with these Articles. 70. The continuing directors may act notwithstanding any vacancy in their body, save that if their number is reduced below the number fixed by or pursuant to these Articles as the necessary quorum for a meeting of directors, the continuing directors or director may act only for the purpose of appointing directors to fill any vacancy that has arisen or summoning a meeting of members. 71. All cheques, promissory notes, drafts, bills of exchange and other negotiable instruments and all receipts for moneys paid to the Company shall be signed, drawn, accepted, endorsed or otherwise executed, as the case may be, in such manner as shall from time to time be determined by resolution of directors. PROCEEDINGS OF DIRECTORS 72. The directors of the Company or any committee thereof may meet at such times and in such manner and places within or outside the British Virgin Islands as the directors may determine to be necessary or desirable. 73. A director shall be deemed to be present at a meeting of directors if he participates by telephone or other electronic means and all directors participating in the meeting are able to hear each other. 7 4. A director shall be given not less than 3 days notice of meetings of directors, but a meeting of directors held without 3 days notice having been given to all directors shall be valid if all the directors entitled to vote at the meeting who do not attend waive notice of the meeting; and for this purpose the presence of a director at the meeting shall be deemed to constitute waiver on his part. The inadvertent failure to give notice of a meeting to a director, or the fact that a director has not received the notice, does not invalidate the meeting. 75. A director may by a written instrument appoint an alternate who need not be a director and an alternate is entitled to attend meetings in the absence of the director who appointed him .----.-..:i ote or consent in place of the director. ~,~tu of directors is duly constituted for all purposes if at the commencement of the 1~m!li-a re are present in person or by alternate not less than one half of the total number ( |
| c. 77. ff the Company shall have only one director the provisions herein contained for meetings of the directors shall not apply but such sole director shall have full power to represent and act for the Company in all matters as are not by the Ordinance or the Memorandum or these Articles required to be exercised by the members of the Company and in lieu of minutes of a meeting such sole director shall record in writing and sign a note or memorandum of all matters requiring a resolution of directors. Such a note of memorandum shall constitute sufficient evidence of such resolution for all_purposes. 7 8. At every meeting of the directors the Chairman of the Board of Directors shall preside as chairman of the meeting. If there is no Chairman of the Board of Directors or if the Chairman of the Board of Directors is not present at the meeting the Vice Chairman of the Board of Directors shall preside. ff there is no Vice Chairman of the Board of Directors or if the Vice Chairman of the Board of Directors is not present at the meeting the directors present shall choose some one of their number to be chairman of the meeting. 79. The directors shall cause the following corporate records to be kept: 80. (a) minutes of all meetings of directors, members, committees of directors, committees of officers and committees of members; (b) copies of all resolutions consented to by directors, members, committees of directors, committees of officers and committees of members; and (c) such other accounts and records as the directors by resolution of directors consider necessary or desirable in order to reflect the financial position of the Company. The books, records and minutes shall be kept at the registered office of the Company or at such other place as the directors determine. 81. The directors may, by a resolution of directors, designate one or more committees, each cons_ isting of one or more directors. 82. Each committee of directors has such powers and authorities of the directors, subject to prior consent of the shareholders, including the powers and authority to affix the seal. No committee has any power or authority to either amend the Memorandum or these Articles or to act in respect to matters requiring a resolution of directors under Regulation 63, 64 and 67. 83. The meetings and proceedings of each committee of directors consisting of 2 or more directors shall be governed mutatis mutandis by the provisions of these Articles regulating the proceedings of directors so far as the same are not superseded by any provisions in the resolution establishing the committee. OFFICERS 84. The Company may by resolution of directors appoint officers of the Company at such times as shall be considered necessary or expedient. Such officers, who need not be directors or members of the Company, may consist of a Chairman of the Board of · Chairman of the Board of Directors, a President and one or mo Secretaries and Treasurers and such other officers as may from tim desirable. Any number of offices may be held by the same person. 13 85. The officers shall perform such duties as shall be prescribed at the time clflllH t: subject to any modification in such duties as may be prescribed there-.,.s...'l:l,llf-~ L ¼;· 1 |
| directors or resolution of members, but in the absence of any specific allocation of duties it shall be the responsibility of the Chairman of the Board of Directors to preside at meetings of directors and members, the Vice Chairman to act in the absence of the Chairman, the President to manage the day to day affairs of the Company, the Vice Presidents to act in order of seniority in the absence of the President but otherwise to perform such duties as may be delegated to them by the President, the Secretaries to maintain the share register, minute books and records (other than financial records) of the Company and to ensure compliance with all procedural requirements imposed on the Company by applicable law, and the Treasurer to be responsible for the financial affairs of the Company. 86. The emoluments of all officers shall be fixed by resolution.of directors. 87. The officers of the Company shall hold office until their successors are duly elected and qualified, but any officer elected or appointed by the directors may be removed at any time, with or without cause, by resolution of directors. Any vacancy occurring in any office of the Company may be filled by resolution of directors. CONFLICT OF INTERESTS 14 .• (' 88. No agreement or transaction between the Company and one or more of its directors or any person in which any director has a financial interest or to whom any director is related, including as a director of that other person, is void or voidable for this reason only or by reason only that the director is present at the meeting of directors or at the meeting of the committee of directors that approves the agreement or transaction or that the vote or consent of the director is counted for that purpose if the material facts of the interest of each director in the agreement or transaction and his interest in or relationship to any other party to the ( agreement or transaction are disclosed in good faith or are known by the other directors. Such agreement or transaction is valid even if at the time the agreement or transaction was authorized, approved or ratified by resolution of directors or by resolution of members the agreement or transaction was unfairly prejudicial to one or more members of the company or to the creditors of the company except that no person who voted in favor of the resolution authorizing, approving or ratifying the agreement or transaction shall be capable subsequently of impugning or objecting to the agreement or transaction. 89. A director who has an interest in any particular business to be considered at a meeting of directors or members may be counted for purposes of determining whether the meeting is duly constituted. INDEMNIFICATION 90. Subject to Regulation 91 the Company shall indemnify against all expenses, including legal fees, and against all judgements, fines and amounts paid in settlement and reasonably incurred in connection with legal, administrative or investigative proceedings any person who ........ ~---·. ' '~~~, as a party or is threatened to be made a party to any threatened, pending or ted proceedings, whether civil, criminal, administrative or investigative, by ~f the fact that the person is or was a director, an officer or a liquidator of ..U....1.~I'-. 'Y-1'~.,. !pany; or as, at the request of the Company, serving as a director, officer or liquidator n any capacity is or was acting for, another company or a partnership, joint ~~tt1 , trust or other enterprise. |
| . I 91. Regulation 90 only applies to a person referred to in that Regulation if the person acted honestly and in good faith with a view to the best interests of the Company and, in the case of criminal proceedings, the person had no reasonable cause to believe that his conduct was unlawful. 92. The decision of the directors as to whether the person acted honestly and in good faith and with a view to the best interests of the Company and as to whether the person had no reasonable cause to believe that his conduct was unlawful, is, in the absence of fraud, sufficient for the purpose of these Anicles, unless a question of law is involved. 93. The termination of any proceedings by any judgment, order, settlement, conviction or the entering of a nolle prosequi does not, by itself, create a presumption that the person did not act honestly and in good faith and with a view to the best interests of the Company or that the person had reasonable cause to believe that his conduct was unlawful. 94. If a person referred to in Regulation 90 has been successful in defence of any proceedings referred to in that Regulation the person is entitled to be indemnified against all expenses, including legal fees, and against all judgments, fines and amounts paid in settlement and reasonably incurred by the person in connection with the proceedings. 95. The Company may purchase and maintain insurance in relation to any person who is or was a director, an officer or a liquidator of the Company, or who at the request of the Company is or was serving as a director, an officer or a liquidator of, or in any other capacity is or was acting for, another company or a partnership, joint venture, trust or another enterprise, against any liability asserted against the person and incurred by the person in that capacity, whether or not the Company has or would have had the power to indemnify the person against the liability under Regulation 90. PERSONAL LIABILITY 96. No ·member, director, officer, agent or liquidator of the Company is liable for any debt, obligation or default of the Company in the execution of the duties of his office or otherwise in relation thereto except in so far as he may be liable for his own conduct or acts. If, however, at any time there is no member of the Company, any person doing business in the name or on behalf of the Company is personally liable for the payment of all debts of the Company contracted during that time and the person may be sued therefor without joinder in the proceedings of any other person. SEAL 97. The directors shall provide for the safe custody of the Seal. The Seal when affixed to any written instrument shall be witnessed by a director or any other person so authorised from time to time by resolution of directors. The directors may provide for a facsimile of the Seal and of the signature of any director or authorised person which may be reproduced by printing or other means on any instrument and it shall have the same force and validity as if the Seal had been affixed to such instrument.and the same had been signed as hereinbefore described. 98. AUTHENTICATION OF DOCUMENTS Subject to the provisions of the Ordinance and these Articles the companY, document signed on its behalf in accordance with the resolution oft<hrctGI~ resolution of members, as the case may be, authorizing the execution of in accordance with any general or special powers of attorney granted by 1 5 |
| 1 6 need not be under its common seal. If any authentication or attestation is required, the r 1 signature of the person(s) executing the document may be certified by the Registered Agent , of the Company, any notary public, any official department or consulate of any country, any major bank or other financial institution, or as otherwise requested. DIVIDENDS 99. The Company may by a resolution of directors declare and pay dividends in money, shares, or (?ther property but dividends shall only be declared and paid out of surplus. In the event that dividends are paid in specie the directors shall have the responsibility for establishing and recording in "the resolution of directors authorising the dividends a fair and proper value for the assets to be so distributed. The directors may from time to time pay to the members such interim dividends as appear to the directors to be justified by the profits of the Company. The directors may, before declaring any dividend, set aside out of the profits of the Company such sum as they think proper as a reserve fund, and may invest the sum so set apart as a reserve fund upon such securities as they may select. 100. No dividend shall be declared and paid unless the directors determine that immediately after the payment of the dividend the Company will be able to satisfy its liabilities as they become due in the ordinary course of its business and the realizable value of the assets of the Company will not be less than the sum of its total liabilities, other than deferred taxes, as shown in its books of account, and its capital. In the absence of fraud, the decision of the directors as to the realizable value of the assets of the Company is conclusive, unless a question of law is involved. 101. Notice of any dividend that may have been declared shall be given to each member in the ( manner hereinafier mentioned and all dividends unclaimed for 3 years after having been declared may be forfeited by resolution of directors for the benefit of the Company. 102. No dividend shall bear interest as against the Company and no dividend shall be paid on shares described in Regulation 24. 103. A share issued as a dividend by the Company shall be treated for all purposes as having been issued for money equal to the surplus that is transferred to capital upon the issue of the share. 104. In the case of a dividend of authorised but unissued shares with par value, an amount equal to the aggregate par value of such shares shall be transferred from S1:1fPlus to capital at the time of the distribution. 105. In the case of a dividend of authorised but unissued shares without par value, the amount designated by the directors shall be transferred from surplus to capital at the time of the distribution, except that the directors must designate as capital an amount that is at least equal to the amount that such shares are entitled to as a preference, if any, in the assets of the Company upon liquidation of the Company. 106. A division of the issued and outstanding shares of a class or series of shares into a larger f shares of the same class or series having a proportionately smaller par value onstitute a dividend of shares . .. · ACCOUNTS •. :-• . . . ' .. · . biQJflt:1tny shall keep such accounts and records as the directors consider necessary or .. ~ . ljp.lJWrlf 9rder to reflect the financial position of the Company. ' _ . _,....___ ' |
| , 'I . . ' ( ( 108. The members may, but are not bound to, require the directors to prepare profit and loss accounts and balance sheet and, 1,mless so required, the directors shall not be bound to prepare such profit and loss accounts and balance sheet. 109. A copy of such profit and loss account and balance sheet, if prepared, shall be served on every member in the manner and with similar notice to that prescribed herein for calling a meeting of members or upon such shorter notice as the members may agree to accept 110. The Company may by a resolution of directors include in the computation of surplus for any purpose the unrealized appreciation of the assets of the Company, and, in the absence of fraud, the decision of the directors as to the value of the assets is conclusive, unless a question oflaw is involved. AUDIT 111. The Company may by resolution of members call for the accounts to be examined by auditors. 112. The first auditors may be appointed by resolution of directors; subsequent auditors may be appointed by resolution of members. 113. The auditors may be members of the Company but no director or other officer shall be eligible to be an auditor of the Company during his continuance in office. 114. The remuneration of the auditors of the Company (a) in the case of auditors appointed by the directors, may be fixed by resolution of directors; (b) subject to the foregoing, shall be fixed by resolution of members or in such manner as the Company may by resolution of members determine. 115. The auditors shall examine each profit and loss account and balance sheet, if required, to be served on every member of the Company or laid before a meeting of the members of the Company and shall state in a written report whether or not (a) in their opinion the profit and loss account and balance sheet give a true and fair view respectively of the profit and loss for the period covered by the accounts, and of the state of affairs of the Company at the end of that period; (b) all the information and explanations required by the auditors have been obtained. 116. The report of the auditors shall be annexed to the accounts and shall be read at the meeting of members at which the accounts are laid before the Company or shall be served on the members. 117. Every auditor of the Company shall have the right of access at all'times to, account and vouchers of the Company, and shall be entitled to require and officers of the Company such information and explanations as he 17 the performance of his duties. _ · 118. The auditors of the Company shall be entitled to receive notice of. · . ' ' : i meetings of members of the Company at which the Company's profit __ i balance sheet are to be presented. .......-..:::::r,i, ; |
| • NOTICES 119. Any notice, information or written statement to be given by the Company to members must be served in the case of members holding registered shares by mail addressed to each member at the address shown in the share register and in the case of members holding shares issued to bearer, in the manner provided in the Memorandum. 120. Any summons, notice, order, document, process, information or written statement to be served on the Company may be served by leaving it, or by sending it by registered mail addressed to the Company, at its Registered Office, or by leaving it with, or by sending it by registered mail to, the Registered Agent of the Company. 121. Service of any summons, notice, order, document, process, information or written statement to be served on the Company may be proved by showing that the summons, notice, order, document, process, information or written statement was mailed in such time as to admit to its being delivered in the normal course of delivery within the period prescribed for service and was correctly addressed and the postage was prepaid. PENSION AND SUPERANNUATION FUNDS 122. The directors may establish and maintain or procure the establishment and maintenance of any non-contributory or contributory pension or superannuation funds for the benefit of, and give or procure the giving of donations, gratuities, pensions, allowances or emoluments to any persons who are or were at any time in the employment or service of the Company or any company which is a subsidiary of the Company or is allied to or associated with the Company or with any such subsidiary, or who are or were at any time directors or officers of the Company or of any such other company as aforesaid or who hold or held any salaried employment or office in the Company or such other company, or any persons in whose welfare the Company or any such other company as aforesaid is or has been at any time interested, and to the wives, widows, families and dependents of any such person, and may make payments for or towards the insurance of any such persons as aforesaid, and may do any of the matters aforesaid either alone or in conjunction with any such other company as aforesaid. Subject always to the proposals being approved by resolution of members, a director holding any such employment, or office shall be entitled to participate in and retain for his own benefit any such donation, gratuity, pension, allowance or emolument. ARBITRATION 123. Whenever any difference arises between the Company on the one hand and any of the members or their executors, administrators or assigns on the other hand, touching the true intent and construction of the incidence or consequences of these Anicles or of the Ordinance, touching anything done or executed, omitted or suffered in pursuance of the Ordinance or touching any breach or alleged breach or otherwise relating to the premises or to these Articles, or to any Act or Ordinance affecting the Company or to any of the affairs ..--- ... _~the Company such difference shall, unless the parties agree to refer the same to a single .. :,.1 \. . l , or, be referred to 2 arbitrators one to be chosen by each of the parties to the .. -· ., . ..- . - - ~ . . · · and the arbitrators shall before entering on the reference appoint an umpire . .. : - 1 ~:;,4:u;_;,,_ _ rr'%f ij~\ y to the reference makes default in appointi~g an arbitrator either originally or ~ · . · 31 bstitution (in the event that an appointed arbitrator shall die, be incapable of , i ~~ 131 ~ se to act) for 10 days after the other party has given him notice to appoint the - ~ . · - ~ _ e~ ther party may appoint an arbitrator to act in the place of the arbitrator of the ·. • .,.. · · e ,~ arty. ". ,._ .... ~ -1'1f£ 8R\'t~ ~~-:" .. '• ... -~II * ,~ .... '. |
| rt -.,.... ,. 4 o. I '. C VOLUNTARILY WINDING UP AND. DISSOLUTION 125. The Company may voluntarily commence to wind up and dissolve by a resolution of members or a resolution of directors but if the Company has never issued shares it may voluntarily commence to wincfup and dissolve by a resolution of directors. CONTINUATION 126. The Company may by resolution of members or by a resolution passed unanimously by all directors of the Company continue as a company incorporated under the laws of a jurisdiction outside the British Virgin Islands in the .manner provicJed under those laws. We, Arias Fabrega & Fabrega Trust Co. BVI Limited of Wickhams Cay, Road Town, Tortola, British Virgin Islands for the purpose of incorporating an International Business Company under the laws of the British Virgins Islands hereby subscribe - our name to these Articles of Association the 3rd day of October. 1997 in the presence of: Subscriber 19 |
Exhibit 3.104
![]() | 1 = 1 ~1~11;;-11=::11 ~, 1 :::;H =- 11 1lfu- 11 11.::; 11 11= 11 11= 1 11 =u =ll=llf 1 H = 11 11 = 1 • 1· 11=ll=n.;.;.. 111=n=u =i 1 =11 =11 =iT=IT=IT=IT.:.:TI=ii=TI-==ii~TI=Ti~TI~TI=ri:;;Ti::tii~t'TT=tii=ii==TI=TI~TI~i'i;.;T~,t=,~TI";;j s: =,I: = = =i =ll:fl::::11:::, = = =H:U:1 =fl.::rls;:;:ll::::ll-::::ll:::U=11:::(!:t1:u:i1:lj:11:11:11:n=.1t=tl=ll::::ll:11::.:.11=11:11:=.U=ll=I ~--... ;:: IT ~ • ~ ~rr~W[fiM11gii~fr~rrMrr~1M11Mff M:fft=rMftMiiMftmr~ffg:fnH1MTI!1rrM:,rnmmM11Mii:~ffi!!=rn=~= _g=.!!= g= J!= ~=JJ,~f JJ=iJ:!fil!7!!= ~ . • ~ ~ IT ~ .Alf, ~ 7!!~!!*!!~r.=!!~!!.i7ll~f.=!!;;!!~!!~!!rr!!f;=t!.;;=!!f.=!!;7f!~.m=rn ~11~u;:u:7n~11~u~11~ 1,;; 1J~11~t1M 11&TT~11M11JJ11~ u~nJ!!~11~11k11~ ~ Jlr. ~ ! - ~" ~ T''ii"IT"ii''ii11 iiUITUITIIIT"ii''it"iT"ii11 ifU rr-•rn 11-11 .,, u-u-11--=-n-n-••-u-11~11=11=11::=u.::::; 1==1r=.:;11:=:11=u=11;;.;u:;;.u-fi:;;;::;u;: ~I!~ j IT ~ 1 • ~ ~gw~rrJiwg"~IT~IT~W!brrEff~ITgrrgrrgITgrrgwMffg#g #M::Mff~ITg#M#~#MfiMfiM#M::g*Mmi#~TIM::~TigTI!J#M¥i~#M#!#~i ~ ~ l 1 -, .::;j 1=11=11 =ll=I t=II =!1.::11=n=11 = II =11-=-11:::::1 !=11:=I •=H =! ,~11.~11=1\~U ~ll '.""'!1---ll~H----u~ 11-;1-, I•• u~~,,-11-11-11-1 t=U= 11=! I= 11::::u= 11-1 : cH =u =t1=11=u:::1:=11==11=11=B=H~II = -jj-ii-ii-11-11-11-11-n-u 1 1-Tt; =.!!=.u .. .::u =U=ll=II ::.U==U=II =tl=tl=ll=l I =t1:::1 !' ii-TI-TI-1T= Ti:::. ft=ii=TI=ii=fi.:;;. -TI-T 1:,·d!-!.!.- -u.:::::!!=!!=I1=11=u=11=11=11=n=11=ll=H=II;:;: TERRITORY OF THE BRITISH VIRGIN ISLANDS -:iT:ii=ii=ll=U=U=11=11=n.:::11::u.: 1.:;:ff=iT= -..!.-!!-!!· l!-il-l!-!!=!!.-!!=I1 =ll=fl =n=11-!!=H=U= .11=11=1 l=ll=ll=U==I 1:11=11= II= I :U=ll=I 1-U-11 - 1 -11--U-H -tl-U-11 =11=11=11 =U::=IJ-l l=U:::11 -n-u-11-I1-11-11-11-11-n-1 ,- 1-11-u- ::1 !_!. =1,!l=,. !!. l!.==!!=!!=!!=!!=!!=11=!!=!!.=!!=!!=!!=!!=!!= THE INTERNATIONAL BUSINESS COMPANIES ACT .11=11-TI=-TI=Ti=ii=ft=ii::ii=«-T :ii=tt-T l..-__ - ..!.- 1 -!!-!!-.!!-!!-il-!!.-=H-11-11-U-11-lt-U-11 =U=11:::::Jj=Jl=ll:::ll=rl=ll=lf=lf: I:11:U: -!1-!.!.-H ~ .. ~-!i-!!.-li-rl-!!=!!.=U=ll=ll=!!.=!!=ll_=,r-11 (CAP.291) 1:11=11=.11=11=11=11=1t::tl=ll=t1=1 :U=U=I !!- 1 J !!-!l"-:', -!!-!!-!!-!!=!!.=!1-U-11=11=11=11-!1-U-ll=U=11=11=11=, =u=11=1 n~u=11=n=u=11::-11-::: fl=11= 11=11=11=H=11=11=11=11=11=n= I=u=n= - .1-i!.-!!. l!.-!l-!!-!!-!!-·!!-!!=!!=!!.=U=-ll=!!-!!=:=!!.=!!.=tl::1'-"-"-"·-•·-•·- • -••- ·· ·· ·· ·· ·· · · - .. -· ' .. 1=11=11:::U=I :lf::::fl=I 11-11-J I_, • ll-U-U-U-11-ll-U-1!-U::::ll=lf-fl-,h-11-11:::H -11-11-11-11- 1-11-1 t~ =1M==11!!=11.!! ~..:::!!=II=_!!=!!. !l=.!!=,!!=!!=!l-!!=!t=!!=!!=!!==!!= CERTIFICATE OF INCORPORATION (SECTIONS 14 AND \5) i=ii=Ti=ii=i :TI::TI-T - -· -11-11==11-11-11-U-II-JI-II-II-U-ll-11-11-11-II -11-1 1-11-11- r-11-11- =U=ll=JI ll=ll=H=ll=U=U=ll=ll=u=u=u=t1=n=u=11=u=: --- -1.-- - - - --- - - - 'l:::U=II: =U=fl=••-11 -••- 11-"-''=tl-11-u-11-11-11-11-11 . , 1-11-11-11-1 -11-11-1 ~~rr"IT!!' ~ff!!ff ! !!=E =E=rr =JI =tt=.IT =IT =IT=E=n !..!ig_rrg_rrgTI:.r=It=ITgTif TI~n~o~n.!.! rt:1:n::::i 1=ri~TigTIMTign~TigTI=TI=ftJ!oM, ,MTIM1 !nMn~r -1•-11--, •. ·--11--1 No. 251407 ii"!!.-.!L,!!it~.!!-,.!!-1,!!.-1!! ~1,li-.,H-IIII-, U-,, ll-1, 11-., 11-,,11-,, II- •• II-,, II=,, U:::,, II==, 11:-:1(= ll=11=11=11=I1-::-11-=11::;;ll:;:ll==ll=ll=11=11=1i=r1: l=tl=lt== j.!jj-ii..!: '!if-ii- =• ~· - ·- •-• - - - - ·- - - - - - - - - · · · "-· I:11::;;11=n=11=n=I =n==u=I ::ii =IT ~1: IJ=fi'=~ . . . . . . =.!!= !!= !!= l!= .!!=II= 1-,!!= _!!= l=U=II::: ::ll=U: The Registrar o:f Companies o:f the British Virgin Islands . HEREBY CERTIFIES !-!!-!!-!!-!!-.!!=! =.!!-J!-! =ll=ll=U· 1-11-11 ~ 11-11-U-11-tl-11- 1-11-H- l=ll=fl=: =ii=ii: _ _ _:!-,!!=!!:::!!=!!=!!=J =1!=.!!=! =U=ll=II, ~:::U:=11 pursuant to the International Business Companies Act, Cap. 291 that all i.!.!ii.!.!.ii.J.!T1!!- 11!!- 1 1!!- 1,l!- 1 r!!- 1 h-1 -!!- 1 ,.!!- 1 1-n-11-1 ·11:::11- - ~- - t- -· -, - t- -ii-IT-iT· r-IT-ii -11=u=11=11.=u~ •=11=1t=- IrrMffMr{ IgIT~TI the requirements of the Act in respect of incorporation having been satis:fied, ITMTigTI.!!TIJJni rn.ullf~ 1:::11:11=: .::tj:::JI= . -!!-.U-1!-.!!-! :!!-!!=! ::11:: 1 _ 11=11: ll=ll=ll=:11=n=11-n-u=11=u=n:::u=it=1t=11=n=11 = WESTVILLE MANAGEMENT CORPORATJI O·l\..r -1-1.:.:-11.!!1-1.:.:.ll"""l'""""IJli-11!!-1<l!-11l!-111!·1 !-1,l!-1 1!!-, 1- t-11- -I1-n-11 -U-U-11-il-tl-11-1•-••-"-"-"-II-"-- "' '1.... - - - - •- - - I- - - - - t- ::TI' =iT=TI: iT =if =ii:: -••-- .. --=l!=.!l=.!!=.!!=l!=!!= l=l!= .!!= 1-11-11- -11-u-11 1-U-11-11-11-lt-1 ;11-U-1 :::ii;;::;IT=ii; ~=IT=ii~ is incorporated in the British Virgin Islands as an International Business =!!.=!!=l!=!!-!!-!!= 1=11=11= 1::-:U:::11::::1 =I I :::1 I= !-!!-!!7!!-.!!-!!-I :U:U= I =u=1I=n: 11=11=11 . -- _ _ ~ . + _ -~ _ _ , _______ -!!-!!-!!-!!-!!-!!= 1=:11:=11::; t=ll=l\=::I =11=U= Company this 3rd day of October, 1997. l!- 11!!-!!.- 1 ll-!.!- 11!.!- 1 .!!- 11.!.l-J.!-ll-11-~ -.!!-!!-!!-!!-.!J-.!!-..!-.!.!-!!-!!-J!-!!-1 ::ll=U=I, -11-•1-11- 11-•1-11 1 - -U-1 -11- -1 - -ll-11=I1-11-11-11-!!-IJ-ll-ll-ll-11-11-U-11-li-U: l=lt=H::: - _ ~!.. - ~- _ -.!... - _ ~ ..... ..._ ll-=ll:::t1:=U=ll:::11=:11:::11=l~ll=ll=!1=11::::ll=ll:::U=U=H=U:ll:J1::Jl=tl=H=l :U=U=t• JEgITgit [gIT!!rri.:. -~ ,. \ -;y, .. (:~ ... --· =- j . '~~: •:. 1=IT==IT=1, .. :~!! =IT=IT~ITf ITgii=ITgTTgri.!.!ff ~rru ITgrr.Mn~fi utiMTill.TIJlITMriMftMfigiiJJn!!·TIJJnJfrrJJfi.!!fiMTI 1 11g1 ~=JJ:'. 1= 11= it= ±iiMrr1hr! JMrrM• 1 .. ~~~~)\,~f,1>-· "rrMTTMiiMrr.Y:rr!h1Mrd:~ff Mif!!11!!.0 ~ff M ~!!~!!;;!!~1.1 ~11;; 11~.u~!!7:t1~i 1;; u:; 11:::; 11.~11~11;:Ir::!!=!!= .!!=!!= .!!-!!1!!~!!1 1M!!.M 11~ Jif !:hrrnti fgii1 :.:t~f,Pt1 ;~~:~:z(.-; .: ;, ~ : rrnMff 11 ,M:rH~rr~FMrrM=!l=!b=!!=u· . [MnJJ 11~:uMn~n!!:u!!:uJ 1M11~~ l=!!=!!=J =!!= -:~:-- __ ;,,<_i,.;r,.,-=-:,:.,::::'!'~·',·--;~ 'l=!!=.!lh.!!=!!,=ll:bu::::11~uM11grdlrr Given under my hand and seal at -:!•o.!JrJirrMii~TIJJ.1:M1l ·.!!-.!!-11 -,~-1-!i, 1 -bt: 1 1-, 1 ! _,-.._,: '•~:-":'·".f1~ 3 ·;,. ·:'-~~·> _::,;·,' c:t.-!!·-!!-r!!- 1 !!=U.=!.!=!!=t1=!!=L!= 1=11=11:::u:11J:11:bi 1TI.!!iiJffi I ' . , .. --c ,, .. , ,, . ,,,,,- ... -U-11-11- 1- - - - - - -· . . .. - - - - - - - - - =!!.=!!.==Lli l!=l -::~""";lea:::;/~:m· '1f~~ -t=!!=!!.:::!!=!!!!uP=!!.JJ!lgU.g_!!gllJ; Road Town, in the Territory of the illilMttMiTbh1MTI~i ~iT~frMTI !-!!-!!- !!·, -:-.' ~~,;:'.:.:: . .., --· ·. ~ef. ,_ :-!!-!!.-!!.-!!-!.!-!!.-!!--!!-!!.-!!.:=!! :1J=11:::11:::::11=t1:=:II= 1=11=11::: -!!.-:-.!!-:"!! ~ - !:. · 7tl ~·' ;-·,;.: 0 ·: .,,~,,. --;:;.:~--- !!-!!.-!!.-!! =!!-!!.-!l-!!.-11-11-11- · · , , - 11-1•:;.;;u-u-, 1;;:;::.1 i=II= t1= 11::: H= 11= I :11=11:::11 !- 1 .!!- 11 !.!,·: - 1 !!- 1 ·-~~~--~t_:~"·;:''"-:;\,::: l!-!1-!!-!!.-!.!-!!-!!.-!!-.!!=!1=11=-11 British Virgin Islands ll=ll:::U=li=li=U:::U=ll:::U::::ll=ll=I!:. 1=ll:::fl::; -,...!.-11--,1!.I.: J.-!..~ -~~~:• ·-,_~;~-§,~~ .2-!!-!!-!~-!!-ll-!l-!!.-![-!!_-!!.=!!_:.:: :::11=11= 11:11::::11=U=ll:::ll=ll=lt=t1: I ::11:ll=II - - _, -1!"-h ,,,, ., ·, ~ , -11-U-11-1!-l!=tl-JI.- -U- _ _ - - - - - - - - - - - • - - - TgTigIT~: 1 ~11M:rr =u' ~~,~4-~ if,~~ ~ ,1Jrr!!:11 !!ffMrrMrrMrr~if ~ff Mo~ffg~!!#ITTI!!rrITlf'. 101!~TI7Ti1fff =ii=ii~TI!hrJJTI~TigTIMTIMTillnMnMrr~TIJ.!} f TI nIIgTI =U=1-U=U· 1l =.11-11 =t ~ . ' ---< ~---· -=ll=ll=ll=n::::U=l!=Jl=U =U=ll=-11=11 =IT::::IT -ii=IT :- i::: ~--;-;l.11':- !!rrl!ngnl!n.!!fil!ii!!TI.UTI!!ii.!!i !7i.ll.jj!!jj .!.~ := 1 11= :-:u-:-:11:::;:11:::.11 -,1 --- - ,..;.11:11=11=t1=11=11=11=11=11=11=11=n=-•1-•·- ~ -,1-- 11 -,1=11--11--,1--,•-•t--,1--1 1 - ~ 1 -, 1 - -1 t- l- [- -n-11 ~11- 11 - 11 -11-11-•1-11-11-•1-11-1 -1 · - - - - - ,_, - - - _, - - -- - - - -_-,!_ _____ !...____ - ~ - =U=U::U:::U=U=ll=II-'"-"'-• -•- ·· ~11 !- _ __._.___ ~-!!=!!-.fl-!!-ll-!!.- I· 11=11=11= II= ll=ll=lt= II · ·= -,! ~ • ~ CRTI00lD U.-!!-!!-!l=!!.-ll-!!-J =i F P l=U:;:::U=U=H=B::::H=U= ~ ~ n - ~ (. ~ -11-11-11-11-l!- 11 -11- 1: -11-11-11-11-11-u-u-H • ~ - =! ~ I ~ u.=!!=!!=!!=!!.=!!-!!=!.!.-!!.-!!_-.l_l-U=I - ii'=TI=iT=ii=ii=ii=tt=ii=ii= ~ I(. I !- J ~ !_!!_.'!_!!_!!._!i_ll-!!-!!.-!.!.-.!!-!!.-1!-!!-!!. .. -!.!.-!!.=!.!_: ,- -•~11=n::: I•=11::::1!=11=U=ll=ll=U=:11::::l1 ~ ~ : 1 ~ ~ ~ -U-P-11-11-11-U-H-11-11-11-11-11-11-ll-11-11-11-1,-.. - .i:11___ ,=n:u:;~1 ,1~11~11!,"11-u= ~11':!"11~n=n== ~J ~ ~ ::.1 ~ ~ =u=u =11=11=11=11=u =n =II :::11=11==n=1i=1f= 11=w-11:::11.::11.::11::::::11 =11 =11 :::11= 1::::: 11= 11~T1=1 •:: ,1= 11-=i 1~ 11.:..: 11~n,!.! u.:..: 11.:..:.11.:..:.fF-n.!.!rF"' ~ ~ 1 !1 ~ff~1Mrrllfr!ljjgif ~if !!~ff~~J,!!ff!!ffgIT~ITg,.gff !!.fiMftMrrMii~fflbftMif grr~nJffi!!11.!!fi!!Tf l!fil!fi!!ff TinTITI!!nTifiTI111Ittif TITITITin] \ : !;..!.!.ii .;.;.~!!77!!:=!t~l!;:H:-lf~l;;:H.:;:ll;;:!(_;;t! ~11;;:U;:l l~l l~l l;;:U =U=U=l 1 =11=11 =I I :::11:::;n= 11= 11::: ii::: ii:::Ti=11= "ii=TI,... ii- 11 -li=="ii~ Tt -Ti •ii-'ii-ii. . .,!! |
Exhibit 3.105
![]() | FORM NO. 2 ~ ~ BERMUDA THE COMPANIES ACT 1981 MEMORANDUM OF ASSOCIATION OF COMPANY LIMITED BY SHARES (Section 7(1) and (2)) MEMORANDUM OF ASSOCIATION OF SEADRILL A/S LTD . . . . . . . . . . . . . . . . . . . . . . . . . . . . . . . . . . . . . . . . . . . . . . . . . . . . . . . . . . . . . . . . . . . . . . . . . . . . . . . . . . . . . . . . . . . . . . . . . . . . . . . . (hereinafter referred to as "the Company") I. The liability of the members of the Company is limited to the amount (if any) for the time being unpaid on the shares respectively held by them. 2. We, the undersigned, namely, NAME WILLIAM MILNER cox MICHAEL LLEWELLYN JONES DOUGLAS HARVEY PULLEN ADDRESS BERMUDIAN STATUS (Yes/No) ''Mayflower" Yes Mayflower Drive, Middle Road, Devonshire, Bermuda Limerston House, No Trinity Church Road, Bailey's Bay, Hamilton Parish, Bermuda ''Ridgemount'', No Harrington Hundreds, Smith's, Bermuda NATIONALITY British British British NUMBER OF SHARES SUBSCRIBED 1 1 1 do hr.reby respectively agree to take such number of shares of the Company as may be allotted to us respectively by the ')rovisional directors of the Company, not exceeding the number of shares for which we have respectively subscribed, and to satisfy such cails as may be made by the directors, provisional directors or promoters of the Company in respect of the shares allotted to us respectively. |
![]() | I I 3. The Company is to be an exempted/locaH Company as defined by the Companies Act 1981. 4. The Company has power to hold land situated in Bermuda not exceeding in all, including the following parcels- None 5. The Company pi<JjXJtiesx' does not propose* to carry on business in Bermuda save as permitted by Sections 129 and 129A of The Companies Act 1981 (''the Act"). 6. The authorised share capital of the Company is US$ 1 2 , 0 0 0 . 0 0 divided into shares of US $1. 00 each. The minimum subscribed share capital of the Company is US $12,000.00 7. The objects for which the Company is formed and incorporated are - 1. To carry on the business of a holding company in all its branches and to co-ordinate the policy and administration of any subsidiary company or companies or of any group of companies of which the Company or any subsidiary company is a member or which are in any manner controlled by the Company. 2. To construct, hire, purchase, lease or otherwise acquire and work ships, barges, hovercraft, hydrofoils, drilling rigs, both floating and jack up, submarines and other vessels or crafts of any kind or class intended to operate in over or under water. 3. The objects set out in paragraphs (b) to (n) and (p) to (t) inclusive of the Second Schedule to the Act. 4. To enter into any guarantee, contract of indemnity or suretyship 'and to assure support or secure with or without consideration or benefit the performance of any obligations of any person or persons and to guarantee the fidelity of individuals filling or about to fill situations of trust or confidence: PROVIDED that this shall not be construed as authorising the company to carry on the business of banking as defined in The Bank's Act 1969 or the business of wholesale banking or financial guarantee business or the business of promissory note operations. 8. The Company shall not have the power set out in paragraph 1 of ..the First Schedule to the Act. *Delete as applicable. |
![]() | Signed by each subscribe4i the presence of at least one witness attesting the signature thereof - I . I; ; ' ··.~ r ......... Ji.¥ . . . . : . .. ·······... .. . . . . .. . . . )p,:v\c. I \\:::\l_':: \:C:'. ......... . WI A MIL ER cox ! ! -A ' "- \ - I , ,, - __;, !\ l \.._ 'V--\ ___ I ~ \__'--'J ~ \__, "'--' ······~············t···································· ') ~ ' < ..... )\S.\'.\~~.\L\\0..~~·~·--·····-- ~- J DOUGLAS HARVEY PULLEN .............................................................. (Subscribers) (Witnesses) SUBSCRIBED this 14th day of June 19 90 |
![]() | THE CDMPIINIU IICT 1981 (SECTION II (1)) Subject to ony proulslon of the low II compony limited by shores sholl without reference In Its memorondum houe the powers set out In the First Schedule unless any of such powers ore eHcluded by Its memorondum. FIRST SCHEDULE A compony llmlted by shores moy eHerclse oll or ony of the following powers subject to ony proulslon of the low or Its memorondum - t. to corry on ony other business copoble of being conuenlently corrled on In connection with Its business or likely to enhonce the ualue of or molelng profltoble ony of Its property or rights; 2. to ocqulre or undertolee the whole or ony port of the business, property ond llobllltles of ony person corrylng on ony business thot the compony Is outhorlzed to corry on; 3. to opply for register, purchose, leose, ocqulre, hold, use, control, licence, sell, osslgn or dispose of potents, potent rights, copyrights, trode morles, formuloe, licences, lnuentlons, processes, dlstlnctlue morles ond slmllor rights; 4. to enter Into portnershlp or Into ony orrongement for shoring of profits, union of Interests, co-operotlon, Joint uenture, reclprocol concession or otherwise with ony person corrylng on or engoged In or obout to corry on or engoge In ony business or tronsoctlon thot the compony is outhorlzed to corry on or engoge In or ony business or tronsoctlon copoble of being conducted so os to benefit the compony; 5. to toke or otherwise ocqulre ond hold securities In ony other body corporote houlng objects oltogether or in port slmilor to those of the compony or corrylng on ony business capoble of being conducted so os to benefit the compony; 6. subject to section 96 to lend money to ony employee or to ony person houlng deolings with the compony or with whom the compony proposes to houe deollngs or to ony other body corporote ony of whose shores ore held by the compony; 7. to opply for, secure or ocquire by gront, legislotiue enoctment, osslgnment, tronsfer, purchose or otherwise ond to eHerclse, corry out ond enjoy ony chorter, licence, power, authority, fronchlse, concession, right or prluilege, thot ony gouernment or authority or ony body corporote or other public body moy be empowered to grant, ond to poy for, old In ond contribute toword corrylng It Into effect ond to ossume ony liobllltles or obllgotlons incldentol thereto; a. to estobllsh ond support or old In the estobllshment ond support of ossoclatlons, institutions, funds or trusts for the benefit of employees or former employees of the compony or Its predecessors, or the dependonts or connections of such employees or former employees, ond grant pensions and allowances, and make payments towards Insurance or for any object simllor to those set forth In this porogroph, ond to subscribe or guorontee money for choritoble, beneuolent, educotlonol or religious objects or for ony eHhlbltlon or for ony public, generol or useful objects; 9. to promote ony compony for the purpose of ocqulrlng or toking ouer ony of the property ond llobllltles of the compony or for ony other purpose thot moy benefit the compony; |
![]() | 23. to distribute among the members of the company In cash, kind, specie or otherwise as may be resol11ed, by way of dl11ldend, bonus or In any other manner considered ad11lsable, any property of the company, but not so as to decrease the capital of the company unless the distribution Is made for the purpose of enabling the company to be dlssol11ed or the distribution, apart from this paragraph, would be otherwise lawful; 24. to establish agencies end branches; 25. to take or hold mortgages, hypothecs, liens and charges to secure payment of the purchase price, or of any unpaid balance of the purchase price, of any pert of the property of the company of whatsoe11er kind sold by the company, or for any money due to the company from purchasers end others end to sell or otherwise dispose of any such mortgage, hypothec, lien or charge; 26. to pay ell costs end eHpenses of or incidental to the Incorporation end organization of the company; 27. to in11est end deal with the moneys of the company not immediately required for the objects of the company in such manner es may be determined; 28. to do any of the things authorized by this subsection end ell things authorized by its memorandum es principals, agents, contractors, trustees or otherwise, and either alone or in conjunction with others; 29. to do ell such other things as are incidental or conduci11e to the attainment of the objects and the eHerclse of the powers of the company. E11ery company may eHerclse its powers beyond the boundaries of Bermuda to the eHtent to which the laws in force where the powers ere sought to be eHercised permit. |
![]() | THE COMPANIES ACT 1981 (SECTION 11 (2U A compeny limited by sheres mey emongst Its objects by reference include In Its memorandum eny of the objects set out In the Second Schedule. SECOND SCHEDULE A company may by reference Include in its memorandum eny of the following objects that Is to say the business of - (e) insurance end reinsurance of ell kinds; (b) peckeging of goods of ell kinds; (c) buying, selling end dealing in goods of ell kinds; (d) designing end manufacturing of goods of ell kinds; (e) mining and quarrying end eHploretion for metals, minerals, fossil fuels end precious stones of ell kinds end their preparation for sale or use; (f) eKploring for, the drilling for, the mouing, transporting end refining petroleum end hydro carbon products including oil end oil products; (g) scientific research Including the lmprouement, dlscouery end deuelopment of processes, lnuentlons, petents end designs end the construction, maintenance end operation of leboretorles end research centres; (h) lend, see end air undertakings including the lend, ship end air cerrtage of passengers, malls end goods of ell kinds; (I) ships end eircreft owners, managers, operators, agents, builders end repairers; (j) acquiring, owning, selling, chartering, repeiring or dealing In ships end aircraft; (k) trauel agents, freight contractors end forwarding agents; (I) dock owners, wherfingers, warehousemen; (m) ship chendlers end dealing in rope, cenuas oil end ship stores of ell kinds; (n) ell forms of engineering; (o) deueloping, operating, aduislng or acting es technlcel consultants to any other enterprise or business; (p) farmers, lluestoclc breeders end keepers, grezlers, butchers, tanners end processors of end dealers In ell kinds of llue end deed stock, wool, hides, tallow, grain, uegetebles end other produce; (q) acquiring by purchese or otherwise end holding es en lnuestment inuentions, patents, trade marks, trade nemes, trade secrets, designs end the llke; |
Exhibit 3.106
![]() | FORMN0.3a BERMUDA CERTIFICATE OF INCORPORATION ON CHANGE OF NAME Registration No. EC15674 I HEREBY CERTIFY that in accordance with section 10 of the Companies Act 1981 . . DUAL OFFSHORE LTD. by resolution and with the approval of the Registrar of Companies has changed its name and was registered as ENSCO Maritime Limited on the 21st day of June, 1996. Given under my hand and the Seal of the REGISTRAR OF COMPANIES this 25th day of June, 1996. |
Exhibit 3.107
| MTR□ . PEDRO RUIZ HIGUERA Notari □ Public□ Nun,ero SD Guadalajara .Jalisco === ESCRITURA PUBLICA NUMERO 4,418 CUATRO MIL CUATROCIENTOS DIECIOCHO. ===== ==TOMOXVI DECIMOSEXTO. ==================== === LIBRO 10 DIEZ.======================= --- En esta ciudad de Guadalajara, Jalisco, siendo el dia 20 veinte de Diciembre del aiio 2018 dos mil dieciocho, ante mi, Maestro PEDRO RUIZ HIGUERA, Notario Pliblico Titular nlimero 60 sesenta de esta Municipalidad, (Sub-Region Zona Conurbada}, compareci6 ANDREA ALTAMIRANO GUAJARDO y me manifesto que es su deseo hacer constar los siguientes actos juridicos ------------------- -- PRIMERO.- La protocolizaci6n del PODER ESPECIAL otorgado en Londres, lnglaterra, ante notario publico del Reino Unido de Gran Bretana e lrlanda del Norte por la sociedad denominada ENSCO HOLDCO LIMITED, mismo en el que se nombra a la compareciente como apoderada especial.------------------ - SEGUNDO.- La protocolizaci6n del PODER ESPECIAL otorgado en Landres, lnglaterra, ante notario publico del Reino Unido de Gran Bretana e lrlanda del Norte, par la sociedad denominada ENSCO OFFSHORE U.K. LIMITED, mismo en el que se designa a la compareciente coma apoderada especial. -- TERCERO.- La CONSTITUCION de una sociedad mercantil con arreglo a las Leyes mexicanas, denominada ENSCO MEXICO SERVICES, SOCIEDAD DE RESPONSABILIDAD LIMIT ADA DE CAPITAL VARIABLE, misma que es constituida en este acto par las sociedades extranjeras ENSCO HOLDCO LIMITED y ENSCO OFFSHORE U.K. LIMITED representadas par su apoderada especial la Licenciada Andrea Altamirano Guajardo. ---- --Lo anterior, de conformidad con las siguientes declaraciones y clausulas: ---------- - PRIMER Y SEGUNDO ACTO JURIDICO.- PROTOCOLIZACIONES: ----------- ------------DEC LA RAC IONE S: ---------- -·- 1.- Declara la compareciente que con fecha del dia 23 veintitres de Octubre del ano 2018 dos mil dieciocho, la sociedad ENSCO HOLDCO LIMITED , otorgo un poder especial en Landres, lnglaterra, ante notario publico del Reino Unido de Gran Bretana e lrlanda del Norte, mismo que se encuentra firmado en 2 dos idiomas (ingles y espaiiol} y debidamente apostillado en el que se design6 a la compareciente coma apoderada especial para acudir ante Notario a formalizar la constituci6n de una sociedad mercantil con arreglo a !eyes mexicanas, el cual protocolizo transcribiendo a la letra: ---------------•--------• - "PODER ESPECIAL.- Poder especial para constituir una Sociedad de Responsabilidad Limitada de Capital Variable (S. de R.L. de C.V.} en los Estados Unidos Mexicanos (Mexico).-EI Poderdante: Ensco Holdco Limited ,una sociedad constituida y existente de conformidad con las leyes de lnglaterra, Gales, Reino Unido (la "Poderdante"), con domicilio en 7 Albemarle Street, Landres, Reino Unido, para los efectos que se establecen en la presente, representada por el Sr, Jonathan H. Baksht actuando en su calidad de representante legal de la Poderdante, por media del presente otorga PODER ESPECIAL pero tan amplio como en derecho proceda en favor de las siguientes personas:.-Carlos Omar Murillo Navarro y/o Andrea Altamirano Guajardo para ser ejercitado conjunta o separadamente, a fin de que a nombre y par exclusiva cuenta de la Poderdante, la representen, realicen y gestionen los tramites necesarios a fin de constituir de conformidad con la Ley General de Sociedades Mercantiles en Mexico, una sociedad mercantil mexicana, bajo el tipo de Sociedad de Responsabllidad Limitada de Capital Variable, adoptando el regimen de Capital Variable, bajo la denominaci6n social que sea aprobada por la Secretaria de Economia mediante el permiso correspondiente.-Para tales efectos, los apoderados podran: elaborar las estatutos sociales en los que deberan establecerse la denominaci6n social, el objeto social, domicilio, duraci6n, quedando expresamente facultados Av. Arcos #267 Colonia Arcos s!r. Guadalajara. Jalisco C.P. 44500 Tel. 1B 13 66 11. 1B 14 33 Bl. correo elecl:r□ nico informes@!nol:aria60gdl.com 0 C ~ .., w b 0 |
| para insertar y aceptar la renuncia y convenlo a que se reflere la fracci6n I del Articulo 27 Constitucional, conocida como Clausula de Inclusion de Extranjeros, asi como las clausulas relativas al capital social, pudiendo, suscribir y pagar a nombre y por la exclusiva cuenta de la Poderdante, 1 (una) parte social representativa del 99% (noventa y nueve por ciento) del capital social de la nueva sociedad, con valor total de $19,800.00 (Diecinueve mil ochocientos Pesos 00/100 Moneda Nacional), constrifiendose a lo establecido en la Ley de inversion Extranjera.-Asimismo podran determinar los demas estatutos que regiran el funcionamiento intemo de la Sociedad; asi como la manera conforme a la cual haya de administrarse la Sociedad y las facultades de las Gerentes y administradores, pudiendo designar las personas que habran de dirigir la sociedad como miembros del Consejo de Gerentes, y demas funcionarios y apoderados, confiriendo las facultades, poderes y limitaciones que estimen pertinentes, en el entendido de que cualquiera de dichas designaciones podra recaer en el a las representantes legales de la Poderdante; asimismo, sujeto a las limitaciones de ley, podra acordar las restricciones que estime necesarias para la transmisi6n de partes sociales.-De la misma forma se autoriza a los apoderados, para que conjunta o separadamente comparezcan ante Notario Pliblico de su elecci6n, a formalizar la escritura constitutiva respectiva y protocolizar los poderes que al efecto se otorguen. Los Apoderados no podran sustituir el presente poder, ni delegar sus facultades en terceras personas.-EI presente poder se entendera aceptado por el simple uso del mismo par parte del ode los apoderados que aqui se designan. - YO, WENDY YUK WAH SYMON , en mi caracter de Notario Publico para el Reino Unido, en este acto.- DOY FE: ------ 1. Que conozco al compareciente en el presente instrumento y que tiene capacidad legal para otorgar este documento.-11. Que el compareciente tiene efectivamente la representaci6n de Ensco Holdco Limited y que dicha representaci6n es legitima en virtud de ostentar el cargo coma Director de la Poderdante. Que he realizado una busqueda en el Sitio Web oficial del Registro de Sociedades para lnglaterra y Gales, del cual se desprende lo siguiente: a) La Poderdante es una sociedad formada y legalmente existente de conformidad con las Leyes de lnglaterra y Gales, y mediante la cual se evidencia su debida y legal constituci6n.-EI acta y los articulos de asociaci6n de Ensco Holdco Limited incluyen, dentro de la facultad de los Directores, la facultad de otorgar y conferir poderes con facultades iguales a aquellas del poder otorgado bajo este instrumento y que el objeto materia del presente poder se encuentra dentro del objeto social de la Poderdante. Asimismo, dicha acta y artlculos de asociaci6n establecen que el domicilio social encuentra en londres, Reino Unido. c) El Sr. Jonathan H. Baksht es designado Director de la Compania a partir del 21 de abril de 2017.-111.Que la Seccion 44 de la Ley de Sociedades 2006 establece que cada director de la sociedad podra, conjunta y solidariamente, obligar a la sociedad con su sola firma en presencia de un testigo.-lV, Que el representante, bajo protesta de decir verdad manifesto que su nombre coma aparece en su pasaporte es Jonathan Baksht, tambien conocido come Jonathan H. Baksht, mayor de edad, de nacionalidad americana, nacido en Mexico, con domicilio 42 Blenheim Terrace, St Johns Wood, London NWB EG.-V. Que el representante me manifesto bajo protesta de decir verdad que las facullades con que comparece no le han sido limitadas a revocadas, y que no ha variado la capacidad legal de su representada para otorgar este acto. VI-Que este instrumento se otorga en los idiomas ingles y espanol y que manifesto expresamente el compareciente que aprueba la version en espanol, ya que esta es una traducci6n fiel y correcta en todos sus terminos, de la version en ingles.-VII. Que el compareciente se ley6 a si mismo el presente documento, en virtud de contar con una traducci6n al idioma Ingles, y manifestando su conforrnidad con el contenido del mismo, lo firrna ante mi el notario, todo de lo cual doy fe. ---------------------- 2 |
| MTR□ . PEDRO RUIZ HIGUERA N□ tar-i □ Public□ Numer□ 60 Guadalajara _]alisco -Firmado 01 PODERDANTE (GRANTOR) una firma ilegible.- Ensco Holdco Limited Representada per/Represented by: Sr./Mr. Jonathan H. Baksht. ------------------ ---El anterior instrumento, fue firmado y ratificado ante mi por el Sr. Jonathan H. Baksht con el caracter arriba indicado, en este dia 23 de octubre de 2018. En fe de lo cual y para certificar lo anterior, plasme mi firma y sello de Notario. Doy fe.---------------------············------- •-- VERSION EN INGLES-------------------- - "SPECIAL POWER OF ATTORNEY.-Special power of attorney to incorporate a Sociedad de Responsabilidad Limitada de Capital Variable (S. de R.L. de C.V.) in the United Mexican States (Mexico). The Grantor:-Ensco Holdco Limited, a company duly organized and existing according to the laws of England and Wales, United Kingdom (the "Granter"), with its domicile at 7 Albemarle Street, London, United Kingdom, for the purposes established hereof, represented by Mr. Jonathan H. Bakshi in his capacity of legal representative of the Granter, hereby grants and confers a SPECIAL POWER OF A HORNEY as broad as permitted by law in favor of the following attorneys in fact:-Carlos Omar Murillo Navarro and/or Andrea Altamirano Guajardo.- to act jointly or separately in representation and on behalf of the Grantor, to carry out and to perform the procedures necessary to incorporate a Mexican commercial company according to the General law of Commercial Companies in Mexico, as a Sociedad de Responsabilidad Limitada, adopting the variable capital regime, under the corporate name to be approved by the Ministry of Economy pursuant to the corresponding permit.-For that purpose, the attorneys in fact will be able to: prepare the articles of incorporation and by-laws, establishing the company's name, its corporate purpose, domicile, term, being expressly authorized to insert and accept the waiver and agreement referred to in Section ! of Article 27 of the Mexican Constitution, known as the Foreigners Admission Clause, as well as the clauses related to the capital stock, being able to subscribe or pay for, on behalf and in the name of the Granter, 1 (one) partnership interest representing 99% (ninety nine percent) of the capital of the new company, with a total value of MXS19,800.00 (Nineteen Thousand and eight hundred 00/100 Pesos Mexican currency), observing the provisions of the Foreign Investment Law.-ln addition, they will be able to draft the rest of the bylaws that organize the internal functioning of the Company and the manner pursuant to which the Company should be managed, as well as to determine the authority and powers that should be granted to the Managers, being able appoint the persons that shall govern the Company as Members of the Board of Managers, and other officers and attorneys in fact, granting the authority, powers of attorney and limitations that they consider appropriate, in the understanding that such appointments may fall upon the legal representative(s) of the Granter; and also, subject to the limitations established by law, they might agree on the limitations required for the transfer of the Company's partnership interests.-Likewise, the attorneys in fact are authorized to appear jointly or separately, before the Notary Public of their election, to formalize the incorporation deed and to notarize the powers granted.-The Attorneys in fact may not substitute in this power of attorney, nor may they transfer their authority and powers to third parties.-This power of attorney will be considered accepted by the simple use thereof by the attomey(s) in fact appointed herein.I WENDY YUK WAH SYMON, in my capacity of Notary Public for the United Kingdom, do hereby.-CERTIFY:-1. That I personally know the appearing party of this instrument and that he is legally capable to execute this document.-11, That the appearing party has authority to legally represent Ensco Holdco Limited and that such authority is legitimate and derives from his position as Director of the Granter. I have caused a company search at the official Website for the Registrar of Companies for England and Wales and it appears therefrom that:-a) The Granter is a company duly incorporated and in existence under the Laws of England and Wales, and whereby it 1s further Av. Areas #267 Calania Areas s8r. Guadalajara. Jalisca C.P. 44S00 Tel. 1B 13 66 11. 1B 14 33 Bl. carrea electronic □ inf□ rmes~n □ taria60gdl.c□ m 0 C <t ~ UJ 6 0 |
| evidenced its due and legal creation.-b) The memorandum and articles of association of Ensco Holdco Limited include the authority of the Directors to grant and confer power of attorney with authority equal to those of the power of attorney granted under this instrument, and that the subject matter of this power of attorney is within the scope of the purpose of the Grantor. In addition, such memorandum and articles of association state that the registered office of the Grantor is located in London, United Kingdom.-c)Mr. Jonathan H. Bakshi was appointed as Director of the Company as of April 21·, 2017;11I.-That Section 44 of companies Act 2006 sets out that each director of the company may, jointly and severally bind the company with their sole signature in the presence of a witness.-lV.That the representative, under oath to tell the truth, stated that his name as it appears on his passport is Jonathan Baksht, also known as Jonathan H. Baksht, above age, of American nationality, born in Mexico, with address at 42 Blenheim Terrace, St Johns Wood, London NW8 0EG.-V.That the representative stated before me, under oath to tell the truth, that the authority with which he appears before me has not been limited nor revoked, and that the legal capacity of the entity he represents to grant this act, has not varied.-VI.That this instrument is executed in both the English and Spanish languages, and that the appearing party expressly approved the Spanish version, as it is a true and faithful translation, in all of its terms, of the English version.VII. That the appearing party read the instrument for himself as it has a translation into the English language, and that manifesting his agreement with the contents thereof, he signs with me the notary, all of which I give faith.-The foregoing instrument was executed and acknowledged before me by Mr. Jonathan H. Baksht in the capacity herein stated, this 23 day of October of the year 2018. in witness of same, and to certify which, I sign and place my seal of Notary Public, Witnesseth.-Name of Notary Public.- Notario Publico para el Reino Unido/ Notary Public for the United Kingdom.-Mi patente concluye sobre la muerte/My commission expires on deatg.-Sello/Seal" --------------- -- Doy fe que el anterior inserto concuerda fielmente con su original, de donde compulse y tuve a la vista para su cotejo, dejando agregado un tanto del original a mi Libra de Documentos correspondiente a este tomo de mi Protocolo, de conformidad con lo dispuesto por el articulo 89 ochenta y nueve de la Ley del Notariado en vigor para el Estado de Jalisco.--------------------------- ___ 11.-Declara la compareciente que con fecha del dia 12 doce de Noviembre de 2018 dos mil dieciocho, la sociedad ENSCO OFFSHORE U.K. LIMITED, otorg6 un poder especial en Landres, lnglaterra, ante notario publico del Reino Unido de Gran Bretana e lrlanda del Norte, mismo que se encuentra firmado en 2 dos idiomas(ingles y espaiiol) y debidamente apostillado, en el que se design6 a la compareciente como apoderada especial para acudir ante Notario a formalizar la constituci6n de una sociedad mercantil con arreglo a !eyes mexicanos, el cual protocolizo transcribiendo a la letra: ----------------------- ___ 11 PODER ESPECIAL.-Poder especial para constituir una Sociedad de Responsabilidad Limitada de Capital Variable (S. de R.L. de C.V.) en los Estados Unidos Mexicanos (Mexico) .. -EI Poderdante:-Ensco Offshore U.K. Limited, una sociedad constituida y existente de conformidad con las leyes de lnglaterra y Gales, Reino Unido (la "Poderdante"), con domicilio en 7 Albemarle Street, Landres, Reino Unido, para los efectos que se establecen en la presente, representada par el Sr. Stephen Laurence Mooney actuando en su calidad de representante legal de la Poderdante, por medio del presente otorga PODER ESPECIAL pero tan amplio como en derecho proceda en favor de las siguientes personas: Carlos Omar Murillo Navarro y/o Andrea Altamirano Guajardo para ser ejercitado conjunta o separadamente, a fin de que a nombre y por exclusiva cuenta de la Poderdante, la representen, realicen y gestionen los tramites necesarios a fin de constituir de conformidad con la Ley General de Sociedades Mercantiles en Mexico, una sociedad mercantil mexicana, bajo el tipo de 4 |
| MTRD_ PEDRO RUIZ HIGUERA Notari □ Public□ Numero 60 Guadalajara Jalisco Sociedad de Responsabilidad Limitada de Capital Variable, adoptando el regimen de Capital Variable, bajo la denominaci6n social que sea aprobada por la Secretaria de Economia mediante el permiso correspondiente. Para tales efectos, los apoderados podran: elaborar los estatutos sociales en los que deberan establecerse la denominaci6n social, el objeto social, domicilio, duraci6n, quedando expresamente facultados para insertar y aceptar la renuncia y convenio a que se refiere la fracci6n I del Articulo 27 Constitucional, conocida como Clausula de Inclusion de Extranjeros, asi como las clausulas relativas al capital social, pudiendo, suscribir y pagar a nombre y por la exclusiva cuenta de la Poderdante, 1 (una) parte social representativa del 1% (uno por ciento) del capital social de la nueva sociedad, con valor total de $200.00 (Doscientos Pesos 00/100 Moneda Nacional), constrinendose a lo establecido en la Ley de Inversion Extranjera. Asimismo podran determinar los demas estatutos que regiran el funcionamiento interno dela Sociedad; asi como la manera conforme a la cual haya de administrarse la Sociedad las facultades de las Gerentes y administradores, pudiendo designar a las personas que habran de dirigir la sociedad coma miembros del Consejo de Gerentes, y demas funcionarios y apoderados, confiriendo las facultades, poderes y limitaciones que estimen pertinentes, en el entendido de que cualquiera de dichas designaciones podra recaer en el o los representantes legales de la Poderdante; asimismo, sujeto a las limitaciones de ley, podra acordar las restricciones que estime necesarias para la transmisi6n de partes sociales.-De la misma forma se autoriza a los apoderados, para que conjunta O separadamente comparezcan ante Notario Publico de su elecci6n, a formalizar la escritura constitutiva respectiva y protocolizar los poderes que al efecto se otorguen.-Los Apoderados no podran sustituir el presente poder, ni delegar sus facultades en terceras personas.-EI presente poder se entendera aceptado par el simple uso del mismo par parte del ode los apoderados que aqui se designan.-Yo, Grant Douglas McGregor, en mi caracter de Abogado y Notario Publico para el Reino Unido, en este acto-DOY FE:-. Que conozco al compareciente en el presente instrumento y que he vista personalmente una copia de su pasaporte, el cual confirma su identidad.-11. Que basado en la confirmaci6n del compareciente, el Poderdante es una entidad formada y legalmente existente con propia capacidad legal de conformidad con las Leyes de lnglaterra y Gales, Reino Unido. Asimismo, el compareciente me ha informado que tiene efectivamente la representaci6n de Ensco Offshore U.K. limited, asimismo me ha informado que dicha representaci6n es legitima en virtud de ostentar el cargo como Director de la Poderdante, segun el documento autentico que al efecto se me exhibe y quees el que enseguida se describe: Certificaci6n del Director de Ensco Offshore U.K. Limited de fecha 18 de septiembre de 2018 certificada por Grant Douglas McGregor, Abogado y Notario Publico, donde se declara, entre otras cosas, que el Sr. Stephen Laurence Mooney fue debidamente nombrado como Director de la Compania. asimismo se me exhibieron copias del Certificado de Constituci6n del Poderdante y el Certificado de Constituci6n por Cambia de Nombre (las cuales fueron declarados coma autenticos y correctos par el Sr. Stephen Laurence Mooney).-111.-Que tuve en mi poder el documento referido en la secci6n Ill anterior, en los cuales el Sr. Stephen Laurence Mooney certifica que el mismo fue debidamente nombrado Director de la Compania.- IV. Que el representante manifesto ante mi que su nombre es como el que arriba aparece, de nacionalidad britanica. donde naci6, con domicilio en 7 West Burnside, Laurencekirk AB30 1 UY.-V.Que el representante me manifesto que las facultades con que comparece no le han sido limitadas o revocadas, y que no ha variado la capacidad legal de su representada para otorgar este acto.-VI. Que el representante manifesto su conformidad con el contenido del presente documento, y lo firm6 ante mi, en esta fecha. Doy fe.- ------------------------------------------------------------------------------------------- 5 Av. Arcos #267 Colonia Arcos Sur. Guadalajara. Jalisco C.P. 44500 Tel. 1B 13 66 11. 1B 14 33 Bl. correo electronic □ inf□ rmes~notaria60gdl.corn e) 0 C <( .., w b 0 |
| ---Firmado: 01 una firma ilegible.- PODERDANTE (GRANTOR).-Ensco Offshore U.K. Limited.-Representada par Represented by: Sr/Mr. Stephen Laurance Mooney.----------------- ·--EI anterior instrumento, fue firmado ante mi par el Sr. Stephen Laurance Mooney en este dia 12 de noviembre de 2018.-En fe de lo cual y para certificar lo anterior, plasme mi firma y sello de Abogado y Notario. Doy fe."--- ···· VERSION EN INGLES--------------------- ___ "SPECIAL POWER OF ATTORNEY.- Special power of attorney to incorporate a Sociedad de Responsabilidad Limitada de Capital Variable (S. de R.L. de C.V.) in the United Mexican States (Mexico).-The Grantor:-Ensco Offshore U.K. Limited, a company duly organized and existing according to the laws of England and Wales, United Kingdom (the "Granter"), with its domicile at 7 Albemarle Street, London, United Kingdom, for the purposes established hereof, represented by Mr. Stephen Laurence Mooney in his capacity of legal representative of the Granter, hereby grants and confers a SPECIAL POWER OF A HORNEY as broad as permitted by law in favor of the following attorneys in fact-Carlos Omar Murillo Navarro and/or Andrea Altamirano Guajardo to act jointly or separately in representation and on behalf of the Granter, to carry out and to perform the procedures necessary to incorporate a Mexican commercial company according to the General Law of Commercial Companies in Mexico, as a Sociedad de Responsabilidad Limitada, adopting the variable capital regime, under the corporate name to be approved by the Ministry of Economy pursuant to the corresponding permit.- For that purpose, the attorneys in fact will be to: prepare the articles •·--- of incorporation and by-laws, establishing the company's name, its corporate purpose, domicile, term, being expressly authorized to insert and accept the waiver and agreement referred to in Section I of Article 27 of the Mexican Constitution, known as the Foreigners Admission Clause, as well as the clauses related to the capital stock, being able to subscribe or pay for, on behalf and in the name of the Granter, 1 (one) partnership interest representing 1% (one percent) of the capital ofthe new company, with a total value of MXS200.00 (Two hundred 00/100 Pesos Mexican currency), observing the provisions of the Foreign Investment Law.- In addition, they will be able to draft the rest of the bylaws that organize the internal functioning of the Company and the manner pursuant to which the Company should be managed, as well as to determine the authority and powers that should be granted to the Managers, being able appoint the persons that shall govern the Company as Members of the Board of Managers, and other officers and attorneys in fact, granting the authority, powers of attorney and limitations that they consider appropriate, in the understanding that such appointments may fall upon the legal representative(s) of the Granter; and also, subject to the limitations established by law, they might agree on the limitations required for the transfer of the Company's partnership interests.- Likewise, the attorneys in fact are authorized to appear jointly or separately, before the Notary Public of their election to formalize the incorporation deed and to notarize the powers granted.-The Attorneys in fact may not substitute in this power of attorney, nor may they transfer their authority and powers to third parties.-This power of attorney will be considered accepted by the simple use thereof by the attorney(s) in fact appointed herein.- I Grant Douglas McGregor, in my capacity of Solicitor and Notary Public for United Kingdom, do hereby CERTIFY:-1.- That I have met the appearing party of this instrument and that I have personally seen a copy of his passport confirming his identify.-11. Based solely on the appearing party's confirmation to me, the Granter is an entity formed and legally existing with its own legal capacity pursuant to the Laws of England and Wales, United Kingdom. The appearing party has advised me that he has the authority to legally represent Ensco Offshore U.K. Limited and also has advised me that such authority is legitimate, and derives from his position as Director of the Granter, pursuant to the authentic document presented before me and which is hereinafter described:- Ensco Offshore U.K. Limited Director's Certificate dated 6 |
| MTR□ . PEDRO RUIZ HIGUERA Notari □ Public□ Numer□ SD Guadalajara __]alisc □ 18 September 2018 as certified by Grant Douglas McGregor, Solicitor and Notary Public, whereby it is stated among other things, that Mr. Stephen Laurence Mooney was duly elected as Director of the Company and copies of the Grantor's Certificate of Incorporation and Certificate of Incorporation Name Change (which Mr. Stephen Laurence Mooney has certified are true and correct) are exhibited.·111. That I had in my possession the document referred to in section II above mentioned, in which Mr. Stephen Laurence Mooney certifies that he is a duly elected Director of the Company.•IV. That the representative stated before me that his name is as written above, born in United Kingdom, with address at 7 West Burnside, Laurencekirk AB30 1 UY. V.That the representative stated before me that the authority with which he appears before me has not been limited nor revoked, and that the legal capacity of the entity he represents to grant this act, has not varied.•VIThe representative stated his agreement with the contents of this document and signed it before me on this date. Witnesseth.• The foregoing instrument was signed before me by Mr. Stephen Laurence Mooney on this 12 day of November of the year 2018. In witness of same, and to certify which, I sign and place my seal of Solicitor and Notary Public, Witnesseth. -------------- -Firmado: 01 una firma ilegible.- Grant Douglas McGregor.•Solicitor and Notary Public." -------- - Doy fe que el anterior inserto concuerda fielmente con su original, de donde compulse y tuve a la vista para su cotejo, dejando agregado un tanto del original a mi Libra de Documentos correspondiente a este tomo de mi Protocolo, de conformidad con lo dispuesto par el articulo 89 ochenta y nueve de la Ley del Notariado en vigor para el Estado de Jalisco. ------------·············---····································--- -· Expuesto lo anterior, la compareciente otorga las siguientes: --------- -------------······CLAUS UL AS······------ ------ - PRIMERA.- Se declara que ha quedado protocolizado el Poder Especial otorgado par la sociedad ENSCO HOLDCO LIMITED , el cual ha quedado descrito y transcrito en la Declaraci6n I Primera del presente instrumento, para que surta efectos en la Republica Mexicana en las terminos y condiciones senalados en el mismo, a favor de Carlos Omar Murillo Navarro y/o Andrea Altamirano Guajardo. •·---·······································--• ·- SEGUNDA.-Se declara que ha quedado protocolizado el Poder Especial otorgado por la sociedad ENSCO OFFSHORE U.K. LIMITED, el cual ha quedado descrito y transcrito en la Declaraci6n II Segunda, del presente instrumento, para que surta efectos en la Republica Mexicana en las terminos y condiciones serialados en el mismo, a favor de Carlos Omar Murillo Navarro y/o Andrea Altamirano Guajardo.--------- - TERCERA.- Los gastos y honoraries que genere la presente seran par cuenta de las sociedades aqui representadas. ----------------------------- .... TERCER ACTO JURIDICO.- CONSTITUCl6N DE SOCIEDAD.• ------------DECLARACIONES --------------- I. La compareciente ANDREA ALTAMIRANO GUAJARDO, en su caracter de Apoderada Especial de las sociedades extranjeras denominadas ENSCO HOLDCO LIMITED. Y ENSCO OFFSHORE U.K. LIMITED tal y coma se desprende de las actos juridicos anteriores que se hacen constar en el presente instrumento. quien en cumplimento de dichos poderes comparece a formalizar un contrato de constituci6n de una sociedad mercantil con arreglo a Leyes Mexicanas. -----···········-·····················-············································-··················· ··· 11.- Para la constituci6n de la SOCIEDAD DE RESPONSABILIDAD LIMITADA DE CAPITAL VARIABLE, bajo la denominaci6n de "ENSCO MEXICO SERVICES ", se solicit6 y obtuvo de la Secretaria de Economia la autorizaci6n de uso o denominaci6n o raz6n social respectiva, marcada con la Clave Unica del Documento (CUD):A201808300745130009 letra "A", dos, cero, uno, ocho, cero, ocho, tres, cero, cero, siete, cuatro, cinco, uno, 7 Av. Areas #267 Catania Areas Sur. Guadalajara . .Jalisca C.P. 44500 Tel. 1B 13 66 11. 1B 14 33 Bl. carrea electronic □ infarmesE!nataria60gdl.cam c5 0 C ~ -, w b 0 |
| tres, cero, cero, cero, nueve. La autorizaci6n respectiva, se transcribe en lo conducente en el capitulo de insertos de esta escritura: ---------- ••• 111.- La Sociedad que en este acto se constituye, se regira por los siguientes:---------- ============ESTATUTOS SOCIALE:S========== -~-----------\,,APiTULO PRIMERO----------- --------------vRGANIZACl6N------------ ----PRIMERA. Esta es una sociedad de responsabilidad limitada de capital variable sujeta a las disposiciones de estos estatutos y en lo no previsto por ellos, a la Ley General de Sociedades Mercantiles. ------- -----------------------------------------------,-----CAPiTULO SEGUNDO----------- ---------DENOMINACl6N, DOMICILIO, DURACIQN Y OBJETO------ ----SEGUNDA.• La compareciente constituye una Sociedad de Responsabilidad Limitada de Capital Variable, que se denominara "ENSCO MEXICO SERVICES" denominaci6n que ira siempre seguida de las palabras SOCIEDAD DE RESPONSABILIDAD LIMITADA DE CAPITAL VARIABLE, ode sus abreviaturas S. de R.L. de C.V. -- ---TERCERA.- El domicilio de la Sociedad sera la CIUDAD DEL CARMEN, CAMPECHE, sin embargo, la Sociedad podra establecer agencias o sucursales en cualquier parte de la Republica Mexicana o en el extranjero y someterse a diversos domicilios convencionales en los contratos que celebre en los terminos de las leyes vigentes. Los Socios de la Sociedad quedan sometidos, en cuanto a sus relaciones entre estos y de estos con la Sociedad, a las leyes, jurisdicci6n y competencia de los tribunales y autoridades del domicilio de la Sociedad, con renuncia expresa del fuero de sus respectivos domicilios personales presentes o futures. ------------- ---CUARTA. · El objeto de la Sociedad es:-------------------- ---1).· Prestaci6n de servicios profesionales a favor terceros; ya sean, personas fisicas o morales debidamente autorizados en terminos de la legislaci6n especial aplicable, con relaci6n al mantenimiento, con fines de conservaci6n, asistencia tecnica para su operaci6n y reparaci6n, respecto de equipos, maquinaria y otros activos, incluyendo pero no limitando a maquinas de perforaci6n y plataformas utilizados per terceros personas fisicas o morales debidamente autorizados en terminos de la legislaci6n especial aplicable, asi como, para realizar las actividades relacionadas con la industria del petr61eo y gas, que la legislaci6n les permita, con el fin de dar cumplimiento a disposiciones medioambientales, maritimas, de salud, y de seguridad. -------- ···2).- Prestaci6n de servicios de asistencia tecnica a favor de terceros personas fisicas o morales debidamente autorizados en terminos de la legislaci6n especial aplicable, respecto a la gesti6n operativa y planificaci6n de servicios de perforaci6n.-------------------------- -·3).- Prestaci6n de servicios, consultaria administrativa, financiera y tecnica, asi como asistencia al personal contratado por clientes de las industrias del petr61eo y gas, dependencias regulatorias, Autoridades, entidades de gobierno mexicanas, proveedores de equipo y cualquier otra empresa productiva del Estado debidamente facultada para participar en dichas industrias. ------------------------- --4).· Contrataci6n, entrenamiento y capacitaci6n de personal para la realizaci6n de las actividades antes mencionadas.----------------------------- --5).-Adquirir, vender y disponer, en cualquier forma permitida por ley, cualquier tipo de acciones, partes sociales o participaciones de todo tipo de personas o sociedades nacionales o extranjeras, sea de naturaleza mercantil o civil. Tambien, vender, disponer o negociar tales acciones o partes sociales. La Sociedad puede hacerse cargo de la total id ad o parte del negocio, actives intangibles, marcas de f abrica o de comercio y de las personas fisicas, 8 |
| MTR □. PEDRO RUIZ HIGUERA Notari □ Public□ Nun,ero 60 Guadalajara _Jalisco juridicas, empresas que se constituyan o empresas ya existentes, que realicen o se propongan realizar negocios. La Sociedad esta autorizada a ejercer, poseer bienes o derechos adecuados a los fines de la Sociedad ya pagarlos en efectivo o en acciones o en parte en efectivo y en parte en acciones o de otra forma. -------- ---6).· Gravar de cualquier forma permitida por la ley cualquier bien mueble e inmueble, con el fin de garantizar sus obligaciones o la de terceros. -7).- La compra, arrendamiento, venta, administraci6n, hipoteca, asi coma el usar, permutar y llevar a cabo toda clase de operaciones y actos juridicos similares con bienes muebles e inmuebles, construidos o sin construir, urbanos o rusticos, necesarios para cumplir con el objeto de la sociedad. ------------ -8).• La celebraci6n de contratos de asociaci6n comercial, asistencia tecnica, prestaci6n de servicios, venta y compra, contratos de suministro y distribuci6n, asi come todo tipo de contratos que sean necesarios o convenientes para el logro del objeto social, incluyendo pero no limitado a negociar y celebrar acuerdos y contratos con individuos, companias, sociedades y otras organizaciones indias y extranjeras por asistencia tecnica o de otra indole para llevar a cabo todos o cualesquiera de los principales objetos de la Sociedad o con prop6sito de actividad de investigacion y desarrollo de proyectos de fabricaci6n sabre la base de conocimientos tecnicos, o colaboraci6n tecnica y formulas necesarias y derechos de patente para promover los principales objetivos de la Sociedad. ------------------------------- -9).- Agruparse con cualquier otra sociedad de la cual todos o cualquiera de sus objetos sean similares a las fines de la Sociedad de cualquier forma, con o sin la liquidacion. Sujeto a cualquier ley vigente, emprender o tomar parte en la formaci6n, supervision o control del negocio o de las operaciones de cualquier persona, empresa, corporaci6n, sociedad de la asociaci6n o grupo que ejerza el negocio principal de la Sociedad. ----- ---10).· Recibir u otorgar prestamos, con o sin garantia y expedir titulos de credito incluso, obligaciones de acuerdo con la ley, asi come solicitar y obtener fianzas de todas clases, solicitar y obtener seguros y descontar titulos de credito y facturas, asi coma otorgar avales, constituirse en obligada solidaria o subsidiaria u otorgar otros tipos de garantias por cuenta de terceros. ----- ---11 ).· Establecer agencias o representantes y actuar coma comisionista, representante, agente, mediador mercantil o distribuidor de personas o empresas, ya sean mexicanas o extranjeras. --------- ·-12).· Garantizar las obligaciones contraidas par la Sociedad o terceros con instituciones de credito, asociaciones nacionales de credito, o cualquier otra persona o entidad. ----------------- -13).-Adquirir, poseer, emitir, suscribir y endosar toda clase de titulos de credito en Mexico o en el extranjero. ----- --14).• El establecimiento y la operaci6n de plantas, bodegas, oficinas y dependencias necesarias o convenientes para la consecuci6n del objeto social. ----------------------- ---15).· La celebraci6n de toda clase de contratos, convenios o acuerdos con personas fisicas o morales, tanto nacionales coma extranjeras relacionadas con la prestaci6n de servicios de asesoria, incluyendo la consultoria y capacitaci6n, representaci6n, asistencia en materia de tramites ante toda clase de autoridades ya sean Federales, Estatales o Municipales, asi coma de cualquier contrato, convenio o acuerdo relacionado con su objeto social. --16).• En general, realizar cualquier acci6n que sea necesaria o conveniente para el cumplimiento de su objeto social. ---------------------------------- ---QUINTA.- La duraci6n de la Sociedad sera I LIM IT ADA. ------------------------------------------------------------------------------- ···SEXTA.- La Sociedad se constituye conforme a las Leyes de los Estados Unidos Mexicanos, por lo que, conforme al Articulo 14 (catorce) del Reglamento de la Ley de Inversion Extranjera y del Registro Nacional de 9 Av. Arcos #267 Colonia Arcos Sur. Guadalajara • ..Jalisco C.P. 445□□ Tel. 1B 13 66 11. 1B 14 33 Bl. correo electronico informes@no1:aria6Dgdl.com 0 C <( .., UJ b 0 |
| lnversiones Extranjeras, los Socios extranjeros actuales o futures, se obligan y convienen formalmente ante la Secretaria de Relaciones Exteriores a considerarse como nacionales respecto de las partes sociales de esta Sociedad que adquieran o de que sean titulares, asi como de los bienes, derechos, concesiones, participaciones de que sea titular la Sociedad, y respecto de los derechos y obligaciones que deriven de los contratos en que sea parte la Sociedad; por lo que se obligan a no invocar la protecci6n de sus Gobiernos, bajo la pena en case contrario, de perder en benefic10 de la Nacion los derechos, bienes y participaciones sociales que hubieran adquirido. ------------------------------- Tambien convienen expresamente lo previsto en la fracci6n I (primera) del Articulo 27 (veintisiete) de la Constituci6n Politica Federal por incluirse en esta Sociedad la clausula de admisi6n de socios extranjeros actuales o futures por lo que, se establece el pacto expreso senalado en el parraf o anterior. --------- ---------------·-- ·--------CAPiTULO TERCERO----------- -----------CAPITAL Y PARTES SOCIALES --------- ---SEPTIMA. - El capital social es variable. El capital minima fijo sin derecho a retire es de $20,000.00 (VEINTE MIL PESOS 00/100) Moneda Nacional totalmente suscrito y exhibido, dividido en tantas partes sociales coma Socios existan en la Sociedad. La parte variable del capital no tiene limite. Las partes sociales en que se divide el capital social podran ser de valor desigual pero en todo caso seran de $1.00 (UN PESO 00/100) Moneda Nacional o de un multiple de esa cantidad; seran de igual categoria y gozaran de los mismos derechos y obligaciones; sin embargo, cada socio dueno de una Parte Social tendra derecho a un voto en las Asambleas de Socios por cada $1.00 (UN PESO 00/100) Moneda Nacional de capital que represente su Parte Social. ----------- ---OCT AVA. - No podra haber mas de 50 (cincuenta) Socios. Cuando un Socio hiciere una nueva aportaci6n, o adquiera la totalidad o una fracci6n de la Parte Social de otro Socio, la Parte Social del Socio que adquiri6 o aport6, se aumentara en la misma cantidad de su aportaci6n o adquisici6n. ------------- Los Socios responderan de las perdidas solo hasta el monto de sus aportaciones. --------- ·••NOVENA. - La transmisi6n, cesi6n, enajenaci6n o gravamen de una fracci6n ode la totalidad de una Parte Social requerira el consentimiento expreso de los Socios cuyas partes sociales representen la mayoria del capital social.- En caso de fallecimiento de un Socio, la Asamblea de Socios decidira o la disoluci6n de la Sociedad o la liquidaci6n de la Parte Social que corresponda al Socio fallecido o bien que reconozca coma Socios a sus herederos. En caso de disoluci6n de un Socio, la Asamblea decidira o la disoluci6n de la Sociedad o la liquidaci6n de la parte social que corresponda al Socio en estado de disoluci6n. ------------------ Cuando alguno de los Socios quiera ceder total o parcialmente su Parte Social en favor de una persona extralia a la Sociedad, los demas Socios tendran el derecho del tanto para adquirirla, mismo que deberan ejercitar en un plazo de 15 (quince) dias contados a partir de la fecha en que se hubiere adoptado el acuerdo que autoriz6 la transmisi6n respectiva. Si fueren varios los Socios que desearen ejercitar este derecho del tanto, les competera a todos ellos en proporci6n al importe de sus partes sociales. ---------------- Cualquier transmisi6n realizada en contravenci6n a lo selialado en este articulo sera nula y no producira efecto legal alguno en relaci6n con la Sociedad. --------------------- Cuando en virtud de la transmisi6n, enajenaci6n o cesi6n de alguna de las Partes Sociales aprebada de conformidad con lo dispuesto en el presente articulo, sea necesaria la division de dichas partes sociales, esta se podra realizar respetandose las reglas contenidas en las Articulos 61 (sesenta y uno), 62 (sesenta y dos), 65 (sesenta y cinco) y 66 (sesenta y seis) de la Ley General de Sociedades Mercantiles. --------- 10 |
| MTRD_ PEDRO RUIZ HIGUERA Notari □ Public□ Nun,er□ 60 Guadalajara Jalisc□ --DECIMA.• La Sociedad llevara un libro de registro de Socios, en el cual, se inscribira el nombre, domicilio y nacionalidad de cada uno de ellos, con indicaci6n de sus aportaciones y las transmisiones de las partes sociales que, en su caso, se hayan efectuado. --DECIMA PRIMERA.- Los aumentos o disminuciones del capital social, por aportaciones suplementarias o amortizaciones de partes sociales hechas por los socios, admisi6n de nuevos socios, capitalizaci6n de aportaciones previas, tanto por lo que se refiere a la parte minima como a la parte variable del capital social, reembolso a los socios par sus contribuciones o, por la liberaci6n de los socios sobre las aportaciones que no hicieron, y por cualquier otro concepto de acuerdo con la ley aplicable, solo podran ser decretados por acuerdo tornado por la mayoria de votos de los Socios cuyas partes sociales representen, cuando menos, el 51% (cincuenta y uno por ciento) del capital social. --------------- T odo aumento o disminuci6n del capital social debera inscribirse en el libro de variaciones de capital que la Sociedad debera llevar segun lo dispuesto por el Articulo 219 (doscientos diecinueve) de la Ley General de Sociedades Mercantiles, sin que se requiera otra formalidad. ----------------- --DECIMA SEGUNDA.- En caso de aumento del capital social, las Socios tendran derecho preferente para exhibir dicho aumento en proporci6n al importe de sus partes sociales, salvo acuerdo en contrario de la Asamblea de Socios que decida el aumento del capital social.------------------- Este derecho debera ejercitarse dentro de las 15 (quince) dias siguientes a la notificaci6n que se les hiciere por escrito con acuse de recibo del acuerdo tornado por las Socios que hayan aprobado dicho aumento, o de la publicaci6n del aviso correspondiente en uno de los periodicos de mayor circulaci6n del domicilio social. En todo caso, dicho termino se contara a partir de la celebraci6n de la Asamblea de Socios que haya aprobado el aumento cuando hubieren asistido a la misma la totalidad de las Socios. Si alguno de los Socios no se interesare en exhibir la parte proporcional que le correspondiere del aumento del capital. el derecho de las demas Socios para exhibirlo acrecera en proporci6n al importe de su Parte Social, y si tampoco hicieren uso de esos derechos los demas Socios dentro de un nuevo plazo de 15 (quince) dias, las Socios podran autorizar la exhibici6n de dicho aumento por terceros, par acuerdo tornado par mayoria de votos de los Socios que representen par lo menos, el 51 % (cincuenta y uno por ciento) del capital social. --------------------- ·--DECIMA TERCERA.· Seran causales de rescisi6n del contrato de Sociedad respecto a un Socio las siguientes: I. Por uso de la firma o del capital social para negocios propios: II. Par infracci6n al pacto social; Ill. Par 1nfracci6n a las disposiciones legales que rijan al contrato social; IV. Por comisi6n de actos fraudulentos o dolosos contra la Sociedad; V. Par quiebra, interdicci6n o inhabilitaci6n para ejercer el comercio.----------- -------------o\.,APiTULO CUARTu------------ -----------ADMINISTRACION DE LA SOCIEDAD --------- ·-DECIMA CUARTA.- La administraci6n de la Sociedad sera conferida a un Gerente General o un Consejo de Gerentes que estara integrado por minima 2 {dos) Gerentes, que podran ser Sacias a persanas extranas a la Sociedad, asignadas respectivamente par una Asamblea de Socios, por un periodo minimo de un ana a hasta que se asigne a sus sucesores para sustituirlos. ·------------------------------------------------------------------------------------------------- --DECIMA QUINT A.- El Gerente o Gerentes seran nombrados par la Asamblea de Socios y duraran en sus cargos hasta que sean removidos por dicha Asamblea; caucionaran su manejo en la forma que determine la Asamblea que las nombre. -------~------------------------------------------------------------------------------------ 11 Av. Arcos #267 Colonia Arcos Sur. Guadalajara . .Jalisco C.P. 44500 Tel. 1B 13 66 11. 1B 14 33 Bl. correo electr □ nico infarmes@'!notaria60gdl.com 0 C ~ .., w 6 0 |
| Cuando la Administraci6n este a cargo de varies Gerentes, la Asamblea de Socios determinara el numero de estos, el cual no podra ser inferior a 2 (dos), quienes formaran un Consejo que debera actuar colectivamente. En tal caso, las resoluciones de los Gerentes deberan tomarse siempre por mayoria de votos, siendo aplicable lo previsto en la clausula DECIMA NOVENA de estos estatutos. ----------------·---- ----------- En caso de que la Sociedad este administrada por un Gerente General, este podra tener un suplente que actuara en caso de falta temporal o definitiva del titular y mientras no haya sido designada la persona que haya de sustituirlo y tome posesi6n de su cargo. ----------------------------------------------- ---DECIMA SEXTA.- El Gerente General o los Gerentes seran los representantes legales de la Sociedad y para el desempeno de sus funciones gozaran de todas las f acultades generales judiciales y extrajudiciales, para pleitos y cobranzas, facultades para administrar bienes y para ejercer actos de dominio, las cuales en caso de ser designados dos o mas Gerentes deberan ejercitarlas de manera conjunta por lo menos por dos de los miembros del Consejo, otorgandoles todas las facultades generales y las especiales que requieran clausula especial conforme a la ley, las cuales se senalan a continuaci6n de forma enunciativa y no limitativa. ---- ·••I. PODER GENERAL PARA PLEITOS Y COBRANZAS, las que se otorgan con todas las facultades generales y especiales que requieran clausula especial de acuerdo con la ley, par lo que se le confieren sin limitaci6n alguna, de conformidad con lo establecido en el primer parrafo del articulo 2554 (dos mil quinientos cincuenta y cuatro}, del C6digo Civil Federal, sus correlatives de los C6digos Civiles de los Estados de la Republica, en cuanto resulte su analogia con la figura de mandate, incluyendo las facultades especiales a que se refieren los articulos 2574 (dos mil quinientos setenta y cuatro), 2582 (dos mil quinientos ochenta y dos}, 2587 (dos mil quinientos ochenta y siete} y 2593 (dos mil quinientos noventa y tres) del C6digo Civil Federal, y sus correlative de los Estados, con todas las facultades generales y las especiales que requieran clausula especial conforme a la ley, estando facultados para desistirse en cualquier juicio o procedimiento de cualquier demanda, recurse o reclamaci6n, asi coma para interponer y desistirse de juicios de amparo y sus incidentes, para querellarse penalmente y desistirse de las querellas que presenten; para constituirse en coadyuvante del Ministerio Publico y otorgar perd6n si procede de acuerdo con la ley; para transigir, para someterse a arbitraje, para articular y absolver posiciones, para recusar jueces, peritos y funcionarios publicos cuando proceda, para hacer cesi6n de bienes y adquirir en venta de autoridad, para recibir pages y ejecutar todos las otros actos expresamente determinados por la ley, entre las que se incluyen representar a la Sociedad ante toda clase de autoridades municipales, estatales y federales y tribunales penales, civiles, administrativos y de trabajo. -------------------- ---11.- PODER GENERAL PARA ACTOS DE ADMINISTRACION, con facultades para representar a la Sociedad, par lo que a esto respecta, en la administraci6n de sus bienes y negocios, asi coma para firmar y ejecutar toda clase de convenios y contratos, y obligarse en nombre de la Sociedad en cualquier tipo de acto necesario para el cumplimiento de su objeto social. T endran todas las facultades generales y especiales que requieran clausula especial conforme a la Ley, en las terminos del segundo parrafo del articulo 2554 (dos mil quinientos cincuenta y cuatro) del C6digo Civil Federal y sus correlatives para las demas Entidades Federativas de la Republica Mexicana, asi coma los articulos 2547 (dos mil quinientos cuarenta y siete), 2553 (dos mil quinientos cincuenta y tres) del C6digo Civil Federal y sus correlatives para las demas Entidades Federativas de la Republica Mexicana. -- ·••Ill.- PODER GENERAL PARA ACTOS DE DOMINIC, en los terminos del tercer parrafo del articulo 2554 (dos mil quinientos cincuenta y cuatro), del C6digo Civil para Federal, y sus correlatives de los C6digos Civiles de los 12 |
| MTRD_ PEDRO RUIZ HIGUERA Notari □ Public□ Numer□ 60 Guadalajara Jalisc□ Estados de la Republica, quedando facultados para enajenar, gravar, y vender bienes y derechos de la Sociedad, incluyendo la facultad especial de hacer cesi6n de bienes, derechos personales y reales. ------- -IV.- PODER GENERAL PARA SUSCRIBIR, ENDOSAR Y AVALAR TODA CLASE DE TiTULOS DE CREDITO, en las terminos de la Fracci6n I Primera del Articulo 9° noveno de la Ley General de Titulos y Operaciones de Credito. ------------------------·------ •-V.- PODER GENERAL PARA ABRIR Y CANCELAR CUENTAS BANCARIAS A NOMBRE DE LA SOCIEDAD y nombrar personas que giren en contra de las mismas. ----------------- --VI.- PODER ESPECIAL PARA DELEGAR, se autoriza a las apoderados para queen las terminos del articulo 2574 (dos mil quinientos setenta y cuatro) del C6digo Civil Federal, sus correlatives de las demas Entidades Federativas deleguen a cualquier tercero, ya sea total o parcialmente, pero reservandose para si el ejercicio de su poder, las facultades que les fueron otorgadas, incluyendo la facultad para que los apoderados puedan a su vez delegar sus facultades a terceros. Asimismo, tendra las f acultades para revocar las poderes que otorguen en terminos de las facultades que se otorgan anteriormente. --·---- ---VII.- Para nombrar y remover gerentes, gerente general, apoderados, agentes y empleados de la compaiiia y determinar sus atribuciones, condiciones de trabajo y remuneraciones. ------------- -VIII.- Para llevar a cabo todos los actos autorizados par estos estatutos o que sean consecuencia de estos. --------- ---IX.- Para convocar a las asambleas de Socios y ejecutar sus resoluciones. ----------------------------------- --X.- Para tomar dinero en prestamo, dar fianzas, comprar a plazas y efectuar operaciones de credito sin limitaci6n en los negocios de la Sociedad. ------------------------ ---XI.- Para ejercer la direcci6n, manejo y control general de los negocios de la Sociedad y la administraci6n de sus propiedades, vigilando el cumplimiento de toda clase de contratos, convenios que tengan par objeto cumplir las fines de la Sociedad. --------------------------- •-XII.- Para sugerir a la Asamblea de Socios las planes que deban seguirse en las negocios de la Sociedad, entre otros, respecto a la compra, venta y arrendamiento. gravamen. hipoteca y traspaso de toda clase de bienes muebles e inmuebles, derechos y concesiones, franquicias. obtenci6n de prestamos, asi coma todos las demas actos administrativos necesarios y cuestiones de direcci6n en general. ---------------- --XIII.- PODER GENERAL PARA ACTOS DE ADMINISTRACl6N EN MATERIA LABORAL, en las terminos de las Articulos 11 (once} y 692 (seiscientos noventa y dos) de la Ley Federal del Trabajo. ante las Juntas Locales y Federales de Conciliaci6n y Arbitraje y Juntas Locales y Federales de Conciliaci6n. pudiendo el apoderado en forma enunciativa mas no limitativa: (i) actuar frente a los sindicatos con las cuales existan celebrados contratos colectivos de trabajo o frente a los trabajadores personalmente considerados, para cualquier conflicto colectivo o individual respectivamente, o cualquier otro asunto obrero patronal ante autoridades del trabajo; (ii) comparecer ante las Juntas de Conciliaci6n y Arbitraje, sean locales o federales, ante el Institute Mexicano del Segura Social "IMSS", el Institute Nacional de la Vivienda para las Trabajadores "INFONAVIT", el Institute del Fonda Nacional para el Consume de las Trabajadores (FONACOT) y similares; (iii) comparecer al desahogo de la prueba confesional, con f acultades para absolver y articular posiciones; (iv) acudir a la audiencia de desahogo de pruebas, proponer arreglos conciliatorios, celebrar transacciones, adoptar toda clase de decisiones y negociar y suscribir convenios laborales. ------ --------------------------------------------------------------------------- Para conferir poderes generales y especiales y revocarlos en las terminos de las parrafos anteriores, con facultades de sustituci6n o sin ellas, asi coma para revocar las poderes que otorguen. --------- Av. Arcos #267 Colonia Arcos Ju:i. Guadalajara . .Jalisco C.P. 44S00 Tel. 1B 13 66 11. 1B 14 33 Bl. c□ rreo electronic□ inforrnes@lnotaria60gdl.corn 0 C <( -, w 5 0 |
| ••• DECIMA SEPTIMA.- Cuando no se haya hecho designaci6n de Gerente General o Gerentes, cualquiera de las Socios tendra el poder general de la Sociedad con las mas amplias facultades senaladas en la clausula DECIMA SEXT A que antecede, para representar a la Sociedad ante cualquier tercero, siempre y cuando dicho poder sea ejercido en asuntos relacionados con la clausula CUART A de los estatutos sociales. -------- ·•• DECIMA OCTAVA.- La cuenta de Administraci6n se debera rendir por parte del Gerente General o el Consejo de Gerentes por lo menos anualmente a la Asamblea de Socios que se reuna para tal efecto, o en cualquier tiempo en que lo acuerden los Socios. ------------------------- ••• DECIMA NOVENA.- El Consejo de Gerentes celebrara sesiones cuando sea convocado al efecto por su Presidente o por el Secretario o por 2 dos de las miembros del propio Consejo de Gerentes. La primer Sesi6n se debera llevar a cabo dentro de los 6 (seis} primeros meses posteriores al cierre del ejercicio fiscal correspondiente, y en la que, entre los demas puntos de la agenda, se podra resolver sabre las fechas de las pr6ximas Sesiones. Las sesiones del Consejo de Gerentes seran convocadas par media de un aviso par escrito que sera enviado a todos los Consejeros via fax, telex, correo electr6nico confirmando su recepci6n par telefono o por correo aereo certificado, con acuse de recibo y porte prepagado, par lo menos con 3 tres dias naturales de anticipaci6n a la fecha fijada para la reunion, dirigiendolo a los numeros de telefax, telex, direcciones de correo electr6nico y domicilios registrados en la Sociedad. Las convocatorias deberan establecer la hara, dia, lugar y la Orden del Dia de la correspondiente sesi6n de Consejo y deberan ser firmadas por quien las formule. No se requerira convocatoria alguna cuando todos las Gerentes se encuentren presentes ------------ Para que la sesi6n del Consejo de Gerentes, por primera o ulterior convocatorias, se considere debidamente instalada se requerira la asistencia de la mayoria de los Gerentes, debiendo ademas estar siempre presente el Presidente del Consejo de Gerentes. ---------------------- Cada Gerente gozara de un voto y las resoluciones se tomaran por mayoria. ----------- En caso de que no se haya resuelto un asunto en una sesi6n del Consejo de Gerentes, ya sea (i) por que se realizaron Ires convocatorias continuas para tratar dicho asunto y no se reuni6 el qu6rum requerido por estos estatutos, o (ii) debidamente instalada la sesi6n del Consejo, nose haya obtenido el voto de la mayoria de los asistentes para la resoluci6n de dicho asunto; entonces, dicho asunto debera ser resuelto por la Asamblea General de Socios la cual debera ser convocada para tales efectos, debiendo los Gerentes cumplir y sujetarse a lo resuelto par la Asamblea General. ------------------------- ·••VIGESIMA.- El Consejo de Gerentes celebrara sus sesiones en el domicilio social; sin embargo, si el propio Consejo de Gerentes asi lo resuelve quien legalmente convoca, podra establecer un lugar distinto para la celebraci6n de dicha Sesi6n, dentro del Territorio Nacional o en el extranjero. Las resoluciones tomadas fuera de sesi6n del Consejo de Gerentes, por unanimidad de los Gerentes, tendran para todos los efectos legales, la misma validez que si hubieren sido adoptadas en sesi6n del Consejo de Gerentes, siempre y cuando dichas resoluciones se confirmen par escrito y sean firmadas por la totalidad de los Gerentes en funciones. Las actas de las sesiones del Consejo de Gerentes seran transcritas en el Libra de Actas de Sesiones respective y seran firmadas el Presidente y el Secretario. ------------------------- •-VIGESIMA PRIMERA.• El Presidente, Secretario y Vocal del Consejo de Gerentes seran las personas que designe la Asamblea de Socios y en su defecto, fungiran coma tales, de acuerdo al orden de su nombramiento. --- El Secretario del Consejo entre otras funciones tendra a su cargo los libros corporativos de la Sociedad, y si hubiere Gerente Unico, entonces la obligaci6n estara a su cargo.--------------- 14 |
| MTRD_ PEDRO RUIZ HIGUERA Notari □ Public□ Nun,ero SD Guadalajara _]alisco --VIGESIMA SEGUNDA.- Los Gerentes que no hayan tenido conocimiento de las actos resueltos en la sesi6n a que se refiere la clausula anterior, o que hayan votado en contra, quedaran libres de toda responsabilidad respecto de dichos actos. ----------------------------- La acci6n de responsabilidad en interes de la Sociedad contra los Gerentes, para el reintegro del patrimonio social pertenece a la Asamblea de Socios y a las Socios individualmente considerados; pero estos no podran ejercitarla cuando la Asamblea, con un voto favorable de las tres cuartas partes del capital social, haya absuelto a las Gerentes de su responsabilidad. ----------------------- La acci6n de responsabilidad que los acreedores sociales tengan contra los Gerentes solo podra ejercitarse par el sindico, despues de la declaraci6n de quiebra de la Sociedad. -------------- --VIGESIMA TERCERA.- El Gerente o Gerentes podran, bajo su responsabilidad, dar poderes para la gesti6n de ciertos y determinados negocios sociales; pero para delegar su encargo necesitaran el acuerdo de la mayoria de los Socios, teniendo los de la minoria el derecho de retirarse cuando la delegaci6n recayere en persona extraria a ta Sociedad. ---------------------------- --- VIGESIMA CU ART A.- T odo Socio tendra derecho a separarse de la Sociedad cuando en contra de su voluntad el nombramiento de algun Gerente o administrador recayere en persona extraria a la Sociedad, los Socios minoritarios tambien tendran derecho a retirarse de la Sociedad cuando el o las Gerentes delegaren su encargo par acuerdo de la mayoria de las Socios. ----------------- ___ VIGESIMA QUINTA.- Para la mejor operaci6n de la Sociedad, la Asamblea de Socios, o el Gerente o Gerentes de la Sociedad, podran nombrar Funcionarios de la Sociedad, con las facultades que expresamente le sean conferidas, y podran crear los cargos internos que se estimen convenientes para el manejo interno de la Sociedad. - La Asamblea de Socios o et Consejo de Gerentes, podran determinar las garantias que los Funcionarios y otros empleados de la Sociedad deban conceder para la realizaci6n de sus actividades---------- ------------~APiTULO QUINTO------------ -----------VIGILANCIA DE LA SOCIEDAD---------- - VIGESIMA SEXT A.- La vigilancia de la Sociedad podra estar encomendada a un Consejo de vigilancia, si asi lo determina la Asamblea de Socios, de conformidad con lo dispuesto por el Articulo 84 (ochenta y cuatro) de la Ley General de Sociedades Mercantiles. Los miembros del Consejo de Vigilancia, propietarios y sus suplentes, podran ser Socios o personas extranas a la Sociedad, duraran en sus funciones un ario y seran reelectos indefinidamente, mientras no tome posesi6n la persona que haya de sustituirlos par acuerdo de la Asamblea. ------ El Consejo de Vigilancia podra vigilar ilimitadamente y en cualquier tiempo las operaciones sociales, y asistir a las Asambleas de las Socios. -------- ·--------------------------------- -------------- CAPiTULO SEXTO------------ -------------ASAMBLEA DE SOCIOS----------- -- VIGESIMA SEPTIMA.- La Asamblea de las Socios se compone de todos las Socios que concurran par si a la misma, o por media de representante legalmente acreditado par simple carta poder firmada ante dos testigos: •········ -- VIGESIMA OCTAVA.- La asamblea sera convocada par el o las Gerentes, par el Comisario o consejo de vigilancia si los hubiera y en su ausencia o negativa, par Socios que representen la mayoria del capital social. ----- Las convocatorias se haran par media de cartas certificadas con acuse de recibo, telex, telegrama, telefax o cualquier otro media electr6nico de comunicaci6n, en el entendido de que debera de confirmarse por escrito dicha convocatoria y se dirigira a cada Socio a su domicilio, a publicarse en uno de los peri6dicos de mayor circulaci6n 15 Av. Areas #267 Calania Areas Sur. Guadalajara . .Jalisca C.P. 44S00 Tel. 1B 13 66 11. 1B 14 33 Bl. carrea electronic □ infarmesE'!n □ taria60gdl.cam 0 C ~ .., w 6 0 |
| del domicilio social. Dichas convocatorias deberan contener por lo menos, la orden del dia y deberan hacerse cuando menos con 8 (ocho) dias de anticipaci6n. -------------------------------------- Si todos los Socios estuvieren presentes o representados al momenta de la votacion, no sera necesaria la convocatona. ---·-------- ___ VIGESIMA NOVENA.- Cuando todos los Socios lo estimen conveniente, podran tomar resoluciones sin necesidad de reunirse en asamblea, de conformidad con lo dispuesto por el Articulo 82 (ochenta y dos) de la Ley General de Sociedades Mercantiles. Para lo cual, se remitira a los Socios por mensajeria, entrega personal, fax o algun otro media electronico, el texto de las resoluciones o decisiones, debiendose asentar el voto por escrito, el cual podra constar en uno o varios documentos identicos en donde conste el texto de las resoluciones aprobadas por la totalidad de los Socios. ------------------------ --- TRIGESIMA.- La Asamblea de Socios es el organo supremo de la Sociedad. Las Asambleas seran presididas por el Gerente General o por el Presidente del Consejo de Gerentes y en su ausencia por la persona que elijan los Socios por mayoria de votos. La Asamblea se considerara legalmente instalada si se encuentran presentes los Socios que representen por lo menos la mitad del capital social y sus resoluciones se tomaran por mayoria de votos de los Socios que representen por lo menos la mitad del capital social, Si esta cifra no se obtiene en la primera reunion, los Socios seran convocados por segunda vez tomandose las decisiones por mayoria de votos, cualquiera que sea la porcion del capital representado. ----------------- En todo caso, las modificaciones al contrato social se decidiran por el veto de la mayoria de los Socios que representen cuando menos las tres cuartas partes del capital social, siendo aplicable el Articulo 83 (ochenta y tres) de la Ley General de Sociedades Mercantiles para los casos de cambio de objeto social o de las reglas que determinen un aumento en las obligaciones de los Socios. ---------------- ••• TRIGESIMA PRIMERA.- Las Asambleas de Socios tend ran las facultades siguientes: ------- ---1. Discutir, aprobar, modificar o reprobar el balance general correspondiente al ejercicio social clausurado y tomar, con estos motivos, las medidas que juzguen oportunas;--------------- ---11. Proceder al reparto de utilidades; ----------------------- ---111. Nombrar y remover a los Gerentes fijandoles las garantias que deban otorgar y sus emolumentos; ---- -- IV. Designar, en su caso, al comisario o al consejo de vigilancia; -------------- ---V. Resolver sabre la division y amortizaci6n de las partes sociales; -------------- ---VI. Exigir, en su caso, las aportaciones suplementarias y las prestaciones accesorias; -------- ---VII. lntentar contra los organos sociales o contra los Socios las acciones que correspondan para exigirles danos y perjuicios; ------------------------------ ---VIII. Modificar el contrato social; ------------------------ ---IX Consentir en las cesiones de partes sociales y en la admisi6n de nuevos Socios; --------- ---X. Decidir sabre los aumentos y reducciones del capital social; --------------- ---XI. Decidir sobre la disolucion de la Sociedad; y ------------------- ---XII. Las demas que les correspondan conforme a la ley o al contrato social. ----------- ·--TRIGESIMA SEGUNDA.- Las resoluciones de las Asambleas se asentaran en actas transcritas en un Ubro de Actas de Asamblea, las cuales seran firmadas por lo menos, por el Presidente y Secretario de dichas asambleas. Dichas actas deberan ir acompanadas de la lista de asistencia correspondiente. ----------- 16 |
| MTR□ . PEDRO RUIZ HIGUERA Notar-io Public□ Numer□ 60 Guadalajara ..Jalisco Las Asambleas de Socios deberan reunirse en el domicilio social por lo menos, una vez al aiio y a mas tardar dentro de los 4 (cuatro) meses siguientes al cierre del ejercicio social.------------- ---------------CAPiTULO SEPTIMO------------ --------EJERCICIOS SOCIALES, UTILIDADES Y PERDIDAS-------- -TRIGESIMA TERCERA.- Los ejercicios sociales iniciaran el 1° (primero) de enero y terminaran el 31 (treinta y uno) de diciembre de cada ano, salvo el primer ejercicio social, el cual podra ser irregular por haber iniciado sus operaciones la Sociedad en una fecha posterior al 1° (primero) de enero del 2017 (dos mil diecisiete). Asimismo, podra ser irregular el ultimo ejercicio social, el cual finalizara al liquidarse la Sociedad. -------- ---TRIGESIMA CUARTA.- Las utilidades liquidas se aplicaran de la siguiente forma: --------- -1. El 5% (cinco por ciento) para la constituci6n del fondo de reserva legal hasta que alcance la quinta parte del capital social;------------------------------ -11. La cantidad que deba entregarse a los trabajadores por concepto de participaci6n de las utilidades; ---- -111. La cantidad que la Asamblea de Socios determine como emolumentos del ode los Gerentes; y ----- --IV. El resto se repartira entre los Socios en proporci6n al valor de las partes sociales que representen. --- -TRIGESIMA QUINT A.- Las perdidas se repartiran en igual proporci6n que las utilidades. Al terminar cada ejercicio social se formulara un balance y las cuentas de perdidas y ganancias para ser presentadas a la Asamblea de Socios que con ese objeto se celebrare, los Socios responden de las obligaciones sociales hasta el monto de sus aportaciones.------------------------------ --------------\..APiTULO OCTAV01 ------------ -----------DISOLUCION Y LIQUIDACION---------- ----TRIGESIMA SEXTA.- Procedera la disoluci6n y liquidaci6n de la Sociedad: ----------- ---1. En cualquiera de los casos del Articulo 229 (doscientos veintinueve) de la Ley General de Sociedades Mercantiles. ------------------------------- --11. En caso de muerte o disoluci6n de alguno de los Socios, sin perjuicio de lo establecido en la clausula NOVENA de estos Estatutos.----------------------- -111. En caso de interdicci6n o quiebra de alguno de los Socios, salvo resoluci6n en contrario tomada por la Asamblea de Socios. -------------------------- --TRIGESIMA SEPTIMA.- Disuelta la Sociedad, se pondra en liquidaci6n. La Asamblea de Socios nombrara a uno o mas liquidadores, los cuales seran de preferencia, alguno de los Socios de la Sociedad, quienes tendran las facultades establecidas en el Articulo 242 (doscientos cuarenta y dos) de la Ley General de Sociedades Mercantiles. Al entrar en funciones el o los liquidadores cesaran los poderes concedidos a la Junta de Gerentes o al Gerente General. Para la liquidaci6n de la Sociedad se procedera en los terminos que seiiala la ley. --- ----------~-----CAPiTULO NOVENu------------- -----------DISPOSICIONES GENERALES ---------- --TRIGESIMA OCTAVA.- En todo lo no previsto especificamente en estos Estatutos, se aplicaran las disposiciones conducentes de la Ley General de Sociedades Mercantiles. ------------ ·••TRIGESIMA NOVENA- Cualquier controversia conflicto o demanda que surja relacionada con la interpretaci6n o el incumplimiento total o parcial de este Contrato, se sometera a las Leyes y los Tribunales Competentes de la Ciudad de Guadalajara, Jalisco. ----------- -----------ARTiCULOS TRANSITORIOS----------- 17 Av. Arcos #267 Colonia Arcos Sur. Guadalajara . .Jalisc □ C.P. 44S□D Tel. 1B 13 66 11. 1B 14 33 Bl. c □ rre □ electronic□ inf□ rmes@:ln □ taria60gdl.com 0 C <( -, w 6 0 |
| •·•Los socios fundadores de esta Sociedad, a !raves de su apoderado especial, en asamblea general de socios, adoptan por su voto unanime las siguientes resoluciones:------------------ ---PRIMERA.• Las partes sociales correspondientes a la parte minima del capital social de la Sociedad han quedado integramente suscritas y pagadas coma sigue: SOCIOS PARTES SOCIALES CAPITAL PORCENTAJE FIJO Ensco Holdco Limited 1 $19,800.00 99% EXT990101Nl1 Ensco Off shore U .K. Limited 1 $200.00 1% EXT990101Nl1 Total: 2 $20,000.00 100% ---La parte minima del capital social de $20,000.00 (Veinte mil pesos 00/100 Moneda Nacional) ha sido totalmente cubierto y representado per 2 (dos) partes sociales.------------------ ___ Se hace constar que los Socios no han solicitado su inscripci6n en el Registro Federal de Contribuyentes, ante el hecho de que la Sociedad ha optado por presentar el aviso a que hace referencia el parrafo cuarto del articulo 27 del C6digo Fiscal de la Federaci6n. --------------------------- ---SEGUNOA.· La cantidad de $20,000.00 {Veinte mil pesos 00/100 Moneda Nacional) fue debidamente pagada por los suscriptores antes mencionados.--------------------- ---TERCERA.• Los socios fundadores de esa Sociedad, reunidos a traves de su apoderado especial en una asamblea de socios. adoptaron por su voto unanime las siguientes resoluciones: --------- ---1).· Se acuerda que la administraci6n de la Sociedad este a cargo de un Consejo de Gerentes que tendra las mas amplias facultades, autoridad y poderes para representar a la Sociedad, en los terminos de la clausula DECIMA SEXTA de los estatutos sociales, designandose para tal efecto al siguiente: --------- ---Cargo ------------Nombre ---------------- ··-PRESIDENTE-------------~----MARIA CLARA SILVA---------- ---VICEPRESIDENTE.-------------EZEQUIEL MARCO MARTINEZ-------- ---VICEPRESI DENTE------------------------------------------ANDREW EDWARD BOST--------- ---SECRET ARIO ASISTENTE---·--------------MELANIE ANN KOLTERMANN -------- ---CONSEJERO-----------WILLIAM ROBERT EDWARDS 111------- ---Se hace constar que los miembros del Consejo de Gerentes han aceptado su nombramiento, sin haberse requerido el otorgamiento de garantia por el desempeno de sus cargos. por acuerdo expreso de los socios. a traves de su apoderado especial. ----------------------- --11.- Se otorgan, ademas, en favor del senor GASPAR JAVIER ARCEO GOMEZ {RFC: AEGG780722US7) los siguientes poderes y facultades:------------------------ ---A.-PODER GENERAL PARA PLEITOS Y COBRANZAS, las que se otorgan con todas las facultades generales y especiales que requieran clausula especial de acuerdo con la ley, por lo que se le confieren sin limitaci6n alguna, de conformidad con lo establecido en el primer parrafo del articulo 2554 (dos mil quinientos cincuenta y cuatro), del C6digo Civil Federal, sus correlatives de los C6digos Civiles de los Estados de la Republica, en cuanto resulte su analogia con la figura de mandate, incluyendo las facultades especiales a que se refieren los articulos 2574 (dos mil quinientos setenta y cuatro}, 2582 (dos mil quinientos ochenta y dos), 2587 (dos mil quinientos ochenta y siete} y 2593 (dos mil quinientos noventa y tres} del C6digo Civil Federal, y sus correlative de las Estados, con todas las facultades generales y las especiales que requieran clausula especial conforme a la ley, estando facultados para 18 |
| MTR□ . PEDRO RUIZ HIGUERA Notari □ Public□ Nun,er□ 60 Guadalajara .Jalisc □ desistirse en cualquier juicio o procedimiento de cualquier demanda, recurse o reclamaci6n, asi como para interponer y desistirse de juicios de amparo y sus incidentes, para querellarse penalmente y desistirse de las querellas que presenten; para constituirse en coadyuvante del Ministerio Publico y otorgar perd6n si precede de acuerdo con la ley; para transigir, para someterse a arbitraje, para articular y absolver posiciones, para recusar jueces, peritos y funcionarios publicos cuando proceda, para hacer cesi6n de bienes y adquirir en venta de autoridad, para recibir pagos y ejecutar todos los otros actos expresamente determinados por la ley, entre los que se incluyen representar a la Sociedad ante toda clase de autoridades municipales, estatales y federales y tribunales penales, civiles, administrativos y de trabajo. -------------------- Para representar a la Sociedad, de conformidad y para los efectos de los articulos 11 (once), 46 (cuarenta y seis), 47 (cuarenta y siete), 134 {ciento treinta y cuatro) fracci6n Ill (tercera), 523 (quinientos veintitres), 786 (setecientos ochenta y seis), 787 (setecientos ochenta y siete), 873 (ochocientos setenta y tres), 874 (ochocientos setenta y cuatro), 875 (ochocientos setenta y cinco), 876 (ochocientos setenta y seis), 878 (ochocientos setenta y ocho), 880 (ochocientos ochenta), 883 {ochocientos ochenta y tres) y 884 (ochocientos ochenta y cuatro) de la Ley Federal del Trabajo vigente. Como representante legal patronal y apoderado general podra actuar ante o frente al o las sindicatos con las cuales existan celebrados Contratos Colectivos de Trabajo y para todos los efectos de conflictos individuales. En general, para todos los asuntos obrero-patronales y para ejercitar sus facultades ante cualesquiera de las autoridades del trabajo, asi como para comparecer con el caracter de representante legal de la sociedad ante el Institute Mexicano del Segura Social (IMSS), Institute del Fonda Nacional para el Consume de los Trabajadores (INFONACOT), asi como ante las autoridades a las que se refiere el articulo 523 (quinientos veintitres) de la Ley Federal del Trabajo; podra asimismo comparecer ante las Juntas de Conciliaci6n y Arbitraje, ya sean locales o federales; en consecuencia llevaran la representaci6n patronal para efectos de las citados articulos 11 (once), 46 (cuarenta y seis) y 47 (cuarenta y siete), y tambien la representaci6n legal de la empresa para todos los efectos de acreditar la personalidad y la capacidad en juicio o fuera de el, en los terminos del articulo 692 (seiscientos noventa y dos), fracciones II (segunda) y Ill (tercera) de la Ley Federal del Trabajo; podran comparecer al desahogo de la prueba confesional en los terminos de los articulos 786 (setecientos ochenta y seis) y 787 (setecientos ochenta y siete) de la Ley Federal del Trabajo, con facultades para absolver y articular posiciones con el caracter de representante legal de la Sociedad, con facultades precisas para desahogar la prueba confesional en todas sus partes; podra senalar domicilio para oir y recibir notificaciones en los terminos del articulo 739 (setecientos treinta y nueve), podra comparecer con toda la representaci6n legal bastante y suficiente, para acudir a la audiencia a que se refiere el articulo 873 (ochocientos setenta y tres) en sus dos etapas de conciliaci6n y de demanda y excepciones en las terminos de las articulos 875 (ochocientos setenta y cinco), 876 (ochocientos setenta y seis), 878 (ochocientos setenta y ocho), 879 (ochocientos setenta y nueve) y 880 (ochocientos ochenta); contestar demandas, ofrecer pruebas; tambien podran acudir a la audiencia de desahogo de pruebas en los terminos de los articulos 883 (ochocientos ochenta y tres) y 884 (ochocientos ochenta y cuatro), todos los anteriores articulos, de la Ley Federal del Trabajo. Asimismo, se le confieren facultades para proponer arreglos conciliatorios, para celebrar transacciones, para tomar toda clase de decisiones para negociar y suscribir convenios laborales; al mismo tiempo podran actuar como representantes de la empresa en calidad de administradores, respecto y para toda clase de juicios o procedimientos de trabajo que se tramiten ante cualquier autoridad. Asimismo, el presente poder se otorga, incluyendo expresamente, pero sin que ello sea limitativo, facultades para actos de administraci6n en materia laboral, tales como la ocupaci6n y distribuci6n de trabajadores, la determinaci6n Av. Arcos #267 C□ l □ nia Arcos sL~. Guadalajara. Jalisc□ C.P. 44S00 Tel. 1B 13 66 11. 1B 14 33 Bl. c□ rre □ electronic □ inf □rmes@!n □ taria60gdl.c□ m 0 C <( -, w 6 0 |
| de las tareas que corresponden a cada puesto o area de trabajo y sus remuneraciones y; en su caso, la desocupaci6n o promoci6n de todo tipo de trabajadores, pudiendo par ende, firmar toda clase de contratos o convenios de trabajo y terminarlos o rescindirlos y, en general, obligar a la Sociedad en materia laboral en todo aquello que competa a la administraci6n. --------------------- ---B.-PODER GENERAL PARA ACTOS DE ADMINISTRACIQN, con facultades para representar a la Sociedad, par lo que a esto respecta, en la administraci6n de sus bienes y negocios, asi coma para firmar y ejecutar toda clase de convenios y contratos, y obligarse en nombre de la Sociedad en cualquier tipo de acto necesario para el cumplimiento de su objeto social. T endran todas las facultades generales y especiales que requieran clausula especial conforme a la Ley, en las terminos del segundo parrafo del articulo 2554 (dos mil quinientos cincuenta y cuatro) del C6digo Civil Federal y sus correlativos para las demas Entidades Federativas de la Republica Mexicana, asi coma las articulos 2547 (dos mil quinientos cuarenta y siete), 2553 (dos mil quinientos cincuenta y tres) del C6digo Civil Federal y sus correlativos para las demas Entidades Federativas de la Republica Mexicana. lgualmente se le otorgan f acultades de administraci6n tan amplias coma en derecho proceda para que el apoderado represente a la Sociedad ante cualquier dependencia gubernamental, ya sea federal, estatal o municipal, y ante organismos descentralizados y centralizados y aun ante empresas de participaci6n estatal mayoritarias o minoritarias, tales como las que a continuaci6n se indican en forma enunciativa y no limitativa: la Secretaria de Hacienda y Credito Publico, el Servicio de Administraci6n Tributaria, la Tesoreria General del Estado, Secretaria de Finanzas, el lnstituto Mexicano del Segura Social, lnstituto del Fonda Nacional de la Vivienda para las Trabajadores, lnstituto del Fonda Nacional para el Consume de las Trabajadores; para iniciar, proseguir o finiquitar asuntos administralivos, formular, firmar y obtener las documentos ante las entidades mencionadas, dar las avisos fiscales necesarios derivados de la operaci6n de la Sociedad y celebrar toda clase de actos, convenios y contratos con dichas entidades, asi coma tramitar y solicitar la e-firma (antes Firma Electr6nica Avanzada "FIEL") ante el Servicio de Administraci6n Tributaria, y en general todos las documentos publicos que faciliten la consecuci6n de las fines de su representaci6n y defensa.----------------- Por media del presente poder, se faculta al apoderado para que a nombre y representaci6n de la Sociedad, acuda ante la Secretaria de Hacienda y Credito Publico, la Secretaria de Economia, la Direcci6n General de Servicio al Comercio Exterior, las Delegaciones y Subdelegaciones Federales de la Secretaria de Economia, la Administraci6n General y Regional de Aduanas, el Padron de lmportadores y otras agencias autorizadas por dicha Secretaria, otorgandole amplias facultades de administraci6n a fin de realizar todas las gestiones necesarias para el embarque de mercancias, la firma de estados de cuentas y de gastos del agente aduanal y en general, realizar las actividades necesarias senaladas tanto en la Legislaci6n Aduanera, coma las practicas en que se incurra para la importaci6n y exportaci6n de toda clase de bienes y mercancias consignadas por la Sociedad, previa obtenci6n de las autorizaciones correspondientes ante las autoridades competentes, asi coma las solicitudes de modificaciones o pr6rrogas de las mismas; si es necesario, presentar declaraciones de IVA, gestiones en las aduanas y agencias para importar mercancias; asi coma presentar la documentaci6n necesaria para la obtenci6n de los tramites mencionados anteriormente. Adicionalmente, el apoderado estara autorizado para actuar en nombre y representaci6n de la Sociedad ante la Secretaria de Hacienda y Credito Publico, sus delegaciones o subdelegaciones, asi coma en la Direcci6n General de Servicios al Comercio Exterior, autorizandolo a actuar y firmar toda clase de escritos y participar en toda clase de actos y procedimientos, incluyendo de forma enunciativa y no limitativa: tramitar confirmaciones de criteria en materia aduanal y/o de comercio exterior, representar a la 20 |
| MTR□ . PEDRO RUIZ HIGUERA Notari □ Public□ Nun,ero 60 Guadalajara Jalisco Sociedad en todo tipo de licitaciones nacionales o internacionales en materia aduanal, solicitar el otorgamiento de beneficios arancelarios o de cualquier otra contribuci6n relacionada con la importaci6n y exportaci6n de bienes y/o servicios, asi coma solicitar el otorgamiento de cualquier beneficio arancelario previsto en cualquier Tratado Internacional del que los Estados Unidos Mexicanos sea parte, entre otros.------------ -C.-PODER ESPECIAL PARA TiTULOS DE CREDITO, para que, en nombre de la Sociedad, en los terminos del articulo 9 de la Ley General de Titulos y Operaciones de Credito, pueda suscribir, otorgar, endosar. librar, avalar y negociar, de cualquier forma, titulos de credito. -------------------- --D.-PODER PARA ACTOS ANTE INSTITUCIONES FINANCIERAS Y PARA ABRIR Y CERRAR CUENTAS BANCARIAS, tan amplio come en derecho sea permitido, quedando facultado para abrir, mantener y cerrar cualquier tipo de cuenta(s) bancaria(s) en nombre y representaci6n de la Sociedad; para girar en contra de las mismas; para contratar, ejecutar, entregar, modificar o terminar en nombre y representaci6n de la Sociedad todos los mandates para la apertura, mantenimiento, operaci6n y cierre de dicha(s) cuenta(s) bancaria(s) y todo tipo de contratos, documentos y acuerdos con el Banco relacionadas con el establecimiento de y la provision de la administraci6n de efectivo que haga el Banco a la Sociedad, asi como las servicios y productos, incluyendo mas no limitado a: Contratos de Cuenta Internacional, Carta de Autorizaci6n a Terceros y Terminos y Condiciones de Servicios de T esoreria; para operar y designar personas autorizadas para operar, en nombre de la Sociedad cualquiera de la(s) cuenta(s) bancaria(s} que tenga la Sociedad, incluyendo la facultad para dar instrucciones respecto a dicha(s) cuenta(s) bancaria(s}; y para revocar cualquier autorizaci6n previamente otorgada a cualquier persona para operar dicha(s) cuenta(s) bancaria(s}.----------------- ============= INSERTO============== -------AUTORIZACION DE LASECRETARIA DEECONOMIA------- "Un logotipo S.E. SECRETARiA DE ECONOMiA.- Clave Unica del Documento (CUD): A201808300745130009- SECRETARiA DE ECONOMiA.- DIRECCION GENERAL DE NORMATIVIDAD MERCANTIL. AUTORIZACl6N DE USO DE DENOMINACION O RAZON SOCIAL.- En atenci6n a la reserva realizada por Juan Jose Agustin Barragan Abascal, a traves del Sistema establecido por la Secretaria de Economia para autorizar el uso de Denominaciones o Razones Sociales, y con fundamento en lo dispuesto par los articulos 15, 16 y 16 A de la Ley de Inversion Extranjera; articulo 34, fracci6n XII bis de la Ley Organica de la Administraci6n Publica Federal; articulo 69 C Bis de la Ley Federal de Procedimiento Administrative; articulo 23 fracciones XXV, XXVII y XXXIII DEL Reglamento Interior de la Secretaria de Economia y el articulo 17 del Reglamento para la Autorizaci6n de Uso de Denominaciones y Razones Sociales; SE RESUELVE AUTORIZAR EL USO DE LA SIGUIENTE DENOMINACl6N O RAZON SOCIAL: ENSCO MEXICO SERVICES. Lo anterior a partir de la fecha y hara que se indican en la secci6n de Firma Electr6nica mas adelante. Los terminos con mayuscula inicial contenidos en la presente Autorizaci6n tendran el significado que se les atribuye a dichos terminos en el Reglamento para la Autorizaci6n de Uso de Denominaciones y Razones Sociales, con independencia de que se usen en plural o en singular. De conformidad con lo dispuesto par el articulo 18 del Reglamento para la Autorizaci6n de Uso de Denominaciones y Razones Sociales, la presente Autorizaci6n se otorga con independencia de la especie de la persona moral de que se trate, de su regimen juridico, o en su caso, de la modalidad a que pueda estar sujeta. En terminos de lo dispuesto per el articulo 21 del Reglamento para la Autorizaci6n de Uso de Denominaciones y Razones Sociales, el Fedatario Publico Autorizado o Servidor Publico. o tratandose de las sociedades cooperativas, la autoridad, ante quien se constituya la Sociedad o Asociaci6n correspondiente, o en su caso, ante 21 Av. Areas #267 Catania Areas Sur. Guadalajara . .Jalisco C.P. 44S00 Tel. 1B 13 66 11. 1B 14 33 Bl. corre □ electronic□ inf□ rmes~n □ taria60gdl.c□m 0 C ct ""') w b 0 |
| quien se formalice el cambio de su Denominaci6n o Raz6n Social, debera cerciorase previamente a la realizaci6n de dichos actos, que se cumple con las condiciones que en su caso resulten aplicables y se encuentren serialadas en la presente Autorizaci6n y en el referido Reglamento, y a su vez debera cerciorarse de que la presente Autorizac16n se encuentre vigente.- AVISO DE USO NECESARIO.- De conformidad con lo dispuesto por el articulo 24 del Reglamento para la Autorizaci6n de Uso de Denominaciones y Razones Sociales, el Fedatario Publico Autorizado o Servidor Publico que haya sido elegido conforme al articulo 14 de dicho Reglamento, debera dar el Aviso de Uso correspondiente a traves del Sistema y dentro de los ciento ochenta dias naturales siguientes a la fecha de la presente Autorizacion, a fin de hacer del conocimiento de la Secretaria de Economia de que ha iniciado el uso de la Denominaci6n o Razon Social Autorizada por haberse constituido la Sociedad o Asociaci6n, o formalizado su cambio de Denominacion Razon Social ante su fe. En caso de que el Fedatario Publico Autorizado o Servidor Publico que haya sido elegido conforme al articulo 14 del Reglamento para la Autorizaci6n de Uso de Denominaciones y Razones Sociales no de el Aviso de Uso conforme al articulo 24 de dicho Reglamento, este podra presentar previo pago de derechos, el Aviso de Uso de forma extemporanea en cualquiera de las oficinas de la Secretaria de Economia, dentro de las treinta dias naturales contados a partir de la fecha en que concluyo el plaza de ciento ochenta dias naturales siguientes a la fecha de la presente Autorizacion. La Secretaria de Economia no reservara el uso exclusive de la Denominaci6n o Razon Social otorgada mediante la presente Autorizacion, en caso de esta no reciba el Aviso de Uso en los terminos antes serialados, y dentro del plaza establecido en el parrafo que antecede. AVISO DE LIBERACICN En case de fusion o liquidacion de la Sociedad o Asociacion, o en el caso de cambio de Denominacion o Razon Social de la misma, el Fedatario Publico Autorizado o Servidor Publico ante quien se formalizara dicho acto, debera de dar, a traves del Sistema y dentro de un plaza no mayor a treinta dias naturales posteriores a la fecha de formalizacion del instrumento respectivo, un Aviso de Liberacion de la Denominaci6n o Razon Social. Tratandose de sociedades cooperativas que se liquiden, extingan o cambien su Denominaci6n o Razon Social ante alguien distinto de un Fedatario Publico Autorizado, el representante legal de la sociedad cooperativa debera solicitar por escrito el apoyo de la Secretaria de Economia para poder dar el Aviso de Liberaci6n correspondiente. Lo anterior, con fundamento en el articulo 28 del Reglamento para la Autorizacion de Uso de Denominaciones o Razones Sociales. RESPONSABILIDADES De conformidad con lo dispuesto par el articulo 22 del Reglamento para la Autorizaci6n de Uso de Denominaciones y Razones Sociales las sociedades o asociaciones que usen o pretendan usar una Denominaci6n o Razon Social tendran las obligaciones siguientes: Responder por cualquier dario, perjuicio o afectaci6n que pudiera causar el uso indebido o no autorizado de la Denominacion o Raz6n Social otorgada mediante la presente Autorizaci6n, conforme a la Ley de Inversion Extranjera y al Reglamento para la Autorizaci6n de Uso de Denominaciones y Razones Sociales, y Proporcionar a la Secretaria de Economia la informacion y documentaci6n que le sea requerida por escrito o a traves del Sistema en relaci6n con el uso de la Denominaci6n o Razon Social otorgada mediante la presente Autorizaci6n, al momenta de haberla reservado, durante el tiempo en que se encuentre en uso, y despues de que se haya dado el Aviso de Liberaci6n respecto de la misma. Las obligaciones establecidas en las fracciones anteriores, deberan constar en el instrumento mediante el cual se formalice la constituci6n de la Sociedad o Asociaci6n o el cambio de su Denominaci6n o Razon Social. La presente Autorizacion tiene una vigencia de 180 dias naturales a partir de la fecha de su expedici6n, y se otorga sin perjuicio de lo establecido por el articulo 91 de la Ley de la Propiedad Industrial'. - --- Doy fe que el anterior inserto concuerda fielmente con su original que tuve a la vista, el cual protocolizo 22 |
| • MTRD_ PEDRO RUIZ HIGUERA Notari □ Public□ Numer□ 60 Guadalajara ..Jalisc □ agregandolo a mi Libra de Documentos Generales, bajo el numero correspondiente a esta escritura. ---- --------- REGIMEN LEGAL DEL MANDATO: ---------- En cumplimiento de las disposiciones contenidas en los Articulos 2207 dos mil doscientos siete y 2214 dos mil doscientos catorce del C6digo Civil del Estado de Jalisco, asi coma el 2554 dos mil quinientos cincuenta y cuatro del C6digo Civil Federal, y el articulo 10 decimo de la Ley General de Sociedades Mercantiles, que a continuaci6n se insertan en lo conducente e integramente los textos de los mismos. --------- -· EL ARTICULO 2207 DOS MIL DOSCIENTOS SIETE, DEL C6DIGO CIVIL DEL EST ADO DE JALISCO, DICE: - • ... En los poderes generales judiciales bastara decir que se dan con ese caracter, para que el apoderado pueda representar al poderdante en todo negocio de jurisdicci6n voluntaria, mixta y contenciosa, desde su principio hasta su fin; siempre que no se trate de actos que conforme a las Leyes requieran poder especial, en tal caso se consignaran detalladamente las facultades que se confieran con su caracter de especialidad.- Este tipo de poderes solo podra otorgarse a personas que tengan el titulo de abogado, licenciado en derecho o a quien no tenga ese caracter se encuentre asesorado necesariamente por profesionales del derecho, quien debera suscribir y actuar conjuntamente con el apoderado, en todos los tramites judiciales.- En los poderes generales para administrar bienes, bastara decir que se otorgan con ese caracter, para que el apoderado tenga toda clase de facultades administrativas.- En los poderes generales para ejercer actos de dominio, sera suficiente que se exprese que se confieren con ese caracter, a efecto de que el apoderado tenga todas las facultades de propietario, en lo relative a los bienes coma en su defensa." ------------ - EL ARTICULO 2214 DOS MIL DOSCIENTOS CATORCE DEL C6DIGO CIVIL VIGENTE DEL ESTADO DE JALISCO A LA LETRA EXPONE: ------------------- - "Ningun poder se otorgara por una duraci6n mayor a cinco anos, salvo que antes de que se cumpla ese tiempo, el mandante lo revoque.- Cuando durante la vigencia del poder, se hubiere iniciado un negocio cuya duraci6n trascienda el termino de su vigencia, se entendera prorrogadas las facultades, hasta su conclusion, quedando comprendida la de intentar el juicio de Amparo.". ----------------------------------------------------------------------- -- EL ARTICULO 2554 DOS MIL QUINIENTOS CINCUENTA Y CUATRO DEL C6DIGO CIVIL FEDERAL APLICABLE EN LOS ESTADOS EN MATERIA FEDERAL DICE: ------------ ---- "En todos los poderes generales para pleitos y cobranzas bastara que se diga que se otorga con todas las facultades generales y las especiales que requieran clausula especial conforme a la ley, para que se entiendan conferidos sin limitaci6n alguna.- En los poderes generales para administrar bienes, bastara expresar que sedan con ese caracter para que el apoderado tenga toda clase de facultades administrativas.- En los poderes generales para ejercer actos de dominio, bastara que se den con ese caracter para que el apoderado tenga todas las facultades de dueno, tanto en lo relative a los bienes, coma para hacer toda clase de gestiones a fin de defenderlos.- Cuando se quisieren limitar en los tres cases antes mencionados, las facultades de los apoderados, se consignaran las limitaciones, o los poderes seran. ------------------ ·- EL ARTiCULO 10 DECIMO DE LA LEY GENERAL DE SOCIEDADES MERCANTILE$ DICE----- ---"La representaci6n de toda sociedad mercantil correspondera a su administrador o administradores, quienes podran realizar todas las operaciones inherentes al objeto de la sociedad, salvo lo que expresamente establezcan la Ley y el contrato social. Para que surtan efecto los poderes que otorgue la sociedad mediante acuerdo de la asamblea o del 6rgano colegiado de administraci6n, en su caso, bastara con la protocolizac16n ante notario de la parte del acta en que conste el acuerdo relative a su otorgamiento, debidamente firmada par quienes actuaron 23 Av. Arcos =H:267 Colonia Arcos Sur. Guadalajara . .Jalisco C.P. 44S00 Tel. 1B 13 66 11. 1B 14 33 Bl. corre □ electronic □ informes@notaria6□gdl.com 0 C <t .., w b 0 |
| coma presidente o secretario de la asamblea o del 6rgano de administraci6n seglin corresponda, quienes deberan firmar el instrumento notarial, o en su defecto lo podra firmar el delegado especialmente designado para ello en sustituci6n de los anteriores. ----- El notario hara constar en el instrumento correspondiente, mediante la relaci6n, inserci6n o el agregado al apendice de las certificaciones, en lo conducente, de las documentos que al efecto se le exhiban, la denominaci6n o raz6n social de la sociedad, su domicilio, duraci6n, importe del capital social y objeto de la misma, asi coma las facultades que conforme a sus estatutos le correspondan al 6rgano que acord6 el otorgamiento del poder y, en su caso, la designaci6n de las miembros del 6rgano de administraci6n. ---- Si la sociedad otorgare el poder par conducto de una persona distinta a los 6rganos mencionados, en adici6n a la relaci6n o inserci6n indicadas en el parrafo anterior, se debera dejar acreditado que dicha persona tiene las facultades para ello. ---------------------------- -----------AVISO DE PRIVACIDAD--------- ___ De conformidad con los articulos 8 ocho, 15 quince, 16 dieciseis y 36 treinta y seis de la Ley Federal de Protecci6n de Datos Personales y sus correlativos del Reglamento. el MAESTRO PEDRO RUIZ HIGUERA, TITULAR DE LA NOTARiA 60 SES ENT A DE GUADALAJARA, con domicilio en Avenida de los Arcos numero 267 doscientos sesenta y siete, Goiania Arcos Sur, en Guadalajara, Jalisco, por este medio hago del conocimiento de las personas que ocurran a esta Notaria a efecto de solicitar servicios notariales, que los datos personales y documentos que los contengan y que les sean solicitados por personal de esta oficina a efecto de prestar los servicios juridicos en cumplimiento a la las disposiciones legales aplicables, seran utilizados en la elaboraci6n y redacci6n de las instrumentos pliblicos correspondientes. Los dates personales seran consignados en folios donde se hagan constar las escrituras, actas o pliegos par separado seglin el case, y los documentos que contengan datos personales, seran agregados al Libra de Documentos Generales, por lo que quedaran integrados a los Protocolos de los cuales soy depositario conforme a la ley, mismos que podran ser almacenados en bases de datos, imagenes o demas dispositivos electr6nicos o bien impresos en papel, los cuales estaran bajo mi responsabilidad y custodia hasta en tanto entregue los protocolos al Gobiemo del Estado de Jalisco a traves de las oficinas correspondientes.------------------- -----FE NOTARIAL------------- ·----EL SUSCRITO NOTARIO CERTIFICA Y DA FE ------- -- 1.- Que las insertos que contiene este instrumento, concuerdan fielmente con sus originales, los cuales tuve a la vista y las cuales deja agregados a mi Libra de Documentos, siendo los siguientes: --------- --- a}.- Poder Especial otorgado por la sociedad ENSCO HOLDCO LIMITED, debidamente apostillado. --- ___ b) Poder Especial otorgado per la sociedad ENSCO OFFSHORE U.K. LIMITED debidamente apostillado ---------- ___ c).- Autorizaci6n de denominaci6n par la Secretaria de Economia.------------------ ___ d).- ldentificaci6n de la compareciente. -------------------- ••• 11.- Que la compareciente se identifica a mi satisfacci6n, en los terminos del Articulo 84 ochenta y cuatro, Fracci6n VIII octava, asi como la Fracci6n X decima de la Ley del Notariado en vigor, par lo que la conceptuo con capacidad legal para contratar y obligarse, en virtud de no observar en ella signos extemos que presuman lo contrario, y asi mismo no tener conocimiento ni notificaci6n alguna de que haya sido declarada o se encuentre sujeta a estado de interdicci6n. Y manifiesta ser: -·-------------------- --- ANDREA ALTAMIRANO GUAJARDO mexicana, mayor de edad, profesionista, soltera, originaria de Tepic, 24 |
| .. MTR□ . PEDRO RUIZ HIGUERA Notari □ Public□ Nun,ero 60 Guadalajara .Jalisco Nayarit, lugar donde naci6 el dia 30 treinta de enero de 1993 mil novecientos noventa y tres, y con domicilio en Boulevard Puerta de Hierro numero 5210 cinco mil doscientos diez, Piso 1 uno, Fraccionamiento Puerta de Hierro, Zapopan, Jalisco, quien se identifica con su credencial de elector expedida par el Institute Federal Electoral, con numero de folio 1118022103276 uno, uno, uno, ocho, cero, dos, dos, uno, cero, tres, dos, siete, seis, cuya copia cotejada agrego a las archives de esta Notaria bajo el numero de nota correspondiente, y su Clave Unica de Registro de Poblaci6n AAGA930130MNTLJN01 "A", "A", "G", "A", nueve, tres, cero, uno, tres, cero, "M", "N", T, "L", "J", "N", cero, uno. ----------------------------- - Se hace constar que los Socios no han solicitado su inscripci6n en el Registro Federal de Contribuyentes, ante el hecho de que la Sociedad ha optado por presentar el aviso a que hace referencia el parrafo cuarto del articulo 27 del C6digo Fiscal de la Federaci6n. ----------------------- - 111.-Que de conformidad con lo dispuesto par el articulo 22 veintid6s del Reglamento para la Autorizaci6n de Uso de Denominaciones y Razones Sociales y del propio permiso otorgado par la Secretaria de Economia adverti a las comparecientes respecto a las siguientes RESPONSABILIDADES: """Las sociedades o asociaciones que usen o pretendan usar una Denominaci6n o Razon Social tendran las obligaciones siguientes: I. Responder por cualquier dalio, perjuicio o afectaci6n que pudiera causar el uso indebido o no autorizado de la Denominaci6n o Razon Social otorgada mediante la presente Autorizaci6n, conforme a la Ley de Inversion Extranjera y al Reglamento para la Autorizaci6n de Uso de Denominaciones y Razones Sociales, y II. Proporcionar a la Secretaria de Economia la informaci6n y documentacion que le sea requerida per escrito o a traves del Sistema en relaci6n con el uso de la Denominacion o Razon Social otorgada mediante la presente Autorizacion, al memento de haberla reservado, durante el tiempo en que se encuentre en uso, y despues de que se haya dado el Aviso de Liberaci6n respecto de la misma"".---- -------------------- - IV.- El suscrito notario hago del conocimiento de los socios respecto a la obligacion que tienen de solicitar la inscripci6n de la persona moral que ahora constituyen en el Registro Federal de Contribuyentes del Servicio de Administraci6n Tributaria asi como tramitar y obtener el certificado de firma electronica avanzada, por lo queen cumplimiento a lo dispuesto por el parrafo septimo del articulo 27 del C6digo Fiscal de la Federacion, advierto a los comparecientes la obligacion que tienen de comprobarme, dentro del mes siguiente a la fecha de firma de esta escritura, que han presentado solicitud de inscripci6n de la persona moral ya que en caso de no hacerlo informare de tal omisi6n al Servicio de Administraci6n Tributaria.-----···························································· -- V.-Hice del conocimiento a la comparecientes el contenido de la fracci6n Ill del articulo tercero de la Ley para la Prevenci6n e ldentificaci6n de Operaciones con Recurses de Procedencia llicita, respecto al concepto de beneficiario controlador y los de presuncion de su existencia, y al respecto me manifestaron: ·Que declara(n) los (los) compareciente(s) bajo protesta de decir verdad, queen el presente instrumento actua(n) en su nombre y por cuenta propia por ser quien(es) se beneficia(n) de los actos que se contienen y quien(es) ejerce(n) las derechos de uso, goce, disfrute, aprovechamiento o disposicion del objeto del instrumento y par tanto no existe duelio beneficiario. ----- ___ VI.- De conformidad ademas, con lo dispuesto par la ley anteriormente mencionada en su articulo 17 diecisiete fracci6n XII, inciso ·c· , NO dare el aviso de la constituci6n de persona moral en los terminos de dicha Ley y su reglamento; ya que aun siendo una actividad vulnerable no excede las mantas serialados en la misma. •················· ---- VII.- Que adverti de la necesidad de su lnscripci6n en el registro publico de la propiedad y de comercio correspondiente segun su domicilio, asi come en el Registro Nacional de Inversion extranjera con fundamento en Av. Arcos #267 Colonia Arcos iJ? .. Guadalajara. Jalisco C.P. 44500 Tel. 1B 13 66 11. 1B 14 33 Bl. correo electronic□ inforrnes~notaria60gdl.com 0 C <t -, w b 0 |
| \ \ el articulo 32 treinta y dos, fracci6n I, incise a) de la Ley de Inversion Extranjera--------- ___ VIII.• Que en virtud de que ninguno de los socios me proporciona ni me presenta Registro Federal de Contribuyentes, por lo que procedere a presentar al Servicio de Administraci6n Tributaria el aviso a que se refiere dicha disposici6n con la misma fecha de firma de esta escritura, mismo que agregara al Apendice de este instrumento.---------------------------- ___ IX.· Que lei en voz alta el contenido de este instrumento a los comparecientes a quienes adverti de su valor, alcance y demas consecuencias legales, asi como.se manifestaron conformes con su contenido, lo ratificaron y firmaron ante mi, hacienda constar que se termin6 de firmar el instrumento siendo las 10:30 diez horas con treinta minutes del dia de su fecha.- DOY FE.-------------------- FIRMADO.- 01 una firma ilegible.- ANDREA ALTAMIRANO GUAJARDO.• En Representaci6n de ENSCO HOLDCO LIMITED y ENSCO OFFSHORE U.K. LIMITED.- Rubrica.- MTRO. PEDRO RUIZ HIGUERA.- NOTARIO PUBLICO NUMERO 60 SESENTA DE GUADALAJARA, JALISCO.- Mi sello de Autorizar- GUS/JGRB/PRH. ------ ========== NOTAS AL PIE DEL PROTOCOLO ========== --- Baja las letras correspondientes, en el Libra de Dacumentos, agrego lo siguiente: -------- ___ a) Duplicado del Aviso al Director del Archive de lnstrumentos Publicos con fecha del 8 ocho de Enero del 2019 dos mil diecinueve.-------------------------- ··- b).· Peder Especial otorgado por la saciedad ENSCO HOLDCO LIMITED, debidamente apostillado. --- ___ c) Peder Especial otorgado par la sociedad ENSCO OFFSHORE U.K. LIMITED debidamente apostillado --------- ___ d).-Autorizaci6n de denominaci6n par la Secretaria de Economia.-------------------- ---- e).- ldentificaci6n de la compareciente. -------------------- -- n.- Boleta de Registro. ------------------------- -------EXPIDO ESTE PRIMER TESTIMONIO, PRIMERO EN SU ORDEN, A SOLICITUD DE LA SOCIEDAD DENOMINADA "ENSCO MEXICO SERVICES" SOCIEDAD DE RESPONSABILIDAD LIMIT ADA DE CAPITAL VARIABLE ; PARA ACREDITAR LOS DERECHOS QUE DEL MISMO SE DESPRENDEN; VA EN 13 TRECE FOJAS UTILES IMPRESAS POR SU ANVERSO Y REVERSO, VA DEBIDAMENTE COTEJADO. -- -- ··-····---···- GUADALAJARA, JALISCO, A 09 NUEVE DE ENERO DEL 2019 DOS MIL DIECINUEVE.---- Gus/jgrb/prh 26 |
| SE lnscripci6n via web inmediata ... BOLETA DE INSCRIPCION FME N-2019001831 NCI 201900006028 Registro Publico de Comercio Cd del Carmen 2019000060280014 Numero Unico de Documento Nombre/Denominaci6n raz6n social ENSCO MEXICO SERVICES SOCIEDAD DE RESPONSABILIDAD LIMITADA DE CAPITAL VARIABLE .. DATro$:ibE-iN~RESO Fecha y hora Solicitante 14/01/2019 01 :30:06 T.CENTRO PEDRO RUIZ HIGUERAJ .. •' '''.':'.'':'. : -·:..:- ·,. :•' DATOS DEL DOCUMENTO QUE SE PRESENTA No. de documento Tipo de documento 4418 Escritura Fedatario / Autoridad Pedro Ruiz Higuera FME Formas precodificadas Nombre acto Fecha de ingreso N-2019001831 M4-Constituci6n de Sociedad Constituci6n de sociedad mercantil 14/01/2019 01 :30:06 T.CENTRO Referencia de pago No. Fecha lmporte N° 20603529 14/01/2019 01 :27:50 T.CENTRO $596.44 (\:;. :L ·" ; "·,•. t'~'.' :'.:'\,, [,ci;·:;::l{, }k'; ',, · · ~· •- ., .... ·. FIRMA:RESPONSABLE':DE OFICINA Nombre Paola Micheline Justiniano Apolinar Firma 7 e3a5897917b612cf822ceb8f30a 1 df7 c68cf99a Sello digital de tiempo 20190114193005.5512 SELLO DIGITAL DE TIEMPO Olv33cns30gsgQOvPfE8TY5hZOCc41e1VY2BwlV2qJ2O/ KHSZwx1pR9ZO1GoEHXhCE1ORxlSIC6nr JtVOd6Bjly5A62OvHPZS1 n1 r/ 4rUeRwm8kFNGvAUJsGIUIYGsAlmGOr5OrO0Pqdsuq88L+7qhglZytxIHtAZksdGDr/WSjoJ/ YxOH875vaWFnAOEcF68NimSWntA7eTOHmXKAAbgP +2fOdOEYrA6jfGsOquR48hAiCbY6B9vFW800xYWgKDbn3BLmTpNSMKby08HbeAlccOdSy6PdPzMGUN~ UaUt1inylztYeq== |
| SE lnscripci6n via web inmediata Responsable de oficina Paola Micheline Justiniano Apolinar Registro Publico de Comercio Cd del Carmen 2019000060280014 Numero Onico de Documento >22098661 Hpk8TIPISKHv3JtOmj2DuOmXWRc=I LeTAAuGYFEW9wk4h8cF8z0/68ymWPtGIQqj3syHHNeVT5bRVss7BXUle4QaW8kgLDw9kd3NHbVDgNbyDFosyn8b3Zf9ukcBB BqUS4StnbjllqCZMB6f+nuoO3wlsfOt2GMUn0wQkyZ/ TxOBcJYY02dSRLRdl6NXbmN9qF7fF7NHKwbwlxuyts28igp1NE7WRynRNmsC+XuNZASYfl5vupaEEnel8zSCZUKTtO/ UuocYfT ADT0gvqvaSx/zl Ld uu/VsFi 1 YHis+6KXuj/puiST 4DYMps8stT cEp3pW6YwY6eW0UOZ16zF2UMIVvV7CMBtw== |
Exhibit 3.108
| EXEMPTED Company Registered and filed as No. 323714 On 08-Jun-2017 Assistant Registrar Auth Code: F15915310673 www.verify.gov.ky |
| EXEMPTED Company Registered and filed as No. 323714 On 08-Jun-2017 Assistant Registrar Auth Code: F15915310673 www.verify.gov.ky |
Exhibit 3.109
| EXEMPTED Company Registered and filed as No. 323714 On 08-Jun-2017 Assistant Registrar Auth Code: H10290318900 www.verify.gov.ky CI$50.00 08-Jun-2017 |
| EXEMPTED Company Registered and filed as No. 323714 On 08-Jun-2017 Assistant Registrar Auth Code: H10290318900 www.verify.gov.ky |
| EXEMPTED Company Registered and filed as No. 323714 On 08-Jun-2017 Assistant Registrar Auth Code: H10290318900 www.verify.gov.ky |
| EXEMPTED Company Registered and filed as No. 323714 On 08-Jun-2017 Assistant Registrar Auth Code: H10290318900 www.verify.gov.ky |
| EXEMPTED Company Registered and filed as No. 323714 On 08-Jun-2017 Assistant Registrar Auth Code: H10290318900 www.verify.gov.ky |
| EXEMPTED Company Registered and filed as No. 323714 On 08-Jun-2017 Assistant Registrar Auth Code: H10290318900 www.verify.gov.ky |
| EXEMPTED Company Registered and filed as No. 323714 On 08-Jun-2017 Assistant Registrar Auth Code: H10290318900 www.verify.gov.ky |
| EXEMPTED Company Registered and filed as No. 323714 On 08-Jun-2017 Assistant Registrar Auth Code: H10290318900 www.verify.gov.ky |
| EXEMPTED Company Registered and filed as No. 323714 On 08-Jun-2017 Assistant Registrar Auth Code: H10290318900 www.verify.gov.ky |
| EXEMPTED Company Registered and filed as No. 323714 On 08-Jun-2017 Assistant Registrar Auth Code: H10290318900 www.verify.gov.ky |
| EXEMPTED Company Registered and filed as No. 323714 On 08-Jun-2017 Assistant Registrar Auth Code: H10290318900 www.verify.gov.ky |
| EXEMPTED Company Registered and filed as No. 323714 On 08-Jun-2017 Assistant Registrar Auth Code: H10290318900 www.verify.gov.ky |
| EXEMPTED Company Registered and filed as No. 323714 On 08-Jun-2017 Assistant Registrar Auth Code: H10290318900 www.verify.gov.ky |
| EXEMPTED Company Registered and filed as No. 323714 On 08-Jun-2017 Assistant Registrar Auth Code: H10290318900 www.verify.gov.ky |
| EXEMPTED Company Registered and filed as No. 323714 On 08-Jun-2017 Assistant Registrar Auth Code: H10290318900 www.verify.gov.ky |
| EXEMPTED Company Registered and filed as No. 323714 On 08-Jun-2017 Assistant Registrar Auth Code: H10290318900 www.verify.gov.ky |
| EXEMPTED Company Registered and filed as No. 323714 On 08-Jun-2017 Assistant Registrar Auth Code: H10290318900 www.verify.gov.ky |
| EXEMPTED Company Registered and filed as No. 323714 On 08-Jun-2017 Assistant Registrar Auth Code: H10290318900 www.verify.gov.ky |
| EXEMPTED Company Registered and filed as No. 323714 On 08-Jun-2017 Assistant Registrar Auth Code: H10290318900 www.verify.gov.ky |
| EXEMPTED Company Registered and filed as No. 323714 On 08-Jun-2017 Assistant Registrar Auth Code: H10290318900 www.verify.gov.ky |
| EXEMPTED Company Registered and filed as No. 323714 On 08-Jun-2017 Assistant Registrar Auth Code: H10290318900 www.verify.gov.ky |
| EXEMPTED Company Registered and filed as No. 323714 On 08-Jun-2017 Assistant Registrar Auth Code: H10290318900 www.verify.gov.ky |
| EXEMPTED Company Registered and filed as No. 323714 On 08-Jun-2017 Assistant Registrar Auth Code: H10290318900 www.verify.gov.ky |
| EXEMPTED Company Registered and filed as No. 323714 On 08-Jun-2017 Assistant Registrar Auth Code: H10290318900 www.verify.gov.ky |
| EXEMPTED Company Registered and filed as No. 323714 On 08-Jun-2017 Assistant Registrar Auth Code: H10290318900 www.verify.gov.ky |
| EXEMPTED Company Registered and filed as No. 323714 On 08-Jun-2017 Assistant Registrar Auth Code: H10290318900 www.verify.gov.ky |
| EXEMPTED Company Registered and filed as No. 323714 On 08-Jun-2017 Assistant Registrar Auth Code: H10290318900 www.verify.gov.ky |
| EXEMPTED Company Registered and filed as No. 323714 On 08-Jun-2017 Assistant Registrar Auth Code: H10290318900 www.verify.gov.ky |
Exhibit 3.110
| Authorisation Code : 136474044700 www.verify.gov.ky 13 June 2017 CC-323714 Certificate Of Incorporation Assistant Registrar of Companies of the Cayman Islands Ensco Ocean 2 Company an Exempted Company incorporated in the Cayman Islands with Limited Liability with effect from the 8th day of June Two Thousand Seventeen Given under my hand and Seal at George Town in the Island of Grand Cayman this 8th day of June Two Thousand Seventeen Assistant Registrar of Companies, DO HEREBY CERTIFY, pursuant to the Companies Law CAP. 22, that all requirements of the said Law in respect of registration were complied with by Cayman Islands. I, D. EVADNE EBANKS |
Exhibit 3.111
| ENSCO OCEANICS COMPANY LLC AMENDED LIMITED LIABILITY COMPANY AGREEMENT This Amended Limited Liability Company Agreement (the "Agreement"), effective as of the 31 st day of March 2010, is made by Ensco Holdco Limited, an English and Wales Private Limited Company, having a registered office at 100 New Bridge Street (the "Sole Member"). WHEREAS, ENSCO International Incorporated caused ENSCO Oceanics Company LLC (the "Company") to be formed under the Limited Liability Company Act of the State of Delaware (the "Act") and any future amendments thereto, a copy of the Certificate of Formation (the "Certificate") being attached hereto as Exhibit A; and WHEREAS, ENSCO International Incorporated, and all direct and indirect subsidiaries, completed a series of redomestication and reorganization transactions including a series of contributions of the membership interest in the Company; and WHEREAS, ENSCO Investments LLC became the Sole Member of the Company on the 31 st day of March 2010 by way of a contribution of membership interest; and WHEREAS, ENSCO Holding Company became the Sole Member of the Company on the 31 st day of March 2010 by way of a contribution of membership interest; and WHEREAS, ENSCO Offshore Company became the Sole Member of the Company on the 31st day of March 2010 by way of a contribution of membership interest; and WHEREAS, Ensco Holdco Limited became the final Sole Member of the Company on the 31st day of March 2010 by way of a contribution of membership interest; and WHEREAS, the Sole Member wishes to provide, among other things, for membership in and management of the Company, all on the terms hereinafter set forth. NOW, THEREFORE, the Sole Member agrees as follows: Article I - Limited Liability Company Agreement Section 1.01 This Agreement is an Amended Limited Liability Company Agreement under and as provided in the Act. F:\USERS~english\Office\ENSCO Oceanics Company LLC\Amended LLC Agreement.03.2010 |
| Section 1.02 Except as otherwise provided by the Act, the debts, obligations and liabilities of the Company, whether arising strictly at law, in contract, tort or otherwise, shall be the debts, obligations and liabilities solely of the Company, and the Member shall not be obligated personally for any such debts, obligations or liabilities solely by reason of being a Member. Article II - Organizational and Other Matters Section 2.01 The Company was formed as a limited liability company under the provisions of the Act by the filing of the Certificate with the Secretary of State of the State of Delaware on March 29, 2010. The rights and liabilities of the Member shall be as provided in the Act, except as otherwise expressly provided herein. Section 2.02 The name of the Company is ENSCO Oceanics Company LLC, and the business of the Company shall be conducted under such name. Section 2.03 The principal office of the Company shall be located at 500 N. Akard Street, Suite 4300, Dallas, Texas 75201, or such other place as the Sole Member may, from time to time, determine or designate. Section 2.04 The Company may, from time to time, apply for and qualify to do business in any state or territory of the United States or any foreign country, commonwealth, kingdom, sovereign state or territory. Article Ill - Members Section 3.01 Concurrent with the execution of this Agreement, Ensco Holdco Limited shall become and be the Sole Member of the Company. 2 F:\USERS\jenglish\Office\ENSCO Oceanics Company LLC\Amended LLC Agreement |
| Article IV - Duration of the Company Section 4.01 The Company will have a perpetual existence. Article V - Purpose and Business of the Company Section 5.01 The Company may conduct any lawful business purpose or activity permitted by the Act. Section 5.02 The Company shall have the power to do any and all acts reasonably necessary, appropriate, proper, advisable, incidental or convenient to or for the furtherance of the purpose and business described herein and for the protection and benefit of the Company. Article VI - Capital Contributions Section 6.01 The Sole Member's capital contribution is US$50,000 (the "Contribution"). The Contribution was determined by the 50,000 issued and existing shares of common stock in ENSCO Oceanics Company, a Delaware corporation ("ENSCO Oceanics"). Upon conversion of ENSCO Oceanics into ENSCO Oceanics Company LLC, all issued and existing shares of ENSCO Oceanics common stock converted to 50,000 membership units, which evidence one hundred percent (100%) ownership of the equity interest in the Company. Except as contemplated by Section 13.03, the Member shall own one hundred percent (100%) of the equity interest in the Company. Additional Members may make capital contributions to the Company at any time upon approval of the then existing Member or Members. Any additional capital contributions, including any amounts deemed necessary to develop the business, shall be made at the sole discretion of any Member. A Member's interest shall be represented by certificated units held by such Member and shall be evidenced by one or more physical membership certificate(s); provided that multiple membership units may be represented by a single certificate. Every membership certificate must be signed by two (2) Managers of the Company. All membership units shall be identical in that they entitle all holder(s) thereof to the same rights and privileges. Each issued and outstanding membership unit shall have one (1) vote on all matters properly coming before the Member or Members. 3 F:\USERS\jenglish\Office\ENSCO Oceanics Company LLC\Amended LLC Agreement |
| The Company may repurchase or cancel membership units against cash or noncash consideration as may be agreed with the Member holding such units. Any repurchased membership units shall be deemed cancelled immediately upon acquisition by the Company. The Member or Members may sell, assign, transfer, pledge, hypothecate or otherwise encumber the membership units in the Company upon terms and subject to conditions as the Member may determine. Section 6.02 Any Member's capital contributions to the Company may be increased by any additional amounts which the Member or Members deems appropriate and necessary. Any Member's capital contributions may be decreased by any additional amounts which the Member or Members deems appropriate and necessary. Section 6.03 A Member is not entitled to the return of any portion of its capital contribution(s) or to be paid interest in respect of its capital contributions. An unrepaid capital contribution is not a liability of the Company or of any Member. Article VII - Management of the Company Section 7.01 The business and affairs of the Company shall be managed by the Managers. The Managers shall have complete and exclusive discretion with regard to the management and control of the affairs and business of the Company, and shall possess all powers necessary, convenient or appropriate to carry out the purposes and business of the Company, including without limitation, doing all things and taking all actions necessary to carry out the terms and provisions of this Agreement and delegating any or all of its powers, rights and obligations under this Agreement and appointing officers of the Company to perform acts or services for and on behalf of the Company as the Managers shall deem appropriate. Subject to the limitations set forth in this Agreement, the Managers shall have full, exclusive and complete discretion to manage and control the Business and affairs of the Company, to make all decisions affecting the Business and affairs of the Company and to take all such actions as they deem necessary or appropriate to accomplish the purpose of the Company as set forth herein. If at any time the Company has more than one Manager, at such times as the Managers act as a body in a Managers meeting, the Managers can act only by a majority vote of a quorum. Each Manager has one vote. The Managers shall be the sole persons with the power to bind the Company, except and to the extent that such power is expressly 4 F:\USERS\jenglish\Office\ENSCO Oceanics Company LLC\Amended LLC Agreement |
| delegated to any other person or entity by the Managers or by this Agreement. Unless otherwise determined by the Managers or provided in this Agreement, each Manager, acting individually on behalf of the Company, has the authority to bind the Company. Section 7.02 The number of Managers shall initially be three (3). The number of Managers may be increased or decreased by the Member or Members from time to time. The Managers shall be appointed by the Member or Members annually prior to the expiration of the initial appointment of Managers or upon a vacancy; provided, however, that the absence of any appointment by the Member or Members (either annually or upon a vacancy) shall not diminish the powers of any incumbent Managers, each of whom shall remain in office until earlier death, resignation, or removal/replacement (in the sole discretion of the Member or Members). In no event shall any Manager have the power to appoint any other Managers or him or herself as a Manager. The Managers need not be Members of the Company and may only be appointed if they are of sufficient calibre to enable them to demonstrate that they have the necessary skills and experience to manage the strategic decisions of the Company, as determined by the Member or Members in their sole discretion. The initial Managers of the Company shall be David A. Armour, Dean A. Kewish and Tom L. Rhoades. Each Manager shall hold office until the Manager's death, resignation or removal in accordance with the provisions hereof. A Manager may resign by delivering a written resignation to the Member or Members. A resignation is effective upon the appointment of a replacement Manager by the Member unless it is specified to be effective at some other time or upon the happening of some other event. A Manager may be removed at any time, with or without cause, by the Member by delivering written notice of such removal to the Manager. Such removal shall be effective upon delivery of such notice by the Member or Members, unless such notice is specified to be effective at some other time or upon the happening of some other event. Section 7 .03 The Managers may appoint officers at any time to act on behalf of the Company with such power and authority as the Managers may delegate in writing to any such persons. The officers of the Company, if deemed necessary by the Managers, may include a president, vice president(s), secretary, and/or treasurer. The officers shall serve at the pleasure of the Managers and may be removed with or without cause by the Managers, subject to all rights, if any, of an officer under any contract of employment. Any individual may hold any number of offices. The officers shall exercise such powers and perform such duties as specified in this Agreement or as shall be determined from time to time by the Managers. 5 F:\USERS\jenglish\Office\ENSCO Oceanics Company LLC\Amended LLC Agreement |
| Section 7 .04 The Member or Members shall have the power to establish a bank account or accounts in the name of the Company with such banking or financial institutions as the Member or Members shall deem advisable for the expeditious handling of the Company's funds. The Member may grant authority to establish a bank account or accounts in the name of the Company to managers, agents or persons designated as officers. The Member or Members or any manager, agent or officer appointed by the Member or Members may designate signatories on bank accounts established in the name of the Company as the manager, agent or officer may deem appropriate. Section 7.05 The Managers may take any action by unanimous written consent in lieu of a meeting; provided, that any written consent in lieu of a meeting shall state the city and country where each Manager executed the written consent and the Managers shall be provided with suitable time and information in advance of executing the written consent to enable the Managers to make full and informed decisions, including discussing any such information with other Managers. Any written consent in lieu of a meeting shall be ineffective if any of the Managers are within the United Kingdom when such written consent is executed. Section 7.06 Notwithstanding any prov1s1on in this Agreement to the contrary, the following decisions and actions by the Managers require the prior written consent of the Member or Members: a. Admit any additional person or entity as a Member of the Company; b. Amend any provision of this Agreement; c. Merge or consolidate into or with any other entity, or sell, transfer, convey, lease, license, encumber or mortgage substantially all of the Company's assets; d. Convert into any other form of entity; and e. Liquidate, wind-up or dissolve the Company or enter into or commence any new or additional line of business outside of the Business defined herein. Article VIII - Distributions Section 8.01 The Company may distribute "Excess Cash" (as herein defined) to the Member or Members in the same percentage as the Member's interest in the profits of the Company. For purposes hereof, "Excess Cash" shall mean cash in excess of the 6 F:\USERS\jenglish\Office\ENSCO Oceanics Company LLC\Amended LLC Agreement |
| amount determined by the Member or Members required to pay current liabilities and other obligations of the Company as they may become due, including, without limitation, reserves for any contingencies. Distributions shall be made to the Member or Members at the times and in the amounts determined by the Managers of the Company, in accordance with the relevant percentage of the membership units held by each Member. The Company may withhold any amounts necessary to make any tax payments required by law with respect to distributions made to Members. For purposes of this agreement, any such payment or withholdings shall be treated as a distribution to the Member on behalf of whom the withholding or payment was made. Article IX - Limitations on Acts by Managers and/or Officers Section 9.01 Member or Members written authorization and approval shall be required to: (i) purchase, lease or otherwise acquire any property, right or other asset having a value, either combined or separate, in excess of US$25,000; (ii) sell, lease or otherwise dispose of any property, right or other asset having a value of more than US$25,000; (iii) borrow, lend, issue a guarantee or encumber any property, right or other asset of the Company; or (iv) make an assignment for the benefit of creditors or seek relief under any bankruptcy, insolvency or similar law. Section 9.02 A manager, agent or officer of the Company may not and will not have the power to delegate any of his or her rights or powers to manage and control the business and affairs of the Company, except as otherwise authorized by the Member or Members. Article X - Dissolution and Liquidation Section 10.01 The Company may be dissolved and its affairs may be wound-up subject to approval by the Member or Members. Section 10.02 Upon dissolution, the Company shall cease carrying on its business but shall not terminate until the winding-up of the affairs of the Company is completed, the assets of the Company shall have been distributed as provided below in the Section 10.03 of this Article X, and a Certificate of Cancellation of the Company pursuant to the Act has been filed with the Secretary of State of the State of Delaware. 7 F:\USERS~english\Office\ENSCO Oceanics Company LLC\Amended LLC Agreement |
| Section 10.03 Upon dissolution of the Company, sole and plenary authority to effectuate the liquidation of the assets of the Company shall be vested in the Member or Members, which shall have full power and authority to sell, assign and/or encumber any and all of the Company's assets and to wind-up and liquidate the affairs of the Company in an orderly and business-like manner. The proceeds of the liquidation of the assets of the Company distributed upon dissolution and winding-up of the Company shall be applied in the following order of priority: (a) First, to the creditors of the Company in the order of priority by law, in satisfaction of all liabilities and obligations of the Company (of any nature whatsoever, including, without limitation, fixed or contingent, matured or unmatured, legal or equitable, secured or unsecured), whether by payment or the making of reasonable provision for payment thereof; and (b) Thereafter, to the Member or Members. Section 10.04 The winding-up of the Company shall be completed when all debts, liabilities and obligations of the Company have been paid and discharged, or reasonably adequate provision therefor has been made, and all of the remaining property and assets of the Company have been distributed to the Member or Members. Upon completion of the winding-up of the Company, a Certificate of Cancellation of the Company shall be filed with the Secretary of State of the State of Delaware. Article XI - Indemnity Section 11.01 The Company shall indemnify the Member or Members and their representative, its managers, directors, officers, employees and agents, and each of the Company's managers, officers, employees and agents against any claim, demand, liability, fine or expense (including, without limitation, reasonable legal fees and disbursements, court costs and costs of any appellate proceedings) arising out of any act or omission by the Member or Members or their representative, its managers, directors, officers, employees or agents or any manager, officer, employee or agent of the Company done in good faith and reasonably believed by the Member or Members or their representative, its managers, directors, officers, employees or agents or any manager, officer, employee or agent of the Company to be in the best interest of the Company and the Member or Members, provided that in the case of any fine, the Member or Members, its managers, directors, officers, employees or agents or any manager, officer, employee or agent of the Company, had no reasonable cause to believe its conduct was unlawful. 8 F:\USERS\jenglish\Office\ENSCO Oceanics Company LLC\Amended LLC Agreement |
| Section 11.02 The Company will, as authorized and approved by the Member or Members, pay the expense of any manager, officer, employee or agent of the Company seeking indemnity in advance of final disposition of any matter, subject to the receipt of any undertaking from the manager, officer, employee or agent satisfactory to the Member or Members to repay the amount advanced if it is ultimately determined that the manager, officer, employee or agent seeking indemnity is not entitled to indemnification. Article XII - Accounting Section 12.01 The Company's fiscal year will be the calendar year and shall end on December 31. Article XIII - Amendment; Admission of New and Additional Members Section 13.01 This Agreement may be amended only by an instrument in writing signed by the Member or Members. Section 13.02 The Certificate of Formation of the Company may be amended only by an instrument in writing signed by the Member or Members. Section 13.03 A person or entity may not become a Member in the Company unless the person's or entity's admission is approved by the Member or Members, as evidenced by an amendment to this Agreement signed by the Member or Members and by the person or entity representative electing to become a Member. Article XIV - Severability Section 14.01 If any provision of this Agreement or the application of any such provision to any individual, corporation or other entity or to any circumstance is held to be invalid, the remainder of this Agreement, and the application of such provision other than to the extent it is held invalid, will not be invalidated or affected hereby. 9 F:\USERS\jenglish\Office\ENSCO Oceanics Company LLC\Amended LLC Agreement |
| Article XV - Governing Law Section 15.01 This Agreement and the rights and obligations of the Member or Members of the Company shall be governed by and construed in accordance with the law of the State of Delaware. For purposes of any proceeding involving this Agreement or any of the rights or obligations of the Member or Members of the Company, each Member hereby submits to the non-exclusive jurisdiction of the courts of the State of Delaware, and agrees not to raise and waives any objection to or defense based upon the venue of any such court or based upon forum non conveniens. The Member or Members agree not to bring action or other proceeding with respect to this Agreement in any other court unless such courts of the State of Delaware determine that they do not have jurisdiction in the matter. Section 15.02 Each Member hereby designates The Corporation Trust Company (CT Corporation System), with offices at 1209 N. Orange Street, Wilmington, Delaware 19801, its agent for service of process for purposes of any proceeding with respect to this Agreement or with respect to any of the rights or obligations of the Member or Members of the Company. At all times until the dissolution and completion of the winding-up of the Company and the filing of a Certificate of Cancellation of the Company's Certificate of Formation, each Member will maintain an agent for service of process in the State of Delaware. The Company will pay the cost of maintaining the agent for service of process in Delaware, but if for any reason the Company fails to pay the cost, the Member or Members will pay such cost. Article XVI - Entire Agreement Section 16.01 This Agreement contains the entire understanding of the parties with respect to the subject matter of the Agreement, and it supersedes all prior understandings and agreements, if any, whether written or oral, and all prior dealings of the parties with respect to the subject matter hereof. Article XVII - Section Headings Section 17.01 Section headings are for reference purposes only and will not in any way affect the meaning or interpretation of any provision of this Agreement. (The remainder of this page is intentionally left blank) 10 F:\USERS\jenglish\Office\ENSCO Oceanics Company LLC\Amended LLC Agreement |
| IN WITNESS WHEREOF, Ensco Holdco Limited, as the Sole Member, has executed this Agreement as of the day and year first above written. Ensco Holdco Limited as the Name: Title: Dean A. Kewish Secretary F:\USERS\jenglish\Office\ENSCO Oceanics Company LLC\Amended LLC Agreement 11 |
| EXHIBIT A STATE OF DELAWARE LIMITED LIABILITY COMPANY CERTIFICATE OF FORMATION OF ENSCO OCEANICS COMPANY LLC Step 46.3 (b) 1. The name of the Limited Uabillty Company is ENSCO Oceanics Company LLC. 2. The name and address of its registered agent in the State of Delaware is: The Corporation Trust Company (CT Corporation System), 1209 N. Orange Street, Wilmington, Delaware 19801. 3. The Limited Liability Company shall have a perpetual existence. IN WITNESS WHEREOF, the undersigned has executed this Certificate of Formation of ENSCO Oceanics Company LLC thi~ day of /l1A,l,/;I-( 201 0. Tom L. Rhoades Authorized Person F:\USERS~engllsh\Office\ENSCO Oceanlcs Company LLC\C&rtificate or Formatlon.03.2010 State of Delaware Secretazy of State Division of Corporations Delivered 03:01 PM 03/29/2010 FILED 03:01 PM 03/29/2010 SRV 100327283 - 2223994 FILE |
| SCHEDULE 7.02 Initial Officers of ENSCO Oceanics Company LLC Name [insert name of officer] [insert name of officer] [insert name of officer] Office President Secretary Treasurer F:\USERS~english\Office\ENSCO Oceanics Company LLC\LLC Agreement.03.2010 |
Exhibit 3.112
| tJJe[aware PAGE 1 'Ine :first State I, JEFFREY W. BULLOCK, SECRETARY OF STATE OF THE STATE OF DELAWARE DO HEREBY CERTIFY THAT THE ATTACHED IS A TRUE AND CORRECT COPY OF THE CERTIFICATE OF CONVERSION OF A DELAWARE CORPORATION UNDER THE NAME OF "ENSCO OCEANICS COMPANY" TO A DELAWARE LIMITED LIABILITY COMPANY, CHANGING ITS NAME FROM "ENSCO OCEANICS COMPANY" TO "ENSCO OCEANICS COMPANY LLC", FILED IN THIS OFFICE ON THE TWENTY-NINTH DAY OF MARCH, A.D. 2010, AT 3:01 O'CLOCK P.M. 2223994 8100V 100327283 You may verify this certificate online at corp.delaware.gov/authver.shtml Jeffrey W. Bullock, Secretary of State TION: 7898466 DATE: 03-29-10 |
| 1. STATE OF DELAWARE CERTIFICATE OF CONVERSION FROM A CORPORATION TO A Step 46.3 (a) LIMITED LIABILITY COMPANY PURSUANT TO SECTION 18-214 OF THE LIMITED LIABILITY ACT 1. The Jurisdiction where the Corporation was first formed Is Delaware. 2. The Jurisdiction immediately prtor to filing this Cerliflcate is Delaware. 3. The date the Corporation was first formed Is March 7, 1990. 4. The name of the Corporation Immediately prior to filing this Certificate Is ENSCO Oceanics Company. 5. The name of the Limited Liability Company as set forth In the Certificate of Formation Is ENSCO Oceanics Company LLC. IN WITNESS WHEREOF, the undersigned has executed this Certificate on the Z,'f7F( day of .J11A-,l,(JH 2010. ' Tom L. Rhoades Authorized Person F:\USERS~engUsh\ENSCO Ocoanlcs Company (D!:)\Certirlca1e of Convernlon.03,2010 state of Delaware Secretary of State Division of Corporations Delivered 03:01 PM 03/29/2010 FILED 03:01 PM 03/29/2010 SRV 100327283 - 2223994 FILE |